The Use of Financial Tools in Small-Scale Irrigated Crops to Assess Socioeconomic Sustainability: A Case Study in Tocantins-Araguaia Basin, Brazil
Abstract
1. Introduction
2. Materials and Methods
2.1. Data Collection
2.2. Site Characterization
2.3. Financial Planning Tool
2.3.1. Financial Planning
2.3.2. Economic–Financial Analysis
- a.
- Net Present Value (NPV)
- b.
- Modified Internal Rate of Return (MIRR)
- c.
- Cost–Benefit Index (CBI)
- d.
- Discounted Payback
- e.
- Other indicators
2.3.3. Risk Analyses
3. Results
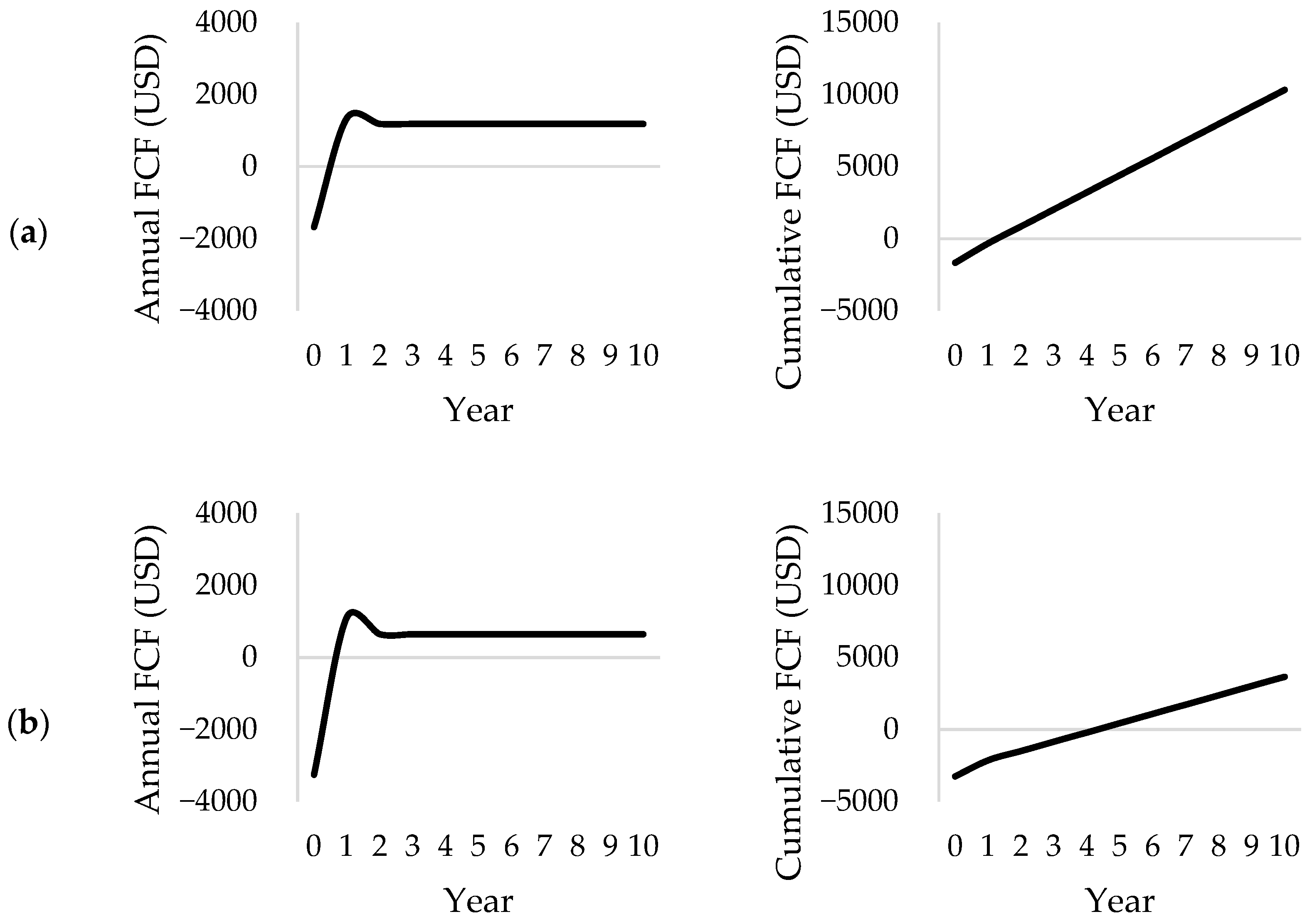
3.1. Economic–Financial Analysis
3.2. Risk Analyses
4. Discussion
5. Conclusions
Author Contributions
Funding
Informed Consent Statement
Data Availability Statement
Acknowledgments
Conflicts of Interest
References
- CNA. Confederação da Agricultura e Pecuária do Brasil. Institucional: Panorama do Agro. Available online: https://www.cnabrasil.org.br/cna/panorama-do-agro (accessed on 20 March 2022).
- Pellegrina, H.S. Trade, Productivity, and the Spatial Organization of Agriculture: Evidence from Brazil. J. Dev. Econ. 2022, 156, 102816. [Google Scholar] [CrossRef]
- CEPEA. PIB do Agronegócio Brasileiro. Available online: https://www.cepea.esalq.usp.br/br/pib-do-agronegocio-brasileiro.aspx (accessed on 21 March 2022).
- CNA. Confederação da Agricultura e Pecuária do Brasil. Valor Bruto da Produção—VBP 2021; CNA: Brasília, Brazil, 2022. [Google Scholar]
- Araujo, F.H.A.; Bejan, L.; Rosso, O.A.; Stosic, T. Permutation Entropy and Statistical Complexity Analysis of Brazilian Agricultural Commodities. Entropy 2019, 21, 1220. [Google Scholar] [CrossRef]
- Barros, G.S.; Castro, N.; Machado, G.; Almeida, F.M.; Almeida, A. Mercado de Trabalho do Agronegócio Brasileiro; CEPEA: Piracicaba, Brazil, 2023. [Google Scholar]
- Kühn, I.E.; Cotrim, M.F.; Gava, R.; Alvarez, R.C.F.; Oliveira, J.T.; Teodoro, P.E. Center Pivot Irrigation Management in Maize Hybrids and the Incidence of Stalk Rot. Rev. Bras. Eng. Agr. Ambient. 2020, 24, 840–846. [Google Scholar] [CrossRef]
- Molajou, A.; Afshar, A.; Khosravi, M.; Soleimanian, E.; Vahabzadeh, M.; Variani, H.A. A New Paradigm of Water, Food, and Energy Nexus. Environ. Sci. Pollut. Res. 2023, 30, 107487–107497. [Google Scholar] [CrossRef]
- Mohammedshum, A.A.; Mannaerts, C.M.; Maathuis, B.H.P.; Teka, D. Integrating Socioeconomic Biophysical and Institutional Factors for Evaluating Small-scale Irrigation Schemes in Northern Ethiopia. Sustainability 2023, 15, 1704. [Google Scholar] [CrossRef]
- Van Vliet, M.T.H.; Jones, E.R.; Flörke, M.; Franssen, W.H.P.; Hanasaki, N.; Wada, Y.; Yearsley, J.R. Global Water Scarcity Including Surface Water Quality and Expansions of Clean Water Technologies. Environ. Res. Lett. 2021, 16, 024020. [Google Scholar] [CrossRef]
- Ikhuoso, O.A.; Adegbeye, M.J.; Elghandour, M.M.Y.; Mellado, M.; Al-Dobaib, S.N.; Salem, A.Z.M. Climate Change and Agriculture: The Competition for Limited Resources Amidst Crop Farmers-Livestock Herding Conflict in Nigeria—A Review. J. Clean. Prod. 2020, 272, 123104. [Google Scholar] [CrossRef]
- Souza, E.J.; Cunha, F.F.; Baio, S.P.S.; Magalhães, F.F.; Silva, T.R.; Santos, O.F. Análise Econômica da Produção de Milho Doce Irrigado no Nordeste do Mato Grosso do Sul. Nucleus 2020, 17, 199–210. [Google Scholar] [CrossRef]
- Brunini, R.G.; Silva, A.B.; Paula, V.R.; Oliveira, J.C. Economic Analysis of Photovoltaic Energy in Irrigating Lettuce Crops. Bras. J. Agric. Sci. 2019, 14, 1–7. [Google Scholar] [CrossRef]
- Oliveira, J.T.; Cunha, F.F.; Oliveira, R.A.; Silva, A.G.; Bufon, V.B. Economic Analysis of Two Sprinkler Irrigation Systems for Sugarcane and Soybean Crops in Brazil. Int. Sugar J. 2020, 122, 844–850. [Google Scholar]
- Silva, E.L.; Ferreira, M.A.M.; Monteiro, D.A.A. Viabilidade Financeira da Produção de Feijão em Sistema Automatizado de Irrigação por Miniaspersão. Organ. Rurais Agroind. 2011, 13, 290–302. [Google Scholar]
- Viana, F.J.; Cunha, F.F.; Rocha, M.O.; Oliveira, J.T. Water Rationalization in Brazilian Irrigated Agriculture. Agron. Sci. Biotech. 2022, 8, 154. [Google Scholar] [CrossRef]
- ANA (Agência Nacional de Águas e Saneamento Básico—Brasil). Atlas Irrigação: Uso da Água na Agricultura Irrigada, 2nd ed.; Agência Nacional de Águas e Saneamento Básico: Brasilia, Brazil, 2021; ISBN 978-65-88101-10-0. [Google Scholar]
- Gabrielli, J.R.M.; Santoyo, A.H.; Martins, M.R.; Rezende, M.L. Avaliação da Sustentabilidade Socioeconômica e Ambiental em Propriedades Rurais de Minas Gerais a Partir do Método ISA. Rev. Econ. Sociol. Rural 2023, 61, e260860. [Google Scholar] [CrossRef]
- Elmulthum, N.A.; Zeineldin, F.I.; Al-Khateeb, S.A.; Al-Barrak, K.M.; Mohammed, T.A.; Sattar, M.N.; Mohmand, A.S. Water Use Efficiency and Economic Evaluation of the Hydroponic versus Conventional Cultivation Systems for Green Fodder Production in Saudi Arabia. Sustainability 2023, 15, 822. [Google Scholar] [CrossRef]
- Gava, R.; Campos, F.H.; Coelho, R.D.; Oliveira, J.T.; Barros, T.H.S. Economic Analysis of Irrigation in the Production System of Soybean and Second-season Maize in Sandy Soil Areas in Brazil. Irrig. Drain. 2023, 72, 213–223. [Google Scholar] [CrossRef]
- Hajjar, R.; Newton, P.; Adshead, D.; Bogaerts, M.; Rajpaul, V.A.M.; Pinto, L.F.G.; McDermott, C.L.; Milder, J.C.; Wollenberg, E.; Agrawal, A. Scaling up Sustainability in Commodity Agriculture: Transferability of Governance Mechanisms across the Coffee and Cattle Sectors in Brazil. J. Clean. Prod. 2019, 206, 124–132. [Google Scholar] [CrossRef]
- Vilpoux, O.F.; Gonzaga, J.F.; Pereira, M.W.G. Agrarian Reform in the Brazilian Midwest: Difficulties of Modernization via Conventional or Organic Production Systems. Land Use Policy 2021, 103, 105327. [Google Scholar] [CrossRef]
- Cardella, L.; Fairhurst, D.; Klasa, S. What Determines the Composition of a Firm’s Cash Reserves? J. Corp. Financ. 2021, 68, 101924. [Google Scholar] [CrossRef]
- Badini, O.S.; Hajjar, R.; Kozak, R. Critical Success Factors for Small and Medium Forest Enterprises: A Review. For. Policy Econ. 2018, 94, 35–45. [Google Scholar] [CrossRef]
- Nasereldin, Y.A.; Chandio, A.A.; Osewe, M.; Abdullah, M.; Ji, Y. The Credit Accessibility and Adoption of New Agricultural Inputs Nexus: Assessing the Role of Financial Institutions in Sudan. Sustainability 2023, 15, 1297. [Google Scholar] [CrossRef]
- Zada, M.; Yukun, C.; Zada, S. Effect of Financial Management Practices on the Development of Small-to-medium Size Forest Enterprises: Insight from Pakistan. GeoJournal 2019, 4, 1073–1088. [Google Scholar] [CrossRef]
- Machado Filho, C.P.; Caleman, S.M.Q.; Cunha, C.F. Governance in Agribusiness Organizations: Challenges in the Management of Rural Family Firms. Rev. Adm. 2017, 52, 81–92. [Google Scholar] [CrossRef][Green Version]
- Souza, D.N.; Cunha, F.F.; Baio, S.P.S.; Santos, O.F.; Souza, E.J.; Godoy, A.R. Características Agronômicas e Viabilidade Econômica de Híbridos de Tomateiro Irrigado e sob Sequeiro. Rev. Agrar. 2015, 8, 183–195. [Google Scholar]
- Leyva, D.; De la Torre, M.; Coronado, Y. Sustainability of the Agricultural Systems of Indigenous People in Hidalgo, Mexico. Sustainability 2021, 13, 8075. [Google Scholar] [CrossRef]
- Mendes, T.A.; Faria, R.K.N.S.; Malheiros, R. Análises de Tipos de Relevo e Solos Propícios à Ocorrência de Rhinodrilus motucu Righi em Municípios Goianos Segundo Relatos Populares. Cienc. Nat. 2016, 39, 59. [Google Scholar] [CrossRef]
- Bi, Y.P.; Zheng, C.L.; Dang, H.K.; Cao, C.Y.; Li, K.J.; Ma, J.Y.; Wang, H.; Zhang, J.P. Effects of Saline-Water Furrow Irrigation on the Stability of Soil Water-Stable Aggregates in Cotton Field. J. Appl. Ecol. 2022, 33, 1055–1062. [Google Scholar] [CrossRef]
- Choudhary, M.; Bijarnia, A.; Kumawat, R.; Choudhary, M.S. Vermicompost: Role of Improving Soil Health and Quality Production. Marumegh 2022, 7, 12–26. [Google Scholar]
- Gitman, L.J.; Zutter, C.J. Princípios de Administração Financeira, 14th ed.; Pearson Universidades: São Paulo, Brazil, 2017. [Google Scholar]
- Ross, S.A.; Westerfield, R.W.; Jaffe, J.; Lamb, R. Administração Financeira: Versão Brasileira de Corporate Finance, 10th ed.; AMGH: Porto Alegre, Brazil, 2015; ISBN 978-8580554311. [Google Scholar]
- Damodaran, A. Avaliação de Investimentos: Ferramentas e Técnicas para a Determinação do Valor de Qualquer Ativo, 2nd ed.; Quality Mark: Rio de Janeiro, Brazil, 2014. [Google Scholar]
- Damodaran, A. Damodaran on Valuation: Security Analysis for Investment and Corporate Finance, 2nd ed.; John Wiley & Sons: Hoboken, NJ, USA, 2006; ISBN 0471751219. [Google Scholar]
- Martelanc, R.; Pasin, R.; Pereira, F. Avaliação de Empresas: Um Guia para Fusões & Aquisições e Private Equity, 1st ed.; Pearson Prentice Hall: São Paulo, Brazil, 2010. [Google Scholar]
- BNDES Rural Credit in Brazil. Available online: https://www.bndes.gov.br/wps/portal/site/home/imprensa/noticias/conteudo/plano-safra-2023-2024 (accessed on 25 October 2023).
- Kierulff, H. MIRR: A Better Measure. Bus. Horiz. 2008, 51, 321–329. [Google Scholar] [CrossRef]
- Akram, M.M.; Asif, M.; Rasheed, S.; Rafique, M.A. Effect of drip and furrow irrigation on yield, water productivity and economics of potato (Solanum tuberosum L.) grown under semiarid conditions. Sci. Lett. 2020, 8, 48–54. [Google Scholar] [CrossRef]
- Bashir, A.U.; Muhammed, G.; Umaru, A.B. A Comparative Economic Analysis of Furrow, Sprinkler and Drip Irrigation Methods for Maize (Zea mays L.) Production in Maiduguri Semiarid Region of Borno State, Nigeria. Niger. J. Eng. Sci. Technol. Res. 2022, 8, 134–141. [Google Scholar]
- Borena, F.R.; Seyoum, T. Effect of Drip and Furrow Irrigation at Different Irrigation Levels on Water Use Efficiency and Economics of Maize (Zea mays L.) at Werer, Middle Awash, Ethiopia. Int. J. Agric. Sci. 2021, 6, 132–141. [Google Scholar]
- Sezen, S.M.; Yazar, A.; Şengül, H.; Baytorun, N.; Daşgan, Y.; Akyildiz, A.; Tekin, S.; Onder, D.; Ağçam, E.; Akhoundnejad, Y.; et al. Comparison of Drip- and Furrow-Irrigated Red Pepper Yield, Yield Components, Quality and Net Profit Generation. Irrig. Drain. 2015, 64, 546–556. [Google Scholar] [CrossRef]
- Zhang, T.; Zou, Y.; Kisekka, I.; Biswas, A.; Cai, H. Comparison of different irrigation methods to synergistically improve maize’s yield, water productivity and economic benefits in an arid irrigation area. Agric. Water Manag. 2021, 243, 106497. [Google Scholar] [CrossRef]
- Alcântara, N.B.; Machado Filho, C.A.P. O Processo de Sucessão no Controle de Empresas Rurais Brasileiras: Um Estudo Multicasos. Organ. Rurais Agroind. 2014, 16, 139–151. [Google Scholar]
- Blekking, J.; Gatti, N.; Waldman, K.; Evans, T.; Baylis, K. The Benefits and Limitations of Agricultural Input Cooperatives in Zambia. World Dev. 2021, 146, 105616. [Google Scholar] [CrossRef]
- Grasswitz, T.R. Integrated Pest Management (IPM) for Small-Scale Farms in Developed Economies: Challenges and Opportunities. Insects 2019, 10, 179. [Google Scholar] [CrossRef]
- Liu, T.; Wu, G. Does Agricultural Cooperative Membership Help Reduce the Overuse of Chemical Fertilizers and Pesticides? Evidence from Rural China. Environ. Sci. Pollut. Res. 2022, 29, 7972–7983. [Google Scholar] [CrossRef]
- Mang’ana, K.M.; Hokororo, S.J.; Ndyetabula, D.W. An Investigation of the Extent of Implementation of the Financial Management Practices of Agri-SMEs in Developing Countries: Evidence from Tanzania. Sustain. Technol. Entrep. 2024, 3, 100049. [Google Scholar] [CrossRef]
- Wolf, C.A.; Karszes, J. Financial Risk and Resiliency on US Dairy Farms: Measures, Thresholds, and Management Implications. J. Dairy Sci. 2023, 106, 3301–3311. [Google Scholar] [CrossRef]
- Chen, H.; Zhao, X. Green Financial Risk Management Based on Intelligence Service. J. Clean. Prod. 2022, 364, 132617. [Google Scholar] [CrossRef]




| Costs | Unit | PS-Furrow | PS-Drip |
|---|---|---|---|
| Planting costs (inputs + operations) | USD/cycle/ha | 1144.0 | 1144.0 |
| Inputs | USD/cycle/ha | 344.0 | 344.0 |
| Seeds | USD/cycle/ha | 100.0 | 100.0 |
| Limestone | USD/cycle/ha | 40.0 | 40.0 |
| Basic fertilizers | USD/cycle/ha | 120.0 | 120.0 |
| Cover fertilizers | USD/cycle/ha | 64.0 | 64.0 |
| Insecticide | USD/cycle/ha | 20.0 | 20.0 |
| Operations | USD/cycle/ha | 800.0 | 800.0 |
| Daily worker cost 1 | USD/day | 16.0 | 16.0 |
| Number of workers per cultivation cycle | nº workers | 2.0 | 2.0 |
| Okra cultural management | days/ha | 25.0 | 25.0 |
| Harvesting, selection, and internal transport costs | USD/cycle/ha | 2400.0 | 2400.0 |
| Days of operations | days/ha | 75.0 | 75.0 |
| Number of workers per harvest operations | nº workers | 2.0 | 2.0 |
| Irrigation investments | USD/ha | 600.0 | 2100.0 |
| Irrigation system | USD/ha | 500.0 | 1500.0 |
| Installation work | USD/ha | 100.0 | 600.0 |
| Annual maintenance costs (% of investment) | % | 30.0% | 30.0% |
| Annual maintenance costs | USD/year | 150.0 | 450.0 |
| Energy costs with irrigation | USD/cycle/ha | 52.50 | 142.50 |
| Monthly cost of electricity and water | USD/month | 35.0 | 95.0 |
| Acquisitions, general works, and improvements 2 | USD | 1000.0 | 1000.0 |
| Sales, general, and administrative expenses | |||
| Sales expenses | USD/sold box | 1.00 | 1.00 |
| Annual general and administrative expenses | % investments/year | 5.00% | 5.00% |
| Variables/Distribution | Unit | Minimum | Most Likely | Maximum |
|---|---|---|---|---|
| Triangular distribution | ||||
| Investment in irrigation (PS-furrow) | USD | 400.0 | 500.0 | 800.0 |
| Investment in irrigation (PS-drip) | USD | 1700.0 | 2100.0 | 2500.0 |
| Planting costs | USD | 900.0 | 1144.0 | 1400.0 |
| Acquisitions, works, and improvements | USD | 600.0 | 1000.0 | 1400.0 |
| Number of okra boxes harvested | Boxes | 38 | 40 | 42 |
| Harvesting costs | USD | 2000.0 | 2400.0 | 2800.0 |
| Energy costs (PS-furrow) | USD | 42.0 | 52.5 | 75.0 |
| Energy costs (PS-drip) | USD | 80.0 | 80.0 | 120.0 |
| Normal distribution | Mean | Standard deviation | ||
| Okra selling price | USD/box | 10.0 | 1.0 |
| Indicator | Unit | PS-Furrow | PS-Drip |
|---|---|---|---|
| NPV | USD | 5625.34 | 732.27 |
| MIRR | % p.a. | 27.4% | 12.3% |
| CBI | - | 1.07 | 1.01 |
| Discounted Payback | years | 1.6 | 7.4 |
| Average Cost of Production | USD/kg | 0.50 | 0.53 |
| Minimum selling price | USD/kg | 0.51 | 0.55 |
| Minimum selling price | USD/box | 9.20 | 9.84 |
| NPV (USD) | Production (Box/Week) | |||||||||||
|---|---|---|---|---|---|---|---|---|---|---|---|---|
| 5625 | 30 | 32 | 34 | 36 | 38 | 40 | 42 | 44 | 46 | 48 | 50 | |
| Okra sale price (USD/box) | 6.00 | −31,924 | −30,136 | −28,348 | −26,560 | −24,772 | −22,984 | −21,196 | −19,408 | −17,620 | −15,831 | −14,043 |
| 7.00 | −26,560 | −24,414 | −22,269 | −20,123 | −17,977 | −15,831 | −13,686 | −11,540 | −9394 | −7249 | −5103 | |
| 8.00 | −21,196 | −18,692 | −16,189 | −13,686 | −11,183 | −8679 | −6176 | −3673 | −1169 | 1334 | 3837 | |
| 9.00 | −15,831 | −12,971 | −10,110 | −7249 | −4388 | −1527 | 1334 | 4195 | 7056 | 9917 | 12,778 | |
| 10.00 | −10,467 | −7249 | −4030 | −812 | 2407 | 5625 | 8844 | 12,062 | 15,281 | 18,499 | 21,718 | |
| 11.00 | −5103 | −1527 | 2049 | 5625 | 9201 | 12,778 | 16,354 | 19,930 | 23,506 | 27,082 | 30,658 | |
| 12.00 | 261 | 4195 | 8129 | 12,062 | 15,996 | 19,930 | 23,864 | 27,797 | 31,731 | 35,665 | 39,599 | |
| 13.00 | 5625 | 9917 | 14,208 | 18,499 | 22,791 | 27,082 | 31,374 | 35,665 | 39,956 | 44,248 | 48,539 | |
| 14.00 | 10,990 | 15,639 | 20,288 | 24,936 | 29,585 | 34,234 | 38,883 | 43,532 | 48,181 | 52,830 | 57,479 | |
| NPV (USD) | Production (Box/Week) | |||||||||||
|---|---|---|---|---|---|---|---|---|---|---|---|---|
| 732 | 30 | 32 | 34 | 36 | 38 | 40 | 42 | 44 | 46 | 48 | 50 | |
| Okra sale price (USD/box) | 6.00 | −36,817 | −35,029 | −33,241 | −31,453 | −29,665 | −27,877 | −26,089 | −24,301 | −22,513 | −20,725 | −18,936 |
| 7.00 | −31,453 | −29,307 | −27,162 | −25,016 | −22,870 | −20,725 | −18,579 | −16,433 | −14,288 | −12,142 | −9996 | |
| 8.00 | −26,089 | −23,585 | −21,082 | −18,579 | −16,076 | −13,572 | −11,069 | −8566 | −6062 | −3559 | −1056 | |
| 9.00 | −20,725 | −17,864 | −15,003 | −12,142 | −9281 | −6420 | −3559 | −698 | 2163 | 5024 | 7885 | |
| 10.00 | −15,360 | −12,142 | −8923 | −5705 | −2486 | 732 | 3951 | 7169 | 10,388 | 13,606 | 16,825 | |
| 11.00 | −9996 | −6420 | −2844 | 732 | 4308 | 7885 | 11,461 | 15,037 | 18,613 | 22,189 | 25,765 | |
| 12.00 | −4632 | −698 | 3236 | 7169 | 11,103 | 15,037 | 18,971 | 22,904 | 26,838 | 30,772 | 34,706 | |
| 13.00 | 732 | 5024 | 9315 | 13,606 | 17,898 | 22,189 | 26,480 | 30,772 | 35,063 | 39,355 | 43,646 | |
| 14.00 | 6096 | 10,745 | 15,394 | 20,043 | 24,692 | 29,341 | 33,990 | 38,639 | 43,288 | 47,937 | 52,586 | |
| Indicator | Unit | PS-Furrow | PS-Drip |
|---|---|---|---|
| Mean NPV | USD | 8795 | 1499 |
| NPV standard deviation | USD | 7078 | 7089 |
| Coefficient of variation | % | 80.5% | 472.9% |
| Minimum NPV | USD | −16,730 | −23,208 |
| Maximum NPV | USD | 33,826 | 30,878 |
| P (NPV > 0) | % | 89% | 58% |
| P (NPV < 0) | % | 11% | 42% |
Disclaimer/Publisher’s Note: The statements, opinions and data contained in all publications are solely those of the individual author(s) and contributor(s) and not of MDPI and/or the editor(s). MDPI and/or the editor(s) disclaim responsibility for any injury to people or property resulting from any ideas, methods, instructions or products referred to in the content. |
© 2024 by the authors. Licensee MDPI, Basel, Switzerland. This article is an open access article distributed under the terms and conditions of the Creative Commons Attribution (CC BY) license (https://creativecommons.org/licenses/by/4.0/).
Share and Cite
Ribeiro, G.B.d.D.; De Loreto, M.d.D.S.; Miranda, E.L.; Bastos, R.C.; Aleman, C.C.; da Cunha, F.F.; Rodrigues, P.D. The Use of Financial Tools in Small-Scale Irrigated Crops to Assess Socioeconomic Sustainability: A Case Study in Tocantins-Araguaia Basin, Brazil. Sustainability 2024, 16, 1835. https://doi.org/10.3390/su16051835
Ribeiro GBdD, De Loreto MdDS, Miranda EL, Bastos RC, Aleman CC, da Cunha FF, Rodrigues PD. The Use of Financial Tools in Small-Scale Irrigated Crops to Assess Socioeconomic Sustainability: A Case Study in Tocantins-Araguaia Basin, Brazil. Sustainability. 2024; 16(5):1835. https://doi.org/10.3390/su16051835
Chicago/Turabian StyleRibeiro, Gabriel Browne de Deus, Maria das Dores Saraiva De Loreto, Edna Lopes Miranda, Rosária Cal Bastos, Catariny Cabral Aleman, Fernando França da Cunha, and Paola Delatorre Rodrigues. 2024. "The Use of Financial Tools in Small-Scale Irrigated Crops to Assess Socioeconomic Sustainability: A Case Study in Tocantins-Araguaia Basin, Brazil" Sustainability 16, no. 5: 1835. https://doi.org/10.3390/su16051835
APA StyleRibeiro, G. B. d. D., De Loreto, M. d. D. S., Miranda, E. L., Bastos, R. C., Aleman, C. C., da Cunha, F. F., & Rodrigues, P. D. (2024). The Use of Financial Tools in Small-Scale Irrigated Crops to Assess Socioeconomic Sustainability: A Case Study in Tocantins-Araguaia Basin, Brazil. Sustainability, 16(5), 1835. https://doi.org/10.3390/su16051835

