Exploring Common Residential Landscape Types and Their Water Budget in Amman, Jordan
Abstract
1. Introduction
1.1. Residential Landscape
1.2. Landscape Classification
1.3. Plant Selection
1.4. Landscape Water Budget
2. Materials and Methods
2.1. Study Area and Sampling
2.2. Data Collection
2.3. Data Manipulation
2.4. Landscape Classification
2.5. Water Budget Calculation
2.6. Statistical Analysis
3. Results
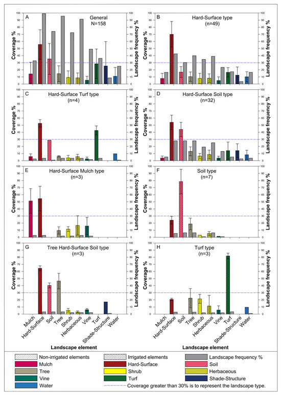
3.1. Landscape Classification
3.2. Landscape Water Budget
3.3. Distribution of Landscape Within Front, Back, and Side Yards
3.4. Landscape Elements
4. Discussion
4.1. Landscape Classification
4.2. Landscape Water Budget
4.3. Distribution of Landscape Within Front, Back, and Side Yards
4.4. Landscape Elements
5. Conclusions
Author Contributions
Funding
Institutional Review Board Statement
Informed Consent Statement
Data Availability Statement
Acknowledgments
Conflicts of Interest
References
- Trinklein, D. Residential landscaping. In Missouri Master Gardener Core Manual; University of Missouri: Columbia, MO, USA, 2010. [Google Scholar]
- Larsen, L.; Harlan, S.L. Desert dreamscapes: Residential landscape preference and behavior. Landsc. Urban Plan. 2006, 78, 85–100. [Google Scholar] [CrossRef]
- Antrop, M. Background concepts for integrated landscape analysis. Agric. Ecosyst. Environ. 2000, 77, 17–28. [Google Scholar] [CrossRef]
- Naghibi, M.; Farrokhi, A.; Faizi, M. Small Urban Green Spaces: Insights into Perception, Preference, and Psychological Well-being in a Densely Populated Areas of Tehran, Iran. Environ. Health Insights 2024, 18, 11786302241248314. [Google Scholar] [CrossRef] [PubMed]
- Hussain, M.R.M.; Tukiman, I.; Zen, I.H.; Shahli, F.M. The impact of landscape design on house prices and values in residential development in urban areas. Apcbee Procedia 2014, 10, 316–320. [Google Scholar] [CrossRef][Green Version]
- Shahli, F.M.; Hussain, M.R.M.; Tukiman, I.; Zaidin, N. The importance aspects of landscape design on housing development in urban areas. APCBEE Procedia 2014, 10, 311–315. [Google Scholar] [CrossRef][Green Version]
- Kozová, M.; Oťaheľ, J.; Hrnčiarová, T. Landscape classification–Methodological approaches and proposal of the Slovakia project. GeoScape 2009, 2, 140–149. [Google Scholar]
- Hurd, B.H.; Hilaire, R.S.; White, J.M. Residential landscapes, homeowner attitudes, and water-wise choices in New Mexico. HortTechnology 2006, 16, 241–246. [Google Scholar] [CrossRef]
- Al-Ajlouni, M.G.; VanLeeuwen, D.M.; DeMers, M.N.; Hilaire, R.S. A method to quantitatively classify residential urban landscapes in a desert environment. HortTechnology 2013, 23, 474–481. [Google Scholar] [CrossRef]
- Al-Kofahi, S.D.; Gharaibeh, A.A.; Bsoul, E.Y.; Othman, Y.A.; St. Hilaire, R. Investigating domestic gardens’ densities, spatial distribution and types among city districts. Urban Ecosyst. 2019, 22, 567–581. [Google Scholar] [CrossRef]
- Akbari, H. Cooling Our Communities. A Guidebook on Tree Planting and Light-Colored Surfacing; United States Environmental Protection Agency: Washington, DC, USA, 2009.
- Prockter, N.J. Climbing and Screening Plants; Faber & Faber: London, UK, 1973. [Google Scholar]
- Johnson, R.J.; Beck, M.M.; Brandle, J.R. Windbreaks for people: The wildlife connection. J. Soil Water Conserv. 1994, 49, 546–551. [Google Scholar]
- Li, G.; Xu, G.; Guo, K.; Du, S. Geographical boundary and climatic analysis of Pinus tabulaeformis in China: Insights on its afforestation. Ecol. Eng. 2016, 86, 75–84. [Google Scholar] [CrossRef]
- Franco, J.; Martínez-Sánchez, J.; Fernández, J.; Bañón, S. Selection and nursery production of ornamental plants for landscaping and xerogardening in semi-arid environments. J. Hortic. Sci. Biotechnol. 2006, 81, 3–17. [Google Scholar] [CrossRef]
- Hardy, J.; Behe, B.; Barton, S.; Page, T.; Fernandez, R.T.; Schutzki, R.; Rowe, D.B. 522 Cost Analysis and Perceived Value of Selected Landscape Features. HortScience 2000, 35, 485B. [Google Scholar] [CrossRef]
- Richardson, D.M.; Pyšek, P.; Rejmanek, M.; Barbour, M.G.; Panetta, F.D.; West, C.J. Naturalization and invasion of alien plants: Concepts and definitions. Divers. Distrib. 2000, 6, 93–107. [Google Scholar] [CrossRef]
- Fiedler, A.K. Evaluation of Michigan Native Plants to Provide Resources for Natural Enemy Arthropods; Michigan State University: East Lansing, MI, USA, 2006. [Google Scholar]
- Haehle, R.G.; Brookwell, J. Native Florida Plants: Low maintenance Landscaping and Gardening; Taylor Trade Publishing: Lanham, MD, USA, 2004. [Google Scholar]
- McKinney, M.L. Correlated non-native species richness of birds, mammals, herptiles and plants: Scale effects of area, human population and native plants. Biol. Invasions 2006, 8, 415–425. [Google Scholar] [CrossRef]
- Mack, R.N.; Erneberg, M. The United States naturalized flora: Largely the product of deliberate introductions. Ann. Mo. Bot. Gard. 2002, 89, 176–189. [Google Scholar] [CrossRef]
- Tyser, R.W.; Worley, C.A. Alien flora in grasslands adjacent to road and trail corridors in Glacier National Park, Montana (USA). Conserv. Biol. 1992, 6, 253–262. [Google Scholar] [CrossRef]
- Crewe, K. Arizona native plants and the urban challenge. Landsc. J. 2014, 32, 215–229. [Google Scholar] [CrossRef]
- Gleick, P.H. Water use. Annu. Rev. Environ. Resour. 2003, 28, 275–314. [Google Scholar] [CrossRef]
- Hooper, V.H.; Endter-Wada, J.; Johnson, C.W. Theory and Practice Related to Native Plants: A Case Study of Utah Landscape Professionals. Landsc. J. 2008, 27, 127–141. [Google Scholar] [CrossRef]
- Dunlop, M.; Turner, G.; Foran, B.; Poldy, F. Decision points for land and water futures. In Resource Futures Program Working Document; CSIRO Sustainable Ecosystems: Canberra, Australia, 2002; Volume 2. [Google Scholar]
- Yabiku, S.T.; Casagrande, D.G.; Farley-Metzger, E. Preferences for landscape choice in a Southwestern desert city. Environ. Behav. 2008, 40, 382–400. [Google Scholar] [CrossRef]
- Heaney, J.P.; DeOreo, W.; Mayer, P.; Lander, P.; Harpring, J.; Stadjuhar, L.; Courtney, B.; Buhlig, L. Nature of Residential Water Use and Effectiveness of Conservation Programs; Boulder Community Network: Boulder, CO, USA, 2005. [Google Scholar]
- Ferguson, B.K. Water conservation methods in urban landscape irrigation: An exploratory overview 1. JAWRA J. Am. Water Resour. Assoc. 1987, 23, 147–152. [Google Scholar] [CrossRef]
- Hilaire, R.S.; Arnold, M.A.; Wilkerson, D.C.; Devitt, D.A.; Hurd, B.H.; Lesikar, B.J.; Lohr, V.I.; Martin, C.A.; McDonald, G.V.; Morris, R.L. Efficient water use in residential urban landscapes. HortScience 2008, 43, 2081–2092. [Google Scholar] [CrossRef]
- Smith, M.; Allen, R.; Pereira, L. Revised FAO Methodology for Crop-Water Requirements; FAO: Rome, Italy, 1998. [Google Scholar]
- Al-Ajlouni, M.G.; VanLeeuwen, D.M.; Hilaire, R.S. Linking urban residential landscape types in a desert environment to landscape water budgets. HortTechnology 2014, 24, 307–312. [Google Scholar] [CrossRef]
- MWI. Jordan Water Sector: Facts and Figures; Ministry of Water and Irrigation: Amman, Jordan, 2022. Available online: https://www.mwi.gov.jo/ebv4.0/root_storage/ar/eb_list_page/jordan_water_sector_-_facts_and_figures_2022.pdf (accessed on 13 December 2024).
- Hussein, H. Tomatoes, Tribes, Bananas, and Businessmen: An Analysis of the Shadow State and the Politics of Water in Jordan. Environ. Sci. Policy 2018, 84, 170–176. [Google Scholar] [CrossRef]
- Al-Karablieh, E.; Salman, A. Water resources, use and management in Jordan. A focus on groundwater. In IWMI Project Publication–Groundwater Governance in the Arab World–Taking Stock and Addressing the Challenges; IWMI: Colombo, Sri Lanka, 2016. [Google Scholar]
- Benedict, S.; Hussein, H. An Analysis of Water Awareness Campaign Messaging in the Case of Jordan: Water Conservation for State Security. Water 2019, 11, 1156. [Google Scholar] [CrossRef]
- Haddadin, M.J. Water Resources in Jordan: Evolving Policies for Development, the Environment, and Conflict Resolution; Resources for the Future: Washington, DC, USA, 2006. [Google Scholar]
- Lipchin, C.; Pallant, E.; Saranga, D.; Amster, A. (Eds.) Integrated Water Resources Management and Security in the Middle East; Springer: Dordrecht, The Netherlands, 2007. [Google Scholar]
- Liptrot, T.; Hussein, H. Between Regulation and Targeted Expropriation: Rural-to-Urban Groundwater Reallocation in Jordan. Water Altern. 2020, 13, 864–885. [Google Scholar]
- Ghanem, A.A. Climatology of the areal precipitation in Amman/Jordan. Int. J. Climatol. 2011, 31, 1328–1333. [Google Scholar] [CrossRef]
- Al-Addous, M.; Bdour, M.; Alnaief, M.; Rabaiah, S.; Schweimanns, N. Water resources in Jordan: A review of current challenges and future opportunities. Water 2023, 15, 3729. [Google Scholar] [CrossRef]
- Meaton, J.; Alnsour, J. Spatial and environmental planning challenges in Amman, Jordan. Plan. Pract. Res. 2012, 27, 367–386. [Google Scholar] [CrossRef]
- Farhan, Y.; Al-Shawamreh, S. Impact of rapid urbanization and changing housing patterns on urban open public spaces of Amman, Jordan: A GIS and RS perspective. J. Environ. Prot. 2019, 10, 57–79. [Google Scholar] [CrossRef]
- Lee, K.; Senthilnathan, N.; Lim, S.; Chow, S. An improved zig-zag model for the bending of laminated composite plates. Compos. Struct. 1990, 15, 137–148. [Google Scholar] [CrossRef]
- Booth, K.N. Residential Landscape Architecture; Prentice Hall: Upper Saddle River, NJ, USA, 2012. [Google Scholar]
- Dirr, M.A. Manual of Woody Landscape Plants: Their Identification, Ornamental Characteristics, Culture, Propagation and Uses; Stipes Publishing Co.: Champaign, IL, USA, 1990. [Google Scholar]
- Still, S. Manual of Herbaceous Ornamental Plants, 4th ed.; Stipes: Champaign, IL, USA, 1994. [Google Scholar]
- Al-Bakri, J. Mapping Irrigated Crops and Estimation of Crop Water Consumption in Amman-Zarqa Basin, A Report for Regional Coordination on Improved Water Resources Management and Capacity Building; Ministry of Water and Irrigation: Amman, Jordan, 2016.
- Klein, R. Concrete and Abstract Voronoi Diagrams; Springer Science & Business Media: Berlin/Heidelberg, Germany, 1989; Volume 400. [Google Scholar]
- Association, I. Certified Landscape Irrigation Auditor Training Manual; Irrigation Association: Falls Church, VA, USA, 2004. [Google Scholar]
- Costello, L.; Matheny, N.; Clark, J.; Jones, K. WUCOLS III: A Guide to Estimating Irrigation Water Needs of Landscape Plantings in California: The Landscape Coefficient Method; University of California Cooperative Extension, California Department of Water Resources: San Mateo/San Francisco, CA, USA, 2000; Volume 160. [Google Scholar]
- Faucon, P. Desert-Tropicals. Available online: https://www.desert-tropicals.com/index.html (accessed on 8 August 2024).
- Baldwin, R. San Marcos Growers. Available online: http://www.smgrowers.com/index.asp (accessed on 8 August 2024).
- Le Houérou, H. Agroforestry techniques for the conservation and improvement of soil fertility in arid and semi-arid zones. In Browse in Agrica; International Livestock Centre for Africa: Addis Ababa, Ethiopia, 1980; pp. 433–435. [Google Scholar]
- Irmak, S.; Haman, D.Z. Evaluation of five methods for estimating class A pan evaporation in a humid climate. HortTechnology 2003, 13, 500–508. [Google Scholar] [CrossRef]
- Sun, X.; Yang, Z. Generalized McNemar’s test for homogeneity of the marginal distributions. In Proceedings of the SAS Global Forum, San Antonio, TX, USA, 16–19 March 2008; pp. 1–10. [Google Scholar]
- Grimm, N.B.; Grove, J.M.; Pickett, S.T.; Redman, C.L. Integrated Approaches to Long-Term Studies of Urban Ecological Systems; Springer: Boston, MA, USA, 2008. [Google Scholar]
- Godefroid, S.; Koedam, N. Urban plant species patterns are highly driven by density and function of built-up areas. Landsc. Ecol. 2007, 22, 1227–1239. [Google Scholar] [CrossRef]
- Lu, D.; Weng, Q. Use of impervious surface in urban land-use classification. Remote Sens. Environ. 2006, 102, 146–160. [Google Scholar] [CrossRef]
- Municipality, G.A. Building and Organization System in the Amman Municipality and Its Amendments. Available online: https://www.amman.jo/site_doc/attch-766720.pdf (accessed on 8 August 2024).
- Gill, S.E.; Handley, J.F.; Ennos, A.R.; Pauleit, S.; Theuray, N.; Lindley, S.J. Characterising the urban environment of UK cities and towns: A template for landscape planning. Landsc. Urban Plan. 2008, 87, 210–222. [Google Scholar] [CrossRef]
- Hussein, N.M.; Assaf, M.N. Assessment of spatial and temporal distribution of Urban Heat Islands (UHI) in semi-arid climate. J. Environ. Eng. Landsc. Manag. 2023, 31, 52–66. [Google Scholar] [CrossRef]
- Kuttler, W. The urban climate–basic and applied aspects. In Urban Ecology: An International Perspective on the Interaction Between Humans and Nature; Springer: Boston, MA, USA, 2008; pp. 233–248. [Google Scholar]
- Wilby, R.L. Past and projected trends in London’s urban heat island. Weather 2003, 58, 251–260. [Google Scholar] [CrossRef]
- Shooshtarian, S.; Rajagopalan, P. Daytime thermal performance of different urban surfaces: A case study in educational institution precinct of Melbourne. Archit. Sci. Rev. 2018, 61, 29–47. [Google Scholar] [CrossRef]
- Lu, L.; Weng, Q.; Xiao, D.; Guo, H.; Li, Q.; Hui, W. Spatiotemporal Variation of Surface Urban Heat Islands in Relation to Land Cover Composition and Configuration: A Multi-Scale Case Study of Xi’an, China. Remote Sens. 2020, 12, 2713. [Google Scholar] [CrossRef]
- Armson, D.; Stringer, P.; Ennos, A. The effect of tree shade and grass on surface and globe temperatures in an urban area. Urban For. Urban Green. 2012, 11, 245–255. [Google Scholar] [CrossRef]
- Bowler, D.E.; Buyung-Ali, L.; Knight, T.M.; Pullin, A.S. Urban greening to cool towns and cities: A systematic review of the empirical evidence. Landsc. Urban Plan. 2010, 97, 147–155. [Google Scholar] [CrossRef]
- Huang, Y.J.; Akbari, H.; Taha, H. The wind-shielding and shading effects of trees on residential heating and cooling requirements. In Proceedings of the Winter Meeting of the American Society of Heating, Refrigerating and Air-Conditioning Engineers, Inc., Atlanta, GA, USA, 11–14 February 1990. [Google Scholar]
- Nowak, D.J. Air pollution removal by Chicago’s urban forest. In Chicago’s Urban Forest Ecosystem: Results of the Chicago Urban Forest Climate Project; U. S. Department of Agriculture: Washington, DC, USA, 1994; Volume 1994, pp. 63–81. [Google Scholar]
- Nowak, D.J.; Greenfield, E.J. Tree and impervious cover in the United States. Landsc. Urban Plan. 2012, 107, 21–30. [Google Scholar] [CrossRef]
- Bakar, A.A.; Malek, N.A.; Mohit, M.A.; Othman, R.; Sanusi, A.N.Z. Housing space quality towards quality of life: A case study of double storey terrace houses. Proc. MATEC Web Conf. 2016, 66, 00083. [Google Scholar] [CrossRef]
- Shahli, F.M.; Hussain, M.R.M. Implementation of Landscape Design as Elements in Creating Values for Housing Areas in Klang Valley, Malaysia. Am. Trans. Eng. Appl. Sci. 2015, 4, 219–230. [Google Scholar]
- Manneh, A.; Taleb, H. Vegetation impact on microclimate in hot climate zones. In Proceedings of the 2nd World Congress on Civil, Structural, and Environmental Engineering, Barcelona, Spain, 2–4 April 2017; pp. 1–10. [Google Scholar]
- Panwar, M.; Jindal, S. Urban Heat Island and Building Energy Consumption. In IOP Conference Series: Earth and Environmental Science; IOP Publishing: Bristol, UK, 2024; p. 012080. [Google Scholar]
- Rosenow, J.; Yager, M. Tree City USA. In Urban and Community Forestry in the Northeast; Springer: Dordrecht, The Netherlands, 2007; pp. 419–427. [Google Scholar]
- Arbor Day Foundation. 2021. Available online: https://www.arborday.org (accessed on 1 December 2024).
- Li, L. Environmental goods provision and gentrification: Evidence from MillionTreesNYC. J. Environ. Econ. Manag. 2023, 120, 102828. [Google Scholar] [CrossRef]
- Taws, N. The Greening Australia Birdwatch project. Canberra Bird Notes 2000, 25, 89–93. [Google Scholar]
- Sovocool, K.A.; Morgan, M. Xeriscape Conversion Study; Southern Nevada Water Authority: Las Vegas, NV, USA, 2005; Volume 93. [Google Scholar]
- Hansen, G. Landscape Design: Ten Important Things to Consider; University of Florida: Gainesville, FL, USA, 2009. [Google Scholar]
- Martin, C.A.; Peterson, K.A.; Stabler, L.B. Residential landscaping in Phoenix, Arizona, US: Practices and preferences relative to covenants, codes, and restrictions. J. Arboric. 2003, 29, 9–17. [Google Scholar]
- Abd El Aziz, N.A. Water sensitive landscape case study: Public open green spaces in Naser City, Egypt. J. Landsc. Ecol. 2016, 9, 66–83. [Google Scholar] [CrossRef][Green Version]
- Schuch, U.K.; Burger, D.W. Water use and crop coefficients of woody ornamentals in containers. J. Am. Soc. Hortic. Sci. 1997, 122, 727–734. [Google Scholar] [CrossRef]
- MWI. National Water Conservation Roadmap; Ministry of Water and Irrigation: Amman, Jordan, 2024. Available online: https://mwi.gov.jo/ebv4.0/root_storage/ar/eb_list_page/national_water_conservation_roadmap_english_2024-0.pdf (accessed on 1 December 2024).
- Brelsford, C.; Abbott, J.K. How smart are ‘water smart landscapes’? J. Environ. Econ. Manag. 2021, 106, 102402. [Google Scholar] [CrossRef]
- Luck, G.W.; Smallbone, L.T.; O’Brien, R. Socio-economics and vegetation change in urban ecosystems: Patterns in space and time. Ecosystems 2009, 12, 604–620. [Google Scholar] [CrossRef]
- Fukamachi, K.; Oku, H.; Nakashizuka, T. The change of a satoyama landscape and its causality in Kamiseya, Kyoto Prefecture, Japan between 1970 and 1995. Landsc. Ecol. 2001, 16, 703–717. [Google Scholar] [CrossRef]
- Perry, T.; Nawaz, R. An investigation into the extent and impacts of hard surfacing of domestic gardens in an area of Leeds, United Kingdom. Landsc. Urban Plan. 2008, 86, 1–13. [Google Scholar] [CrossRef]
- Martin, C.; Stabler, L. Plant gas exchange and water status in urban desert landscapes. J. Arid. Environ. 2002, 51, 235–254. [Google Scholar] [CrossRef]
- Kjelgren, R.; Rupp, L.; Kilgren, D. Water conservation in urban landscapes. HortScience 2000, 35, 1037–1040. [Google Scholar] [CrossRef]
- Zabala, N. Silviculture of Species; SIDALC: Turrialba, Costa Rica, 1990. [Google Scholar]
- Salim Azad, M.; Zedan-Al-Musa, M.; Abdul Matin, M. Effects of pre-sowing treatments on seed germination of Melia azedarach. J. For. Res. 2010, 21, 193–196. [Google Scholar] [CrossRef]
- Gregory, G.D.; Leo, M.D. Repeated behavior and environmental psychology: The role of personal involvement and habit formation in explaining water consumption 1. J. Appl. Soc. Psychol. 2003, 33, 1261–1296. [Google Scholar] [CrossRef]
- Salameh, E.; Al-Alami, H. Jordan’s Water Sector—Alarming Issues and Future. J. Geosci. Environ. Prot. 2021, 9, 100–117. [Google Scholar] [CrossRef]
- CSBE. Water-Conserving Garden. The Center for the Study of the Built Environment. 2004. Available online: https://static1.squarespace.com/static/5671433fc647ad9f55531f40/t/56a8894cd82d5e357ab90dbb/1453885860281/manual.pdf (accessed on 12 December 2024).
- Endter-Wada, J.; Kurtzman, J.; Keenan, S.P.; Kjelgren, R.K.; Neale, C.M. Situational waste in landscape watering: Residential and business water use in an urban Utah community 1. JAWRA J. Am. Water Resour. Assoc. 2008, 44, 902–920. [Google Scholar] [CrossRef]
- Prakkash, M.J.; Ragunathan, R.; Jesteena, J. Evaluation of bioactive compounds from Jasminum polyanthum and its medicinal properties. J. Drug Deliv. Ther. 2019, 9, 303–310. [Google Scholar] [CrossRef]
- Mithila, J.; Murch, S.J.; KrishnaRaj, S.; Saxena, P.K. Recent advances in Pelargonium in vitro regeneration systems. Plant Cell Tissue Organ Cult. 2001, 67, 1–9. [Google Scholar] [CrossRef]
- Augé, R.M.; Stodola, A.J.; Moore, J.L.; Klingeman, W.E.; Duan, X. Comparative dehydration tolerance of foliage of several ornamental crops. Sci. Hortic. 2003, 98, 511–516. [Google Scholar] [CrossRef]



| Group 1 | Landscape Types | Frequency (n = 101) | Landscape (%) | Coverage of Irrigated Element (%) 2 | Coverage of Non-Irrigated Element (%) | Number of Plant Species (no.) | Total Plant (no.) | Water Budget (L.m−2/yr) |
|---|---|---|---|---|---|---|---|---|
| 1 | Hard-Surface | 49 | 42.24 | 28 c | 86 a | 8 | 70 | 486 b |
| Hard-Surface Soil | 32 | 27.59 | 25 c | 93 a | 6 | 70 | 298 b | |
| Soil | 7 | 6.03 | 23 c | 94 a | 4 | 18 | 185 b | |
| Hard-Surface Turf | 4 | 3.45 | 58 b | 64 b | 6 | 44 | 493 b | |
| Hard-Surface Mulch | 3 | 2.59 | 30 c | 95 a | 12 | 116 | 417 b | |
| Tree Hard-Surface Soil | 3 | 2.59 | 51 b | 100 a | 6 | 29 | 465 b | |
| 2 | Turf | 3 | 2.59 | 116 a | 20 c | 9 | 81 | 1742 a |
| p-value | <0.0001 | <0.0001 | 0.1508 | 0.3493 | <0.0001 |
| Minor Landscape Types | Frequency (n = 15) | Landscape (%) | Water Budget |
|---|---|---|---|
| Tree Hard-Surface Turf | 2 | 1.72 | 1361 |
| Tree Turf | 2 | 1.72 | 878 |
| Hard-Surface Soil Turf | 1 | 0.86 | 296 |
| Shrub Hard-Surface Turf | 1 | 0.86 | 1447 |
| Mulch | 1 | 0.86 | 1384 |
| Shrubs Herbaceous Water Turf Mulch | 1 | 0.86 | 770 |
| Shrub Mulch | 1 | 0.86 | 480 |
| Hard-Surface Soil Mulch | 1 | 0.86 | 402 |
| Tree | 1 | 0.86 | 372 |
| Tree Hard-Surface | 1 | 0.86 | 325 |
| Tree Soil | 1 | 0.86 | 273 |
| Soil Turf | 1 | 0.86 | 123 |
| Hard-Surface Soil Shade | 1 | 0.86 | 85 |
| Common Landscape Type | Distribution (%) | ||
|---|---|---|---|
| Front Yard 1 n = 54 | Back Yard n = 54 | Side Yard n = 8 | |
| Hard-Surface | 47.83 a | 54.17 a | 0 |
| Hard-Surface Soil | 34.78 a | 27.08 b | 50 a |
| Soil | 0 | 10.42 b | 33.33 a |
| Hard-Surface Turf | 6.52 b | 2.08 c | 0 |
| Hard-Surface Mulch | 4.35 b | 2.08 c | 0 |
| Tree Hard-Surface Soil | 4.35 b | 0 | 16.67 a |
| Turf | 2.17 b | 4.17 c | 0 |
| Water Use Level | Tree | Shrubs | Vines | Herbaceous | ||||||||
|---|---|---|---|---|---|---|---|---|---|---|---|---|
| Sp. No. 1 | Cov. % 2 | Ferq. % 3 | Sp. No. | Cov. % | Ferq. % | Sp. No. | Cov. % | Ferq. % | Sp. No. | Cov. % | Ferq. % | |
| Very low | 0 | 0 | 0 | 0 | 0 | 0 | 0 | 0 | 0 | 0 | 0 | 0 |
| Very low to low | 1 | 4.5 | 8 | 0 | 0 | 0 | 0 | 0 | 0 | 1 | 2 | 15 |
| Low | 0 | 0 | 0 | 1 | 2 | 19 | 0 | 0 | 0 | 4 | 3 | 38 |
| Low to moderate | 17 | 9 | 83 | 20 | 7 | 76 | 3 | 2 | 1 | 13 | 7 | 99 |
| Moderate | 13 | 8.2 | 83 | 8 | 3 | 55 | 5 | 1 | 18 | 16 | 4 | 28 |
| Moderate to high | 2 | 6 | 20 | 2 | 1 | 8 | 1 | 0.3 | 39 | 3 | 2 | 4 |
| High | 0 | 0 | 0 | 0 | 0 | 0 | 0 | 0 | 0 | 2 | 5 | 7 |
| Plant Name | Landscape Frequency % | Water Use Level | Plant Coverage Area (m2) | Native to Mediterranean Region (Yes, No) | Plant Characteristics |
|---|---|---|---|---|---|
| X Cupressocyparis leylandii | 50.00 | M | 784.90 | No | Evergreen |
| Cupressus sempervirens | 48.28 | L–M | 541.90 | Yes | Evergreen |
| Citrus limon | 24.14 | M | 148.60 | No | Evergreen |
| Prunus pesica | 14.66 | M | 134.20 | No | Deciduous |
| Cupressus macrocarpa | 13.79 | L–M | 104.65 | No | Evergreen |
| Magnolia grandiflora | 12.93 | M–H | 72.60 | No | Evergreen |
| Phoenix dactylifera | 11.21 | L–M | 177.50 | Yes | Evergreen |
| Washingtonia filifera | 11.21 | L–M | 119.70 | No | Evergreen |
| Prunus avium | 11.21 | M | 104.00 | No | Deciduous |
| Platycladus orientalis | 11.21 | M | 31.80 | No | Evergreen |
| Olea europaea | 9.48 | L–M | 174.10 | Yes | Evergreen |
| Malus domestica | 9.48 | M | 67.00 | No | Deciduous |
| Melia azedarach | 7.76 | VL–L | 110.55 | No | Deciduous |
| Jacaranda acutifolia | 6.90 | M | 125.50 | No | Deciduous |
| Prunus subg. Prunus | 6.90 | M | 62.30 | No | Deciduous |
| Prunus armeniaca | 6.03 | M | 48.20 | No | Deciduous |
| Callistemon viminalis | 5.17 | L–M | 34.95 | No | Evergreen |
| Laurus nobilis | 5.17 | L–M | 10.91 | No | Evergreen |
| Araucaria heterophylla | 4.31 | L–M | 33.2 | No | Evergreen |
| Lagerstroemia indica | 4.31 | L–M | 17.14 | No | Deciduous |
| Citrus japonica | 4.31 | M | 10.40 | No | Evergreen |
| Populus alba | 4.31 | M–H | 42 | Yes | Evergreen |
| Prunus x domestica | 3.45 | M | 14.4 | No | Deciduous |
| Cedrus deodara | 2.59 | L–M | 15.98 | No | Evergreen |
| Phoenix canariensis | 2.59 | L–M | 25 | No | Evergreen |
| Prunus cerasifera | 2.59 | M | 8.5 | No | Deciduous |
| Grevillea robusta | 1.72 | L–M | 14 | No | Deciduous |
| Ligustrum lucidum | 1.72 | L–M | 17.2 | No | Evergreen |
| Pinus canariensis | 1.72 | L–M | 13.5 | No | Evergreen |
| Cedrus atlantica | 0.86 | L–M | 1.8 | Yes | Evergreen |
| Styphnolobium japonicum | 0.86 | L–M | 6.4 | No | Deciduous |
| Ficus benghalensis | 0.86 | M | 4 | No | Deciduous |
| Eucalyptus citriodora | 0.86 | L–M | 9.6 | No | Evergreen |
| Plant Name | Landscape Frequency % | Water Use Level | Plant Coverage Area (m2) | Native to Mediterranean Region (Yes, No) | Plant Characteristics |
|---|---|---|---|---|---|
| Buxus microphylla | 37.07 | L–M | 182.67 | No | Evergreen |
| Cycas revoluta | 27.59 | M | 81.37 | No | Evergreen |
| Yucca elephantipes | 18.97 | L | 84.55 | No | Evergreen |
| Lavandula angustifolia | 12.07 | L–M | 97.44 | Yes | Evergreen |
| Euonymus japonicus | 10.34 | L–M | 112.81 | No | Evergreen |
| Juniper horizontalis | 10.34 | L–M | 82.30 | No | Evergreen |
| Polygala myrtifolia | 9.48 | L–M | 88.20 | No | Evergreen |
| Berberis vulgaris | 6.90 | L–M | 48.70 | No | Deciduous |
| Photinia x fraseri | 5.17 | M | 21.80 | No | Evergreen |
| Pittosporum tobira | 4.31 | L–M | 5.94 | No | Evergreen |
| Rosmarinus officinalis | 3.45 | L–M | 76.82 | Yes | Evergreen |
| Gardenia jasminoides | 3.45 | M | 22.10 | No | Evergreen |
| Dodonaea viscosa | 2.59 | L–M | 4.20 | No | Evergreen |
| Cordyline fruticosa | 2.59 | L–M | 16.95 | No | Evergreen |
| Aucuba japonica | 2.59 | M | 3.15 | No | Evergreen |
| Felicia fruticosa | 1.72 | L–M | 12.00 | No | Evergreen |
| Juniperus chinensis | 1.72 | L–M | 20.40 | No | Evergreen |
| Lavandula pinnata | 1.72 | L–M | 14.20 | No | Evergreen |
| Nandina domestica | 1.72 | L–M | 11.75 | No | Evergreen |
| Hydrangea macrophylla | 1.72 | M–H | 2.10 | No | Deciduous |
| Duranta erecta | 1.72 | M | 3.80 | No | Evergreen |
| Viburnum tinus | 1.72 | M | 5.40 | Yes | Evergreen |
| Rhododendron yunnanense | 1.72 | M–H | 3.00 | No | Evergreen |
| Carissa macrocarpa | 0.86 | L–M | 1.2 | No | Evergreen |
| Gaura lindheimeri | 0.86 | L–M | 6.75 | No | Evergreen |
| Hibiscus syriacus | 0.86 | L–M | 3.90 | No | Evergreen |
| Plumeria alba | 0.86 | L–M | 142.20 | No | Deciduous |
| Hebe franciscana | 0.86 | M | 3.50 | No | Evergreen |
| Plumbago auriculata | 0.86 | L–M | 5.00 | No | Evergreen |
| Pyracantha coccinea | 0.86 | L–M | 1.50 | Yes | Semievergreen |
| Cestrum nocturnum | 0.86 | M | 2.4 | No | Evergreen |
| Plant Name | Landscape Frequency % | Water Use Level | Plant Coverage Area (m2) | Native to Mediterranean Region (Yes, No) | Plant Characteristics |
|---|---|---|---|---|---|
| Jasminum officinale | 14.66 | M | 71.26 | Yes | Deciduous |
| Trachelospermum jasminoides | 12.07 | M | 69.85 | No | Evergreen |
| Rosa spp. | 11.21 | M–H | 71.70 | No | Deciduous |
| Bougainvillea glabra | 7.76 | L–M | 101.40 | No | Deciduous |
| Wisteria sinensis | 6.03 | M | 97.08 | No | Deciduous |
| Vitis vinifera | 5.17 | L–M | 172.41 | Yes | Deciduous |
| Hedera helix | 3.45 | M | 68.38 | No | Evergreen |
| Tecomaria capensis | 2.59 | L–M | 51.60 | No | Evergreen |
| Bignonia capreolata | 2.59 | M | 2.00 | No | Evergreen |
| Plant Name | Landscape Frequency % | Water Use Level | Plant Coverage Area (m2) | Native to Mediterranean Region (Yes, No) | Plant Characteristics |
|---|---|---|---|---|---|
| Pelargonium x hortorum | 36.21 | L–M | 520.02 | No | Perennial |
| Phormium tenax | 19.83 | L–M | 35.00 | No | Perennial |
| Strelitzia reginae | 14.66 | M | 6.00 | No | Bulb |
| Musa acuminata | 10.34 | H | 83.10 | No | Perennial |
| Aptenia cordifolia | 6.03 | L–M | 280.25 | No | Perennial |
| Cyperus involucratus | 3.45 | H | 9.10 | No | Rhizomes |
| Agave americana | 3.45 | L–M | 12.30 | No | Succulent |
| Pennisetum setaceum | 3.45 | L–M | 70.40 | No | Grass |
| Agapanthus africanus | 3.45 | M | 17.61 | No | Bulb |
| Argyranthemum frutescens | 3.45 | M | 41.80 | No | Perennial |
| Artemisia ‘Powis Castle’ | 2.59 | L | 6.40 | Yes | Perennial |
| Cortaderia selloana | 2.59 | L–M | 16.95 | No | Grass |
| Festuca glauca | 2.59 | L–M | 26.41 | Yes | Grass |
| Canna indica | 2.59 | M–H | 21.20 | No | Rhizomes |
| Thymus vulgaris | 1.72 | L–M | 4.65 | Yes | Perennial |
| Verbena hybrids | 1.72 | L–M | 4.00 | No | Perennial |
| Gazania rigens | 1.72 | M | 23.10 | No | Perennial |
| Pelargonium peltatum | 1.72 | M | 6.25 | No | Perennial |
| Aloe vera | 0.86 | L | 8.80 | No | Succulent |
| Kalanchoe blossfeldiana | 0.86 | L–M | 1.00 | No | Succulent |
| Mentha piperita | 0.86 | L–M | 4.20 | Yes | Perennial |
| Senecio cineraria | 0.86 | L–M | 4.25 | Yes | Perennial |
| Alternanthera ficoidea | 0.86 | M | 4.20 | No | Perennial |
| Aspargus spp. | 0.86 | M | 7.50 | No | Perennial |
| Coleus forskohlii | 0.86 | M | 5.00 | No | Annual |
| Cuphea hyssopifolia | 0.86 | M | 5.70 | No | Perennial |
| Festuca arundinacea | 0.86 | M | 101.23 | No | Grass |
| Hemerocallis spp. | 0.86 | M | 1.25 | No | Rhizomes |
| Iris x hollandica | 0.86 | M | 1.50 | No | bulb |
| Pennisetum setaceum Rubrum | 0.86 | M | 5.00 | No | Grass |
| Petunia hybrida | 0.86 | M | 1.95 | No | Annual |
| Tradescantia pallida | 0.86 | M | 6.00 | No | Perennial |
| Tulbaghia violacea | 0.86 | M | 4.80 | No | Bulb |
| Begonia spp. | 0.86 | M–H | 3.50 | No | Perennial |
| Dichondra repens | 0.86 | M–H | 11.00 | No | Perennial |
| Carpobrotus edulis | 0.86 | L | 1.20 | No | Succulent |
| Echinopsis | 0.86 | L | 1.20 | No | Succulent |
| Salvia officinalis | 0.86 | L–M | 4.50 | Yes | Perennial |
| Echinocactus spp. | 0.86 | VL-L | 0.80 | No | Succulent |
Disclaimer/Publisher’s Note: The statements, opinions and data contained in all publications are solely those of the individual author(s) and contributor(s) and not of MDPI and/or the editor(s). MDPI and/or the editor(s) disclaim responsibility for any injury to people or property resulting from any ideas, methods, instructions or products referred to in the content. |
© 2024 by the authors. Licensee MDPI, Basel, Switzerland. This article is an open access article distributed under the terms and conditions of the Creative Commons Attribution (CC BY) license (https://creativecommons.org/licenses/by/4.0/).
Share and Cite
Hiary, O.A.; Al-Ajlouni, M.G. Exploring Common Residential Landscape Types and Their Water Budget in Amman, Jordan. Sustainability 2024, 16, 11075. https://doi.org/10.3390/su162411075
Hiary OA, Al-Ajlouni MG. Exploring Common Residential Landscape Types and Their Water Budget in Amman, Jordan. Sustainability. 2024; 16(24):11075. https://doi.org/10.3390/su162411075
Chicago/Turabian StyleHiary, Oday A., and Malik G. Al-Ajlouni. 2024. "Exploring Common Residential Landscape Types and Their Water Budget in Amman, Jordan" Sustainability 16, no. 24: 11075. https://doi.org/10.3390/su162411075
APA StyleHiary, O. A., & Al-Ajlouni, M. G. (2024). Exploring Common Residential Landscape Types and Their Water Budget in Amman, Jordan. Sustainability, 16(24), 11075. https://doi.org/10.3390/su162411075

