Integration of HEC-RAS and HEC-HMS with GIS in Flood Modeling and Flood Hazard Mapping
Abstract
1. Introduction
2. Materials and Methods
2.1. Study Area: Göksu River Basin
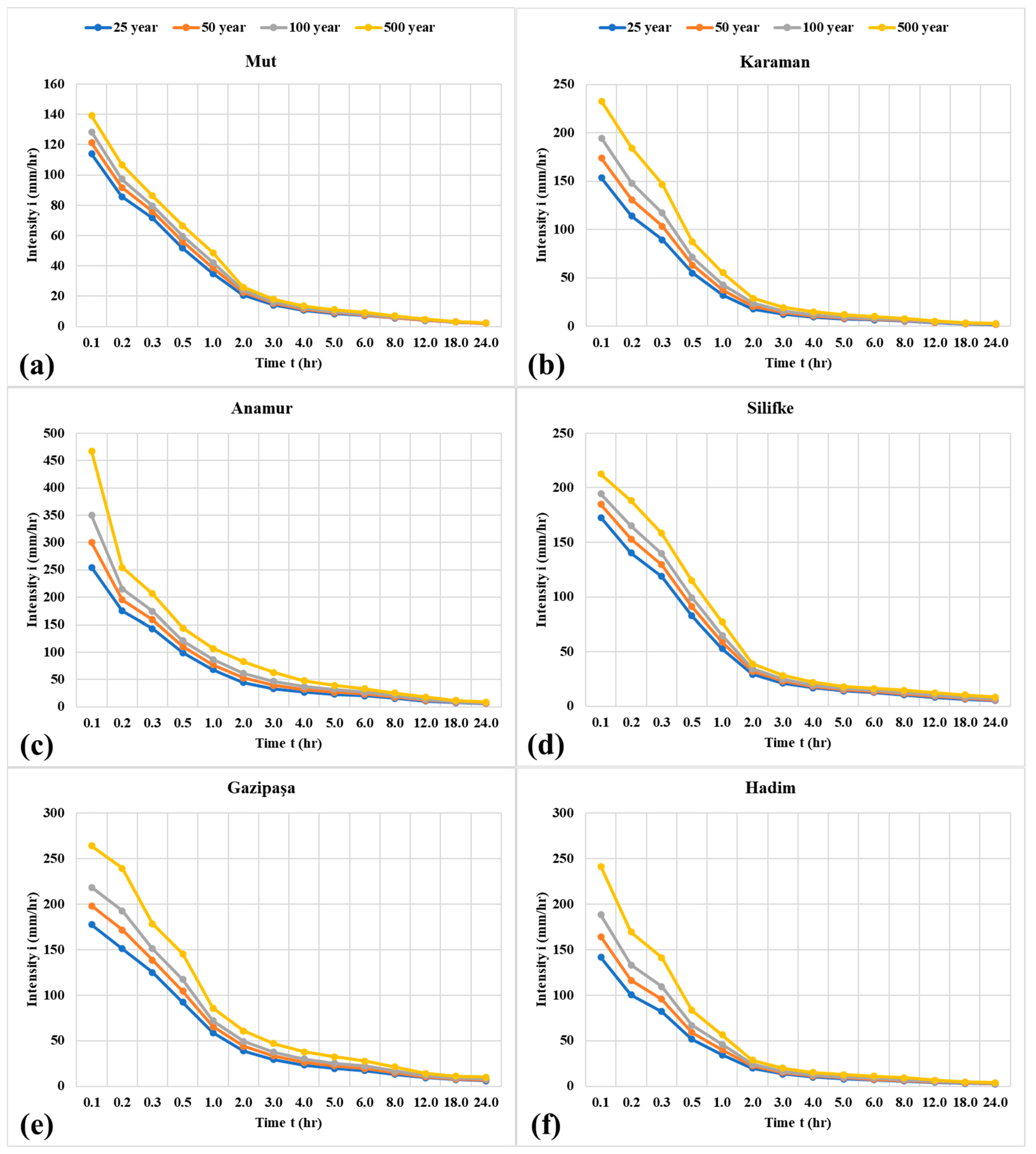
2.2. HEC-HMS Model Data and Base Model Setup
2.3. HEC-HMS Model Runs and Parameter Adjustment
2.4. HEC-RAS Model Data and Runs
2.5. Generation of the Flood Hazard Maps
3. Results
4. Discussion
5. Conclusions
Supplementary Materials
Author Contributions
Funding
Institutional Review Board Statement
Informed Consent Statement
Data Availability Statement
Acknowledgments
Conflicts of Interest
References
- Cui, P.; Peng, J.; Shi, P.; Tang, H.; Ouyang, C.; Zou, Q.; Liu, L.; Li, C.; Lei, Y. Scientific Challenges of Research on Natural Hazards and Disaster Risk. Geogr. Sustain. 2021, 2, 216–223. [Google Scholar] [CrossRef]
- EM-DAT: The Emergency Events Database; Universite Catholique de Louvain: Brussels, Belgium; Available online: https://www.emdat.be/ (accessed on 1 January 2024).
- Das, S.; Pardeshi, S.D. Comparative Analysis of Lineaments Extracted from Cartosat, SRTM and ASTER DEM: A Study Based on Four Watersheds in Konkan Region, India. Spat. Inf. Res. 2018, 26, 47–57. [Google Scholar] [CrossRef]
- Ahmad, D.; Afzal, M. Flood Hazards and Livelihood Vulnerability of Flood-Prone Farm-Dependent Bait Households in Punjab, Pakistan. Environ. Sci. Pollut. Res. 2022, 29, 11553–11573. [Google Scholar] [CrossRef]
- Fernández, D.S.; Lutz, M.A. Urban Flood Hazard Zoning in Tucumán Province, Argentina, Using GIS and Multicriteria Decision Analysis. Eng. Geol. 2010, 111, 90–98. [Google Scholar] [CrossRef]
- Ertan, A.; Özelkan, E.; Karaman, M. Determination of Flood Areas in Geographic Information Systems Platform Using Analytical Hierarchy Process: A Case Study in Çanakkale—Karamenderes Basin. J. Res. Atmos. Sci. 2021, 3, 1–9. [Google Scholar] [CrossRef]
- Selçuk, L.; Sağlam Selçuk, A.; Kasapoğlu, D. Urban Flood Susceptibility Assessment of Central Districts of Van Province, Turkey, Using Geographic Information System (GIS)-Based Multi Criteria Decision Analysis (MCDA). Bull. Earth Sci. Appl. Res. Cent. Hacettepe Univ. Coğrafi 2016, 37, 1–17. [Google Scholar] [CrossRef][Green Version]
- Billa, L.; Shattri, M.; Mahmud, A.R.; Ghazali, A.H. Comprehensive Planning and the Role of SDSS in Flood Disaster Management in Malaysia. Disaster Prev. Manag. An Int. J. 2006, 15, 233–240. [Google Scholar] [CrossRef]
- Tehrany, M.S.; Lee, M.J.; Pradhan, B.; Jebur, M.N.; Lee, S. Flood Susceptibility Mapping Using Integrated Bivariate and Multivariate Statistical Models. Environ. Earth Sci. 2014, 72, 4001–4015. [Google Scholar] [CrossRef]
- Swain, K.C.; Singha, C.; Nayak, L. Flood Susceptibility Mapping through the GIS-AHP Technique Using the Cloud. ISPRS Int. J. Geo-Inf. 2020, 9, 720. [Google Scholar] [CrossRef]
- Alarifi, S.S.; Abdelkareem, M.; Abdalla, F.; Alotaibi, M. Flash Flood Hazard Mapping Using Remote Sensing and GIS Techniques in Southwestern Saudi Arabia. Sustainability 2022, 14, 14145. [Google Scholar] [CrossRef]
- Roy, D.K.; Sarkar, T.K.; Kamar, S.S.A.; Goswami, T.; Muktadir, M.A.; Al-Ghobari, H.M.; Alataway, A.; Dewidar, A.Z.; El-Shafei, A.A.; Mattar, M.A. Daily Prediction and Multi-Step Forward Forecasting of Reference Evapotranspiration Using LSTM and Bi-LSTM Models. Agronomy 2022, 12, 594. [Google Scholar] [CrossRef]
- Beden, N.; Ulke Keskin, A. Estimation of the Local Financial Costs of Flood Damage with Different Methodologies in Unye (Ordu), Turkey. Nat. Hazards 2021, 108, 2835–2854. [Google Scholar] [CrossRef]
- Tsakiris, G. Flood Risk Assessment: Concepts, Modelling, Applications. Nat. Hazards Earth Syst. Sci. 2014, 14, 1361–1369. [Google Scholar] [CrossRef]
- Scharffenberg, J.M.; Fleming, J.M. Hydrologic Modeling System HEC-HMS User’s Manual Version 3.5; Hydrologic Engineering Center: Davis, CA, USA, 2010. [Google Scholar]
- Yu, X.; Zhang, J. The Application and Applicability of HEC-HMS Model in Flood Simulation under the Condition of River Basin Urbanization. Water 2023, 15, 2249. [Google Scholar] [CrossRef]
- Kazezyılmaz-Alhan, C.M.; Yalçın; Javanshour, K.; Aytekin, M.; Gülbaz, S. A Hydrological Model for Ayamama Watershed in Istanbul, Turkey, Using HEC-HMS. Water Pract. Technol. 2021, 16, 154–161. [Google Scholar] [CrossRef]
- Liu, W.C.; Hsieh, T.H.; Liu, H.M. Flood Risk Assessment in Urban Areas of Southern Taiwan. Sustainability 2021, 13, 3180. [Google Scholar] [CrossRef]
- Janicka, E.; Kanclerz, J.; Agaj, T.; Gizińska, K. Comparison of Two Hydrological Models, the HEC-HMS and Nash Models, for Runoff Estimation in Michałówka River. Sustainability 2023, 15, 7959. [Google Scholar] [CrossRef]
- Khan, M.Y.A.; ElKashouty, M.; Subyani, A.M.; Tian, F. Flash Flood Assessment and Management for Sustainable Development Using Geospatial Technology and WMS Models in Abha City, Aseer Region, Saudi Arabia. Sustainability 2022, 14, 10430. [Google Scholar] [CrossRef]
- Ibrahim-Bathis, K.; Ahmed, S.A. Rainfall-Runoff Modelling of Doddahalla Watershed—An Application of HEC-HMS and SCN-CN in Ungauged Agricultural Watershed. Arab. J. Geosci. 2016, 9, 170. [Google Scholar] [CrossRef]
- Wang, M.; Zhang, L.; Baddoo, T.D. Hydrological Modeling in A Semi-Arid Region Using HEC-HMS. J. Water Resour. Hydraul. Eng. 2016, 5, 105–115. [Google Scholar] [CrossRef]
- Tang, Y.; Leon, A.S.; Kavvas, M.L. Impact of Size and Location of Wetlands on Watershed-Scale Flood Control. Water Resour. Manag. 2020, 34, 1693–1707. [Google Scholar] [CrossRef]
- Jin, H.; Liang, R.; Wang, Y.; Tumula, P. Flood-Runoff in Semi-Arid and Sub-Humid Regions, a Case Study: A Simulation of Jianghe Watershed in Northern China. Water 2015, 7, 5155–5172. [Google Scholar] [CrossRef]
- Halwatura, D.; Najim, M.M.M. Application of the HEC-HMS Model for Runoff Simulation in a Tropical Catchment. Environ. Model. Softw. 2013, 46, 155–162. [Google Scholar] [CrossRef]
- De Silva, M.M.G.T.; Weerakoon, S.B.; Herath, S. Modeling of Event and Continuous Flow Hydrographs with HEC–HMS: Case Study in the Kelani River Basin, Sri Lanka. J. Hydrol. Eng. 2014, 19, 800–806. [Google Scholar] [CrossRef]
- Alfy, M. El Assessing the Impact of Arid Area Urbanization on Flash Floods Using GIS, Remote Sensing, and HEC-HMS Rainfall-Runoff Modeling. Hydrol. Res. 2016, 47, 1142–1160. [Google Scholar] [CrossRef]
- Abdessamed, D.; Abderrazak, B. Coupling HEC-RAS and HEC-HMS in Rainfall–Runoff Modeling and Evaluating Floodplain Inundation Maps in Arid Environments: Case Study of Ain Sefra City, Ksour Mountain. SW of Algeria. Environ. Earth Sci. 2019, 78, 586. [Google Scholar] [CrossRef]
- Gül, G.O.; Harmancıoğlu, N.; Gül, A. A Combined Hydrologic and Hydraulic Modeling Approach for Testing Efficiency of Structural Flood Control Measures. Nat. Hazards 2010, 54, 245–260. [Google Scholar] [CrossRef]
- Hashemyan, F.; Khaleghi, M.; Kamyar, M. Combination of HEC-HMS and HEC-RAS Models in GIS in Order to Simulate Flood (Case Study: Khoshke Rudan River in Fars Province, Iran). Res. J. Recent Sci. Res. J. Recent Sci. 2015, 4, 122–127. [Google Scholar]
- Yamani, K.; Hazzab, A.; Sekkoum, M.; Slimane, T. Mapping of Vulnerability of Flooded Area in Arid Region. Case Study: Area of Ghardaïa-Algeria. Model. Earth Syst. Environ. 2016, 2, 147. [Google Scholar] [CrossRef]
- Mai, D.; De Smedt, F. A Combined Hydrological and Hydraulic Model for Flood Prediction in Vietnam Applied to the Huong River Basin as a Test Case Study. Water 2017, 9, 879. [Google Scholar] [CrossRef]
- Namara, W.G.; Damisse, T.A.; Tufa, F.G. Application of HEC-RAS and HEC-GeoRAS Model for Flood Inundation Mapping, the Case of Awash Bello Flood Plain, Upper Awash River Basin, Oromiya Regional State, Ethiopia. Model. Earth Syst. Environ. 2022, 8, 1449–1460. [Google Scholar] [CrossRef]
- Koç, G.; Thieken, A.H. The Relevance of Flood Hazards and Impacts in Turkey: What Can Be Learned from Different Disaster Loss Databases? Nat. Hazards 2018, 91, 375–408. [Google Scholar] [CrossRef]
- Koç, G.; Petrow, T.; Thieken, A.H. Analysis of the Most Severe Flood Events in Turkey (1960-2014): Which Triggering Mechanisms and Aggravating Pathways Can Be Identified? Water 2020, 12, 1562. [Google Scholar] [CrossRef]
- Buldur, A.D.; Pınar, A.; Başaran, A. Flood of Göksu River Dated 05-07 March 2004 and Its Impact on Silifke. J. Selçuk Univ. Soc. Sci. Inst. 2007, 17, 139–160. [Google Scholar]
- SYGM. Eastern Mediterranean Basin Flood Management Plan; T.C. Tarim Ve Orman Bakanliği Su Yönetimi Genel Müdürlüğü: Ankara, Turkey, 2019. [Google Scholar]
- AFAD Planning and Risk Reduction Department. Provincial Disaster Risk Reduction Plan; AFAD Planning and Risk Reduction Department: Mersin, Turkey, 2021. [Google Scholar]
- Koç, G.; Thieken, A.H. Societal and Economic Impacts of Flood Hazards in Turkey—An Overview. E3S Web Conf. 2016, 7, 05012. [Google Scholar] [CrossRef]
- Jarvis, A.; Guevara, E.; Reuter, H.I.; Nelson, A.D. Hole-Filled SRTM for the Globe: Version 4: Data Grid, CGIAR Consortium for Spatial Information. Available online: http://srtm.csi.cgiar.org/ (accessed on 9 June 2023).
- Büttner, G.; Kosztra, B.; Maucha, G.; Pataki, R.; Kleeschulte, S.; Hazeu, G.W.; Vittek, M.; Schroder, C.; Littkopf, A. Copernicus Land Monitoring Service—CORINE Land Cover User Manual; Copernicus Publications: Bonn, Germany, 2021. [Google Scholar]
- Ross, C.W.; Prihodko, L.; Anchang, J.; Kumar, S.; Ji, W.; Hanan, N.P. HYSOGs250m, Global Gridded Hydrologic Soil Groups for Curve-Number-Based Runoff Modeling. Sci. Data 2018, 5, 180091. [Google Scholar] [CrossRef]
- Maidment, D.R. Arc Hydro: GIS for Water Resources; ESRI, Inc.: Redlands, CA, USA, 2002. [Google Scholar]
- Natural Resources Conservation Service (NRCS). Time of Concentration (Chapter 15). In Hydrology National Engineering Handbook; Natural Resources Conservation Service (NRCS): Washington, DC, USA, 2010; pp. 1–29. [Google Scholar]
- Hadi, Z.N.; Almansori, N.J.H. Estimation of Manning Coefficient for the Section between Al-Hindiya Barrage and Al-Kufa Barrage Utilizing HEC-RAS. Mater. Today Proc. 2023, 80, 2595–2601. [Google Scholar] [CrossRef]
- Demir, V.; Beden, N.; Ülke, A. Review and Comparison of Flood Modeling Methods. Eur. J. Sci. Technol. 2021, 2021, 1013–1021. [Google Scholar] [CrossRef]
- Lea, D.; Yeonsu, K.; Hyunuk, A. Case Study of HEC-RAS 1D-2D Coupling Simulation: 2002 Baeksan Flood Event in Korea. Water 2019, 11, 2048. [Google Scholar] [CrossRef]
- Acheampong, J.N.; Gyamfi, C.; Arthur, E. Impacts of Retention Basins on Downstream Flood Peak Attenuation in the Odaw River Basin, Ghana. J. Hydrol. Reg. Stud. 2023, 47, 101364. [Google Scholar] [CrossRef]
- U.S. Army Corps of Engineering. HEC-RAS 5.0 Supplemental to User’s Manual; U.S. Army Corps of Engineering: Huntsville, AL, USA, 2018.
- Papaioannou, G.; Efstratiadis, A.; Vasiliades, L.; Loukas, A.; Papalexiou, S.M.; Koukouvinos, A.; Tsoukalas, I.; Kossieris, P. An Operational Method for Flood Directive Implementation in Ungauged Urban Areas. Hydrology 2018, 5, 24. [Google Scholar] [CrossRef]
- Defra. Environment Agency Flood Risks to People—Phase 2—FD2321/TR2 Guidance Document. 2006; 91p. Available online: https://assets.publishing.service.gov.uk/media/602bbc3de90e07055f646148/Flood_risks_to_people_-_Phase_2_Guidance_Document_Technical_report.pdf (accessed on 9 June 2023).
- van Alphen, J.; Passchier, R. Atlas of Flood Maps, examplesfrom 19 European countries, USA and Japen, Ministry of Trans-port, Public Works and Water Management, The Hague, Nether-lands, prepared for EXCIMAP. 2007. Available online: http://ec.europa.eu/environment/water/floodrisk/floodatlas/index.htm (accessed on 28 January 2024).
- Priest, S.J.; Parker, D.J.; Tapsell, S.M. Modelling the Potential Damage-Reducing Benefits of Flood Warnings Using European Cases. Environ. Hazards 2011, 10, 101–120. [Google Scholar] [CrossRef][Green Version]











| Data | Data Type | Source | Source Link | Resolution/ Time Step | Intended Purpose (s) |
|---|---|---|---|---|---|
| DEM | Geospatial | SRTM | https://earthexplorer.usgs.gov/ (accessed on 9 June 2023) | 30 m | Basin delineation |
| Definition of river network | |||||
| Land use | CORINE 2018 | https://land.copernicus.eu/ (accessed on 9 June 2023) | 100 m | CN grid generation (land-use type) | |
| Soil type | HYSOGs250m | https://daac.ornl.gov/ (accessed on 9 June 2023) | 250 m | CN grid generation (hydrologic soil group) | |
| Rainfall | Meteorological | TSMS | https://www.mgm.gov.tr/ (accessed on 9 June 2023) | Intensity–Duration–Frequency (IDF) | Definition of rainfall for 25, 50, 100, and 500 yr return period |
| Subbasin | Reach | Average CN | Longest Flowpath Length (km) | Basin Slope (m/m) | Maximum Potential Retention S | Basin Slope (%) | Time of Concentration Tc (h) | Lag Time (h) | Meteorological Station (TSMS) |
|---|---|---|---|---|---|---|---|---|---|
| S1 | 79.06 | 55.52 | 0.18 | 2.65 | 17.55 | 8.23 | 4.94 | Hadim | |
| S10 | R8 | 85.86 | 48.66 | 0.22 | 1.65 | 22.04 | 5.27 | 3.16 | Anamur |
| S11 | 80.39 | 50.67 | 0.23 | 2.44 | 23.26 | 6.37 | 3.82 | Gazipaşa | |
| S12 | 83.15 | 53.51 | 0.25 | 2.03 | 24.55 | 5.92 | 3.55 | Anamur | |
| S13 | 85.24 | 47.36 | 0.24 | 1.73 | 23.80 | 5.08 | 3.05 | Mut | |
| S14 | R14 | 84.49 | 14.44 | 0.27 | 1.84 | 27.08 | 1.89 | 1.13 | Mut |
| S15 | R16 | 81.44 | 51.10 | 0.23 | 2.28 | 23.17 | 6.21 | 3.73 | Hadim |
| S16 | R18 | 90.73 | 0.18 | 0.07 | 1.02 | 7.23 | 0.09 | 0.05 | Hadim |
| S17 | R9 | 83.68 | 39.00 | 0.29 | 1.95 | 29.30 | 4.13 | 2.48 | Hadim |
| S18 | 87.43 | 22.05 | 0.36 | 1.44 | 35.73 | 2.08 | 1.25 | Anamur | |
| S19 | R7 | 83.11 | 33.11 | 0.21 | 2.03 | 20.68 | 4.40 | 2.64 | Anamur |
| S2 | 81.53 | 46.04 | 0.28 | 2.27 | 27.70 | 5.21 | 3.13 | Hadim | |
| S20 | R10 | 85.20 | 76.79 | 0.31 | 1.74 | 31.32 | 6.53 | 3.92 | Karaman |
| S21 | R6 | 87.06 | 34.36 | 0.28 | 1.49 | 27.72 | 3.41 | 2.04 | Anamur |
| S22 | R5 | 87.02 | 13.33 | 0.37 | 1.49 | 36.74 | 1.39 | 0.83 | Mut |
| S23 | R4 | 85.95 | 40.73 | 0.26 | 1.63 | 26.02 | 4.20 | 2.52 | Mut |
| S24 | R3 | 85.84 | 19.22 | 0.19 | 1.65 | 18.67 | 2.73 | 1.64 | Mut |
| S25 | R11 | 86.39 | 46.31 | 0.24 | 1.58 | 24.14 | 4.75 | 2.85 | Mut |
| S26 | R12 | 85.49 | 27.65 | 0.18 | 1.70 | 18.10 | 3.75 | 2.25 | Mut |
| S27 | R13 | 84.99 | 27.82 | 0.13 | 1.77 | 13.47 | 4.45 | 2.67 | Mut |
| S28 | R2 | 84.29 | 59.70 | 0.18 | 1.86 | 18.08 | 7.25 | 4.35 | Mut |
| S29 | R1 | 77.24 | 4.76 | 0.07 | 2.95 | 7.43 | 1.87 | 1.12 | Mut |
| S3 | 81.99 | 64.87 | 0.28 | 2.20 | 27.95 | 6.73 | 4.04 | Hadim | |
| S30 | R15 | 84.97 | 34.27 | 0.22 | 1.77 | 21.91 | 4.12 | 2.47 | Mut |
| S31 | R17 | 85.52 | 41.22 | 0.29 | 1.69 | 29.30 | 4.06 | 2.43 | Silifke |
| S32 | R19 | 85.31 | 44.43 | 0.21 | 1.72 | 21.11 | 5.11 | 3.07 | Silifke |
| S4 | 82.43 | 61.04 | 0.21 | 2.13 | 20.95 | 7.30 | 4.38 | Mut | |
| S5 | 85.43 | 105.81 | 0.35 | 1.70 | 34.55 | 7.96 | 4.78 | Hadim | |
| S6 | 83.55 | 87.58 | 0.21 | 1.97 | 21.02 | 9.37 | 5.62 | Mut | |
| S7 | 82.46 | 42.11 | 0.24 | 2.13 | 23.54 | 5.11 | 3.07 | Hadim | |
| S8 | 83.72 | 49.91 | 0.25 | 1.94 | 25.48 | 5.39 | 3.24 | Hadim | |
| S9 | 84.60 | 52.38 | 0.24 | 1.82 | 24.37 | 5.56 | 3.34 | Mut |
| Hydrological Process | Method | Parameters | Unit | Fitting Value |
|---|---|---|---|---|
| Loss Method | SCS Curve Number | Initial Abstraction | mm | Automatic (0.2×) |
| CN | unitless | Variable for each subbasin based on Table 2 | ||
| Impervious | % | 10 | ||
| Transform Method | Clark Unit Hydrograph | Time of concentration | h | Variable for each subbasin based on Table 2 |
| Storage coefficient | h | 80 | ||
| Routing Method | Lag | Lag time | min | Variable for each subbasin based on Table 2 |
| Depth and Velocity | Pasture/Arable | Woodland | Urban |
|---|---|---|---|
| 0.00–0.25 m | 0 | 0 | 0 |
| 0.25–0.75 m | 0 | 0.5 | 1 |
| d > 0.75 m and/or v > 2 | 0.5 | 1 | 1 |
| Thresholds for Flood Hazard Rating (HR = d × (v + 0.5) + DF) | Flood Hazard Level | Woodland |
|---|---|---|
| <0.75 | Low | Caution—“Flood zone with shallow flowing water or deep standing water” |
| 0.75–1.25 | Moderate | Dangerous for some (e.g., children)—“Danger: flood zone with deep or fast flowing water” |
| 1.25–2.00 | Significant | Dangerous for most people—“Danger: flood zone with fast flowing water” |
| >2 | Extreme | Dangerous for all—“Extreme danger: flood zone with deep, fast flowing water” |
| Peak Flow Rate Calculated by Using | Stream Flow Rate for Various Return Periods | |||
|---|---|---|---|---|
| Q25 (m3/s) | Q50 (m3/s) | Q100 (m3/s) | Q500 (m3/s) | |
| HEC-HMS Model | 1191.7 | 1321.2 | 1466.8 | 1888.3 |
| Literature * | - | 1345.0 | 1502.0 | 1831.0 |
| Return Period | |||
|---|---|---|---|
| Q25 | Q50 | Q100 | Q500 |
| 4.288 | 4.472 | 4.730 | 5.767 |
Disclaimer/Publisher’s Note: The statements, opinions and data contained in all publications are solely those of the individual author(s) and contributor(s) and not of MDPI and/or the editor(s). MDPI and/or the editor(s) disclaim responsibility for any injury to people or property resulting from any ideas, methods, instructions or products referred to in the content. |
© 2024 by the authors. Licensee MDPI, Basel, Switzerland. This article is an open access article distributed under the terms and conditions of the Creative Commons Attribution (CC BY) license (https://creativecommons.org/licenses/by/4.0/).
Share and Cite
Peker, İ.B.; Gülbaz, S.; Demir, V.; Orhan, O.; Beden, N. Integration of HEC-RAS and HEC-HMS with GIS in Flood Modeling and Flood Hazard Mapping. Sustainability 2024, 16, 1226. https://doi.org/10.3390/su16031226
Peker İB, Gülbaz S, Demir V, Orhan O, Beden N. Integration of HEC-RAS and HEC-HMS with GIS in Flood Modeling and Flood Hazard Mapping. Sustainability. 2024; 16(3):1226. https://doi.org/10.3390/su16031226
Chicago/Turabian StylePeker, İsmail Bilal, Sezar Gülbaz, Vahdettin Demir, Osman Orhan, and Neslihan Beden. 2024. "Integration of HEC-RAS and HEC-HMS with GIS in Flood Modeling and Flood Hazard Mapping" Sustainability 16, no. 3: 1226. https://doi.org/10.3390/su16031226
APA StylePeker, İ. B., Gülbaz, S., Demir, V., Orhan, O., & Beden, N. (2024). Integration of HEC-RAS and HEC-HMS with GIS in Flood Modeling and Flood Hazard Mapping. Sustainability, 16(3), 1226. https://doi.org/10.3390/su16031226

