Abstract
Transnational cooperation in international corporations has become an important force in promoting the economic development of countries, and corruption in cross-cultural business has an important impact on the sustainable development of international cooperation. Based on the construction field, this study applies evolutionary game theory to the microlevel to investigate the corrupt behavior of international corporations from reputation perspectives, taking into account their reputation and cooperation behaviors. The findings indicate that the sensitivity of each party involved in the corruption behavior differs concerning international reputation, and a heightened reputation of the supervisory company can effectively curb the corrupt behavior of subcontracting. Additionally, the behavior of the general contracting company shows a sense of inertia, while the three main parties—general contracting company, supervisory company, and subcontracting company—exhibit multistage decision-making characteristics as their international reputation gradually improves. Through the lens of multinational enterprise cooperation and the development of the construction industry, this study aims to address the constraints faced by the construction industry in various countries and identify potential solutions. Furthermore, it provides insights into key issues related to international engineering corruption governance.
1. Introduction
In recent decades, multinational cooperation has become a key driver of economic development in various countries [,]. However, the issue of international corruption that often follows such projects has garnered significant attention from both academia and industry. Cross-cultural corruption has far-reaching consequences for sustainable development, particularly in projects involving multiple countries, stakeholders, and government officials, contractors, and suppliers [,,]. As international corporations continue to expand and scale up, the risk of engineering corruption also increases [], according to N. Ufere, J. Gaskin, S. Perelli and other scholars’ survey on 12 sub-Saharan African (SSA) countries and 5989 SSA companies. The study found that corruption among companies also exhibits an isomorphic effect and the corruption system in international engineering is not sound. Therefore, when corruption occurs in international engineering, the absence of laws exacerbates the manifestation of isomorphic effects, leading to a faster spread of corruption []. Research on international engineering corruption is critical for the sustainable development of multinational cooperation.
Notably, there are significant differences between countries in policies, cultures, reputations and corruption levels []. For instance, construction corruption is a common and accepted social phenomenon in Turkey, with the local government allowing “violators” to pay fines and avoid responsibilities []. In the case of Odebrecht Construction Company’s corruption, the payment of fines and reporting of public officials involved in the scandal helped the company avoid punishment and participate in subsequent construction activities []. Similarly, in Brazil, authorities would selectively adopt and conceal problems with multinational construction companies []. These examples highlight the challenges and complexity of addressing international corruption.
Research on international engineering corruption against a cross-cultural background remains relatively scarce, even as cooperation among countries increases. Therefore, it is essential to resolutely combat this issue, given its impact on international reputation and project corruption, which are closely intertwined and influence one another []. Firstly, international reputation is an important index for evaluating the overall reputation and reputation of a country or region in overseas project construction []. A good international project reputation can win more international cooperation opportunities and promote healthy overseas investment [,,]. Conversely, a bad international reputation can hinder international cooperation and overseas investment [,]. Engineering corruption undermines fair competition and market order, leading to deteriorating project quality, increased security risks, loss of economic benefits and other adverse consequences that damage the reputation of countries, regions, enterprises and individuals [,].
To maintain a good international engineering reputation, it is crucial to crack down on engineering corruption through measures such as strengthening supervision, standardizing market order and improving the moral quality of enterprises and individuals. This study aims to explore the relationship between international engineering reputation and engineering corruption, identify gaps in current research and propose future research directions and suggestions. Through in-depth research, we hope to provide a scientific basis and methodological guidance for addressing the problem of international engineering corruption and promoting sustainable multinational cooperation.
2. Literature Review
2.1. International Corruption
International engineering corruption is a complex issue influenced by a multicultural background, leading to fundamental changes in the corruption network’s mechanism. Social relations have transformed into international relations, legal systems have shifted to international systems, organizational structures have joined multinational bodies and diverse cultures are in play. Consequently, the study of international corruption has increasingly become the focal point for domestic and foreign scholars, particularly in examining the main actors in corruption, legal systems and political cultures as basic mechanisms of corruption. Research on the impact of international reputation on international project corruption primarily centers on three key aspects: the authority of country in corruption cases, the role of legal systems in curbing corruption, and the root causes of corruption.
Research on enhancing a country’s authority: J. N. Zhu and B. Wen introduced anti-corruption governance considerations across three dimensions: streamlining processes, depoliticization and ensuring equitable negotiation between requesting and requested countries []. K. Georgieva and R. Weeks-Brown also highlighted the IMF’s role in anti-corruption governance []. The focus of these scholars’ research primarily addresses international anti-corruption challenges by mitigating national practices, bolstering international reputation and enhancing decision-making authority.
Research on enhancing the role of legal systems: X. Y. Zhang, R. K. Goel, J. M. Jiang and other scholars have proposed that causes related to anti-corruption or transparency within regional trade agreements could significantly impact the fight against public sector corruption in member countries []. L. R. Helfer and C. Rose suggested that a transnational asset recovery mechanism could enhance the rule of law system concerning international corruption []. Furthermore, Y. M. Yan advocated for the inclusion of anti-corruption clauses in investment treaties to advance sustainable development in international investment policies and achieve a balanced interest equilibrium between investors and host countries []. Additionally, T. Ma, Z. Wang and J. Ding, exploring engineering ethics, analyzed the evolution of engineering corruption and presented a theoretical model for ethical governance, incorporating elements from Germany and legal governance and emphasizing systemic good governance. While the evolutionary concepts in this model are noteworthy, they lack a cross-cultural research perspective []. These scholars’ research primarily focuses on leveraging the authority of judicial discourse by establishing a robust international reputation to address international corruption.
Research on the root causes of corruption: R. Troisi, A. Nese, R. Blanco-Gregory and M. A. Giovanniello proposed a connection between innovation, corruption and sustainable development. This connection was analyzed using structural equation modeling (SEM) to provide various explanations for the formulation of strategies promoting sustainable development []. A. Bernini, L. Bossa vie, D. Garrote-Sanchez and other scholars have explored the correlation between corruption and immigration. Through empirical analysis, they discovered a negative correlation between the level of corruption in a country and the number of immigrants it attracts []. F. J. Sanchez-Vidal, M. C. Ramon-Llorens and M. La Rocca highlighted the relationship between corruption and entrepreneurship and empirically examined the links among entrepreneurship, corruption and economic development levels []. S. Capasso, R. K. Goel, J. W. Saunoris and other scholars investigated the connection between corruption and academic freedom. They studied how corruption affects academic freedom from various dimensions using data from 104 countries []. E. Z. N. Tadida evaluated the impact of the quality of an anti-corruption system’s reputation on the level of corruption, utilizing data from 117 countries []. R. Troisi and G. Alfano conducted a regression analysis on data from the Italian Supreme Court’s judgments to study the relationship between the distance of companies and corruption. The study found that proximity in terms of status and position can reduce the cost of corruption, but it is not the main cause of corrupt transactions []. These research efforts delve into the underlying factors contributing to corruption by examining its relationships with immigration, entrepreneurship, academic freedom and the reputation of anti-corruption systems.
Indeed, the studies mentioned above primarily focus on the relationship between law, discourse power and data in addressing corruption. However, there is a significant gap in research regarding transnational corporations and their specific corruption behaviors. To promote sustainable development within international engineering corporations, it is crucial to investigate the actual corruption behavior of cross-cultural subjects within these corporations. Such research could provide a more in-depth understanding of the unique challenges facing multinational companies and identify effective strategies for combating corruption in this context. It is essential to develop a comprehensive approach that considers the cultural, organizational and regulatory factors that contribute to corruption within these organizations. Only by examining the issue of corruption in multinational corporations comprehensively can we establish effective anti-corruption measures that genuinely promote sustainable development.
2.2. Game Theory
A study by S. Belhaiza, S. Charrad and R. M’Hallah, which constructed a game model to analyze bribe demands between employees and managers, is significant. However, the study’s limitations include its exclusive use of completely rational game theory without considering bounded rationality, as well as its focus on individual employees rather than enterprise-level research []. On the other hand, K. Kozlov and G. Ougolnitsky’s research on the corruption game among auction behaviors highlighted the role of large corruption income for auctioneers as a root cause of corruption [].
While these studies offer valuable insights into specific aspects of corruption behavior, current research on transnational corporations’ corruption behaviors remains limited. Therefore, there is a need for more comprehensive research that takes into account cultural, organizational and regulatory factors and examines the collective behavior of multinational organizations concerning corruption. Firstly, a positive international reputation can improve the credibility and reputation of a country or organization, which can help to reduce the incidence of international corruption to some extent. Secondly, a negative international reputation may lead to distrust and skepticism, thereby increasing the risk of international corruption []. The purpose of this study is to analyze this relationship in the framework of evolutionary games, taking into account the factor of limited rationality. From the perspective of international reputation, this study constructs a competitive game model between multiple subjects in international engineering to study the influence mechanism of international reputation in the development of international engineering corruption. Determining the mechanism of influence of international reputation on international corruption is of great significance for reducing the occurrence of international engineering corruption and promoting the sustainable development of multinational corporation cooperation.
3. Model Hypothesis and Construction
3.1. Model Assumptions
Hypothesis 1.
It is hypothesized that when the general contracting company and the supervisory company possess adequate management and supervision capabilities and the general contracting company adopts a strict management strategy, the supervisory company chooses a supervision strategy and the subcontracting company opts for a non-bribery strategy, both the supervisory company and the subcontracting company will benefit from policy incentives and gain positive international reputation. Conversely, if the supervisory company chooses a non-supervision strategy and the subcontracting company chooses a bribery strategy, it will result in the general contracting company incurring losses in terms of project quality and international reputation.
Hypothesis 2.
It is hypothesized that if the subcontracting company chooses a bribery strategy, the default target of bribery will be the supervisory company. However, if the supervisory company selects a supervision strategy, it will be considered as refusing to accept bribes. On the other hand, if the supervisor chooses not to monitor the strategy, it will be considered as accepting bribes.
Hypothesis 3.
It is hypothesized that when the Subcontracting company chooses a bribery strategy, the success of the bribery will only occur when the general contracting company adopts a loose management strategy and the supervisor opts for a non-supervision strategy. If any other combination of strategies is chosen, the corruption attempt will be considered a failure.
This study focuses on the game relationship between different companies in a particular project. For example, we assume a company’s international reputation is 10. Before the project, the company’s international reputation is known within the industry and is unrelated to G1, G2, or G3. When a company needs to complete a project and join it, the company will be assigned one of three identities. If the company is the general contracting company, in the three-party game environment of the project, G1 will equal 10. If the company is the supervisory company, in the three-party game environment of the project, G2 will equal 10. Similarly, if the company is the subcontracting company, in the three-party game environment of the project, G3 will equal 10.
3.2. Model Construction
The model parameter settings are shown in Table 1.

Table 1.
Parameter Settings.
3.2.1. General Contracting Company
The pure strategy set available for the general contracting company consists of two options: strict management and loose management. The probability of choosing the strict management strategy is denoted by x. If the general contracting company selects the strict management strategy, it will incur a cost, B1, associated with strict management, but also gain an income, G1, from international reputation. Conversely, if the general contracting company chooses the loose management strategy, it will not incur any strict management costs, but will still obtain the same international reputation income G1.
If the general contracting company selects the strict management strategy, it will award C1 and C2 to the supervisor for choosing the supervision strategy and the subcontracting company for selecting the non-bribery strategy, respectively. However, if the supervisor chooses the non-supervision strategy and the subcontracting company opts for the bribery strategy, they will be penalized with D1 and D2, respectively. The total contractor’s return on normal completion of the project is denoted by A1.
3.2.2. Supervisory Company
The pure strategy set available to the supervisory company comprises two options: one is to implement supervision and the other is to not implement it. The probability of selecting the supervision strategy is denoted by y. In the event that the supervisory company chooses to implement supervision, it incurs a supervision cost, B2, but also gains the benefit of a positive international reputation, denoted by G2. Alternatively, if it chooses not to implement supervision, it avoids incurring the cost of supervision, but does not gain any international reputation benefits. Assuming that the supervisor chooses the non-supervision strategy and the subcontracting company chooses to adopt the bribery strategy, the bribe revenue obtained by the supervisor is equal to the bribe cost E borne by the subcontracting company. The supervisor’s income in the absence of any irregularities is A2.
3.2.3. Subcontracting Company
The subcontracting company’s pure strategy set consists of two options: one is to engage in bribery and the other is to refrain from bribery. The probability of selecting the bribery strategy is denoted by z. If the subcontracting company chooses the bribery strategy and the bribe is successful, it will not incur any construction cost B3 but will bear the cost of the bribe E. However, if the bribery attempt fails, the subcontracting company will still have to pay the bribe cost E and additionally incur rectification cost E2. On the other hand, if the subcontracting company chooses the non-bribery strategy, it will earn income from a positive international reputation, denoted by G3, but will have to pay the construction cost B3. The subcontracting company’s return from normal completion of the project is represented by A3.
Based on the aforementioned assumptions and parameter settings, we can construct the evolutionary game income table for the general contracting unit, supervisory company and subcontracting company, as presented in Table 2 and Table 3.

Table 2.
Benefits of the three parties (when supervisory company chooses supervision).

Table 3.
Benefits of the three parties (when supervisory company chooses no supervision).
3.3. Replication Dynamic Equation Construction
The dynamic replication equation in evolutionary game theory has a significant physical meaning. This mathematical model provides a framework for understanding how the frequencies of different strategies change within a population over time. By using mathematical equations to describe the spread and evolution of strategies, it allows researchers to analyze and predict the dynamics of strategic behavior within a population. This is essential for gaining insights into the long-term outcomes and stability of different strategies in competitive or cooperative settings.
: This formula represents the rate of change of individuals choosing strategy i in the game population at time t. represents the payoff for choosing strategy i; represents the average payoff for the game population; and represents the proportion of individuals choosing strategy i within the population.
When , , choosing strategy i results in a higher payoff than the average payoff for the game population, leading to an increase in the number of individuals choosing strategy i at time t.
When , , choosing strategy i results in a lower payoff than the average payoff for the game population, leading to a decrease in the number of individuals choosing strategy i at time t.
3.3.1. Construction of General Contracting Company Game Model
Expected returns of strict management strategy and loose management strategy selected by the general contracting company and replicated dynamic equation:
The average expected return of the general contracting company’s strategy set is shown in Equation (3):
According to Equation (3), the replication dynamic equation of the general contracting company’s evolutionary game can be derived as Equation (4):
By bringing Equations (1) and (2) into Equation (4), the result of the replication dynamic equation of the general contracting company can be obtained as Equation (5):
3.3.2. Construction of Supervisory Company Game Model
The expected returns of supervision and non-supervision strategies are selected and the dynamic equation is replicated:
The average expected return of the supervisory company’s strategy set is shown in Equation (8):
According to Equation (8), the replication dynamic equation of the supervisory company’s evolutionary game can be derived as Equation (9):
By bringing Equations (6) and (7) into Equation (9), the replication dynamic equation of the supervisory company can be obtained as Equation (10):
3.3.3. Game Model Construction of Subcontracting Company
The expected returns of the subcontracting company’s choice of bribery strategy and non-bribery strategy are shown in Equations (11) and (12):
The average expected return of the subcontracting company’s strategy set is shown in Equation (13):
According to Equation (13), the replication dynamic equation of the subcontracting company evolutionary game can be derived as Equation (14):
By bringing Equations (11) and (12) into Equation (14), the result of the replication dynamic equation of the subcontracting company is Equation (15):
4. Model Solving
Combined with the special characteristics of the building industry, the behaviors of all three parties have a high impact on the quality of the project. In the case of subcontracting company choosing no corruption, in order to guarantee the quality of the project, the strict management of general contracting company and the supervision of the subcontracting company are also necessary factors for the whole project. As such, the equilibrium point (1,1,0) is the only solution in the context of the actual situation. The other equilibria make sense when the quality of the project is ignored, but this result is obviously subject to greater danger.
A stable solution in evolutionary game theory must possess two key properties. Firstly, it must be resilient to minor perturbations. Secondly, under bounded rationality, if a player’s strategy changes with uncertainty, the solution should have the ability to bring x back to a stable point. Mathematically, using the general contracting company’s model as an example, these two properties can be expressed as the replicator dynamic equation being equal to zero and the first derivative of the replicator dynamic equation being less than zero.
In other words, if the replicator dynamic equation is equal to zero, it means that the system has reached a steady state where no player has an incentive to switch strategies. On the other hand, if the first derivative of the replicator dynamic equation is less than zero, it indicates that the system will return to the steady state even if a player’s strategy changes with uncertainty.
and : These two properties are crucial for ensuring the stability of the outcome in evolutionary game theory. By analyzing these properties, we can determine whether a solution is stable or not and how it will respond to small changes in strategy.
4.1. Strategic Balance Point Analysis for General Contracting Company
The dynamic Equation (5) needs to be equal to 0 and the first derivative less than 0. By solving the replication dynamic equation, we can obtain four cases that meet the requirements:
The third and fourth equations in Formula (16) represent the intersection points of the same plane with the y-axis and z-axis, respectively. This plane is the third part of Formula (5).
According to the stable solution properties of evolutionary games, if x = 1 is at the stable point, it is required that y < y *, z > z *.
- In y * < y < 1 and z < z * < 1, the value of F (x) increases as y increases and z decreases. In the case of x = 0, if the first derivative of F (x) is less than zero, it means that the policy stability point selects the loose management strategy for the general contracting company.
- In y < y * < 1 and z * < z < 1, the value of F (x) decreases as y decreases and z increases. In the case of x = 1, the first derivative of F (x) is less than zero, indicating that the policy stability point selects the strict management strategy for the general contracting company.
In summary, as illustrated in Figure 1, the volume of A signifies the likelihood of the general contracting company selecting the strict management strategy, while the volume of B represents the likelihood of choosing the loose management strategy. Consequently, the probability of the general contracting company opting for the strict management strategy is positively associated with the probability of the subcontracting company adopting the bribery strategy and inversely correlated with the probability of the supervisory company embracing the supervision strategy.

Figure 1.
Phase diagram and sectional view of the evolution of the general contracting company’s strategy. (a) Phase diagram of the strategy evolution of the general contracting company. (b) Section diagram of the strategy evolution of the general contracting company.
Inference 1: The probability of the general contracting company selecting the strict management strategy is positively correlated with various factors. These factors include the penalty D1 imposed by the general contracting company on the supervisory company for choosing the non-supervision strategy, the penalty D2 imposed by the general contracting company on the subcontracting company for choosing the non-supervision strategy, and the international reputation income G1 gained by the general contracting company for choosing the strict management strategy.
Furthermore, there is a negative correlation between the management cost B1 associated with implementing the strict management strategy by the general contracting company, the reward C1 offered by the general contracting company for choosing the supervision strategy and the reward C2 offered by the general contracting company for choosing the non-bribery strategy by the subcontracting company.
4.2. Strategic Balance Point Analysis for Supervisory Company
The dynamic Equation (10) needs to be equal to 0 and its first derivative less than 0. By solving the replication dynamic equation, we can obtain four cases that meet the requirements:
The third and fourth equations in Formula (19) represent the intersection points of the same plane with the x-axis and z-axis, respectively. This plane is the third part of Formula (10).
According to the stable solution properties of evolutionary games, when y = 1 is at the stable point, it is required that x > x *, z < z *.
- 3.
- In x * < x < 1 and z < z * < 1, the value of F (y) increases as x increases and z decreases. In the case of y = 1, if the first derivative of F (y) is less than zero, it means that the policy stability point selects the supervision strategy for the supervisory company.
- 4.
- In x < x * < 1 and z * < z < 1, the value of F (y) decreases as x decreases and z increases. In the case of y = 0, if the first derivative of F (y) is less than zero, it means that the strategy stability point is for the supervisor to choose the non-supervision strategy.
To summarize, as depicted in Figure 2, the volume of A indicates the likelihood of the supervisory company opting for a non-supervisory strategy, while the volume of B represents the probability of selecting a supervisory strategy. Consequently, the probability of the supervisory company choosing a supervisory strategy is positively correlated with the probability of the general contracting company selecting a strict management strategy and negatively correlated with the probability of the subcontracting company choosing bribery.

Figure 2.
Phase diagram and section diagram of the strategy evolution of the supervisory company. (a) Phase diagram of the strategy evolution of the supervisory company. (b) Section diagram of the strategy evolution of the supervisory company.
Inference 2: The probability of the supervisory company selecting the supervision strategy is positively correlated with several factors. These factors include C1, which represents the penalty imposed by the contractor on the supervisory company for choosing the non-supervision strategy, and G2, which signifies the international reputation income gained by the supervisory company for choosing the supervision strategy.
Conversely, the probability of the supervisory company opting for the supervision strategy is negatively correlated with the bribery cost E incurred by the subcontracting company and the supervision cost B2 associated with the supervisory company choosing the supervision strategy.
4.3. Strategic Balance Point Analysis for Subcontracting Company
The dynamic Equation (15) needs to be equal to 0 and its first derivative less than 0. By solving the replication dynamic equation, we can obtain four cases that meet the requirements:
The third and fourth equations in Formula (22) represent the intersection points of the same plane with the x-axis and y-axis, respectively. This plane is the third part of Formula (10).
According to the stable solution properties of evolutionary games, if z = 0 is located at the stable point, it is required that x > x *, y > z *.
- 5.
- In x * < x < 1 and y * < y < 1, the value of F (z) increases as x increases and y increases. In the case of z = 0, if the first derivative of F (z) is less than zero, it means that the strategy stability point is for the subcontracting company to choose the non-bribery strategy.
- 6.
- In x < x * < 1 and y < y * < 1, the value of F (z) decreases as x decreases and y decreases. In the case of z = 1, if the first derivative of F (z) is less than zero, it means that the strategic stability point selects the bribery strategy for the subcontracting company.
To summarize, as depicted in Figure 3, the volume of A represents the likelihood of the subcontracting company opting for a non-bribery strategy, while the volume of B represents the probability of selecting a bribery strategy. Consequently, the probability of the subcontracting company choosing a bribery strategy is negatively correlated with the probability of the total contractor selecting a strict management strategy and the probability of the subcontracting company choosing bribery.

Figure 3.
Phase diagram and section diagram of subcontracting company strategy evolution. (a) Phase diagram of subcontracting company strategy evolution. (b) Section diagram of subcontracting company strategy evolution.
Inference 3: The probability of the subcontracting company choosing the bribery strategy is negatively correlated with various factors. These factors include the rectification cost associated with the subcontracting company’s failure in bribery, the international reputation income G2 gained by the subcontracting company for choosing not to bribe, the penalty D2 imposed by the general contracting company for the subcontracting company choosing to bribe and the reward C2 offered by the general contracting company for choosing not to bribe.
Furthermore, the probability of the subcontracting company selecting the bribery strategy is positively correlated with B3, which represents the construction cost when the subcontracting company does not engage in bribery.
4.4. Stability of Strategy Evolution
Based on Table 4 and the equilibrium point stability strategy of the evolutionary game, if the eigenvalues of all Jacobian matrices are negative, the equilibrium point represents a stable point, indicating strategic stability within the evolutionary game.

Table 4.
Stability analysis of equilibrium strategy points in evolutionary game.
Inference 4: When the three parties involved prioritize international reputation, denoted as G1 > B1 + C1 + C2, G2 > B2 and G3 > B3, the equilibrium point is (1,1,0). This equilibrium point, signifying strict management, supervision and a lack of bribery, stands as the sole evolutionary equilibrium point. This observation suggests that the project as a whole can establish a more favorable autonomous environment when overseas engineering groups place significant emphasis on corporate culture and employees exhibit a strong sense of patriotism and collective honor.
Inference 5: When E2 > B3, the equilibrium point must lie between (0,0,0), (0,1,0), (1,0,0) and (1,1,0). This implies that the subcontracting company can effectively deter the evolution of the bribery strategy. Consequently, in the case of large scale and complex international corporations such as bridge companies, the subcontracting company is often unwilling to choose bribery due to the potential risks and high-quality costs involved. On the other hand, in the case of low-tech and low-quality cost corporations, the general contracting company can increase the cost of corruption through punitive measures during quality supervision to discourage their choice of bribery strategies.
5. Simulation and Sensitivity Analysis
Based on the provided parameter values A1 = 30, B1 = 20, C1 = 10, C2 = 10, D1 = 10, D2 = 10, G1 = 50, A2 = 25, B2 = 20, G2 = 50, A3 = 30, B3 = 20, E = 10, E2 = 20, G3 = 50, F = 20, satisfying G1 > B1 + C1 + C2, G2 > B2, G3 > B3 and taking into account Inference 4, as illustrated in Figure 4, the evolutionary trend of the three party game converges towards the outcome of (1,1,0), representing strict management, supervision and no bribery. This outcome aligns with the conclusion drawn from Inference 4, thus validating the correctness of the theoretical research.

Figure 4.
Initial evolution strategy diagram.
5.1. Analysis of the Sensitivity of the Reputation of the General Contracting Company to Corruption
To analyze the impact of changes in international reputation parameters on the decision-making of the three parties, let us set G1 = 10, 30, 50. We will examine how the general contracting company’s international reputation influences the decision-making process.
As shown in Figure 5b, with the improvement in international reputation of the general contracting company: (1) when the general contracting company chooses a loose management style, it has a restraining effect on the convergence speed of the general contracting company; (2) when the general contracting company chooses strict management, it has a promoting effect on the convergence speed of the general contracting company. When the international reputation of the general contracting company is 10 and 30, the evolutionary stable strategy point is (0,1,0), indicating loose management, supervision and no bribery. However, when the international reputation is 50, the evolutionary stable strategy point shifts to (1,1,0), representing strict management, supervision and no bribery. This demonstrates that the level of self-identification or cultural confidence of the general contracting company, as well as its concern for international reputation, significantly influences decision-making and can even alter the direction of decisions.

Figure 5.
The reputation of changes in the international reputation of the general contracting company on the decision-making of the three parties. (a) The reputation of international reputation fluctuations of the general contracting company on the decision-making of the three parties. (b) The reputation of international reputation fluctuations of the general contracting company on the decision-making of the General Contracting Company.
Simultaneously, the general contracting company’s degree of concern for international reputation also has a substantial impact on the supervisory company and subcontracting company. As observed in Figure 5, an increase in G1 prompts the supervisory company to adopt a stricter management strategy more quickly. Similarly, the subcontracting company shortens the time required to reach stability with an increase in G1. Enhancing one’s own cultural identity has a profound influence on partners and can lead to the formation of cultural autonomy.
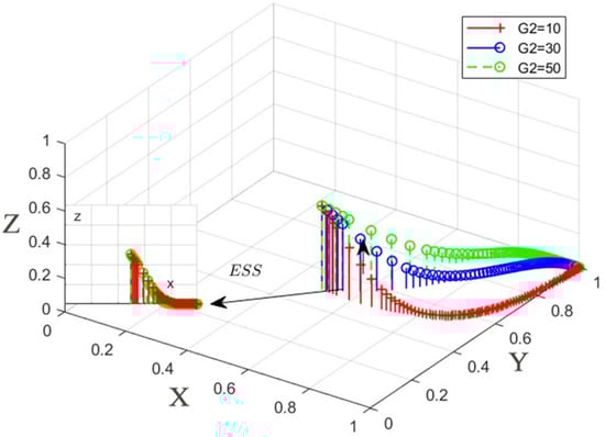
5.2. Analysis of the Sensitivity of the Reputation of the Supervisory Company to Corruption
As illustrated in Figure 6, when G2 = 10, 30 and 50, an increase in the supervisory company’s focus on its self-reputation leads to a quicker approach to strategic stability. This result verifies Inference 4. However, as the supervisory company begins to pay more attention to international reputation, the marginal income from the increase in international reputation will gradually decrease.

Figure 6.
The influence of fluctuations in the international reputation of the supervisory company on the decision-making of the three parties.
Furthermore, as the supervisory company pays more attention to its own international self-reputation, it prolongs the time for the general contracting company to adopt a strict management strategy. This excessive supervision may stimulate the inertia of the general contractor, making it less likely to choose the strict management strategy. Additionally, the international reputation of the Supervisory company has little influence on the bribery behavior of the subcontracting company. Thus, when selecting international corporations, we should choose a general contracting company with a high international reputation, while ensuring that the international reputation of the supervisory company is inferior to that of the general contractor. A supervisory company with a high international reputation may not be conducive to promoting the strict management strategy of the general contracting company and inhibiting the bribery strategy of the subcontracting company.
5.3. Analysis of the Sensitivity of the Reputation of the Subcontracting Company to Corruption
As depicted in Figure 7, when G3 = 10, 30, 50, an increase in the subcontracting company’s concern for their international reputation leads to a shortened evolution process, verifying Inference 4. However, as the subcontracting company continues to focus on their international reputation, the marginal income from the increase in international reputation will gradually decrease.

Figure 7.
The influence of international reputation fluctuations of the subcontracting company on the decision-making of the three parties. (a) The influence of international reputation fluctuations of the subcontracting company on the decision-making of the three parties. (b) The influence of international reputation fluctuations of the subcontracting company on the decision-making of the subcontracting company.
Furthermore, as shown in Figure 7, the influence of the subcontracting company’s international reputation increase is much less compared to the supervisory company. This implies that the subcontracting company’s international reputation has little impact on the bribery behavior of the general contracting company and it is more effective to focus on improving the international reputation of the general contracting company and the supervisory company.
6. Conclusions
Based on the context of international engineering, this study develops a game model involving the general contractor, supervisory company and subcontracting company to investigate the impact of international reputation on project corruption. Through sensitivity analysis, the study explores the sensitivity of international reputation. The simulation results reveal the following findings. (1) When the general contracting company possesses a high international reputation, it contributes to the overall cultural autonomy of the project. This effectively inhibits corruption and encourages the general contracting company to adopt strict management strategies. (2) If the supervisory company has a high international reputation, it hinders the general contracting company’s choice of strict supervision strategies. This stimulation of inertia in the general contracting company is detrimental to overall project management. Additionally, as the international reputation of the supervisory company increases, the marginal effect of their chosen supervision strategy gradually diminishes. (3) As the international reputation of the subcontracting company improves, it more effectively curbs corruption and prompts the subcontracting company to quickly adopt non-bribery strategies. (4) Higher construction costs accelerate the subcontracting company’s inclination towards bribery strategies. Conversely, higher rectification costs, bribery penalties and rewards for integrity facilitate corruption control.
This study examines the different impacts of international reputation in the context of the cooperation perspective of multinational corporations, and the results can provide some insights into the governance of international corrupt practices.
Firstly, it is crucial for international general contracting companies to prioritize their international reputation. By placing importance on their international reputation, these companies can help curb corruption within subcontracting companies and encourage supervisory companies to implement stricter supervision strategies. This in turn promotes the development of all project participants in a positive direction.
Secondly, actively guiding and rewarding honesty within subcontracting companies and supervisory companies in corruption and supervision can help reduce the initial probability of corruption. In cases where infrastructure construction projects have low costs, subcontracting companies may be inclined towards bribery due to the relatively low cost of engaging in corrupt practices. Therefore, increasing penalties for corruption within subcontracting companies is necessary. Additionally, imposing high rectification costs on subcontracting companies can effectively deter corruption. Furthermore, as subcontracting companies tend to prioritize their interests over project quality due to the limited impact of reputation factors, it is important to emphasize the significance of project quality.
Thirdly, it is important to recognize that a high international reputation of the supervisory company may lead to complacency and ineffective management by the general contracting company. In such situations, enhancing third-party supervision can be beneficial, as effective third-party supervision can assist the general contracting company in successfully completing the project and curbing bribery within subcontracting companies.
Fourthly, strengthening the dominant position of the general contracting company and considering the supervisory company as an auxiliary role in joint project management can yield maximum benefits. Strengthening the connection between the general contracting company and the supervisory company not only effectively curbs bribery but also enhances the reputation of the supervisory company through the excellent international reputation of the general contracting company.
Moreover, it is important to emphasize political learning in the training of management personnel within the general contracting company, supervisory company and subcontracting company. This helps strengthen legal awareness in all construction stages and decision-making processes while also considering the significance of international reputation, thereby ensuring the smooth progress of the project. Additionally, the adoption of advanced high-tech technology can reduce labor requirements, lower the management costs of the general contracting company and the supervisory company and decrease the probability of corruption. In summary, the research findings provide valuable recommendations for combating corruption in international engineering projects and promoting the sustainable development of multinational business cooperation.
7. Limitation and Future Work
The limitations of this study and future work are as follows. (1) Research based on actual case data: This study constructs a theoretical model and conducts theoretical research on the impact of international reputation on corruption in multinational companies by using data from actual cases. In future studies, analysis and research can be conducted by incorporating data from actual cases. (2) Quantification method for reputation parameters: This study provides a method for quantifying reputation parameters as a reference for future researchers. Reputation evaluation indicators can be obtained from neutral organizations such as Transparency International and all data can be normalized within the range of 0–1 by dividing the maximum value in the dataset. (3) Different reputations for companies in different roles: Companies have different capabilities in various business areas, which means that a single fixed reputation value cannot represent the company’s reputation in all roles. Reputable companies may perform poorly in roles where they are not proficient. Therefore, it is worth considering studying a company’s performance in different projects.
Author Contributions
Conception and methodology, X.H.; writing—editing and data curation, J.W.; experimentation and editing, A.T.; review, H.Z. All authors have read and agreed to the published version of the manuscript.
Funding
This research was funded by Natural Science Foundation of Xinjiang Uygur Autonomous (Grant No. 2023D01C188) and Tianchi Talent Program of Xinjiang Uygur Autonomous.
Institutional Review Board Statement
Not applicable.
Informed Consent Statement
Not applicable.
Data Availability Statement
Some or all data that support the findings of this study are available from the corresponding author upon reasonable request.
Conflicts of Interest
The authors declare no conflicts of interest.
References
- Li, C.G.; Wan, Y.K.; Xu, Z.C.; Fan, X.B.; Shuai, C.Y.; Yu, X.M.; Tan, Y.Y. Reputations and Pathways of the Belt and Road Initiative on Sustainable Development Goals of the Involved Countries. Sustain. Dev. 2023. [Google Scholar] [CrossRef]
- Wu, Y.; Wang, X.Y.; Hu, C. The reputation of China’s financing to Africa on bilateral trade intensity under the Belt and Road Initiative. Appl. Econ. 2023. [Google Scholar] [CrossRef]
- Yan, Y.M. Returning the Home State to the Global Anti-Corruption Campaign. J. Int. Disput. Settl. 2023, 14, 469–487. [Google Scholar] [CrossRef]
- Shi, J.X.; Li, F.H. Aligning the BRI with Sustainable Development: A Regulatory Framework and Its Implementation. J. World Trade 2023, 57, 933–956. [Google Scholar]
- Choi, S. Corruption Defenses in the International Investment Arbitration. Korean Corrupt. Stud. Rev. 2020, 25, 99–118. [Google Scholar] [CrossRef]
- Luo, M.; Deng, X.P.; Zhang, N. Understanding the Critical Inducers of International Contractors’ Corruption. KSCE J. Civ. Eng. 2023, 27, 3659–3673. [Google Scholar] [CrossRef]
- Ufere, N.; Gaskin, J.; Perelli, S.; Somers, A.; Boland, R. Why is bribery pervasive among firms in sub-Saharan African countries? Multi-industry empirical evidence of organizational isomorphism. J. Bus. Res. 2020, 108, 92–104. [Google Scholar] [CrossRef]
- Lang, B. China’s anti-graft campaign and international anti-corruption norms: Towards a “new international anti-corruption order”? Crime Law Soc. Change 2018, 70, 331–347. [Google Scholar] [CrossRef]
- Gokay, B.; Aybak, T. 2023 Elections in Turkey within Global Context: Right Wing Populism in the Era of Global Shift. J. Balk. Near East. Stud. 2023, 13. [Google Scholar] [CrossRef]
- Song, Y.H. The Cancer of Corruption in Latin America: The Odebrecht Case. Gest. Polit. Publica 2021, 30, 237–265. [Google Scholar] [CrossRef]
- Barboza, T.; Da Rocha, A. Decoding corruption in Brazilian construction multinationals. Account. Audit. Account. J. 2023, 28. [Google Scholar] [CrossRef]
- Zubedi, A.; Jianqiu, Z.; Ali, Q.; Memon, I.; Zubedi, E. Reputation of Energy Consumption, Economic Growth, and FDI through Environmental Kuznets Curve: Perspective from Belt and Road Initiative and Pakistan. Math. Probl. Eng. 2022, 2022, 3130605. [Google Scholar] [CrossRef]
- Niu, Y.; Li, S.; Jin, R.; Deng, X. Being good or being known: International reputation of high-speed railway enterprises. Front. Eng. Manag. 2023, 10, 455–466. [Google Scholar] [CrossRef]
- Mohr, L.A.; Webb, D.J. The effects of corporate social responsibility and price on consumer responses. J. Consum. Aff. 2005, 39, 121–147. [Google Scholar] [CrossRef]
- Mohr, L.A.; Webb, D.J.; Harris, K.E. Do consumers expect companies to be socially responsible? The reputation of corporate social responsibility on buying behavior. J. Consum. Aff. 2001, 35, 45–72. [Google Scholar] [CrossRef]
- Nardella, G.; Surdu, I.; Brammer, S. What happens abroad, stays abroad? Exploring how corporate social irresponsibility in domestic and international markets influences corporate reputation. J. World Bus. 2023, 58, 16. [Google Scholar] [CrossRef]
- Cooray, A.; Jha, C.K.; Panda, B. Corruption and assortative matching of partners in international trade. Eur. J. Polit. Econ. 2023, 77, 18. [Google Scholar] [CrossRef]
- Chih, Y.Y.; Demir, F.; Hu, C.H.; Liu, J.Y.; Shen, H.W. A spatial analysis of local corruption on foreign direct investment: Evidence from Chinese cities. Eur. J. Polit. Econ. 2023, 79, 19. [Google Scholar] [CrossRef]
- Chan, A.P.C.; Owusu, E.K. Corruption Forms in the Construction Industry: Literature Review. J. Constr. Eng. Manag. 2017, 143, 12. [Google Scholar] [CrossRef]
- Changwony, F.K.; Kyiu, A.K. Business strategies and corruption in small- and medium-sized enterprises: The reputation of business group affiliation, external auditing, and international standards certification. Bus. Strateg. Environ. 2024, 33, 95–121. [Google Scholar] [CrossRef]
- Zhu, J.N.; Wen, B. ‘Trace the Money, Seize the Fugitives’: China’s Other Anticorruption Battle. J. Contemp. China 2022, 31, 993–1011. [Google Scholar] [CrossRef]
- Georgieva, K.; Weeks-Brown, R. The IMF’s Evolving Role within a Constant Mandate. J. Int. Econ. Law 2023, 26, 17–29. [Google Scholar] [CrossRef]
- Zhang, X.Y.; Goel, R.K.; Jiang, J.M.; Capasso, S. Do deep regional trade agreements strengthen anti-corruption? A social network analysis. World Econ. 2023, 46, 2478–2513. [Google Scholar] [CrossRef]
- Helfer, L.R.; Rose, C.; Brewster, R. Flexible Institution Building in the International Anti-corruption Regime: Proposing a Transnational Asset Recovery Mechanism. Am. J. Int. Law 2023, 117, 559–600. [Google Scholar] [CrossRef]
- Yan, Y.M. The Inclusion of Anti-Corruption Clauses in International Investment Agreements and Its Possible Systemic Implications. Asian J. WTO Int. Health 2022, 17, 141–174. [Google Scholar]
- Ma, T.; Wang, Z.; Ding, J. Study on the Evolution Process and Countermeasures of Engineering Corruption from the Perspective of Engineering Ethics. J. Eng. Stud. 2015, 7, 241–248. [Google Scholar] [CrossRef]
- Troisi, R.; Nese, A.; Blanco-Gregory, R.; Giovanniello, M.A. The Effects of Corruption and Innovation on Sustainability: A Firm-Level Analysis. Sustainability 2023, 15, 1848. [Google Scholar] [CrossRef]
- Bernini, A.; Bossavie, L.; Garrote-Sánchez, D.; Makovec, M. Corruption as a push and pull factor of migration flows: Evidence from European countries. Empirica 2024, 51, 263–281. [Google Scholar] [CrossRef]
- Sánchez-Vidal, F.J.; Ramón-Llorens, M.C.; La Rocca, M. Corruption and intrapreneurship. Int. Bus. Rev. 2024, 33, 14. [Google Scholar] [CrossRef]
- Capasso, S.; Goel, R.K.; Saunoris, J.W. The nexus between corruption and academic freedom: An international investigation of the underlying linkages. Contemp. Econ. Policy 2023, 41, 513–531. [Google Scholar] [CrossRef]
- Tadida, E.Z.N. Public auditing: What reputation does the quality of the institutional framework have on the level of corruption? Int. Rev. Adm. Sci. 2023, 89, 1131–1146. [Google Scholar] [CrossRef]
- Troisi, R.; Alfano, G. Proximity and inter-firm corruption: A transaction cost approach. Small Bus. Econ. 2023, 60, 1105–1120. [Google Scholar] [CrossRef]
- Belhaiza, S.; Charrad, S.; M’Hallah, R. On the reputation of corruption on managers’ and controllers’ behavior. Rairo-Oper. Res. 2022, 56, 165–181. [Google Scholar] [CrossRef]
- Kozlov, K.; Ougolnitsky, G. A Game Theoretic Model of Struggle with Corruption in Auctions: Computer Simulation. Mathematics 2022, 10, 3653. [Google Scholar] [CrossRef]
- Loughlin, N. Cambodia in 2022 Crime and Misgovernance. Asian Surv. 2023, 63, 324–335. [Google Scholar] [CrossRef]
Disclaimer/Publisher’s Note: The statements, opinions and data contained in all publications are solely those of the individual author(s) and contributor(s) and not of MDPI and/or the editor(s). MDPI and/or the editor(s) disclaim responsibility for any injury to people or property resulting from any ideas, methods, instructions or products referred to in the content. |
© 2024 by the authors. Licensee MDPI, Basel, Switzerland. This article is an open access article distributed under the terms and conditions of the Creative Commons Attribution (CC BY) license (https://creativecommons.org/licenses/by/4.0/).