Abstract
Climate change, encompassing the greenhouse effect, is a scientifically acknowledged fact. Factors such as population increase and limited resources for economic growth warrant consideration. This paper aims to develop a new approach to explore the relationship between the greenhouse effect (including climate change) and economic growth and the social/welfare state and find if the government really focus on the reduction of the greenhouse or is marketing. The objective is to develop a study employing linear regression, neural networks, and other statistical tools to elucidate these relationships. The data comprise figures for the human development index (HDI), the greenhouse effect, the GDP, and environmental indicators. The method used will be a parametric workout about the variables that affect the greenhouse gas emissions, the relationship between it and the HDI, and finally, will apply a prediction of greenhouse effects incorporating a neural network. Since 2020, in European Union countries, and especially in new members, focus has been placed on the HDI rather than on the reduction in the greenhouse effect. On the other hand, neural networks allow advances that enable the European Union to focus on climate change, with large investments planned until 2030 because the reduction in greenhouse gases can be effectively lowered when the countries’ expenditures are focused on environmental protection, including enhancing biodiversity.
1. Introduction
1.1. Main Objective and Methodology
Firstly, I would like to comment on the general objective of this study and the methodology to be applied. The main idea of this paper is the relationship between climate change, focusing on the greenhouse gas emissions, with GDP and the value added that is generated by the companies in the respective sector of the European Union, including key performance indicators of a welfare state and the economic indicators that could affect the ability to improve the environment and to reduce climate change. On the other hand, there are two steps in this methodology; one is a regression with the relationship between the total CO2 greenhouse emissions and the environment variables protection, and the other uses neuronal networks to estimate, following the current situation, the greenhouse emissions of the GDP and the value generated to determine if the European Union makes the necessary efforts to reduce climate change.
1.2. Climate
Climate change is one of the greatest challenges facing our planet today. Furthermore, the relationship between climate change, greenhouse gases, the economy, and human development call for the greatest consideration in this century. Understanding this relationship necessitates a multidimensional framework encompassing these elements, environmental expenses, and risk without any action from a government’s point of view. Therefore, to avoid tensions between social problems, climate change, and the economy, there is a need to find a proper balance between these elements, which this paper seeks to explore.
Several studies have underscored the evidence supporting climate change [1,2,3]; for instance, the warmest year between 1880 and 2020 was 2016. Additionally, the Intergovernmental Panel on Climate Change (IPCC) [4] noted that there has been an estimated increase of 1 °C (from 14 °C to 15 °C) in the global surface temperature over a short period (from the mid-19th century to 2020). Furthermore, there is a need to take measurements to determine the global average temperature. Consequently, Figure 1 presents 32,000 data points dating from 1880 and reflecting comparisons between different research centers [5]. The sources of the data in the figure are:
Figure 1.
Comparison of four independent methods for estimating global temperature anomalies: NASA’s GISS surface temperature analysis, NOAA’s NCEI, Hadley Centre/Climatic Research Unit (UK), and Berkeley Earth. Despite differences in methodologies used by these independent bodies, all their global temperature estimates are in close agreement. Credit: Gavin Schmidt.
- Hadley Centre/Climatic Research Unit of the University of East Anglia in the UK
- NASA’s Goddard Institute for Space Studies in the US
- National Oceanic and Atmospheric Administration’s (NOAA’s) National Centre for Environmental Information (NCEI), also in the US.
In 2021, the State of Climate Change Report [6] was published on the condition of the global climate. The report noted that climate change continues to advance at an alarming rate. The report showed that 2020 was one of the three warmest years on record and that the 2011–2020 period was the warmest on record. In addition, the report claimed that the effects of climate change are accelerating and the impacts of this change on ecosystems and human life are increasingly visible.
According to [7], to avoid catastrophic consequences, global temperatures should be limited to a rise of 1.5 °C instead of the 2 °C limit stipulated in the Paris Agreement. In Europe, 2020 was the warmest year on record, with a temperature of 2.16 °C above the average [8], surpassing the temperature of the year 2018 by 0.28 °C. Moreover, according to ref. [8], annual temperatures have increased by 0.15 °C each decade since 1910.
Regarding greenhouse emission scenarios [9], based on national plans, there is a projected temperature increase of between 4 °C and 5 °C from 2010 to 2100. If individual countries reduce their energy use from fossil fuels, especially coal, the temperature will increase by 2.8 °C to 3.2 °C during the same period. Moreover, if everybody achieves their net zero pledges, the temperature will only increase by 2.0 °C.
Climate change is a complex phenomenon, and several factors should be considered when studying it. Carbon dioxide is the largest contributor to climate change, and human activities contribute significantly to carbon dioxide emissions [4]. Agriculture and land-use changes, energy production, transportation, and electricity generation are some sources of carbon dioxide emissions. Furthermore, there are other emissions resulting from human activities, such as methane [10] and nitrous oxide [11].
In this section, we consider the relationship between climate change and other factors. In 2020, ref. [12] found that climate change has significantly increased the risk of wildfires in many regions, and the risk is likely to continue increasing in the future. Additionally, ref. [13] reported that climate change is already affecting human health around the world and that the impacts of climate change are intensifying; therefore, climate change mitigation measures are needed to protect human health. On the other hand, some studies use some details regarding temperature change, including scenarios related to the GDP and new technologies [14], and achieve the same result of an annual increase of between 6 °C and 2.6 °C due to greenhouse gas emissions.
There is evidence that climate change is linked to specific extreme weather events [15,16] and, consequently, the impact of climate change on the economy is not only short term but also long term. Additionally, population increase should be taken into consideration, since it is a key factor because more people need more resources and generate more polluting waste. Currently, there are 7 billion people in the world, and it is expected that in 2025, there will be 8.5 billion people [17]. This figure is projected to rise to 10 billion in 100 years.
Life expectancy has risen in recent years. It is projected that the average lifespan globally will increase from 72.6 in 2019 to 77.1 in 2050. On the other hand, the ability of healthcare has increased is such a way that it has allowed the longevity of citizens to increase and therefore increases the number of inhabitants worldwide.
At this time, it is worth considering the migration and great human suffering resulting from being displaced due to climate and weather extremes, which cause humanitarian crises and consequent problems in countries and governments [18]. There are five possible scenarios that can explain environmentally induced displacement including sudden onset disasters, slow environmental degradation, slow onset events for low-lying small island states, designation of areas prohibited for human habitation, and resource stress [19].
No increase in population is projected in the European Union [20]. Currently, the European Union has a population of 446 million. By 2050, this figure will drop to 441 million, and further drop to 416 million in 2100. However, we should bear in mind that currently, the projected old-age dependency ratio is 32, and in 2050, it will be 52. This factor should be taken into consideration in analyzing the pillars underlying sustainability.
Another factor that our study should take into consideration is resource limitations. Consequently, agricultural resources will be highly important due to overpopulation in the next century; therefore, agricultural production should increase in the coming years [21]. Agricultural production must increase at an average rate of 1.73% annually, to nearly double the production of food, animal feeds, fiber, and bioenergy. However, from 2010 to 2019, the increase was 1.36%, creating a gap for future needs. Additionally, low-income countries had a negative average growth of −0.31%, which, over time, will exacerbate poverty and social upheavals.
On another note, there was an increase in global demand for grain, the most important source of food [22], from 2017 to 2021; although, production remained at the same level. This condition highlights the necessity of increasing agricultural productivity, especially wheat, which is a key food for many developing countries. Additionally, ref. [23] indicated that the increase in photosynthesis rates worldwide has dramatically slowed carbon dioxide emissions. Therefore, there is a need to consider the relationship between overpopulation and resources, especially from an agricultural point of view. The pressure on natural resources due to new cultivation of land through indiscriminate felling of forest masses as well as drawing water from aquifers [24] will cause an increase of between 6% and 32% in the demand for irrigation by 2090. Furthermore, there will be an increase in the number of biocides and fertilizers [25], as well as the introduction of new varieties of species with high-yielding monocultures, causing environmental degradation.
This paper will now introduce the relationship between climate change and security because the United Nations [26] describes climate change as a “threat multiplier” (climate change may alter overall conditions, causing security threats, and amplify the role of other causes of security threats and lead to a specific security threat) [26]. Moreover, NATO and various countries, namely the United States, the United Kingdom, India, and China recognize climate change to be a security threat, as shown in a range of government documents [27,28,29,30,31].
Finally, this study shows the relationship between climate change and the largest economies worldwide, including the European Union, from 2010 to 2019 and presents the meaning of sustainability. There is a present trend to engage in marketing initiatives without substantial results in combating climate change.
The New Economy Foundation estimates that Europe would need approximately 855 billion euros each year in private and public capital to achieve the greatest possible reduction in emissions—in line with the Paris Agreement—of a 1.5 °C temperature increase and a 65% reduction in polluting emissions by 2030 [32]. The European Central Bank reports that the EU spent approximately 0.15% of its GDP on average in 2019 on climate change initiatives, compared to the 3.7% per year necessary to achieve the Commission’s climate objectives [33].
One important aspect will be the focus on the economic cost of reducing greenhouse gas emissions instead of focusing on the impact of climate change on the economy (e.g., the devastation caused by a hurricane) and the co-benefit of avoided damage [34]. Following this approach, the policy for the mitigation of greenhouse gas emissions should be to seek to benefit society [35]. In other words, the success of a climate policy should be gauged by evaluating the difference between the economic cost of reducing emissions and the social benefit resulting from reducing emissions.
Companies should increase their efforts to decrease greenhouse gas emissions. However, these efforts will depend on the size of the companies. This difference in effort arises because, according to [36], based on stock market regulations, large companies are required to report their CO2 emissions in a sustainability report. Consequently, they must reduce these emissions. Otherwise, the market value of a company will decrease because all stakeholders, including investment funds, penalize the share price. Therefore, this study seeks to analyze the real reduction in greenhouse gases in the European Union between 2010 and 2019 and to determine if the economy is focusing on this reduction or if the stock market and the government have a short-term plan and are focusing on growth and human development at the expense of the environment.
The next section of this paper analyzes the concept of risk, evaluating Its importance not only to the economy but also to the welfare state and climate change [37], since its carbon emissions are a risk management problem.
1.3. Risk Concept
I will now introduce the risk concept, since sustainability is always considered from an economic point of view. From my perspective, sustainability vis-à-vis climate change is a risk that should be studied.
Risk is a determining factor in business life because we live in an uncertain world [38]. How we perceive risk and integrate it into our decisions is vitally important in almost all dimensions of our lives; risk must certainly be considered in financial decision making. Risk means different things to different people, as it depends on context and on the propensity of a person to experience feelings about taking chances. For a student, there is a risk of failing an exam or not achieving the best grades. On the other hand, a coal miner or an oil field worker faces the risk of an explosion in a mine or at a well site. Similarly, a retired person faces the risk of not being able to live comfortably on a fixed income. Likewise, an entrepreneur faces the risk that a new venture will fail. In the financial context, there is a need to understand risk to allow an assessment of the level of risk inherent in an investment. Nevertheless, the risk to a firm’s reputation is paramount [39]; although, it is the most nebulous type of risk. Any institution that hopes to do business must have a good reputation. Once reputation is lost, the confidence of counterparties disappears, and a company will find it impossible to deal in the markets.
Risk can be broken down into moral hazards and overexposure. If an institution’s employees engage in criminal or immoral activities, the reputation of the institution will be at risk. An isolated instance of such conduct, however, can be far less damaging than the other main type of risk, namely, overexposure in the market.
A risk is an event [40] or the consequence of an event. A risky activity can produce events and consequences which are subject to uncertainties; something of human value is at stake.
The possibility of loss or damage can also be considered [38]. In general, the term ‘risk’ is used to mean the probability of any adverse event occurring. For example, if one is dedicated to diving, there is a probability of losing one’s life. Similarly, if one bets on horses, one faces the risk of losing money. Moreover, one who invests in speculative shares (or other kinds of shares) assumes a risk with the hope that the shares will appreciate. Therefore, according to [41], in the development of risk management strategies for reducing losses and providing protection against extreme events, there is a need to incorporate data from risk assessment studies and the factors that have been shown to influence risk perception.
Many people think that risk is the probability of loss; however, risk can be defined as uncertainty about the outcome of an event or activity, since people cannot be sure of what will happen in the future.
The necessity of measuring the probability of a loss [41] or the concept of risk clearly determines the need to measure this variable and to allow for variability in this measurement. Therefore, a definition of risk should include a measure of the variability of negative outcomes [42]. The standard deviation shows only one dimension of risk: An asset, such as a lottery ticket, whose performance has a large standard deviation could be interpreted as having a high degree of risk, but it is not very risky. However, suppose that an asset has a yield distribution that is approximately symmetrical around the average. In this case, if the standard deviation is high, the investment has a high risk. When the distribution of returns is normal, the standard deviation reflects this condition.
Any business decision about the future is subject to conditions, which are ultimately evaluated through risks, and, consequently, there is the possibility that an error (or—in business terms—loss) will occur. Deviations between a forecast and actual figure can be caused by an incorrect view of the risk, but from a business point of view, it is difficult to explain negative deviations to shareholders and investors. Conversely, a positive deviation may, under certain circumstances, occur due to a lack of strategic vision on the part of a company’s managers. All strategic decisions involve not only short-term risks but also long-term risks; the environment and its reaction to the decisions taken by company managers is a determining factor in this process. Any decision may involve different risks of different levels, at different times [43].
There are different perspectives about risk. For instance, the Allianz Report [44] says that climate change is an important risk in the context of natural catastrophes, and companies face a 57% physical loss over the next 12 months, based on insight obtained from 2650 risk management experts from 89 countries and territories. However, Protiviti Global Business Consulting 2022 does not mention climate change among the top 10 key risks for either 2022 or 2031. However, the Global Risks Report [45] claims that 35.6% of respondents believe that environmental damage due to human activity will be important in terms of short-term risks (0–2 years), and 38.3% of them believe that failure to take climate action will be an existential threat in the long term (5–10 years).
Furthermore, in 2017 [46], the Task Force on Climate-related Financial Disclosures (TFCD) recommended the voluntary incorporation of climate change considerations in financial sector organizations, including banks and insurance companies [46]. TFCD divides risks into two categories: physical risks and transaction risks. The recommendations were made concerning the following:
- Governance: the supervision of climate change and opportunities by management;
- Strategy: potential risks in the short, medium, and long term, and the impact of risks on an organization´s business and financial planning;
- Risk management: implementation of matrix risk about climate change and the integration of risks in management;
- Metrics and targets: metrics should align with organizational strategies, encompassing scope 1 (direct emissions from business operations), scope 2 (emissions from purchased energy), and scope 3 (indirect emissions caused by business operations).
On the other hand [47], all investments and divestments should include considerations about fossil fuel assets; alternatively, a one-size-fits-all approach may be used [47]. However, such an approach may not match the conditions of all organizations due to differences in corporate cultures.
Additionally, the concept of risk and the management of risk is important for environment, social and governance (ESG) [48] factors, since it allows identification, evaluation, and economic control while reducing the impact on the assets, reputation, or performance of an organization, and can be used alongside conventional risk measures. Therefore [49], for companies, the order risk management should follow the root cause, leading to determining the risk and the subsequent impacts with positive and negative results, not only in the company but also in the environment and climate [50].
The International Financial Reporting Standards (IFRS) Foundation and the International Sustainability Standards Board have proposed the implementation of IFRS S1 (General Requirements for Disclosure of Sustainability-related Financial Information) and IFRS S2 (Climate-related Disclosure) for annual reports beginning 1 January 2024, to allow the reporting of sustainability risks and opportunities that affect cash flow, finance, or cost of capital over the short, medium, or long term [51].
Therefore, I can conclude that climate change is beginning to be recognized as an important element in terms of risks to companies and financial regulators, who should take into consideration the direct physical risks and the risks arising from energy transition.
1.4. Climate Change within Sustainability and Planetary Boundaries
One of the fundamental elements that must be considered in human action is planetary boundaries [52] (climate change, rate of biodiversity loss, interference with the nitrogen and phosphorous cycles, stratospheric ozone depletion, ocean acidification, global freshwater use, changes in land use, chemical pollution, and atmospheric aerosol loading), which human action can have an impact on.
Regarding climate change, when greenhouse emissions such as carbon dioxide, methane, and nitrous oxide are released into the air, they cause the greenhouse effect and increase global warming, which leads to extreme climate variations and rising sea levels. On the other hand, planetary boundaries [53] have, over the past few years, been at the center of political debate in international conferences about climate change.
Currently, sustainable development is the focus not only of society but also of companies. Sustainability is a multidimensional framework [54,55] with five key vectors:
- Business-level application and communication of sustainability activities/performance.
- Scope of organizational focus;
- Sustainability-oriented innovation;
- Economic, ecology, and equity (social emphasis);
- Compliance stances.
However, the predominant focus on the three pillars—the economy, society, and ecology—remains responding to short-term financial figures [56]. Therefore, the concept of sustainability should incorporate the financial condition of companies. Ref. [57] performed a study on the impact of a sustainability report on the financial performance of a company. Unfortunately, there is no relationship since companies are mainly focused on ratios and key performance indicators while stock markets only perform evaluations from this economic point of view. Consequently, there is a need for a change in the behavior of financial markets and companies. According to [58], a focus on sustainability should not be isolated but rather must include the three pillars mentioned (i.e., environment, economy, and society). In other words, all financial reports having a similar structure should cover all aspects.
There are typically three reports:
- Financial statements;
- Environmental reports;
- Social reports (which depend on the company).
However, there is a clear problem: the meaning of sustainability should be defined because, currently, due to the new global perspective, many papers include dimensions [59] such as perseverance, resilience, geolocate, and sharing their definition of corporate sustainability. There are clear proposals for sustainability accounting [60,61], but the problem lies in how to evaluate carbon, pollution, or greenhouse aspects of companies and how this evaluation should affect financial performance. A sustainability financial statement is a unique document and may include environmental and non-financial indicators, which should be analyzed by auditors based on clear legal rules outlined by authorities.
1.5. Climate Change within an Economic Point of View of Urban and Territorial Issues
Now, from my point of view, it is important to know the relationship between de-coupling between economic grow and pollution, and the greenhouse emissions [62]. When countries are increasing their wealth in terms of GDP and consequently in the welfare state where the service sector increases its participation in the economy, the emissions should reduce in the worldwide. However, the poorer countries that do not achieve a good performance in the economy, thus increase emissions worldwide. Therefore, one of the important targets that should improve the economy worldwide, including countries in South and Central America and Africa, is reducing de-coupling, which could improve living standards and reduce greenhouse emissions.
On the other hand, in the next 10 years the knowledge of businesses will have an important weight in the global economy to the detriment of the manufacturing sector, including the improvement of robotic processes and artificial intelligence. Furthermore, inside of this context, the circular economy [63] should have a fundamental paper. The 2030 agenda will promote a new framework in the global economy with Industry 4.0 and the new model of production and sustainable consumption since the resources are limited against the classical principles of economics. Climate change [64], the overexploitation of resources, and the deterioration of the ecosystem face the current challenge of needing a new an economic model. Everybody should follow the path of the circular economy; whether administrations, governments, international organizations, companies, or consumers and [65], were to birth a new economic and social model that is innovative and disruptive as an alternative to the current capitalism model. In this context, during the period of study [66], the monetary policy conducted by the European Central Bank allows an increase in GDP and positively impacts innovation, despite the low impact in the new sustainable economy and, consequently, the reduction in greenhouse gas emissions affecting the climate change.
Finally, it should be noted that the urban and territorial processes have an impact in the process of climate change [67], since the rapidly growing economy and the urban process have caused the environment to degrade and increased the worldwide temperature; the complexity lies in the fact that, in addition to wide variations across settlements (energy resources needed for the dependence and increase in the level of efficiency on the built environment) and different characterizations of urbanization (concentration of economy activities, expansion of urban spaces to previously rural land and the pace of urbanization).
Therefore, according to ref. [68], the organization, as a council, of regions and governments should focus on the policymakers that adopt strategies that are economy friendly with an emphasis on the development of renewables energies, with the circular economy process as an environmental innovation.
2. Materials and Methods
2.1. Study Area
This research focused on European Union countries including England, using data from the period of 2010 to 2019, representing 448.8 million citizens, covering 4 million square kilometers, and constituting 14.8% of the global economy [69]. From 2010 to 2019, the European Union economy increased consistently, with labor markets reaching historic highs and unemployment rates decreasing to 6.3%, the lowest level since the turn of the century.
In 2019, the European Commission launched a climate policy—the European Green Deal—along with necessary financing, aiming to achieve carbon neutrality by 2050. The policy seeks to induce innovation in low-emission carbon technologies because in 2019 Europe released 3.752 million tons of greenhouse gases. Therefore, the 2010 to 2019 period is representative and stable because it is unaffected by the COVID-19 crisis and the Ukrainian war. Consequently, I will analyze the relationship between greenhouse gas emissions and economic growth during this period.
2.2. Data Sources
For analysis purposes, I will examine 12 types of variables [70,71,72,73]:
- Countries: European Union countries plus the United Kingdom (28 items);
- Sectors: Agriculture, energy, industrial processes, and product use, use and land use change, forestry, and waste management (4 items);
- Components: Greenhouse gases (CO2, N2O in CO2 equivalents, CH4 in CO2 equivalents, HFCs in CO2 equivalents, PFC in CO2 equivalents, SF6 in CO2 equivalents, and NF3 in CO2 equivalents): 7 items;
- Tons CO2 (Eurostat; 6.808 items);
- Human development index (HDI): A composite index measuring average achievement in three basic dimensions of human development—length of life and health, knowledge, and standard of living. See Technical Note 1 at Human Development Report 2020|Human Development Reports (undp.org) access 30 June 2023 for details of how the HDI is calculated (28 items; unit: numbers);
- Average annual HDI growth 2010–2019 (28 items; unit: numbers);
- Emissions of CO2 (28 items; unit: kilotons);
- Environmental protection (1) (270 items; unit: Euros);
- Environmental Tax (1) (270 items; unit; Euros);
- Gross domestic product (GDP) (1) (270 items; unit: Euros);
- National expenditure on the environment (1) (270 items; unit: Euros);
- Expenditure on environmental protection (1) (270 items; unit: Euros):
- (1)
- There are no figures for all variables for Lithuania; therefore, it has been excluded from the analysis.
2.3. Methods
2.3.1. Statistical Results
Regarding the statistical model, a regression model with interactive terms can be represented using the following formula:
where X represents the interaction between independent variables and Y is a dependent variable.
Y = β0 + β1 × 1 + β2 X2 + β3 X3 +…… + βn XN
In our case, applying SPPS program, I determined the relationship between the reduction in greenhouse emissions and the variables that can affect climate change more directly.
Combining this formula with linear regression between greenhouse emissions and various expenses leads to a reduction as follows:
Greenhouse emission in tons = β1 Production of environmental protection + β2 Environmental protection + β3 Environmental tax + β4 National expenditure protection + β5 GDP (βN: Constant)
Table 1.
Parameters of Linear Regression.
Table 2.
Descriptive statistics for selected variables.
Table 3.
Pearson Correlation.
Table 4.
Autoregressive integrated moving average model (0, 0, 6).
Table 5 shows the HDI variation from 2010 to 2019, while Figure 2 presents the relationship between greenhouse variation and HDI variation.
Table 5.
HDI variation from 2010 to 2019.
Figure 2.
Relationship between greenhouse emissions and HDI.
2.3.2. Neuronal Networks
I conducted the study using neuronal networks to allow an analysis of resolution, prediction, and a classification of problems [74]. This study has three layers, applying SPPS program, based on normal neuronal networks. The first layer has input neurons (in our model these will be represented as factors of countries and sectors, and the covariables are the years from 2010 to 2019) for sending data through synapses to the second layer neurons, and then through synapses to the third layer of neuron output (in our model will be greenhouse emissions, production value price, and value added as a cost factor). Moreover, I utilize multilayer perceptron’s as a first approximation and use a hyperbolic tangent to take value arguments and transform them to the range (−1, 1) [75]:
Moreover, to ensure a correct interpretation, I use the radial basis function network [76] based on the Gaussian function because the multilayer perceptron has a limitation, and it may not extrapolate correctly:
The radial basis function network above considers the variables needed to define neuronal networks to evaluate the future reduction in greenhouse gas emissions in the studied countries. These variables are:
- European Union countries plus the United Kingdom (28 items);
- Sectors: Agriculture, energy, industrial processes and product use, land use and land use change, forestry, and waste management (4 items);
- CO2 emitted (data from Eurostat; 6.808 items; unit: tons);
- National expenditure (2) (270 items; unit: Euros);
- GDP (2) (270 items; unit: Euros);
- Value added at factor cost (2) (270 items; unit: millions of Euros);
- Production value at basic price (2) (270 items; unit: Euros).
- (1)
- There are no figures for all variables for Lithuania; therefore, it is excluded from the analysis.
In the Appendix A, it should include all variables about the neuronal study.
3. Discussion
3.1. Statistical Model
In this section, I analyze the figures and the statistical results. The model representing the relationship between greenhouse emissions and the other variables mentioned shows that if countries developed a sound environmental policy, including taxes, greenhouse gas emissions could decrease in the coming years. However, the question remains, in how many years can we expect to reduce greenhouse gas emissions? In Europe, there is a target for 2050, but will this target be achieved?
In the Regression model, I used moving averages and the standard R, R2, and the correct R2 to show a good figure, near to 90%, that there is a relationship between future greenhouse emissions and variables. Furthermore, the statistical changes in R2 show also the data fit of the regression model. Finally, the statistical changes in F confirm the hypothesis since the figure is higher by 2.5. The Pearson Correlation table shows a good correlation between all variables, with the figures around 0.9.
In the ARIMA model, based on my analysis, the predictor number is two, which means in two years, the root means square error (RMSE; 205.793) is correct, having compared it with the average (54.777). Furthermore, the medium absolute percentage error and medium average error confirm my findings.
The Bayesian information criterion (BIC), which estimates the likelihood of a model to predict, is slightly higher than expected, but the Ljung–Box Q, examines if the autocorrelations of the residuals is sufficient to confirm the idea of linear regression.
Additionally, Table 5 shows the HDI variation from 2010 to 2019, while Figure 2 presents the relationship between greenhouse emission variation and the HDI variation.
The emissions of greenhouse gases harm the wellbeing of citizens since it affects their health and increases health spending on OECD countries. Therefore, the HDI index has an un-negative impact. This correction would be 0.6 negative points in the average percentages of these countries and consequently in European Union.
As shown in Figure 2, there is no relationship between greenhouse emission reduction and the HDI. I believe the reason this is the case is that countries are focused on their welfare conditions. In my analysis, I found that the new member countries of the European Union (i.e., Latvia, Poland, Bulgaria, and Hungary) aim to increase the standard of living for their citizens to the same level as that of the old member countries. When the old member countries achieve a satisfactory level in their welfare programs, they increase expenditure on the environment and reduce greenhouse gas emissions. This idea is confirmed in the environment-related expenditures, which increased from 2010 to 2019 (in Germany, France, Portugal, and Sweden). On the other hand, some countries try to focus on both welfare and the environment (including the reduction in greenhouse gas emissions). They probably do this because their economies are not strong enough to support both aspects.
I can cite different studies about the relationship between greenhouse gas emissions and human wellbeing. When energy is used correctly, environmental wellbeing increases [77]. Additionally, ref. [78] mentioned the necessity of coupling urbanization with wellbeing and, finally, ref. [79] reached the same conclusions about the European Union.
From my perspective, the main problem is that the reduction in greenhouse gas emissions is slow. The European Union [80] will probably not achieve zero emissions by 2050, since the reduction in emissions from 2010 to 2019 was 0.13% and given that this was a decade that saw a high growth in the economy and was marked with a good performance by companies and citizen satisfaction. Furthermore, the rest of the world should be considered in addition to Europe. For instance, in China, Russia, and India, governments are focused on the daily lives of their citizens. Consequently, in international meetings about greenhouse gas emissions, only the European Union typically seeks to achieve favorable environmental outcomes.
3.2. Neuronal Networks
3.2.1. Multilayer Perceptron
Regarding the first approximation of neuronal networks, I will analyze three variables: greenhouse gas reduction by sector, value added at cost, and production value at a basic price. The factors are country, while the covariables are the years from 2010 to 2019, following a hyperbolic tangent. The total number of items is 1016, of which 928 items are valid (642 items (69.2%) are for training and 286 items (30.8%) are for testing) while 178 items are excluded.
The forecasted results of the model, based on training, are 95.4% of greenhouse gas emissions, 0% of production value at a basic price, and 52.8% of value added at cost, with a total global percentage of 82.7%. Concerning testing, the results are 95.2% of greenhouse gas emissions, 0% of production value at a basic price, and 27.1% of value added at cost, with a total global percentage of 80.8%.
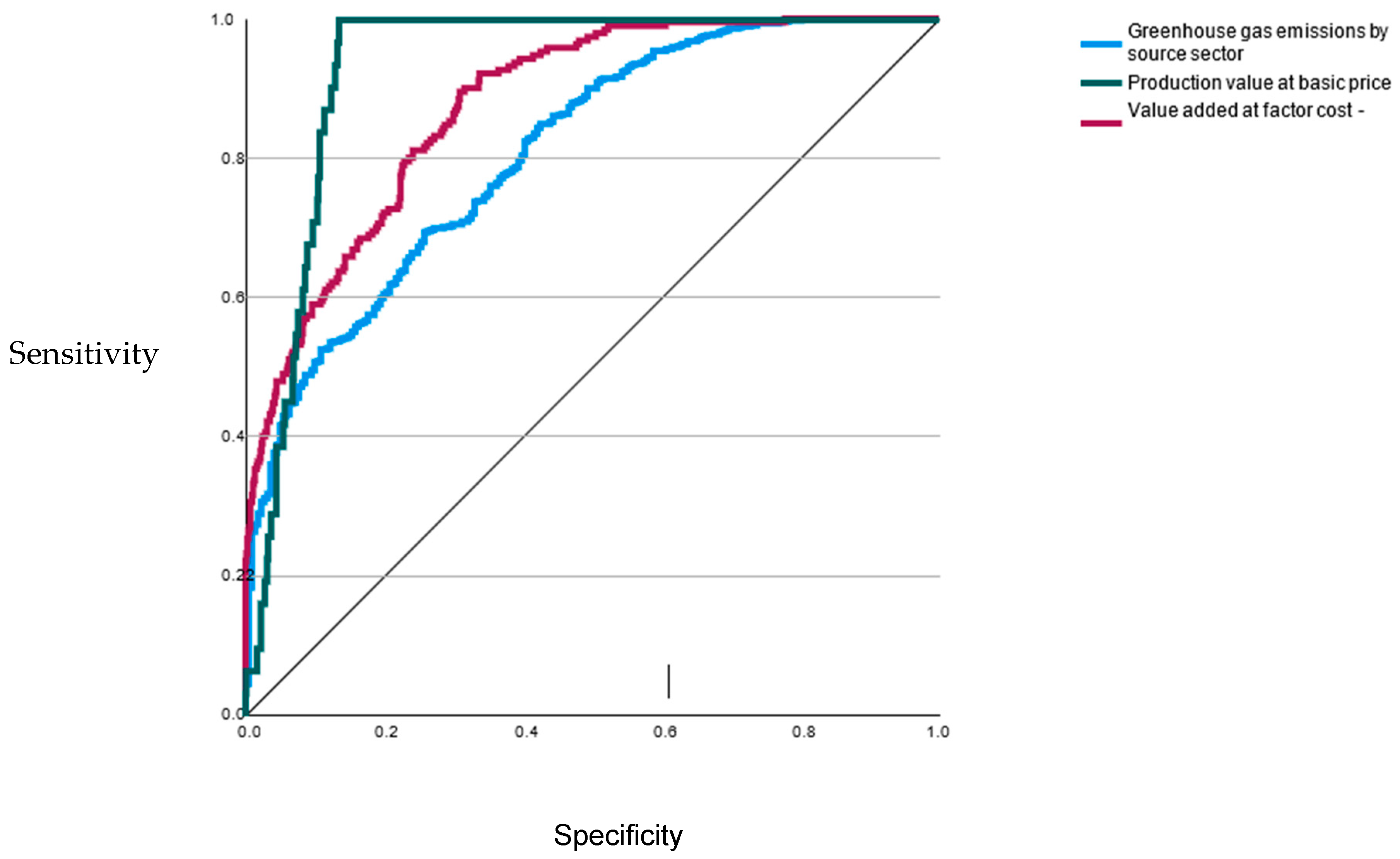
Finally, the receiver operating characteristic (ROC) (Figure 3) shows that each variable has an excellent test. For greenhouse gas emission reduction, the value is 0.808, the production value at the basic price is 0.931, and the value added at cost is 0.876. Therefore, the conclusion is clear: based on the 2010 to 2019 pattern, the reduction in greenhouse gases will be low in the coming years. The forecast for the other variables is that of an increase in activity in European countries. In other words, there will not be any significant changes in the succeeding years after 2019, which portends a negative outlook regarding greenhouse emissions.
Figure 3.
Receiver Operating Characteristic (ROC).
The most important variable is the sector (Table 6). As I have previously mentioned, the European Union has a unique approach to dealing with the relationship between greenhouse gas emissions and the economy.
Table 6.
Normalized importance.
3.2.2. Radial Basis Function
I analyzed many variables to test the hypothesis of the first model. These variables are GDP, greenhouse reduction by sector, national expenditure on environmental policy, value added at cost, and production value at a basic price. Country is the factor and the covariables are the years from 2010 to 2019, with a Gaussian function. The total items are 1016, of which 1002 are valid, with 696 (69.5%) items used for training and 306 (30%) of the items utilized for testing.
The results for training are as follows: GDP—4%, greenhouse emissions—96%, national expenditure—0%, value added at cost 0%, and production value—0%. The total percentages about the model are 46.4% for the GDP, 97.8% for greenhouse emissions reduction by sector, and 70.7% for the global percentage.
The results for testing are 2.9% for the GDP and 97.1% for greenhouse gas reduction by sector. The final percentages are 66.7% and 98.6%, respectively.
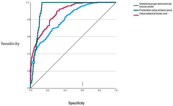
The last factor is the ROC (Figure 4), which shows a satisfactory result of 0.939 for the GDP. However, this factor is not enough for a greenhouse emission reduction with 0.695 and value added at cost with 0.669. Finally, regarding the production value, this result is poor, with a figure of 0.508, and the national expenditure has a figure of 0.449. Therefore, concerning greenhouse emission reduction, the conclusion is valid when additional variables are introduced; many factors in GDP contribute to greenhouse emissions.
Figure 4.
Receiver Operating Characteristic (ROC).
For the ROC, the diagonal line shows 45° correspondence to random chance, and in this case, the GDP and greenhouse emissions will show a consistent pattern in the future. There is a positive outlook from the economic point of view, since the citizens and the government will have enough money to continue following the current situation, including the welfare state. However, there is a negative outlook concerning the environment and climate change since the reduction of CO2 emissions will be of the same magnitude as it was in previous years. Furthermore, this reduction is not enough to reduce temperatures to the natural level.
Among the variables shown in Table 7, the most important is the year. All variables are important in analyzing the future forecast.
Table 7.
Normalized importance.
4. Conclusions
The following clear conclusions emerge from this study: First, science says that the climate is changing. Further, if humanity does not make important changes, in a few decades, the effects of climate change will be exacerbated. Secondly, the population is increasing; although, this increase is not uniform across the world. The European Union has not seen an increase in population, but it has witnessed a rise in life expectancy. This rise will strain the welfare state and increase the number of resources needed to maintain it. Moreover, the European Union must consider the current situation regarding the Russia–Ukrainian war and the consequences of the war on the energy crisis in Europe. Consequently, many countries in Europe will increase the consumption of products associated with greenhouse emissions, as the European Union uses fossil fuels, coal, oil, and natural gas to maintain the current economic growth and avoid a new crisis after COVID-19.
Additionally, there is a need to increase agricultural sustainability not only to ensure sufficient food production for the growing population but also to reduce CO2 emissions. Between 2006 and 2016, agriculture accounted for 21% of CO2 emissions. Consequently, there is a need to increase the number of innovations in agriculture to raise production while maintaining biodiversity. Moreover, it is necessary to reduce the number of biocides and chemical fertilizers and increase organic farming. Furthermore, to avoid problems associated with water consumption, irrigation should be reduced while the number of sustainable farms—not macro farms—should be increased. Furthermore, zero agricultural expansion should be permitted in high-carbon areas [81], and actions should be undertaken in the private and public sectors to incentivize climate-resilient agriculture and low CO2 emissions, and to improve mobility and rural reinvigoration.
To combat greenhouse emissions, rapid innovation is needed on sustainable energy sources such as solar energy [82], which utilizes borate, gallium, germanium, indium, and silicon minerals. Consequently, there is a need for the additional production of these minerals (apart from borate, which is mainly supplied by Turkey, while China is the major supplier of the other minerals; China supplies 80% of gallium, 80% of germanium, 48% of indium, and 66% of silicon). Regarding wind energy, China accounts for 86% of the global supply of light rare earth elements (LREEs). The European Union imports between 98% and 99% of LREEs.
Bioenergy can allow for a reduction in the greenhouse effect in climate change [83]. Bioenergy should be financed through taxes using the plastic tax model that the European Union utilizes. In the future, the European Commission should consider taxing fossil fuel energy and other energy sources that cause greenhouse gas emissions, to incentivize the innovations needed to reduce these emissions.
The United Nations estimates that 55% of the word population lives in urban settlements, and in 2030, that number will be 60%. Consequently, there will be a clear relationship between urbanization and climate change. However, there are initiatives to reduce this effect with new technologies. Following this approach, Singapore has improved different actions such as to increase the number of public transportations to 75% by 2030 and at least 20% of schools will be carbon neutral by 2030.
In other countries, like developing countries (Brazil, China, India, Indonesia, Mexico. South Africa), there has been developments in the mitigation of the building sector (increase in efficient material, transport, and waste) to limit and reduce the urban sprawl. One example regarding the increase in efficient of material is the GeoSilex [84], which converts CO2 into limestone upon contact; a metamorphosis that causes the tile to increase in weight, but not size. Lasting 12 to 15 years, these tiles, more than pavements, are sustainable choices that offer respite for a city.
In the European Union, the focus is clearly on the welfare state, since its citizens are voters, and the politicians have short term rather than long-term plans. I believe that everybody, and especially countries and governments, must have a clear policy on sustainability in all aspects of life. Therefore, the European Union should make clear the rules stipulating that national laws are required to enhance the number of innovations and reduce the greenhouse effect, even though such stipulations would have a major impact on the economy in the short term. Consequently, climate change should lead to the transformation of the economy at a fundamental level. This transformation will affect the systems through which today’s societies produce food, shelter, and energy [85,86]. Following this idea, the EU Parliament on 17 January 2023 signed off anti-greenwashing legislation that does not permit companies to make vague claims about the environmental impact of their products, unless they can be backed up with evidence.
There is another study [87] that confirms the idea to stimulate the investment of renewable energies and efficient energies to allow a reduction in greenhouse emission without a negative impact on the economy with efficiency in material, transport, and waste and a limitation on the urban sprawl. Additionally, [88] the social cost of the greenhouse emissions should reduce, since the social discount is increasing for citizens of the world, with the implication of a healthy cost of the welfare state. Obviously, the impact of the cost in the economy will be important; Black Rock [89] estimate that the investment will cost $500 million in clean energy developing of recurrent energy.
Following this approach [90], other concepts should be considered that affect greenhouse emission, like the ecological footprint, which is considered another important concept in the literature, as well as the environment variables, like renewables energy consumption, energy-related tax revenue, and energy productivity, that show a good relationship of cause–effect. Therefore, investments, expenses, or taxes related to the environment allow a reduction in climate change and an improvement of the health of citizens.
On the other hand [91] exists the necessity that the economic output must implement sustainable urban cities and change the energies based in fossils sources to renewables energy, considering the new approach for the economy with more focus in the services industry than that in the primary activities.
Finally, the academic community and researchers must provide clear guidelines and rules for achieving sustainability. These guidelines and rules should have clear vectors, allowing everybody to use the same structure to prevent publicity that has no tangible results for society. Based on this approach, the new IFRS S1 and IFRS S2 accounting guidelines will be implemented on 1 January 2024. These guidelines will delineate the relationship between sustainability and financial information. Capturing the impact of CO2 emissions in financial reporting can reduce the cost of CO2 emissions and lead to a reduction in inefficiencies through the investment of technologies to improve the return on assets and enhance the operating businesses improving the supply chain and the value chain of companies. Based on this approach, the European Union prepared new legislation in 2023, about sustainable financial markets based on environmental, social, and governance criteria to allow for the provision of additional information and facilitate informed decisions needed to reduce greenhouse emissions. Additionally, in 2023, the Doha Conference reached an agreement to eliminate fossil fuels by 2050 and decided to renew agreements of commitments between with developing countries and the industrialized countries, including private sector, governments, and civil society.
Funding
This research received no external funding.
Institutional Review Board Statement
Not applicable.
Informed Consent Statement
Not applicable.
Data Availability Statement
This study did not report any data.
Conflicts of Interest
The author declares that they have no known competing financial interests or personal relationships that could have appeared to influence the work reported in this paper.
Appendix A
Table A1.
Greenhouse emission variation by country from 2010 to 2019.
Table A1.
Greenhouse emission variation by country from 2010 to 2019.
| Country | CO2 | V1 | Country | CO2 | V1 |
|---|---|---|---|---|---|
| Austria | −0.0700 | −0.0430 | Italy | −0.2200 | 0.1696 |
| Belgium | −0.1300 | −0.1198 | Latvia | −0.1100 | 0.0037 |
| Bulgaria | −0.1300 | −0.0187 | Lithuania | −0.0700 | 0.0098 |
| Croatia | −0.1500 | −0.1558 | Luxembourg | −0.1400 | 0.1232 |
| Cyprus | −0.0900 | −0.0483 | Malta | −0.3600 | 0.2168 |
| Czechia | −0.1400 | −0.1147 | the Netherlands | −0.1400 | 0.1367 |
| Denmark | −0.3800 | −0.2503 | Poland | −0.0600 | 0.0535 |
| Estonia | −0.4600 | −0.2672 | Portugal | −0.1200 | 0.0550 |
| Finland | −0.3500 | −0.2642 | Romania | −0.0500 | 0.0330 |
| France | −0.1400 | −0.1326 | Slovakia | −0.1200 | 0.1236 |
| Germany | −0.1500 | −0.1315 | Slovenia | −0.1400 | 0.1154 |
| Greece | −0.3100 | −0.2526 | Spain | −0.1200 | 0.1306 |
| Hungary | −0.0300 | 0.0055 | Sweden | −0.2700 | 0.1873 |
| Ireland | −0.1100 | −0.0263 | UK | −0.2800 | 0.2324 |
CO2: Information downloaded from Tennessee Climate 2020. The data show the reduction in greenhouse emissions in percentages of 1 from 2010 to 2019. V1: Variation according to a calculation by Eurostat of greenhouse emission reduction from 2010 to 2019 in percentages of 1.
As shown, there are two figures about greenhouse emission reduction. CO2 value information is downloaded from the database of Tennessee Climate in 2020 and V1 is a workout conducted by the authors. I performed this comparison to verify if the trends and the figures are correct. There are a few differences between the database and the workout. However, the most important aspect is evaluating the negative tendency. Consequently, I used the workout I had conducted.
Table A2.
Greenhouse variation by sector from 2010 to 2019.
Table A2.
Greenhouse variation by sector from 2010 to 2019.
| Parameter | Figure |
|---|---|
| Agriculture | 0.0121 |
| Energy | −0.1760 |
| Industrial processes and product use | −0.0823 |
| Land use, land use change, and forestry (LULUCF) | −0.0180 |
| Waste management | −0.1894 |
Table A3.
Value added at factor cost variation from 2010 to 2019.
Table A3.
Value added at factor cost variation from 2010 to 2019.
| Country | Figure | Country | Figure |
|---|---|---|---|
| Austria | 1.97 | Italy | 0.46 |
| Belgium | 1.37 | Latvia | 5.15 |
| Bulgaria | 4.59 | Lithuania | 7.90 |
| Croatia | 1.23 | Luxembourg | 2.96 |
| Cyprus | −0.21 | Malta | 3.47 |
| Czechia | 1.38 | the Netherlands | 1.04 |
| Denmark | 1.96 | Poland | 3.59 |
| Estonia | 5.24 | Portugal | 0.50 |
| Finland | 1.55 | Romania | 3.05 |
| France | 1.10 | Slovakia | 1.23 |
| Germany | 2.53 | Slovenia | 1.94 |
| Greece | −1.83 | Spain | 1.03 |
| Hungary | 4.58 | Sweden | 1.58 |
| Ireland | 9.13 | UK | −7.00 |
Table A4.
Production value: basic price variation between 2010 and 2019.
Table A4.
Production value: basic price variation between 2010 and 2019.
| Country | Figure | Country | Figure |
|---|---|---|---|
| Austria | 0.19 | Italy | 0.27 |
| Belgium | 0.01 | Latvia | 1.35 |
| Bulgaria | 0.30 | Lithuania | 0.89 |
| Croatia | −0.17 | Luxembourg | 0.29 |
| Cyprus | 0.08 | Malta | 0.04 |
| Czechia | 0.81 | the Netherlands | 0.17 |
| Denmark | 0.17 | Poland | 0.17 |
| Estonia | 0.20 | Portugal | 0.21 |
| Finland | −0.06 | Romania | 0.33 |
| France | 0.14 | Slovakia | 0.44 |
| Germany | 0.31 | Slovenia | 0.39 |
| Greece | 0.04 | Spain | 0.25 |
| Hungary | 0.79 | Sweden | 0.03 |
| Ireland | 1.06 | UK | 0.48 |
Table A5.
GDP variation between 2010 and 2019.
Table A5.
GDP variation between 2010 and 2019.
| Country | Figure | Country | Figure |
|---|---|---|---|
| Austria | 0.34 | Italy | 0.12 |
| Belgium | 0.32 | Latvia | 0.71 |
| Bulgaria | 0.61 | Lithuania | 0.74 |
| Croatia | 0.22 | Luxembourg | 0.48 |
| Cyprus | 0.19 | Malta | 1.06 |
| Czechia | 0.43 | the Netherlands | 0.27 |
| Denmark | 0.28 | Poland | 0.47 |
| Estonia | 0.88 | Portugal | 0.19 |
| Finland | 0.27 | Romania | 0.78 |
| France | 0.22 | Slovakia | 0.37 |
| Germany | 0.35 | Slovenia | 0.33 |
| Greece | −0.18 | Spain | 0.16 |
| Hungary | 0.46 | Sweden | 0.27 |
| Ireland | 1.13 | UK | 0.35 |
Table A6.
National expenditure on the environment: variation between 2010 and 2019.
Table A6.
National expenditure on the environment: variation between 2010 and 2019.
| Country | Figure | Country | Figure |
|---|---|---|---|
| Austria | 0.22 | Italy | 0.14 |
| Belgium | 0.14 | Latvia | 0.64 |
| Bulgaria | −0.35 | Lithuania | −0.14 |
| Croatia | 0.19 | Luxembourg | 1.18 |
| Cyprus | −0.19 | Malta | 0.43 |
| Czechia | 0.31 | the Netherlands | 0.11 |
| Denmark | 0.12 | Poland | 0.42 |
| Estonia | 0.17 | Portugal | 0.18 |
| Finland | 0.04 | Romania | 0.02 |
| France | 0.14 | Slovakia | 0.04 |
| Germany | 0.39 | Slovenia | 0.13 |
| Greece | −0.15 | Spain | 0.18 |
| Hungary | −0.07 | Sweden | 0.36 |
| Ireland | −0.09 | UK | 0.41 |
References
- Scarborough, V.L. What ancient landscapes contribute to climate change: QUESTION: What does economic anthropology to the understanding of climate change? Econ. Anthropol. 2021, 8, 161–167. [Google Scholar] [CrossRef]
- Lhotka, O.; Kysely, J. Precipitation-Temperature relationships over Europe in CORDEX regional climate models. Int. J. Climatol. 2021, 42, 4868–4880. [Google Scholar] [CrossRef]
- Knez, S.; Snezana, S.; Pobbregar, I. Climate change in the Western Balkans and EU Green Deal: Status, mitigation, and challenges. Energy Sustain. Soc. 2021, 12, 1. [Google Scholar] [CrossRef]
- IPCC. Summary for Policymakers. In Global Warming of 1.5 °C. An IPCC Special Report on the Impacts of Global Warming of 1.5 °C above Pre-Industrial Levels and Related Global Greenhouse Gas Emission Pathways, in the Context of Strengthening the Global Response to the Threat of Climate Change, Sustainable Development, and Efforts to Eradicate Poverty; Masson-Delmotte, V.P., Zhai, H.-O., Pörtner, D., Roberts, J., Skea, P.R., Shukla, A., Pirani, W., Moufouma-Okia, C., Péan, R., Pidcock, S., et al., Eds.; Cambridge University Press: Cambridge, UK; New York, NY, USA, 2018; pp. 3–24. [Google Scholar] [CrossRef]
- Buis, A. The Raw Truth on Global Temperature Records. ASK NASA CLIMATE. (Published 25 March 2021). 2021. Available online: https://climate.nasa.gov/explore/ask-nasa-climate/3071/the-raw-truth-on-global-temperature-records/ (accessed on 22 October 2023).
- World Meteorological Organization. State of Climate Change; World Meteorological Organization: Geneva, Switzerland, 2021; ISBN 978-92-63-11290-3. [Google Scholar]
- Hansen, J.; Sato, M.; Hearty, P.; Ruedy, R.; Kelley, M.; Masson-Delmotte, V.; Russell, G.; Tselioudis, G.; Cao, J.; Rignot, E.; et al. Ice melt, sea level rise and superstorms: Evidence from paleoclimate data, climate modeling, and modern observations that 2 °C global warming could be dangerous. Atmos. Chem. Phys. 2016, 16, 3761–3812. [Google Scholar] [CrossRef]
- NOAA. National Centers for Environmental Information, Monthly Global Climate Report for Annual (2020). Published Online January 2021. Available online: https://www.ncei.noaa.gov/access/monitoring/monthly-report/global/202213 (accessed on 27 November 2023).
- IPCC. Summary for Policymakers. In Climate Change 2022: Impacts, Adaptation and Vulnerability. Contribution of Working Group II to the Sixth Assessment Report of the Intergovernmental Panel on Climate Change; Pörtner, H.-O., Roberts, D.C., Tignor, M., Poloczanska, E.S., Mintenbeck, K., Alegría, A., Craig, M., Langsdorf, S., Löschke, S., Möller, V., et al., Eds.; Cambridge University Press: Cambridge, UK; New York, NY, USA, 2022; pp. 3–33. [Google Scholar] [CrossRef]
- Cael, B.; Goodwin, P.A. Global Methane pledge versus carbon dioxide emission reduction. Environ. Res. Lett. 2023, 18, 104015. [Google Scholar] [CrossRef]
- Jones, M.W.; Peters, G.P.; Gasser, T.; Andrew, R.M.; Schwingshackl, C.; Gütschow, J.; Houghton, R.A.; Friedlingstein, P.; Pongratz, J.; Le Quéré, C. National contributions to climate change due to historical emissions of carbon dioxide, methane, and nitrous oxide since 1850. Sci. Data 2023, 10, 155. [Google Scholar] [CrossRef] [PubMed]
- Carnicer, J.; Alegria, A.; Giannakopoulos, C.; Di Giuseppe, F.; Karali, A.; Koutsias, N.; Lionello, P.; Parrington, M.; Vitolo, C. Global warning in shifting the relationships between fire weather and realized fire-included CO2 emissions in Europe. Sci. Rep. 2022, 12, 10365. [Google Scholar] [CrossRef]
- Watts, N.; Amann, M.; Ayeb-Karlsson, S.; Belesova, K.; Bouley, T.; Boykoff, M.; Byass, P.; Cai, W.; Campbell-Lendrum, D.; Chambers, J.; et al. The Lancet Countdown on health and climate change: From 25 years of inaction to a global transformation for public health. Lancet 2018, 391, 581–630. [Google Scholar] [CrossRef]
- Morris, J.; Reilly, J.S.; Sokolov, A.; Cox, K. Representing socio-economic uncertainty in human system models. Earth’s Future 2022, 10, e2021EF002239. [Google Scholar] [CrossRef]
- Takayabu, I.; Hibino, K.; Sasaki, H.; Shiogama, H.; Mori, N.; Shibutani, Y.; Takemi, T. Climate change effects on the worst-case storm surge: A case study of Typhoon Haiyan 10. Environ. Res. Lett. 2015, 10, 064011. [Google Scholar] [CrossRef]
- Patricola, C.M.; Wehner, M.F. Anthropogenic influences on major tropical cyclone events. Nature 2018, 563, 339–346. [Google Scholar] [CrossRef]
- United Nations Department of Economic and Social Affairs. Population Division. 2022. Available online: https://population.un.org/wpp/ (accessed on 10 June 2022).
- Dupuy, P.M.; Viñuales, J.E. International Environmental Law, 2nd ed.; Cambridge University Press: Cambridge, UK, 2018. [Google Scholar]
- Kalin, W.; Schrepfer, N. Protecting People Crossing Borders in the Context of Climate Change Normative Gaps and Possible Approaches. UNHCR (PPLA2012/01). February 2012. Available online: https://www.unhcr.org/4f33f1729.pdf (accessed on 25 June 2022).
- Eurostat. Sustainable Development in European Union. Monitoring Report on Progress towards the SDG2 in an EU Context, 2023 ed; Eurostat: Luxemburg, 2023. [Google Scholar]
- Steensland, A. Global Agricultural Productivity Report: Climate for Sustainable Agricultural Growth; Thompson, T., Ed.; Virginia Tech College of Agriculture and Life Sciences: Blacksburg, VA, USA, 2021. [Google Scholar]
- United States Department of Agriculture. World Agricultural Supply and Demand Estimates; United States Department of Agriculture: Washington, DC, USA, 2022; ISSN 1554-9089.
- Li, F.; Xiao, J.; Chen, J.; Ballantyne, A.; Jin, K.; Li, B.; Abraha, M.; John, R. Global water uses efficiency saturation due to increased vapor pressure deficit. Science 2023, 381, 672–677. [Google Scholar] [CrossRef]
- Bonetti, S.; Sutanudjaja, E.H.; Tafadzwanashe, M.; Slotow, R.; Dalin, C. Climate change impacts on water sustainability of South African crop production. Environ. Res. Lett. 2022, 17, 084017. [Google Scholar] [CrossRef]
- Dearing, J.A.; Wang, R.; Zhang, K.; Dyke, J.G.; Haberl, H.; Hossain, S.; Langdon, P.G.; Lenton, T.M.; Raworth, K.; Brown, S.; et al. Safe and just operating spaces for regional social-ecological systems. Glob. Environ. Chang. 2014, 28, 227–238. [Google Scholar] [CrossRef]
- United Nations. General Debate on the Secretary-General’s Report: A/64/701-Human Security. Available online: https://www.mofa.go.jp/mofaj/gaiko/oda/bunya/security/pdfs/hs_report_e.pdf (accessed on 8 May 2022).
- United States. Report on Effects of a Changing Climate to the Department of Defense. 2019. Available online: https://media.defense.gov/2019/Jan/29/2002084200/-1/-1/1/CLIMATE-CHANGE-REPORT-2019.PDF (accessed on 15 May 2022).
- United Kingdom. National Security Strategy and Strategic Defense and Security Review 2015. Available online: https://www.gov.uk/government/publications/national-security-strategy-and-strategic-defence-and-security-review-2015 (accessed on 15 May 2022).
- India. National Action Plan on Climate Change. 2009. Available online: https://static.pib.gov.in/WriteReadData/specificdocs/documents/2021/dec/doc202112101.pdf (accessed on 30 May 2022).
- China. EU-China Leaders’ Statement on Climate Change and Clean Energy. 2018. Available online: https://www.google.es/url?sa=t&rct=j&q=&esrc=s&source=web&cd=&ved=2ahUKEwjh88yryMKEAxXU (accessed on 30 May 2023).
- NATO. Environment & Security in an International; NATO: Brussels, Belgium, 1999. [Google Scholar]
- Krebel, L.; Van Lerven, F. Green Credit Guidance; New Economy Foundation: London, UK, 2022. [Google Scholar]
- European Central Bank. Climate Change and Monetary Policy in the Euro Area; European Central Bank: Frankfurt am Main, Germany, 2021. [Google Scholar]
- Köberle, A.C.; Vandyck, T.; Guivarch, C.; Macaluso, N.; Bosetti, V.; Gambhir, A.; Tavoni, M.; Rogelj, J. The cost of mitigation revisited. Nat. Clim. Chang. 2021, 11, 1035–1045. [Google Scholar] [CrossRef]
- Rennert, K.; Errickson, F.; Prest, B.C.; Rennels, L.; Newell, R.G.; Pizer, W.; Kingdon, C.; Wingenroth, J.; Cooke, R.; Parthum, B.; et al. Comprehensive evidence implies a higher social cost of CO2. Nature 2022, 610, 687–692. [Google Scholar] [CrossRef] [PubMed]
- Ika, S.R.; Okfitasari, A.; Widagdo, A.K. Factors influencing carbon emissions disclosures in high profile companies: Some Indonesian evidence. IOP Conf. Ser. Earth Environ. Sci. 2022, 1016, 012043. [Google Scholar] [CrossRef]
- Wagner, G.; Weitzman, M.L. Climate Shock. In The Economic Consequences of a Hatter Planet; Princeton University: Princeton, NJ, USA, 2015. [Google Scholar]
- Scott, D.F.; Martin, J.D.; Petty, J.W.; Keown, A.J. Basic Financial Management, 8th ed.; Pearson College Division: Prentice Hall, NJ, USA, 1999. [Google Scholar]
- Walmsley, J. International Money and Foreign Exchange Markets; John Wiley & Sons: Chichester, UK, 1996. [Google Scholar]
- Aven, T. Risk Analysis and Management. Basic Concepts and Principles. Reliability & Risk Analysis: Theory & Applications. 2009. Available online: https://api.semanticscholar.org/CorpusID:111805455 (accessed on 15 April 2022).
- Kunreuther, H. Risk analysis and risk management in an uncertain world. Risk Anal. 2022, 22, 655–664. [Google Scholar] [CrossRef] [PubMed]
- Emery, D.R.; Finnerty, D. Administración Financiera Corporativa; Pearson Educación: Mexico D.F., Mexico, 2000. [Google Scholar]
- Bromiley, P.; McShanem, M.; Nair, A.; Rustambekov, E. Enterprise risk management: Review—Critique, and research directions. Long Range Plan. 2015, 48, 271. [Google Scholar] [CrossRef]
- Allianz Global Corporate. Allianz Risk Barometer: Top Business Risks 2022, 1st ed.; Allianz Global Corporate: Munich, Germany, 2022; pp. 1–29. [Google Scholar]
- World Economic Forum. The Global Risk Report 2021. The Report and an Interactive Data Platform. 2021. ISBN 978-2-940631-24-7. Available online: http://wef.ch/risks2021 (accessed on 25 September 2022).
- Taskforce of Climate-Related Financial Disclosures: Task Force on Climate-Related Financial Disclosures|TCFD. 2023. Available online: https://www.fsb-tcfd.org/ (accessed on 30 November 2023).
- Ameli, N.; Kothari, S.; Grubb, M. Misplaced expectations from climate disclosure initiatives. Nat. Clim. Chang. 2021, 11, 917. [Google Scholar] [CrossRef]
- FTSE Russell ESG Wheel. ESG Scores and Data Model. FTSE Russell. 2023. Available online: https://www.ftserussell.com/financial-data/sustainability-and-esg-data/esg-ratings (accessed on 31 January 2024).
- Cambridge Dictionary Online. Available online: https://dictionary.cambridge.org/dictionary/english/risk (accessed on 10 February 2024).
- Griffin, P.; Jaffe, A.M. Challenges for a climate risk disclosure mandate. Nat. Energy 2022, 7, 2–4. [Google Scholar] [CrossRef]
- International Account. The Professional Journal of the Association of International Accounts (AIA). 2023. Available online: https://issuu.com/aiaworldwide/docs/ia131_full (accessed on 31 January 2024).
- Rockström, J.W.; Steffen, K.; Noone, Å.; Persson, F.S.; Chapin, E., III; Lambin, T.M.; Lenton, M.; Scheffer, C.; Folke, H.; Schellnhuber, B.; et al. Planetary boundaries: Exploring the safe operating space for humanity. Ecol. Soc. 2009, 14, 32. Available online: https://www.ecologyandsociety.org/vol14/iss2/art32 (accessed on 30 October 2023). [CrossRef]
- Ingolfur, B. Planetary boundaries, societal boundaries, and collective self-limitation: Moving beyond the post-Marxist comfort zone. Sustain. Sci. Pract. Policy 2022, 18, 576–589. [Google Scholar] [CrossRef]
- Amini, M.; Bienstock, C. Corporate sustainability: An integrative definition and framework to evaluate corporate practice and guide academic research. J. Clean. Prod. 2014, 76, 12–19. [Google Scholar] [CrossRef]
- Pazienza, M.; Martin, D.J.; Schoenmaker, D. Clarifying the concept of corporate sustainability and providing convergence for its definition. Sustainability 2022, 14, 7838. [Google Scholar] [CrossRef]
- Pratima, B.; DesJardine, M.R. Business sustainability: It is about time. Strateg. Organ. 2014, 12, 70–78. [Google Scholar] [CrossRef]
- Özdarak, E.; Akarçay, Ç. Is environmental, social, and governance (ESG) reporting financially useful? Evidence from Turkey. J. Res. Bus. 2022, 7, 261–280. [Google Scholar] [CrossRef]
- Trond, O.T.; White, J.M. Navigating an Orthodox conversion: Community, environment, and religion on the Island of Ruhnu, 1866–1867. Scand. J. Hist. 2021, 46, 642–664. [Google Scholar] [CrossRef]
- Kantabutra, S.; Ketprapakorn, N. Toward a theory of corporate sustainability: A theoretical integration and exploration. J. Clean. Prod. 2020, 270, 122292. [Google Scholar] [CrossRef]
- Gil-Marín, M.; Vega-Muñoz, A.; Contreras-Barraza, N.; Salazar-Sepúlveda, G.; Vera-Ruiz, S.; Losada, A.V. Sustainability accounting studies: A meta synthesis. Sustainability 2022, 14, 9533. [Google Scholar] [CrossRef]
- Ascani, I.; Ciccola, R.; Chiucchi, M.S.A. Structured literature review about the role of management accountants in sustainability accounting and reporting. Sustainability 2021, 13, 2357. [Google Scholar] [CrossRef]
- The Economist. Economic Growth No Longer Requires Rising Emissions. 2022. Available online: https://www.economist.com/leaders/2022/11/10/economic-growth-no-longer-requires-rising-emissions (accessed on 30 November 2023).
- Dantas, T.E.T.; E. D. de-Souza; Destro, I.R.; Hammes, G.; Rodriguez, C.M.T.; Soares, S.R. How the combination of Circular Economy and Industry 4.0 can contribute towards achieving the Sustainable Development Goals. Sustain. Prod. Consum. 2021, 26, 213–227. [Google Scholar] [CrossRef]
- Ignacio, B.H. Economia Circular. In Un Nuevo Modelo de Producción y Consumo Sostenible; Editorial Tébar Flores S.L.: Madrid, Spain, 2018. [Google Scholar]
- Kate, R. Doughnut Economy. In Seven Ways to Think Like a 21st-Century Economist; Random House Books: London, UK, 2018. [Google Scholar]
- Ma, Y.; Zimmermann, K. Monetary Policy and Innovation; Technical Report; National Bureau of Economic Research: Cambridge, MA, USA, 2023. [CrossRef]
- Chen, F.; Liu, A.; Lu, X.; Zhe, R.; Tong, J.; Akram, R. Evaluation of the Effects of Urbanization on Carbon Emissions: The Transformative Role of Government Effectiveness. Front. Energy Res. 2022, 10, 848800. [Google Scholar] [CrossRef]
- Khan, Z.; Ali, S.; Umar, M.; Kirikkaleli, D.; Jiao, Z. Consumption-based carbon emissions and international trade in G7 countries: The role of environmental innovation and renewable energy. Sci. Total Environ. 2020, 730, 138945. [Google Scholar] [CrossRef] [PubMed]
- European Commission; Directorate-General for Communication. La UE en 2019—Lo más Destacado; Publications Office of the European Union: Luxembourg, 2022; Available online: https://data.europa.eu/doi/10.2775/341805 (accessed on 15 November 2023).
- Eurostat Database. “Emission of Greenhouse Gases and Air Pollutants” Database—Eurostat. Consultant 15 June 2022. 2022. Available online: https://european-union.europa.eu/index_en (accessed on 25 May 2023).
- United Nations. “Human Development Index”. Human Development Index Human Development Reports. Consultant 15 June 2022. 2022. Available online: https://www.undp.org/ (accessed on 30 May 2023).
- Climate Watch. GHC Emissions. Washington DC. World Resources Institute. Consultant 20 June 2022. 2020. Available online: https://www.climatewatchdata.org/ghg-emissions (accessed on 10 June 2023).
- National Centers for Environment Information (NCEI). Annual 2020 Global Climate Report. National Centers for Environmental Information (NCEI). 2020. Available online: https://www.noaa.gov/ (accessed on 15 June 2023).
- Nadeem, M.; Siddique, I.; Riaz, Z.; Makhdoum, B.M.; Zulqarnain, R.M.; Sallah, M. Numerical study of unsteady tangent hyperbolic hybrid nanofluid over an exponentially stretching surface. Sci. Rep. 2023, 13, 15551. [Google Scholar] [CrossRef] [PubMed]
- Swarup, C.S. Coefficient bounds for a new subclass of q-starlike functions associated with q-analogue of the hyperbolic tangent function. Symmetry 2023, 15, 763. [Google Scholar] [CrossRef]
- Huang, J.; Ling, S.; Wu, X.; Deng, R. GIS-based comparative study of the Bayesian network, decision table, radial basis function network and stochastic gradient descent for the spatial prediction of landslide susceptibility. Land 2022, 11, 436. [Google Scholar] [CrossRef]
- LaBelle, M.C.; Tóth, G.; Szép, T. Not Fit for 55. Prioritizing Human Well-Being in Residential Energy Consumption in the European Union. Energies 2022, 15, 6687. [Google Scholar] [CrossRef]
- He, B.; Du, X.; Li, J.; Chen, D.A. Effectiveness-and Efficiency-Based Improved Approach for Measuring Ecological Well-Being Performance in China. Int. J. Environ. Res. Public Health 2024, 20, 24. [Google Scholar] [CrossRef]
- Ortega-Diaz, L.; Cárdenas-Rangel, J.; Osma-Pinto, G. Strategies for Predicting Energy Consumption in Buildings: A Review Technological. Medellin Tomo 2023, 26, e2650. [Google Scholar] [CrossRef]
- Majewska, A.; Gierałtowska, U. Impact of economic affluence on CO2 Emissions in CEE Countries. Energies 2022, 15, 322. [Google Scholar] [CrossRef]
- Tsai, C.-H. Supply chain financing scheme based on blockchain technology from a business application perspective. Ann. Oper. Res. 2023, 320, 441–472. [Google Scholar] [CrossRef]
- Global Panel on Agriculture and Food Systems for Nutrition (GPAFSN) (2020) Foresight 2.0 Future Food Systems. Available online: https://www.glopan.org/foresight2/ (accessed on 30 November 2023).
- Hristov, J.; Dominguez, I.P.; Fellmann, T.; Elleby, C. Economic impacts of climate change on EU agriculture will the farmers benefit from global climate change? Environ. Res. Lett. 2024, 19, 014027. [Google Scholar] [CrossRef]
- Felipe-Sesé, M.A.; Pérez-Villarejo, L.; Castro, E.; Eliche-Quesada, D. Wood Bottom Ash and GeoSilex: A By-Product of the Acetylene Industry as Alternative Raw Materials in Calcium Silicate Units. Materials 2020, 13, 489. [Google Scholar] [CrossRef]
- Carrara, S.; Alves Dias, P.; Plazzotta, B.; Pavel, C. Raw Materials Demand for Wind and Solar PV Technologies in the Transition towards a Decarbonized Energy System; EUR 30095 EN; Publications Office of the European Union: Luxembourg, 2020. [Google Scholar]
- REN21 (2023). Renewables 2023 Global Status Report Collection. Available online: https://globalabc.org/resources/publications/renewables-2023-global-status-report-collection-renewables-energy-demand (accessed on 8 February 2024).
- Purnamasari, B.D.; Nurachmah, A.E. The fair and acceptable implementation of carbon market in Indonesia. IOP Conf. Ser. Earth Environ. Sci. 2023, 1267, 012034. [Google Scholar] [CrossRef]
- Smith, C.J.; Al Khourdajie, A.; Yang, P.; Folini, D. Climate uncertainty impacts on optimal mitigation pathways and social cost of carbon. Environ. Res. Lett. 2023, 18, 094024. [Google Scholar] [CrossRef]
- ESG Today. Available online: https://www.esgtoday.com/blackrock-invests-500-million-in-clean-energy-developer-recurrent-energy/ (accessed on 12 February 2024).
- Tiwari, S.; Sharif, A.; Nuta, F.; Nuta, A.C.; Cutcu, I.; Eren, M.V. Sustainable pathways for attaining net-zero emissions in European emerging countries the nexus between renewable energy sources and ecological footprint. Environ. Sci. Pollut. Res. 2023, 30, 105999–106014. [Google Scholar] [CrossRef] [PubMed]
- Nuţă, F.M.; Sharafat, A.; Abban, O.J.; Khan, I.; Irfan, M.; Nuţă, A.C.; Dankyi, A.B.; Asghar, M. The relationship among urbanization, economic growth, renewable energy consumption, and environmental degradation: A comparative view of European and Asian emerging economies. Gondwana Res. 2024, 128, 325–339. [Google Scholar] [CrossRef]
Disclaimer/Publisher’s Note: The statements, opinions and data contained in all publications are solely those of the individual author(s) and contributor(s) and not of MDPI and/or the editor(s). MDPI and/or the editor(s) disclaim responsibility for any injury to people or property resulting from any ideas, methods, instructions or products referred to in the content. |
© 2024 by the author. Licensee MDPI, Basel, Switzerland. This article is an open access article distributed under the terms and conditions of the Creative Commons Attribution (CC BY) license (https://creativecommons.org/licenses/by/4.0/).



