Do Sustainably Reared Marine Sponges Represent A Potential New Product in Aquariology? A Citizen Science-Based Approach
Abstract
1. Introduction
2. Materials and Methods
2.1. Design
2.2. Data Analysis
2.3. Privacy Considerations
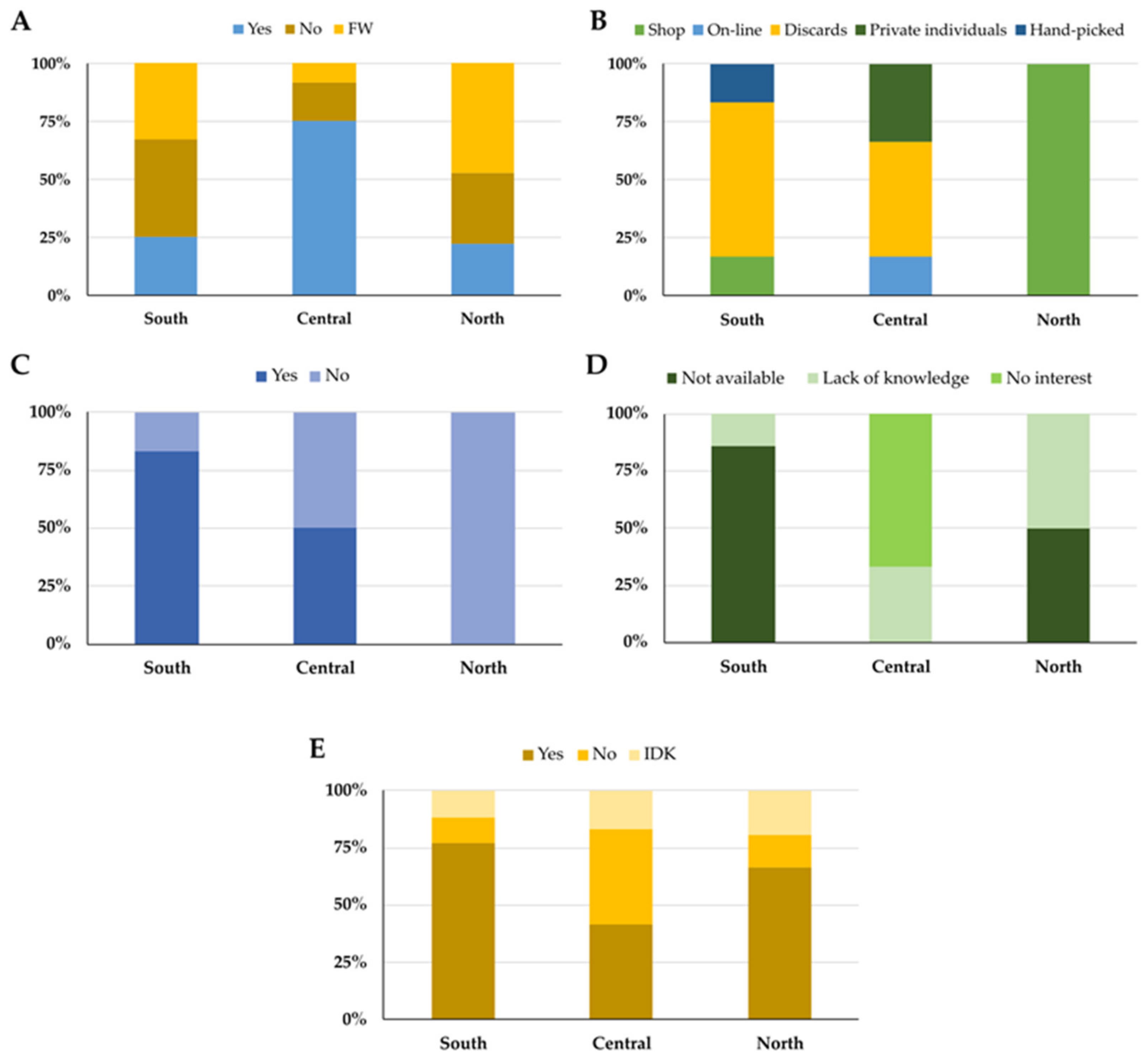
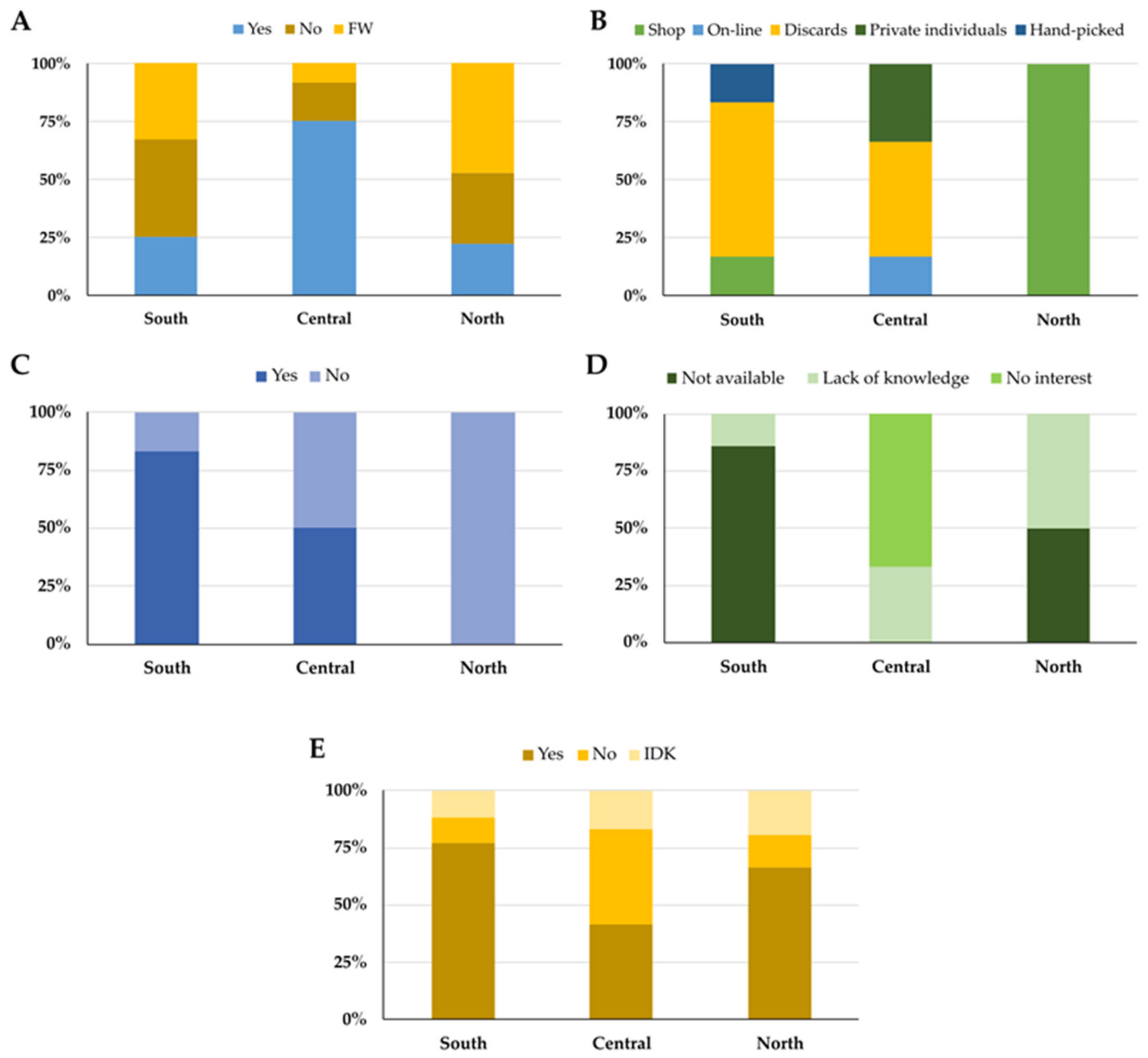
3. Results
3.1. Sociodemographic Characteristics and General Knowledge
3.2. Aquarium Matters
3.3. Sustainable Awareness
3.4. Final Question: Effect of Sustainability on Hypothetical Purchase Intention
4. Discussion
5. Conclusions
Author Contributions
Funding
Institutional Review Board Statement
Informed Consent Statement
Data Availability Statement
Acknowledgments
Conflicts of Interest
Appendix A. Printable Version of the Questionnaire (English Version)


- □
- In your local aquarium store
- □
- In an online store
- □
- Other:
- □
- No
- □
- Other:
- □
- It is not possible to buy them in the store
- □
- They are too expensive
- □
- I was not aware of their existence
- □
- Other:
- □
- Yes, I buy them now, but I would buy them more often.
- □
- Yes, I do not buy them now, but I would like to buy them.
- □
- No, I buy them now, and I would not change the frequency
- □
- No, I do not buy them now, and I would not like to purchase them
- □
- I don’t know
- □
- High school diploma or lower
- □
- Bachelor’s degree or higher
Appendix B. Printable Version of the Questionnaire (Original: Italian)


- □
- Nel negozio di acquariofilia di fiducia
- □
- In un negozio online
- □
- Altro:
- □
- No
- □
- Altro:
- □
- Non è possibile acquistarle in negozio
- □
- Sono troppo costose
- □
- Non ero a conoscenza della loro esistenza
- □
- Altro:
- □
- Sì, adesso le compro però le comprerei più spesso
- □
- Sì, adesso non le compro però mi piacerebbe acquistarle
- □
- No, adesso le compro e non cambierei la frequenza
- □
- No, adesso non le compro e non mi piacerebbe acquistarle
- □
- Non lo so
- □
- Diploma o inferiore
- □
- Laurea o superiore
References
- Chaviarà, D. Le spugne e i loro pescatori dai tempi antichi ad ora. Mem. Reg. Com. Talassogr. Ital. 1920, 74, 1–49. [Google Scholar]
- Bierwirth, J.; Mantas, T.P.; Villechanoux, J.; Cerrano, C. Restoration of marine sponges—What can we learn from over a century of experimental cultivation? Water 2022, 14, 1055. [Google Scholar] [CrossRef]
- Aguilo-Arce, J.; Ferriol, P.; Trani, R.; Puthod, P.; Pierri, C.; Longo, C. Sponges as emerging by-product of Integrated Multitrophic Aquaculture (IMTA). J. Mar. Sci. Eng. 2023, 11, 80. [Google Scholar] [CrossRef]
- Cavolini, F. Memorie per Servire alla Storia de’ Polipi Marini; Wentworth Press: Napoli, Italy, 1785; pp. 262–265. [Google Scholar]
- Reiswig, H.M. Particle feeding in natural populations of three marine demosponges. Biol. Bull. 1971, 141, 568–591. [Google Scholar] [CrossRef]
- Pile, A.J.; Patterson, M.R.; Witman, J.D. In situ grazing on plankton. Mar. Ecol. Prog. Ser. 1996, 141, 95–102. [Google Scholar] [CrossRef]
- Ribes, M.; Coma, R.; Gili, J.M. Natural diet and grazing rate of the temperate sponge Dysidea avara (Demospongiae, Dendroceratida) throughout an annual cycle. Mar. Ecol. Prog. Ser. 1999, 176, 179–190. [Google Scholar] [CrossRef]
- Maldonado, M.; Zhang, X.; Cao, X.; Xue, L.; Cao, H.; Zhang, W. Selective feeding by sponges on pathogenic microbes: A reassessment of potential for abatement of microbial pollution. Mar. Ecol. Prog. Ser. 2010, 403, 75–89. [Google Scholar] [CrossRef]
- Müller, W.E.; Wimmer, W.; Schatton, W.; Böhm, M.; Batel, R.; Filic, Z. Initiation of an aquaculture of sponges for the sustainable production of bioactive metabolites in open systems: Example, Geodia cydonium. Mar. Biotechnol. 1999, 1, 569–579. [Google Scholar] [CrossRef]
- Pronzato, R.; Bavestrello, G.; Cerrano, C.; Magnino, G.; Manconi, R.; Pantelis, J.; Sara, A.; Sidri, M. Sponge farming in the Mediterranean Sea: New perspectives. Mem. Qld. Mus. 1999, 44, 485–491. Available online: https://biostor.org/reference/110020 (accessed on 21 January 2024).
- Osinga, R.; Sidri, M.; Cerig, E.; Gokalp, S.Z.; Gokalp, M. Sponge aquaculture trials in the East-Mediterranean Sea: New approaches to earlier ideas. Open Mar. Biol. J. 2010, 4, 74–81. [Google Scholar] [CrossRef]
- Longo, C.; Cardone, F.; Corriero, G.; Licciano, M.; Pierri, C.; Stabili, L. The co-occurrence of the demosponge Hymeniacidon perlevis and the edible mussel Mytilus galloprovincialis as a new tool for bacterial load mitigation in aquaculture. Environ. Sci. Pollut. Res. 2016, 23, 3736–3746. [Google Scholar] [CrossRef]
- Gökalp, M.; Wijgerde, T.; Sarà, A.; De Goeij, J.M.; Osinga, R. Development of an integrated mariculture for the collagen-rich sponge Chondrosia reniformis. Mar. Drugs 2019, 17, 29. [Google Scholar] [CrossRef] [PubMed]
- Giangrande, A.; Pierri, C.; Arduini, D.; Borghese, J.; Licciano, M.; Trani, R.; Corriero, G.; Basile, G.; Cecere, E.; Petrocelli, A. An innovative IMTA system: Polychaetes, sponges and macroalgae co-cultured in a Southern Italian in-shore mariculture plant (Ionian Sea). J. Mar. Sci. Eng. 2020, 8, 733. [Google Scholar] [CrossRef]
- Mileti, A.; Arduini, D.; Watson, G.; Giangrande, A. Blockchain traceability in trading biomasses obtained with an Integrated Multi-Trophic Aquaculture. Sustainability 2023, 15, 767. [Google Scholar] [CrossRef]
- Ridler, N.; Wowchuk, M.; Robinson, B.; Barrington, K.; Chopin, T.; Robinson, S.; Page, F.; Reid, G.; Szemerda, M.; Sewuster, J.; et al. Integrated Multi-Trophic Aquaculture (IMTA): A potential strategic choice for farmers. Aquac. Econ. Manag. 2007, 11, 99–110. [Google Scholar] [CrossRef]
- Borghese, J.; Musco, L.; Arduini, D.; Tamburello, L.; Del Pasqua, M.; Giangrande, A. A Comparative Approach to Detect Macrobenthic Response to the Conversion of an Inshore Mariculture Plant into an IMTA System in the Mar Grande of Taranto (Mediterranean Sea, Italy). Water 2023, 15, 68. [Google Scholar] [CrossRef]
- Calado, R.; Olivotto, I.; Oliver, M.P.; Holt, G.J. Marine Ornamental Species Aquaculture; Wiley Blackwell: Hoboken, NJ, USA, 2017; Volume 712. [Google Scholar] [CrossRef]
- Calado, R. Marine ornamental species from European waters: A valuable overlooked resource or a future threat for the conservation of marine ecosystems? Sci. Mar. 2006, 70, 389–398. [Google Scholar] [CrossRef]
- Grandview Research. Reef Aquarium Market Size, Share & Trends Analysis Report by Product (Component, Natural), by End Use (Household, Zoo & Oceanarium), by Region (Europe, Asia Pacific), and Segment Forecasts, 2021–2028. Available online: https://www.grandviewresearch.com/industry-analysis/reef-aquarium-market-report (accessed on 14 September 2023).
- FAO. The State of World Fisheries and Aquaculture 2022. Towards Blue Transformation; FAO: Rome, Italy, 2022. [Google Scholar] [CrossRef]
- XV Edizione Rapporto Assalco-Zoomark. Pet in Italia: 15 Anni di Cambiamenti in Famiglia e in Società. Available online: https://www.zoomark.it/media/zoomark/pressrelease/2023/rapporto_assalco_-_zoomark_2022_-_sintesi.pdf (accessed on 14 September 2023).
- Murray, J.M.; Watson, G.J.; Giangrande, A.; Licciano, M.; Bentley, M.G. Managing the Marine Aquarium Trade: Revealing the Data Gaps Using Ornamental Polychaetes. PLoS ONE 2012, 7, e29543. [Google Scholar] [CrossRef] [PubMed]
- Cohen, F.P.; Valenti, W.C.; Calado, R. Traceability issues in the trade of marine ornamental species. Rev. Fish. Sci. 2013, 21, 98–111. [Google Scholar] [CrossRef]
- Wabnitz, C.; Taylor, M.; Green, E.; Razak, T. From Ocean to Aquarium: The Global Trade in Marine Ornamental Species; UNEP-WCMC: Cambridge, UK, 2003; p. 66. [Google Scholar]
- Smith, K.F.; Behrens, M.D.; Max, L.M.; Daszak, P. US drowning in unidentified fishes: Scope, implications, and regulation of live fish import. Conserv. Lett. 2008, 1, 103–109. [Google Scholar] [CrossRef]
- Marinecultures. Available online: https://www.marinecultures.org/en/projects/spongefarming/spongefarming/ (accessed on 16 September 2023).
- Tobey, J.A.; Haws, M.C.; Ellis, S.S. Aquaculture Profile for Pohnpei Federated States of Micronesia; Technical Report; NOAA: Washington, DC, USA, 2004. Available online: https://repository.library.noaa.gov/view/noaa/39936 (accessed on 16 September 2023).
- NegoziAcquari. Available online: https://www.negoziacquari.it/ (accessed on 16 September 2023).
- Arduini, D.; Calabrese, C.; Borghese, J.; De Domenico, S.; Putignano, M.; Toso, A.; Gravili, C.; Giangrande, A. Perspectives for exploitation of Sabella spallanzanii’s biomass as a new Integrated Multi-Trophic Aquaculture (IMTA) by-product: Feeding Trial on Amphiprion ocellaris using Sabella meal. J. Mar. Sci. Eng. 2023, 11, 123. [Google Scholar] [CrossRef]
- Lindsay, S.R.; Ledua, E.; Stanley, J. Regional Assessment of the Commercial Viability for Marine Ornamental Aquaculture within the Pacific Islands (Giant Clam, Hard and Soft Coral, Finfish, Live Rock and Marine Shrimp); Secretariat of the Pacific Community: Noumea, New Caledonia, 2004. [Google Scholar]
- Oronti, A.; Danylchuk, A.J.; Elmore, C.E.; Auriemma, R.; Pesle, G. Assessing the feasibility of sponge aquaculture as a sustainable industry in The Bahamas. Aquac. Int. 2012, 20, 295–303. [Google Scholar] [CrossRef]
- Goren, L.; Idan, T.; Shefer, S.; Ilan, M. Macrofauna inhabiting massive demosponges from shallow and mesophotic habitats along the Israeli Mediterranean coast. Front. Mar. Sci. 2021, 7, 612779. [Google Scholar] [CrossRef]
- Van Soest, R.W.; Boury-Esnault, N.; Vacelet, J.; Dohrmann, M.; Erpenbeck, D.; De Voogd, N.J.; Santodomingo, N.; Vanhoorne, B.; Kelly, M.; Hooper, J.N. Global diversity of sponges (Porifera). PLoS ONE 2012, 7, e35105. [Google Scholar] [CrossRef] [PubMed]
- Maldonado, M.; Aguilar, R.; Bannister, R.; Bell, J.; Conway, J.; Dayton, P.; Diaz, C.; Gutt, J.; Kelly, M.; Kenchington, E.; et al. Sponge Grounds as Key Marine Habitats: A Synthetic Review of Types, Structure, Functional Roles, and Conservation Concerns. In Marine Animal Forests: The Ecology of Benthic Biodiversity Hotspots; Rossi, S., Bramanti, L., Gori, A., Saco del Valle, C.O., Eds.; Springer International Publishing: Cham, Switzerland, 2017; pp. 145–183. [Google Scholar] [CrossRef]
- Gerovasileiou, V.; Dailianis, T.; Sini, M.; del Mar Otero, M.; Numa, C.; Katsanevakis, S.; Voultsiadou, E. Assessing the regional conservation status of sponges (Porifera): The case of the Aegean ecoregion. Mediterr. Mar. Sci. 2018, 19, 526–537. [Google Scholar] [CrossRef]
- Pronzato, R.; Manconi, R. Mediterranean commercial sponges: Over 5000 years of natural history and cultural heritage. Mar. Ecol. 2008, 29, 146–166. [Google Scholar] [CrossRef]
- Butler IV, M.J.; Behringer, D.C.; Valentine, M.M. Commercial sponge fishery impacts on the population dynamics of sponges in the Florida Keys, FL, USA. Fish. Res. 2017, 190, 113–121. [Google Scholar] [CrossRef]
- Page, M.J.; Northcote, P.T.; Webb, V.L.; Mackey, S.; Handley, S.J. Aquaculture trials for the production of biologically active metabolites in the New Zealand sponge Mycale hentscheli (Demospongiae: Poecilosclerida). Aquaculture 2005, 250, 256–269. [Google Scholar] [CrossRef]
- Santiago, V.S.; Manzano, G.G.; Clairecynth, C.Y.; Aliño, P.M.; Salvador-Reyes, L.A. Mariculture potential of renieramycin producing philippine blue sponge Xestospongia sp. (Porifera: Haplosclerida). Aquaculture 2019, 502, 356. [Google Scholar] [CrossRef]
- FAO. Report of the Technical Consultation on International Guidelines for the Management of Deep-Sea Fisheries in the High Seas; Report No. 881; Food and Agriculture Organization of the United Nations: Rome, Italy, 2009. [Google Scholar]
- Wood, E. Global advances in conservation and management of marine ornamental resources. Aquar. Sci. Conserv. 2001, 3, 65–77. [Google Scholar] [CrossRef]






Disclaimer/Publisher’s Note: The statements, opinions and data contained in all publications are solely those of the individual author(s) and contributor(s) and not of MDPI and/or the editor(s). MDPI and/or the editor(s) disclaim responsibility for any injury to people or property resulting from any ideas, methods, instructions or products referred to in the content. |
© 2024 by the authors. Licensee MDPI, Basel, Switzerland. This article is an open access article distributed under the terms and conditions of the Creative Commons Attribution (CC BY) license (https://creativecommons.org/licenses/by/4.0/).
Share and Cite
Aguilo-Arce, J.; Schiavo, A.; Trani, R.; Longo, C. Do Sustainably Reared Marine Sponges Represent A Potential New Product in Aquariology? A Citizen Science-Based Approach. Sustainability 2024, 16, 1066. https://doi.org/10.3390/su16031066
Aguilo-Arce J, Schiavo A, Trani R, Longo C. Do Sustainably Reared Marine Sponges Represent A Potential New Product in Aquariology? A Citizen Science-Based Approach. Sustainability. 2024; 16(3):1066. https://doi.org/10.3390/su16031066
Chicago/Turabian StyleAguilo-Arce, Joseba, Antonella Schiavo, Roberta Trani, and Caterina Longo. 2024. "Do Sustainably Reared Marine Sponges Represent A Potential New Product in Aquariology? A Citizen Science-Based Approach" Sustainability 16, no. 3: 1066. https://doi.org/10.3390/su16031066
APA StyleAguilo-Arce, J., Schiavo, A., Trani, R., & Longo, C. (2024). Do Sustainably Reared Marine Sponges Represent A Potential New Product in Aquariology? A Citizen Science-Based Approach. Sustainability, 16(3), 1066. https://doi.org/10.3390/su16031066

