Diverse Patterns of Understory Plant Species across Different Types of Plantations in a Mountainous Ecosystem
Abstract
1. Introduction
2. Materials and Methods
2.1. Plantation Situation
2.2. Vegetation Data
2.3. Environmental Factors at the Local Scale
2.4. Environmental Factors at the Landscape Scale
2.4.1. Landscape Fragmentation
2.4.2. Patch Shannon Diversity Index (SHDI)
2.5. Biodiversity Index
2.6. Statistical Analyses
3. Results
3.1. Comparison of Understory Plant Diversity between the Monoculture and Mixed Forests
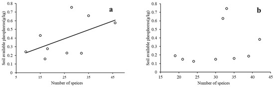
3.2. Response Analysis of Understory Plants to Environmental Factors
4. Discussion
4.1. Differences in Plant Understory Diversity under Different Mixtures of Tree Species
4.2. The Response of Plant Diversity to Environmental Factors
5. Conclusions
Author Contributions
Funding
Institutional Review Board Statement
Informed Consent Statement
Data Availability Statement
Conflicts of Interest
Appendix A

| Sample Plots | Latitude | Longitude | Forest Age |
|---|---|---|---|
| DP1 | 41°01’06.13 | 115°11’47.45 | 14 |
| DP2 | 41°02’59.15 | 115°11’49.76 | 16 |
| DP3 | 41°09’39.71 | 115°14’54.75 | 19 |
| XP1 | 40°54’13.24 | 114°56’09.61 | 18 |
| XP2 | 40°57’36.30 | 114°58’19.56 | 14 |
| XP3 | 41°01’20.53 | 115°00’25.75 | 13 |
| ZP1 | 41°00’54.34 | 115°17’24.40 | 11 |
| ZP2 | 41°02’53.02 | 115°18’52.32 | 12 |
| ZP3 | 41°07’20.27 | 115°23’58.20 | 15 |
| DM1 | 40°56’16.24 | 115°08’11.29 | 15 |
| DM2 | 40°59’43.75 | 115°11’13.39 | 16 |
| DM3 | 41°04’26.88 | 115°11’50.83 | 13 |
| XM1 | 40°57’57.00 | 114°59’10.23 | 16 |
| XM2 | 40°59’17.95 | 115°00’06.52 | 15 |
| XM3 | 41°05’33.41 | 115°05’32.48 | 18 |
| ZM1 | 41°02’58.02 | 115°20’24.44 | 19 |
| ZM2 | 41°03’14.03 | 115°21’13.41 | 18 |
| ZM3 | 41°04’17.31 | 115°22’47.92 | 19 |
| Latin Name | Family Name | Generic Name |
|---|---|---|
| Sonchus arvensis | Composite | Sonchus |
| Chenopodium glaucum | Amaranthaceae | Chenopodium |
| Poa annua | Gramineae | Poa |
| Leymus chinensis | Gramineae | Leymus |
| Geranium wilfordii | Geraniaceae | Geranium |
| Brassica oleracea | Cress | Brassica |
| Fraxinus mandschurica | Oleaceae | Fraxinus |
| Tamarix chinensis | Tamaricaceae | Tamarix |
| Plantago depressa | Plantaginaceae | Plantago |
| Ixeris polycephala | Composite | Ixeris |
| Leonurus sibiricus | Labiatae | Leonurus |
| Leonurus artemisia | Labiatae | Leonurus |
| Ixeris dissecta | Composite | Ixeris |
| Arundinella anomala | Gramineae | Arundinella |
| Glycine soja | Leguminosae | Glycine |
| Oxytropis racemosa | Leguminosae | Oxytropis |
| Caragana korshinskii | Leguminosae | Caragana |
| Taraxacum mongolicum | Composite | Taraxacum |
| Viola prionantha | Violaceae | Viola |
| Carex duriuscula subsp. stenophylloides | Eriospermaceae | Carex |
| Rosa bella | Rosaceae | Rosa |
| Spiraea pubescens | Rosaceae | Spiraea |
| Agrimonia pilosa | Rosaceae | Agrimonia |
| Euphorbia fischeriana | Ellphorbiaceae | Euphorbia |
| Stellera chamaejasme | Thymelaeaceae | Stellera |
| Aconitum barbatum var. puberulum | Ranunculaceae | Aconitum |
| Dracocephalum moldavica | Labiatae | Dracocephalum |
| Ampelopsis aconitifolia | Vitaceae | Ampelopsis |
| Artemisia annua | Composite | Artemisia |
| Viola variegata | Violaceae | Viola |
| Viola pseudo-bambusetorum | Violaceae | Viola |
| Thalictrum squarrosum | Ranunculaceae | Thalictrum |
| Clematis aethusifolia | Ranunculaceae | Clematis |
| Papaver nudicaule | Papaveraceae | Papaver |
| Oplismenus compositus | Gramineae | Oplismenus |
| Astragalus adsurgens | Leguminosae | Astragalus |
| Arabis pendula | Cruciferae | Arabis |
| Astragalus membranaceus | Leguminosae | Astragalus |
| Vicia unijuga | Leguminosae | Vicia |
| Equisetum arvense | Equisetaceae | Equisetum |
| Sanguisorba officinalis | Rosaceae | Sanguisorba |
| Datura stramonium | Solanaceae | Datura |
| Armeniaca sibirica | Rosaceae | Armeniaca |
| Polygala tenuifolia | Polygalaceae | Polygala |
| Potentilla supina | Rosaceae | Potentilla |
| Roegneria kamoji | Gramineae | Roegneria |
| Melilotus officinalis | Leguminosae | Melilotus |
| Medicago lupulina | Leguminosae | Medicago |
| Saussurea japonica | Laminariaceae | Saussurea |
| Artemisia scoparia | Composite | Artemisia |
| Euphorbia esula | Ellphorbiacea | Euphorbia |
| Artemisia argyi | Composite | Artemisia |
| Elymus dahuricus | Gramineae | Elymus |
| Vicia cracca | Leguminosae | Vicia |
| Artemisia capillaris | Composite | Artemisia |
| Campylotropis macrocarpa | Leguminosae | Campylotropis |
| Dendranthema chanetii | Composite | Dendranthema |
| Potentilla flagellaris | Rosaceae | Potentilla |
| Poa sphondylodes | Gramineae | Poa |
| Inula japonica | Composite | Inula |
| Ostryopsis davidiana | Betulaceae | Ostryopsis |
| Hippophae rhamnoides | Elaeagnaceae | Hippophae |
| Deyeuxia arundinacea | Gramineae | Deyeuxia |
| Leontopodium leontopodioides | Composite | Leontopodium |
| Corydalis yanhusuo | Papaveraceae | Corydalis |
| Vicia sativa | Leguminosae | Vicia |
| Geranium sibiricum | Geraniaceae | Geranium |
| Bidens parviflora | Composite | Bidens |
| Adenophora polyantha | Campanulaceae | Adenophora |
| Galium verum | Bubiaceae | Galium |
| Rubia cordifolia | Bubiaceae | Rubia |
| Halerpestes ruthenica | Ranunculaceae | Halerpestes |
| Pteridium aquilinum var. latiusculum | Polypodiaceae | Pteridium |
| Sonchus oleraceus | Composite | Sonchus |
| Myosoton aquaticum | Caryophyllaceae | Myosoton |
| Scorzonera sinensis | Composite | Scorzonera |
| Polygala tenuifolia | Poiygalaceae | Polygala |
| Hemistepta lyrata | Composite | Hemistepta |
| Agropyron cristatum | Gramineae | Agropyron |
| Bupleurum chinense | Apiaceae | Bupleurum |
| Thymus mongolicus | Labiatae | Thymus |
| Caragana jubata | Leguminosae | Caragana |
| Iris dichotoma | Iridaceae | Iris |
| Salsola collina | Amaranthaceae | Salsola |
| Lepidium apetalum | Cruciferae | Lepidium |
| Saussurea davurica | Composite | Saussurea |
| Potentilla multicaulis | Rosaceae | Potentilla |
| Argentina anserina | Rosaceae | Argentina |
| Phragmites australis | Gramineae | Phragmites |
| Caragana rosea | Leguminosae | Caragana |
| Cynanchum chinense | Apocynaceae | Cynanchum |
| Populus simonii | Salicaceae | Populus |
| Cirsium setosum | Composite | Cirsium |
| Duchesnea indica | Rosaceae | Duchesnea |
| Equisetum ramosissimum | Equisetaceae | Equisetum |
| Commelina diffusa | Dayflower | Commelina |
| Unknown | Apiaceae | |
| Saposhnikovia divaricata | Apiaceae | Saposhnikovia |
| Allium senescens | Liliaceae | Allium |
| Imperata cylindrica | Gramineae | Imperata |
| Cynanchum thesioides | Asclepiadaceae | Cynanchum |
| Polygonatum sibiricum | Asparagaceae | Polygonatum |
| Medicago sativa | Leguminosae | Medicago |
| Clematis florida | Ranunculaceae | Clematis |
| Elsholtzia ciliata | Labiatae | Elsholtzia |
| Saussurea ussuriensis | Composite | Saussurea |
| Gentiana macrophylla | Gentianaceae | Gentiana |
| Scabiosa tschiliensis | Dipsacaceae | Scabiosa |
| Vigna radiata | Leguminosae | Vigna |
| Sibbaldianthe bifurca | Rosaceae | Sibbaldianthe |
| Unknown | Composite | |
| Aster tataricus | Composite | Aster |
| Setaria viridis | Gramineae | Setaria |
| Parthenocissus tricuspidata | Vitaceae | Parthenocissus |
| Oxytropis coerulea | Leguminosae | Oxytropis |
| Potentilla kleiniana | Rosaceae | Potentilla |
| Iris lactea var. chinensis | Freesia | Iris |
| Heracleum hemsleyanum | Apiaceae | Heracleum |
| Echinops sphaerocephalus | Composite | Echinops |
| Melilotus officinalis | Leguminosae | Melilotus |
| Clinopodium chinense | Labiatae | Clinopodium |
| Oxalis corniculata | Oxalidaceae | Oxalis |
| Halenia corniculata | Gentianaceae | Halenia |
| Halerpestes ruthenica | Ranunculaceae | Halerpestes |
| Avena fatua | Gramineae | Avena |
| Potentilla chinensis | Rosaceae | Potentilla |
| Vicia sepium | Leguminosae | Vicia |
| Stemmacantha uniflora | Composite | Stemmacantha |
| Medicago ruthenica | Leguminosae | Medicago |
| Lomatogonium carinthiacum | Gentianaceae | Lomatogonium |
| Patrinia scabiosaefolia | Valerianaceae | Patrinia |
| Adenophora paniculata | Campanulaceae | Adenophora |
| Paraixeris serotina | Compositae | Paraixeris |
| Plantago asiatica | Plantaginaceae | Plantago |
| Bidens pilosa | Composite | Bidens |
| Cirsium setosum | Composite | Cirsium |
| Asparagus schoberioides | Liliaceae | Asparagus |
| Pinus thunbergii | Pinaceae | Pinus |
| Stipa capillata | Gramineae | Stipa |
| Kalimeris lautureana | Composite | Kalimeris |
| Populus tomentosa | Salicaceae | Populus |
| Larix gmelinii | Pinaceae | Larix |
| Rhamnus parvifolia | Rhamnaceae | Rhamnus |
References
- Hurni, H.; von Dach, S.W.; Zimmermann, A. (Agro)Biodiversity in Mountains. Mt. Res. Dev. 2010, 30, 191. [Google Scholar] [CrossRef]
- Di Sacco, A.; Hardwick, K.A.; Blakesley, D.; Brancalion, P.H.S.; Breman, E.; Cecilio Rebola, L.; Chomba, S.; Dixon, K.; Elliott, S.; Ruyonga, G.; et al. Ten Golden Rules for Reforestation to Optimize Carbon Sequestration, Biodiversity Recovery and Livelihood Benefits. Glob. Chang. Biol. 2021, 27, 1328–1348. [Google Scholar] [CrossRef] [PubMed]
- Messier, C.; Bauhus, J.; Sousa-Silva, R.; Auge, H.; Baeten, L.; Barsoum, N.; Bruelheide, H.; Caldwell, B.; Cavender-Bares, J.; Dhiedt, E.; et al. For the Sake of Resilience and Multifunctionality, Let’s Diversify Planted Forests! Conserv. Lett. 2022, 15, e12829. [Google Scholar] [CrossRef]
- Delaux, P.M.; Schornack, S. Plant evolution driven by interactions with symbiotic and pathogenic microbes. Science 2021, 371, eaba6605. [Google Scholar] [CrossRef] [PubMed]
- Zhang, Y.Z.; Qian, L.S.; Spalink, D.; Sun, L.; Chen, J.G.; Sun, H. Spatial phylogenetics of two topographic extremes of the Hengduan Mountains in southwestern China and its implications for biodiversity conservation. Plant Divers. 2021, 43, 181–191. [Google Scholar] [CrossRef] [PubMed]
- Lan, G.; Chen, B.; Yang, C.; Sun, R.; Wu, Z.; Zhang, X. Main drivers of plant diversity patterns of rubber plantations in the Greater Mekong Subregion. Biogeosciences 2022, 19, 1995–2005. [Google Scholar] [CrossRef]
- Isbell, F.; Calcagno, V.; Hector, A.; Connolly, J.; Harpole, W.S.; Reich, P.B.; Scherer-Lorenzen, M.; Schmid, B.; Tilman, D.; Van Ruijven, J.; et al. High Plant Diversity Is Needed to Maintain Ecosystem Services. Nature 2011, 477, 199–202. [Google Scholar] [CrossRef]
- Dănescu, A.; Albrecht, A.T.; Bauhus, J. Structural diversity promotes productivity of mixed, uneven-aged forests in southwestern Germany. Oecologia 2016, 182, 319–333. [Google Scholar] [CrossRef]
- Duan, W.; Ren, H.; Fu, S.; Wang, J.; Zhang, J.; Yang, L.; Huang, C. Community Comparison and Determinant Analysis of Understory Vegetation in Six Plantations in South China. Restor. Ecol. 2010, 18, 206–214. [Google Scholar] [CrossRef]
- Mboukou-Kimbatsa, I.; Bernhard-Reversat, F.; Loumeto, J.-J.; Ngao, J.; Lavelle, P. Understory vegetation, soil structure and soil invertebrates in Congolese eucalypt plantations, with special reference to the invasive plant Chromolaena odorata and earthworm populations. Eur. J. Soil Biol. 2007, 43, 48–56. [Google Scholar] [CrossRef]
- Li, X.; Liu, Y.; Duan, M.; Yu, Z.; Axmacher, J.C. Different response patterns of epigaeic spiders and carabid beetles to varying environmental conditions in fields and semi-natural habitats of an intensively cultivated agricultural landscape. Agric. Ecosyst. Environ. 2018, 264, 54–62. [Google Scholar] [CrossRef]
- Bihaly, D.; Kovács-Hostyánszki, A.; Szalai, M.; Sárospataki, M. Nesting activity of cavity-nesting bees and wasps is lower in small-scale apple orchards compared to nearby semi-natural habitats. Agric. For. Entomol. 2021, 23, 49–58. [Google Scholar] [CrossRef]
- Wang, C.; Zhang, W.; Li, X.; Wu, J. A global meta-analysis of the impacts of tree plantations on biodiversity. Glob. Ecol. Biogeogr. 2022, 31, 576–587. [Google Scholar] [CrossRef]
- Lu, H.; Mohren, G.M.J.; Del Río, M.; Schelhaas, M.-J.; Bouwman, M.; Sterck, F.J. Species Mixing Effects on Forest Productivity: A Case Study at Stand-, Species- and Tree-Level in the Netherlands. Forests 2018, 9, 713. [Google Scholar] [CrossRef]
- Liu, C.L.C.; Kuchma, O.; Krutovsky, K.V. Mixed-Species versus Monocultures in Plantation Forestry: Development, Benefits, Ecosystem Services and Perspectives for the Future. Glob. Ecol. Conserv. 2018, 15, e00419. [Google Scholar] [CrossRef]
- Mina, M.; del Río, M.; Huber, M.O.; Thürig, E.; Rohner, B. The symmetry of competitive interactions in mixed Norway spruce, silver fir and European beech forests. J. Veg. Sci. 2018, 29, 775–787. [Google Scholar] [CrossRef]
- Warner, E.; Cook-Patton, S.C.; Lewis, O.T.; Brown, N.; Koricheva, J.; Eisenhauer, N.; Ferlian, O.; Gravel, D.; Hall, J.S.; Jactel, H.; et al. Young Mixed Planted Forests Store More Carbon than Monocultures—A Meta-Analysis. Front. For. Glob. Chang. 2023, 6, 1226514. [Google Scholar] [CrossRef]
- Mestre, L.; Toro-Manríquez, M.; Soler, R.; Huertas-Herrera, A.; Martínez-Pastur, G.; Lencinas, M.V. The influence of canopy-layer composition on understory plant diversity in southern temperate forests. For. Ecosyst. 2017, 4, 6. [Google Scholar] [CrossRef]
- Gong, C.; Tan, Q.; Liu, G.; Xu, M. Impacts of tree mixtures on understory plant diversity in China. For. Ecol. Manag. 2021, 498, 119545. [Google Scholar] [CrossRef]
- Tardy, Y.; Schaul, R.; Duplay, J. Thermodynamic stability fields of humus, microflora and plants. Comptes Rendus De L Acad. Des Sci. Ser. Ii Fasc. A-Sci. De La Terre Et Des Planetes 1997, 324, 969–976. [Google Scholar]
- Li, X.; Hu, W.; Yu, Z. Importance of Soil Organic Matter and the Species Pool for Local Species Richness in Montane Ecosystems. Sustainability 2021, 13, 10634. [Google Scholar] [CrossRef]
- Chi, Y.; Wang, E.; Wang, J. Identifying the anthropogenic influence on the spatial distribution of plant diversity in an estuarine island through multiple gradients. Glob. Ecol. Conserv. 2020, 21, e00833. [Google Scholar] [CrossRef]
- Arellano-Rivas, A.; De-Nova, J.A.; Munguía-Rosas, M.A. Patch isolation and shape predict plant functional diversity in a naturally fragmented forest. J. Plant Ecol. 2018, 11, 136–146. [Google Scholar] [CrossRef]
- Souza, D.G.; Sfair, J.C.; Arroyo-Rodríguez, V.; Santos, J.C.; Tabarelli, M. Depauperation and divergence of plant-specialist herbivore assemblages in a fragmented tropical landscape. Ecol. Entomol. 2019, 44, 172–181. [Google Scholar] [CrossRef]
- Beaune, D.; Bretagnolle, F.; Bollache, L.; Bourson, C.; Hohmann, G.; Fruth, B. Ecological services performed by the bonobo (Pan paniscus): Seed dispersal effectiveness in tropical forest. J. Trop. Ecol. 2013, 29, 367–380. [Google Scholar] [CrossRef]
- Stevenson, P.R.; Link, A.; Onshuus, A.; Quiroz, A.J.; Velasco, M. Estimation of Seed Shadows Generated by Andean Woolly Monkeys (Lagothrix lagothricha lugens). Int. J. Primatol. 2014, 35, 1021–1036. [Google Scholar] [CrossRef]
- Tscharntke, T.; Tylianakis, J.M.; Rand, T.A.; Didham, R.K.; Fahrig, L.; Batáry, P.; Bengtsson, J.; Clough, Y.; Crist, T.O.; Dormann, C.F.; et al. Landscape moderation of biodiversity patterns and processes-eight hypotheses. Biol. Rev. 2012, 87, 661–685. [Google Scholar] [CrossRef]
- Jonsson, M.; Bengtsson, J.; Gamfeldt, L.; Moen, J.; Snäll, T. Levels of forest ecosystem services depend on specific mixtures of commercial tree species. Nat. Plants 2019, 5, 141–147. [Google Scholar] [CrossRef]
- Forrester, D.I.; Ammer, C.; Annighöfer, P.J.; Barbeito, I.; Bielak, K.; Bravo-Oviedo, A.; Coll, L.; del Río, M.; Drössler, L.; Heym, M.; et al. Effects of crown architecture and stand structure on light absorption in mixed and monospecific Fagus sylvatica and Pinus sylvestris forests along a productivity and climate gradient through Europe. J. Ecol. 2018, 106, 746–760. [Google Scholar] [CrossRef]
- Wills, J.; Herbohn, J.; Moreno, M.O.M.; Avela, M.S.; Firn, J. Next-generation tropical forests: Reforestation type affects recruitment of species and functional diversity in a human-dominated landscape. J. Appl. Ecol. 2017, 54, 772–783. [Google Scholar] [CrossRef]
- Qin, X.; Liu, Z.; Liu, M.; Liang, W.; Baskin, C.C.; Baskin, J.M.; Xin, Z.; Li, X.; Wang, Z.; Zhou, Q.; et al. Shrub canopy interception of diaspores dispersed by wind. Seed Sci. Res. 2020, 30, 310–318. [Google Scholar] [CrossRef]
- Felton, A.; Nilsson, U.; Sonesson, J.; Felton, A.M.; Roberge, J.-M.; Ranius, T.; Ahlström, M.; Bergh, J.; Björkman, C.; Boberg, J.; et al. Replacing monocultures with mixed-species stands: Ecosystem service implications of two production forest alternatives in Sweden. Ambio 2016, 45, S124–S139. [Google Scholar] [CrossRef]
- Grime, J.P. Evidence for the Existence of Three Primary Strategies in Plants and Its Relevance to Ecological and Evolutionary Theory. Am. Nat. 1977, 111, 1169–1194. [Google Scholar] [CrossRef]
- Robroek, B.J.M.; Martí, M.; Svensson, B.H.; Dumont, M.G.; Veraart, A.J.; Jassey, V.E.J. Rewiring of peatland plant-microbe networks outpaces species turnover. Oikos 2021, 130, 339–353. [Google Scholar] [CrossRef]
- Stamps, W.T.; Linit, M.J. Plant diversity and arthropod communities: Implications for temperate agroforestry. Agrofor. Syst. 1997, 39, 73–89. [Google Scholar] [CrossRef]
- Pisani, O.; Hills, K.M.; Courtier-Murias, D.; Haddix, M.L.; Paul, E.A.; Conant, R.T.; Simpson, A.J.; Arhonditsis, G.B.; Simpson, M.J. Accumulation of aliphatic compounds in soil with increasing mean annual temperature. Org. Geochem. 2014, 76, 118–127. [Google Scholar] [CrossRef]
- Yao, L.; Guo, N.; He, Y.; Xiao, Y.; Li, Y.; Gao, J.; Guo, Y. Variations of soil organic matters and plant cuticular waxes along an altitude gradient in Qinghai-Tibet Plateau. Plant Soil 2021, 458, 41–58. [Google Scholar] [CrossRef]
- He, M.; Dijkstra, F.A.; Zhang, K.; Li, X.; Tan, H.; Gao, Y.; Li, G. Leaf nitrogen and phosphorus of temperate desert plants in response to climate and soil nutrient availability. Sci. Rep. 2015, 4, 6932. [Google Scholar] [CrossRef]
- Zeng, S.L.; Zhang, T.T.; Gao, Y.; Ouyang, Z.T.; Chen, J.K.; Li, B.; Zhao, B. Effects of road age and distance on plant biodiversity: A case study in the Yellow River Delta of China. Plant Ecol. 2011, 212, 1213–1229. [Google Scholar] [CrossRef]
- Feng, L.; Li, X.R.; Zhang, J.G.; Li, X.J.; Su, J.Q. Vegetation Alteration in Response to Highway Construction in the Desertified Steppe Zone of the Tengger Desert, North China. Arid Land Res. Manag. 2012, 26, 59–78. [Google Scholar] [CrossRef]
- Sanaei, A.; Ali, A. What is the role of perennial plants in semi-steppe rangelands? Direct and indirect effects of perennial on annual plant species. Ecol. Indic. 2019, 98, 389–396. [Google Scholar] [CrossRef]
- Woodward, G.; Gessner, M.O.; Giller, P.S.; Gulis, V.; Hladyz, S.; Lecerf, A.; Malmqvist, B.; McKie, B.G.; Tiegs, S.D.; Cariss, H.; et al. Chauvet, Continental-Scale Effects of Nutrient Pollution on Stream Ecosystem Functioning. Science 2012, 336, 1438–1440. [Google Scholar] [CrossRef] [PubMed]
- Acosta, A.; Carranza, M.L.; Izzi, C.F. Are there habitats that contribute best to plant species diversity in coastal dunes? Biodivers. Conserv. 2009, 18, 1087–1098. [Google Scholar] [CrossRef]
- Malavasi, M.; Conti, L.; Carboni, M.; Cutini, M.; Acosta, A.T. Multifaceted Analysis of Patch-Level Plant Diversity in Response to Landscape Spatial Pattern and History on Mediterranean Dunes. Ecosystems 2016, 19, 850–864. [Google Scholar] [CrossRef]








| Object | Dependent Variable | Independent Variable | Standardized Coefficient | Significance | Adjusted R2 | Standard Error |
|---|---|---|---|---|---|---|
| All plant species | Species richness | Organic matter | 0.761 | <0.001 | 0.553 | 6.686 |
| Shannon diversity | 0.548 | 0.019 | 0.256 | 0.394 | ||
| Native species | Species richness | Organic matter | 0.760 | <0.001 | 0.552 | 5.437 |
| Shannon diversity | 0.568 | 0.014 | 0.280 | 0.433 | ||
| Perennial species | Species richness | Organic matter | 0.751 | <0.001 | 0.536 | 4.769 |
| Shannon diversity | 0.569 | 0.014 | 0.281 | 0.446 | ||
| Annual species | Species richness | Organic matter | 0.667 | 0.001 | 0.688 | 1.495 |
| Available phosphorus | 0.543 | 0.005 | ||||
| Road distance | −0.426 | 0.023 |
Disclaimer/Publisher’s Note: The statements, opinions and data contained in all publications are solely those of the individual author(s) and contributor(s) and not of MDPI and/or the editor(s). MDPI and/or the editor(s) disclaim responsibility for any injury to people or property resulting from any ideas, methods, instructions or products referred to in the content. |
© 2024 by the authors. Licensee MDPI, Basel, Switzerland. This article is an open access article distributed under the terms and conditions of the Creative Commons Attribution (CC BY) license (https://creativecommons.org/licenses/by/4.0/).
Share and Cite
Luo, J.; Sardar, M.F.; Qian, Z.; Albasher, G.; Li, X. Diverse Patterns of Understory Plant Species across Different Types of Plantations in a Mountainous Ecosystem. Sustainability 2024, 16, 1329. https://doi.org/10.3390/su16031329
Luo J, Sardar MF, Qian Z, Albasher G, Li X. Diverse Patterns of Understory Plant Species across Different Types of Plantations in a Mountainous Ecosystem. Sustainability. 2024; 16(3):1329. https://doi.org/10.3390/su16031329
Chicago/Turabian StyleLuo, Jie, Muhammad Fahad Sardar, Zeyuan Qian, Gadah Albasher, and Xiang Li. 2024. "Diverse Patterns of Understory Plant Species across Different Types of Plantations in a Mountainous Ecosystem" Sustainability 16, no. 3: 1329. https://doi.org/10.3390/su16031329
APA StyleLuo, J., Sardar, M. F., Qian, Z., Albasher, G., & Li, X. (2024). Diverse Patterns of Understory Plant Species across Different Types of Plantations in a Mountainous Ecosystem. Sustainability, 16(3), 1329. https://doi.org/10.3390/su16031329

