Next Article in Journal
Freeze-Casting of Mining Wastes for Developing Sustainable Self-Supporting Ceramic Membranes
Next Article in Special Issue
Timber Biogenic Carbon Stock in the Urban Environment: Santiago City as a Second Forest
Previous Article in Journal
Biological Control of Aphids in Spain’s Urban Green Spaces
Previous Article in Special Issue
Applicability of Paper and Pulp Industry Waste for Manufacturing Mycelium-Based Materials for Thermoacoustic Insulation
 
 
Font Type:
Arial Georgia Verdana
Font Size:
Aa Aa Aa
Line Spacing:
Column Width:
Background:
Article

Sustainable Cement Paste Development Using Wheat Straw Ash and Silica Fume Replacement Model

1
Department of Engineering Construction and Management and UC Concrete Innovation Center (CIHUC), Pontificia Universidad Católica de Chile, Santiago 8320165, Chile
2
Centro Nacional de Excelencia para la Industria de la Madera (CENAMAD), Pontificia Universidad Católica de Chile, Santiago 8320165, Chile
3
Faculty of Architecture, Universidade da Coruña, 15001 A Coruña, Spain
4
Centro de Innovación Tecnolóxica en Edificación e Enxeñería Civil (CITEEC), Universidade da Coruña, 15001 A Coruña, Spain
*
Author to whom correspondence should be addressed.
Sustainability 2024, 16(24), 11226; https://doi.org/10.3390/su162411226
Submission received: 28 October 2024 / Revised: 9 December 2024 / Accepted: 12 December 2024 / Published: 21 December 2024

Abstract

Conventional cement production is a major source of carbon dioxide emissions, which creates a significant environmental challenge. This research addresses the problem of how to reduce the carbon footprint of cement paste production using agricultural and industrial waste by-products, namely wheat straw ash (WSA) and silica fume (SF). Currently, accurate models that can predict the mechanical properties of cement pastes incorporating these waste materials are lacking. To fill this gap, our study proposes a model based on response surface methodology and Box-Behnken design, designed to predict the strength of cement pastes with partial substitutions of WSA and SF. Through mechanical and characterization tests, the model demonstrated high accuracy in predicting the strength of the pastes, validated with three mixes, which showed maximum errors of less than 6% at different ages (7, 28, and 56 days). Response surface analysis revealed that replacing cement with 0–20% WSA and more than 5% SF can effectively reduce the carbon footprint by maximizing waste incorporation. This model allows for the calculation of optimal cement substitution levels based on the required strength, thus promoting sustainability in the construction industry through the use of local waste/resources.

1. Introduction

According to data provided by the Global Cement and Concrete Association, 14 billion m3 of Portland cement concrete (PCC) were produced in 2020 [1], and it is estimated that this production was responsible for 5–8% of global anthropogenic carbon dioxide emissions [2]. Because conventional PCC is a mixture of cement, water, admixtures, and mineral aggregates, its most polluting aspect is the Portland cement manufacturing process, with emissions of approximately 866 kg CO2eq per ton [3], and currently about 4.5 billion tons of cement are yearly produced worldwide [4]. On the other hand, due to an increase in housing and infrastructure demands, especially in developing countries, it is estimated that cement production will continue to increase to 5–6 billion tons per year by 2050 [5]. For example, in Chile, the housing shortage in 2020 was 3.3%, equivalent to 641,421 houses [6], and in other South American countries, similar amounts are demanded. Among them, the Brazilian housing deficit stands out with a shortage of more than 6 million dwellings [7]. In Colombia, during 2021, the housing deficit was estimated for the first time, and the results showed a deficit of 5.24 million households, equivalent to 31% of the country’s households [8]. Likewise, in 2015, the Argentine Chamber of Construction estimated the housing deficit based on data from the 2010 census at 1.8 million homes, equivalent to 16.1% of the total housing stock [9]. This growing demand for housing will result in an increased demand for concrete production to meet the housing deficit.
For the previous reasons, the concrete industry must move towards sustainability, and one of the significant measures of such would be reducing CO2 emissions related to the cement content per cubic meter of PCC acting in the reduction of the clinker factor, which may be accomplished by using supplementary cementitious materials (SCMs) because such materials have been shown to be effective in significantly reducing emissions [10,11,12]. These replacements have been used either on site or in cement production and have been extensively studied. Among the best known are industrial by-products such as fly ash, silica fume (SF), ground granulated blast furnace slag, limestone dust, and metakaolin, among others [13,14,15,16,17]. Micro-silica, for example, is an industrial by-product from ferrosilicon alloys or silicon industries [18], which has been widely studied and used to improve the physical and chemical properties of concrete because it accelerates the hydration process of cement at early ages given its fine particle size [19]. On the other hand, a major source of waste in the world is agriculture since 9.4 billion tons of primary crops such as sugarcane, corn, wheat, and rice are produced annually to feed the population, and all these crops have by-products [20]. Many of these by-products can be converted into SCMs, given the large amounts of biomass residues derived from the harvest, such as leaves, stalks, husks, or straw [21]. Among the best known are rice husk ash [22,23,24,25,26,27,28,29,30,31].
According to cereal production data, wheat is one of the three most-produced cereals, with an estimated production from 2022 to 2023 of 776.7 million tons, and its consumption is expected to continue increasing as a result of population growth [32]. On the other hand, to obtain 1 kg of wheat grain, 1.3–1.4 kg of wheat straw is generated [33]. Although wheat straw is sometimes used to feed livestock, a large amount is still considered waste, so, in many countries, it is typically burned in the fields because it is a fast and economical method to eliminate it. However, this method brings negative consequences such as oxidation of soil organic matter; generation of greenhouse gases; increased water erosion; air pollution with particulate matter, which leads to serious health problems; increased risk of fires; and decreased water permeability, among others [34]. Even though there are alternatives to burning, none have completely solved the problem [35]. In Chile, this problem persists given that there is a planted area of more than 623,000 ha, which translates into more than 5 million tons of total stubble throughout the country [36], including crops such as wheat, oats, malting barley, corn, rice, beans, and lentils. One of the most relevant research projects carried out in Chile on the addition of agricultural residues in construction used grapevine shoots with the aim of improving the thermal conductivity of fired clay bricks [37].
Taking into consideration the previous context, this research considered the use of WSA, started by [38], who demonstrated that this material possessed pozzolanic activity and triggered the study of this new potential SCM. It is known that the chemical composition of WSA changes depending on different factors, some related to its place of origin, such as variations in soil conditions and climate, thus directly affecting its pozzolanic efficiency [39]. Furthermore, calcination temperature and particle size are also important when using WSA as an SCM [40]. Early research investigated the controlled combustion of WSA for 5 h at temperatures of 570 °C and 670 °C [38] and showed that WSA obtained at 670 °C had better pozzolanic behavior. It was then reported that the mechanical properties “of autoclaved mortar specimens” were improved with WSA obtained by burning straw at 650 °C for 20 h [41]. Since those studies, several other similar studies have concluded that the optimum WSA calcination temperature is roughly 600 °C, evidencing that upper temperatures tend to transform the amorphous silica into crystalline silica, thus reducing the pozzolanic efficiency [42,43].
Although the WSA is a promising material, its incorporation into cement pastes presents some negative impacts, such as the loss of strength, which can be improved using another type of SCM such as SF. To see the relationship between the incorporation of SCM and changes in mechanical characteristics, response surface method studies have been carried out on concretes incorporating industrial and agricultural wastes to evaluate the mechanical characteristics, but such studies have not been carried out with WSA and SF. Therefore, the objectives of this research were to predict the compressive strength as a function of the percentage of cement replaced by SCM, to analyze the physical-chemical behavior of the materials, to propose ranges that maximize the substitution of cement by SCM and minimize the loss of strength, and to quantify the reduction in the carbon footprint of the mixes defined in the research. According to the findings of this research, up to 30% of the cement can be replaced by the combination of WSA and SF at the cost of losing up to 24% of compressive strength but achieving an 11% decrease in CO2 emissions from the mix.
In relation to the limitations of the research, it is worth mentioning, on the one hand, the inherent variability of the WSA nature depending on its origin. On the other hand, it should be noted that the WSA and SF replacement rates have been set at fixed values: (0, 10, 20) for the WSA and (0, 5, 10) for the SF.

2. Materials and Methods

2.1. Materials

2.1.1. Research Workflow

Figure 1 below presents the research workflow in a simplified form with the main objectives of the research.

2.1.2. Raw Materials

For this study, high-strength pozzolanic Portland cement supplied by Melon S.A., Santiago, Chile, in accordance with ASTM C595 [44] was used with a density of 3000 kg/m3. WSA was prepared in the lab according to the procedure explained next. SF use in the research was obtained from a supplier (Sika, Baar, Switzerland) that corresponded to the product SikaFume®, which has a density of 2200 kg/m3.
The CO2eq values of the raw materials were obtained from the literature and are shown in Table 1; specifically, values for the WSA were not found, so an approximate value for biomass ash is shown.

2.1.3. Preparation of WSA

The straw waste used in this investigation was obtained from durum wheat (Triticum turgidum var. Durum L.) harvested in Linares, a central region of Chile with a mild Mediterranean climate, Csb according to the Köppen climate classification. The wheat straw was burned in an electric furnace with an initial temperature of 50 °C and subsequent heating at a rate of 10 °C/min up to 600 °C for 120 min, following previous pozzolanic efficiency studies [43,46,47]. Once burned, the wheat straw was rapidly cooled by setting the ashes at a controlled room temperature of 20 °C. For each calcination, a consistent ash yield of 7% of the original straw weight content was obtained. The resulting ash was then filtered through a #50 sieve to reduce the particle size and thus increase surface area since fineness has been reported to yield higher pozzolanic performance [39]. The density of this material was 2210 kg/m3 [46].

2.1.4. Definitions of the Design of Mixtures

The definitions of the input levels of the different variables necessary for setting up the theoretical model were determined from the literature so that calculations could be made to properly infer intermediate values not studied experimentally [48]. The proportion of cement to be replaced in mass was based on a literature review so that the maximum WSA replacement ranged up to 20%, beyond which several authors reported significant decreases in the pozzolanic reaction [39,49]. Likewise, the maximum SF replacement percentage was set up to 10% because multiple studies demonstrated a relevant worsening of the mechanical properties beyond this value [50,51,52]. Additionally, the water content represented by the water-binder ratio (W/B) ranged from 0.4 to 0.6 to obtain complete hydration of the cement particles. The designed mixtures were classified in three categories or combinations: 100% cement (mono), binary, and ternary mixes using the two SCMs. In conclusion, the final selected variants entailed W/B ratios of 0.4, 0.5, and 0.6, WSA 0%, 10%, and 20%, and SF replacements of 0%, 5%, and 10%.

2.2. Methods

2.2.1. Experimental Design and Predicting Modeling/Carbon Footprint

The study by Ferreira et al. validates the use of the Box-Behnken design as an efficient methodology for the optimization of analytical methods. Through various practical examples, the authors demonstrate that the Box-Behnken design can provide precise results at intermediate levels of selected ranges, minimizing the number of necessary experiments and improving the efficiency of the experimental process. This ability to infer results at intermediate levels supports the application of the Box-Behnken design in a wide range of scientific and technological research, confirming its validity and utility in the optimization of complex analytical methods. Figure 2 presents an illustration of the BBD model experimental design space. The BBD allows for fewer experimental runs than does a central composite design (CCD) because the BBD needs only three levels defined (−1, 0, 1), whereas the CCD needs five (−α, −1, 0, 1, α). This methodology was used to predict the response variable with three input variables, in which the coefficients were estimated and adjusted to a mathematical model capable of being adjusted to check the effectiveness of the model [48]. The response surface methodology (RSM) allowed for the correct multivariable analysis, in which the variables of interest were affected by others. The objective of setting the BBD was that the experiments and thus the data collection would permit a model that fit in such a way that the response variable obtained accurate values, thus predicting the behavior of the variable in question. An example would be the determination of local tendencies, maxima, or minima [53], with the objective of improving the processes involved. The mathematical formulation of the BDD can be expressed as a quadratic or higher-order polynomial, as shown in Equation (1):
Y = β 0 + i = 1 n β i x i + i = 1 n β i x i 2 + j = 1 n i = 1 n β i j x i x j + ε
where Y represents the variable to be predicted, x the values of each decision variable, β the regression coefficients, β 0 the expected value of Y if all the variables associated with the response are equal to 0, n the number of variables and i, and j and ε a random error of the system [52].
To calculate the impact of using SCMs on the reduction of the carbon footprint, CO2eq/m3 was calculated using the CO2eq values (kg/kg) obtained from the literature with the mix ratios used on the design considered above.
It can be seen how this value was obtained from Equation (2):
C O 2 , e q = ρ c ·   C O 2 , c + ρ w s a ·   C O 2 , w s a + ρ s f ·   C O 2 , s f
where CO2,eq refers to the kg/m3 of CO2 equivalent of the ternary mixture, ρc refers to the cement density of the mixture in kg per m3, CO2,c are the kg of CO2 emitted by kg of cement, ρwsa refers to the wheat straw ash density of the mixture in kg per m3, CO2,wsa are the kg of CO2 emitted by kg of wheat straw ash, and ρsf and CO2,sf are, respectively, the density and CO2 emission related to silica fume. As Equation (2) shows, increasing the replacement with both WSA and SF will decrease the CO2eq/m3. Therefore, in order to compare how the resistance obtained was related to the carbon footprint emitted, the intensity indicator was analyzed, which allowed the estimation of the global warming potential in the formulations by calculating the amount of binder required (kg/m3) to provide 1 MPa of resistance and was expressed as CO2eq/m3/MPa.
In order to determine the compressive strength of the 15 mixes (combinations), Table 2 presents how the different levels (−1, 0, 1) were distributed for the three studied variables, W/B, WSA, and SF, where the last two show the percentage of cement replacement by weight; for example, for the first mix, the levels were −1, −1, and 0, which means a water-cement ratio of 0.4, with 0% WSA cement replacement and 5% SF cement replacement.
In the mixture’s nomenclature of BBD experimental design, B corresponds to the W/B ratio, W to WSA, and S to SF.

2.2.2. Mixing and Preparation of Specimens

The materials were mixed in accordance with the ASTM C305-20 standard [54] using a mechanical overhead stirrer to homogenize the dry components prior to the addition of water. Cubic specimens were manufactured following ASTM C109-21 [55], with dimensions of 20 mm to optimize resource utilization. A total of nine specimens were cast for each cement paste mixture with the aim of assessing the evolution of compressive strength after 7, 28, and 56 days of curing (three identical specimens for each time interval). The specimens were stored in a curing chamber, maintaining temperature and relative humidity conditions as prescribed by ASTM C511-13 [56] for a duration of 24 h. Subsequently, the specimens were demolded and immersed in water until testing, as can be seen in Figure 3.

2.2.3. Particle Size Distribution

The particle size distribution was performed in the raw materials by wet method laser diffraction using a Mastersizer 2000 (Malvern Instruments, Malvern, UK) Hydro 2000S wet sample dispersion unit with a recirculating pump. The dispersant used was isopropyl alcohol. The particle size distribution (PSD) is summarized in Figure 4. The cement particles had an average particle size ( D 50 ) of 14.22 μm. WSA had a D 50 of 32.2 μm and presented a wider distribution, which therefore could have improved the packing density of the blends [57]. SF was the finest material, with a D 50 of 0.674 μm; however, in Figure, it appears as the coarsest material, with a D 50 of 113 μm, because particles were agglomerated, so the properties of blended cement pastes may have been controlled by the agglomerated size of this particle, which led to the pozzolanic reactivity potential of this SCM decreasing considerably, resulting in an increase in the late-age strength of the mixtures [58].

2.2.4. Compressive Strength Tests

As per the ASTM C109-21 [55] standard, compression tests were performed on cubic specimens using a 300 kN-capacity universal testing machine, Laryee UE34300 (Laryee, Beijing, China), at a loading rate of 2.4 kN/s at 7, 28, and 56 days old, with three specimens tested at each age. Figure 5 shows the different samples that were tested in compression.

2.2.5. Field Emission Scanning Electron Microscopy/Energy-Dispersive X-Ray Spectroscopy

The field emission scanning electron microscopy (FE-SEM) analysis of all paste mixes was performed on crushed specimens at 56 days old. Samples of raw materials (cement, WSA, SF) were also analyzed using a Quanta FEG250 microscope (Federation Equestre International, Lausanne, Switzerland). All specimens were examined for changes in morphology and composition, and magnification scales were chosen according to representative particle sizes. All the samples were spread on carbon tape and coated with a gold layer approximately 5 nm thick to improve sample conductance.

2.2.6. Isothermal Calorimetry

The isothermal calorimetry was performed in the paste mixtures according to ASTM C1679–14 [59] using a TAM Air isothermal calorimeter at 23 °C for 7 days with duplicated samples for each mixture. The fresh mixtures were weighted with an ampoule and directly placed in the calorimeter. The heat-release rate was normalized according to the weight of cementitious materials.

2.2.7. X-Ray Fluorescence

The analysis of the samples was conducted using a wavelength dispersive sequential spectrometer (WDX, S4 equipment). The measurement was performed using the Fast-Vac34 method.

3. Results and Discussion

3.1. Discussion of the Experimental Results

3.1.1. Field Emission Scanning Electron Microscopy

The morphological characteristics of the materials were visualized by Field Scanning Electron Microscopy (FE-SEM). It was observed that the SF was in an agglomerated state with a large spherical shape (see Figure 6a,b) by a large number of fine SF particles, approximately <1 μm (see Figure 6c), which was in concordance with the PSD test shown in figure.
This size of the agglomerated silica particles directly affected the strength of the cementitious mixes. Since the pozzolanic reaction would only take place at the agglomeration surface and at early ages, the strength of cement pastes would be most affected because, for conventional concrete mixes, the aggregates are able to separate these particles [60,61].
The FE-SEM of the rest of the constituents at a scale of 20 μm and 200 μm is shown in Figure 7. As can be seen in this figure, cement particles were the smallest, followed by WSA and SF, respectively. Figure 7a shows the cement with particles of different sizes, where an angular morphology can be appreciated. Figure 7b,c show two distinct structures: on the one hand, elongated and flat structures in the longitudinal direction and, on the other hand, a honeycomb structure corresponding to a cross-section of the WSA particle. Moreover, as can be observed, these ashes are very porous, thus explaining the decrease in workability in the mixtures because the pores absorbed the mixing water [62].

3.1.2. X-Ray Fluorescence of Raw Materials

As shown in Table 3, the cement was mainly composed of C a O , S i O 2 , A l 2 O 3 , and F e 2 O 3 , which were present in silicate and aluminate forms. SF was composed almost entirely of S i O 2 in 95.5% of its weight. Finally, the WSA obtained was mainly composed of S i O 2 , K 2 O , and CaO. However, the oxides did not total 100% because there was organic matter that was calcined in the form of carbon, and this was not detected by the equipment.

3.1.3. Isothermal Calorimetry of the Mixtures

The normalized hydration heat and the normalized heat flow from selected mixtures at 48 h are presented in Figure 8 and Figure 9, respectively. In the mixes nomenclature of BBD experimental design, B corresponds to the W/B ratio, W to WSA, and S to SF. A water-cement ratio of W/B = 0.5 was used for all the mixtures in the calorimetry test. The mixtures used for the analysis corresponded to a cement-only mixture (B0.5W0S0), a binary mixture with WSA (B0.5W20S0), and another with SF (B0.5W0S10). The B0.5W0S10 mix showed the highest value of hydration heat when the calorimetry data were normalized by cement. This result indicated that the B0.5W0S10 mix produced the highest number of hydration products during the first 24 h.
On the other hand, with respect to the normalized heat flow of the mixes, the second peak heat flow is generally related to cement properties such as initial and final setting times and late compressive strength, among others. In Figure 9, it can be observed that the mix with the highest heat flow corresponds to the sample with WSA, which has the lowest compressive strength at 56 d, while the mix with SF has the lowest heat flow and the highest compressive strength at 56 d.

3.1.4. Compressive Strength of Hardened Samples

Figure 10 presents the results of compressive strengths for each mix at 7, 28, and 56 days of curing and representative photographs of the failure mechanism. As shown in Figure 10, cone failure was predominant in the tested specimens, which indicates a homogeneous load application and good mechanical behavior. In general, compressive strength increases with age. These results are used to build the model and the regression analysis is presented in the next section.
As evidenced in Figure 10, the compressive strength of the different combinations presented some variability as expected, and some combinations did not have high strength. The agglomerated silica particles may have directly affected the strength of the cementitious mixes. Since the pozzolanic reaction only took place at the agglomeration surface and at early ages, the strength of cement pastes would have been most affected because, for conventional concrete mixes, the aggregates were able to separate these particles [55,56]. Therefore, based on the literature and results obtained by SEM and PSD, in the mixtures in this study, the particle size of the agglomerated micro-silica was the one that controlled the mechanical properties of the cement pastes.
The microstructure of samples at 56 days obtained by FE-SEM is shown in Figure 11. By comparing Figure 11a,b, it can be noticed that the latter shows more amorphous structures due to the pozzolanic reaction of SF with unreacted compounds of the cement to form secondary calcium silicates. In addition, the pore size decreased due to the nucleation of the cement, causing a more compact microstructure and therefore increasing the strength of the cement pastes. Figure 11d shows how WSA was incorporated into the mixture, whereas Figure 11c, being on the same scale as the control paste, showed a decrease in pore size, an increase in hydration products, and a densification of the matrix.
In summary, the results obtained in the simple compression tests of the cement pastes with partial substitution of WSA and SF have been satisfactory, obtaining values at 28 days ranging between 20 and 39 MPa, compared to the 38 MPa obtained with the cement paste without substitutions.
A more detailed analysis of the results obtained allows us to draw some preliminary conclusions and highlight some significant data. On the one hand, the reference results, those obtained for a cement paste without substitutions, are situated in compressive strengths of around 38 MPa (very similar values for 28 and 56 days), with strengths at 7 days slightly above 20 MPa. This is the specimen with the smallest increase in strength between 28 and 56 days. On the contrary, the greatest differences in strength between these ages are found in those specimens with a higher proportion of SF in the mix.
The specimens with the highest results in the simple compression test were those without WSA substitution and with the maximum proportion of SF substitution, slightly improving the results at 56 days with respect to the reference specimen, although the results at 28 days are significantly lower.
The specimens with the lowest results are in general those with maximum WSA substitution, as expected, although with appropriate adjustments in the SF substitution percentages and in the W/B mix, satisfactory results are obtained.

3.2. Multiple Regression Analysis and Design Model

3.2.1. Data Analysis and Model Adjustment

The results of the Shapiro–Wilk test, which is a statistical test used to determine whether a set of data comes from a normal distribution, are presented in Table 4. As shown in the table, a p value > 0.05 was obtained at all ages; therefore, the null hypothesis could not be rejected, and the population of data were normally distributed. In addition, the quantile-quantile graphs shown in Figure 12 for all ages and mixtures evidenced a tendency towards a straight line, further confirming their normal distribution.
The results of the analysis of variance of the strength prediction model at 7, 28, and 56 days are shown in Table 5, Table 6 and Table 7, respectively. The validation method was based on demonstrating, through the p values < 0.05, which variables were the most important to represent the regression model. Those variables were to be kept or eliminated from the model depending on how they affected the predictive fit of the model over the entire response surface. For all the above reasons, to complete the validation and correct the model, we also computed the R 2 , R A d j 2 , and lack of fit.
The R 2 obtained from the model already adjusted for the three ages (7, 28, and 56) corresponded to R 7 d a y s 2 = 92 % , R 28 d a y s 2 = 93 % , and R 56 d a y s 2 = 83 % , respectively. This indicated a good fit of the regression model and explained more than 80% of the variability of the data, as well as a significant relationship between predicted and calculated values for all ages. By taking into account the predictor variables of the three models, we obtained the R A d j 2 for the three ages, with values of R A d j 7 d a y s 2 = 89 % , R A d j 28 d a y s 2 = 88 % , and R A d j 56 d a y s 2 = 77 % , meaning that the parameters investigated explained a large percentage of the variation in the sample while the difference was the overall variance not explained by the model. The predictor variables were chosen through a process of iteration that allowed the improvement of the model at a global level, with the criteria described above. Finally, to complete the validation, we analyzed the lack-of-fit, yielding a p   v a l u e 7 d a y s = 0.065 , p   v a l u e 28 d a y s = 0.92 , and p   v a l u e 56 d a y s = 0.47 , which is non-significant, implying that the predictions made by the model were as good as if additional experiments were performed (maintaining the experimental conditions).

3.2.2. Models and Interactions Effect of Factors

With the adjustments made and the validations obtained, the following equations for the compressive strength regression models could be determined, where the variables were normalized:
C 7 d a y s = 17.62 4.69 W B 3.13 W S A + 4.13 W B W S A 2.14 W B 2
C 28 d a y s = 25.13 5.31 W B 5.35 W S A 1.53   S F + 3.48 W B W S A 3.39 W B 2 + 3.52   S F 2
C 56 d a y s = 26.21 5.21 W B 5.08 W S A + 0.8   S F + 5.52   S F 2  
Once the models for each age were defined, it was possible to identify the behavior of the most important variables and how they affected the compressive strength of the mixes. Figure 13 illustrates the response surface at different ages: (a) shows the interaction among the significant variables of the model at 7 days W/B with WSA, and (b) and (c) show the interaction at 28 and 56 days, respectively, between the variables SF and WSA keeping W/B constant at the mean level of 0.5.
In general, the effect of the W/B cementitious water ratio decreased the mechanical compressive strength as its levels increased at all ages, which can be observed in Equations (3)–(5) above, so this ratio was identified as a significant variable in them.
In the 7-day model, we observed that the substitution of cement by WSA was a significant first-order variable that negatively affected the strength throughout the response zone and was observed in the regression equation (see Equation (3)). As shown in Table 5, the interaction between W/B and WSA was significant, mainly because of the variations in strength caused by both variables (see Figure 14a), because by reducing the W/B ratio from 0.55 to 0.4, the replacement of cement by WSA contributed to the loss of strength more directly by replacing more mass.
For the 28-day model, the significance of the variables exposed at 7 days was maintained for both the first-order variables and the interaction between W/B and WSA, but the main difference was that now the second-order terms for the variables W/B and SF were significant. It is important to consider that due to the chemical and morphological composition of SF, it was to be expected that at late ages, it would begin to have relevance in the increase in resistance, which was also confirmed by the regression model in Equation (4). It is also possible to observe the effect of the second-order factors on the response surface in Figure 13b, which shows concavity on the axis associated with SF. In the same line, in the contour plots (see Figure 14) relating WSA to SF (see Figure 13b), it is possible to observe that for the SF axis, approximately from levels −5% to 5%, where the concavity was found, the resistance decreased.
Finally, the 56-day model further confirmed what was described above because, for this model, the second-order coefficient corresponding to SF was the only significant one and largely determined the strength increase at this age (see Equation (5)) because the highest level of substitution (10%) managed to overcome the strength of the cement-only mix (see Figure 11). Likewise, from Figure 14c, we can see that from the intermediate level of replacement, i.e., 5%, up to the highest level of SF, the strength of the mixes increased independently of the amount of WSA replacement, maximizing in this range the total amount of replacement that could be generated with both SCMs.

3.2.3. Model Validation

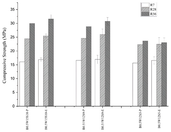
To validate the RSM, three mixtures were chosen and are shown in Table 8.
The experimental results can be seen in Figure 15, where the -P mixtures correspond to the values predicted by the model while the -E mixtures correspond to the experimental values obtained at 7, 28, and 56 days. Table 9 shows the model errors with respect to the mean of the experimental results at each age, where a conservative model was observed, because in 90% of the cases, the experimental results showed higher values than the model. Therefore, in addition to accurately approaching the values predicted by the model, the low errors (the maximum was 6.1%) confirmed the use of the BBD and the RSM to optimize the design of mixes with SCM cement substitution.

3.2.4. Carbon Footprint

In order to analyze the CO2eq emissions of pastes, the kg of CO2 per unit volume (m3) of pastes with a W/B ratio of 0.5 were calculated since this W/B ratio contained mono, binary, and ternary mixes. First, considering the CO2eq values (see Table 1), as the replacement of cement by SCM increased, the CO2/m3 decreased, which is why we analyzed it on the basis of the intensity index.
Figure 16 shows the compressive strength and the intensity index, which, as described in previous paragraphs, allowed us to measure the amount of binder required for 1 MPa of compressive strength, defined as CO2eq (kg/m3)/strength (MPa) at 56 days. In order to have a reduction of CO2eq emissions with an increase in compressive strength, the intensity index needed to be lower.
According to the results, the ternary mixture B0.5W10S5 had the highest intensity index because, although the total replacement was 15%, the levels used were intermediate, and, as explained in previous paragraphs, it was the most unfavorable region in terms of resistance. However, the opposite scenario was the case with B0.5W20S10 (also ternary), which was in the optimal region of replacement to obtain higher mechanical properties. Comparing both cases, it was possible to determine that the last mix was 29% lower in terms of CO2eq/strength and had a higher resistance at 56 days, confirming that the proposed region was better in terms of both resistance and reduction of CO2 emissions. Furthermore, compared to the cement-only mix (B0.5W0S0), B0.5W20S10 was 11% lower in terms of CO2 emissions.
Finally, it is important to highlight that B0.5W20S10 presented lower CO2 emissions per m3, even though its strength was not the highest. At the same time, B0.5W20S0 (only WSA replacement) presented lower compressive strength and the highest CO2 emissions.
Based on the research carried out, optimal recommended proportions for the mixes are suggested, considering all the variables analyzed and seeking a balance between the resistances obtained and the equivalent CO2 in each case. In this sense, as has previously been pointed out, the most suitable proportion, based on the results obtained, is the one with 20% WSA and 10% SF substitution.

4. Conclusions

This research demonstrated that the use of agricultural and industrial wastes, specifically wheat straw ash (WSA) and silica fume (SF), as supplementary cementitious materials (SCMs), is technically feasible in certain proportions. Three statistical models were developed using the Box-Behnken design (BBD) that accurately predicted the strength of all possible combinations of W/B variables in the range of 0.4 to 0.6, SF at 0–10% cement replacement by mass, and WSA at 0–20% with good R A d j 2 ( R A d j 7 d a y s 2 = 89 % , R A d j 28 d a y s 2 = 88 % , and R A d j 56 d a y s 2 = 77 % ). These models explained a large portion of the observed variance, and the lack of fit was non-significant (p > 0.05), indicating a good fit over the experimental points ( p   v a l u e 7 d a y s = 0.065 , p   v a l u e 28 d a y s = 0.92 , and p   v a l u e 56 d a y s = 0.47 ).
The response surface methodology (RSM) allowed maximizing the utilization of WSA and SF, achieving cement paste formulations that meet strength requirements at different ages (7, 28, and 56 days) while allowing lower CO2 emissions. The physicochemical characterization of the materials facilitated the understanding of the design model, explaining the results. To confirm the model, three mixtures were tested with different proportions of SCM at a W/B ratio = 0.5, resulting in values close to those predicted, with maximum errors of 6% at the three ages.
The results suggest that for any addition of WSA between 0 and 20% and SF between 5 and 10%, the mechanical strength losses due to the incorporation of WSA are reduced, maximizing the incorporation of both SCMs. This model allows predicting the compressive strength at different ages, facilitating the determination of the required strength and the calculation of the maximum possible cement replacements.
It is suggested that any cement paste production center implement the model to calculate optimal cement replacement levels, which will contribute to an effective reduction of the carbon footprint and sustainability of the industry. It is also recommended in agricultural production to promote the collection and use of wheat straw ash as a valuable resource, and in industrial production to use silica fume and other industrial by-products as substitutes in the formulation of cement pastes, thus contributing to sustainability through the use of local waste. Finally, it is recommended to validate this model in larger-scale production plants in order to implement this optimization in a safe and viable manner.

Author Contributions

Conceptualization, M.G. and P.G.; methodology, M.G. and P.G.; software, B.B.; validation, B.B.; formal analysis, B.B. and J.R.-R.; investigation, B.B. and G.V.; resources, P.G. and M.G.; data curation, B.B.; writing—original draft preparation, B.B.; writing—review and editing, M.G., J.R.-R., and P.G.; visualization, B.B.; supervision, M.G. and P.G.; project administration, P.G.; funding acquisition, P.G. All authors have read and agreed to the published version of the manuscript.

Funding

This research was funded by CENAMAD (ANID BASAL FB210015), FONDEF project ID20I20312, and the Concrete Innovation Hub UC (CIHUC) from the Pontificia Universidad Católica de Chile. The APC was funded by Universidade da Coruña.

Institutional Review Board Statement

Not applicable.

Informed Consent Statement

Not applicable.

Data Availability Statement

Data can be available upon request.

Acknowledgments

CENAMAD (ANID BASAL FB210015), Sika and Melon, and Universidade da Coruña for allowing us the Open Access.

Conflicts of Interest

The authors declare no conflicts of interest.

References

  1. Global Cement and Concrete Association. Concrete Future—The GCCA 2050 Cement and Concrete Industry Roadmap for Net Zero Concrete; Global Cement and Concrete Association: London, UK, 2021; pp. 1–48. Available online: https://gccassociation.org/concretefuture/wp-content/uploads/2021/10/GCCA-Concrete-Future-Roadmap.pdf (accessed on 4 November 2024).
  2. Skocek, J.; Zajac, M.; Ben Haha, M. Carbon Capture and Utilization by mineralization of cement pastes derived from recycled concrete. Sci. Rep. 2020, 10, 1–12. [Google Scholar] [CrossRef]
  3. Summerbell, D.L.; Barlow, C.Y.; Cullen, J.M. Potential reduction of carbon emissions by performance improvement: A cement industry case study. J. Clean. Prod. 2016, 135, 1327–1339. [Google Scholar] [CrossRef]
  4. Scrivener, K.L.; John, V.M.; Gartner, E.M. Eco-efficient cements: Potential economically viable solutions for a low-CO2 cement-based materials industry. Cem. Concr. Res. 2018, 114, 2–26. [Google Scholar] [CrossRef]
  5. Müller, N.; Harnisch, J. A Blueprint for a Climate Friendly Cement Industry; A report prepared for the WWF—Lafarge Conservation Partnership; WWF International: Gland, Switzerland, 2008. [Google Scholar]
  6. Centro UC Políticas Públicas, Déficit Cero. Déficit Habitacional: ¿Cuántas Familias Necesitan una Vivienda y en qué Territorios? 2022. Available online: https://deficitcero.cl/uploads/estudios/Minuta_EstimaciondelDeficit.pdf (accessed on 27 October 2024).
  7. Habitat for Humanity. Annual Report 2020; National Office: Recife, Brazil; Urban Innovation Office: São Paulo, Brazil, 2020; pp. 4–10. Available online: https://habitatbrasil.org.br/wp-content/uploads/2021/06/Annual-Report-2020.pdf (accessed on 27 October 2024).
  8. Departamento Administrativo Nacional De Estadística. Boletín Técnico: Déficit Habitacional CNPV 2022. 2018; p. 20. Available online: https://www.dane.gov.co/files/investigaciones/deficit-habitacional/Boletin-tec-deficit-hab-2021.pdf (accessed on 27 October 2024).
  9. Lago, F. Estimación de la Evolución del Déficit Habitacional en la Argentina, Buenos Aires. 2016. Available online: https://biblioteca.camarco.org.ar/libro/estimacion-de-la-evolucion-del-deficit-habitacional-en-la-argentina/ (accessed on 27 October 2024).
  10. Lothenbach, B.; Scrivener, K.; Hooton, R.D. Supplementary cementitious materials. Cem. Concr. Res. 2011, 41, 1244–1256. [Google Scholar] [CrossRef]
  11. Su, Y.; Luo, B.; Luo, Z.; Xu, F.; Huang, H.; Long, Z.; Shen, C. Mechanical characteristics and solidification mechanism of slag/fly ash-based geopolymer and cement solidified organic clay: A comparative study. J. Build. Eng. 2023, 71, 106459. [Google Scholar] [CrossRef]
  12. Jhatial, A.A.; Goh, W.I.; Mohamad, N.; Mo, K.H.; Sohu, S. Incorporation of Palm Oil Fuel Ash and Egg shell Powder as Supplementary Cementitious Materials in Sustainable Foamed Concrete. Tech. Gaz. 2020, 27, 1394–1402. [Google Scholar] [CrossRef]
  13. Gencel, O.; Nodehi, M.; Yavuz Bayraktar, O.; Kaplan, G.; Benli, A.; Gholampour, A.; Ozbakkaloglu, T. Basalt fiber-reinforced foam concrete containing silica fume: An experimental study. Constr. Build. Mater. 2022, 326, 126861. [Google Scholar] [CrossRef]
  14. Alyousef, R.; Abbass, W.; Aslam, F.; Gillani, S.A.A. Characterization of high-performance concrete using limestone powder and supplementary fillers in binary and ternary blends under different curing regimes. Case Stud. Constr. Mater. 2023, 18, e02058. [Google Scholar] [CrossRef]
  15. Alamri, M.; Ali, T.; Ahmed, H.; Qureshi, M.Z.; Elmagarhe, A.; Adil Khan, M.; Ajwad, A.; Sarmad Mahmood, M. Enhancing the engineering characteristics of sustainable recycled aggregate concrete using fly ash, metakaolin and silica fume. Heliyon 2024, 10, e29014. [Google Scholar] [CrossRef]
  16. Bhagath Singh, G.V.P.; Durga Prasad, V. Environmental impact of concrete containing high volume fly ash and ground granulated blast furnace slag. J. Clean. Prod. 2024, 448, 141729. [Google Scholar] [CrossRef]
  17. Saradar, A.; Nemati, P.; Paskiabi, A.S.; Moein, M.M.; Moez, H.; Vishki, E.H. Prediction of mechanical properties of lightweight basalt fiber reinforced concrete containing silica fume and fly ash: Experimental and numerical assessment. J. Build. Eng. 2020, 32, 101732. [Google Scholar] [CrossRef]
  18. Stutzman, P. SEM Analysis and Computer Modelling of Hydration of Portland Cement Particles. In Petrography of Cementitious Materials; ASTM Special Technical Publication: Philadelphia, PA, USA, 1994. [Google Scholar]
  19. Shaikh, F.U.A.; Supit, S.W.M.; Sarker, P.K. A study on the effect of nano silica on compressive strength of high volume fly ash mortars and concretes. Mater. Des. 2014, 60, 433–442. [Google Scholar] [CrossRef]
  20. FAO. World Food and Agriculture—Statistical Yearbook 2021; FAO: Rome, Italy, 2021. [Google Scholar] [CrossRef]
  21. Thomas, B.S.; Yang, J.; Mo, K.H.; Abdalla, J.A.; Hawileh, R.A.; Ariyachandra, E. Biomass ashes from agricultural wastes as supplementary cementitious materials or aggregate replacement in cement/geopolymer concrete: A comprehensive review. J. Build. Eng. 2021, 40, 102332. [Google Scholar] [CrossRef]
  22. Santhosh, K.G.; Subhani, S.M.; Bahurudeen, A. Recycling of palm oil fuel ash and rice husk ash in the cleaner production of concrete. J. Clean. Prod. 2022, 354, 131736. [Google Scholar] [CrossRef]
  23. Su, Q.; Xu, J. Mechanical properties of rice husk ash and glass powder concrete: Experimental and mesoscopic studies. J. Build. Eng. 2024, 95, 110278. [Google Scholar] [CrossRef]
  24. Sobuz, M.H.R.; Al-Imran Datta, S.D.; Jabin, J.A.; Aditto, F.S.; Sadiqul Hasan, N.M.; Hasan, M.; Zaman, A.A.U. Assessing the influence of sugarcane bagasse ash for the production of eco-friendly concrete: Experimental and machine learning approaches. Case Stud. Constr. Mater. 2024, 20, e02839. [Google Scholar] [CrossRef]
  25. Pazouki, G.; Tao, Z.; Saeed, N.; Kang, W.H. Using artificial intelligence methods to predict the compressive strength of concrete containing sugarcane bagasse ash. Constr. Build. Mater. 2023, 409, 134047. [Google Scholar] [CrossRef]
  26. Althoey, F.; Zaid, O.; Martínez-García, R.; de Prado-Gil, J.; Ahmed, M.; Yosri, A.M. Ultra-high-performance fiber-reinforced sustainable concrete modified with silica fume and wheat straw ash. J. Mater. Res. Technol. 2023, 24, 6118–6139. [Google Scholar] [CrossRef]
  27. Bheel, N.; Chohan, I.M.; Alwetaishi, M.; Waheeb, S.A.; Alkhattabi, L. Sustainability assessment and mechanical characteristics of high strength concrete blended with marble dust powder and wheat straw ash as cementitious materials by using RSM modelling. Sustain. Chem. Pharm. 2024, 39, 101606. [Google Scholar] [CrossRef]
  28. Saraswat, A.; Kumar Parashar, A.; Bahadur, R. Effect of coconut shell ash substitute with cement on the mechanical properties of cement concrete. Mater. Today Proc. 2023, 1–4. [Google Scholar] [CrossRef]
  29. Varghese, A.; Unnikrishnan, S. Mechanical strength of coconut fiber reinforced concrete. Mater. Today Proc. 2023. [Google Scholar] [CrossRef]
  30. Sharma, N.; Sharma, P.; Parashar, A.K. Incorporation of Silica Fume and Waste Corn Cob Ash in Cement and Concrete for Sustainable Environment. Mater. Today Proc. 2022, 62, 4151–4155. [Google Scholar] [CrossRef]
  31. Oriola, K.O.; Raheem, A.A.; Ogundele, A.B. Investigation of compressive strength and thermal properties of corn cob ash cement concrete. Mater. Today Proc. 2023, 86, 128–133. [Google Scholar] [CrossRef]
  32. FAO. Global Cereal Production Heading for a Record High; FAO: Rome, Italy, 2023; Available online: https://www.fao.org/worldfoodsituation/csdb/en/ (accessed on 27 October 2024).
  33. Pan, X.; Sano, Y. Fractionation of wheat straw by atmospheric acetic acid process. Bioresour. Technol. 2005, 96, 1256–1263. [Google Scholar] [CrossRef]
  34. FAO. Global Forest Resources Assessment 2010 Main Report; FAO Forestry Paper; FAO: Rome, Italy, 2010; Volume 163, pp. 37–72. Available online: https://www.fao.org/3/i1757e/i1757e.pdf (accessed on 27 October 2024).
  35. Ungerfeld, E.; Vial, M.; Jobet, C.; Mathias, M.; Peñalillo, K. Problemas de la Quema de Rastrojos y Alternativas Posibles—Mundoagro. 2021. Available online: https://mundoagro.cl/problemas-de-la-quema-de-rastrojos-y-alternativas-posibles/# (accessed on 29 June 2023).
  36. Ruiz, C.; Wolff, M.; Claret, M. Rastrojos de Cultivos Anuales y Residuos Forestales; Instituto de Investigaciones Agropecuarias: Santiago, Chile; Centro Regional de Investigación Quilamapu: Chillán, Chile, 2015; Volume 308, pp. 10–29. [Google Scholar]
  37. Muñoz, P.; Mendívil, M.A.; Letelier, V.; Morales, M.P. Thermal and mechanical properties of fired clay bricks made by using grapevine shoots as pore forming agent. Influence of particle size and percentage of replacement. Constr. Build. Mater. 2019, 224, 639–658. [Google Scholar] [CrossRef]
  38. Biricik, H.; Aköz, F.; Berktay, I.; Tulgar, A.N. Study of pozzolanic properties of wheat straw ash. Cem. Concr. Res. 1999, 29, 637–643. [Google Scholar] [CrossRef]
  39. Amin, M.N.; Murtaza, T.; Shahzada, K.; Khan, K.; Adil, M. Pozzolanic potential and mechanical performance of wheat straw ash incorporated sustainable concrete. Sustainability 2019, 11, 519. [Google Scholar] [CrossRef]
  40. Maddalena, R.; Roberts, J.J.; Hamilton, A. Can Portland cement be replaced by low-carbon alternative materials? A study on the thermal properties and carbon emissions of innovative cements. J. Clean. Prod. 2018, 186, 933–942. [Google Scholar] [CrossRef]
  41. Al-akhras, N.M.; Abu-alfoul, B.A. Effect of wheat straw ash on mechanical properties of autoclaved mortar. Cem. Concr. Res. 2002, 32, 859–863. [Google Scholar] [CrossRef]
  42. Ataie, F.F.; Riding, K.A. Thermochemical Pretreatments for Agricultural Residue Ash Production for Concrete. J. Mater. Civ. Eng. 2013, 25, 1703–1711. [Google Scholar] [CrossRef]
  43. Memon, S.A.; Wahid, I.; Khan, M.K.; Tanoli, M.A.; Bimaganbetova, M. Environmentally friendly utilization of wheat straw ash in cement-based composites. Sustainability 2018, 10, 1322. [Google Scholar] [CrossRef]
  44. ASTM C595-21; Standard Specification for Blended Hydraulic Cements. ASTM: Philadelphia, PA, USA, 2021. Available online: www.astm.org (accessed on 27 October 2024).
  45. González-Kunz, R.N.; Pineda, P.; Bras, A.; Morillas, L. Plant biomass ashes in cement-based building materials. Feasibility as eco-efficient structural mortars and grouts. Sustain. Cities Soc. 2017, 31, 151–172. [Google Scholar] [CrossRef]
  46. Khan, K.; Ishfaq, M.; Amin, M.N.; Shahzada, K.; Wahab, N.; Faraz, M.I. Evaluation of Mechanical and Microstructural Properties and Global Warming Potential of Green Concrete with Wheat Straw Ash and Silica Fume. Materials 2022, 15, 3177. [Google Scholar] [CrossRef] [PubMed]
  47. Al-Kadhim Hameed, M.A.; Alzerjawi, A.K.R.; Mahdi, Z.A. Studying the behavior of the concrete mixture with wheat straw as part of the cement. J. Phys. Conf. Ser. 2021, 1973, 012174. [Google Scholar] [CrossRef]
  48. Muthukumar, M.; Mohan, D.; Rajendran, M. Optimization of mix proportions of mineral aggregates using Box Behnken design of experiments. Cem. Concr. Compos. 2003, 25, 751–758. [Google Scholar] [CrossRef]
  49. Memon, S.A.; Javed, U.; Haris, M.; Khushnood, R.A.; Kim, J. Incorporation of wheat straw ash as partial sand replacement for production of eco-friendly concrete. Materials 2021, 14, 2078. [Google Scholar] [CrossRef] [PubMed]
  50. Luo, T.; Hua, C.; Liu, F.; Sun, Q.; Yi, Y.; Pan, X. Effect of adding solid waste silica fume as a cement paste replacement on the properties of fresh and hardened concrete. Case Stud. Constr. Mater. 2022, 16, e01048. [Google Scholar] [CrossRef]
  51. Bhanja, S.; Sengupta, B. Influence of silica fume on the tensile strength of concrete. Cem. Concr. Res. 2005, 35, 743–747. [Google Scholar] [CrossRef]
  52. Das, S.K.; Mustakim, S.M.; Adesina, A.; Mishra, J.; Alomayri, T.S.; Assaedi, H.S.; Kaze, C.R. Fresh, strength and microstructure properties of geopolymer concrete incorporating lime and silica fume as replacement of fly ash. J. Build. Eng. 2020, 32, 101780. [Google Scholar] [CrossRef]
  53. Box, G.E.P.; Wilson, K.B. On the Experimental Attainment of Optimum Conditions. J. R. Stat. Soc. Ser. B 1951, 13, 1–38. [Google Scholar] [CrossRef]
  54. ASTM-C305-20; Standard Practice for Supplementation. ASTM Standard Guide. ASTM: Philadelphia, PA, USA, 2020. [CrossRef]
  55. ASTM C109-21; Standard Test Method for Compressive Strength of Hydraulic Cement Mortars (Using 2-in. or [50 mm] Cube Specimens). American Society for Testing and Materials: West Conshohocken, PA, USA, 2021. [CrossRef]
  56. ASTM-C511-13; Standard Specification for Mixing Rooms, Moist Cabinets, Moist Rooms, and Water. ASTM Standard Guide. ASTM: Philadelphia, PA, USA, 2015. [CrossRef]
  57. Mena, J.; González, M.; Remesar, J.C.; Lopez, M. Developing a very high-strength low-CO2 cementitious matrix based on a multi-binder approach for structural lightweight aggregate concrete. Constr. Build. Mater. 2020, 234, 117830. [Google Scholar] [CrossRef]
  58. Yajun, J.; Cahyadi, J.H. Effects of densified silica fume on microstructure and compressive strength of blended cement pastes. Cem. Concr. Res. 2003, 33, 1543–1548. [Google Scholar] [CrossRef]
  59. ASTM C1679-14; Standard Practice for Measuring Hydration Kinetics of Hydraulic Cementitious Mixtures Using Isothermal Calorimetry. ASTM: Philadelphia, PA, USA, 2014.
  60. Mitchell, D.R.G.; Hinczak, I.; Day, R.A. Interaction of silica fume with calcium hydroxide solutions. Cem. Concr. Res. 1998, 28, 1571–1584. [Google Scholar] [CrossRef]
  61. De Rojas, M.I.S.; Rivera, J.; Frías, M. Influence of the microsilica state on pozzolanic reaction rate. Cem. Concr. Res. 1999, 29, 945–949. [Google Scholar] [CrossRef]
  62. Shar, I.A.; Memon, F.A.; Bheel, N.; Shaikh, Z.H.; Dayo, A.A. Use of Wheat Straw Ash as Cement Replacement Material in the Concrete. In Proceedings of the International Conference on Sustainable Development in Civil Engineering, MUET, Jamshoro, Pakistan, 16–18 February 2019; Volume 3, pp. 5–7. [Google Scholar]
Figure 1. Research workflow.
Figure 1. Research workflow.
Sustainability 16 11226 g001
Figure 2. BBD model.
Figure 2. BBD model.
Sustainability 16 11226 g002
Figure 3. Curing of specimens in water.
Figure 3. Curing of specimens in water.
Sustainability 16 11226 g003
Figure 4. Particle size distribution of raw materials.
Figure 4. Particle size distribution of raw materials.
Sustainability 16 11226 g004
Figure 5. Compression test of samples.
Figure 5. Compression test of samples.
Sustainability 16 11226 g005
Figure 6. (a) Morphology of silica fume by electron microscope, (b) agglomeration, and (c) silica fume.
Figure 6. (a) Morphology of silica fume by electron microscope, (b) agglomeration, and (c) silica fume.
Sustainability 16 11226 g006
Figure 7. Morphology of cement and WSA. (a) cement particles, (b) and (c) WSA.
Figure 7. Morphology of cement and WSA. (a) cement particles, (b) and (c) WSA.
Sustainability 16 11226 g007
Figure 8. Normalized hydration heat.
Figure 8. Normalized hydration heat.
Sustainability 16 11226 g008
Figure 9. Normalized heat flow.
Figure 9. Normalized heat flow.
Sustainability 16 11226 g009
Figure 10. Results of compressive strength (above) and illustration of the failure mechanism (below).
Figure 10. Results of compressive strength (above) and illustration of the failure mechanism (below).
Sustainability 16 11226 g010
Figure 11. Exemplary FE-SEM images of the B0.6W10S10 paste (28-day average compressive strength of about 23 MPa) at 56 days. (a) cement, (b) SF, and (c) WSA at 1 μm, (d) WSA at 20 μm.
Figure 11. Exemplary FE-SEM images of the B0.6W10S10 paste (28-day average compressive strength of about 23 MPa) at 56 days. (a) cement, (b) SF, and (c) WSA at 1 μm, (d) WSA at 20 μm.
Sustainability 16 11226 g011
Figure 12. (a) 7-day, (b) 28-day, (c) 56-day quantile-quantile plots.
Figure 12. (a) 7-day, (b) 28-day, (c) 56-day quantile-quantile plots.
Sustainability 16 11226 g012
Figure 13. Three-dimensional model of RSM. (a) 7, (b) 28, and (c) 56 days with W/B = 0.5.
Figure 13. Three-dimensional model of RSM. (a) 7, (b) 28, and (c) 56 days with W/B = 0.5.
Sustainability 16 11226 g013
Figure 14. Contour plots for (a) 7, (b) 28, and (c) 56 days with W/B = 0.5.
Figure 14. Contour plots for (a) 7, (b) 28, and (c) 56 days with W/B = 0.5.
Sustainability 16 11226 g014
Figure 15. Predicted (-P) and experimental (-E) mixes from RSM.
Figure 15. Predicted (-P) and experimental (-E) mixes from RSM.
Sustainability 16 11226 g015
Figure 16. Carbon footprint (intensity index) versus 56-day compressive strength.
Figure 16. Carbon footprint (intensity index) versus 56-day compressive strength.
Sustainability 16 11226 g016
Table 1. Emissions of CO2 in kg per kg of raw material.
Table 1. Emissions of CO2 in kg per kg of raw material.
MaterialCO2eq (kg/kg)Reference
Cement0.813(Maddalena et al., 2018) [40]
Biomass ash0.05(González-Kunz et al., 2017) [45]
SF0.00001(Maddalena et al., 2018) [40]
Table 2. Summary of the different paste mixes with cement replacement by WSA and SF.
Table 2. Summary of the different paste mixes with cement replacement by WSA and SF.
Levels in the BBD ModelExperimental Composition
Mixes NomenclatureW/BWSASFW/BWSA (%)SF (%)
B0.4W0S5−1−100.405
B0.6W0S51−100.605
B0.4W20S5−1100.4205
B0.6W20S51100.6205
B0.4W10S0−10−10.4100
B0.6W10S010−10.6100
B0.4W10S10−1010.41010
B0.6W10S101010.61010
B0.5W0S00−1−10.500
B0.5W20S001−10.5200
B0.5W0S100−110.5010
B0.5W20S100110.52010
B0.5W10S5-10000.5105
B0.5W10S5-20000.5105
B0.5W10S5-30000.5105
Table 3. Chemical composition of raw materials.
Table 3. Chemical composition of raw materials.
CompoundsCement (%)WSA (%)SF (%)
C a O 59.05.330.18
S i O 2 24.827.1294.50
A l 2 O 3 5.800.57-
F e 2 O 3 3.290.150.14
S O 3 2.880.79-
M g O 1.070.52-
K 2 O 0.796.810.45
T i O 2 0.23--
S r O 0.09--
C l -1.18-
P 2 O 5 -0.69-
N a 2 O -0.42-
M n O -0.17-
L O I 2.01-4.76
Table 4. Shapiro–Wilk normality test.
Table 4. Shapiro–Wilk normality test.
AgeWp Value
7 days0.970.86
28 days0.970.89
56 days0.970.85
Table 5. Analysis of variance and estimated coefficients of compressive strength for the 7-day model.
Table 5. Analysis of variance and estimated coefficients of compressive strength for the 7-day model.
FactorCoefficientStd. Errort ValuePr (>|t|)
Constant17.620.6527.070.0000000001093 ***
W/B−4.690.61−7.70.01649 ***
WSA−3.30.61−5.140.0004356 ***
W/B:WSA4.130.864.80.0007220 ***
(W/B)2−2.140.89−2.40.0373727 *
Note: significance codes: 0 ‘***’ 0.001 ‘*’ 0.05.
Table 6. Analysis of variance and estimated coefficients of compressive strength for the 28-day model.
Table 6. Analysis of variance and estimated coefficients of compressive strength for the 28-day model.
FactorCoefficientStd. Errort ValuePr (>|t|)
Constant25.131.1422.040.00001896 ***
W/B−5.310.84−6.320.0002274 ***
WSA−5.350.84−6.380.0002136 ***
SF−1.530.84−1.820.1057541
W/B:WSA3.481.192.930.0189174 *
(W/B)2−3.391.23−2.750.0249159 *
(SF)23.521.232.860.0211537 *
Note. Significance codes: 0 ‘***’ 0.001 ‘*’ 0.05.
Table 7. Analysis of variance and estimated coefficients of compressive strength for the 56-day model.
Table 7. Analysis of variance and estimated coefficients of compressive strength for the 56-day model.
FactorCoefficientStd. Errort ValuePr (>|t|)
Constant26.211.2521.040.000001308 ***
W/B−5.211.17−4.470.001203 **
WSA−5.081.17−4.360.001423 **
SF0.81.170.680.510685
(SF)25.521.713.230.008980 **
Note. Significance codes: 0 ‘***’ 0.001 ‘**’ 0.01.
Table 8. Validation mixtures to confirm the predictive model.
Table 8. Validation mixtures to confirm the predictive model.
MixturesW/BWSASFW/BWSA (%)SF (%)
B0.5W15S1000.510.51510
B0.51W12S90.10.20.80.51129
B0.5W12S500.200.5125
Table 9. Model prediction errors as per the validation experiments.
Table 9. Model prediction errors as per the validation experiments.
MixturesModel Error 7 Days (%)Model Error 28 Days (%)Model Error 56 Days (%)
B0.5W15S104.84.15.1
B0.51W12S92.25.46.1
B0.5W12S55.60.3−2.7
Disclaimer/Publisher’s Note: The statements, opinions and data contained in all publications are solely those of the individual author(s) and contributor(s) and not of MDPI and/or the editor(s). MDPI and/or the editor(s) disclaim responsibility for any injury to people or property resulting from any ideas, methods, instructions or products referred to in the content.

Share and Cite

MDPI and ACS Style

Bastías, B.; González, M.; Rey-Rey, J.; Valerio, G.; Guindos, P. Sustainable Cement Paste Development Using Wheat Straw Ash and Silica Fume Replacement Model. Sustainability 2024, 16, 11226. https://doi.org/10.3390/su162411226

AMA Style

Bastías B, González M, Rey-Rey J, Valerio G, Guindos P. Sustainable Cement Paste Development Using Wheat Straw Ash and Silica Fume Replacement Model. Sustainability. 2024; 16(24):11226. https://doi.org/10.3390/su162411226

Chicago/Turabian Style

Bastías, Bryan, Marcelo González, Juan Rey-Rey, Guillermo Valerio, and Pablo Guindos. 2024. "Sustainable Cement Paste Development Using Wheat Straw Ash and Silica Fume Replacement Model" Sustainability 16, no. 24: 11226. https://doi.org/10.3390/su162411226

APA Style

Bastías, B., González, M., Rey-Rey, J., Valerio, G., & Guindos, P. (2024). Sustainable Cement Paste Development Using Wheat Straw Ash and Silica Fume Replacement Model. Sustainability, 16(24), 11226. https://doi.org/10.3390/su162411226

Note that from the first issue of 2016, this journal uses article numbers instead of page numbers. See further details here.

Article Metrics

Back to TopTop