Next Article in Journal
The Path to Sustainable Stability: Can ESG Investing Mitigate the Spillover Effects of Risk in China’s Financial Markets?
Previous Article in Journal
Assessing Compound Coastal–Fluvial Flood Impacts and Resilience Under Extreme Scenarios in Demak, Indonesia
 
 
Font Type:
Arial Georgia Verdana
Font Size:
Aa Aa Aa
Line Spacing:
Column Width:
Background:
Article

Maximum Power Point Tracking Based on Finite Voltage-Set MPC for Grid-Connected Photovoltaic Systems Under Environmental Variations

1
Electrical Engineering Department, College of Engineering, King Faisal University, Al Ahsa 31982, Saudi Arabia
2
Electrical Engineering Department, Faculty of Engineering, Fayoum University, Fayoum 63514, Egypt
3
School of Engineering, Coventry University, Coventry CV1 2JH, UK
*
Author to whom correspondence should be addressed.
Sustainability 2024, 16(23), 10317; https://doi.org/10.3390/su162310317
Submission received: 2 November 2024 / Revised: 15 November 2024 / Accepted: 22 November 2024 / Published: 25 November 2024

Abstract

This paper proposes a model predictive control (MPC)-based approach for optimizing the performance of a photovoltaic (PV) system. The proposed method employs finite voltage-set maximum power point tracking (FVS-MPPT), ensuring precise duty cycle adjustment for a boost converter in the PV system considering the environmental changes in irradiation and temperature. Additionally, MPC is implemented for the grid-side converter to determine the optimal switching vector, ensuring precise control of active power via reference d-axis current and the elimination of reactive power by setting the reference q-axis current to zero. This approach optimizes the converter’s performance, maintaining a stable DC-link voltage while ensuring efficient grid integration. To ensure proper synchronization with the grid, a phase-locked loop (PLL) is utilized to provide the necessary grid voltage angle for dq frame transformation. Simulation results highlight the efficiency of the proposed MPC strategy, with the PV-side converter showing a robust response by dynamically adjusting the duty cycle to maintain optimal performance under varying irradiation and temperature conditions. Furthermore, the grid-side converter ensures precise control of active power and eliminates reactive power, enhancing the overall system’s stability and efficiency during grid interactions. A functional comparison of simulation results between the conventional P&O algorithm and the FVS-MPPT approach is presented, demonstrating the enhanced performance of the proposed technique over the conventional method including the total harmonic distortion for both techniques.

1. Introduction

The increasing global demand for sustainable and clean energy solutions has significantly accelerated the development of renewable energy technology. Photovoltaic (PV) systems have emerged as a prominent solution due to their ability to convert solar energy into electrical power efficiently. As the technology matures, optimizing PV system performance becomes crucial to maximize energy yield and economic viability. This optimization is particularly important in regions with varying solar irradiance and temperature conditions, which affect the efficiency of PV systems [1].
The urgency for such advancements is further underscored by pressing environmental issues, including climate change, air pollution, and the exhaustion of fossil fuel resources. Transitioning to renewable energy sources, like solar power, is an essential approach to reducing these environmental impacts. By improving the performance of PV systems, we can enhance their contribution to cutting greenhouse gas emissions and moving toward a future with more sustainable energy [2].
PV systems are frequently included in grid integrations. They offer an energy profile that is clear, quiet, and effective. Single-stage and two-stage topologies are the two primary categories into which grid-connected PV systems can be divided [2,3]. The inverter control includes both active and reactive power control in the single-stage maximum power point tracking (MPPT) operation. Nevertheless, in the two-stage design, the MPPT is implemented independently in the DC–DC converter stage and is isolated from the inverter control [4]. The two-stage design allows for variable arrangement of PV modules [5]. The DC–DC converter ensures optimal PV voltage for grid integration while isolating the MPPT function from the inverter’s control mechanism [3,4]. Moreover, the boost converter decreases the dependency on a low-frequency transformer at the inverter output. This simplifies the overall control system and reduces costs [6].
To fully capitalize on the potential of PV systems, it is essential to ensure that they operate at their maximum power point (MPP) regardless of fluctuating environmental changes. Maximum power point tracking (MPPT) techniques are designed to adjust the operating conditions of the PV system to continuously match the MPP [7]. As a result, a large number of MPPT approaches have been created and published in the literature [8,9]. These techniques differ in terms of how they are implemented, how much they cost, how effective they are, how many sensors are needed, how quickly they track, and other factors [5]. However, the perturb and observe (P&O), hill climbing, incremental conductance (INC), constant voltage, fractional open-circuit voltage, and fractional short-circuit current methodologies are the most often used MPPT methods [10,11]. Nevertheless, these techniques have drawbacks with regard to speed, precision, and adaptability, particularly in conditions that change rapidly [12].
Recent advancements in MPPT techniques for photovoltaic (PV) systems have been driven by the continuous evolution of control technologies and algorithms. Modern approaches, including fuzzy logic controllers, neural networks, and model predictive control (MPC), have emerged as powerful tools for enhancing the efficiency and accuracy of MPPT systems [13]. Additionally, optimization algorithms like particle swarm optimization (PSO), genetic algorithms (GAs), and simulated annealing (SA) have been applied to handle conditions such as partial shading, where the power–voltage (P-V) curve may have multiple maxima [14]. These methods help in efficiently locating the global maximum power point under diverse environmental conditions.
For the grid-side converter control, various advanced algorithms have been explored to manage both active and reactive power effectively. One widely adopted approach is the voltage-oriented control (VOC), which employs a two-loop control structure to derive the reference voltages needed for optimal operation [15]. The outer voltage loop determines the direct axis current reference ( i d ) based on the desired grid voltage profile. This reference current is then used by the inner current loop to compute the necessary reference voltage for the modulator. Typically, proportional–integral (PI) controllers are used in both loops to regulate voltage and current accurately [16]. An alternative approach is direct power control (DPC), which controls the active and reactive power directly by comparing the actual power values with their references. The power error signals are processed through a hysteresis controller to generate the switching commands. While DPC is effective for fast dynamic response, it suffers from variable switching frequency and is often associated with high ripple in the steady-state operation [17]. Another notable method is the proportional–resonant (PR) controller, which addresses some limitations of traditional PI controllers [18]. In the PR controller, a second-order resonant system is employed to generate the reference voltage for the current loop. This approach is particularly advantageous in the α β reference frame, where PI controllers tend to perform suboptimally. The PR controller enhances performance by reducing harmonic distortions and improving the overall accuracy of current regulation in this frame [16].
Predictive control has drawn a lot of interest lately and is seen as a very promising method for a range of power electronics applications [19,20]. There are three primary sorts of control strategies that can be identified: model predictive control with a continuous control set, deadbeat control, and finite control set (FCS-MPC) [21,22]. To generate the proper switching states, an extra modulator is needed at the output stage for both the continuous control set and deadbeat control techniques. FCS-MPC, on the other hand, provides a more simplified method by immediately choosing the best switching state from a limited range of options according to the controlled converter [23,24]. This method involves deriving the system model and developing the discrete-time model of the converter. The anticipated control variables are then compared to reference values, along with other limitations [25]. The power switches are then configured with the optimal switching action that meets these requirements. FCS-MPC simplifies the method by eliminating the need for sophisticated modulation stages, which immediately creates the optimal switching state and boosts control efficiency [26].
This research makes significant strides in enhancing photovoltaic (PV) system performance and grid integration through advanced control strategies. The proposed model predictive control (MPC) method for maximum power point tracking (MPPT) introduces a voltage finite set MPC, which dynamically adjusts the duty cycle of the PV boost converter to maximize energy yield under fluctuating environmental conditions. This novel approach ensures superior efficiency and robustness in energy harvesting. Furthermore, the development of an MPC framework for grid-side converters represents a major advancement in optimizing power quality and system stability. By employing finite control set MPC, the research achieves precise control of active and reactive power, thereby significantly enhancing grid interaction and overall system reliability and maintaining a stable DC-link. Additionally, the integration of a phase-locked loop (PLL) provides essential synchronization with the grid, facilitating accurate alignment and effective system operation. A comparison between the simulation results of the proposed FVS-MPPT and the conventional P&O are presented to highlight its superior performance in maximum power point tracking and grid power control compared to the conventional P&O approach. Collectively, these innovations not only advance PV system technology but also contribute to more stable and efficient grid integration, supporting the broader goals of sustainable energy development.
The remainder of this paper is arranged as follows: Section 2 lists the model of the system including the mathematical modelling of PV system, the modelling of the boost converter, and the dual-level three-phase inverter connected to the grid. Section 3 presents the conventional P&O algorithm of the PV system. In Section 4, the proposed FVS-MPPT of the PV system and the MPC for the grid side are discussed. In Section 5, the simulation results using MATLAB/Simulink (R2023b) are shown and discussed with a performance comparison of the suggested FVS-MPPT strategy for PV system with the traditional P&O approach. This paper’s conclusion is presented in Section 6.

2. System Model

2.1. PV Modelling

Since PV cells have a low output voltage, they are usually distributed in modules, or panels, made up of series cells. To give the system enough power, the modules can be coupled in both series and parallel (array) configurations. In this instance, the PV module’s activity is described by the single-diode model as follows [1,21]:
i p v = i p h i o e q   ( v p v + i p v R s ) A n   N s   K   T C 1 v p v + i p v R s R s h
where i p h is the photovoltaic current, A n is the factor of ideality, R s h is the module shunt resistance, R s is the module series resistance, i o is the saturation current of diode, k is Boltzmann constant, q is the charge, T c is the cell temperature, v p v is the cell terminal voltage, and N s is the number of series cells.
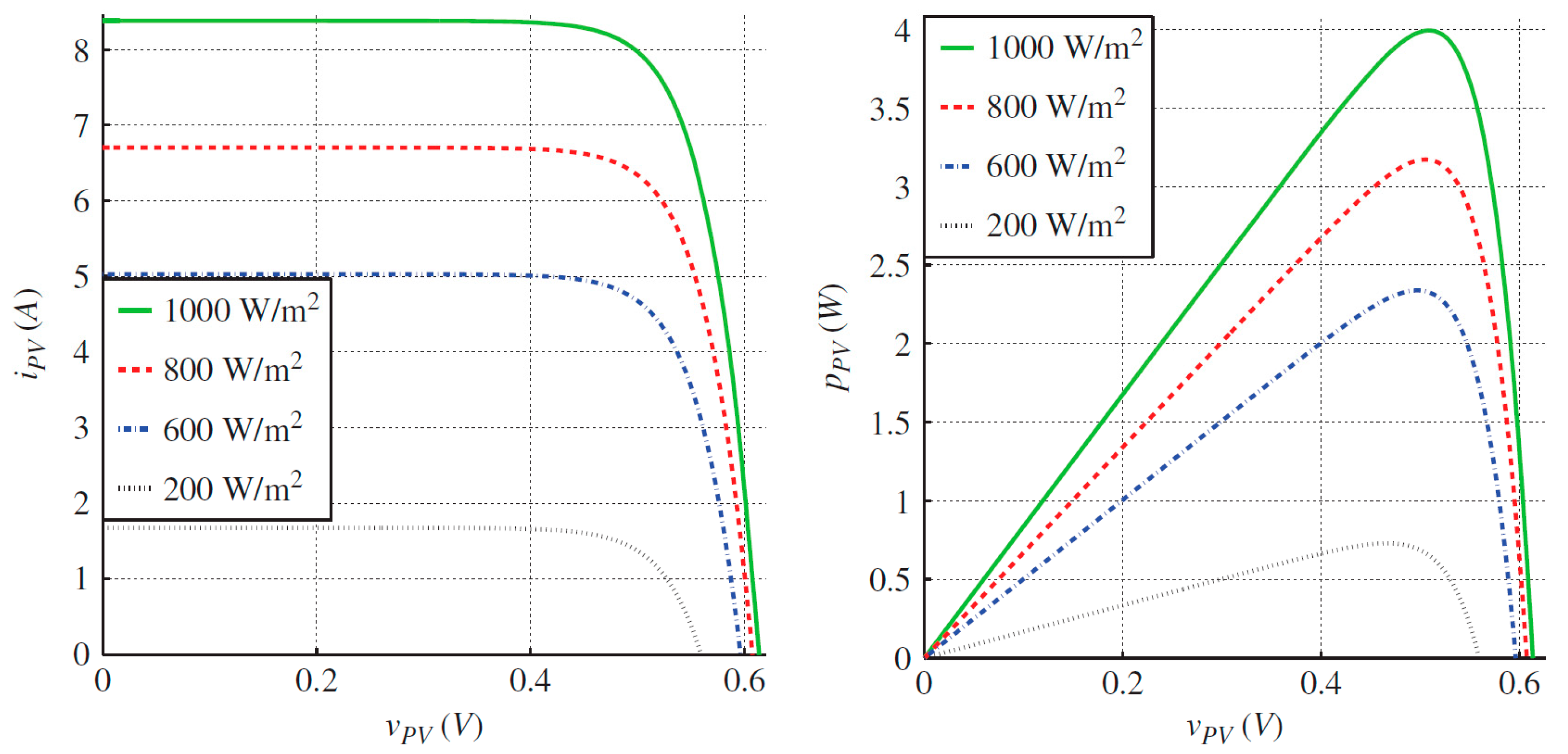
The single-diode model of a PV cell is illustrated in Figure 1. According to [1], Figure 2 displays the I-V and P-V characteristics of the IM156B3 [1] module that was selected for modeling under various radiation and temperature circumstances in the atmosphere.

Variation with Irradiance and Temperature

The I–V characteristics of the simulation models should adapt to changes in solar irradiation and cell temperature. Higher irradiance increases the photocurrent I p h , thereby enhancing the module’s output power. An increase in temperature decreases the open-circuit voltage v o c and slightly increases the short-circuit current i s c , leading to reduced overall power output [1]. The photovoltaic current can be corrected to include the variations in irradiance and temperature as follows [1]:
i p h ( E a , T ) = E a E S T C I S C S ( 1 + α T T )
where E S T C and I S C S are the the solar irradiance and PV short-circuit current at STC, respectively; E a is the solar irradiation; α T is the PV temperature correction coefficient on current; and T is the difference between the solar temperature and the STC temperature (25 °C).
A mathematical function can be developed to estimate the correction factors based on varying radiation levels. A polynomial expression may be applied to adjust the voltage due to variations in irradiance levels [1]:
v T E a = C E 1 E a 2 + C E 2 E a + C E 3
where C E 1 3 are the factor of the polynomial for the irradiance coefficient on PV voltage.
The open-circuit voltage can be corrected using Equation (3) as follows [1]:
v o c ( E a , T ) = V O C S ( 1 + β T T ) v T
where V O C S and β T are the open-circuit voltage at STC and temperature correction coefficient on voltage, respectively.
The diode saturation current is corrected as follows [1]:
i s ( E a , T ) = i p h ( E a , T ) e [ q   v o c ( E a , T ) A n   K   T C ] 1
The PV current equation with variations in cell temperature and irradiance can be expressed as follows:
i p v = i p h E a , T i s ( E a , T ) e q   ( v p v + i p v R s ) A n   N s   K   T C 1 v p v + i p v R s R s h

2.2. Boost Converter Model

Boost converters are frequently used on the PV side of photovoltaic (PV) systems to increase the output voltage of the PV panels to a level that is appropriate for the grid or load requirements. The four main parts of a boost converter are represented mathematically in the modeling process: an inductor, a switch (usually a MOSFET), a diode, and a capacitor [21]. The energy from the PV array is stored in the inductor during the switch “on” state and released when the switch is “off,” which raises the output voltage [1].
Differential equations are utilized to characterize the behavior of the inductor current and capacitor voltage in order to precisely model the boost converter [2]. In continuous conduction mode (CCM), where the inductor current never falls to zero, the state-space equations are derived for both the switch “on” and “off” states [27]. The duty cycle of the switching signal, which is continuously adjusted based on the PV array’s input voltage and the desired output voltage, is directly linked to the converter’s output voltage [16]. The power switch turning on and off defines the two operating modes of the boost converter. The converter can be described as operating in two modes, as depicted in Figure 3.
According to [1,27], the modelling equations of the boost converter can be written as follows:
When the switch is closed (ON), the inductor stores energy, and the voltage and current across the inductor are
v l = v p v
d i l d t = v p v L b
When the switch is OFF, the inductor discharges energy to the load, and the voltage and current across the inductor become
v l = v p v V d c
d i l d t = v p v V d c L b
The capacitor voltage helps smooth the output voltage and can be described as
d v d c d t = i l i p v C d c
The boost converter’s input and output voltage relationships are as follows:
v d c = v p v 1 d
where L b ,   C d c ,   i l ,   v d c ,   d are the inductance, capacitance, inductance current, capacitance voltage, and the boost converter’s duty cycle.

2.3. Model of the Inverter Connected to the Grid

The inversion stage is crucial in grid-connected photovoltaic (PV) systems, as it converts the DC power generated by the PV modules into AC power compatible with the grid. This process is typically achieved by the employment of a voltage source inverter (VSI) with appropriate control mechanisms to ensure efficient power conversion, synchronization, and compliance with grid standards [28].
A three-phase voltage source inverter (VSI) is commonly employed in grid-connected systems. The inverter consists of six switching devices (e.g., IGBTs or MOSFETs) arranged in a bridge configuration, along with DC-link capacitors [7]. The inverter converts the DC voltage from the PV system into AC voltage by controlling the semiconductor devices’ switching patterns. The switching process is often governed by pulse-width modulation (PWM) or space vector modulation (SVM) that changes the output waveform to match the desired AC voltage and frequency [29]. Figure 4 shows the two-level inverter coupled with the grid and voltage vectors.
The voltage equation in a b c frame can be written as follows [15]:
v a b c = E a b c + L f d i a b c d t + R f i a b c
where v a b c , E a b c , i a b c , R f , and L f are the inverter voltage, grid voltage, line currents, filter resistance, and inductance, respectively.
The a b c frame equation can be converted into stationary α β frame using the Clarke transformation as follows [21]:
v α β = E α β + L f d i α β d t + R f i α β
Additionally, the equation can be rewritten in the d q frame as below [21]:
v d = E d + L f d i d d t + R f i d ω L f i q
v q = E q + L f d i q d t + R f i q + ω L f i d
where ω is the grid frequency.
The active and reactive power can be calculated as follows [2]:
P = 3 2 ( E d i d + E q i q )
Q = 3 2 ( E q i d E d i q )

3. Conventional P&O Algorithm for PV System

The perturb and observe (P&O) approach is one of the most widely used maximum power point tracking (MPPT) tactics for photovoltaic (PV) systems. It works by periodically adjusting the PV system’s operating point and tracking any changes in power output. This approach is well-liked in many PV applications because of its simplicity and ease of implementation [30]. The P&O approach block diagram is depicted in Figure 5.
The basic idea behind the P&O approach is to modify the operating voltage or current of the PV system due to variations in power output [30]. The algorithm functions as follows:
  • Perturbation: The algorithm modifies the PV system’s operating point by either raising or lowering the voltage or current.
  • Observation: It tracks how the disturbance affects the power output. The change proceeds in the same direction if the power increases. The direction of change reverses if the power decreases.
  • Iteration: The maximum power point (MPP) is continuously tracked by repeating this operation at regular intervals.
The main advantages of the P&O method are its simplicity, low cost, and broad applicability.

4. Proposed MPC-Based PV System

4.1. Proposed FVS-MPPT Algorithm

Traditional MPPT techniques combined with MPC often utilize P&O or INC methods, but these can encounter drift issues during changing weather conditions [31]. The P&O method bases its control actions on changes in power and voltage, which works well under steady-state conditions. However, when a sudden change in irradiance occurs, the method can deviate from the maximum power point. This happens because the P&O algorithm’s perturbation gets confused by the simultaneous impact of the irradiance variation [31]. This encouraged the researchers to develop MPC techniques for MPPT that take into consideration the environmental changes.
In this study, a boost converter is utilized to regulate the PV voltage to the required DC level, with the modeling equations provided in Section 2.2. The proposed FVS-MPPT method accounts for variations in irradiance and temperature, improving the precision of maximum power point tracking under fluctuating environmental changes. The proposed FVS-MPPT concept is built upon the principles of FCS-MPC. In this approach, a defined set of PV terminal voltages is specified, similar to the eight switching vectors in FCS-MPC. Using these predefined voltages, the PV current for the next sampling period is predicted, based on the discretized model equations that account for changes in irradiance and temperature. The PV power is then calculated for each set of PV voltages and the predicted current. The combination of PV voltage and its corresponding predicted current that results in the maximum power is used to determine the reference duty cycle for the PV-side boost converter. The key advantages of the proposed FVS-MPPT are its simplicity, precise tracking of the maximum power point, and the incorporation of environmental variations into the tracking process.
The equations of the proposed FVS-MPPT are shown below. Firstly, the algorithm determines the values of the photovoltaic current and diode saturation current, accounting for variations in solar irradiance and temperature, as outlined below:
i p h ( k + 1 ) = E a k E S T C I S C S [ 1 + α T T k ]
where i p h ( k + 1 ) is the photovoltaic current in the next sampling calculated based on changes in the solar irradiation E a k and T ( k ) is the difference between the solar temperature and the temperature at STC.
v T k + 1 = C E 1 [ E a ( k ) ] 2 + C E 2 E a ( k ) + C E 3
v o c ( k + 1 ) = [ V O C S ( k + 1 ) ] × [ 1 + β T T ( k ) ] × v T ( k + 1 )
i s ( k + 1 ) = i p h ( k + 1 ) e [ q   v o c ( k + 1 ) A n   K   T C ] 1
where v T k + 1 is the predicted voltage correction coefficient due to radiation change, v o c ( k + 1 ) is the predicted open-circuit voltage due to variations in irradiation and temperature, and i s ( k + 1 ) is the diode saturation current in the next sample.
Secondly, a certain number of PV terminal voltages are specified in a manner similar to the switching vectors in FCS-MPC, with a predicted current calculated for each specified voltage as follows:
i p v ( k + 1 ) = i p h k + 1 i s ( k + 1 ) e q   v p v ( k ) A n   N s   K   T C ( k ) 1 v p v ( k ) R s h
where i p v ( k + 1 ) is the predicted PV current for each certain number of PV terminal voltags and considering the updated diode saturation current and photovoltaic current due to changes in enviornmental conditions.
Thirdly, the predicted power is calculated for each certain number of the predefined PV terminal voltages and the predicted currents as below:
p p v k + 1 = v p v k × i p v ( k + 1 )
After the algorithm determines V M P P ( k + 1 ) , which leads to maximum power, the duty cycle is calculated for the boost PV-side converter using the reference output voltage of the PV-side converter, which is V d c of the grid-side inverter.
d k + 1 = 1 N s × V M P P ( k + 1 ) V d c   r e f
where d k + 1 is the duty cycle to be applied for the boost PV side converter, V M P P ( k + 1 ) is the cell PV voltage that leads to maximum power point, and V d c   r e f is the reference output voltage of the PV-side converter, which is V d c of the grid-side inverter.
The proposed FVS-MPPT algorithm can be presented as follows (Algorithm 1):
Algorithm 1. Algorithm of the proposed FSS-MRAS
Step 1Read E a , T c , v c , i a , i b , i c
Initiate P m a x = 0
Step 2Calculate i p h ( k + 1 ) , v T k + 1 , v o c ( k + 1 ) , i s k + 1 using Equations (19)–(22).
Step 3Define certain number of PV cell terminal voltages.
For v p v   F V S = 0 : 0.1 : v p v   n o m      ( v p v   n o m is the rated PV cell voltage)
Calculate the predicted i p v ( k + 1 ) current for each v p v   F V S from Equation (23).
 Calculate the predicted power p p v ( k + 1 ) for each v p v   F V S and its respective predicted current from Equation (24)
If p p v k + 1 > P m a x
P m a x = p p v k + 1
V M P P = v p v   F V S
End
End
Step 4Calculate the duty cycle from V M P P using Equation (25)
d k + 1 = 1 N s × V M P P ( k + 1 ) V d c   r e f

4.2. MPC Algorithm for the Grid Side Converter

In grid-connected photovoltaic (PV) systems, the inverter transforms the direct current (DC) from the PV array into alternating current (AC) for grid integration [15]. The quality of this power conversion, as well as its synchronization with grid voltage and frequency, are critical to ensuring system stability and power quality. Model predictive control (MPC) is commonly used for optimal control because it can manage various restrictions, dynamic situations, and fast switching requirements [29]. The modelling equations of the inverter coupled with the grid are explained in Section 2.3.
In the context of a grid-connected PV system, the inverter’s primary objective is to regulate the flow of active and reactive power while maintaining synchronization with the grid and a stable DC-link. The control of the inverter can be formulated based on a discrete-time model that predicts the system’s behavior [16].
Total harmonic distortion (THD) must be kept to a minimum while power is supplied to the grid by the inverter. Both the active power P and reactive power Q injected into the grid must be controlled by the inverter to ensure that both quantities meet grid standards [29].
The grid and inverter voltage equations, which are easily controllable when represented in the d q -axis frame, are usually included in the model. The decoupling of active and reactive power into the d -axis (for active power) and the q -axis (for reactive power) via the transformation to the d q -axis simplifies the control of active and reactive power. A phase-locked loop (PLL), which makes sure the inverter stays synchronized with the frequency and phase of the grid, facilitates this transformation [16].
The concept behind the model predictive control (MPC) approach is that the inverter can only have a certain number of switching states (seven for a two-level inverter). To forecast the behavior of the current for each switching state, the model of the inverter, including the passive filter, is used. A cost function is established within the algorithm to evaluate these switching states for the next sample time. This function is formulated to assess each possible switching state, allowing for the future inverter current to be predicted continuously at each future time interval [23].
The continuous model shall be discretized to implement the MPC to obtain the predicted states. The future instant of the inverter currents can be given in the α β frame as follows:
d i α d t = R f L f i α + 1 L f ( v α E α )
d i β d t = R f L f i β + 1 L f ( v β E β )
where v α , v β , i α , and i β are the inverter voltages and currents in the α β frame, respectively, and E α and E β are the grid voltages in the α β frame.
The currents in Equations (26) and (27) are transformed to d q -frame using the angle calculated by the phase-locked loop method to achieve synchronization with the grid. The d q -frame currents can be given as below:
d i d d t = R f L f i d + 1 L f v d E d + ω   i q
d i q d t = R f L f i q + 1 L f v q E q ω   i d
Equations (28) and (29) can be discretized as follows:
i d k + 1 = 1 R f T s L f i d k + T s   ω   i q k + T s L f [ v d k E d k ]
i q k + 1 = 1 R f T s L f i q k T s   ω   i d k + T s L f [ v q k E q k ]
where ω is the grid frequency and T s is the sampling period.
The active power and reactive power for the grid are predicted for each one of the seven space vectors as below:
P k + 1 = 3 2 [ E d k x i d ( k + 1 ) + E q k x i q ( k + 1 ) ]
Q k + 1 = 3 2 [ E q k x i d k + 1 E d k x i q ( k + 1 ) ]
To achieve the desired active and reactive power control, the MPC algorithm is designed based on a cost function that decreases the error between the predicted grid current and the reference current values. In this work, i q   r e f is set to zero to ensure zero reactive power exchange, while i d   r e f is derived from a PI controller. The PI controller regulates i d   r e f by minimizing the error between the reference DC-link voltage V d c   r e f and the measured DC-link voltage V d c .
The cost function used in the MPC framework is defined as
g = [ i d   r e f k + 1 i d k + 1 ] 2 + [ i q   r e f ( k + 1 ) i q ( k + 1 ) ] 2
Since i q   r e f = 0 , the control focuses on minimizing the deviation of the d-axis current, which directly governs the active power. The cost function evaluates each possible switching state of the inverter by calculating the resulting grid currents and selecting the one that minimizes the cost. This approach ensures precise active power control and stable DC-link voltage regulation while eliminating the exchange of the reactive power with the grid.
Figure 6 shows the overall block diagram for the proposed algorithm, including the PV system, boost PV-side converter, proposed FVS-MPPT technique, and the inverter coupled with the grid.

5. Simulation Results

The proposed photovoltaic (PV) system is meticulously designed to optimize energy harvesting and ensure stable integration with the power grid. Twelve series-connected arrays and five parallel-connected arrays (12 series X 5 parallel) are included in this system. These arrays are arranged in a way that was purposefully chosen to provide the required voltage and current outputs while maintaining consistent system performance. After the PV arrays, a boost converter is used to increase the voltage to the necessary level for the inverter and grid to function properly. The FVS-MPPT method is the heart of the system’s energy optimization. This novel method is engineered to optimize power extraction by dynamic adaptation to environmental changes, such as temperature and irradiance variations.
The boosted DC power is subsequently converted to AC by an inverter, which is crucial for coupling with the electrical grid. To ensure precise synchronization and stable operation, the system utilizes a phase-locked loop (PLL). The PLL provides the necessary angle for d q transformation, a critical step for accurate and stable control of the inverter. This synchronization process helps maintain grid compatibility and performance. Additionally, model predictive control (MPC) is implemented to manage both active and reactive power at the grid interface maintaining a stable DC-link. The MPC algorithm enhances grid performance by predicting future system behavior and optimizing control actions to adapt to varying conditions and requirements.
The simulation results presented in this section offer a comprehensive evaluation of the proposed system’s performance. They highlight the effectiveness of the FVS-MPPT algorithm adjusting the PWM duty cycle to extract maximum power under different environmental conditions, and the robustness of the MPC in managing grid integration. By providing detailed insights into the system’s operation and performance, these results illustrate the viability and advantages of the proposed configuration and control strategies in achieving efficient and reliable PV energy conversion and grid connection. The parameters of the proposed configuration are shown in Table 1 (PV system coupled with grid parameters) [1].
The goal of the first phase of the simulation results was to evaluate the MPPT algorithm’s robustness by exposing the system to variations in temperature and irradiance. In order to make sure that the algorithm can adapt well and retain high performance in a variety of circumstances, it was crucial to validate the capability of the system to maintain optimal power extraction despite changes in the surrounding environment.
Following the evaluation of the MPPT algorithm, the simulation proceeded to assess the model predictive control (MPC) applied to the grid-side converter. MPC was tested under various conditions to evaluate its performance in controlling active power through i d   r e f and maintaining zero reactive power by setting i q   r e f to zero. This phase involved monitoring the system’s ability to maintain grid stability and efficiency under different power demands, with a focus on effective active power management and stable DC-link voltage regulation.
Furthermore, a detailed analysis was conducted on the inverter’s synchronization with the grid. The outcomes of the simulation showed how well the MPC works to ensure precise synchronization, which is essential for preserving dependable and steady grid integration. As part of the analysis, the system’s responsiveness to various grid conditions and its ability to maintain system performance overall while following to the established reference values were assessed.
Finally, a comparative analysis of the simulation results between the conventional P&O algorithm and the FVS-MPPT approach was conducted to prove the superior performance of the proposed technique compared with the traditional method.

5.1. Simulation Results for PV System at STC

The simulation results under STC at 25 °C and 1000 W / m ² irradiance, as illustrated in Figure 7, demonstrate the strength of the proposed FVS-MPPT algorithm in tracking the maximum power point (MPP). The PV power ( p p v ), voltage ( v p v ), and current ( i p v ) are closely monitored, and the results indicate that the FVS-MPPT consistently adjusts the duty cycle to ensure that the system operates at the MPP. This precise tracking minimizes oscillations and ensures that the maximum available power is harvested from the photovoltaic system under standard conditions. These results highlight the efficiency and reliability of the proposed method, making it an effective solution for dynamic PV system operations.

5.2. Simulation Results for PV System Under Irradiation Changes

The simulation results presented in Figure 8 illustrate the effectiveness and robustness of the proposed FVS-MPPT algorithm when subjected to stepwise changes in irradiance at constant temperature at 25 °C. The irradiance is varied incrementally, starting at 400 W / m ² at the beginning of the simulation, increasing to 600 W / m ² at 0.1 s, 800 W / m ² at 0.2 s, and finally reaching 1000 W / m ² at 0.3 s. As the irradiance increases, the FVS-MPPT algorithm demonstrates rapid and precise adjustments in the duty cycle of the DC–DC converter to continuously track the maximum power point (MPP).
The power output from the PV arrays increases correspondingly with the rising irradiance, confirming that the algorithm consistently operates at the MPP, even under rapidly changing environmental conditions. Throughout the simulation, the PV voltage remains stable, signifying that the controller effectively maintains voltage regulation while optimizing power extraction. Additionally, the PV current increases smoothly with each step-in irradiance, reflecting the dynamic response of the system as it adapts to the varying input.
The results emphasize the FVS-MPPT’s capability to respond quickly and effectively to irradiance changes with minimal power fluctuations or oscillations. This performance ensures high tracking efficiency, reliability, and steady-state operation, making the algorithm highly suitable for real-time photovoltaic power generation systems, where environmental conditions can vary rapidly. The overall efficiency and quick adaptation of the system to changes in irradiance validate the robustness of the proposed control approach in maximizing energy harvest under diverse operating conditions.

5.3. Simulation Results for PV System at Temperature Changes

The results depicted in Figure 9 provide a detailed demonstration of the adaptability and robustness of the proposed FVS-MPPT algorithm under varying temperature conditions with constant irradiance 1000 W / m ² . In this simulation, the temperature is increased in a stepwise manner, starting from 15 °C and gradually rising to 40 °C over time. This setup simulates realistic environmental temperature variations that a photovoltaic (PV) system may encounter during daily operation. As the temperature increases, the algorithm continuously adjusts the duty cycle of the DC–DC boost converter to ensure that the system operates at the maximum power point (MPP) with high precision and efficiency.
Even though higher temperatures typically cause a reduction in the PV voltage, the FVS-MPPT method effectively maintains the PV power output p p v at a stable level of approximately 12,000 W throughout the simulation. This consistent power output demonstrates the controller’s ability to optimize energy extraction despite the negative impact of rising temperatures on PV voltage. The results highlight the capability of the FVS-MPPT to achieve maximum power harvesting even in the presence of thermal fluctuations, ensuring high system efficiency.
In addition to maintaining stable power output, the PV voltage v p v and PV current i p v exhibit smooth transitions as the temperature changes. There are very low oscillations in both voltage and current, which indicates that the algorithm provides not only effective power tracking but also stability across the entire system. The smooth response and lack of oscillations reflect the controller’s capability to mitigate the effects of temperature variations, ensuring reliable and stable operation.

5.4. Simulation Results for MPC Algorithm on the Grid Side

The simulation results presented in Figure 10 show the efficiency of the proposed model predictive control (MPC) algorithm for the grid-side converter. The algorithm demonstrates exceptional performance in tracking both i d   r e f and i q   r e f current references, with precise alignment to the desired set points. The irradiance is adjusted incrementally, beginning at 400 W/m² at the start of the simulation, increasing to 600 W/m² at 0.1 s, 800 W/m² at 0.2 s, and ultimately reaching 1000 W/m² at 0.3 s. it is very obvious that as the irradiation levels increased, the active power output from the system correspondingly increased. This is consistent with the expected behavior of photovoltaic systems, where higher irradiation leads to greater energy capture and conversion efficiency. The ability of the MPC to adapt to these changes further emphasizes its effectiveness in optimizing power delivery to the grid. Throughout the testing period, the voltage across the DC-link V d c was monitored and found to closely follow the specified V d c   r e f reference, indicating effective voltage regulation.
The current i d was observed to align with the reference value i d   r e f , ensuring that the active power delivered to the grid is directly adjusted in response to changes in i d . Meanwhile, the current i q was maintained at zero, resulting in zero reactive power production, which is essential for enhancing grid stability.
The three-phase grid currents i a b c remain perfectly balanced and sinusoidal throughout the simulation, confirming the stability of the grid integration under varying active and reactive power conditions.

5.5. Functional Comparison Between Proposed FVS-MPPT and Conventional P&O

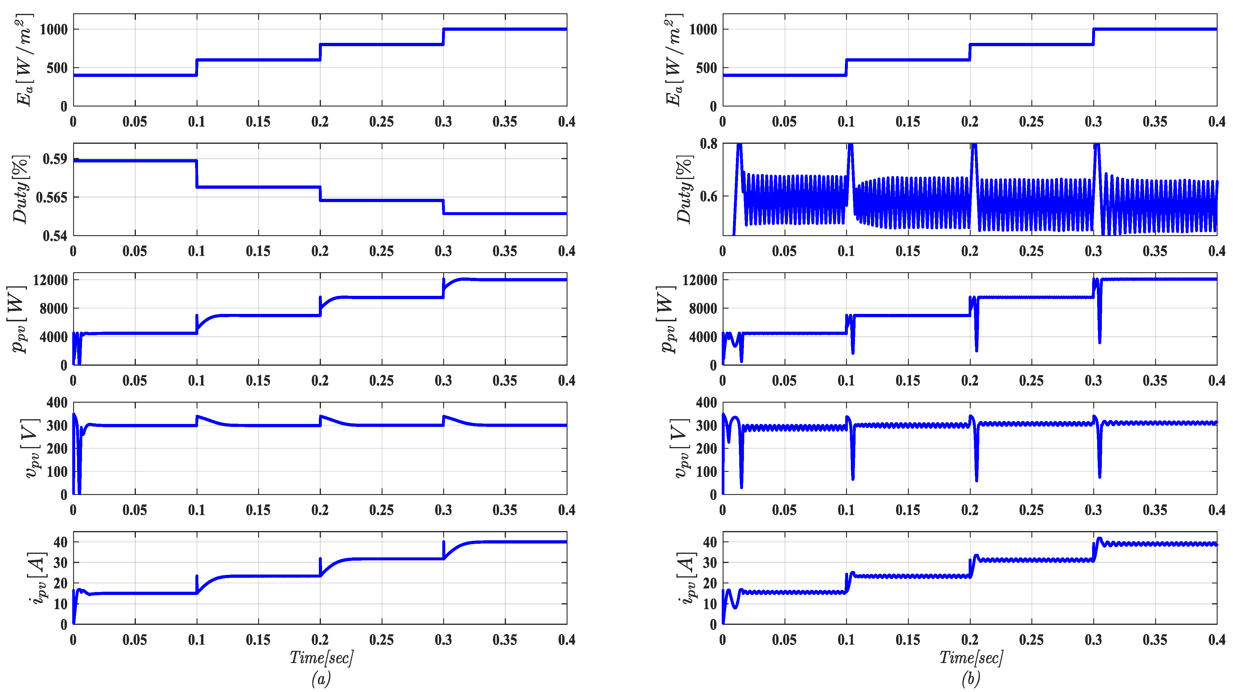
The simulation results in Figure 11 compare the performance of the proposed FVS-MPPT technique with the conventional P&O algorithm. In Figure 11a, corresponding to the FVS-MPPT approach, the system shows smooth and stable tracking of the duty cycle ( D ) across the full time period, with rapid adaptation to changing environmental conditions. The power output ( p p v ) and voltage ( v p v ) also exhibit a smooth response, achieving a steady-state without significant oscillations. The PV current ( i p v ) follows the expected pattern, indicating efficient operation with minimal fluctuations.
In contrast, Figure 11b, representing the conventional P&O algorithm, reveals more oscillatory behavior, particularly in the duty cycle and voltage. These oscillations, especially in ( D ) and ( v p v ), suggest instability around the maximum power point, typical of P&O algorithms as they continuously perturb the operating point. The PV current ( i p v ) also demonstrates more pronounced fluctuations, which further supports the superior stability and efficiency of the FVS-MPPT approach compared to the conventional P&O approach.
The simulation results depicted in Figure 12 illustrate a clear distinction between the performance of the conventional P&O method and the proposed FVS-MPPT in controlling active and reactive power. While both techniques are capable of regulating active and reactive power, the conventional P&O approach exhibits noticeable oscillations in the reference and actual values of i d , leading to fluctuations in active power output. In contrast, the FVS-MPPT demonstrates a significantly smoother response, with both the active power and the reference and actual i d values maintaining stability. This stability in the proposed method not only enhances the efficiency of power control but also mitigates ripples in active power, indicating a more effective and reliable grid integration.
Figure 13, comparing the i a b c currents, highlights the enhanced performance of the proposed FVS-MPPT algorithm via achieving a more sinusoidal waveform compared to the traditional P&O approach. The currents generated by the FVS-MPPT exhibit minimal distortions, indicating effective harmonic suppression and better alignment with grid requirements. In contrast, the conventional perturb and observe (P&O) method shows noticeable distortions in the i a b c waveforms, resulting in a less stable current profile. These distortions not only affect the quality of the power delivered to the grid but also increase the risk of potential disturbances, highlighting the advantages of the FVS-MPPT in ensuring smooth and reliable current outputs.
Overall, the comparison between the conventional P&O method and the proposed FVS-MPPT shows clear differences in performance and efficiency for grid-side power control. While both techniques seek to control both active and reactive power efficiently, the FVS-MPPT distinguishes itself by maintaining a stable duty cycle based on real-time v p v and i p v data. This results in a more efficient harvesting of energy from the photovoltaic system, leading to smoother responses in both active power and current outputs. In contrast, the P&O method, while functional, is prone to oscillations and distortions that compromise power quality and grid integration. The FVS-MPPT not only enhances the overall efficiency of energy harvesting but also ensures a more reliable and harmonious connection to the grid, making it a more favorable choice for modern energy systems.

5.6. Harmonic Performance Comparison Between Proposed FVS-MPPT and Conventional P&O

To evaluate the harmonic performance of the proposed FVS-MPPT method, a comparison of total harmonic distortion (THD) with the traditional P&O algorithm is presented in Figure 14. The THD values were calculated based on the current waveform generated under identical operating conditions.
The results, shown in Figure 14a for the FVS-MPPT method and Figure 14b for the P&O algorithm, reveal significant differences in harmonic performance. The FVS-MPPT approach achieves a THD of 0.88%, with a smooth and predominantly sinusoidal waveform. The frequency spectrum further confirms this observation, as the majority of the signal energy is concentrated at the fundamental frequency of 50 Hz, with minimal presence of higher-order harmonics. This low THD indicates superior power quality, which is essential for grid-connected photovoltaic systems to minimize adverse harmonic effects on the grid.
In contrast, the conventional P&O algorithm exhibits a substantially higher THD of 7.71%, with noticeable waveform distortion. The frequency spectrum of the P&O algorithm in Figure 14b displays multiple harmonic components, contributing to the elevated THD. Such high levels of harmonic distortion can degrade power quality, potentially leading to efficiency losses and compatibility issues with grid standards.
Recent studies, such as [32], report a THD value of 2.54% for their proposed method. In comparison, the proposed FVS-MPPT algorithm achieves a significantly lower THD of 0.88%, demonstrating a substantial improvement in the quality of the output signal. This reduction in THD underscores the effectiveness of the proposed approach in minimizing harmonic distortion, thereby enhancing the overall performance and efficiency of grid-connected photovoltaic systems.
These results proved the efficiency of the proposed FVS-MPPT in reducing harmonic distortion compared to the conventional P&O algorithm, demonstrating its suitability for grid-connected PV applications where harmonic compliance is critical.
Conclusively, the simulation outcomes highlight the resilience and flexibility of the FVS-MPPT and model predictive control (MPC) algorithms. When tracking the maximum power point under changing temperature and irradiation conditions, the FVS-MPPT algorithm demonstrated exceptionally good performance with consistent PV power production and few oscillations. Simultaneously, the MPC algorithm demonstrated how effective it is at controlling both active and reactive power for grid integration, guaranteeing a steady DC-link. This full evaluation of the algorithms’ effectiveness in practical applications is provided by these results, which validate their ability to guarantee efficient and dependable functioning across a wide range of environmental and operational circumstances.

6. Conclusions

This paper presents an advanced approach for optimizing PV systems and grid-side converters using the FVS-MPPT algorithm and model predictive control (MPC). The FVS-MPPT demonstrates strong adaptability to changing irradiance and temperature, ensuring continuous operation at maximum power with minimal oscillations. Simulation results confirm its effectiveness in optimizing power extraction and enhancing system resilience. Similarly, the MPC algorithm, integrated with a phase-locked loop (PLL) for synchronization, precisely manages active and reactive power, ensuring stable grid integration. The real-time adaptability of MPC and the synchronization capability of the PLL underscore the system’s high-performance potential. A functional comparison between the conventional P&O algorithm and the proposed FVS-MPPT approach is presented, indicating the superiority of the proposed FVS-MPPT in tracking the MPP and controlling the active and reactive power with very smooth response. In summary, this research contributes to the field by providing a robust framework for improving energy efficiency and stability in PV systems and grid integration, offering a foundation for future innovations in renewable energy. Future research will focus on experimental validation of the FVS-MPPT method under real-world conditions and its application in large-scale, grid-connected systems. The method shows promise for various applications, from residential to industrial PV systems, aiming to optimize performance and enhance grid stability.

Author Contributions

Methodology, M.M.A. and A.F.; Validation, M.M.A., A.F., M.A.H. and A.A.S.; Formal analysis, M.M.A. and A.F.; Investigation, M.M.A. and A.F.; Resources, M.A.H. and A.A.S.; Writing—original draft, M.M.A. and A.F.; Writing—review and editing, M.M.A., A.F. and M.A.H.; Visualization, M.M.A. and A.F.; Supervision, M.B.E. and A.A.S.; Project administration, A.A.S.; Funding acquisition, M.A.H. All authors have read and agreed to the published version of the manuscript.

Funding

This work was supported by the Deanship of Scientific Research, Vice Presidency for Graduate Studies and Scientific Research, King Faisal University, Saudi Arabia [Grant No. KFU242291].

Data Availability Statement

Data are contained within this article.

Conflicts of Interest

The authors declare no conflicts of interest.

Nomenclature

PVphotovoltaic
MPPTmaximum power point tracking conceived
MPCmodel predictive control
FVS-MPPTfinite voltage-set MPPT
PLLphase locked loop
P&Operturb and observe
INCincremental conductance
VOCvoltage-oriented control
DPCdirect power control
FCS-MPCfinite control set model predictive control
VSIvoltage source inverter
PWMpulse-width modulation
SVMspace vector modulation

References

  1. Xiao, W. Photovoltaic Power System: Modeling, Design, and Control; John Wiley & Sons: Hoboken, NJ, USA, 2017; ISBN 978-1119010857. [Google Scholar]
  2. Ahmed, M.; Abdelrahem, M.; Farhan, A.; Harbi, I.; Kennel, R. DC-Link Sensorless Control Strategy for Grid-Connected PV Systems. Electr. Eng. 2021, 103, 2345–2355. [Google Scholar] [CrossRef]
  3. Alajmi, B.N.; Ahmed, K.H.; Adam, G.P.; Williams, B.W. Single-Phase Single-Stage Transformer Less Grid-Connected PV System. IEEE Trans. Power Electron. 2013, 28, 2664–2676. [Google Scholar] [CrossRef]
  4. Li, H.; Xu, Y.; Adhikari, S.; Rizy, D.T.; Li, F.; Irminger, P. Real and Reactive Power Control of a Three-Phase Single-Stage PV System and PV Voltage Stability. In Proceedings of the 2012 IEEE Power and Energy Society General Meeting, San Diego, CA, USA, 22–26 July 2012; pp. 1–8. [Google Scholar]
  5. Esram, T.; Chapman, P.L. Comparison of Photovoltaic Array Maximum Power Point Tracking Techniques. IEEE Trans. Energy Convers. 2007, 22, 439–449. [Google Scholar] [CrossRef]
  6. Kumar, V.; Singh, M. Sensorless DC-Link Control Approach for Three-Phase Grid Integrated PV System. Int. J. Electr. Power Energy Syst. 2019, 112, 309–318. [Google Scholar] [CrossRef]
  7. Sangeetha, B.; Manjunatha, K.; Thirusenthil Kumaran, P.; Sheela, A.; Yamuna, K.S.; Sivakumar, S. Performance Optimization in Photovoltaic Systems: A Review. Arch. Comput. Methods Eng. 2024, 31, 1507–1518. [Google Scholar] [CrossRef]
  8. Podder, A.K.; Roy, N.K.; Pota, H.R. MPPT Methods for Solar PV Systems: A Critical Review Based on Tracking Nature. IET Renew. Power Gener. 2019, 13, 1615–1632. [Google Scholar] [CrossRef]
  9. Ishaque, K.; Salam, Z. A Review of Maximum Power Point Tracking Techniques of PV System for Uniform Insolation and Partial Shading Condition. Renew. Sustain. Energy Rev. 2013, 19, 475–488. [Google Scholar] [CrossRef]
  10. Sera, D.; Mathe, L.; Kerekes, T.; Spataru, S.V.; Teodorescu, R. On the Perturb-and-Observe and Incremental Conductance MPPT Methods for PV Systems. IEEE J. Photovolt. 2013, 3, 1070–1078. [Google Scholar] [CrossRef]
  11. Motahhir, S.; El Hammoumi, A.; El Ghzizal, A. The Most Used MPPT Algorithms: Review and the Suitable Low-Cost Embedded Board for Each Algorithm. J. Clean. Prod. 2020, 246, 118983. [Google Scholar] [CrossRef]
  12. Abouadane, H.; Fakkar, A.; Sera, D.; Lashab, A.; Spataru, S.; Kerekes, T. Multiple-Power-Sample Based P&O MPPT for Fast-Changing Irradiance Conditions for a Simple Implementation. IEEE J. Photovolt. 2020, 10, 1481–1488. [Google Scholar] [CrossRef]
  13. Dehghanzadeh, A.; Farahani, G.; Vahedi, H.; Al-Haddad, K. Model Predictive Control Design for DC-DC Converters Applied to a Photovoltaic System. Int. J. Electr. Power Energy Syst. 2018, 103, 537–544. [Google Scholar] [CrossRef]
  14. Mohapatra, A.; Nayak, B.; Das, P.; Mohanty, K.B. A Review on MPPT Techniques of PV System under Partial Shading Condition. Renew. Sustain. Energy Rev. 2017, 80, 854–867. [Google Scholar] [CrossRef]
  15. Kadri, R.; Gaubert, J.-P.; Champenois, G. An Improved Maximum Power Point Tracking for Photovoltaic Grid-Connected Inverter Based on Voltage-Oriented Control. IEEE Trans. Ind. Electron. 2011, 58, 66–75. [Google Scholar] [CrossRef]
  16. Ahmed, M.; Harbi, I.; Kennel, R.; Rodríguez, J.; Abdelrahem, M. Evaluation of the Main Control Strategies for Grid-Connected PV Systems. Sustainability 2022, 14, 1142. [Google Scholar] [CrossRef]
  17. Noguchi, T.; Tomiki, H.; Kondo, S.; Takahashi, I. Direct Power Control of PWM Converter without Power-Source Voltage Sensors. IEEE Trans. Ind. Appl. 1998, 34, 473–479. [Google Scholar] [CrossRef]
  18. Zhang, N.; Tang, H.; Yao, C. A Systematic Method for Designing a PR Controller and Active Damping of the LCL Filter for Single-Phase Grid-Connected PV Inverters. Energies 2014, 7, 3934–3954. [Google Scholar] [CrossRef]
  19. Godlewska, A. Finite Control Set Model Predictive Control of Current Source Inverter for Photovoltaic Systems. In Proceedings of the 2018 14th Selected Issues of Electrical Engineering and Electronics (WZEE), Szczecin, Poland, 19–21 November 2018; pp. 1–4. [Google Scholar]
  20. Farhan, A.; Saleh, A.; Abdelrahem, M.; Kennel, R.; Shaltout, A. High-Precision Sensorless Predictive Control of Salient-Pole Permanent Magnet Synchronous Motor Based-on Extended Kalman Filter. In Proceedings of the 2019 21st International Middle East Power Systems Conference (MEPCON), Cairo, Egypt, 17–19 December 2019; pp. 226–231. [Google Scholar]
  21. Ahmed, M.; Abdelrahem, M.; Kennel, R. Highly Efficient and Robust Grid Connected Photovoltaic System Based Model Predictive Control with Kalman Filtering Capability. Sustainability 2020, 12, 4542. [Google Scholar] [CrossRef]
  22. Salau, A.O.; Alitasb, G.K. MPPT Efficiency Enhancement of a Grid Connected Solar PV System Using Finite Control Set Model Predictive Controller. Heliyon 2024, 10, e27663. [Google Scholar] [CrossRef]
  23. Hassan, M.A.; Adel, M.M.; Farhan, A.; Saleh, A.A. Finite Speed-Set Model Reference Adaptive System Based on Sensorless Control of Permanent Magnet Synchronous Generators for Wind Turbines. Machines 2024, 12, 429. [Google Scholar] [CrossRef]
  24. Adel, M.M.; Saleh, A.A.; Hassan, M.A.; Kennel, R.; Farhan, A. Efficient Sensorless Speed Predictive Control Without Weighting Factors For PMSM Drive Based On MRAS Estimator. J. Appl. Sci. Eng. 2024, 27, 3697–3710. [Google Scholar] [CrossRef]
  25. Lin, C.-H.; Farooqui, S.A.; Liu, H.-D.; Huang, J.-J.; Fahad, M. Finite Control Set Model Predictive Control (FCS-MPC) for Enhancing the Performance of a Single-Phase Inverter in a Renewable Energy System (RES). Mathematics 2023, 11, 4553. [Google Scholar] [CrossRef]
  26. Abdelrahem, M.; Hackl, C.M.; Zhang, Z.; Kennel, R. Robust Predictive Control for Direct-Driven Surface-Mounted Permanent-Magnet Synchronous Generators Without Mechanical Sensors. IEEE Trans. Energy Convers. 2018, 33, 179–189. [Google Scholar] [CrossRef]
  27. Mohan, N.; Undeland, T.M.; Robbins, W.P. Power Electronics: Converters, Applications, and Design; John Wiley & Sons: Hoboken, NJ, USA, 2003. [Google Scholar]
  28. Ahmed, M.; Abdelrahem, M.; Harbi, I.; Kennel, R. Sensorless Predictive Direct Power Control with On-Line Inductance Estimation for Grid-Connected PV Applications. In Proceedings of the PCIM Europe Digital Days 2021, International Exhibition and Conference for Power Electronics, Intelligent Motion, Renewable Energy and Energy Management, Online, 3–7 May 2021; pp. 1–7. [Google Scholar]
  29. Habib, M.; Ahmed Amine, L.; Benbouzid, M. An Improved MPC Control of Grid-Connected Inverter. Application to PV System. Int. J. Energy Convers. 2018, 6, 177. [Google Scholar] [CrossRef]
  30. Raziya, F.; Afnaz, M.; Jesudason, S.; Ranaweera, I.; Walpita, H. MPPT Technique Based on Perturb and Observe Method for PV Systems Under Partial Shading Conditions. In Proceedings of the 2019 Moratuwa Engineering Research Conference (MERCon), Moratuwa, Sri Lanka, 3–5 July 2019; pp. 474–479. [Google Scholar]
  31. Ahmed, M.; Harbi, I.; Abdelrahem, M.; Kennel, R.; Rodriguez, J. Highly Efficient MPPT Technique Using Model Predictive Control. In Proceedings of the 2023 IEEE International Conference on Predictive Control of Electrical Drives and Power Electronics (PRECEDE), Wuhan, China, 16–19 June 2023; pp. 1–5. [Google Scholar]
  32. Zhao, Y.; An, A.; Xu, Y.; Wang, Q.; Wang, M. Model Predictive Control of Grid-Connected PV Power Generation System Considering Optimal MPPT Control of PV Modules. Prot. Control Mod. Power Syst. 2021, 6, 32. [Google Scholar] [CrossRef]
Figure 1. Equivalent circuit of single-diode model.
Figure 1. Equivalent circuit of single-diode model.
Sustainability 16 10317 g001
Figure 2. Modelled I-V and P-V characteristics of the PV cell IM156B3 at variable irradiation and constant temperature (25 °C) [1].
Figure 2. Modelled I-V and P-V characteristics of the PV cell IM156B3 at variable irradiation and constant temperature (25 °C) [1].
Sustainability 16 10317 g002
Figure 3. Boost converter equivalent circuit: (a) off mode and (b) on mode [21].
Figure 3. Boost converter equivalent circuit: (a) off mode and (b) on mode [21].
Sustainability 16 10317 g003
Figure 4. Two-level three-phase inverter: (a) grid coupling and (b) voltage space vectors [16].
Figure 4. Two-level three-phase inverter: (a) grid coupling and (b) voltage space vectors [16].
Sustainability 16 10317 g004
Figure 5. Block diagram of the conventional P&O algorithm [2].
Figure 5. Block diagram of the conventional P&O algorithm [2].
Sustainability 16 10317 g005
Figure 6. Proposed FVS-MPPT algorithm for the PV system coupled to the grid.
Figure 6. Proposed FVS-MPPT algorithm for the PV system coupled to the grid.
Sustainability 16 10317 g006
Figure 7. Simulation results of p p v , v p v , and i p v under standard test conditions (25 °C, 1000 W/m²) demonstrating the FVS-MPPT algorithm’s accurate tracking of the maximum power point.
Figure 7. Simulation results of p p v , v p v , and i p v under standard test conditions (25 °C, 1000 W/m²) demonstrating the FVS-MPPT algorithm’s accurate tracking of the maximum power point.
Sustainability 16 10317 g007
Figure 8. System performance under varying irradiation levels, demonstrating how the FVS-MPPT algorithm tracks maximum power, with the PV power output increasing in response to higher irradiation.
Figure 8. System performance under varying irradiation levels, demonstrating how the FVS-MPPT algorithm tracks maximum power, with the PV power output increasing in response to higher irradiation.
Sustainability 16 10317 g008
Figure 9. Response of the PV system under varying temperature conditions, illustrating the ability of the FVS-MPPT algorithm to maintain stable power output by dynamically adjusting to the effects of increasing temperature.
Figure 9. Response of the PV system under varying temperature conditions, illustrating the ability of the FVS-MPPT algorithm to maintain stable power output by dynamically adjusting to the effects of increasing temperature.
Sustainability 16 10317 g009
Figure 10. Simulation results showing the MPC algorithm’s performance in managing active power and maintaining reactive power at 0 VAR under irradiation changes.
Figure 10. Simulation results showing the MPC algorithm’s performance in managing active power and maintaining reactive power at 0 VAR under irradiation changes.
Sustainability 16 10317 g010
Figure 11. Functional comparison between the proposed FVS-MPPT and conventional P&O algorithms indicating the tracking of the MPPT response with changes in irradiations: (a) proposed FVS-MPPT; (b) traditional P&O.
Figure 11. Functional comparison between the proposed FVS-MPPT and conventional P&O algorithms indicating the tracking of the MPPT response with changes in irradiations: (a) proposed FVS-MPPT; (b) traditional P&O.
Sustainability 16 10317 g011
Figure 12. Functional comparison between the proposed FVS-MPPT and conventional P&O algorithms indicating the grid-side power control response with changes in irradiation: (a) proposed FVS-MPPT; (b) traditional P&O.
Figure 12. Functional comparison between the proposed FVS-MPPT and conventional P&O algorithms indicating the grid-side power control response with changes in irradiation: (a) proposed FVS-MPPT; (b) traditional P&O.
Sustainability 16 10317 g012
Figure 13. Functional comparison between the proposed FVS-MPPT and conventional P&O algorithms indicating the grid side i a b c with changes in irradiation: (a) proposed FVS-MPPT; (b) traditional P&O.
Figure 13. Functional comparison between the proposed FVS-MPPT and conventional P&O algorithms indicating the grid side i a b c with changes in irradiation: (a) proposed FVS-MPPT; (b) traditional P&O.
Sustainability 16 10317 g013
Figure 14. Harmonic performance comparison between the proposed FVS-MPPT and conventional P&O algorithms: (a) proposed FVS-MPPT; (b) traditional P&O.
Figure 14. Harmonic performance comparison between the proposed FVS-MPPT and conventional P&O algorithms: (a) proposed FVS-MPPT; (b) traditional P&O.
Sustainability 16 10317 g014
Table 1. PV system coupled with grid parameters.
Table 1. PV system coupled with grid parameters.
ParametersValue
PV cell open-circuit voltage at STC [V]0.614
PV cell short-circuit current at STC [A]8.38
PV array efficiency at STC16.4%
PV array power [W]12,000
Boost converter inductance L b (mH)57.53832
DC-link capacitance C d c (µF)400
Filter inductance L f (mH)25
Filter resistance R f (Ω)0.5
Inverter DC-link voltage V d c (V)700
Grid frequency (Hz)50
Grid phase-to-phase voltage (V)400
Disclaimer/Publisher’s Note: The statements, opinions and data contained in all publications are solely those of the individual author(s) and contributor(s) and not of MDPI and/or the editor(s). MDPI and/or the editor(s) disclaim responsibility for any injury to people or property resulting from any ideas, methods, instructions or products referred to in the content.

Share and Cite

MDPI and ACS Style

Hassan, M.A.; Adel, M.M.; Saleh, A.A.; Eteiba, M.B.; Farhan, A. Maximum Power Point Tracking Based on Finite Voltage-Set MPC for Grid-Connected Photovoltaic Systems Under Environmental Variations. Sustainability 2024, 16, 10317. https://doi.org/10.3390/su162310317

AMA Style

Hassan MA, Adel MM, Saleh AA, Eteiba MB, Farhan A. Maximum Power Point Tracking Based on Finite Voltage-Set MPC for Grid-Connected Photovoltaic Systems Under Environmental Variations. Sustainability. 2024; 16(23):10317. https://doi.org/10.3390/su162310317

Chicago/Turabian Style

Hassan, Mohammed A., Mahmoud M. Adel, Amr A. Saleh, Magdy B. Eteiba, and Ahmed Farhan. 2024. "Maximum Power Point Tracking Based on Finite Voltage-Set MPC for Grid-Connected Photovoltaic Systems Under Environmental Variations" Sustainability 16, no. 23: 10317. https://doi.org/10.3390/su162310317

APA Style

Hassan, M. A., Adel, M. M., Saleh, A. A., Eteiba, M. B., & Farhan, A. (2024). Maximum Power Point Tracking Based on Finite Voltage-Set MPC for Grid-Connected Photovoltaic Systems Under Environmental Variations. Sustainability, 16(23), 10317. https://doi.org/10.3390/su162310317

Note that from the first issue of 2016, this journal uses article numbers instead of page numbers. See further details here.

Article Metrics

Back to TopTop