Impact of Broadband China Infrastructure Strategy on Fintech: A Quasi-Natural Experiment
Abstract
1. Introduction
2. Policy Background and Theoretical Analysis
2.1. Policy Background
2.2. Literature Review
2.3. Theoretical Analysis
3. Research Design
3.1. Main Model
3.2. Variables
3.2.1. Explained Variable
3.2.2. Explanatory Variables
3.2.3. Control Variables
3.3. Data Source
4. Empirical Results and Analysis
4.1. Baseline Regression
4.1.1. Analysis of Basic Results
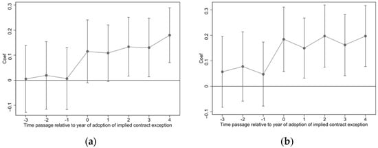
4.1.2. Parallel Trend Test
4.2. Robustness Tests
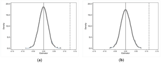
4.2.1. Placebo Test
4.2.2. Exclusion of the Influence of Other Policies
4.2.3. Replacement of Explained Variables
5. Further Analysis
5.1. Mechanism Analysis
5.2. Heterogeneity Analysis
5.2.1. Differences in the City’s Own Characteristics
5.2.2. Differences in the Level of Traditional Infrastructure
6. Conclusions and Policy Implications
Author Contributions
Funding
Institutional Review Board Statement
Informed Consent Statement
Data Availability Statement
Conflicts of Interest
References
- Suryono, R.R.; Budi, I.; Purwandari, B. Challenges and trends of financial technology (Fintech): A systematic literature review. Information 2020, 11, 590. [Google Scholar] [CrossRef]
- Westermeier, C. Money is data—The platformization of financial transactions. Inform. Commun. Soc. 2020, 23, 2047–2063. [Google Scholar] [CrossRef]
- Wang, J. Performative innovation: Data governance in China’s fintech industries. Big Data Soc. 2022, 9, 20539517221123312. [Google Scholar] [CrossRef]
- Tian, X.; He, J.S.; Han, M. Data-driven approaches in FinTech: A survey. Inf. Discov. Deliv. 2021, 49, 123–135. [Google Scholar] [CrossRef]
- Cojoianu, T.F.; Clark, G.L.; Hoepner, A.G.F.; Pažitka, V.; Wójcik, D. Fin vs. tech: Are trust and knowledge creation key ingredients in fintech start-up emergence and financing? Small Bus. Econ. 2021, 57, 1715–1731. [Google Scholar] [CrossRef]
- Chorzempa, M.; Huang, Y. Chinese Fintech Innovation and Regulation. Asian Econ. Policy Rev. 2022, 17, 274–292. [Google Scholar] [CrossRef]
- Siachou, E.; Vrontis, D.; Trichina, E. Can traditional organizations be digitally transformed by themselves? The moderating role of absorptive capacity and strategic interdependence. J. Bus. Res. 2021, 124, 408–421. [Google Scholar] [CrossRef]
- Aleemi, A.R.; Javaid, F.; Hafeez, S.S. Finclusion: The nexus of Fintech and financial inclusion against banks’ market power. Heliyon 2023, 9, e22551. [Google Scholar] [CrossRef]
- Bian, W.; Ge, T.; Ji, Y.; Wang, X. How is Fintech reshaping the traditional financial markets? New evidence from InsurTech and insurance sectors in China. China Econ. Rev. 2023, 80, 102004. [Google Scholar] [CrossRef]
- Daud, S.N.M.; Ahmad, A.H.; Khalid, A.; Azman-Saini, W. FinTech and financial stability: Threat or opportunity? Financ. Res. Lett. 2021, 47, 102667. [Google Scholar] [CrossRef]
- Arner, D.W.; Buckley, R.P.; Zetzsche, D.A.; Veidt, R. Sustainability, FinTech and financial inclusion. Eur. Bus. Organ. Law Rev. 2020, 21, 7–35. [Google Scholar] [CrossRef]
- Hollanders, M. FinTech and financial inclusion: Opportunities and challenges. J. Paym. Strategy Syst. 2020, 14, 315–325. [Google Scholar]
- Ma, Y.; Zhang, T.; Qian, W.; Wei, D. Financial development, demographic changes, and the growth of the non-hydro renewable energy industry—An empirical test based on R&D and financing costs. Renew. Energy 2022, 185, 217–229. [Google Scholar]
- Macchiavello, E.; Siri, M. Sustainable finance and fintech: Can technology contribute to achieving environmental goals? A preliminary assessment of ‘green fintech’and ‘sustainable digital finance’. Eur. Co. Financ. Law Rev. 2022, 19, 128–174. [Google Scholar] [CrossRef]
- Sun, Y.; Li, S.; Wang, R. Fintech: From budding to explosion—An overview of the current state of research. Rev. Manag. Sci. 2023, 17, 715–755. [Google Scholar] [CrossRef]
- Bhat, J.R.; AlQahtani, S.A.; Nekovee, M. FinTech enablers, use cases, and role of future internet of things. J. King Saud Univ. Comput. Inf. Sci. 2023, 35, 87–101. [Google Scholar] [CrossRef]
- Utami, A.F.; Ekaputra, I.A.; Japutra, A. Adoption of FinTech Products: A Systematic Literature Review. J. Creat. Commun. 2021, 16, 233–248. [Google Scholar] [CrossRef]
- Hornuf, L.; Schwienbacher, A. Should securities regulation promote equity crowdfunding? Small Bus. Econ. 2017, 49, 579–593. [Google Scholar] [CrossRef]
- Haddad, C.; Hornuf, L. The emergence of the global fintech market: Economic and technological determinants. Small Bus. Econ. 2019, 53, 81–105. [Google Scholar] [CrossRef]
- Kowalewski, O.; Pisany, P. The rise of fintech: A cross-country perspective. Technovation 2022, 122, 102642. [Google Scholar] [CrossRef]
- Chinnasamy, G.; Madbouly, A.; Reyad, S. Fintech: A pathway for MENA region. In The Fourth Industrial Revolution: Implementation of Artificial Intelligence for Growing Business Success; Springer: Berlin/Heidelberg, Germany, 2021; pp. 135–151. [Google Scholar]
- Belanche, D.; Casaló, L.V.; Flavián, C. Artificial Intelligence in FinTech: Understanding robo-advisors adoption among customers. Ind. Manag. Data Syst. 2019, 119, 1411–1430. [Google Scholar] [CrossRef]
- Ma, Y.; Luan, Z. Ethereum synchronicity, upside volatility and Bitcoin crash risk. Financ. Res. Lett. 2022, 46, 102352. [Google Scholar] [CrossRef]
- Drasch, B.J.; Schweizer, A.; Urbach, N. Integrating the ‘Troublemakers’: A taxonomy for cooperation between banks and fintechs. J. Econ. Bus. 2018, 100, 26–42. [Google Scholar] [CrossRef]
- Huang, Z.; Pollio, A. Between highways and fintech platforms: Global China and Africa’s infrastructure state. Geoforum 2023, 147, 103876. [Google Scholar] [CrossRef]
- Coffie, C.P.K.; Zhao, H. FinTech market development and financial inclusion in Ghana: The role of heterogeneous actors. Technol. Forecast. Soc. Chang. 2023, 186, 122127. [Google Scholar] [CrossRef]
- Muthukannan, P.; Tan, B.; Gozman, D.; Johnson, L. The emergence of a Fintech Ecosystem: A case study of the Vizag Fintech Valley in India. Inf. Manag. 2020, 57, 103385. [Google Scholar] [CrossRef]
- Gai, K.; Qiu, M.; Sun, X. A survey on FinTech. J. Netw. Comput. Appl. 2018, 103, 262–273. [Google Scholar] [CrossRef]
- Migozzi, J.; Urban, M.; Wójcik, D. “You should do what India does”: FinTech ecosystems in India reshaping the geography of finance. Geoforum 2023. [Google Scholar] [CrossRef]
- Chen, L. From Fintech to Finlife: The case of Fintech Development in China. China Econ. J. 2016, 9, 225–239. [Google Scholar] [CrossRef]
- Belavina, E.; Marinesi, S.; Tsoukalas, G. Rethinking Crowdfunding Platform Design: Mechanisms to Deter Misconduct and Improve Efficiency. Manag. Sci. 2020, 66, 4980–4997. [Google Scholar] [CrossRef]
- Jiménez-Jiménez, F.; Alba-Fernández, M.V.; Martínez-Gómez, C. Attracting the Right Crowd under Asymmetric Information: A Game Theory Application to Rewards-Based Crowdfunding. Mathematics 2021, 9, 2757. [Google Scholar] [CrossRef]
- Gu, H. Data, Big Tech, and the New Concept of Sovereignty. J. Chin. Political Sci. 2023. [Google Scholar] [CrossRef] [PubMed]
- Li, C.; Khaliq, N.; Chinove, L.; Khaliq, U.; Ullah, M.; Lakner, Z.; Popp, J. Perceived transaction cost and its antecedents associated with fintech users’ intention: Evidence from Pakistan. Heliyon 2023, 9, 15140. [Google Scholar] [CrossRef] [PubMed]
- Grassi, L.; Figini, N.; Fedeli, L. How does a data strategy enable customer value? The case of FinTechs and traditional banks under the open finance framework. Financ. Innov. 2022, 8, 75. [Google Scholar] [CrossRef]
- Fernández-Rovira, C.; Valdés, J.; Molleví, G.; Nicolas-Sans, R. The digital transformation of business. Towards the datafication of the relationship with customers. Technol. Forecast. Soc. Chang. 2020, 162, 120339. [Google Scholar] [CrossRef]
- Feyen, E.; Frost, J.; Gambacorta, L.; Natarajan, H.; Saal, M. Fintech and the Digital Transformation of Financial Services: Implications for Market Structure and Public Policy; The Bank for International Settlements and the World Bank Group: Basel, Switzerland, 2021. [Google Scholar]
- Molnár, J. What does financial intermediation theory tell us about fintechs? Vez. Bp. Manag. Rev. 2018, 49, 38–46. [Google Scholar] [CrossRef]
- Langley, P.; Leyshon, A. The platform political economy of FinTech: Reintermediation, consolidation and capitalisation. New Political Econ. 2021, 26, 376–388. [Google Scholar] [CrossRef]
- Das, S.; Chatterjee, A. Impacts of ICT and digital finance on poverty and income inequality: A sub-national study from India. Inf. Technol. Dev. 2023, 29, 378–405. [Google Scholar] [CrossRef]
- Temelkov, Z. Differences between traditional bank model and fintech based digital bank and neobanks models. SocioBrains 2020, 74, 8–15. [Google Scholar]
- Scherer, A.; Zürich, E.; Wünderlich, N.V.; von Wangenheim, F. The Value of Self-Service: Long-Term Effects of Technology-Based Self-Service Usage on Customer Retention. MIS Q. 2015, 39, 177–200. [Google Scholar] [CrossRef]
- Gomber, P.; Kauffman, R.J.; Parker, C.; Weber, B.W. On the Fintech Revolution: Interpreting the Forces of Innovation, Disruption, and Transformation in Financial Services. J. Manag. Inf. Syst. 2018, 35, 220–265. [Google Scholar] [CrossRef]
- Thakor, A.V. Fintech and banking: What do we know? J. Financ. Intermediation 2020, 41, 100833. [Google Scholar] [CrossRef]
- Weking, J.; Mandalenakis, M.; Hein, A.; Hermes, S.; Böhm, M.; Krcmar, H. The impact of blockchain technology on business models—A taxonomy and archetypal patterns. Electron. Mark. 2020, 30, 285–305. [Google Scholar] [CrossRef]
- Guo, F.; Wang, J.; Wang, F.; Kong, T.; Cheng, Z. Measuring China’s Digital Fianancial Inclusion: Index Compilation and Spatial Characteristics. China Econ. Q. 2020, 19, 1401–1418. [Google Scholar]
- Tang, S.; Chen, Z.; Chen, J.; Quan, L.; Guan, K. Does FinTech promote corporate competitiveness? Evidence from China. Financ. Res. Lett. 2023, 58, 104660. [Google Scholar] [CrossRef]
- He, W.; Zhang, Y.; Wang, M. Fintech, supply chain concentration and enterprise digitization: Evidence from Chinese manufacturing listed companies. Financ. Res. Lett. 2024, 59, 104702. [Google Scholar] [CrossRef]
- Li, C.; Yan, X.; Song, M.; Yang, W. Fintech and Corporate Innovation—Evidence from Chinese NEEQ-Listed Companies. China Ind. Econ. 2020, 1, 81–98. [Google Scholar]
- Teng, M.; Shen, M. The impact of fintech on carbon efficiency: Evidence from Chinese cities. J. Clean. Prod. 2023, 425, 138984. [Google Scholar] [CrossRef]
- Qiao, L.; Li, L.; Fei, J. Information infrastructure and air pollution: Empirical analysis based on data from Chinese cities. Econ. Anal. Policy 2021, 73, 563–573. [Google Scholar] [CrossRef]


| VarName | Variable Description | Obs | Mean | SD | Min | Median | Max |
|---|---|---|---|---|---|---|---|
| lnftl | The level of fintech | 3190 | 3.03 | 1.369 | 0 | 2.9960 | 6.9290 |
| bcp | Broadband China strategy | 3190 | 0.19 | 0.396 | 0 | 0 | 1 |
| lngdp | The level of economic development | 3177 | 1.28 | 0.651 | −0.653798 | 1.219 | 3.7600 |
| pop | The population density of the city | 3168 | 0.04 | 0.037 | 0.000117 | 0.0328 | 0.8828 |
| fdi | The level of openness | 2746 | 0.02 | 0.018 | 0.000002 | 0.0121 | 0.2101 |
| eff | Traditional financial quality of the city | 3157 | 1.63 | 0.781 | 0.687240 | 1.5060 | 16.7300 |
| sci | The government’s investment in science | 3111 | 0.02 | 0.016 | 0.000568 | 0.0110 | 0.2068 |
| (1) | (2) | (3) | (4) | (5) | (6) | |
|---|---|---|---|---|---|---|
| lnftl | lnftl | lnftl | lnftl | lnftl | lnftl | |
| bcp | 0.1307 *** | 0.1307 *** | 0.1307 *** | 0.1384 *** | 0.1384 *** | 0.1384 *** |
| (3.95) | (4.06) | (3.46) | (3.94) | (4.09) | (3.11) | |
| lngdp | 0.3162 *** | 0.3162 *** | 0.3162 ** | |||
| (4.48) | (4.54) | (2.74) | ||||
| pop | 6.4668 *** | 6.4668 *** | 6.4668 *** | |||
| (4.01) | (4.59) | (4.05) | ||||
| fdi | 2.0003 ** | 2.0003 ** | 2.0003 * | |||
| (2.26) | (2.08) | (2.04) | ||||
| eff | −0.0092 | −0.0092 | −0.0092 | |||
| (−0.28) | (−0.29) | (−0.30) | ||||
| sci | 0.2304 | 0.2304 | 0.2304 | |||
| (0.21) | (0.20) | (0.16) | ||||
| _cons | 3.0059 *** | 3.0059 *** | 3.0059 *** | 2.2261 *** | 2.2261 *** | 2.2261 *** |
| (289.81) | (297.87) | (408.06) | (16.14) | (16.87) | (12.10) | |
| City FE | Yes | Yes | Yes | Yes | Yes | Yes |
| Year FE | Yes | Yes | Yes | Yes | Yes | Yes |
| N | 3190 | 3190 | 3190 | 2745 | 2745 | 2745 |
| R2 | 0.898 | 0.898 | 0.898 | 0.898 | 0.898 | 0.898 |
| Adj. R2 | 0.89 | 0.89 | 0.89 | 0.89 | 0.89 | 0.89 |
| (1) | (2) | (3) | (4) | |
|---|---|---|---|---|
| lnftl | lnftl | lnftl | lnftl | |
| bcp | 0.1379 *** | 0.1338 *** | 0.1304 *** | 0.1433 *** |
| (3.96) | (3.81) | (3.83) | (4.20) | |
| The pilot of technology and finance | 0.1444 ** | |||
| (2.00) | ||||
| Big Data Pilot | 0.1340 *** | |||
| (3.49) | ||||
| _cons | 2.1508 *** | 2.0316 *** | 2.2333 *** | 2.1390 *** |
| (16.29) | (13.42) | (16.92) | (16.26) | |
| Control variables | Yes | Yes | Yes | Yes |
| City FE | Yes | Yes | Yes | Yes |
| Year FE | Yes | Yes | Yes | Yes |
| N | 2488 | 2490 | 2744 | 2723 |
| R2 | 0.904 | 0.884 | 0.898 | 0.899 |
| Adj. R2 | 0.89 | 0.87 | 0.89 | 0.89 |
| (1) | (2) | (3) | (4) | (5) | (6) | |
|---|---|---|---|---|---|---|
| fintechN | fintechN | fintechN | fintechN | fintechN | fintechN | |
| bcp | 0.0875 *** | 0.0875 ** | 0.0875 *** | 0.0968 *** | 0.0968 *** | 0.0968 *** |
| (3.82) | (2.73) | (4.01) | (4.12) | (4.32) | (3.31) | |
| lngdp | 0.3120 *** | 0.3120 *** | 0.3120 ** | |||
| (6.56) | (5.86) | (2.54) | ||||
| pop | 0.8288 | 0.8288 | 0.8288 | |||
| (0.77) | (0.85) | (0.63) | ||||
| fdi | −0.1883 | −0.1883 | −0.1883 | |||
| (−0.32) | (−0.28) | (−0.14) | ||||
| eff | 0.0424 * | 0.0424 | 0.0424 | |||
| (1.90) | (1.35) | (0.61) | ||||
| sci | 1.6167 ** | 1.6167 ** | 1.6167 | |||
| (2.19) | (2.06) | (1.65) | ||||
| _cons | 3.2031 *** | 3.2031 *** | 3.2031 *** | 2.6957 *** | 2.6957 *** | 2.6957 *** |
| (440.64) | (497.47) | (451.62) | (29.05) | (25.54) | (13.20) | |
| City FE | Yes | Yes | Yes | Yes | Yes | Yes |
| Year FE | Yes | Yes | Yes | Yes | Yes | Yes |
| N | 3094 | 3094 | 3094 | 2718 | 2718 | 2718 |
| R2 | 0.963 | 0.963 | 0.963 | 0.966 | 0.966 | 0.966 |
| Adj. R2 | 0.96 | 0.96 | 0.96 | 0.96 | 0.96 | 0.96 |
| (1) | (2) | (3) | (4) | (5) | (6) | |
|---|---|---|---|---|---|---|
| Coverage | Coverage | Usage | Usage | Digitization | Digitization | |
| bcp | 1.3572 *** | 1.2116 *** | 2.5174 *** | 2.6830 *** | 0.8027 | 0.7632 |
| (3.15) | (3.15) | (3.62) | (4.26) | (0.52) | (0.50) | |
| lngdp | 13.5943 *** | 6.5691 *** | 9.5546 *** | |||
| (15.24) | (4.36) | (3.08) | ||||
| pop | 145.2946 *** | 201.4835 *** | 238.4528 *** | |||
| (3.47) | (7.77) | (4.11) | ||||
| fdi | 22.0505 ** | −13.4803 | −33.7710 | |||
| (2.37) | (−0.94) | (−0.96) | ||||
| eff | −0.4231 | 0.3290 | −0.1748 | |||
| (−1.31) | (0.40) | (−0.17) | ||||
| sci | 16.0937 | 92.0374 *** | 174.9999 ** | |||
| (1.32) | (3.48) | (2.45) | ||||
| _cons | 162.4579 *** | 135.9771 *** | 169.2472 *** | 148.4535 *** | 210.1907 *** | 180.0470 *** |
| (1089.86) | (56.15) | (742.66) | (48.48) | (433.36) | (32.40) | |
| City FE | Yes | Yes | Yes | Yes | Yes | Yes |
| Year FE | Yes | Yes | Yes | Yes | Yes | Yes |
| N | 2879 | 2480 | 2879 | 2480 | 2879 | 2480 |
| R2 | 0.993 | 0.996 | 0.986 | 0.990 | 0.947 | 0.960 |
| Adj. R2 | 0.99 | 1.00 | 0.98 | 0.99 | 0.94 | 0.95 |
| (1) | (2) | (3) | (4) | |
|---|---|---|---|---|
| lnftl | lnftl | lnftl | lnftl | |
| bcp | 0.1103 *** | 0.1212 *** | 0.1051 ** | 0.1842 *** |
| (2.78) | (3.42) | (2.44) | (4.33) | |
| bcp*location | 0.0928 * | |||
| (1.71) | ||||
| bcp*level | 0.1644 ** | |||
| (2.37) | ||||
| bcp*size | 0.0881 * | |||
| (1.66) | ||||
| bcp*road | −0.0915 * | |||
| (−1.93) | ||||
| _cons | 2.2506 *** | 2.2515 *** | 2.2305 *** | 2.2178 *** |
| (17.05) | (17.19) | (16.16) | (16.88) | |
| Control variables | Yes | Yes | Yes | Yes |
| City FE | Yes | Yes | Yes | Yes |
| Year FE | Yes | Yes | Yes | Yes |
| N | 2745 | 2745 | 2745 | 2745 |
| R2 | 0.898 | 0.898 | 0.899 | 0.898 |
| Adj. R2 | 0.89 | 0.89 | 0.89 | 0.89 |
Disclaimer/Publisher’s Note: The statements, opinions and data contained in all publications are solely those of the individual author(s) and contributor(s) and not of MDPI and/or the editor(s). MDPI and/or the editor(s) disclaim responsibility for any injury to people or property resulting from any ideas, methods, instructions or products referred to in the content. |
© 2024 by the authors. Licensee MDPI, Basel, Switzerland. This article is an open access article distributed under the terms and conditions of the Creative Commons Attribution (CC BY) license (https://creativecommons.org/licenses/by/4.0/).
Share and Cite
Cao, H.; Shen, K.; Chen, Q.; Wen, W. Impact of Broadband China Infrastructure Strategy on Fintech: A Quasi-Natural Experiment. Sustainability 2024, 16, 1552. https://doi.org/10.3390/su16041552
Cao H, Shen K, Chen Q, Wen W. Impact of Broadband China Infrastructure Strategy on Fintech: A Quasi-Natural Experiment. Sustainability. 2024; 16(4):1552. https://doi.org/10.3390/su16041552
Chicago/Turabian StyleCao, Hongjie, Kexin Shen, Qifan Chen, and Wen Wen. 2024. "Impact of Broadband China Infrastructure Strategy on Fintech: A Quasi-Natural Experiment" Sustainability 16, no. 4: 1552. https://doi.org/10.3390/su16041552
APA StyleCao, H., Shen, K., Chen, Q., & Wen, W. (2024). Impact of Broadband China Infrastructure Strategy on Fintech: A Quasi-Natural Experiment. Sustainability, 16(4), 1552. https://doi.org/10.3390/su16041552

