Logistics Industry Agglomeration Affects New-Type Urbanization—An Empirical Test Based on Spatial Panel Models
Abstract
1. Introduction
1.1. Urbanization in China
1.2. Role of Logistics Industry
1.3. Research Questions
2. Literature Review
2.1. Logistics Industry Development
2.2. Cold-Chain and Low-Carbon Logistics
2.3. Impact of Logistics Agglomeration on Regional Development
2.4. NTU and Sustainable Urbanization
2.5. Impact of Logistics Agglomeration on NTU
3. Theoretical Analysis
4. Measurement of the Level of NTU and the Agglomeration Level of the Logistics Industry
4.1. Entropy Weight Method
4.2. Construction of the Indicator System for NTU
- (1)
- Population new-type urbanization
- (2)
- Economic new-type urbanization
- (3)
- Social new-type urbanization
- (4)
- Spatial new-type urbanization
- (5)
- Ecological new-type urbanization
- (6)
- Urban-rural coordination
4.3. Measurement of NTU Level
4.4. Measurement Model for Logistics Industry Agglomeration
4.5. Results of the Logistics Industry Agglomeration Assessment
5. Research Design
5.1. Model Setting
5.1.1. Model Selection and Construction
5.1.2. Selection of Spatial Weight Matrices
5.2. Variable Selection and Description
5.2.1. Dependent Variable and Explanatory Variable
5.2.2. Control Variables
5.3. Data Sources and Explanations
6. Empirical Results and Analysis
6.1. Spatial Autocorrelation Test
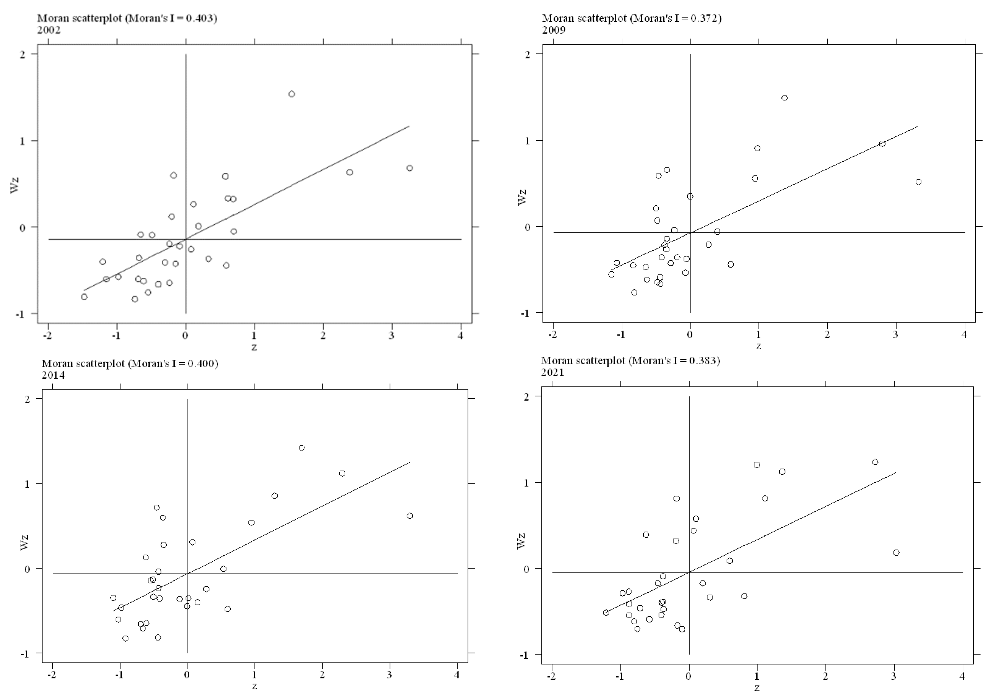
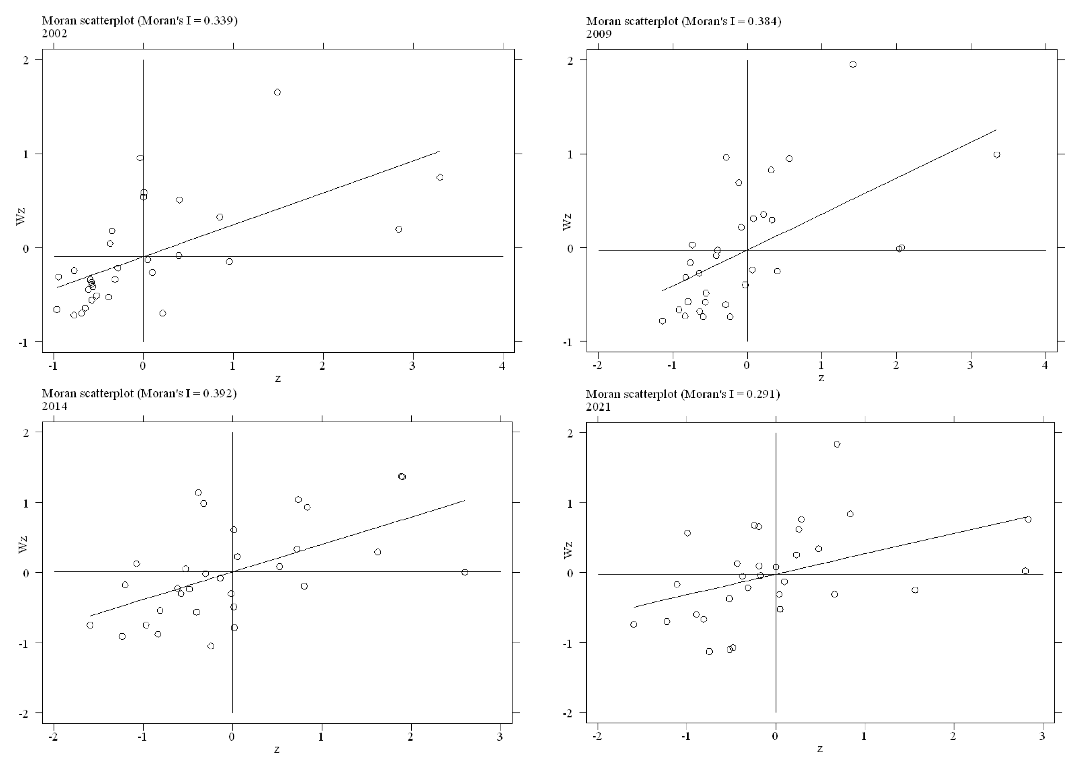
6.1.1. Global Moran’s I Index
6.1.2. Local Moran’s I Index
6.2. Spatial Econometric Regression Analysis
6.3. Spatial Spillover Effects Decomposition
6.4. Heterogeneity Analysis
6.5. Robustness Tests
6.5.1. Quantile Regression
6.5.2. Stepwise Regression
7. Conclusions and Policy Recommendations
7.1. Conclusions
7.2. Policy Recommendations
Author Contributions
Funding
Data Availability Statement
Conflicts of Interest
References
- Liming, H. Review and outlook on the development of modern logistics in china in 2023. Logist. Res. 2024, 4, 1–3. [Google Scholar]
- Lytvynenko, S.; Voitsehovskiy, V.; Grygorak, M.; Gabrielova, T.; Patkovskyi, S.; Lytvynenko, L. Operational Management Model of Air Carrier’s Cargo Flows as a Smart Logistics Tool for Sustainable Development. In International School on Neural Networks, Initiated by IIASS and EMFCSC; Springer: Cham, Switzerland, 2023. [Google Scholar]
- Li, L. Mechanism Analysis of Smart Logistics Technology to Enhance the Logistics Efficiency of Rural E-Commerce. Appl. Math. Nonlinear Sci. 2024, 9. [Google Scholar] [CrossRef]
- Egorov, D.; Shaban, A.; Levina, A.; Schuur, P.; Gerrits, B.; Levin, I. Digital Methods of Warehouse Logistics as a Tool to Accelerate Supply Chains. In XIV International Scientific Conference “INTERAGROMASH 2021” Precision Agriculture and Agricultural Machinery Industry; Springer International Publishing: Berlin/Heidelberg, Germany, 2022. [Google Scholar]
- Lu, Y.; Xu, X.; Yin, C.; Zhang, Y. Network optimization of railway cold chain logistics based on freight subsidy. Transp. Res. Rec. J. Transp. Res. Board 2021, 2675, 590–603. [Google Scholar] [CrossRef]
- Liang, K.; Zhang, W.; Zhang, M. Optimization Model of Cold-Chain Logistics Network for Fresh Agricultural Products—Taking Guangdong Province as an Example. Appl. Math. Appl. Phys. 2019, 7, 476–485. [Google Scholar] [CrossRef]
- Chen, B.; Liu, C.; Zhao, X. Analysis on the Influencing Factors of Cold Chain Logistics Development of Fresh Agricultural Products in Sichuan Province. SHS Web Conf. 2023, 163. [Google Scholar] [CrossRef]
- Shu, D.; Qiu, Y. Research on Route Planning of Multi-Objective Cold Chain Mixed Fleet Considering Low Carbon. J. Comput. Eng. Appl. 2024, 60, 337. [Google Scholar]
- Yuan, X.; Sheng, W.; Wang, M.; Zhang, D. Logistics Service Selection Strategy of Green Manufacturers in Green Low-Carbon Supply Chain. Int. J. Environ. Res. Public Health 2023, 20, 3356. [Google Scholar] [CrossRef]
- Yao, D.; Wang, J.; Guo, Y.; Qiu, Y. Efficiency measurement and inefficiency analysis of low–carbon logistics in the Beijing–Tianjin–Hebei region, China. Heliyon 2024, 10, e30137. [Google Scholar] [CrossRef]
- Sheffi, Y. Logistics Clusters: Delivering Value and Driving Growth; MIT Press: Cambridge, MA, USA, 2012. [Google Scholar] [CrossRef]
- Xu, A.; Qian, F.; Ding, H.; Zhang, X. Digitalization of logistics for transition to a resource-efficient and circular economy. Resour. Policy 2023, 83, 103616. [Google Scholar] [CrossRef]
- Zhang, Q.; Tao, Y. Synergistic Agglomeration of Manufacturing and Logistics Industries and Urban Green Economy Efficiency: Influence and Upgrading. Math. Probl. Eng. 2023, 2023, 8118981. [Google Scholar] [CrossRef]
- De Angelis, R.; Howard, M.; Miemczyk, J. Supply chain management and the circular economy: Towards the circular supply chain. Prod. Plan. Control 2018, 29, 425–437. [Google Scholar] [CrossRef]
- Minghui, G. The Impact of the Digital Finance on the Agglomeration Development of China’s Logistics Industry. SHS WEB Conf. 2023, 169, 01048. [Google Scholar] [CrossRef]
- Chen, M.; Gong, Y.; Lu, D.; Ye, C. Build a people-oriented urbanization: Chinas new-type urbanization dream and Anhui model. Land USE Policy 2019, 80, 1–9. [Google Scholar] [CrossRef]
- Chen, C.; Qin, Y.; Gao, Y. Does new urbanization affect CO2 emissions in China: A spatial econometric analysis. Sustain. Cities Soc. 2023, 96, 104687. [Google Scholar] [CrossRef]
- Zhu, Y.; Shen, S.; Du, L. Spatial and Temporal Interaction Coupling of Digital Economy, New-Type Urbanization and Land Ecology and Spatial Effects Identification: A Study of the Yangtze River Delta. Land 2023, 12, 677. [Google Scholar] [CrossRef]
- Yu, B. Ecological effects of new-type urbanization in China. Renew. Sustain. Energy Rev. 2021, 135, 110239. [Google Scholar] [CrossRef]
- Zhang, Y.; Chen, X. Spatial and nonlinear effects of new-type urbanization and technological innovation on industrial carbon dioxide emission in the Yangtze River Delta. Environ. Sci. Pollut. Res. 2023, 30, 29243–29257. [Google Scholar] [CrossRef]
- Hu, C.; Ma, X.; Liu, Y. Mechanism and Spatial Spillover Effect of New-Type Urbanization on Urban CO2 Emissions: Evidence from 250 Cities in China. Land 2023, 12, 1047. [Google Scholar] [CrossRef]
- Zhang, Y.; Cai, Q. Impact mechanism of new urbanization on environmental pollution: Empirical analysis based on spatial panel model. Front. Public Health 2022, 10, 928100. [Google Scholar] [CrossRef]
- Zhang, Z.; Zhao, M.; Zhang, Y.; Feng, Y. How does urbanization affect public health? New evidence from 175 countries worldwide. Front. Public Health 2023, 10, 1096964. [Google Scholar] [CrossRef]
- Wu, H.; Yu, H. How does energy consumption affect China’s urbanization? New evidence from dynamic threshold panel models. Energy Policy 2019, 127, 24–38. [Google Scholar] [CrossRef]
- Deng, S. Exploring the relationship between new-type urbanization and sustainable urban land use: Evidence from prefecture-level cities in China. Sustain. Comput. Inform. Syst. 2021, 30, 100446. [Google Scholar] [CrossRef]
- Wu, L. New-Type Urbanization and the Development of the Sciences of Human Settlements in China. Urban Plan. 2014, 23, 26–31. [Google Scholar]
- Fang, C.; Ma, H.; Wang, J. A Regional Categorization for “New-Type Urbanization” in China. PLoS ONE 2015, 10, e0134253. [Google Scholar] [CrossRef] [PubMed]
- Zhao, C.; Wang, B. How does new-type urbanization affect air pollution? Empirical evidence based on spatial spillover effect and spatial Durbin model. Environ. Int. 2022, 165, 107304. [Google Scholar] [CrossRef]
- Yang, Q.; Ding, L.; Wang, L. Influence Mechanism of New-type Urbanization on Urban Land Use Efficiency in the Yangtze River Delta, China. Chinese Geogr. Sci. 2023, 33, 474–488. [Google Scholar] [CrossRef]
- Wang, J.; Han, S.; Lin, H.; Wu, P.; Yuan, J. New-type urbanization ecologically reshaping China. Heliyon 2023, 9, e12925. [Google Scholar] [CrossRef]
- Geng, Y.; Zhang, H. Coordinated interactions of sustainable urbanization dimensions: Case study in Hunan, China. Sage Open 2021, 11, 2158–2440. [Google Scholar] [CrossRef]
- Almulhim, A.I.; Cobbinah, P.B. Can rapid urbanization be sustainable? The case of Saudi Arabian cities. Habitat Int. 2023, 139, 102884. [Google Scholar] [CrossRef]
- Liu, S.; Zhang, P.; Wang, Z.; Liu, W.; Tan, J. Measuring the sustainable urbanization potential of cities in Northeast China. J. Geogr. Sci. 2016, 26, 549–567. [Google Scholar] [CrossRef]
- Wei, Y.D.; Ye, X. Urbanization, land use, and sustainable development in China. Stoch. Environ. Res. Risk Assess. 2014, 28, 755. [Google Scholar] [CrossRef]
- Wang, Q.; Zhang, F.; Li, R. Artificial intelligence and sustainable development during urbanization: Perspectives on AI R&D innovation, AI infrastructure, and AI market advantage. Sustain. Dev. 2024. [Google Scholar] [CrossRef]
- Liu, S.; Jia, L.; Zhang, F.; Wang, R.; Liu, X.; Zou, L.; Tang, X. Do New Urbanization Policies Promote Sustainable Urbanization? Evidence from China’s Urban Agglomerations. Land 2024, 13, 412. [Google Scholar] [CrossRef]
- Abrahamsson, M.; Rehme, J. The Role of Logistics in Retailers′ Corporate Strategy-a Driver for Growth and Customer Value. Supply Chain. Forum 2010, 11, 14–22. [Google Scholar] [CrossRef]
- Rodrigue, J.-P. The Geography of Transport Systems; Routledge: Abingdon, UK, 2020. [Google Scholar]
- Cao, Y.; Zhang, X. The Impact of Urban Green and Intelligent Logistics on Urban Environmental Protection. In IOP Conference Series. Earth and Environmental Science; IOP Publishing: Bristol, UK, 2021; Volume 781. [Google Scholar]
- Zhang, Y.; Hu, Y.; Zhuang, D. A highly integrated, expansible, and comprehensive analytical framework for urban ecological land: A case study in Guangzhou, China. J. Clean. Prod. 2020, 268, 122360. [Google Scholar] [CrossRef]
- Shi, P.J.; Chen, L.; Liu, H.L.; Liu, H.M. Evaluation of urbanization coordination degrees in Gansu province. Appl. Mech. Mater. 2013, 295, 2486–2492. [Google Scholar] [CrossRef]
- Rivera, L.; Sheffi, Y.; Welsch, R. Logistics agglomeration in the US. Transp. Res. Part A Policy Pr. 2014, 59, 222–238. [Google Scholar] [CrossRef]
- Hao-Jun, Y. A Study on the Development of Logistics Industry under the Background of Supply Side Structural Reform Taking Suzhou as an Example. Spéc. Zone Econ. 2017, 10, 100–103. [Google Scholar]
- Jing, Y.; Yajing, D.; Weijie, Z. Economic Policy Uncertainty: Cross-Country Linkages and Spillover Effects on Economic Development in Some Belt and Road Countries. J. Syst. Sci. Complex. 2023, 36, 1169–1188. [Google Scholar]
- Nowroth, A. Sales and Business Models in the Logistics Industry; Springer Books: Berlin/Heidelberg, Germany, 2023. [Google Scholar]
- Jiang, W.; Liu, S.; Li, S. An extended cross-efficiency evaluation method based on information entropy with an application to the urban logistics industry. J. Model. Manag. 2023, 18, 578–601. [Google Scholar] [CrossRef]
- Liu, S.; He, N.; Shi, Y.; Li, G. The roles logistics agglomeration and technological progress play in air pollution--New evidence in sub-regions of Chongqing, China. J. Clean. Prod. 2021, 317, 128414. [Google Scholar] [CrossRef]
- Tian, Z.; Zhong, R.Y.; Vatankhah Barenji, A. A blockchain-based evaluation approach for customer delivery satisfaction in sustainable urban logistics. Int. J. Prod. Res. 2021, 59, 2229–2249. [Google Scholar] [CrossRef]
- Jiexian, L.; Quan’An, F. Green finance, energy consumption, urbanization, and economic growth: Quantile based evidence from China. Environ. Sci. Pollut. Res. 2023, 30, 88155–88166. [Google Scholar] [CrossRef]
- Huang, Z.; An, X.; Cai, X.; Chen, Y.; Liang, Y.; Hu, S.; Wang, H. The impact of new urbanization on PM2. 5 concentration based on spatial spillover effects: Evidence from 283 cities in China. Sustain. Cities Soc. 2023, 90, 104386. [Google Scholar] [CrossRef]
- Feng, Y.; Yuan, H.; Liu, Y. The energy-saving effect in the new transformation of NUrbanization. Econ. Anal. Policy 2023, 78, 41–59. [Google Scholar] [CrossRef]
- Zhao, X.; Ding, X.; Li, L. Research on Environmental Regulation, Technological Innovation and Green Transformation of Manufacturing Industry in the Yangtze River Economic Belt. Sustainability 2021, 13, 10005. [Google Scholar] [CrossRef]
- Li, J.-F.; Xu, H.-C.; Liu, W.-W.; Wang, D.-F.; Zheng, W.-L. Influence of Collaborative Agglomeration Between Logistics Industry and Manufacturing on Green Total Factor Productivity Based on Panel Data of China’s 284 Cities. IEEE Access 2021, 9, 109196–109213. [Google Scholar] [CrossRef]
- Lesage, J.; Pace, R.K. Introduction to Spatial Econometrics. J. R. Stat. Soc. Ser. A Stat. Soc. 2008, 174, 19–44. [Google Scholar] [CrossRef]
- Lin, X.; Ahmed, Z.; Jiang, X.; Pata, U.K. Evaluating the link between innovative human capital and regional sustainable development: Empirical evidence from China. Environ. Sci. Pollut. Res. 2023, 30, 97386–97403. [Google Scholar] [CrossRef]
- Zhang, X.; Han, L.; Wei, H.; Tan, X.; Zhou, W.; Li, W.; Qian, Y. Linking urbanization and air quality together: A review and a perspective on the future sustainable urban development. J. Clean. Prod. 2022, 346, 130988. [Google Scholar] [CrossRef]
- Yang, G.; Gui, Q.; Liu, J.; Zhang, F.; Cheng, S. The Relationship between Water Resources Use Efficiency and Scientific and Technological Innovation Level: Case Study of Yangtze River Basin in China. J. Environ. Earth Sci. 2023, 5, 15–35. [Google Scholar] [CrossRef]
- Chen, W.; Wang, G.; Xu, N.; Ji, M.; Zeng, J. Promoting or inhibiting? New-type urbanization and urban carbon emissions efficiency in China. Cities 2023, 140, 104429. [Google Scholar] [CrossRef]
- Kang, B. The Impact of Aging Population on Industrial Structure Upgrading——Empirical Test Based on Provincial Panel Threshold Effect. In Proceedings of the 2019 9th International Conference on Social Science and Education Research (SSER 2019), Kitakyushu, Japan, 25–27 October 2019; Francis Academic Press: London, UK, 2019. [Google Scholar]
- Liddle, B. Impact of population, age structure, and urbanization on carbon emissions/energy consumption: Evidence from macro-level, cross-country analyses. Popul. Environ. 2014, 35, 286–304. [Google Scholar] [CrossRef]
- Central People’s Government of the People’s Republic of China. Available online: https://www.gov.cn/zhengce/zhengceku/2022-12/06/content_5730293.htm (accessed on 12 June 2023).
- Maddison, D. Environmental Kuznets curves: A spatial econometric approach. J. Environ. Econ. Manag. 2006, 51, 218–230. [Google Scholar] [CrossRef]
- Anselin, L. Local indicators of spatial association—LISA. Geogr. Anal. 1995, 27, 93–115. [Google Scholar] [CrossRef]
- Zhao, W.; Peng, Y. Does the digital economy affect income inequality? An empirical test based on spatial panel model. Econ. Probl. Explor. 2022, 12, 35–51. [Google Scholar]
- Guo, Y.; Lu, Q.; Wang, S.; Wang, Q. Analysis of air quality spatial spillover effect caused by transportation infrastructure. Transp. Res. Part D Transp. Environ. 2022, 108, 103325. [Google Scholar] [CrossRef]





| Issues | Methodology | Thematic | Geographic Focus |
|---|---|---|---|
| Network optimization [5] | adaptive genetic–simulated annealing algorithm | Cold-chain logistics | the Yangtze River economic belt |
| Logistics network layout [6] | Genetic algorithm | Cold-chain logistics | Guangdong Province |
| Analysis of influencing factors [7] | Grey correlation model | Cold-chain logistics | Sichuan Province |
| Route planning [8] | Genetic algorithm | Low-carbon logistics | Chongqing Provincial |
| Sales channel selection, logistics service strategy [9] | Mathematical programming model | Low-carbon logistics | Chinese company |
| Logistics efficiency evaluation [10] | DEA model and Malmquist index model | Low-carbon logistics | Beijing–Tianjin–Hebei region, China |
| Criterion Level | Factor Level | Indicator Level | Unit | Attribute |
|---|---|---|---|---|
| Population new-type urbanization | Population size | Urbanization rate (V1) | % | + |
| Population density | Urban population density (V2) | person/km2 | + | |
| Urban employment | The proportion of employees in the secondary and tertiary sectors (V3) | % | + | |
| Registered urban unemployment rate (V4) | % | − | ||
| Population quality | Number of in-school students in higher education per 100,000 population (V5) | person | + | |
| Economic new-type urbanization | Industrial structure | Proportion of the added value of the secondary and tertiary sectors (V6) | % | + |
| The ratio of the added value between the secondary and tertiary sectors (V7) | % | + | ||
| Economic scale | Per capita GDP (V8) | yuan/person | + | |
| Per capita disposable income of urban residents (V9) | yuan/person | + | ||
| Fiscal revenue | Per capita local fiscal revenue (V10) | yuan/person | + | |
| Investment level | Per capita fixed asset investment (V11) | yuan/person | + | |
| Commodity circulation | Per capita retail sales of consumer goods (V12) | yuan/person | + | |
| Social new-type urbanization | Technological education | Per capita fiscal expenditure on science and technology (V13) | yuan/person | + |
| Per capita fiscal expenditure on education (V14) | yuan/person | + | ||
| Health care provision | Number of health professionals per ten thousand population (V15) | person | + | |
| Public networks | Internet penetration rate (V16) | % | + | |
| Social security | Proportion of social security and employment expenditure in fiscal expenditure (V17) | % | + | |
| Infrastructure | Urban gas penetration rate (V18) | set | + | |
| Urban water supply coverage (V19) | % | + | ||
| Number of public transport vehicles per ten thousand population (V20) | % | + | ||
| Per capita urban road area (V21) | m2/person | + | ||
| Number of public toilets per ten thousand population (V22) | set | + | ||
| Urban and rural pension insurance coverage (V23) | % | + | ||
| Spatial new-type urbanization | Investment in construction | Per capita built-up area (V24) | m2/person | + |
| Urban roads | Urban road network density (V25) | km/km2 | + | |
| Per capita road mileage (V26) | km/person | + | ||
| Ecological new-type urbanization | Urban greening | Per capita park and green space area (V27) | m2/person | + |
| Urban built-up area green coverage rate (V28) | % | + | ||
| Governance capacity | Harmless treatment rate of household waste (V29) | % | + | |
| Urban sewage treatment rate (V30) | % | + | ||
| Per capita sulfur dioxide emissions (V31) | t/person | − | ||
| Urban-rural coordination | Quality of life indicators | Urban and rural residents’ income comparison (V32) | Rural residents = 1 | − |
| Urban and rural residents’ consumption level comparison (V33) | Rural residents = 1 | − | ||
| Urban and rural residents’ Engel coefficient comparison (V34) | Rural residents = 1 | − |
| Indicator | Weight | Indicator | Weight | Indicator | Weight | Indicator | Weight |
|---|---|---|---|---|---|---|---|
| V1 | 0.0192 | V10 | 0.0747 | V19 | 0.0026 | V28 | 0.0043 |
| V2 | 0.0482 | V11 | 0.0511 | V20 | 0.0166 | V29 | 0.0125 |
| V3 | 0.0097 | V12 | 0.0524 | V21 | 0.0233 | V30 | 0.0139 |
| V4 | 0.0047 | V13 | 0.1215 | V22 | 0.0221 | V31 | 0.0067 |
| V5 | 0.0242 | V14 | 0.068 | V23 | 0.0202 | V32 | 0.0032 |
| V6 | 0.0048 | V15 | 0.026 | V24 | 0.0478 | V33 | 0.0013 |
| V7 | 0.056 | V16 | 0.0218 | V25 | 0.0412 | V34 | 0.0071 |
| V8 | 0.0486 | V17 | 0.0163 | V26 | 0.0656 | ||
| V9 | 0.0497 | V18 | 0.005 | V27 | 0.0107 |
| Sequence | Provinces | NQ Mean | Sequence | Provinces | NQ Mean | Sequence | Provinces | NQ Mean |
|---|---|---|---|---|---|---|---|---|
| 1 | Shanghai | 2.8006 | 12 | Shandong | 1.1325 | 23 | Hunan | 0.7214 |
| 2 | Tianjin | 2.7101 | 13 | Ningxia | 1.1163 | 24 | Guizhou | 0.7039 |
| 3 | Beijing | 2.1089 | 14 | Xinjiang | 0.9899 | 25 | Qinghai | 0.686 |
| 4 | Inner Mongolia | 2.0094 | 15 | Chongqing | 0.9368 | 26 | Guangxi | 0.6311 |
| 5 | Fujian | 1.5225 | 16 | Hainan | 0.9298 | 27 | Anhui | 0.5919 |
| 6 | anhui | 1.4134 | 17 | Jilin | 0.9156 | 28 | Gansu | 0.5449 |
| 7 | Liaoning | 1.3819 | 18 | Heilongjia | 0.8923 | 29 | Sichuan | 0.5383 |
| 8 | Jiangsu | 1.2122 | 19 | Shaanxi | 0.8321 | 30 | Xizang | 0.5058 |
| 9 | Shanxi | 1.1839 | 20 | Hubei | 0.8195 | 31 | Yunnan | 0.408 |
| 10 | Guangdong | 1.1777 | 21 | Henan | 0.7923 | |||
| 11 | Zhejiang | 1.1369 | 22 | Jiangxi | 0.7687 | |||
| Variable | Variable Name | Obs | Mean | Std.Dev. | Min | Max |
|---|---|---|---|---|---|---|
| NTU | New-type urbanization level | 620 | 0.237 | 0.109 | 0.0526 | 0.665 |
| NQ | The degree of agglomeration in the logistics industry | 620 | 1.1 | 0.654 | 0.238 | 4.354 |
| human | Human capital level | 620 | 8.671 | 1.271 | 3.738 | 12.78 |
| government | Government intervention level | 620 | 0.221 | 0.099 | 0.0768 | 0.658 |
| market | Degree of marketization | 620 | 7.157 | 2.218 | 0.106 | 12.39 |
| technology | Technological industrialization level | 620 | 0.0085 | 0.0169 | 0.000021 | 0.141 |
| Odr | Elderly dependency ratio | 620 | 0.136 | 0.0375 | 0.067 | 0.267 |
| innovation | Innovation level | 620 | 9.149 | 1.921 | 1.946 | 13.68 |
| Year | NQ | NTU | ||||
|---|---|---|---|---|---|---|
| W0–1 | Winv1 | Winv2 | W0–1 | Winv1 | Winv2 | |
| 2002 | 0.339 *** | 0.089 *** | 0.293 *** | 0.403 *** | 0.111 *** | 0.333 *** |
| 2003 | 0.349 *** | 0.096 *** | 0.304 *** | 0.402 *** | 0.110 *** | 0.339 *** |
| 2004 | 0.313 *** | 0.087 *** | 0.267 *** | 0.391 *** | 0.106 *** | 0.329 *** |
| 2005 | 0.284 *** | 0.092 *** | 0.265 *** | 0.375 *** | 0.107 *** | 0.333 *** |
| 2006 | 0.336 *** | 0.106 *** | 0.283 *** | 0.412 *** | 0.111 *** | 0.331 *** |
| 2007 | 0.329 *** | 0.107 *** | 0.292 *** | 0.345 *** | 0.104 *** | 0.311 *** |
| 2008 | 0.307 *** | 0.105 *** | 0.270 *** | 0.361 *** | 0.112 *** | 0.332 *** |
| 2009 | 0.384 *** | 0.128 *** | 0.332 *** | 0.372 *** | 0.113 *** | 0.337 *** |
| 2010 | 0.388 *** | 0.118 *** | 0.327** | 0.394 *** | 0.120 *** | 0.354 *** |
| 2011 | 0.456 *** | 0.135 *** | 0.341 *** | 0.417 *** | 0.126 *** | 0.369 *** |
| 2012 | 0.426 *** | 0.123 *** | 0.303 *** | 0.424 *** | 0.130 *** | 0.377 *** |
| 2013 | 0.398 *** | 0.118 *** | 0.288 *** | 0.409 *** | 0.131 *** | 0.382 *** |
| 2014 | 0.392 *** | 0.106 *** | 0.272 *** | 0.400 *** | 0.127 *** | 0.377 *** |
| 2015 | 0.396 *** | 0.101 *** | 0.257 *** | 0.398 *** | 0.120 *** | 0.367 *** |
| 2016 | 0.312 *** | 0.088 *** | 0.254 *** | 0.393 *** | 0.117 *** | 0.361 *** |
| 2017 | 0.358 *** | 0.093 *** | 0.255 *** | 0.363 *** | 0.102 *** | 0.330 *** |
| 2018 | 0.294 *** | 0.101 *** | 0.251 *** | 0.345 *** | 0.093 *** | 0.301 *** |
| 2019 | 0.247 *** | 0.092 *** | 0.23 *** | 0.351 *** | 0.088 *** | 0.299 *** |
| 2020 | 0.344 *** | 0.119 *** | 0.279 *** | 0.372 *** | 0.094 *** | 0.313 *** |
| 2021 | 0.291 *** | 0.096 *** | 0.229 *** | 0.383 *** | 0.103 *** | 0.322 *** |
| W0–1 | Winv1 | Winv2 | |||||||
|---|---|---|---|---|---|---|---|---|---|
| SLM | SEM | SDM | SLM | SEM | SDM | SLM | SEM | SDM | |
| Main | |||||||||
| lnNQ | 0.093 *** | 0.062 ** | 0.090 *** | 0.144 *** | 0.122 *** | 0.125 *** | 0.117 *** | 0.0896 *** | 0.0987 *** |
| (0.0302) | (0.0312) | (0.0295) | (0.0283) | (0.0289) | (0.0266) | (0.0265) | (0.0248) | (0.0225) | |
| lnhuman | 0.407 *** | 0.252 ** | 0.275 *** | 0.409 *** | 0.376 *** | 0.293 *** | 0.396 *** | 0.300 *** | 0.256 ** |
| (0.0808) | (0.119) | (0.0874) | (0.0839) | (0.0982) | (0.101) | (0.0958) | (0.112) | (0.111) | |
| lngovernment | 0.0369 | −0.107 * | −0.0459 | −0.00406 | −0.0962 * | −0.0936 * | 0.0284 | −0.0913* | −0.0966 ** |
| (0.0397) | (0.0615) | (0.0456) | (0.0390) | (0.0513) | (0.0523) | (0.0376) | (0.0519) | (0.0487) | |
| lnmarket | 0.060 *** | 0.064 *** | 0.066 *** | 0.067 *** | 0.070 *** | 0.0679 *** | 0.0715 *** | 0.0759 *** | 0.0757 *** |
| (0.0110) | (0.0125) | (0.0123) | (0.0106) | (0.0115) | (0.00812) | (0.0115) | (0.0143) | (0.0105) | |
| lntechnology | 0.0146* | 0.0122 | 0.0152 ** | 0.0133 | 0.0129 | 0.0139 * | 0.0166 ** | 0.0152 * | 0.0158 ** |
| (0.0078) | (0.0088) | (0.0074) | (0.0083) | (0.0088) | (0.0080) | (0.0079) | (0.0083) | (0.0078) | |
| lnOdr | 0.00827 | 0.0693 * | 0.0471 | −0.00443 | 0.0745 | 0.0756 | 0.0194 | 0.126 *** | 0.125 *** |
| (0.0359) | (0.0407) | (0.0387) | (0.0374) | (0.0586) | (0.0476) | (0.0375) | (0.0463) | (0.0429) | |
| lninnovation | 0.105 | 0.0197 | 0.0584 | −0.00432 | −0.0263 | −0.0765 | −0.0101 | −0.0330 | −0.0754 |
| (0.169) | (0.125) | (0.150) | (0.158) | (0.155) | (0.141) | (0.158) | (0.148) | (0.142) | |
| Spatial-rho | 0.817 *** | 0.727 *** | 0.890 *** | 0.674 *** | 0.866 *** | 0.707 *** | |||
| (0.0373) | (0.0409) | (0.0333) | (0.0460) | (0.0339) | (0.0590) | ||||
| lambda (computing) | 0.953 *** | 0.970 *** | 0.970 *** | ||||||
| (0.0135) | (0.0104) | (0.00971) | |||||||
| Variance | 0.0034 *** | 0.0034 *** | 0.0032 *** | 0.0036 *** | 0.0036 *** | 0.0033 *** | 0.00349 *** | 0.00338 *** | 0.00326 *** |
| sigma2_e | (0.0004) | (0.0005) | (0.0004) | (0.0004) | (0.0004) | (0.0003) | (0.0004) | (0.0004) | (0.0003) |
| Wx | |||||||||
| lnNQ | 0.0985 *** | 0.246 ** | 0.0396 | ||||||
| (0.0378) | (0.124) | (0.0534) | |||||||
| lnhuman | 0.154 | 0.00803 | 0.147 | ||||||
| (0.131) | (0.147) | (0.171) | |||||||
| lngovernment | 0.260 *** | 0.154 | 0.167 * | ||||||
| (0.0742) | (0.119) | (0.0880) | |||||||
| lnmarket | 0.00649 | −0.0129 | −0.0268 | ||||||
| (0.0300) | (0.0595) | (0.0605) | |||||||
| lntechnology | 0.00651 | −0.0144 | −0.0285 | ||||||
| (0.0156) | (0.0275) | (0.0203) | |||||||
| lnOdr | −0.0785 | −0.114 | −0.104 * | ||||||
| (0.0590) | (0.0758) | (0.0592) | |||||||
| lninnovation | 0.0840 | 0.799 *** | 0.614 *** | ||||||
| (0.163) | (0.265) | (0.226) | |||||||
| N | 620 | 620 | 620 | 620 | 620 | 620 | 620 | 620 | 620 |
| R2 | 0.763 | 0.233 | 0.795 | 0.844 | 0.258 | 0.883 | 0.834 | 0.269 | 0.873 |
| SLM | SEM | |||
|---|---|---|---|---|
| Test | Wald Test | LR Test | Wald Test | LR Test |
| Statistical value | chi2(6) = 35.86 | chi2(7) = 91.32 | chi2(5) = 15.48 | chi2(7) = 149.84 |
| p value | 0.0000 | 0.0000 | 0.0085 | 0.0000 |
| W0–1 | Winv1 | Winv2 | |||||||
|---|---|---|---|---|---|---|---|---|---|
| Direct Effect | Indirect Effect | Total Effect | Direct Effect | Indirect Effect | Total Effect | Direct Effect | Indirect Effect | Total Effect | |
| lnNQ | 0.140 *** (0.0142) | 0.548 *** (0.0836) | 0.688 *** (0.0915) | 0.153 *** (0.0145) | 1.008 *** (0.275) | 1.160 *** (0.284) | 0.120 *** (0.0135) | 0.354 *** (0.0989) | 0.474 *** (0.106) |
| lnhuman | 0.380 *** (0.0850) | 1.204 *** (0.348) | 1.584 *** (0.387) | 0.308 *** (0.0837) | 0.673 (0.499) | 0.980 * (0.505) | 0.316 *** (0.0838) | 1.102 ** (0.437) | 1.418 *** (0.461) |
| lngovernment | 0.0260 (0.0264) | 0.764 *** (0.113) | 0.790 *** (0.125) | −0.084 *** (0.0251) | 0.271 (0.230) | 0.187 (0.236) | −0.076 *** (0.0253) | 0.321 ** (0.140) | 0.246 * (0.149) |
| lnmarket | 0.0818 *** (0.0140) | 0.180 *** (0.0635) | 0.262 *** (0.0722) | 0.0703 *** (0.0120) | 0.0905 (0.133) | 0.161 (0.136) | 0.0805 *** (0.0128) | 0.0818 (0.119) | 0.162 (0.125) |
| lntechnology | 0.0207 *** (0.00474) | 0.0604 ** (0.0274) | 0.0811 *** (0.0311) | 0.0136 *** (0.00379) | −0.0122 (0.0512) | 0.00143 (0.0530) | 0.0127 *** (0.00428) | −0.0538 (0.0364) | −0.0411 (0.0393) |
| lnOdr | 0.0328 (0.0303) | −0.154 * (0.0883) | −0.122 (0.0966) | 0.0704 ** (0.0283) | −0.198 (0.143) | −0.127 (0.146) | 0.122 *** (0.0304) | −0.0594 (0.106) | 0.0625 (0.113) |
| lninnovation | 0.0957 (0.0582) | 0.410 (0.279) | 0.505 (0.317) | −0.0175 (0.0507) | 2.208 *** (0.540) | 2.191 *** (0.551) | 0.0279 (0.0537) | 1.787 *** (0.380) | 1.814 *** (0.402) |
| The East | The Central | The Western | ||||
|---|---|---|---|---|---|---|
| Winv1 | Winv2 | Winv1 | Winv2 | Winv1 | Winv2 | |
| lnNQ | 0.112 *** (0.0279) | 0.0771 *** (0.0269) | 0.147 *** (0.0243) | 0.138 *** (0.0240) | 0.121 *** (0.0187) | 0.123 *** (0.0174) |
| direct effect | 0.125 *** (0.0313) | 0.108 *** (0.0302) | 0.155 *** (0.0271) | 0.152 *** (0.0272) | 0.165 *** (0.0272) | 0.175 *** (0.0241) |
| indirect effect | 0.196 (0.131) | 0.275 *** (0.0762) | 0.107 (0.102) | 0.117 (0.0714) | 0.681 *** (0.214) | 0.575 *** (0.129) |
| aggregate effect | 0.321 ** (0.147) | 0.382 *** (0.0925) | 0.262 ** (0.117) | 0.268 *** (0.0873) | 0.846 *** (0.235) | 0.750 *** (0.147) |
| W × lnNQ | 0.0858 (0.0816) | 0.158 *** (0.0482) | 0.0213 (0.0727) | 0.0269 (0.0509) | 0.184 ** (0.0773) | 0.111 ** (0.0442) |
| Spatial-rho | 0.375 *** (0.0842) | 0.384 *** (0.0640) | 0.361 *** (0.0861) | 0.389 *** (0.0692) | 0.637 *** (0.0669) | 0.687 *** (0.0478) |
| control variable | Yes | Yes | Yes | Yes | Yes | Yes |
| N | 200 | 200 | 180 | 180 | 240 | 240 |
| R2 | 0.880 | 0.873 | 0.977 | 0.972 | 0.898 | 0.856 |
| (1) | (2) | (3) | (4) | (5) | |
|---|---|---|---|---|---|
| 0.1 | 0.25 | 0.5 | 0.75 | 0.9 | |
| lnNQ | 0.161 *** (0.0557) | 0.151 *** (0.0365) | 0.142 *** (0.0279) | 0.132 *** (0.0382) | 0.125 ** (0.0516) |
| lnhuman | 1.645 *** (0.549) | 1.719 *** (0.360) | 1.793 *** (0.275) | 1.869 *** (0.377) | 1.921 *** (0.508) |
| lngovernment | 0.519 *** (0.130) | 0.479 *** (0.0852) | 0.439 *** (0.0651) | 0.398 *** (0.0893) | 0.371 *** (0.120) |
| lnmarket | 0.219 * (0.133) | 0.186 ** (0.0872) | 0.153 ** (0.0666) | 0.120 (0.0913) | 0.0967 (0.123) |
| lntechnology | 0.0204 (0.0192) | 0.0218 * (0.0126) | 0.0231 ** (0.00962) | 0.0246 * (0.0132) | 0.0255 (0.0178) |
| lnOdr | −0.0546 (0.0896) | 0.0564 (0.0590) | 0.167 *** (0.0454) | 0.280 *** (0.0611) | 0.358 *** (0.0815) |
| lninnovation | 1.096 ** (0.472) | 0.985 *** (0.309) | 0.874 *** (0.236) | 0.760 ** (0.324) | 0.683 (0.436) |
| lnNTU | lnNTU | lnNTU | lnNTU | lnNTU | lnNTU | |
|---|---|---|---|---|---|---|
| Main | ||||||
| lnNQ | 0.129 *** (0.0312) | 0.130 *** (0.0300) | 0.131 *** (0.0269) | 0.123 *** (0.0273) | 0.101 *** (0.0223) | 0.0987 *** (0.0225) |
| lnhuman | 0.181 (0.144) | 0.147 (0.134) | 0.123 (0.143) | 0.250 ** (0.100) | 0.256 ** (0.111) | |
| lngovernment | −0.0760 (0.0596) | −0.0696 (0.0561) | −0.0906 * (0.0518) | −0.0966 ** (0.0487) | ||
| lnmarket | 0.0829 *** (0.0166) | 0.0743 *** (0.0122) | 0.0757 *** (0.0105) | |||
| lntechnology | 0.0169 ** (0.00743) | 0.0158 ** (0.00782) | ||||
| lnOdr | 0.120 ** (0.0477) | 0.125 *** (0.0429) | ||||
| lninnovation | −0.0754 (0.142) | |||||
| W × lnNQ | 0.0122 (0.0495) | 0.0190 (0.0492) | 0.0600 (0.0517) | 0.0494 (0.0528) | 0.0606 (0.0547) | 0.0396 (0.0534) |
| Spatial-rho | 0.965 *** (0.0119) | 0.853 *** (0.0296) | 0.794 *** (0.0367) | 0.746 *** (0.0488) | 0.767 *** (0.0448) | 0.707 *** (0.0590) |
| R2 | 0. 20 | 0.797 | 0.821 | 0.847 | 0.847 | 0.873 |
Disclaimer/Publisher’s Note: The statements, opinions and data contained in all publications are solely those of the individual author(s) and contributor(s) and not of MDPI and/or the editor(s). MDPI and/or the editor(s) disclaim responsibility for any injury to people or property resulting from any ideas, methods, instructions or products referred to in the content. |
© 2024 by the authors. Licensee MDPI, Basel, Switzerland. This article is an open access article distributed under the terms and conditions of the Creative Commons Attribution (CC BY) license (https://creativecommons.org/licenses/by/4.0/).
Share and Cite
Li, F.; Xie, N.; He, Y. Logistics Industry Agglomeration Affects New-Type Urbanization—An Empirical Test Based on Spatial Panel Models. Sustainability 2024, 16, 10360. https://doi.org/10.3390/su162310360
Li F, Xie N, He Y. Logistics Industry Agglomeration Affects New-Type Urbanization—An Empirical Test Based on Spatial Panel Models. Sustainability. 2024; 16(23):10360. https://doi.org/10.3390/su162310360
Chicago/Turabian StyleLi, Fanghu, Naiming Xie, and Yinnan He. 2024. "Logistics Industry Agglomeration Affects New-Type Urbanization—An Empirical Test Based on Spatial Panel Models" Sustainability 16, no. 23: 10360. https://doi.org/10.3390/su162310360
APA StyleLi, F., Xie, N., & He, Y. (2024). Logistics Industry Agglomeration Affects New-Type Urbanization—An Empirical Test Based on Spatial Panel Models. Sustainability, 16(23), 10360. https://doi.org/10.3390/su162310360
