Next Article in Journal
The Role of Road Accessibility for Tourists in the Valorization of Archaeological Resources in the Dobrogea Region, Romania
Next Article in Special Issue
Development of Collaboration Model for Data Space-Based Open Collaboration Platform in Continuous Process Industries
Previous Article in Journal
Building Information Modeling–Life Cycle Assessment: A Novel Technology for Rapid Calculation and Analysis System for Life Cycle Carbon Emissions of Bridges
 
 
Font Type:
Arial Georgia Verdana
Font Size:
Aa Aa Aa
Line Spacing:
Column Width:
Background:
Article

Seismic Fragility Analysis of Offshore Wind Turbines Considering Site-Specific Ground Responses

1
Department of Ocean Science and Engineering, Kunsan National University, Gunsan 54150, Republic of Korea
2
Department of Wind Energy, Graduate School, Kunsan National University, Gunsan 54150, Republic of Korea
3
Department of Coastal Construction Engineering, Kunsan National University, Gunsan 54150, Republic of Korea
*
Author to whom correspondence should be addressed.
Sustainability 2024, 16(23), 10575; https://doi.org/10.3390/su162310575
Submission received: 29 October 2024 / Revised: 23 November 2024 / Accepted: 29 November 2024 / Published: 2 December 2024

Abstract

This study investigated the seismic performance and assessed the seismic fragility of an existing pentapod suction-bucket-supported offshore wind turbine, focusing on the amplification of earthquake ground motions. A simplified suction bucket–soil interaction model with nonlinear spring elements was employed within a finite element framework, linking the suction bucket and soil to hypothetical points on the OWT structures at the mudline. Unlike conventional approaches using bedrock earthquake records, this study utilized free-field surface motions as input, derived from bedrock ground motions through one-dimensional wave theory propagation to estimate soil-layer-induced amplification effects. The validity of the simplified model was confirmed, enabling effective assessment of seismic vulnerability through fragility curves. These curves revealed that the amplification effect increases the vulnerability of the OWT system, raising the probability of exceeding damage limit states such as horizontal displacement of the tower top, tower stress, and horizontal displacement at the mudline during small to moderate earthquakes, while decreasing this likelihood during strong earthquakes. Comparisons between the Full Model and the simplified Spring Model reveal that the simplified model reduces computational time by approximately 75%, with similar seismic response accuracy, making it a valuable tool for rapid seismic assessments. This research contributes to enhancing seismic design practices for suction-bucket-supported offshore wind turbines by employing a minimalist finite element model approach.

1. Introduction

Countries around the world have recently increased the scale of wind turbine farms and turbine capacity as well as expanded their installation sites to more areas with wind potential on the high seas in order to create a competitive advantage in the wind power industry (GWEC, 2022 [1]). Accompanying this trend is an increase in structural risk due to exposure to harsh marine environments. In particular, wind farms located in seismically active areas may be subject to unpredictable vibrations. Therefore, an OWT’s foundation system is subject to large overturning moments due to the combination of environmental loads and earthquakes. The stability of the OWT foundation system against seismic activity has always been a major challenge for designers. In particular, a suction bucket foundation, known as a potential foundation with the advantages of large horizontal bearing capacity and quick installation [2,3], has attracted many researchers recently. For wind turbines located in areas of high seismic hazard, consideration of seismic load combinations is almost a requirement [4,5]. The influence of factors related to earthquakes has been studied and perfected in past decades. Wang et al. [6] employed a series of centrifuge tests to examine the influence of the soil liquefaction phenomenon on the seismic behavior of suction-bucket-supported offshore wind turbines. On the same topic of the soil liquefaction effect, but on a monopile foundation, Amani and colleagues [7] proposed a methodology to design foundations for offshore wind turbines. This excellent finding was then verified by field observation of the existing offshore and nearshore wind turbines. James et al. [8] investigated the seismic vulnerability of large offshore wind turbines by considering the multidirectional nature of earthquakes. The different earthquake combinations were analyzed to observe the seismic behavior of the structures. The results of the analysis added another aspect of earthquakes, earthquake direction, that should be considered in seismic design. Patil et al. [9] highlighted the impact of strong ground motion on the structural performance of a parked wind turbine. The study showed that foundation overturning is the most vulnerable damage state to strong ground motion. Austin and Jerath [10] analyzed the soil–foundation–structure interaction in the seismic analysis. They ultimately proposed a simple soil–structure interaction model for offshore wind turbines subjected to earthquakes. Zheng et al. [11] studied earthquake combination loads including environmental wave load. They found that the joint action of earthquakes and waves is significant for the estimation of structural responses.
In the systematic seismic analysis of offshore wind turbines, the previous studies usually neglected wind loads [12,13,14,15]. Consequently, even in studies considering wind loads [16,17,18,19,20], the rotor–nacelle assembly (RNA) was normally idealized as a concentrated mass and lumped at the top of the tower. Obviously, with this approach, the existing studies indirectly emphasized the importance of soil–structure interaction (SSI) on the seismic behavior of the structure. Indeed, SSI plays an essential role in the seismic response of all such upper structural systems. In the literature, there are two popular methods to properly model the dynamic interaction between the soil and an OWT foundation. One is to simulate the SSI as the three-dimensional elements, i.e., the continuum method, which is the most accurate simulation of reality. This method can capture complex behavioral characteristics of soil such as the liquefaction phenomenon, accumulation of plastic deformations, site effects, stiffness degradation due to scour, etc. However, this method requires a large number of soil parameters, which are not known ahead of time in every project. Moreover, it is time-consuming, and the output results are also elusive, especially when conducting large-scale structural response assessments. In such cases, another method uses the number of spring elements to replace the soil domain to simulate SSI, which is known as a Winker foundation. This method offers a number of advantages such as computational efficiency while maintaining acceptable accuracy. Many studies have been performed to validate this method in seismic analysis. Kim et al. [13] used non-linear spring elements to model the interaction between the pile and soil to investigate the seismic response in the form of fragility curves. Yang et al. [21] developed a seismic analysis framework to survey the influence of nonlinear soil properties on the seismic behaviors of an OWT’s flexible foundation, which was modeled as nonlinear p–y springs. Li et al. [22] used the three types of nonlinear springs to examine the influence of soil characteristics including soil layer position on the dynamic response of monopile foundations. The results indicated that the distribution of the bending moment and the shear force were mainly dominated by the topsoil layer. Using a beam-on-nonlinear-Winkler-foundation model, Bisoi et al. [23] investigated the effects of several parameters such as pile–soil connection, load frequency, and pile specifications on the behavior of the tower. Álamo and his colleague [24] proposed a simple three-degree-of-freedom foundation to consider the foundation stiffness while including the fundamental frequency and damping. The proposed model demonstrated that it allowed the system frequency to be reduced by up to 15%. The research of Shi et al. [25] shows the influence of SSI on the dynamic response of monopile foundations under winds, waves, and earthquakes. However, to the knowledge of the authors, most of the existing numerical research [21,26,27,28,29,30] using spring elements in the presentation of SSI ignores the amplification of earthquakes, i.e., acceleration amplification, through the soil layers. The earthquake records are directly applied to the far end of the horizontal spring element or the fixed foundation.
Amplification of earthquakes plays a crucial role in the dynamic response of OWTs, as it can significantly affect their structural integrity and performance. OWTs are subject to complex interactions with the seabed and surrounding water layers, which can amplify seismic waves and transmit them to the foundation system. This amplification phenomenon necessitates precise engineering considerations to ensure the turbines can withstand seismic events and operate safely in offshore environments, highlighting the importance of seismic risk assessment and mitigation strategies in offshore wind farm development. Several studies have also been carried out by applying free-field analysis, including a brief analysis of the phenomenon of seismic amplification through soil layers and its influence on the structural seismic response of OWTs [13,31,32].
Although some previous studies have mentioned the seismic amplification factor (SAF), it has not received as much attention as it should. Characteristics of seismic loads, i.e., peak acceleration in this study, after being amplified through the soil layers and impacting the structure, can change dramatically depending on the soil properties, the initial intensity of the earthquakes, and the depth of the bedrock.
Seismic fragility analysis serves as an effective method for estimating the conditional probability of structural failure. In the context of OWTs, this approach is used to develop fragility curves, which assess the likelihood of damage under various levels of environmental hazards, primarily earthquakes. For instance, Mardfekri et al. [33] conducted a multi-hazard reliability analysis of OWTs, emphasizing the importance of considering both seismic and hurricane loading for OWTs. Mo et al. [34] analyzed the seismic fragility of a 5 MW OWT under different operational scenarios. Their findings revealed that turbines operating at rated wind speed during an earthquake were more vulnerable to damage than those in other operational states. Hemmati et al. [35] investigated the potential of tuned liquid column dampers (TLCDs) to enhance the seismic resilience of OWTs. Ali et al. [29] examined the vulnerabilities of OWTs subjected to both pulse-like and non-pulse-like ground motions. Additionally, Cao et al. [36] explored the fragility of prestressed segmental concrete towers designed for wind turbines.
The considered references demonstrate the evident need for an integrated fragility framework for comprehensively analyzing the seismic vulnerability of the OWT system to address the computational issue by simplifying SSI while also including the effect of seismic amplification. Leveraging one-dimensional wave propagation theory, this study performs an integrated analysis to evaluate the seismic performance of an OWT system, including the seismic amplification effect. The case study uses the 5.5 MW OWT located off the west coast of Korea. The seismic amplification factor was calculated by the ratio between the bedrock earthquake motions and the surface ground motions obtained by analyzing one-dimensional wave propagation results. These surface ground motions were then fed into a simplified finite element model of OWTs to evaluate the dynamic response as well as the probability of exceeding several damage limit states within the OWT systems. To distinguish this work from previous studies, an overview is provided in Table 1. The results of the study emphasize the importance of the seismic amplification effect and cannot be overlooked in the seismic design process for OWTs.

2. Methodology

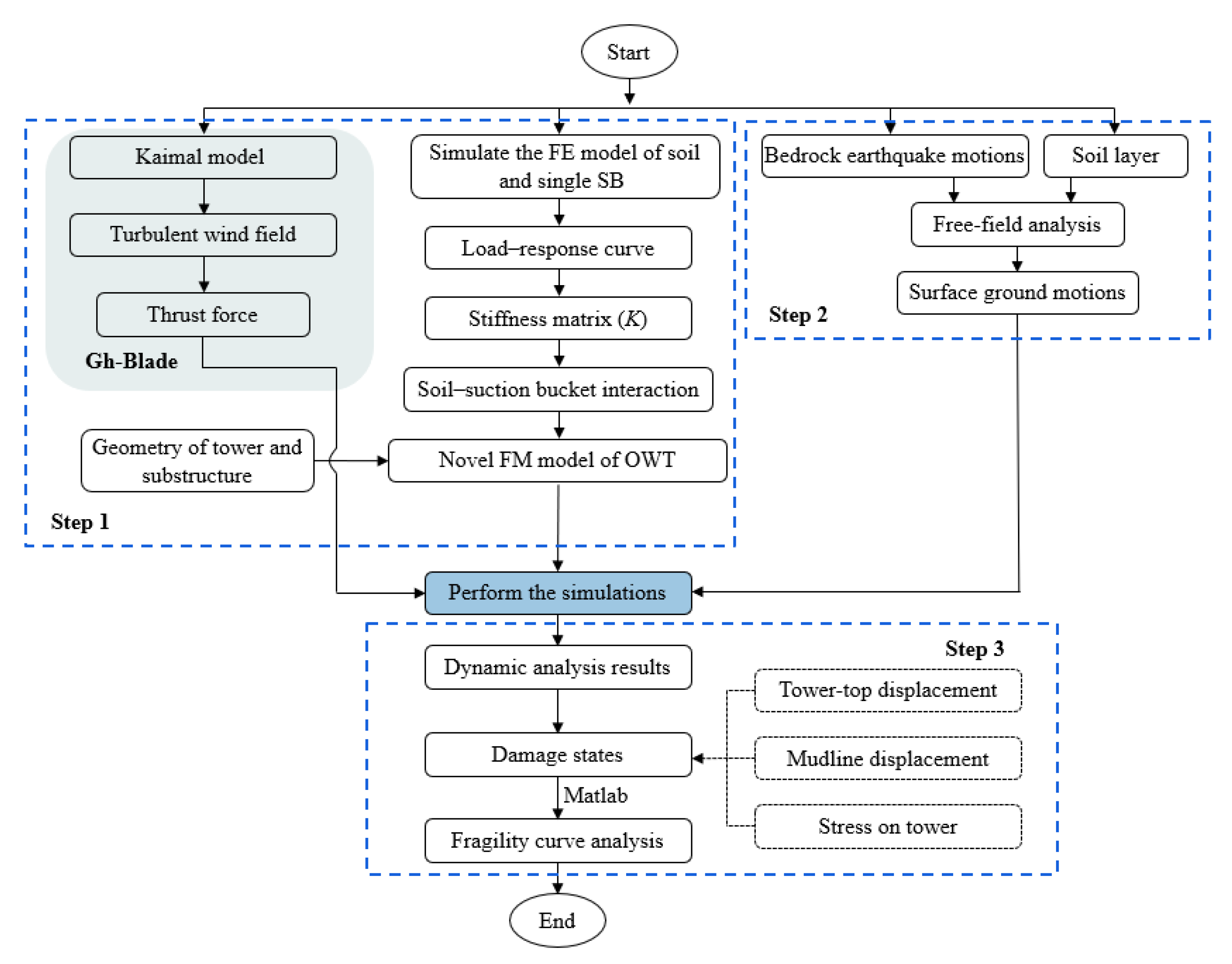
This study proposes a novel seismic fragility analysis framework designed to alleviate the computational burden typically encountered in structural fragility studies. The framework achieves this by minimizing the soil domain while fully accounting for the influence of seismic amplification on the dynamic response of the structure. The procedure can be outlined as a series of three steps:
Step 1: Establish the FM modeling and define the loading conditions.
The finite element (FE) models of offshore wind turbines (OWTs) developed using Abaqus 2020 [37] software can effectively simulate the nonlinear behavior of structures and provide accurate response histories. Typically, an OWT finite element model includes the rotor–nacelle assembly, tower, substructure, foundation, and soil medium. However, depending on the research objectives, key components of this basic model can be simplified. This study focuses on analyzing the dynamic response of the tower and substructure; thus, the rotor–nacelle assembly is represented by an equivalent concentrated mass. This mass, positioned at hub height, is also utilized to apply the wind load. Representing the RNA as a lumped mass is a common practice in seismic analyses of OWTs [38,39] as it effectively captures the primary influence of the RNA, its inertia, through an equivalent mass at the hub height. Moreover, the detailed modeling of the blades in calculating wind loads at the hub height using Blade, as outlined in Section 3.3.1, ensures the accurate representation of wind-induced dynamic effects, thereby maintaining the precision of the tower and substructure’s dynamic behavior. This approach also significantly reduces computational costs. The influence of the rotor–nacelle assembly on the wind field turbulence and the magnitude of the applied wind load was considered in the wind load calculation, which is detailed later in Section 3.3.1, using the Blade methodology. In this model, the interaction between the suction bucket foundation and the surrounding soil is replaced by non-linear spring elements to simulate soil–structure interaction without the computationally intensive task of modeling the entire soil domain. The non-linear spring elements are calibrated to replicate the dynamic stiffness and damping characteristics of the actual soil. This abstraction allows the preservation of critical soil–structure interaction effects while significantly reducing computational demands. The detailed calculation process of the nonlinear spring model is described in Section 3.2. The loading conditions considered in this study are primarily seismic and wind loading. Earthquake loading is characterized by selecting ground motion records with a variety of frequencies, while wind loading is simulated at rated wind speed (13 m/s), representing typical operational conditions of 5.5 MW OWTs. Hydrodynamic loading effects are intentionally neglected in this study to focus specifically on seismic and wind-induced responses. Moreover, the primary aim of this study is to investigate and compare the influence of including versus excluding seismic amplification, which arises due to site-specific seismic motion and soil properties, on a simplified OWT model. Given the study’s focus on seismic amplification and its minimal influence on wave forces, neglecting hydrodynamic loading does not significantly impact the outcomes of this comparative analysis. An illustration of the integrated analysis of OWTs is shown in Figure 1.
Step 2: Free-field analysis.
In this step, free-field analysis is carried out using the one-dimensional wave propagation theory to transform bedrock earthquake motions into surface ground motions. ProShake 2.0 [40] software is employed to perform this analysis, which is essential for understanding how seismic waves are amplified as they pass through different soil layers. The key soil parameters, such as shear wave velocity ( V s ), density ( ρ ), and damping ratios (ξ), play a significant role in controlling the behavior of seismic waves and their amplification effects as they propagate from the bedrock to the surface. These parameters are critical in capturing the soil–structure interaction and the resulting seismic amplification, which affects the dynamic response of the OWT system.
The shear wave velocity ( V s ) is a primary factor that determines the speed at which seismic waves travel through the soil. A higher shear wave velocity generally leads to less amplification because seismic waves travel faster and are less influenced by the soil properties. The shear wave velocity is related to soil stiffness and can be expressed as follows:
V s = G ρ
where G is the shear modulus and ρ is the density of the soil. This equation highlights that the shear wave velocity plays a critical role in controlling the propagation of seismic waves through soil layers, and it directly influences the seismic amplification at the surface. Softer soils, with lower shear wave velocities, tend to amplify seismic waves more significantly than stiffer soils with higher velocities. Considering the soil deposit, the horizontal displacements at layer j are expressed as follows [40]:
u j ( z j , t ) = A j e i ω t + k * z + B j e i ( ω t k * z )
where ω is the circular frequency of the harmonic wave and k* is the complex wave number representing wave propagation characteristics in the medium. A and B represent the amplitudes of waves propagating upward and downward, respectively.
By applying initial conditions in which no shear stress exists at the ground surface (as described in Equation (3)) and ensuring displacement compatibility and stress continuity between adjacent layers, the parameters in Equation (2) at any layer j can be determined using Equations (4) and (5).
τ 0 , t = G s γ 0 , t = G s u s ( 0 , t ) z s = 0
Here, G s = G ( 1 + 2 i ξ ) denotes the complex shear modulus of the soil. ξ is the damping ratio of the soil.
A j = a j ( ω ) A s
B j = b j ( ω ) B s
where the functions a j and b j represent the influence of wave interactions occurring at all layer interfaces above layer j. Notably, at the ground surface, A s = B s . Subsequently, a transfer function can be derived to relate the motions at the tops of any two layers, such as layers q and p. This transfer function enables the computation of surface ground motion, such as displacement, acceleration, etc., based on the corresponding values at the bedrock.
F a b = a q ω + b q ( ω ) a p ω + b p ( ω )
Step 3: Seismic fragility assessment.
The time-history response analyses using the finite element model developed in Step 1, incorporating the surface ground motions and wind loads determined in Step 2, were conducted first. The dynamic response of the OWT is evaluated in terms of key performance indicators such as tower-top displacement, mudline displacement, and tower stress. These indicators are critical for assessing the structural integrity and serviceability of the OWT under seismic loading. The results of these analyses are used to establish fragility curves, which represent the probability of exceeding various damage states as a function of seismic intensity measures (e.g., peak ground acceleration).
The lognormal probability distribution can express fragility curves mathematically as follows [13]:
F k = P D S > k i | a = Φ l n   a c k   ζ k
where D S is the structural response at damage state k i . For example, if k i is the limit of horizontal displacement at the tower top, then D s is the maximum horizontal displacement in an earthquake of intensity a. Φ (.) is the standard normal cumulative distribution function. c k and ζ k are the median and log standard deviation of a at which the response of the offshore wind turbine (OWT) response reaches the limit state threshold. Fragility curves can be plotted using only these two parameters. They can be derived from numerical analysis or experimental data, but numerical data are often used due to limited experimental data. The likelihood function used to estimate these parameters is as follows:
L = i = 1 n Φ l n   a i c k   ζ k x i 1 Φ l n   a i c k   ζ k 1 x i
where n is the total number of simulations for all earthquake intensities a i , while x i is 1 if the structure reaches or exceeds the damage level at intensity a i and 0 otherwise. Parameters c k and ζ k are determined by maximizing   l n   L :
c k ^ , ζ k ^ = l n L  
In fragility analysis, it is essential to determine the limit state for each type of structural component due to the varying performance goals and tolerances among different elements. The OWT system can be modeled as a cantilever beam, with a rigid base and a free-moving tower topped by a significant mass, namely, the rotor–nacelle assembly. Displacements at the top of the tower and at the mudline of the OWT system are key indicators of damage states. Excessive displacement at the top of the tower can reduce power generation efficiency and may lead to blade–tower collisions. Excessive displacement at the mudline can result in complete structural collapse. Additionally, stress within the tower is crucial for maintaining material durability. This study establishes fragility curves based on three damage states to evaluate the probability of exceeding these thresholds: tower-top displacement ( D S 1 ), mudline displacement ( D S 2 ), and stress on the tower ( D S 3 ). Referring to Ngo et al. 2022 [2] and Ngo et al. 2024 [20], the critical values of these damage states are shown in Table 2.
In general, the methodology of this study can be summarized in the flowchart shown in Figure 2.

3. Description of the Numerical Model

3.1. Finite Element Model (FEM) of 5.5 MW OWT

A 5.5 MW OWT located off the west coast of Korea serves as the example case for this investigation. Specifically, it is a pentapod suction-bucket-supported OWT, identical to those examined in the authors’ prior studies [2,20]. Table 3 summarizes the essential properties of the OWT. Departing from the previous studies, this study incorporated nonlinear spring elements to simulate soil–structure interaction, forgoing the exhaustive modeling of the entire soil domain and OWT foundation. These nonlinear spring elements were calculated and are described in detail in Section 3.2. Notably, the average water depth at the site measured 27.72 m. Table 4 presents the soil profile at the site.
A three-dimensional (3D) finite element (FE) model of the OWT was established using Abaqus software. This FE model replicates the tower and substructure from a previous study by the authors, with only a concise overview provided here. For comprehensive details on the FE model, refer to Ngo et al. 2022 [2], 2024 [20]. The three-bladed rotor, the hub, and the nacelle were simplified and represented as a lumped mass at the center of gravity. A rigid beam element was used to connect the rotor–nacelle assembly to the tower top, transferring its loads to the tower structure. The tower itself was modeled using beam elements, with 30 segments employed to discretize it for improved accuracy. Each segment maintained uniform characteristics in terms of diameter, thickness, and material properties. The substructure components were interconnected without the need for explicit rigid connections. Abaqus interprets components within the same “part” as being rigidly linked if they are in contact with each other. Hence, the substructure components in this study were modeled within the same “part”, obviating the necessity of establishing rigid connections between them. Further insights into the FE model are illustrated in Figure 3. For the structural components of the offshore wind turbine, such as the tower, and substructure, linear elastic material properties were used to model their behavior under combined wind and seismic loading. This assumption is commonly adopted in seismic analyses of offshore wind turbines to simplify the computational model while accurately capturing the elastic response of the structure. The material properties, including Young’s modulus, Poisson’s ratio, and density, were assigned based on typical steel materials used in wind turbine construction.

3.2. Suction Bucket–Soil Interaction

The methodology for modeling the soil–structure interaction (SSI) of a pentapod suction-bucket-supported offshore wind turbine using nonlinear spring elements involves discretizing the soil domain into a series of nonlinear springs that capture the essential soil behavior under various loading conditions. A finite element model, incorporating both the continuous soil and a single suction bucket, is simulated to evaluate the bearing capacity of that single suction bucket in horizontal, vertical, rotational, and torsional directions. The nonlinear springs are then calibrated using loading-response relationship curves derived from this detailed finite element analysis, as shown in Equations (10) and (11) [41]. This ensures that the springs accurately reflect the response of the soil under different loading conditions. The stiffness of the spring elements in the corresponding bearing directions is extracted from these load–displacement curves. Each spring element assembly, representing the interaction between a single suction bucket and the soil, is formulated in matrix form as illustrated in Equation (12).
[ ] = [ N ] [ P ]
where [ N ] is the [6 × 6] flexibility matrix. [ ] = [ u x , u y , u z , r φ , r ϑ , r ω ] represents the unknown responses of the structure in horizontal ( u x , u y ), vertical ( u z ), rotational ( r φ , r ϑ ), and torsional ( r ω ) directions corresponding to the direction of the applied loading [ P ] = [ F x , F y , F z , M φ , M ϑ , M ω ]. The vector loading [ P ] can be expressed with respect to the vector [ ] as follows:
P = N 1 = K
Here, K is the [6 × 6] stiffness matrix of structure. Consequently, the stiffness term K i j represents the foundation stiffness, corresponding to its degrees of freedom, which can be determined and is presented as follows:
K = K x     0 0   K y 0       0 0 0 0 K y φ K z 0 K x ϑ 0 0 0 0 0   0 K y φ K x ϑ 0   0 0 0 K φ 0 0 0 0       0     0 K ϑ     0 0 K ω
This matrix representation allows the integration of the spring elements into a larger structural model of the pentapod support system, facilitating the analysis of the global response of the offshore wind turbine. This approach effectively reduces computational demands by replacing a detailed soil continuum with discrete nonlinear spring elements, while preserving critical SSI effects such as soil stiffness degradation and nonlinearity under cyclic loads.
The finite element model used to determine the stiffness matrix K is illustrated in Figure 4. A single suction bucket, with a diameter of 7 m and a height of 9 m, was modeled using shell elements, while the soil domain was represented using solid elements (C3D8R). The soil domain had a diameter of 100 m and a height of 30 m, with the suction bucket fully embedded within the soil. To ensure accuracy and avoid convergence issues, the mesh of the suction bucket and the soil near the suction bucket were set to the same size. Therefore, a mesh size of about 1 m was used for both the suction bucket and the adjacent soil. The soil domain farther from the center was set up with a looser mesh.
Surface-to-surface contact was employed to establish interaction between the soil and the suction bucket, enabling the definition of relative normal and tangential behaviors between the two surfaces. The hard contact model and penalty approach, with a friction coefficient of 0.6, were used to simulate these interactions. The surfaces of the suction bucket were defined as the master surfaces for both internal and external SSI. The center point of the suction bucket’s lid was designated as the reference point for applying force [F].
The nonlinear characteristics of the soil are modeled using the Drucker–Prager model available in Abaqus. The Drucker–Prager model is particularly suited for simulating the behavior of pressure-sensitive materials such as soil and rock. In accordance with Abaqus documentation, the dilation angle was set equal to the friction angle. This is a common assumption in geotechnical engineering to simplify the representation of volumetric changes in the soil when it is sheared. Additionally, the flow stress ratio, which is a parameter defining the shape of the yield surface, was set to 1. This implies that the yield surface expands uniformly with increasing mean stress. This model, a smoother alternative to the Mohr–Coulomb model, is pressure-sensitive and extensively used in geotechnical engineering for both soil and rock, and its reliability has been confirmed by numerous studies [42,43]. Soil damping was modeled using Rayleigh damping, which incorporates both mass-proportional ( α ) and stiffness-proportional ( β ) coefficients. These coefficients are derived from selected natural frequencies ( ω m and ω n for modes m and n ) and the damping ratio ( ξ ). The formulas for α and β are as follows:
α = ξ 2 ω m ω n ω m + ω n
β = ξ 2 ω m + ω n
For this study, the first and second natural frequencies of the soil medium were used to determine these coefficients. The boundary conditions of the model were as follows: the vertical boundaries of the model were treated using infinite elements (CIN3D8), and a fixed boundary condition was applied at the bottom of the model.

3.3. Input Loads

In this study, only wind and seismic loads applied to the fore–aft direction were considered. The wave loads were ignored.

3.3.1. Wind Load

Two types of wind loads were considered: the distributed wind force acting on the tower ( F T o w e r   ) and the thrust force acting on the blades ( F H u b   ). To simplify the calculations, the tower and substructure above sea level were divided into approximately 2 m segments. The wind force, calculated using Equation (15), was then applied to the center of each of these segments.
F T o w e r   z = 0.5 ρ C d D T ( z ) ( V ( z ) ) 2
where
  • ρ is the air density, taken as 1.29 kg/m3;
  • C d is the drag coefficient, which is 1.2 in this study;
  • D T ( z ) is the diameter of the segment at height z;
  • V is the mean wind velocity.
The wind profile, V(z), denotes the average wind speed as a function of height z. For standard wind turbines, the normal wind speed profile follows the power law:
V z = V H u b z z H u b α
where
  • V H u b is the measured wind velocity at hub height;
  • z H u b is the height of the hub;
  • α is the power law exponent, typically assumed to be 0.12 for offshore conditions.
To determine the hub thrust force, F H u b , the Blade 4.9 software is employed. This study offers a concise overview of the underlying principles. Utilizing Blade Element Momentum (BEM) Theory, Blade segments each blade into small elements along its span. Subsequently, a turbulent wind field is generated based on fundamental parameters such as mean wind speed and turbulence intensity, following the Kaimal spectral model as presented in Equation (17). The lift and drag forces are calculated using the local wind speed at position of each blade element within this turbulent wind field. The total thrust force, F H u b , is then derived by summing the forces from all the blade elements. Figure 5 illustrates the wind thrust at a mean wind speed of 13 m/s, corresponding to a rated wind speed of 5.5 MW for an offshore wind turbine (OWT).
The Kaimal spectral model equation for the longitudinal component of turbulence (along the mean wind direction) is given by the following formula:
S u f = 4 σ u 2 L u / V ( 1 + 6 f L u / V ) 5 / 3
where
  • S u f is the power spectral density of the wind speed fluctuations at a given frequency;
  • σ u is the standard deviation of the longitudinal wind speed fluctuations;
  • L u is the integral length scale of turbulence in the longitudinal direction;
  • V is the mean wind speed;
  • f is the frequency.

3.3.2. Earthquake Ground Motions

Low, intermediate, and high-frequency earthquakes were selected to more comprehensively evaluate the structural response to earthquakes of different intensities, as shown in Table 5.
  • The Treasure Island–Santa Cruz Mountains earthquake, also known as the Loma Prieta earthquake, occurred on 17 October 1989 in the San Francisco Bay Area of California. This earthquake had a moment magnitude of 6.9.
  • The El Centro earthquake of 1940, also known as the Imperial Valley earthquake, was a significant seismic event that occurred near the town of El Centro in Southern California, United States, on 18 May 1940. This earthquake had a moment magnitude of 6.9.
  • The Northridge earthquake of 17 January 1994 was a significant seismic event that occurred in the San Fernando Valley region of Los Angeles, California. It had a moment magnitude of 6.7.
In the fragility analysis, the peak ground acceleration of these earthquakes was scaled from 0.05 to 1 g in increments of 0.05 g. Figure 6 presents their original acceleration time histories alongside the corresponding acceleration response spectra with 5% damping.

4. Model Validation

Modal analysis was conducted to verify the accuracy of the proposed finite element (FE) model. This process involved determining the natural frequencies and mode shapes of the structure by solving the eigenvalue problem associated with the mass and stiffness matrices of the FE model. The global mass matrix and stiffness matrix were assembled from individual element matrices, and the generalized eigenvalue problem was solved to extract natural frequencies and corresponding mode shapes.
The natural frequencies and corresponding mode shapes of the Full Model (FM) from the authors’ previous studies [2,20], which included the tower, substructure, foundation, and soil medium, were used as a comparison standard for validating the proposed Spring Model. These values from the Full Model, confirmed in the authors’ previous research, were compared with those from the Spring Model. Figure 7 and Table 6 presented the comparison between the mode shapes and natural frequencies of both models, showing good agreement. The largest differences between the Full Model and the Spring Model for the first and second natural frequencies were 3.3% and 9.1%, respectively.
Furthermore, the comparison with the research results of Wang et al. [44] substantiated the reliability of the proposed Spring Model. Figure 8 demonstrated that the first natural frequency of the proposed model fell between the 1 P-frequency and 3 P-frequency, which is a requirement for the first natural frequency of offshore wind turbines (OWT) as per the DNV standard. This validation confirmed the accuracy and reliability of the proposed FE model, the Spring Model, in capturing the dynamic behavior of the structure.

5. Results and Discussion

5.1. Seismic Amplification Factor (SAF) Analysis

This subsection discusses the results of the one-dimensional free-field analysis that was conducted to study the ground response at various depths, from bedrock to seabed. The variation of the Seismic Amplification Factor (SAF) with respect to the gradual increase in Peak Ground Acceleration (PGA) was also investigated. The SAF was calculated as the ratio of the peak acceleration of the surface ground motion to the peak acceleration of the bedrock ground motion. The seismic records listed in Table 5 were used to perform a seismic response analysis of the sandy area presented in Table 4.
Figure 9 illustrates the distribution of maximum acceleration at different depths obtained from the free-field analysis for the El Centro seismic record. The analysis indicated that PGAs were significantly amplified at low ground motion levels, while they were reduced at high stimulation levels. Figure 10 shows the ratio between surface PGA and peak bedrock acceleration at different levels. Generally, this ratio decreased as the peak bedrock acceleration increased from 0.05 g to 1.0 g due to increased soil nonlinearity as ground motion amplitude rose. This behavior was found to be consistent across other seismic records in Table 5. However, Figure 10 also shows that for low- and intermediate-frequency earthquakes, such as Loma Prieta and El Centro, the SAF increased significantly when the PGA ranged from 0.2 g to 0.3 g. In contrast, for high-frequency earthquakes such as Topanga, the SAF gradually decreased. Specifically, the highest SAF values recorded were 1.34 for Loma Prieta and 1.21 for El Centro, both at a PGA level of 0.25 g.
In Figure 11, a comparison of spectral acceleration between surface ground motion and bedrock ground motion is presented for seismic records. Significant differences in spectral acceleration were demonstrated depending on earthquake frequency. Low- and intermediate-frequency earthquakes, such as Loma Prieta and El Centro, exhibited higher spectral acceleration on the surface compared to bedrock. Conversely. high-frequency earthquakes such as Topanga showed lower spectral acceleration on the surface than on bedrock. These distinctions resulted from the frequency-dependent behavior of soil layers above the bedrock. Longer wavelength seismic waves resonated with softer soil layers, amplifying ground motion for low- and intermediate-frequency earthquakes. Conversely, shorter wavelength seismic waves were less influenced by resonance and were absorbed or scattered by the soil, leading to reduced energy and lower spectral acceleration at the surface during high-frequency earthquakes.

5.2. Dynamic Response

To illustrate the behavior of the offshore wind turbine (OWT) system under the seismic actions described in Table 5, Figure 12 provides an example of the time history of the horizontal displacement at the top of the tower and at the mudline as well as the stress on the tower under normal operating conditions when subjected to seismic input in the fore–aft direction (El Centro, PGA = 0.25 g) at t = 100 s in the simulation. This setup allowed us to observe the magnitude and characteristics of the structural response under environmental wind loading and how it reacted during a seismic event. It also helped us understand why the structural response under earthquake loading depended on the specific timing of the seismic event. Specifically, considering the site-specific effects, Figure 12a showed that the maximum tower displacement value in the first 100 s (under wind load only) was 0.213 m, which increased to 0.321 m (a 50.7% increase) after integrating the El Centro earthquake event. A similar increasing trend was found for the cases of the Loma Prieta and Topanga earthquake loads. This increasing trend was also observed in the cases of horizontal displacement at the mudline and tower stress, as well as in non-site-specific cases. This indicated that the structure reacted significantly during seismic events, with the response magnitude depending strongly on the intensity of seismic motion, arrival times, and other system characteristics.
Figure 12 also demonstrates that when considering the site-specific effects, i.e., the acceleration amplification of seismic motion, the dynamic response of the structure increased. Specifically, as shown in Figure 12, the maximum tower-top displacement increased from 0.280 m to 0.321 m (an increase of 14.6%), the maximum horizontal displacement at the mudline increased from 0.022 m to 0.034 m (an increase of 54.5%), and the maximum stress in the tower increased from 172 to 176 MPa (up 2.3%). It can be seen that the displacement at the mudline was the most sensitive to the seismic amplification effect, while the stress in the tower was the least sensitive. This was further confirmed by the data presented in Figure 13. Figure 13 shows the peak responses of the structure under different combination loads. It was interesting to see from Figure 13 that, in the case of high-frequency earthquakes (such as Topanga), when PGA was between 0.2 and 0.5 g, the peak response of the structure considering the seismic effect was greater than when the seismic effect was ignored. Notably, within this PGA range, the acceleration of Topanga decreased when transmitted from bedrock to the surface, as discussed in Section 5.1. This indicated that reduced seismic amplification for high-frequency earthquakes did not soften the dynamic response of the structure. Finally, considering the effects of seismic amplification was essential for all frequency ranges of seismic motions.
To establish fragility curves in terms of tower-top displacement, mudline horizontal displacement, and tower stress, the maximum responses corresponding to these damage states were collected and presented in Figure 13. This figure illustrates the correlation of the peak horizontal displacement at the tower top and mudline, as well as the peak stress on the tower, with the peak ground acceleration (PGA) of the input ground motions when applied in the fore–aft direction along with wind load. The figure also compared the peak response of the system with and without considering site-specific effects. The red horizontal line in each figure represents the critical value corresponding to each damage state. As demonstrated in Figure 13, when not considering site-specific effects, most structural dynamic responses increased with rising PGA. As example, the tower-top displacement exceeded the critical value (0.601 m) at a PGA of 0.65 g for Loma Prieta, 0.60 g for El Centro, and 0.65 g for Topanga. However, when considering site-specific effects, the variation of structural dynamic response was divided into two phases. For example, under El Centro with a PGA less than 0.7 g, structural responses increased as the PGA increased in the first phase, then decreased as the PGA increased beyond 0.7 g in the second phase. This was because, as ground shaking increased (PGA increased), the nonlinear behavior of the soil led to incomplete transmission and absorption of seismic waves, reducing the intensity of ground surface motion. The analysis showed that if site-specific effects were not considered, the dynamic response of the structure might be underestimated for low PGA ranges and overestimated for high PGA ranges of seismic motions.

5.3. Seismic Fragility Analysis

In fragility analysis, two scenarios were considered. Section 5.3.1 presented the results of comparing the seismic vulnerability between the site-effect case and the non-site-effect case when the OWT was subjected to a combination of wind loads at a rated wind speed of 13 m/s, i.e., at maximum electricity generation, and seismic motions with intensities ranging from 0.05 to 1 g. In addition, the fragility curve results from the Full Model were also added to again validate the reliability of the proposed model. The second scenario, detailed in Section 5.3.2, involved evaluating the OWT under a set of wind loads with varying mean wind speeds at hub height, ranging from 3 m/s to 25 m/s. These wind loads were combined with the seismic motions presented in Table 5.

5.3.1. Seismic Fragility Curves at Rated Wind Speed

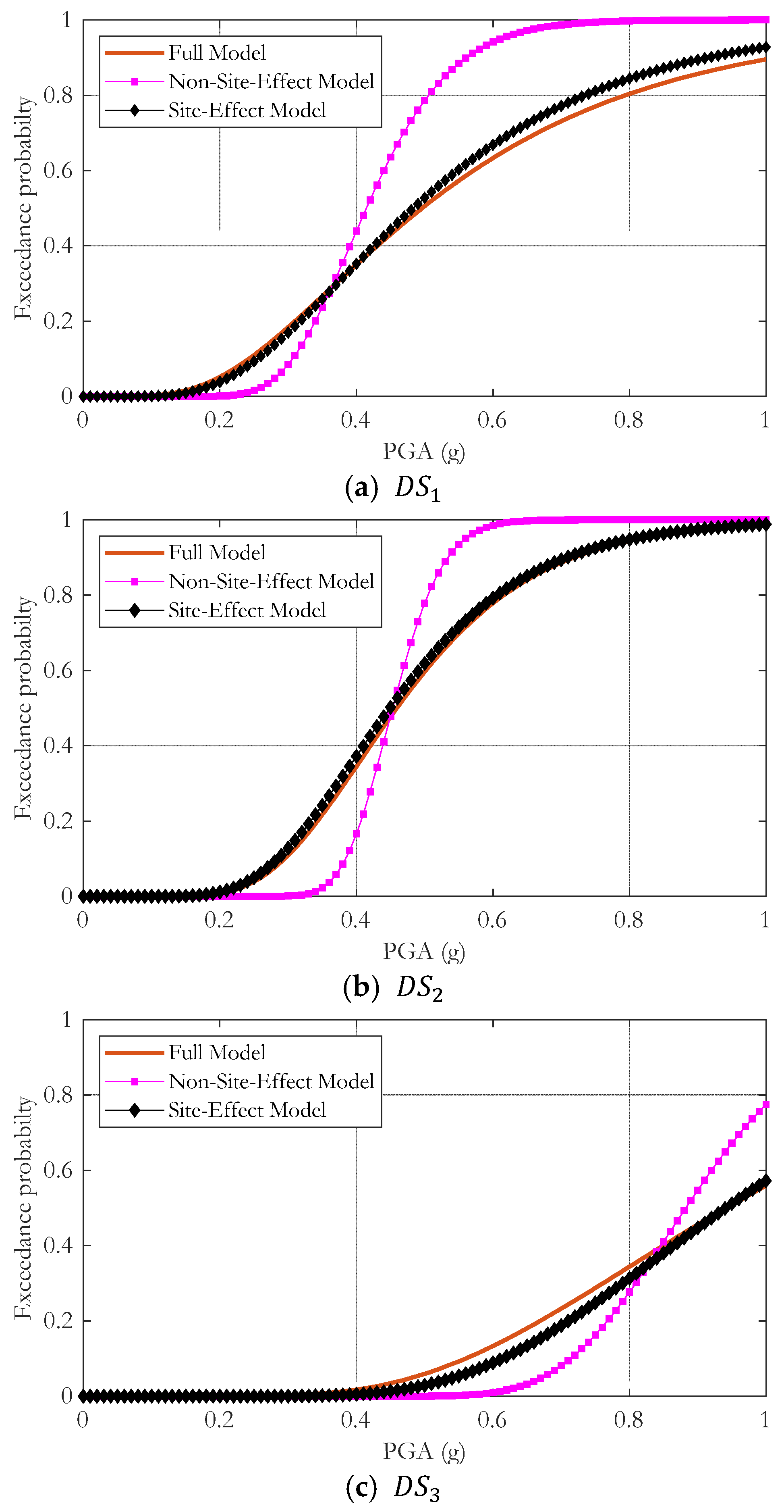
To conduct a detailed analysis of the vulnerability of suction-bucket-supported OWT and assess the impact of site-specific conditions on the probability of damage, fragility curves were calculated and plotted as Figure 14. This section compared fragility curves from three finite element (FE) models of OWTs. The first model, termed the Full Model, incorporated the entire soil domain in simulations. Additionally, a proposed Spring Model was employed in two configurations to isolate the influence of site-specific effects: one utilized bedrock motion as input (Non-Site-Effect Model), and the other employed surface ground motions from free-field analysis (Site-Effect Model). To facilitate a clearer comparison of the damage states of the suction-bucket-supported OWT, the Peak Ground Acceleration (PGA) corresponding to specified exceedance probabilities of 10%, 20%, and 50% across various limit states is analyzed and stated in Table 7.
Figure 14 shows that the exceedance probabilities of all considered cases increased as the PGA increased. It was evident that the measured intensity (PGA) of seismic motion significantly affected the probability of damage to the entire OWT system. For the low range of PGA values, D S 1 had the highest probability of exceedance, whereas D S 2 had the highest probability of exceedance for the higher PGA values. This finding indicated that damage due to excessive displacement at the top of the tower was most pronounced at lower ground motion intensities, while damage due to excessive horizontal displacement at the mud line dominated during stronger earthquakes. As detailed in Table 7, for the Site-Effect Model, at 10% and 20% exceedance probabilities, D S 1 required the smallest PGA, followed by D S 2 and D S 3 , respectively. In contrast, at the 50% exceedance probability, the order was D S 2 , D S 1 , and D S 3 . This observation was consistent across the Full Model and Non-Site-Effect model as well.
As the main purpose of this study, Figure 14 illustrates a comparative analysis of the exceedance probabilities for three typical damage states of OWTs among the three models. It was observed that the fragility curves for all three damage states from both the Full Model and the Site-Effect Model (which considered site-specific effects such as acceleration amplification of seismic motions) did not differ significantly and almost overlapped. This suggested that the exceedance probability of total system damage in these two models was similar, thereby confirming the reliability of the proposed Spring Model. It can be explained that the Full Model, which included the entire soil domain and applied bedrock ground motions at the base, inherently accounted for site-specific effects on the dynamic response of the structure. However, the Full Model was less advantageous than the Site-Effect Model due to its time-consuming computational requirements, especially in studies involving extensive computations. Table 8 is an example comparison of the computational time of the Full Model and the Spring Model.
The fragility curves obtained from the Non-Site-Effect Model indicated that the exceedance probabilities of all considered damage states were lower than those of both the Full Model and the Site-Effect Model for lower PGA ranges. For higher PGA values. however, the exceedance probabilities of both the Full Model and Site-Effect Model were lower than those of the Non-Site-Effect Model. Thus, it could be concluded that during the seismic design process of OWTs, accounting for site-specific effects on the dynamic response of the structure was essential to avoid underestimating the probability of several damage states at lower earthquake intensities and overestimating them at higher intensities. These findings highlight the critical need for precise modeling of seismic amplification effects to ensure safe and reliable designs.

5.3.2. The Influence of Wind Speed

To investigate the seismic vulnerability of OWTs under different wind conditions, the average wind speed at hub height, ranging from 3 to 25 m/s, was considered. Figure 15 shows the seismic fragility curves corresponding to each wind speed for both the site-effect and non-site-effect cases, while Figure 16 compares the exceedance probabilities of the defined damage limit states between these two cases. Additionally, for ease of observation, specific exceedance probabilities of the corresponding damage limit states are listed in Table 9, Table 10 and Table 11.
Figure 15 illustrated that wind speed influenced the seismic vulnerability of the entire OWT system in both cases. Under normal operating conditions, the probability of damage increased with rising wind speeds. Notably, the probability of exceeding the tower top displacement ( D S 1 ) was the most sensitive to the increase in wind speed at hub height, followed by the stress within the tower ( D S 3 ) and finally the displacement at the mudline ( D S 2 ). For example, in the site-effect case under a PGA of 0.2 g, the increase in the exceedance probability of D S 1 was the highest, increasing from 0.0021 to 0.049 as the wind speed increased from 3 m/s to 25 m/s. In contrast, the smallest increase occurred with D S 2 , which only changed from 0.0089 to 0.0093. Similar findings were also observed in the non-site effect case.
Figure 16 illustrates the comparison of exceedance probabilities for D S 1 , D S 2 , and D S 3 in both cases. It showed that while fragility curves generally increased with higher wind speeds at hub height, the damage probabilities for all three damage states in the site-effect case were higher than those in the non-site-effect case at lower seismic magnitudes but lower at higher magnitudes (i.e., high PGA). This trend is more clearly detailed in Table 9, Table 10 and Table 11. Specifically, the specific PGA values for 10% exceedance probabilities were lower for the site-effect case than for the non-site-effect case for all ranges of wind speed, while the 50% exceedance probabilities were higher. This observation was consistent for all three damage states. It was important to note that the 10% probability of exceedance was associated with low PGAs, while the 50% probability was recorded at high PGAs. Combined with Table 9, Table 10 and Table 11, these findings suggest that neglecting site-specific ground response effects could lead to inaccurate hazard assessments for damages related to tower-top displacement when an OWT is subjected to the combined uncertainty of wind load and seismic events with measured intensities less than 0.342 g. Similar inaccuracies may occur for displacement at the mudline under seismic events with measured intensities less than 0.306 g and for tower stresses under seismic events with measured intensities less than 0.670 g.

6. Conclusions

The study proposed a new seismic fragility assessment framework to investigate the vulnerability of a 5.5 MW suction-bucket-supported OWT, accounting for site-specific effects, such as seismic acceleration amplification. A detailed finite element model incorporating various structural components of the wind turbine, along with a minimalistic and cost-effective SSI model, was developed. A range of frequencies and measured seismic intensities (PGA), combined with the uncertainty of wind loads, were considered to evaluate the seismic response comprehensively. Key findings from the analysis are as follows.
  • The measured intensity of seismic motion (PGA) significantly influenced its amplification rate through the soil layers of a sandy seabed. Specifically, the seismic amplification factor increased significantly as PGA rose within the lower range and decreased as PGA fell within the higher range.
  • The impact of a seismic event was more pronounced at the mudline than other responses. Specifically, displacement at the mudline was the most sensitive to seismic amplification effects, showing an increase of 54.5% when accounting for these effects, while stress in the tower was the least sensitive, with only a 2.3% increase.
  • The analysis results from the Full Model agree closely with those of the Spring Model with site effect, confirming the reliability of the proposed simplified model. The largest differences for D S 1 , D S 2 , and D S 3 at the 10% exceedance probability are 4.98%, 2.03%, and 4.47%, respectively. Compared to the scenario where acceleration amplification is not considered (Spring Model without site effects), the inclusion of this phenomenon in seismic analysis (Spring Model with site effects) resulted in a markedly different seismic response. This response was divided into two phases: a significant increase for low-range PGA values and a decrease for high-intensity earthquakes. Overall, the trend in the seismic response of the structure corresponded with variations in the SAF. However, in the case of high-frequency earthquakes, although acceleration amplification was sometimes reduced, the structural response still increased. This finding suggests that additional caution should be exercised when accounting for high-frequency seismic events in the design of OWTs.
  • The damage due to excessive displacement at the top of the tower was most pronounced at lower ground motion intensities, while damage due to excessive horizontal displacement at the mudline dominated during stronger earthquakes.
  • The acceleration amplification significantly altered the probability of exceeding damage thresholds in the OWT system. Specifically, under the acceleration amplification consideration model, the probability of exceeding tower-top displacement was higher when PGA was below 0.36 g and lower when PGA exceeded 0.36 g compared to non-consideration models. This trend also applied to the other two damage states, with PGA values of 0.45 g and 0.85 g corresponding to mudline displacement and tower stress, respectively.
  • The wind speed at hub height influenced the fragility of the entire OWT system. Fragility curves related to tower-top displacement were the most sensitive, while those related to mudline displacement were the least sensitive, for both the non-site-effect and site-effect cases. Specifically, as wind speed increased from 3 to 25 m/s, the exceedance probability under PGA of 0.2 g of D S 1 increased from 0.0021 to 0.049, while D S 2 showed a smaller increase, changing from 0.0089 to 0.0093. Additionally, the impact of wind speed on seismic fragility was likely underestimated when site-specific ground responses were not considered.
While the proposed approach provides valuable insights and can be effectively used for preliminary seismic design, it is important to acknowledge the limitations of the study, such as the exclusion of hydrodynamic loading and the lack of consideration for the stochastic nature of seabed properties, which may lead to subjective results. Further work is needed to investigate in detail the influence of seabed characteristics on the SAF and, consequently, on the dynamic response and fragility curves. Experimental studies are also essential to validate these numerical findings further. Moreover, fragility analysis involves various factors, and the framework outlined in this paper can be adapted for related investigations, such as exploring the effects of soil property variations or the directionality of seismic motions. Moreover, fragility analysis includes various factors, and the framework outlined in this paper can be adapted for other related investigations, such as the effects of soil property variations or the direction of seismic motions.

Author Contributions

Conceptualization: D.-V.N. and D.-H.K.; methodology: D.-V.N. and D.-H.K.; software: D.-V.N.; validation: S.-I.L. and D.-H.K.; formal analysis: D.-V.N.; data curation: D.-V.N.; writing—original draft preparation: D.-V.N.; writing—review and editing: D.-V.N. and D.-H.K.; supervision: S.-I.L. and D.-H.K. All authors have read and agreed to the published version of the manuscript.

Funding

This work was supported by Korea Institute of Energy Technology Evaluation and Planning (KETEP) grants funded by the Korean Government (MOTIE) (No. 20224000000040 and No. 20214000000180).

Institutional Review Board Statement

Not applicable.

Informed Consent Statement

Not applicable.

Data Availability Statement

Data are contained within the article.

Conflicts of Interest

The authors declare no conflicts of interest.

References

  1. GWEC. Global Wind Report 2022, Global Wind Energy Council. 2022. Available online: https://gwec.net/global-wind-report-2022/ (accessed on 13 August 2024).
  2. Ngo, D.-V.; Kim, Y.-J.; Kim, D.-H. Seismic Fragility Assessment of a Novel Suction Bucket Foundation for Offshore Wind Turbine under Scour Condition. Energies 2022, 15, 499. [Google Scholar] [CrossRef]
  3. Ngo, D.-V.; Kim, Y.-J.; Kim, D.-H. Risk Assessment of Offshore Wind Turbines Suction Bucket Foundation Subject to Multi-Hazard Events. Energies 2023, 16, 2184. [Google Scholar] [CrossRef]
  4. Prowell, I.; Veers, P. Assessment of Wind Turbine Seismic Risk: Existing Literature and Simple Study of Tower Moment Demand; Technical Report SAND2009-1100; Sandia National Laboratories: Albuquerque, NM, USA, 2009. [Google Scholar]
  5. Kaynia, A.M. Seismic considerations in design of offshore wind turbines. Soil Dyn. Earthq. Eng. 2019, 124, 399–407. [Google Scholar] [CrossRef]
  6. Wang, X.; Ma, C.; Li, J. Seismic response of suction bucket foundation for offshore wind turbines: A parametric study. Ocean Eng. 2022, 257, 111570. [Google Scholar] [CrossRef]
  7. Amani, S.; Prabhakaran, A.; Bhattacharya, S. Design of monopiles for offshore and nearshore wind turbines in seismically liquefiable soils: Methodology and validation. Soil Dyn. Earthq. Eng. 2022, 157, 107252. [Google Scholar] [CrossRef]
  8. James, M.; Haldar, S. Seismic vulnerability of jacket supported large offshore wind turbine considering multidirectional ground motions. Structures 2022, 43, 407–423. [Google Scholar] [CrossRef]
  9. Patil, A.; Jung, S.; Kwon, O.-S. Structural performance of a parked wind turbine tower subjected to strong ground motions. Eng. Struct. 2016, 120, 92–102. [Google Scholar] [CrossRef]
  10. Austin, S.; Jerath, S. Effect of soil-foundation-structure interaction on the seismic response of wind turbines. Ain Shams Eng. J. 2017, 8, 323–331. [Google Scholar] [CrossRef]
  11. Zheng, X.Y.; Li, H.; Rong, W.; Li, W. Joint earthquake and wave action on the monopile wind turbine foundation: An experimental study. Mar. Struct. 2015, 44, 125–141. [Google Scholar] [CrossRef]
  12. Gao, B.; Ye, G.; Zhang, Q.; Zhu, W.; Zhang, L. Seismic responses of suction bucket foundation in liquefiable seabed considering spatial variability. Comput. Geotech. 2023, 159, 105495. [Google Scholar] [CrossRef]
  13. Kim, D.H.; Lee, S.G.; Lee, I.K. Seismic fragility analysis of 5 MW offshore wind turbine. Renew. Energy 2014, 65, 250–256. [Google Scholar] [CrossRef]
  14. Jiang, W.; Lin, C. Lateral responses of monopile-supported offshore wind turbines in sands under combined effects of scour and earthquakes. Soil Dyn. Earthq. Eng. 2022, 155, 107193. [Google Scholar] [CrossRef]
  15. Eslami, A.; Ghorbani, A. Seismic response of offshore wind turbines supported on Monopiles and Suction Buckets: Numerical modelling and soft computing study. Soil Dyn. Earthq. Eng. 2022, 159, 107284. [Google Scholar] [CrossRef]
  16. Yan, Y.; Li, C.; Li, Z. Buckling analysis of a 10 MW offshore wind turbine subjected to wind-wave-earthquake loadings. Ocean. Eng. 2021, 236, 109452. [Google Scholar] [CrossRef]
  17. Huang, Y.; Zhao, M.; Wang, P.; Cheng, X.; Du, X. Analytical solution of dynamic responses of offshore wind turbine supported by monopile under combined earthquake, wave and wind. Ocean Eng. 2022, 267, 113319. [Google Scholar] [CrossRef]
  18. Zheng, H.-D.; Wang, X.-F.; Liu, C.-X.; Wang, Z.; Wu, B. Nonlinear seismic performance of a large-scale vertical-axis wind turbine under wind and earthquake action. Renew. Energy 2022, 200, 24–36. [Google Scholar] [CrossRef]
  19. Wang, P.; Zhao, M.; Du, X.; Liu, J.; Xu, C. Wind, wave and earthquake responses of offshore wind turbine on monopile foundation in clay. Soil Dyn. Earthq. Eng. 2018, 113, 47–57. [Google Scholar] [CrossRef]
  20. Ngo, D.-V.; Kim, D.-H. Seismic responses of different types of offshore wind turbine support structures. Ocean Eng. 2024, 297, 117108. [Google Scholar] [CrossRef]
  21. Yang, Y.; Bashir, M.; Li, C.; Wang, J. Analysis of seismic behaviour of an offshore wind turbine with a flexible foundation. Ocean Eng. 2019, 178, 215–228. [Google Scholar] [CrossRef]
  22. Li, H.; Ong, M.C.; Leira, B.J.; Myrhaug, D. Effects of Soil Profile Variation and Scour on Structural Response of an Offshore Monopile Wind Turbine. J. Offshore Mech. Arct. Eng. 2018, 140, 4039297. [Google Scholar] [CrossRef]
  23. Bisoi, S.; Haldar, S. Dynamic analysis of offshore wind turbine in clay considering soil–monopile–tower interaction. Soil Dyn. Earthq. Eng. 2014, 63, 19–35. [Google Scholar] [CrossRef]
  24. Álamo, G.M.; Aznárez, J.J.; Padrón, L.A. Dynamic soil-structure interaction in offshore wind turbines on monopiles in layered seabed based on real data. Ocean Eng. 2018, 156, 14–24. [Google Scholar] [CrossRef]
  25. Shi, S.; Zhai, E.; Xu, C.; Iqbal, K.; Sun, Y.; Wang, S. Influence of Pile-Soil Interaction on Dynamic Properties and Response of Offshore Wind Turbine with Monopile Foundation in Sand Site. Appl. Ocean Res. 2022, 126, 103279. [Google Scholar] [CrossRef]
  26. Asareh, M.-A.; Schonberg, W.; Volz, J. Fragility analysis of a 5-MW NREL wind turbine considering aero-elastic and seismic interaction using finite element method. Finite Elements Anal. Des. 2016, 120, 57–67. [Google Scholar] [CrossRef]
  27. Sapountzakis, E.J.; Dikaros, I.C.; Kampitsis, A.E.; Koroneou, A.D. Nonlinear Response of Wind Turbines Under Wind and Seismic Excitations With Soil–Structure Interaction. J. Comput. Nonlinear Dyn. 2015, 10, 041007. [Google Scholar] [CrossRef]
  28. De Risi, R.; Bhattacharya, S.; Goda, K. Seismic performance assessment of monopile-supported offshore wind turbines using unscaled natural earthquake records. Soil Dyn. Earthq. Eng. 2018, 109, 154–172. [Google Scholar] [CrossRef]
  29. Ali, A.; De Risi, R.; Sextos, A.; Goda, K.; Chang, Z. Seismic vulnerability of offshore wind turbines to pulse and non-pulse records. Earthq. Eng. Struct. Dyn. 2020, 49, 24–50. [Google Scholar] [CrossRef]
  30. Yuan, C.; Chen, J.; Li, J.; Xu, Q. Fragility analysis of large-scale wind turbines under the combination of seismic and aerodynamic loads. Renew. Energy 2017, 113, 1122–1134. [Google Scholar] [CrossRef]
  31. Xi, R.; Xu, C.; Du, X.; El Naggar, M.H.; Wang, P.; Liu, L.; Zhai, E. Framework for dynamic response analysis of monopile supported offshore wind turbine excited by combined wind-wave-earthquake loading. Ocean Eng. 2022, 247, 110743. [Google Scholar] [CrossRef]
  32. Liang, F.; Yuan, Z.; Liang, X.; Zhang, H. Seismic response of monopile-supported offshore wind turbines under combined wind, wave and hydrodynamic loads at scoured sites. Comput. Geotech. 2022, 144, 104640. [Google Scholar] [CrossRef]
  33. Mardfekri, M.; Gardoni, P. Multi-hazard reliability assessment of offshore wind turbines. Wind. Energy 2015, 18, 1433–1450. [Google Scholar] [CrossRef]
  34. Mo, R.; Kang, H.; Li, M.; Zhao, X. Seismic Fragility Analysis of Monopile Offshore Wind Turbines under Different Operational Conditions. Energies 2017, 10, 1037. [Google Scholar] [CrossRef]
  35. Hemmati, A.; Oterkus, E.; Barltrop, N. Fragility reduction of offshore wind turbines using tuned liquid column dampers. Soil Dyn. Earthq. Eng. 2019, 125, 105705. [Google Scholar] [CrossRef]
  36. Cao, Y.; He, M.; Ma, R.; Yang, R.; Liang, F. Beam-column modeling and seismic fragility analysis of a prestressed segmental concrete tower for wind turbines. Adv. Struct. Eng. 2020, 23, 1710242931. [Google Scholar] [CrossRef]
  37. Abaqus, in Dassault Systemes Simulia Corporation. 2020. Available online: https://abaqus-docs.mit.edu/2017/English/SIMACAEEXCRefMap/simaexc-c-docproc.htm (accessed on 25 August 2024).
  38. Huang, H.S. Dynamic analysis of 10 mega-watts offshore wind turbine under wind and coupled wind–ocean–wave loads. Compos. Struct. 2022, 291, 115497. [Google Scholar] [CrossRef]
  39. Shi, Y.; Yao, W.; Jiang, M. Dynamic analysis on monopile supported offshore wind turbine under wave and wind load. Structures 2023, 47, 520–529. [Google Scholar] [CrossRef]
  40. EduPro Civil Systems, Inc. ProShake Ground Response Analysis Program, Version 2.0. 2020. Available online: http://www.proshake.com/index.html (accessed on 2 August 2024).
  41. Papadrakakis, M.; Sapountzakis, E.J. Matrix Methods for Advanced Structural Analysis; Butterworth-Heinemann: Oxford, UK, 2018. [Google Scholar] [CrossRef]
  42. Luo, C.; Yang, X.; Zhan, C.; Jin, X.; Ding, Z. Nonlinear 3D finite element analysis of soil–pile–structure interaction system subjected to horizontal earthquake excitation. Soil Dyn. Earthq. Eng. 2016, 84, 145–156. [Google Scholar] [CrossRef]
  43. Bui, H.H.; Fukagawa, R.; Sako, K.; Ohno, S. Lagrangian meshfree particles method (SPH) for large deformation and failure flows of geomaterial using elastic–plastic soil constitutive model. Int. J. Numer. Anal. Methods Géoméch. 2008, 32, 1537–1570. [Google Scholar] [CrossRef]
  44. Wang, L.; Zhou, W.; Guo, Z.; Rui, S. Frequency change and accumulated inclination of offshore wind turbine jacket structure with piles in sand under cyclic loadings. Ocean. Eng. 2020, 217, 108045. [Google Scholar] [CrossRef]
Figure 1. Schematic diagram of integrated analysis of OWTs.
Figure 1. Schematic diagram of integrated analysis of OWTs.
Sustainability 16 10575 g001
Figure 2. Framework of developed seismic fragility analysis.
Figure 2. Framework of developed seismic fragility analysis.
Sustainability 16 10575 g002
Figure 3. FE model of tower and substructure.
Figure 3. FE model of tower and substructure.
Sustainability 16 10575 g003
Figure 4. FE model of single SB and soil medium.
Figure 4. FE model of single SB and soil medium.
Sustainability 16 10575 g004
Figure 5. Time history of the thrust force at the rated wind speed for a 5.5 MW OWT.
Figure 5. Time history of the thrust force at the rated wind speed for a 5.5 MW OWT.
Sustainability 16 10575 g005
Figure 6. Acceleration history time and spectral acceleration of selected earthquakes used in this study.
Figure 6. Acceleration history time and spectral acceleration of selected earthquakes used in this study.
Sustainability 16 10575 g006
Figure 7. Modal shape of OWTs: (a) Full Model; (b) Spring Model.
Figure 7. Modal shape of OWTs: (a) Full Model; (b) Spring Model.
Sustainability 16 10575 g007
Figure 8. The first natural frequencies of both the Full Model and the Spring Model fall within the design range suitable for a 5.5 MW OWT and agree closely with the study by Wang et al. [44].
Figure 8. The first natural frequencies of both the Full Model and the Spring Model fall within the design range suitable for a 5.5 MW OWT and agree closely with the study by Wang et al. [44].
Sustainability 16 10575 g008
Figure 9. The peak acceleration distribution across a range of depths.
Figure 9. The peak acceleration distribution across a range of depths.
Sustainability 16 10575 g009
Figure 10. The relationship between the seismic amplification factor and PGA of ground motions.
Figure 10. The relationship between the seismic amplification factor and PGA of ground motions.
Sustainability 16 10575 g010
Figure 11. Comparison of spectral acceleration between surface ground motion and bedrock ground motion.
Figure 11. Comparison of spectral acceleration between surface ground motion and bedrock ground motion.
Sustainability 16 10575 g011
Figure 12. Comparison of time history response of OWT with and without considering site-specific effects under combination of wind and El Centro (PGA = 0.25 g).
Figure 12. Comparison of time history response of OWT with and without considering site-specific effects under combination of wind and El Centro (PGA = 0.25 g).
Sustainability 16 10575 g012
Figure 13. Peak responses of the OWT excited by a combination of wind and earthquakes, with the dotted red line indicating the permissible threshold.
Figure 13. Peak responses of the OWT excited by a combination of wind and earthquakes, with the dotted red line indicating the permissible threshold.
Sustainability 16 10575 g013
Figure 14. Comparison of fragility curves among three models of the OWT: the Full Model, the Spring Model considering site effects, and the Spring Model not considering site effects.
Figure 14. Comparison of fragility curves among three models of the OWT: the Full Model, the Spring Model considering site effects, and the Spring Model not considering site effects.
Sustainability 16 10575 g014
Figure 15. Fragility curves of the OWT for different wind speeds: (a) D S 1 , (b) D S 2 , and (c) D S 3 .
Figure 15. Fragility curves of the OWT for different wind speeds: (a) D S 1 , (b) D S 2 , and (c) D S 3 .
Sustainability 16 10575 g015
Figure 16. Comparison of OWT fragility for different wind speeds and earthquake intensities (PGA) between the Site-Effect and Non-Site-Effect models: (a) D S 1 , (b) D S 2 , and (c) D S 3 .
Figure 16. Comparison of OWT fragility for different wind speeds and earthquake intensities (PGA) between the Site-Effect and Non-Site-Effect models: (a) D S 1 , (b) D S 2 , and (c) D S 3 .
Sustainability 16 10575 g016
Table 1. Summary of previous studies related to this work.
Table 1. Summary of previous studies related to this work.
ObjectNgo et al. [2]Ngo et al. [3]Ngo et al. [20]This Work, 2024
Support structure5.5 MW pentapod SB
5.5 MW tripod SB
5.5 MW pentapod SB5.5 MW pentapod SB
5.5 MW jacket pile
5.5 MW monopile
5.5 MW pentapod SB
SSISurface-to-surface contact between SB and soilSurface-to-surface contact between SB and soilSurface-to-surface contact between SB and soilSpring matrix
Hazard EventSeismic, wind, and scourSeismic and scourSeismic and windSeismic and wind
Purpose of StudyProposing a novel SB foundationRisk assessment considering the uncertainty of scour and seismic hazardsComparison of the seismic performance of foundation typesUsing the Spring Model to assess seismic performance considering the seismic amplification effect
Table 2. Damage state levels for fragility analysis.
Table 2. Damage state levels for fragility analysis.
CaseValue
Tower - top   displacement   ( D S 1 )0.601 m
Mudline   displacement   ( D S 2 )0.038 m
Stress   on   tower   ( D S 3 )Yield stress (345 MPa)
Table 3. The essential properties of the 5.5 MW OWT.
Table 3. The essential properties of the 5.5 MW OWT.
ParametersValue
Capacity (MW)5.5
Number of blades3
Diameter of blade (m)121
Rated wind speed (m/s)13
Hub height (m)110.08
Tower-top height (m)106.42
Tower-base height (m)25.00
Rotor–nacelle assembly (RNA) mass (ton)391.42
Density of tower material (also for substructures) (kg/m3)7850
Young’s modulus (GPa) of steel210
Poisson’s ratio of steel0.3
Yield stress (MPa) of steel345
Tangent modulus (GPa) of steel420
Table 4. Soil profile.
Table 4. Soil profile.
SoilThickness (m)Unit Weight (kN/m3)Friction Angle (deg)Cohesion Yield Stress (kPa)PI (%)Gmax (Mpa)Poisson’s Ratio
Upper sand317.532.35-330.400
Lower sand417.5375-430.400
Clay7.216.8-3030210.487
Weathered soil71830--960.482
Weathered rock-2032--2320.450
Table 5. Selected earthquakes.
Table 5. Selected earthquakes.
NamePGA (g)Mean Frequency (Hz)
Loma Prieta 19890.1593.072
El Centro 19400.3446.197
Northridge earthquake 1994 (Topanga)0.32910.068
Table 6. Natural frequencies of OWTs.
Table 6. Natural frequencies of OWTs.
ModeFull ModelSpring ModelReference [44]
1st tower fore–aft0.24690.25510.245–0.256
1st tower side–side0.24680.2551
2nd tower fore–aft1.81801.6490-
2nd tower side–side1.81701.6520
Table 7. PGA (g) for several exceedance probabilities.
Table 7. PGA (g) for several exceedance probabilities.
Damage StatesModelExceedance Probability
10%Error (%)20%Error (%)50%Error (%)
D S 1 Full0.261-0.311-0.493-
Non-Site-Effect0.30818.010.3399.000.417−15.4
Site-Effect0.248−4.980.3130.640.482−2.23
D S 2 Full0.295-0.342-0.459-
Non-Site-Effect0.39834.920.40719.010.457−0.44
Site-Effect0.3012.030.332−2.920.4763.70
D S 3 Full0.559-0.670-0.942-
Non-Site-Effect0.66518.960.76814.630.861−8.60
Site-Effect0.5844.470.7116.120.930−1.27
Table 8. Comparison of computational time of Full Model and Spring Model.
Table 8. Comparison of computational time of Full Model and Spring Model.
ModelNumber of DOFNumber of ElementsDuration Time of Input Load (s)Computational Time (hrs)
Full Model181,17654,766600≈8
Spring Model642106600≈2
Table 9. PGA (g) for several exceedance probabilities with different wind speeds ( D S 1 ).
Table 9. PGA (g) for several exceedance probabilities with different wind speeds ( D S 1 ).
Exceedance ProbabilityModelWind Speed (m/s)
371114182125
10%Non-Site-Effect0.4610.4410.3360.3060.2760.2830.253
Site-Effect0.3420.3120.2520.2350.2460.2620.232
50%Non-Site-Effect0.5280.5080.4450.4150.3850.3720.342
Site-Effect0.5960.5660.5060.4630.4300.4080.378
Table 10. PGA (g) for several exceedance probabilities with different wind speeds ( D S 2 ).
Table 10. PGA (g) for several exceedance probabilities with different wind speeds ( D S 2 ).
Exceedance ProbabilityModelWind Speed (m/s)
371114182125
10%Non-Site-Effect0.4030.4050.4060.3930.3970.3900.379
Site-Effect0.3060.3010.3050.3000.3040.2840.284
50%Non-Site-Effect0.4860.4810.4760.4560.4550.4490.440
Site-Effect0.5250.5070.5000.4830.4750.4550.431
Table 11. PGA (g) for several exceedance probabilities with different wind speeds ( D S 3 ).
Table 11. PGA (g) for several exceedance probabilities with different wind speeds ( D S 3 ).
Exceedance ProbabilityModelWind Speed (m/s)
371114182125
10%Non-Site-Effect0.7200.7010.6830.6630.6440.6230.605
Site-Effect0.6700.6380.6080.5790.5240.4960.469
50%Non-Site-Effect0.8780.8720.8660.8600.8550.8490.842
Site-Effect0.9320.9320.9310.9290.9230.9180.913
Disclaimer/Publisher’s Note: The statements, opinions and data contained in all publications are solely those of the individual author(s) and contributor(s) and not of MDPI and/or the editor(s). MDPI and/or the editor(s) disclaim responsibility for any injury to people or property resulting from any ideas, methods, instructions or products referred to in the content.

Share and Cite

MDPI and ACS Style

Ngo, D.-V.; Lee, S.-I.; Kim, D.-H. Seismic Fragility Analysis of Offshore Wind Turbines Considering Site-Specific Ground Responses. Sustainability 2024, 16, 10575. https://doi.org/10.3390/su162310575

AMA Style

Ngo D-V, Lee S-I, Kim D-H. Seismic Fragility Analysis of Offshore Wind Turbines Considering Site-Specific Ground Responses. Sustainability. 2024; 16(23):10575. https://doi.org/10.3390/su162310575

Chicago/Turabian Style

Ngo, Duc-Vu, Sang-Il Lee, and Dong-Hyawn Kim. 2024. "Seismic Fragility Analysis of Offshore Wind Turbines Considering Site-Specific Ground Responses" Sustainability 16, no. 23: 10575. https://doi.org/10.3390/su162310575

APA Style

Ngo, D.-V., Lee, S.-I., & Kim, D.-H. (2024). Seismic Fragility Analysis of Offshore Wind Turbines Considering Site-Specific Ground Responses. Sustainability, 16(23), 10575. https://doi.org/10.3390/su162310575

Note that from the first issue of 2016, this journal uses article numbers instead of page numbers. See further details here.

Article Metrics

Back to TopTop