Vehicle Driving Behavior Analysis and Unified Modeling in Urban Road Scenarios
Abstract
1. Introduction
2. Driver Behavior Analysis
2.1. Driving Scene Interaction Relationships
2.2. The Effect of Sideways-Moving Vehicles on Driving Behavior
2.2.1. Following Model Considering the Effect of Sideways Vehicles
2.2.2. Lane-Changing Model Considering the Effect of Sideways Vehicles
2.3. Driver Multidirectional Multi-Vehicle Anticipation Capability
2.3.1. Characterization
- Frequency
- 2.
- Gradual and Shared
2.3.2. Interactive Relationship
3. Experimental Program and Data Collection
4. Unified Modeling of Driving Behavior
4.1. Driving Behavior Model
4.2. Following Model
4.3. Lane-Changing Model
5. Model Calibration and Evaluation
5.1. Model Calibration
- Selecting the driver reaction times A and B in the lane changing and following model;
- Selecting the calculation methods for the lateral influence coefficients C and D;
- Calibrating the remaining parameters in the model. In the first two steps, all of the study data were used for parameter calibration. In the third step, 200 sets of data were randomly selected for model calibration and another 50 sets of data were used for model performance testing.
5.2. Model Evaluation
5.2.1. Evaluation Indicator
5.2.2. Experimental Model
5.2.3. Comparison Model
5.3. Model Evaluation
5.3.1. Evaluation Indicator
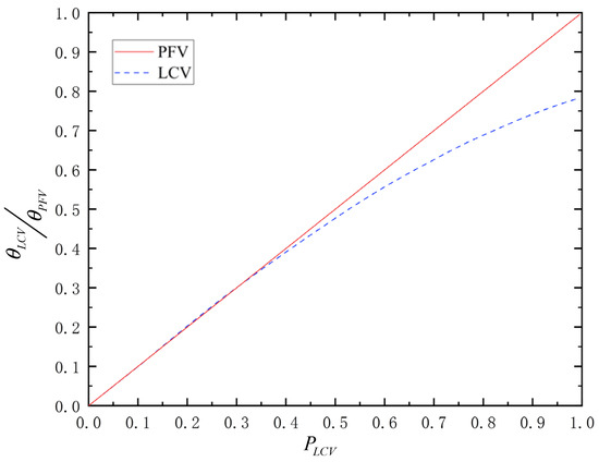
5.3.2. Lateral Influence Coefficient
5.3.3. Other Parameters
5.4. Results of Model Evaluation
6. Conclusions
Author Contributions
Funding
Institutional Review Board Statement
Informed Consent Statement
Data Availability Statement
Conflicts of Interest
References
- Zhou, M.F.; Yu, Y.; Qu, X.B. Development of an efficient driving strategy for connected and automated vehicles at signalized intersections: A reinforcement learning approach. IEEE Trans. Intell. Transp. Syst. 2020, 21, 433–443. [Google Scholar] [CrossRef]
- Zhang, R.X.; Masoud, S.; Masoud, N. Impact of Autonomous Vehicles on the Car-Following Behavior of Human Drivers. J. Transp. Eng. Part A Syst. 2022, 149, 1–25. [Google Scholar] [CrossRef]
- Chen, Q.; Zhou, Y.; Ahn, S.; Xia, J.; Li, S.; Li, S. Robustly string stable longitudinal control for vehicle platoons under communication failures: A generalized extended state observer-based control approach. IEEE Trans. Intell. Veh. 2022, 8, 159–171. [Google Scholar] [CrossRef]
- Guo, H.B.; Qu, D.Y.; Hong, J.L.; Zhao, Z.X.; Hei, K.X. Vehicle lane changing interaction behavior and decision model based on utility theory. Sci. Technol. Eng. 2020, 20, 12185–12190. [Google Scholar]
- Sharma, A.; Zheng, Z.; Kim, J.; Bhaskar, A.; Haque, M.M. Assessing traffic disturbance, efficiency, and safety of the mixed traffic flow of connected vehicles and traditional vehicles by considering human factors. Transp. Res. Part C Emerg. Technol. 2021, 124, 102934. [Google Scholar] [CrossRef]
- Gong, B.; Wang, F.; Lin, C.; Wu, D. Modeling HDV and CAV Mixed Traffic Flow on a Foggy Two-Lane Highway with Cellular Automata and Game Theory Model. Sustainability 2022, 14, 5899. [Google Scholar] [CrossRef]
- Kesting, A.; Treiber, M.; Helbing, D. General lane changing model MOBIL for car following models. Transp. Res. Rec. J. Transp. Res. Board 2007, 1999, 86–94. [Google Scholar] [CrossRef]
- Negash, N.M.; Yang, J. Driver behavior modeling towards autonomous vehicles: Comprehensive review. IEEE Access 2023, 11, 22788–22821. [Google Scholar] [CrossRef]
- Li, L.; Zhang, D.; Xu, Z.G.; Wang, P.; Wang, G.P. The roles of car following and lane changing drivers’ anticipations during vehicle inserting process: A structural equation model approach. J. Adv. Transp. 2018, 2018, 1–19. [Google Scholar] [CrossRef]
- Gao, Y.; Levinson, D. Lane changing and congestion are mutually reinforcing. Commun. Transp. Res. 2023, 3, 100101. [Google Scholar] [CrossRef]
- Chen, K.; Knoop, V.L.; Liu, P.; Li, Z.; Wang, Y. Modeling the impact of lane-changing’s anticipation on car-following behavior. Transp. Res. Part C Emerg. Technol. 2023, 150, 104110. [Google Scholar] [CrossRef]
- Moridpour, S.; Sarvi, M.; Rose, G. Modeling the lane changing execution of multiclass vehicles under heavy traffic conditions. Transp. Res. Rec. J. Transp. Res. Board 2010, 46, 11–19. [Google Scholar] [CrossRef]
- Wang, H.; Li, Y.; Wang, W. Modeling lane changing execution on the basis of car following theory. In Proceedings of the Transportation Research Board, Transportation Research Board 94th Annual Meeting, Washington, DC, USA, 11–15 January 2015. [Google Scholar]
- Yang, D.; Zhu, L.L.; Ran, B.; Pu, Y.; Hui, P. Modeling and analysis of the lane changing execution in longitudinal direction. IEEE Trans. Intell. Transp. Syst. 2016, 17, 1–9. [Google Scholar] [CrossRef]
- Nirmale, S.K.; Pinjari, A.R.; Sharma, A. A discrete-continuous multi-vehicle anticipation model of driving behaviour in heterogeneous disordered traffic conditions. Transp. Res. Part C Emerg. Technol. 2021, 128, 103144. [Google Scholar] [CrossRef]
- Montanino, M.; Punzo, V. On string stability of a mixed and heterogeneous traffic flow: A unifying modelling framework. Transp. Res. Part B Methodol. 2021, 144, 133–154. [Google Scholar] [CrossRef]
- Wang, Z.; Huang, H.; Tang, J.; Meng, X.; Hu, L. Velocity control in car-following behavior with autonomous vehicles using reinforcement learning. Accid. Anal. Prev. 2022, 174, 106729. [Google Scholar] [CrossRef] [PubMed]
- Zhao, J.; Knoop, V.L.; Wang, M. Microscopic traffic modeling inside intersections: Interactions between drivers. Transp. Sci. 2023, 57, 135–155. [Google Scholar] [CrossRef]
- Li, M.; Fan, J.; Lee, J. Modeling Car-Following Behavior with Different Acceptable Safety Levels. Sustainability 2023, 15, 6282. [Google Scholar] [CrossRef]
- Han, J.; Wang, X.; Wang, G. Modeling the Car-Following Behavior with Consideration of Driver, Vehicle, and Environment Factors: A Historical Review. Sustainability 2022, 14, 8179. [Google Scholar] [CrossRef]
- Gunay, B. Methods to quantify the discipline of lane-based driving. Traffic Eng. Control 2003, 44, 22–27. [Google Scholar]
- Gunay, B. Car following theory with lateral discomfort. Transp. Res. Part B Methodol. 2007, 41, 722–735. [Google Scholar] [CrossRef]
- Jin, S.; Wang, D.H.; Yang, X.R. Non-lane-based car following model using visual angle information. Transp. Res. Rec. J. Transp. Res. Board 2011, 2249, 7–14. [Google Scholar] [CrossRef]
- Jin, S.; Wang, D.H.; Xu, C.; Huang, Z.Y. Staggered car following induced by lateral separation effects in traffic flow. Phys. A Stat. Mech. Its Appl. 2012, 376, 153–157. [Google Scholar] [CrossRef]
- He, Z.C.; Wang, Y.M.; Sun, W.B.; Huang, P.Y.; Zhang, L.C.; Zhong, R.X. Modelling car following behavior with lateral separation and overtaking expectation. Transp. B Transp. Dyn. 2016, 4, 223–239.1. [Google Scholar]
- Li, Y.F.; Zhang, L.; Peeta, S.; Pan, H.G.; Zheng, T.X.; Li, Y.G.; He, X.Z. Non-lane-discipline-based car following model considering the effects of two-sided lateral gaps. Nonlinear Dyn. 2015, 80, 227–238. [Google Scholar] [CrossRef]
- Choudhury, C.F.; Islam, M.M. Modelling acceleration decisions in traffic streams with weak lane discipline: A latent leader approach. Transp. Res. Part C 2016, 67, 214–226. [Google Scholar] [CrossRef]
- Arun, A.; Haque, M.M.; Washington, S.; Mannering, F. A physics-informed road user safety field theory for traffic safety assessments applying artificial intelligence-based video analytics. Anal. Methods Accid. Res. 2023, 37, 100252. [Google Scholar] [CrossRef]
- Punzo, V.; Simonelli, F. Analysis and comparison of microscopic traffic flow models with real traffic microscopic data. Transp. Res. Rec. J. Transp. Res. Board 2005, 1934, 53–63. [Google Scholar] [CrossRef]
- Li, L.; Chen, X.Q.; Zhang, L. A Global Optimization algorithm for trajectory data based car following model calibration. Transp. Res. Part C 2016, 68, 311–332. [Google Scholar] [CrossRef]







| The Following Model | ||||
|---|---|---|---|---|
| Parameter name | ||||
| Range of values | (0,1) | (0,10) | (0,1) | (0,1) |
| Parameter name | ||||
| Range of values | (0,1) | (0,1) | (−30,30) | (−40,40) |
| Parameter name | ||||
| Range of values | (−10,10) | (−10,10) | ||
| Lane-Changing Model | ||||
| Parameter name | ||||
| Range of values | (0,1) | (0,10) | (0,1) | (0,1) |
| Parameter name | ||||
| Range of values | (0,1) | (0,1) | (−30,30) | (−40,40) |
| Parameter name | ||||
| Range of values | (−10,10) | (−10,10) | ||
| Driver Reaction Time (s) | ||
|---|---|---|
| 0.2 | 0.6022 | 0.6389 |
| 0.3 | 0.5994 | 0.6392 |
| 0.4 | 0.5964 | 0.6422 |
| 0.5 | 0.6017 | 0.6380 |
| 0.6 | 0.5964 | 0.6369 |
| 0.7 | 0.6031 | 0.6301 |
| 0.8 | 0.6003 | 0.6313 |
| 0.9 | 0.5987 | 0.6341 |
| 1.0 | 0.5886 | 0.6326 |
| entry 1 | 0.5900 | 0.6360 | |
| 0.5923 | 0.6384 | ||
| 0.5834 | 0.6419 |
| The Following Model | ||||
| Parameter name | ||||
| Calibration result | 0.114 | 0.218 | 0.344 | 0.656 |
| Parameter name | ||||
| Calibration result | 0.129 | 0.869 | −20.245 | 25.840 |
| Parameter name | ||||
| Calibration result | 1.055 | 5.249 | ||
| Lane-Changing Model | ||||
| Parameter name | ||||
| Calibration result | 0.086 | 0.942 | 0.241 | 0.759 |
| Parameter name | ||||
| Calibration result | 0.601 | 0.398 | 7.637 | 36.938 |
| Parameter name | ||||
| Calibration result | 0.285 | 0.543 | ||
| The Following Model | |||
| Evaluation of indicators | ME | MAE | RMSE |
| Research following model | 0.404 | 3.279 | 4.142 |
| Experimental following model 1 | 1.200 | 3.366 | 4.187 |
| Experimental following model 2 | 1.082 | 2.677 | 3.333 |
| Experimental following model 3 | 2.095 | 3.659 | 4.367 |
| Experimental following model 4 | 0.856 | 3.296 | 4.223 |
| Comparison with the following model | 1.476 | 3.643 | 4.357 |
| Lane-Changing Model | |||
| Evaluation of indicators | ME | MAE | RMSE |
| Research lane-changing model | −1.10 | 2.572 | 3.290 |
| Experimental lane-changing model 1 | −1.185 | 2.987 | 3.723 |
| Experimental lane-changing model 2 | −1.024 | 2.585 | 3.249 |
| Experimental lane-changing model 3 | −2.667 | 3.689 | 4.569 |
| Experimental lane-changing model 4 | −1.143 | 2.580 | 3.437 |
| Comparison with the lane-changing model | −1.768 | 2.589 | 4.432 |
Disclaimer/Publisher’s Note: The statements, opinions and data contained in all publications are solely those of the individual author(s) and contributor(s) and not of MDPI and/or the editor(s). MDPI and/or the editor(s) disclaim responsibility for any injury to people or property resulting from any ideas, methods, instructions or products referred to in the content. |
© 2024 by the authors. Licensee MDPI, Basel, Switzerland. This article is an open access article distributed under the terms and conditions of the Creative Commons Attribution (CC BY) license (https://creativecommons.org/licenses/by/4.0/).
Share and Cite
Zhang, L.; Qu, D.; Zhang, X.; Dai, S.; Wang, Q. Vehicle Driving Behavior Analysis and Unified Modeling in Urban Road Scenarios. Sustainability 2024, 16, 1956. https://doi.org/10.3390/su16051956
Zhang L, Qu D, Zhang X, Dai S, Wang Q. Vehicle Driving Behavior Analysis and Unified Modeling in Urban Road Scenarios. Sustainability. 2024; 16(5):1956. https://doi.org/10.3390/su16051956
Chicago/Turabian StyleZhang, Li, Dayi Qu, Xiaojing Zhang, Shouchen Dai, and Qikun Wang. 2024. "Vehicle Driving Behavior Analysis and Unified Modeling in Urban Road Scenarios" Sustainability 16, no. 5: 1956. https://doi.org/10.3390/su16051956
APA StyleZhang, L., Qu, D., Zhang, X., Dai, S., & Wang, Q. (2024). Vehicle Driving Behavior Analysis and Unified Modeling in Urban Road Scenarios. Sustainability, 16(5), 1956. https://doi.org/10.3390/su16051956
