High Salinity Alters the Adsorption Behavior of Microplastics towards Typical Pollutants and the Phytotoxicity of Microplastics to Synechococcus
Abstract
1. Introduction
2. Materials and Methods
2.1. Experimental Materials
2.2. Adsorption Experiments
2.3. Cultivation of Synechococcus
2.4. Exposure Experiments for MPs at High Salinity
2.5. Determination of SOD and CAT Activities and GSH and Chlorophyll-a Contents
2.6. Statistical Analysis
3. Results
3.1. Adsorption of the Three Pollutants on PE and PVC under High Salinity
3.2. Single Effects of MPs and Salinity on Synechococcus
3.2.1. Single Effect of MPs
3.2.2. Single Effect of High Salinity
3.3. Combined Effect of High Salinity and MPs on Synechococcus
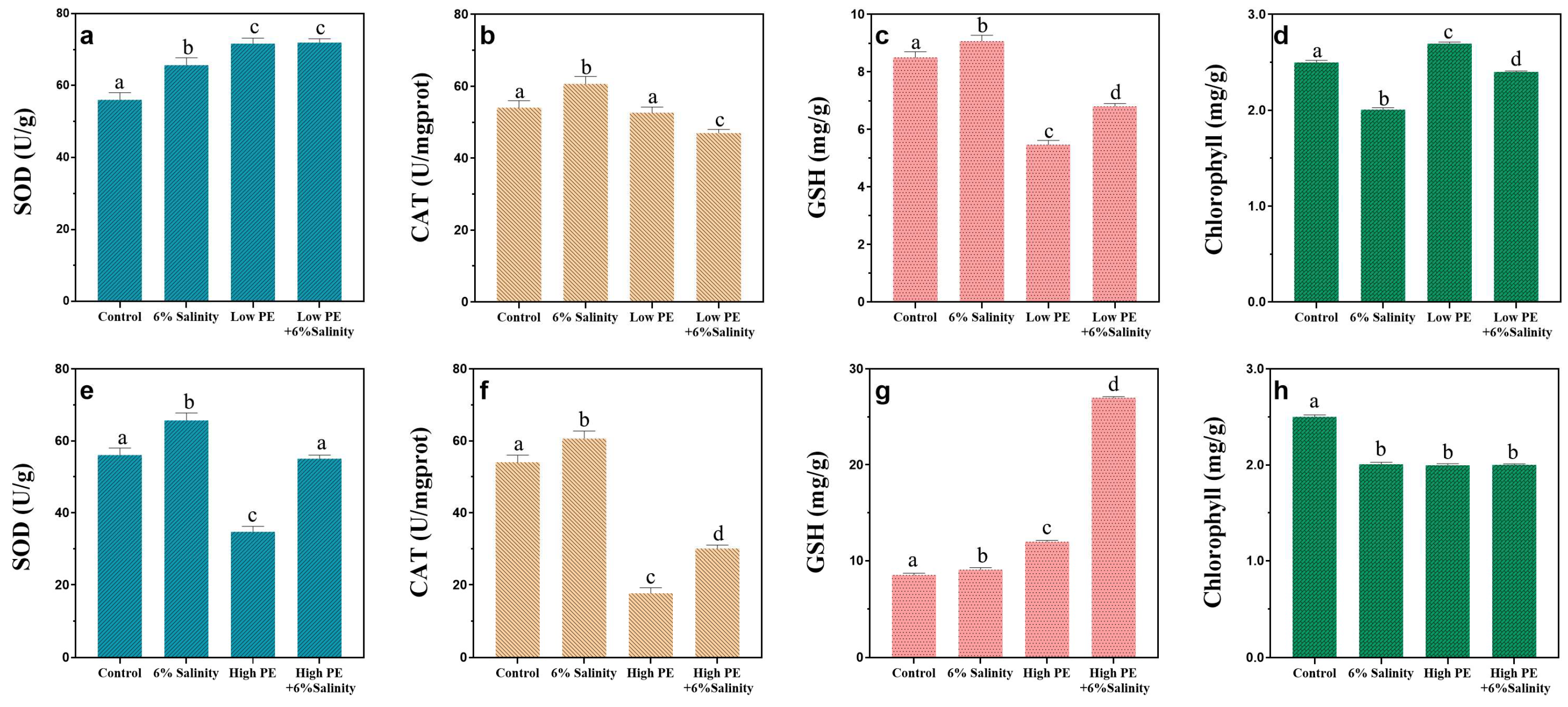
3.3.1. PE-MPs and High Salinity
3.3.2. PVC-MPs and High Salinity
4. Discussion
5. Conclusions
Author Contributions
Funding
Institutional Review Board Statement
Informed Consent Statement
Data Availability Statement
Conflicts of Interest
References
- Wang, J.; Liu, X.; Dai, Y.; Ren, J.; Li, Y.; Wang, X.; Zhang, P.; Peng, C. Effects of co-loading of polyethylene microplastics and ciprofloxacin on antibiotic degradation efficiency and microbial community structure soil. Sci. Total Environ. 2020, 741, 140463. [Google Scholar] [CrossRef]
- Pan, Z.; Guo, H.; Chen, H.; Wang, S.; Sun, X.; Zou, Q.; Zhang, Y.; Lin, H.; Cai, S.; Huang, J. Microplastics in the Northwestern Pacific: Abundance, distribution, and characteristics. Sci. Total Environ. 2019, 650, 1913–1922. [Google Scholar] [CrossRef]
- Hoffmann, L.; Eggers, S.L.; Allhusen, E.; Katlein, C.; Peeken, I. Interactions between the ice algae Fragillariopsis cylindrus and microplastics in sea ice. Environ. Int. 2020, 139, 105697. [Google Scholar] [CrossRef] [PubMed]
- Thammatorn, W.; Palic, D. Potential Risks of Microplastic Fomites to Aquatic Organisms with Special Emphasis on Polyethylene-Microplastic-Glyphosate Exposure Case in Aquacultured Shrimp. Appl. Sci. 2022, 12, 5135. [Google Scholar] [CrossRef]
- Bao, Z.; Chen, Z.; Lu, S.; Wang, G.; Qi, Z.; Cai, Z. Effects of hydroxyl group content on adsorption and desorption of anthracene and anthrol by polyvinyl chloride microplastics. Sci. Total Environ. 2021, 790, 148077. [Google Scholar] [CrossRef] [PubMed]
- Jiang, H.; Zhang, Y.; Wang, C.; Wang, H. A clean and efficient flotation towards recovery of hazardous polyvinyl chloride and polycarbonate microplastics through selective aluminum coating: Process, mechanism, and optimization. J. Environ. Manag. 2021, 299, 113626. [Google Scholar] [CrossRef] [PubMed]
- Salajeghe, M.; Ameri, M. Evaluation of the energy consumption of hybrid desalination RO-MED-FD to reduce rejected brine. Environ. Prog. Sustain. 2023, e14312. [Google Scholar] [CrossRef]
- Purnama, A.; Al-Barwani, H.H. Spreading of brine waste discharges into the Gulf of Oman. Desalination 2006, 195, 26–31. [Google Scholar] [CrossRef]
- Panagopoulos, A.; Haralambous, K. Environmental impacts of desalination and brine treatment—Challenges and mitigation measures. Mar. Pollut. Bull. 2020, 161, 111773. [Google Scholar] [CrossRef]
- Ahechti, M.; Benomar, M.; El Alami, M.; Mendiguchia, C. Metal adsorption by microplastics in aquatic environments under controlled conditions: Exposure time, pH and salinity. Int. J. Environ. Ch. 2022, 102, 1118–1125. [Google Scholar] [CrossRef]
- Liu, X.; Zheng, M.; Wang, L.; Ke, R.; Lou, Y.; Zhang, X.; Dong, X.; Zhang, Y. Sorption behaviors of tris-(2,3-dibromopropyl) isocyanurate and hexabromocyclododecanes on polypropylene microplastics (vol 135, pg 581, 2018). Mar. Pollut. Bull. 2022, 181, 113889. [Google Scholar] [CrossRef] [PubMed]
- Dong, X.; Zheng, M.; Qu, L.; Shi, L.; Wang, L.; Zhang, Y.; Liu, X.; Qiu, Y.; Zhu, H. Sorption of Tonalide, Musk Xylene, Galaxolide, and Musk Ketone by microplastics of polyethylene and polyvinyl chloride. Mar. Pollut. Bull. 2019, 144, 129–133. [Google Scholar] [CrossRef] [PubMed]
- Kong, F.; Xu, X.; Xue, Y.; Gao, Y.; Zhang, L.; Wang, L.; Jiang, S.; Zhang, Q. Investigation of the Adsorption of Sulfamethoxazole by Degradable Microplastics Artificially Aged by Chemical Oxidation. Arch. Environ. Con. Tox. 2021, 81, 155–165. [Google Scholar] [CrossRef] [PubMed]
- Arienzo, M.; Ferrara, L.; Trifuoggi, M. The Dual Role of Microplastics in Marine Environment: Sink and Vectors of Pollutants. J. Mar. Sci. Eng. 2021, 9, 642. [Google Scholar] [CrossRef]
- Zheng, D.; Yin, G.; Liu, M.; Chen, C.; Jiang, Y.; Hou, L.; Zheng, Y. A systematic review of antibiotics and antibiotic resistance genes in estuarine and coastal environments. Sci. Total Environ. 2021, 777, 146009. [Google Scholar] [CrossRef]
- Luek, J.L.; Dickhut, R.M.; Cochran, M.A.; Falconer, R.L.; Kylin, H. Persistent organic pollutants in the Atlantic and southern oceans and oceanic atmosphere. Sci. Total Environ. 2017, 583, 64–71. [Google Scholar] [CrossRef]
- Vrinda, P.K.; Amal, R.; Abhirami, N.; Mini, D.A.; Kumar, V.J.R.; Devipriya, S.P. Co-exposure of microplastics and heavy metals in the marine environment and remediation techniques: A comprehensive review. Environ. Sci. Pollut. Res. 2023, 30, 114822–114843. [Google Scholar] [CrossRef]
- Song, R.; Chi, H.; Ma, Q.; Li, D.; Wang, X.; Gao, W.; Wang, H.; Wang, X.; Li, Z.; Li, C. Highly Efficient Degradation of Persistent Pollutants with 3D Nanocone TiO2-Based Photoelectrocatalysis. J. Am. Chem. Soc. 2021, 143, 13664–13674. [Google Scholar] [CrossRef]
- Fulke, A.B.; Kotian, A.; Giripunje, M.D. Marine Microbial Response to Heavy Metals: Mechanism, Implications and Future Prospect. B Environ. Contam. Tox. 2020, 105, 182–197. [Google Scholar] [CrossRef]
- Zhang, Y.; Wang, X.; Yang, R.; Zhan, Y.; Shi, X. Effects of Ph2+ on the growth of marine algae. Mar. Sci. 2005, 29, 28–34, 52. [Google Scholar]
- Granados, P.; Mireles, S.; Pereira, E.; Cheng, C.; Kang, J.J. Effects of Biochar Production Methods and Biomass Types on Lead Removal from Aqueous Solution. Appl. Sci. 2022, 12, 5040. [Google Scholar] [CrossRef]
- Wang, X.; Lin, Y.; Zheng, Y.; Meng, F. Antibiotics in mariculture systems: A review of occurrence, environmental behavior, and ecological effects. Environ. Pollut. 2022, 293, 118541. [Google Scholar] [CrossRef] [PubMed]
- Yamashita, N.; Yasojima, M.; Nakada, N.; Miyajima, K.; Komori, K.; Suzuki, Y.; Tanaka, H. Effects of antibacterial agents, levofloxacin and clarithromycin, on aquatic organisms. Water Sci. Technol. 2006, 53, 65–72. [Google Scholar] [CrossRef] [PubMed]
- Wang, F.; Feng, X.; Liu, Y.; Adams, C.A.; Sun, Y.; Zhang, S. Micro(nano)plastics and terrestrial plants: Up-to-date knowledge on uptake, translocation, and phytotoxicity. Res. Conserv. Recycl. 2022, 185, 106503. [Google Scholar] [CrossRef]
- Yin, L.; Wen, X.; Huang, D.; Du, C.; Deng, R.; Zhou, Z.; Tao, J.; Li, R.; Zhou, W.; Wang, Z.; et al. Interactions between microplastics/nanoplastics and vascular plants. Environ. Pollut. 2021, 290, 117999. [Google Scholar] [CrossRef]
- Phaksopa, J.; Sukhsangchan, R.; Keawsang, R.; Tanapivattanakul, K.; Thamrongnawasawat, T.; Worachananant, S.; Sreesamran, P. Presence and Characterization of Microplastics in Coastal Fish around the Eastern Coast of Thailand. Sustainability 2021, 13, 13110. [Google Scholar] [CrossRef]
- Menendez, D.; Alvarez, A.; Peon, P.; Ardura, A.; Garcia-Vazquez, E. From the ocean to jellies forth and back? Microplastics along the commercial life cycle of red algae. Mar. Pollut. Bull. 2021, 168, 112402. [Google Scholar] [CrossRef]
- Wang, C.; Xing, R.; Sun, M.; Ling, W.; Shi, W.; Cui, S.; An, L. Microplastics profile in a typical urban river in Beijing. Sci. Total Environ. 2020, 743, 140708. [Google Scholar] [CrossRef]
- Li, H.; Li, Y.; Maryam, B.; Ji, Z.; Sun, J.; Liu, X. Polybrominated diphenyl ethers as hitchhikers on microplastics: Sorption behaviors and combined toxicities to Epinephelus moara. Aquat. Toxicol. 2022, 252, 106317. [Google Scholar] [CrossRef]
- Chen, C.; Ju, Y.; Lim, Y.C.; Hsu, N.; Lu, K.; Hsieh, S.; Dong, C.; Chen, C. Microplastics and their affiliated PAHs in the sea surface connected to the southwest coast of Taiwan. Chemosphere 2020, 254, 126818. [Google Scholar] [CrossRef]
- Lu, T.; Zhu, Y.; Xu, J.; Ke, M.; Zhang, M.; Tan, C.; Fu, Z.; Qian, H. Evaluation of the toxic response induced by azoxystrobin in the non-target green alga Chlorella pyrenoidosa. Environ. Pollut. 2018, 234, 379–388. [Google Scholar] [CrossRef]
- Song, C.; Liu, Z.; Wang, C.; Li, S.; Kitamura, Y. Different interaction performance between microplastics and microalgae: The bio-elimination potential of Chlorella sp. L38 and Phaeodactylum tricornutum MASCC-0025. Sci. Total Environ. 2020, 723, 138146. [Google Scholar] [CrossRef]
- Wu, N.; Zhang, W.; Xie, S.; Zeng, M.; Liu, H.; Yang, J.; Liu, X.; Yang, F. Increasing prevalence of antibiotic resistance genes in manured agricultural soils in northern China. Front. Environ. Sci. Eng. 2020, 14, 1. [Google Scholar] [CrossRef]
- Avio, C.G.; Gorbi, S.; Milan, M.; Benedetti, M.; Fattorini, D.; D’Errico, G.; Pauletto, M.; Bargelloni, L.; Regoli, F. Pollutants bioavailability and toxicological risk from microplastics to marine mussels. Environ. Pollut. 2015, 198, 211–222. [Google Scholar] [CrossRef] [PubMed]
- Yu, R.; Singh, S. Microplastic Pollution: Threats and Impacts on Global Marine Ecosystems. Sustainability 2023, 15, 13252. [Google Scholar] [CrossRef]
- Chen, S.; Tan, Z.; Qi, Y.; Ouyang, C. Sorption of tri-n-butyl phosphate and tris(2-chloroethyl) phosphate on polyethylene and polyvinyl chloride microplastics in seawater. Mar. Pollut. Bull. 2019, 149, 110490. [Google Scholar] [CrossRef] [PubMed]
- Zhang, T.; Zhou, K.; Wang, Y.; Xu, J.; Zheng, Q.; Luo, T.; Jiao, N. Genomic insights into the adaptation of Synechococcus to the coastal environment on Xiamen. Front. Microbiol. 2023, 14, 1292150. [Google Scholar] [CrossRef] [PubMed]
- Cole, M.; Lindeque, P.; Fileman, E.; Halsband, C.; Goodhead, R.; Moger, J.; Galloway, T.S. Microplastic Ingestion by Zooplankton. Environ. Sci. Technol. 2013, 47, 6646–6655. [Google Scholar] [CrossRef]
- Yin, L.; Chen, B.; Xia, B.; Shi, X.; Qu, K. Polystyrene microplastics alter the behavior, energy reserve and nutritional composition of marine jacopever (Sebastes schlegelii). J. Hazard. Mater. 2018, 360, 97–105. [Google Scholar] [CrossRef]
- Wang, S.; Wang, Y.; Liang, Y.; Cao, W.; Sun, C.; Ju, P.; Zheng, L. The interactions between microplastic polyvinyl chloride and marine diatoms: Physiological, morphological, and growth effects. Ecotox. Environ. Safe. 2020, 203, 111000. [Google Scholar] [CrossRef]
- Xu, H.; Li, L.; Wang, Y.; Qiu, K.; Chen, S.; Zeng, J.; Liu, R.; Yang, Q.; Huang, W. Differential physiological response of marine and freshwater microalgae to polystyrene microplastics. J. Hazard. Mater. 2023, 448, 130814. [Google Scholar] [CrossRef]
- Li, Y.; Liu, S.; Ji, Z.; Sun, J.; Liu, X. Distinct responses of Chlorella vulgaris upon combined exposure to microplastics and bivalent zinc. J. Hazard. Mater. 2023, 442, 130137. [Google Scholar] [CrossRef]
- Bester, K. Polycyclic musks in the Ruhr catchment area—Transport, discharges of waste water, and transformations of HHCB, AHTN and HHCB-lactone. J. Environ. Monit. 2005, 7, 43–51. [Google Scholar] [CrossRef]
- Velzeboer, I.; Kwadijk, C.J.A.F.; Koelmans, A.A. Strong Sorption of PCBs to Nanoplastics, Microplastics, Carbon Nanotubes, and Fullerenes. Environ. Sci. Technol. 2014, 48, 4869–4876. [Google Scholar] [CrossRef] [PubMed]
- Haynes, D.; Johnson, J.E. Organochlorine, Heavy Metal and Polyaromatic Hydrocarbon Pollutant Concentrations in the Great Barrier Reef (Australia) Environment: A Review. Mar. Pollut. Bull. 2000, 41, 267–278. [Google Scholar] [CrossRef]
- Su, D.; Wei, Y.; Chelimuge; Ma, Y.; Chen, Y.; Liu, Z.; Ben, W.; Wang, Y. Distribution, ecological risks and priority of pharmaceuticals in the coastal water of Qinhuangdao, China. Sci. Total Environ. 2024, 907, 167955. [Google Scholar] [CrossRef]
- Yu, F.; Yang, C.; Huang, G.; Zhou, T.; Zhao, Y.; Ma, J. Interfacial interaction between diverse microplastics and tetracycline by adsorption in an aqueous solution. Sci. Total Environ. 2020, 721, 137729. [Google Scholar] [CrossRef] [PubMed]
- Godoy, V.; Blazquez, G.; Calero, M.; Quesada, L.; Martin-Lara, M.A. The potential of microplastics as carriers of metals. Environ. Pollut. 2019, 255, 113363. [Google Scholar] [CrossRef] [PubMed]
- Lin, L.; Tang, S.; Wang, X.; Sun, X.; Yu, A. Hexabromocyclododecane alters malachite green and lead(II) adsorption behaviors onto polystyrene microplastics: Interaction mechanism and competitive effect. Chemosphere 2021, 265, 129079. [Google Scholar] [CrossRef] [PubMed]
- Shen, M.; Song, B.; Zeng, G.; Zhang, Y.; Teng, F.; Zhou, C. Surfactant changes lead adsorption behaviors and mechanisms on microplastics. Chem. Eng. J. 2021, 405, 126989. [Google Scholar] [CrossRef]
- Huang, D.; Xu, Y.; Yu, X.; Ouyang, Z.; Guo, X. Effect of cadmium on the sorption of tylosin by polystyrene microplastics. Ecotox. Environ. Safe 2021, 207, 111255. [Google Scholar] [CrossRef]
- Wang, L.; Kaeppler, A.; Fischer, D.; Simmchen, J. Photocatalytic TiO2 Micromotors for Removal of Microplastics and Suspended Matter. Acs Appl. Mater. Int. 2019, 11, 32937–32944. [Google Scholar] [CrossRef]
- Mizugaki, A.; Kato, H.; Takeda, T.; Inoue, Y.; Hasumura, M.; Hasegawa, T.; Murakami, H. Cystine reduces mitochondrial dysfunction in C2C12 myotubes under moderate oxidative stress induced by H2O2. Amino Acids 2022, 54, 1203–1213. [Google Scholar] [CrossRef]
- Zhang, H.; Jay Forman, H.; Choi, J. γ-Glutamyl Transpeptidase in Glutathione Biosynthesis. In Methods in Enzymology; Sies, H., Packer, L., Eds.; Academic Press: Cambridge, MA, USA, 2005; Volume 401, pp. 468–483. [Google Scholar]
- Bhatt, P.; Pathak, V.M.; Bagheri, A.R.; Bilal, M. Microplastic contaminants in the aqueous environment, fate, toxicity consequences, and remediation strategies. Environ. Res. 2021, 200, 111762. [Google Scholar] [CrossRef]
- Wang, X.; Zhao, Y.; Zhao, L.; Wan, Q.; Ma, L.; Liang, J.; Li, H.; Dong, J.; Zhang, M. Effects of microplastics on the growth, photosynthetic efficiency and nutrient composition in freshwater algae Chlorella vulgaris Beij. Aquat. Toxicol. 2023, 261, 106615. [Google Scholar] [CrossRef] [PubMed]
- Zhang, C.; Chen, X.; Wang, J.; Tan, L. Toxic effects of microplastic on marine microalgae Skeletonema costatum: Interactions between microplastic and algae. Environ. Pollut. 2017, 220, 1282–1288. [Google Scholar] [CrossRef] [PubMed]
- Canniff, P.M.; Hoang, T.C. Microplastic ingestion by Daphnia magna and its enhancement on algal growth. Sci. Total Environ. 2018, 633, 500–507. [Google Scholar] [CrossRef] [PubMed]
- Fu, D.; Zhang, Q.; Fan, Z.; Qi, H.; Wang, Z.; Peng, L. Aged microplastics polyvinyl chloride interact with copper and cause oxidative stress towards microalgae Chlorella vulgaris. Aquat. Toxicol. 2019, 216, 105319. [Google Scholar] [CrossRef] [PubMed]
- Wang, J.; Sommerfeld, M.; Hu, Q. Cloning and expression of isoenzymes of superoxide dismutase in Haematococcus pluvialis (Chlorophyceae) under oxidative stress. J. Appl. Phycol. 2011, 23, 995–1003. [Google Scholar] [CrossRef]
- Li, Y.; Sommerfeld, M.; Chen, F.; Hu, Q. Consumption of oxygen by astaxanthin biosynthesis: A protective mechanism against oxidative stress in Haematococcus pluvialis (Chlorophyceae). J. Plant. Physiol. 2008, 165, 1783–1797. [Google Scholar] [CrossRef]
- Blokhina, O.; Virolainen, E.; Fagerstedt, K.V. Antioxidants, oxidative damage and oxygen deprivation stress: A review. Ann. Bot. 2003, 91, 179–194. [Google Scholar] [CrossRef]
- Scandalios, J.G.; Acevedo, A.; Ruzsa, S. Catalase gene expression in response to chronic high temperature stress in maize. Plant Sci. 2000, 156, 103–110. [Google Scholar] [CrossRef] [PubMed]
- Averill-Bates, D.A. Chapter Five—The antioxidant glutathione. In Vitamins and Hormones; Litwack, G., Ed.; Academic Press: Cambridge, MA, USA, 2023; Volume 121, pp. 109–141. [Google Scholar]
- FU, R.; CHEN, J.; LI, Y. The Function of the Glutathione/Glutathione Peroxidase System in the Oxidative Stress Resistance Systems of Microbial Cells. Chin. J. Biotechnol. 2007, 23, 770–775. [Google Scholar] [CrossRef] [PubMed]
- Farkas, A.; Pap, B.; Zsíros, O.; Patai, R.; Shetty, P.; Garab, G.; Bíró, T.; Ördög, V.; Maróti, G. Salinity stress provokes diverse physiological responses of eukaryotic unicellular microalgae. Algal. Res. 2023, 73, 103155. [Google Scholar] [CrossRef]
- Xiao, R.; Zheng, Y. Overview of microalgal extracellular polymeric substances (EPS) and their applications. Biotechnol. Adv. 2016, 34, 1225–1244. [Google Scholar] [CrossRef] [PubMed]
- Chen, B.; Li, F.; Liu, N.; Ge, F.; Xiao, H.; Yang, Y. Role of extracellular polymeric substances from Chlorella vulgaris in the removal of ammonium and orthophosphate under the stress of cadmium. Bioresour. Technol. 2015, 190, 299–306. [Google Scholar] [CrossRef] [PubMed]
- Zheng, S.; Zhou, Q.; Chen, C.; Yang, F.; Cai, Z.; Li, D.; Geng, Q.; Feng, Y.; Wang, H. Role of extracellular polymeric substances on the behavior and toxicity of silver nanoparticles and ions to green algae Chlorella vulgaris. Sci. Total Environ. 2019, 660, 1182–1190. [Google Scholar] [CrossRef]








Disclaimer/Publisher’s Note: The statements, opinions and data contained in all publications are solely those of the individual author(s) and contributor(s) and not of MDPI and/or the editor(s). MDPI and/or the editor(s) disclaim responsibility for any injury to people or property resulting from any ideas, methods, instructions or products referred to in the content. |
© 2024 by the authors. Licensee MDPI, Basel, Switzerland. This article is an open access article distributed under the terms and conditions of the Creative Commons Attribution (CC BY) license (https://creativecommons.org/licenses/by/4.0/).
Share and Cite
Liu, W.; Gu, C.; Li, J.; Zhang, Y.; Zhang, X.; Zhang, P.; Liu, X. High Salinity Alters the Adsorption Behavior of Microplastics towards Typical Pollutants and the Phytotoxicity of Microplastics to Synechococcus. Sustainability 2024, 16, 1107. https://doi.org/10.3390/su16031107
Liu W, Gu C, Li J, Zhang Y, Zhang X, Zhang P, Liu X. High Salinity Alters the Adsorption Behavior of Microplastics towards Typical Pollutants and the Phytotoxicity of Microplastics to Synechococcus. Sustainability. 2024; 16(3):1107. https://doi.org/10.3390/su16031107
Chicago/Turabian StyleLiu, Wanxin, Chunbo Gu, Jiayao Li, Yihao Zhang, Xu Zhang, Pingping Zhang, and Xianhua Liu. 2024. "High Salinity Alters the Adsorption Behavior of Microplastics towards Typical Pollutants and the Phytotoxicity of Microplastics to Synechococcus" Sustainability 16, no. 3: 1107. https://doi.org/10.3390/su16031107
APA StyleLiu, W., Gu, C., Li, J., Zhang, Y., Zhang, X., Zhang, P., & Liu, X. (2024). High Salinity Alters the Adsorption Behavior of Microplastics towards Typical Pollutants and the Phytotoxicity of Microplastics to Synechococcus. Sustainability, 16(3), 1107. https://doi.org/10.3390/su16031107

