Next Article in Journal
The Impact of Industrial Agglomeration on Urban Carbon Emissions: An Empirical Study Based on the Panel Data of China’s Prefecture-Level Cities
Previous Article in Journal
Research on the Optimization of Urban–Rural Passenger and Postal Integration Operation Scheduling Based on Uncertainty Theory
 
 
Font Type:
Arial Georgia Verdana
Font Size:
Aa Aa Aa
Line Spacing:
Column Width:
Background:
Article

Selecting the Appropriate Platform: The Varied Effects of Service Merchant Marketing Strategies on the Performance of Supply Chain Participants

1
School of Business Administration, Jilin University of Finance and Economics, Changchun 130117, China
2
School of Economics, Shandong Normal University, Jinan 250358, China
*
Author to whom correspondence should be addressed.
Sustainability 2024, 16(23), 10269; https://doi.org/10.3390/su162310269
Submission received: 29 September 2024 / Revised: 2 November 2024 / Accepted: 21 November 2024 / Published: 23 November 2024

Abstract

Traditionally, catering enterprises were restricted to exclusive agreements with food delivery platforms. However, recent regulatory changes in various countries addressing the “one out of two” practices of these platforms have facilitated the ability of catering businesses to engage with multiple platforms simultaneously. The existing body of literature primarily focuses on the competitive interactions between bilateral platforms or the optimal strategies for exclusive trading platform supply chains, yet it does not adequately investigate the differentiated impacts of merchant marketing strategies within this competitive framework. This study seeks to evaluate the effects of diverse strategies on the performance of supply chain participants, concentrating on four distinct strategies employed by catering businesses in their selection of service platforms and the execution of marketing initiatives. By employing game theory and inverse solving methodologies, the research determines the optimal profits for each member of the supply chain under various strategies, as well as the influence of valuation discount factors on member profits. The results reveal that the marketing efforts of service providers across different platforms significantly affect the performance of supply chain participants. Additionally, the profits of both service providers and platforms are correlated with the cost coefficient related to the marketing efforts of service providers, and these marketing initiatives also impact the perceived value of platform coupons. This research provides evidence for the positive influence of marketing decisions made by service providers.

1. Introduction

The advancement of e-commerce, takeout services, payment systems, and various internet platforms has markedly improved convenience for both businesses and consumers. Nevertheless, to bolster their competitive positions, certain dominant platforms have employed exclusive dealing strategies that force merchants to make a choice between them [1]. These strategies have presented considerable difficulties for merchants. Merchants anticipate that market regulatory authorities will enhance their enforcement measures. This is essential for promoting equitable competition within the marketplace and for eradicating the practice of “choosing between two”. Such exclusive dealing practices can create a blocking effect, potentially marginalizing competitors from the market [2]. This situation may lead to market fragmentation and hinder the efficient allocation of resources [3]. Furthermore, these practices may limit merchants’ autonomy and diversity, resulting in reduced sales revenue and negatively impacting consumer welfare and overall social welfare. In 2020, Alibaba faced legal action from investors in the United States stock market, who alleged that the company had not breached antitrust or unfair competition regulations, despite requiring merchants to select between two alternatives. On 24 December 2020, the State Administration for Market Regulation in China initiated an investigation into Alibaba Group Holding Co., Ltd. (Hangzhou, China) due to allegations of monopolistic practices, specifically concerning the “choosing between two” strategy. Subsequently, on 10 April 2021, the State Administration for Market Regulation issued an administrative penalty, mandating that Alibaba Group cease its abuse of market dominance and imposing a fine of 18.228 billion yuan. In 2021, the Chinese government released the Action Plan for Building a High-Standard Market System, which explicitly called for the regulation of increasingly exploitative exclusive dealing practices by platforms. Following this, in 2022, the Supreme People’s Court of China proposed stringent legal measures to penalize exclusive dealing behaviors to prevent platform monopolies and chaotic expansion [4]. Simultaneously, numerous countries have enacted regulations governing the exclusive practices of service platforms. This initiative allows businesses to operate on multiple platforms concurrently, thereby fostering fairer market competition and promoting the healthy development of the industry.
Internet platforms, including e-commerce, food delivery, and payment services, exemplify bilateral platforms that function as intermediaries for merchants’ offerings. These platforms enable merchants to present their products to consumers while providing essential distribution and delivery support. To attract both merchants and consumers, prominent platforms frequently implement a variety of discounts. Merchants, in turn, adopt diverse marketing strategies on these platforms to enhance their visibility, thereby increasing profitability for both the platform and the merchants involved. As a distinct type of bilateral market, internet platforms exhibit characteristics of cross-network externalities and dynamic competition. Both internet platforms and merchants operate as independent economic entities, each formulating strategies to optimize their respective interests. Platforms select merchants that can enhance their profitability while simultaneously appealing to consumers through tactics such as preferential subsidies. In contrast, service merchants strategically choose platforms that facilitate the effective sale of their offerings and employ a variety of marketing strategies designed to increase sales and optimize profitability. These marketing strategies include advertising, promotional discounts, packaging techniques, and video marketing.
In this competitive platform landscape, the choice of platforms and the marketing strategies adopted by service merchants significantly impact the performance of service supply chain participants. Research on platform service supply chains has predominantly focused on the competitive and cooperative dynamics between bilateral platforms and their management [5,6,7,8,9], as well as the structural aspects of service supply chains and decision optimization [10,11,12,13]. Some studies have concentrated on optimal supply chain strategies and pricing issues within exclusive dealing arrangements, with comparatively less emphasis on inter-platform competition [14]. Furthermore, existing literature has predominantly concentrated on the collaborative relationships and interactions between individual service providers and specific online platforms. Additionally, it has examined the competitive dynamics that exist among service providers. There has been insufficient exploration of cooperation strategy selection between a single offline service provider and multiple online platforms [15,16]. Several studies have emphasized the management of relationships among members of the service supply chain from a platform-centric perspective. However, there has been insufficient attention given to the comprehensive effects of merchant behavioral decisions on supply chain participants, particularly from the perspective of the merchants involved [14,15]. This gap presents significant limitations in comprehending the substantial effects of shifts in merchant strategies within the service supply chain in a competitive context.
This study examines the convergence of platform service supply chains and competitive dynamics within platforms. Our analysis centers on the differential impacts of marketing strategies utilized by service providers on the performance outcomes of supply chain stakeholders in a competitive context. The results of this research offer significant insights for service merchants regarding the selection of appropriate platforms. Additionally, it enhances the comprehension of collaborative strategies within service supply chains in the context of competitive environments. The study formulates profit functions for each supply chain participant, grounded in four distinct marketing strategies utilized by catering service merchants alongside their respective platform choices. It further examines the differential impacts of these marketing strategies on the performance of supply chain members when a catering merchant is presented with the option of selecting between two food delivery platforms. Utilizing game theory and reverse-solving techniques, the research identifies the optimal decisions and profit outcomes for each supply chain member by analyzing the Hessian matrix in relation to the various choices made by catering merchants. Additionally, numerical examples are employed to evaluate the effects of valuation discount factors on the profits of catering merchants and the two food delivery platforms. Ultimately, the study provides strategic recommendations for platform selection tailored to service merchants operating within a competitive platform landscape.
The subsequent sections of this study are structured as follows: Section 2 provides a concise review of the pertinent literature. Section 3 delineates the problem description, model parameters, and fundamental assumptions. In Section 4, we develop the model and perform an analysis of four distinct strategies. Section 5 offers a comparative analysis of these various strategies. Section 6 employs Mathematica for the analysis of numerical examples. Lastly, Section 7 discusses the conclusions, theoretical implications, practical implications, limitations, and avenues for future research. For the sake of clarity, all proofs are included in Appendix A.

2. Related Literature

2.1. Platform Service Supply Chain

The platform service supply chain represents a network framework that leverages platforms as intermediaries to promote business collaboration and the co-creation of value among diverse stakeholders [14]. This framework can be classified into two distinct categories: monopolistic and competitive platforms [14]. Monopolistic platforms tend to impose stricter entry requirements for merchants, whereas competitive platforms afford merchants greater autonomy in their choices. Early academic research primarily viewed the service supply chain as an ancillary element of the manufacturing supply chain. The focus of these studies was on optimizing decision-making processes associated with physical products in order to enhance production efficiency and improve coordination within the supply chain [11]. Extensive research has been conducted in critical areas such as inventory management [17], quality management [18], and supply chain coordination [12]. As the importance of services continues to rise, the optimization of the structure and decision-making processes within service supply chains has emerged as a significant area of inquiry. A commonly recognized structure for service supply chains is the “service provider—service integrator—customer” model [10,19]. Researchers have explored the challenges associated with optimal decision-making in service supply chains across various contexts, including call centers [20], the logistics sector [10,13], and the shipping industry [21]. In recent years, the Chinese government has implemented targeted regulatory proposals concerning exclusive dealing policies for digital platforms. Prior to this development, scholarly research primarily focused on optimal decision-making, quality control, cooperative strategies, and profit maximization among stakeholders within the online-to-offline (O2O) supply chain. The O2O supply chain encompasses both offline service providers and online platforms [15]. Within this conventional framework of the platform service supply chain, research has predominantly concentrated on two key areas: first, a comparative analysis of optimal strategies under wholesale versus agency models; and second, a comparative analysis of optimal strategies among members across three service models: merchant delivery, platform delivery, and merchant self-built platform plus delivery [15]. To improve the management of service supply chains, scholars have also endeavored to establish a sustainable service supply chain management process and a practical framework within a multidimensional context [22]. The increasing influence of manufacturer channels and the intensification of logistics integration on e-commerce platforms are progressively shaping the platform service supply chain [14]. The comprehensive logistics integration strategy employed by the platform is advantageous for all members of the supply chain [14].
The pricing challenges inherent in platform supply chains have been the subject of considerable examination within academic discourse. A significant challenge in the pricing strategies of platforms is commonly known as the “chicken-and-egg” dilemma. This concept posits that in the initial stages of platform development, subsidies may be employed to establish a balanced user base on both sides of the platform, due to the interdependent nature of their requirements [23]. As a result, platform pricing decisions have attracted heightened scrutiny from researchers. On one hand, a number of scholars have endeavored to formulate pricing models for network delivery platforms, taking into account cross-network externalities and varying temporal dynamics [24,25]. They have also investigated dynamic pricing strategies and optimal pricing decisions for each participant within the bilateral platform supply chain [26,27]. Conversely, other researchers have systematically analyzed the strategic behaviors of users and examined how varying levels of competition affect the pricing dilemmas encountered by online freight platforms [25]. Additionally, the researchers have assessed the impact of key parameters on the pricing strategies employed by participants in the platform supply chain. These key parameters encompass supplier threshold participation, value-added services, and the capabilities of the platform in facilitating effective matching [28]. Additionally, some scholars have investigated the effects of investment on the pricing strategies of platforms operating in bilateral markets [29]. Research has identified optimal mechanisms for information sharing on retail platforms by developing effective pricing strategies [30]. The existing literature predominantly investigates optimal strategies and pricing challenges within service supply chains. It placed considerable emphasis on the cooperative optimization issues faced by individual or monopolistic entities within the supply chains. Nevertheless, there is a conspicuous deficiency in the exploration of competitive dynamics among platforms. This gap results in a lack of comparative analysis regarding member strategies within the competitive landscape of platform-based service supply chain research.

2.2. Competition Among Platforms

The user base, or traffic, is a critical factor in the competitive landscape among platforms, with the network effect further solidifying the advantageous position of established incumbents. A user’s association with a platform plays a significant role in shaping the competitive dynamics within the platform ecosystem [31]. When consumers perceive competing platforms as distinct entities, while sellers regard them as similar, direct competition between these platforms is diminished. Instead, they engage in indirect competition by offering subsidies to consumers in order to attract seller users [2]. The existing body of literature on platform competition predominantly focuses on various competition models and their resultant implications. The degree of competition among sellers is instrumental in determining the market structure of the platform industry. In scenarios characterized by intense competition in the product market, sellers are inclined to avoid direct competitors by aligning with different platforms, resulting in platforms catering to distinct market segments [6]. Conversely, in instances of moderate product market competition, sellers are more likely to consolidate on a single platform, which subsequently vies for market supremacy [6]. In numerous bilateral platforms that cater to both buyers and sellers, the intensity of competition among sellers can significantly impact platform pricing, product offerings, and the overall number of platforms in operation [5]. This underscores the necessity for effective management of platform competition. When bilateral platforms face robust competition from the demand side, a well-structured profit-sharing agreement can yield benefits for all market participants [7]. However, when competition emerges from the supply side, the cooperative dynamics among platform members may negatively affect the platform’s profitability [7]. In bilateral markets, consumers value both the quantity and quality of suppliers available on the platform. In a competitive landscape characterized by the presence of two platforms, one platform may employ subsidies as a means to attract high-quality suppliers. While this strategy has the potential to improve the overall quality of suppliers, it may also present challenges for the platform itself and lead to a decrease in profits for the suppliers [8].
The diminishment of a leading platform’s market power can generate new prospects for complementors, consequently promoting innovation; however, this may concurrently jeopardize the sustainability of the platform ecosystem by reducing profitability [32]. Empirical research suggests that innovation, measured through citation-weighted patents, tends to increase following antitrust actions. In contrast, profitability generally experiences a decline in such circumstances [32]. In two-sided markets that rely on advertising for revenue, platforms may find it beneficial to establish a zero-price point for consumers, thereby generating profit through the advertising segment [33]. When a platform implements a subscription pricing model applicable to both buyers and sellers, it fosters intensified competition among sellers, which in turn leads to greater engagement from both groups and ultimately improves the platform’s profitability [34]. In contrast, if the platform limits its revenue generation to fees charged exclusively to sellers, there may be an initial surge in participation from both buyers and sellers; however, this is typically followed by a subsequent decline. The profitability of the platform mirrors this pattern, indicating a correlation between the pricing structure and engagement levels [34]. A merger between a device-oriented platform and a service developer engaged in bilateral negotiations with rival platforms has the potential to improve overall welfare [35]. This consolidation may heighten competition among platforms, which could ultimately advantage consumers, even though it may increase the bargaining power of the service provider in relation to competing platforms. Additionally, this merger could lead to varied effects on the pricing of devices and services across different platforms [35].
The competition within e-commerce platforms characterized by an omnichannel approach is becoming increasingly prominent. The competition between manufacturers’ direct sales and self-operated channels on these platforms has attracted considerable scholarly interest. Researchers have formulated competition models for platforms by developing new or refined Hotelling models [27,36]. Some investigations have focused on the impact of government regulation on bilateral market competition, particularly in the context of network externalities within the Online-to-Offline (O2O) model [36], while others have analyzed how user scale and conversion costs affect pricing strategies in platform competition [27]. The competitive advantage of platforms can be examined through the lens of organizational characteristics related to indirect network effects. The sustainability of this competitive advantage over time can be evaluated using a co-evolutionary framework. In situations where competition and exclusivity agreements are present on the platform, it is possible for the platform to exploit all remaining resources of the user, irrespective of whether the user has entered into an exclusivity agreement [37]. In the contemporary service supply chain, service platforms often adopt discriminatory pricing strategies [38]. Consequently, a governance mechanism for the platform can be proposed through the development of a tripartite evolutionary game model [38]. For ride-hailing platforms, establishing service pricing poses challenges due to the interplay between demand and supply, with the optimal pricing strategy being one that maximizes profits [39]. As price competition escalates, service providers may unexpectedly increase prices in a context of cooperative competition [40]. The current body of literature regarding platform competition primarily focuses on competition models and their associated implications. However, there is a notable lack of emphasis on the impact of differentiation strategies employed by participants within the service supply chain on performance variances.

2.3. Marketing Efforts

Marketing efforts denote the extent of resources that an organization or institution dedicates to various marketing-related activities [41]. Typical marketing strategies utilized by businesses and platforms encompass subsidies, advertising, and promotional initiatives. These marketing endeavors can catalyze the advancement of innovative activities and exert a favorable influence on the decision-making processes and economic advantages of supply chain participants. For retailers, marketing initiatives such as advertising, training marketing personnel to enhance service quality, and providing product displays to enrich consumer experiences can directly stimulate consumer demand. In scenarios where two retailers on a platform engage in competitive advertising, the implementation of marketing strategies such as quantity discounts and advertising-sharing agreements can promote coordination among service supply chain members [42]. In a duopolistic competitive landscape characterized by bilateral heterogeneity in production and search costs, the establishment of an equilibrium search model is crucial [43]. Enterprises can formulate advertising strategies by disclosing prices and locations, thereby creating conditions under which their advertising expenditures remain below the optimal social level [43]. The marketing efforts of platforms and merchants play a significant role in shaping customer demand [16]. There exists a correlation between the investment in optimal marketing efforts on online platforms and the selection of optimal cooperation strategies by offline service providers [16]. When offline service providers engage in partnerships with online platforms, these platforms can significantly increase demand through various strategies. Such strategies may include optimizing search rankings, sending personalized push notifications, and implementing additional marketing techniques to support offline service providers in drawing in consumers [44]. The marketing initiatives of platforms and merchants can optimize cooperation models and coordinate service supply chains, thereby enhancing the overall efficiency of both offline service providers and online platforms [16]. In instances where the marketing efforts of online platforms are relatively ineffective, offline service providers are inclined to adopt a wholesale model [44]. Conversely, when the marketing efforts of online platforms are substantial, offline service providers are more likely to prefer the agency model [44]. When omnichannel retailers implement channel integration strategies for online coupon placement, they design price coupon combinations and channel strategies based on consumer behavior to augment revenue levels. Within a closed-loop supply chain, the intensity of marketing efforts by retailers influences demand levels, pricing decisions, and the profitability of the supply chain [45]. The current body of literature primarily highlights the beneficial effects of marketing initiatives from the standpoint of the platform or from the perspective of individual retailers. However, there has been insufficient focus on the complex implications of various marketing strategies employed by retailers on the performance of all members within the service supply chain.
In conclusion, the current body of literature concerning platform service supply chains, platform competition, and marketing initiatives predominantly focuses on the interactions and collaborations between individual service providers and singular online platforms. The primary areas of investigation have included pricing strategies, online service offerings, advertising expenditures, marketing tactics, and competitive dynamics among service providers within the platform supply chain. However, regulatory frameworks established by market oversight authorities, particularly the “one out of two” policy, allow offline service providers to engage with multiple online platforms. The existing regulatory framework has led to a notable research deficiency concerning the choice of cooperative strategies between offline service providers and various online platforms. There is a paucity of studies addressing the relationship between these strategies and marketing decisions, as well as their consequences for service providers in the context of competition among platforms. This research aims to integrate the concepts of service supply chains and platform competition as delineated in the current literature. Additionally, it endeavors to analyze the varying impacts of platform entry decisions and marketing strategies employed by food delivery merchants on the performance of competing entities within the platform service supply chain. We will formulate four distinct strategies informed by the characteristics of the food delivery supply chain, introduce parameters that affect platform competition, and develop a profit function for supply chain participants. Through the calculation and analysis of the varying impacts of these parameters on the platform, we aim to identify the optimal decisions and profit outcomes for each member across different strategies, followed by a comparative analysis.

3. Problem Description and Basic Assumptions

3.1. Problem Description

The income generated by food delivery platforms predominantly stems from the commissions imposed on merchants. As a result, the financial outcomes for both merchants and platforms are influenced by comparable uncertainties and risks related to market volatility, changes in consumer preferences, and economic vulnerabilities. The profitability of the platform is intrinsically linked to that of the merchants. This research presents a platform service supply chain that encompasses a catering merchant and two food delivery platforms, operating under the premise that the merchant demonstrates risk neutrality. Catering merchants have the option to operate on both delivery platforms or to allocate resources towards marketing initiatives, which may include advertising, discounts, packaging, and video promotions on the respective platforms. The delivery platforms capitalize on their strengths to consolidate consumer resources and attract clientele through various incentives, such as preferential subsidies. Catering merchants distribute their products via both platforms, employing differential pricing strategies based on the sales performance observed on each platform. For example, a merchant may set a price of p1 on delivery platform one and p2 on delivery platform two, with the two platforms potentially imposing distinct commission rates on the merchant’s profits. It is posited that delivery platform one possesses a greater market share than delivery platform two, thereby establishing platform one as the more dominant entity. To facilitate calculations, it is assumed that consumers exhibit varying psychological price expectations for the same product across the two delivery platforms, with higher expectations associated with food delivery platform one, thus conferring a competitive advantage to that platform. In practice, catering merchants can enhance consumer engagement through a variety of marketing strategies, including taste innovation, discounts, takeout packaging, dining utensils, advertising, and food-related videos. When consumers place orders for takeout, the platform encourages consumption by distributing coupons. This study will explore four distinct strategies for food delivery merchants to implement marketing efforts across the different platforms: 1. Strategy one involves catering to merchants participating on both platforms without engaging in any marketing efforts. 2. Strategy two focuses on catering merchants directing their marketing efforts exclusively towards delivery platform one. 3. Strategy three entails catering merchants concentrating their marketing efforts solely on delivery platform two. 4. Strategy four consists of catering merchants executing marketing initiatives on both platform one and platform two concurrently. The investigation will address three primary issues: the optimal decision-making processes of the key stakeholders within the supply chain, strategies for maximizing profits for food delivery platforms, and strategic solutions aimed at enhancing profitability for catering merchants.

3.2. Methodological Analysis and Its Limitations

This study employs the Stackelberg game model, a variant of non-cooperative game theory. Within this framework, there are two leaders and one follower, with food delivery platforms designated as the leaders and food delivery merchants as the followers. The primary objective for both leaders and followers is to maximize their respective profits. However, the leader, possessing a strategic advantage, can leverage information asymmetry to more effectively anticipate and influence the decision-making processes of the followers, thereby achieving outcomes that may surpass those of the leader. This model enhances the comprehension of the reciprocal interactions among the involved parties. For instance, in a secondary supply chain context, the Stackelberg game model can be utilized to analyze optimal delivery times and ordering cycles between retailers and suppliers [46]. Timely procurement practices can significantly reduce the response time within the supply chain, thus justifying the construction of a Stackelberg model to examine the optimal decision-making dynamics between buyers and suppliers [47]. The aforementioned literature employs the Stackelberg model to investigate the interactions among various behavioral agents and the development of optimal decisions. Nonetheless, the methodology applied in this article is not without its limitations. Specifically, the use of the static Stackelberg game model constrains the followers’ ability to make superior decisions in scenarios characterized by information asymmetry. Furthermore, this approach exhibits a lack of flexibility in responding to substantial market fluctuations, making it challenging to implement rapid adjustments. The sequence of the game as discussed in this article is illustrated in the accompanying Figure 1.

3.3. Model Parameters

The parameters utilized for the model in this research are detailed in Table 1.

3.4. Basic Assumptions

This research investigates a continuous heterogeneous consumer model under the assumption that the expected valuations of consumers are uniformly distributed within the interval [0, 1]. It is acknowledged that consumers exhibit diverse psychological expectations for the same product across different delivery platforms. The study proposes that the psychological expectation of consumers on delivery platform one is denoted as v , while on delivery platform two it is represented as α v . To ensure that demand remains positive for both platforms and to avert market exit, we stipulate that D 1 j 0 and D 2 j 0 . Furthermore, we analyze the marketing effort costs incurred by merchants, which are quantified as 1 2 k ( F i j ) 2 . This cost is posited to escalate in accordance with the level of marketing effort exerted. The marketing effort costs for merchants predominantly encompass traffic fees, advertising, promotional expenditures associated with online platforms, and various costs aimed at consumer attraction. Thus, the marketing effort cost can be interpreted as an integral component of platform revenue.

4. Model Construction and Analysis

Consumer surplus is defined as the disparity between the highest total price a consumer is prepared to pay for a given quantity of goods and the actual total price incurred. A negative consumer surplus indicates that consumers are unlikely to proceed with a purchase, suggesting that consumer demand is significantly affected by the level of consumer surplus. Consequently, we develop a consumer surplus function. In the absence of marketing efforts by the merchant, the consumer surplus for platform one is expressed as U = v p + e , while for platform two, it is represented as U = α v p + e . In contrast, when the merchant implements marketing strategies, the consumer surplus for platform one is modified to U = v p + e + F , and for platform two, it is U = α v p + e + F . Within this supply chain framework, we assume that all participants are risk-neutral. We employ mathematical analysis to derive the optimal profit and concurrently compare the optimal profits across different strategies to ascertain the most effective approaches for both merchants and platforms.

4.1. Strategy 1: Merchants Collaborating with Two Platforms Without Engaging in Marketing Efforts

In this strategy, two food delivery platforms entice customers to purchase food and beverage items by offering coupons. Consumers determine their purchasing channels by evaluating the utility derived from acquiring identical food and beverage products from both delivery platforms. The platforms generate revenue by sharing profits with the merchants. In this context, the residual utility for consumers purchasing from Platform One is represented as U 1 = v p 1 N + e 1 N , while the residual utility for consumers purchasing from Platform Two is represented as U 2 = α v p 2 N + e 2 N . Each consumer is permitted to purchase a maximum of one unit of a product, and the utility for consumers who do not make a purchase is quantified as zero. When U 1 max { U 2 , 0 } , consumers will opt to purchase products from Platform One. Conversely, when U 2 max { U 1 , 0 } , consumers will choose to purchase products from Platform Two. Consequently, the analysis leads to the conclusion that consumer demand for Platform One and Platform Two can be articulated as follows:
D 1 N = 1 p 1 N p 2 N + e 2 N e 1 N / 1 α   and   D 2 N = p 1 N p 2 N + e 2 N e 1 N / 1 α p 2 N e 2 N / α
The profit function for catering merchants is:
π s N = 1 λ 1 p 1 N c D 1 N + 1 λ 2 p 2 N c D 2 N
The profit function for Delivery Platform One is:
π 1 N = λ 1 p 1 N e 1 N D 1 N
The profit function of Delivery Platform Two is:
π 2 N = λ 2 p 2 N e 2 N D 2 N
Proposition 1.
Under the strategy where merchants refrain from making marketing efforts, the optimal price, optimal coupon face value, and optimal profit  p 1 N * , p 2 N * , e 1 N * , e 2 N * , π s N * , π 1 N * and π 2 N *  are as follows:
p 1 N * = 1 + c 2 2 λ 1
p 2 N * = c + α 2 2 λ 2
e 1 N * = c 2 + 2 α c α + 6 λ 1 + 3 c λ 1 3 α λ 1 2 α 4 λ 1 1
e 2 N * = 2 c α 1 + α + 5 2 α α + c 2 + α λ 2 2 4 + α 1 + λ 2
π s N * = 6 c α + c 2 2 + α + α 2 + α 4 4 + α α
π 1 N * = 2 + c 2 1 + α 4 4 + α 2
π 2 N * = 1 + α 2 c + α 2 4 4 + α 2 α
Proof: 
Through calculation, it can be inferred that π 1 N is a concave function of e 1 N , while π 2 N is a concave function of e 2 N . By simultaneously considering π 1 N e 1 N = 0 , π 2 N e 2 N = 0 , we can find the solutions for e 1 N and e 2 N , which can then be substituted into Equation (1). Since the Hessian matrix is negative definite and π s N is a concave function of p 1 N and p 2 N , we can also simultaneous consider π s N p 1 N = 0 and π s N p 2 N = 0 to find the solutions for p 1 N * and p 2 N * . By substituting p 1 N * and p 2 N * into e 1 N and e 2 N concurrently, we could determine the values of e 1 N * and e 2 N * . Subsequently, by substituting p 1 N * , p 2 N * , e 1 N * and e 2 N * into Equations (1)–(3), we can derive the values of π s N * , π 1 N * , and π 2 N * . The detailed proof process can be found in Appendix A. □

4.2. Strategy 2: Merchants Engage with Two Platforms but Concentrate Their Marketing Initiatives Exclusively on Delivery Platform One

They distribute coupons e 1 M and e 2 M on the food delivery platforms while choosing to implement marketing efforts F 1 M solely on Platform One, neglecting Platform Two. In this strategy, the residual utility for consumers purchasing products from Platform One is represented as U 1 = v p 1 M + e 1 M + F 1 M , whereas the residual utility for consumers purchasing from Platform Two is denoted as U 2 = α v p 2 M + e 2 M . When U 1 max { U 2 , 0 } , consumers are inclined to purchase products from Platform One. Conversely, when U 2 max { U 1 , 0 } , consumers will opt for products from Platform Two. Thus, based on the aforementioned analysis, it can be inferred that consumer demand for both Platform One and Platform Two is
D 1 M = 1 + α e 1 M + e 2 M F 1 M + p 1 M p 2 M 1 + α   and   D 2 M = α e 1 M e 2 M + α F 1 M α p 1 M + p 2 M 1 + α α
The profit function for catering merchants is:
π s M = 1 λ 1 p 1 M c D 1 M + 1 λ 2 p 2 M c D 2 M 1 2 k ( F 1 M ) 2
The profit function for Delivery Platform One is:
π 1 M = λ 1 p 1 M e 1 M D 1 M + 1 2 k ( F 1 M ) 2
The profit function of Delivery Platform Two is:
π 2 M = λ 2 p 2 M e 2 M D 2 M
Proposition 2.
Under the strategy where merchants focus their marketing efforts exclusively on Platform One, the optimal price, optimal marketing effort level, optimal coupon face value, and optimal profit  p 1 M * , p 2 M * , F 1 M * , e 1 M * , e 2 M * , π s M * , π 1 M * and π 2 M *  are as follows:
p 1 M * = c 3 2 k 4 + α 1 + α 2 α 2 k 4 + α 1 + α + α 2 2 + 2 k 4 + α 1 + α + α 1 + λ 1
p 2 M * = c + α 2 2 λ 2
F 1 M * = 2 + c 1 + α 2 + 2 k 4 + α 1 + α + α
e 1 M * = 2 2 + c k 1 + α 2 + ( c 3 + 6 k 1 + α 2 α 6 k 2 + α 1 + α + α ) λ 1 2 2 + 2 k 4 + α 1 + α + α 1 + λ 1
e 2 M * = λ 2 3 α + 2 α 2 + α 2 c k + c 2 α ( α + ( α 1 ) ( 2 α 5 ) k ) + ( α 1 ) ( α + c ( 4 α k + 4 k 1 ) + 2 ( α 1 ) α k ) 2 λ 2 1 ( α + 2 ( α 4 ) ( α 1 ) k 2 )
π s M * = 2 c 1 + 6 k 1 + α α + c 2 1 + 2 k 2 + α + α 2 + α α + 2 k 2 + α + α 2 4 α 2 + 2 k 4 + α 1 + α + α
π 1 M * = 2 + c 2 k 1 + 2 k 1 + α 1 + α 2 2 2 + 2 k 4 + α 1 + α + α 2
π 2 M * = 1 + α c 1 4 k 1 + α + α + 2 k 1 + α α 2 4 α 2 + 2 k 4 + α 1 + α + α 2
Proof: 
Through calculations, it can be inferred that π 1 M is a concave function of e 1 M and π 2 M is a concave function of e 2 M . By simultaneously considering π 1 M e 1 M = 0 and π 2 M e 2 M = 0 , we can find the solutions for e 1 M and e 2 M , which can then be substituted into Equation (11). When analyzing k > 2 α 2 4 + α 1 + α , the Hessian matrix H s M is negative definite. π s M is a concave function of p 1 M , p 2 M and F 1 M . By simultaneously considering π s M p 1 M = 0 , π s M p 2 M = 0 , and π s M F 1 M = 0 , we can determine the solutions for p 1 M * , p 2 M * and F 1 M * . By substituting p 1 M * , p 2 M * and F 1 M * into e 1 M and e 2 M concurrently, we can obtain e 1 M * and e 2 M * . Subsequently, by substituting p 1 M * , p 2 M * , F 1 M * , e 1 M * and e 2 M * into Equations (11)–(13), we can derive the optimal profit π s M * , π 1 M * , and π 2 M * . The detailed proof process can be found in Appendix A. □

4.3. Strategy 3: Merchants Engage with Two Platforms but Concentrate Their Marketing Efforts Exclusively on Delivery Platform Two

Merchants distribute coupons e 1 M and e 2 M across the food delivery platforms, while they choose to implement marketing efforts F 2 M on Platform One, foregoing similar efforts on Platform Two. In this strategy, the residual utility for consumers purchasing products from Platform One is represented as U 1 = v p 1 E + e 1 E , whereas the residual utility for consumers purchasing from Platform Two is represented as U 2 = α v p 2 E + e 2 E + F 2 E . Consumers will opt to purchase from Platform One when U 1 max { U 2 , 0 } , and they will choose Platform Two when U 2 max { U 1 , 0 } . Consequently, the analysis leads to the conclusion that consumer demand for Platform One and Platform Two can be articulated as follows:
D 1 E = 1 + α e 1 E + e 2 E + F 2 E + p 1 E p 2 E 1 + α   and   D 2 E = α e 1 E e 2 E F 2 E α p 1 E + p 2 E 1 + α α
The profit function for catering merchants is:
π s E = 1 λ 1 p 1 E c D 1 E + 1 λ 2 p 2 E c D 2 E 1 2 k ( F 2 E ) 2
The profit function for Delivery Platform One is:
π 1 E = λ 1 p 1 E e 1 E D 1 E
The profit function of Delivery Platform Two is:
π 2 E = λ 2 p 2 E e 2 E D 2 E + 1 2 k ( F 2 E ) 2
Proposition 3.
Under the strategy where merchants focus their marketing efforts exclusively on Platform Two, the optimal price, optimal level of marketing effort, optimal coupon face value, and optimal profit  p 1 E * , p 2 E * , F 2 E * , e 1 E * , e 2 E * , π s E * , π 1 E * and π 2 E *  are as follows:
p 1 E * = 1 + c 2 2 λ 1
p 2 E * = α 2 k 4 + α 1 + α α 2 + c 4 3 + 2 k 4 + α 1 + α α 2 2 + α + 2 k 4 + α 1 + α α 1 + λ 2
F 2 E * = 2 c α 1 + α 2 + α + 2 k 4 + α 1 + α α
e 1 E * = 2 α λ 1 + α α c 2 α 3 c k + 6 α 2 c k λ 1 + 4 α 2 c k 6 α c k λ 1 2 α c k + c λ 1 + c 6 α 3 k λ 1 + 4 α 3 k + 18 α 2 k λ 1 8 α 2 k 12 α k λ 1 + 4 α k + 3 λ 1 1 2 λ 1 1 α + 2 α 3 k 10 α 2 k + 8 α k 2
e 2 E * = 2 k 2 c α 1 + α 2 α + ( α 2 k 1 + α α 2 5 + 2 α + c 4 + α 3 + 2 k 2 + α + α 2 ) λ 2 2 2 + α + 2 k 4 + α 1 + α α 1 + λ 2
π s E * = 1 2 c 1 + 6 k 1 + α α + 2 k α 2 + α + α 2 + c 2 1 + 2 k 2 + α + α 2 4 2 + α + 2 k 4 + α 1 + α α
π 1 E * = 1 + α 1 + c 4 k 1 + α α + 2 c k 1 + α α 2 4 2 + α + 2 k 4 + α 1 + α α 2
π 2 E * = k 1 + α 2 2 c + α 2 1 + 2 k 1 + α α 2 2 + α + 2 k 4 + α 1 + α α 2
Proof: 
The proof process is identical to that of strategy two. Detailed information regarding the specific proof process can be found in Appendix A. □

4.4. Strategy 4: Merchants in the Catering Industry Should Engage with Two Distinct Platforms and Concurrently Execute Marketing Initiatives on Both Delivery Platforms

Merchants are advised to distribute coupons e 1 Q and e 2 Q across the food delivery platforms while simultaneously implementing marketing strategies F 1 Q and F 2 Q on Platform One and Platform Two, respectively. In this strategy, the residual utility for consumers purchasing products from Platform One is represented as U 1 = v p 1 Q + e 1 Q + F 1 Q , whereas the residual utility for consumers purchasing from Platform Two is represented as U 2 = α v p 2 Q + e 2 Q + F 2 Q . When the condition U 1 max { U 2 , 0 } is satisfied, consumers are inclined to purchase from Platform One; conversely, when U 2 max { U 1 , 0 } is satisfied, consumers are inclined to purchase from Platform Two. Consequently, based on the aforementioned analysis, it can be inferred that consumer demand for Platform One and Platform Two is characterized as follows:
D 1 = 1 ( p 1 p 2 + e 2 e 1 + F 2 F 1 ) / ( 1 α )   and   D 2 = ( p 1 p 2 + e 2 e 1 + F 2 F 1 ) / ( 1 α ) ( p 2 e 2 F 2 ) / α .
The profit function for catering merchants is:
π s = ( ( 1 λ 1 ) × p 1 c ) × D 1 + ( ( 1 λ 2 ) × p 2 c ) × D 2 1 / 2 × k × F 1 2 1 / 2 × k × F 2 2
The profit function for Delivery Platform One is:
π M = λ 1 × p 1 e 1 × D 1 + 1 / 2 × k × F 1 2
The profit function of Delivery Platform Two is:
π E = ( λ 2 × p 2 e 2 ) × D 2 + 1 / 2 × k × F 2 2
Upon completion of the calculations, it is clear that Strategy Four does not provide an optimal solution within the specified parameters. This outcome can primarily be attributed to the fact that Delivery Platform One and Delivery Platform Two cater to the same consumer demographic. As a result, Strategy Four is not considered the most favorable option. A comprehensive account of the calculation methodology is available in Appendix A.

5. Comparative Analysis

Proposition 4.
If  π s M * π s N * = 2 + c 2 1 + α 4 4 + α 2 + 2 k 4 + α 1 + α + α > 0  is true, then  π s M * > π s N *  holds under all circumstances. Meanwhile, if  π s E * π s N * = 1 + α 2 c + α 2 4 4 + α α 2 + α + 2 k 4 + α 1 + α α 0  is true, then  π s E * π s N *  also holds under all circumstances. At the same time, if  π s M * π s E * = 2 + c 2 1 + α 4 4 + α 2 + 2 k 4 + α 1 + α + α > 0  is true, then  π s M * > π s E *  is also valid. In summary, we conclude that  π s M * > π s E * = π s N *  is true.
Through analytical evaluation, it has been concluded that the most effective approach for merchants is to concentrate their marketing initiatives on a strong platform, solely considering profit margins, marketing expenditures, and product costs, while excluding other cost factors. As a result, under Strategy Two, the merchant’s profit is optimized. Since π s M * π s E * and π s M * π s N * are equivalent, it can be inferred that π s E * and π s N * are also equal. Therefore, the profit levels for service merchants under Strategy One and Strategy Three are the same, suggesting that the adoption of Strategy Three does not provide any incremental profit for merchants.
Proposition 5.
Given  F 1 M * F 2 E * = ( α 1 ) ( α 2 4 α α c + 2 α 3 c k 14 α 2 c k + 28 α c k 16 c k + 2 c 2 α 3 k + 10 α 2 k 8 α k + 4 ) ( α + 2 α 2 k 10 α k + 8 k 2 ) ( α + 2 α 3 k 10 α 2 k + 8 α k 2 ) . When  k > 2 + c α 2 + α 2 4 + α 1 + α 2 c α + c α  occurs, we can obtain  F 1 M * > F 2 E * . Otherwise, the reverse is true.
Through analytical examination, it has been established that the factors F 1 M * and F 2 E * are associated with the cost coefficient of marketing efforts. The formulated consumer demand function reveals that an increase in F corresponds with a decline in consumer demand for the platform. When the variable K surpasses a specific threshold, it can be inferred that F 1 M * > F 2 E * . At this juncture, the profits accrued by Platform One from its marketing initiatives will exceed the losses attributed to diminished consumer demand. Conversely, for Platform Two, if F 2 E * is excessively high, the profits generated from marketing efforts will be eclipsed by the losses stemming from reduced consumer demand. This indicates that the value of F is contingent upon the value of K.
Proposition 6.
Given  e 1 N * e 1 M * = 2 + c 1 + α 2 α + 2 3 + α λ 1 2 4 + α 2 + 2 k 4 + α 1 + α + α 1 + λ 1 . When  λ 1 > ( α 2 ) / ( 2 ( α 3 ) )  occurs, we can conclude that  e 1 N * > e 1 M *  is true. Conversely, the opposite holds, leading us to  e 1 N * e 1 E * = 2 c α 1 + α 2 4 + α 2 + α + 2 k 4 + α 1 + α α . The equation  e 1 N * < e 1 E *  remains valid under all circumstances because the equation is always negative.
Through analytical examination, it has been established that the values of e 1 M * and e 1 N * are significantly affected by the commission ratios of Platform One and Platform Two in a competitive environment. When the commission ratio of Platform One is represented as λ 1 > ( α 2 ) / 2 ( α 3 ) , it indicates that the commission rate of the platform is excessively elevated. In the context of Strategy Two, where the merchant concentrates marketing efforts exclusively on Platform One, the utility surplus of the product U 1 M will surpass that of U 1 E while Platform One operates under this strategy. Consequently, in relation to Strategy One, it is imperative to appropriately increase e 1 N * to enhance the utility surplus of the product, thereby stimulating product demand and augmenting profits. When merchants adopt Strategy Three, the values of e 1 E * and e 1 N * from Platform One become independent of the commission ratio of the platform. Comparative analysis reveals that the condition e 1 N * < e 1 E * remains valid. Under Strategy Three, an increase in U 2 E leads to a corresponding decrease in U 1 E . Therefore, to maintain consumer demand, Platform One is likely to increase U 1 E by elevating e 1 E * , which will ultimately result in an increase in e 1 N * , maintaining the relationship of e 1 N * < e 1 E * .
Proposition 7.
e 2 N * e 2 M * = 2 + c 1 + α α 2 4 + α 2 + 2 k 4 + α 1 + α + α . Because  e 2 N * e 2 M * < 0  the equation holds good under all circumstances, we could get  e 2 N * < e 2 M * . e 2 N * e 2 E * = 2 c α 1 + α 2 α + 2 3 + α λ 2 2 4 + α 2 + α + 2 k 4 + α 1 + α α 1 + λ 2 , When  λ 2 > ( α 2 ) / ( 2 ( α 3 ) ) , we could get  e 2 N * > e 2 E * . Otherwise, the opposite is true.
Through analytical examination, it was concluded that a comparison of Proposition 4 reveals that the values of e 2 E * under Strategy Three are equivalent to those of e 1 M * under Strategy Two. While the inequality e 2 N * < e 2 M * holds true in all scenarios within Strategy Three, it is noteworthy that, in contrast to Proposition 4, the difference e 2 N * e 2 M * is less than that of e 1 N * e 1 E * . Consequently, it can be inferred that when merchants choose to allocate resources towards marketing initiatives on less robust platforms, the coupon face value of these platforms experiences a more pronounced increase, whereas stronger platforms see a comparatively modest rise. Nonetheless, it is important to note that both values remain below the coupon face value observed in the absence of marketing efforts on the platform.
Inference 1.
When  k > 3 c + α 2 c α 2 1 + c 4 5 α + α 2  occurs, we can obtain  p 1 N * λ 1 > 0 ,  p 1 M * λ 1 > 0 ,  p 1 E * λ 1 > 0 ,  e 1 N * λ 1 > 0 ,  e 1 M * λ 1 > 0  and  e 1 E * λ 1 > 0 . When  k > 4 c + α 3 c α 2 c + α 4 α 5 α 2 + α 3  occurs, we can obtain  p 2 N * λ 2 > 0 ,  p 2 M * λ 2 > 0 ,  p 2 E * λ 2 > 0 ,  e 2 N * λ 2 > 0 ,  e 2 M * λ 2 > 0  and  e 2 E * λ 2 > 0 .
When the variable k satisfies the established criteria, it can be guaranteed that the product price will exceed zero. As the number of delivery platforms increases, the optimal decisions are expected to escalate as well. This encompasses the selling prices of products on Delivery Platform One, the selling prices of products on Delivery Platform Two, as well as the coupon values on both platforms. Catering merchants may encounter heightened expenses as a result of increasing commission rates imposed by the platforms. In order to preserve their profit margins, these merchants are likely to adjust the selling prices of their products upward. Concurrently, to entice consumers, the platforms are anticipated to proportionately enhance the nominal value of their coupons.
Inference 2.
D 1 M * k < 0 ,  D 2 M * k > 0 ,  D 1 E * k > 0 ,  D 2 E * k < 0 .
In Strategy Two, an increase in k results in a decline in demand for Delivery Platform One, while demand for Delivery Platform Two experiences an increase. Conversely, in Strategy Three, demand for Delivery Platform One rises with an increase in k , whereas demand for Delivery Platform Two diminishes. The variable k signifies the elevated marketing expenses incurred by catering businesses when they allocate one unit of marketing effort. These heightened marketing costs are typically counterbalanced by an increase in product pricing. When market demand remains constant, an escalation in product prices on one platform will prompt a portion of consumers to transition to alternative platforms. Consequently, it is evident that when catering businesses engage in high-cost marketing initiatives on a food delivery platform, this results in elevated product prices and a corresponding decline in consumer demand on that specific platform. Concurrently, there will be a proportional increase in consumer demand for rival food delivery platforms.
Inference 3.
When  π s M * k < 0 ,  π s E * k < 0 ,  π 1 M * k < 0 ,  π 1 E * k < 0 , and  1 2 1 + α 8 + 3 α < α < c + α 2 2 c α 1 + α  occurs, we can obtain  π 2 M * k > 0  and  π 2 E * k > 0 .
The value of k is positively correlated with the marketing effort cost incurred by a merchant for each unit of marketing investment. Specifically, the profitability of a catering merchant is inversely related to the marketing effort cost coefficient associated with that merchant. In contrast, the profitability of delivery platform two is directly related to the marketing effort cost coefficient of catering merchants. For catering enterprises, an increase in k leads to higher marketing costs per unit of product investment, which in turn diminishes the overall profits of the business. To mitigate these financial losses, merchants are likely to increase the prices of their products on both delivery platforms one and two in order to sustain profitability. As k rises, it can be anticipated that consumer demand on food delivery platform one will decrease, prompting customers to migrate towards food delivery platform two. Consequently, a lower k is more advantageous for catering businesses and food delivery platforms. Conversely, for food delivery platform two, a larger k becomes more beneficial for its profitability, provided that α remains within a specific range that guarantees positive profits for the platform.

6. Numerical Experiments

This research utilizes Mathematica to conduct an analysis of numerical examples. Initially, the parameters are defined with c = 0.1 and k = 3 , facilitating an investigation into the influence of the valuation discount factor α on the profitability of catering enterprises as it varies within the interval (0, 1). The subsequent data analysis indicates that when the valuation discount factor surpasses 0.9, the market competitiveness of the two food delivery platforms aligns, leading to minimal differences in their respective impacts. Therefore, the analysis will concentrate on the variations of the valuation discount factor α within the range (0, 0.9) to evaluate its effects on the profits of external sales platform one and takeaway platform two.

6.1. The Influence of Valuation Discount Factors on Merchant Profits Across Various Strategies

The profits of the catering business exhibit variability depending on the adopted strategies. As depicted in Figure 2, under Strategy One, the profits of catering merchants demonstrate a consistent upward trend. Conversely, under Strategy Two, profits initially increase before experiencing a decline as α rises. In the case of Strategy Three, profits initially decrease, followed by an increase, a subsequent decrease, and finally an increase as α continues to rise. When a catering merchant implements Strategy One, the profit of the business shows a steady increase in response to changes in α . In comparison to marketing initiatives, the intensity of market competition appears to exert a relatively minor influence on the profits of the catering business. Notably, when a catering business allocates resources to marketing, it becomes apparent that under Strategies Two and Three, maximum profits are achieved when α is situated between 0.4 and 0.6. Furthermore, the profits of catering merchants under Strategy Two surpass those observed under Strategy Three.

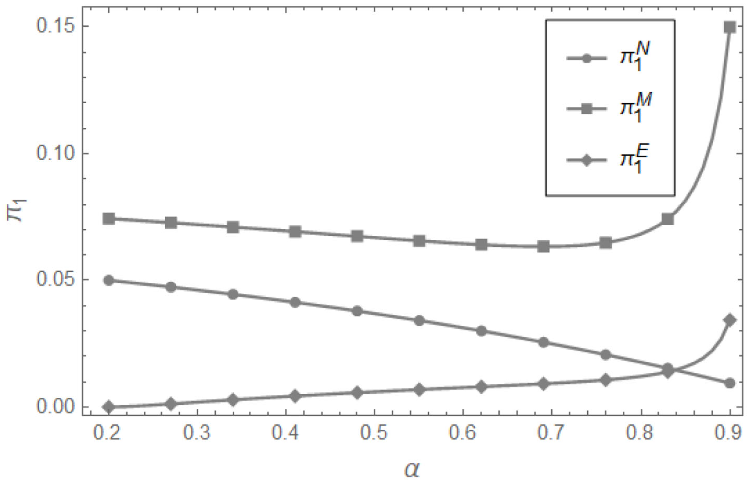
6.2. The Influence of Valuation Discount Factors on the Profitability of Delivery Platform One Across Various Strategies

Analysis of Figure 3 reveals that the profitability of Delivery Platform One under Strategy One exhibits a gradual decline as the variable α increases. Conversely, in the context of Strategy Two, the profit initially diminishes before experiencing an increase with rising values of α , suggesting the existence of a minimum threshold. In contrast, the profitability of Delivery Platform One under Strategy Three demonstrates a consistent upward trend in relation to increasing α . It is noteworthy that there exists a specific range for α , between 0.8 and 0.9, at which the profits of Delivery Platform One are equivalent under both Strategy One and Strategy Three. Additionally, Figure 2 underscores the significant influence of market competition on the profitability of delivery platforms. Under Strategy Two, the profit margins of Delivery Platform One consistently surpass those of the other strategies. Consequently, the adoption of Strategy Two emerges as the most beneficial approach for catering merchants.

6.3. The Influence of Valuation Discount Factors on the Profitability of Delivery Platform Two Across Various Strategies

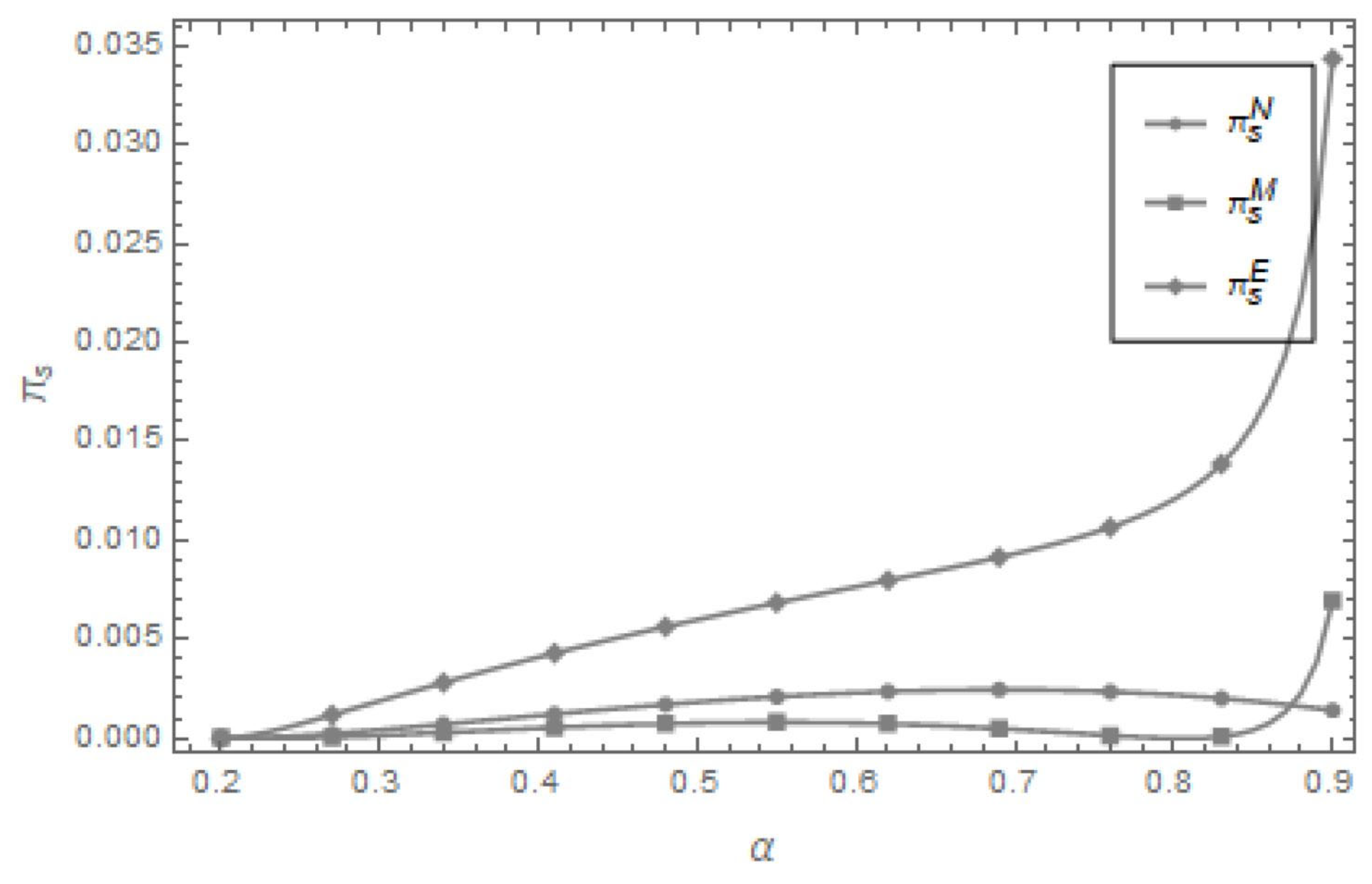
Analysis of Figure 4 reveals that the profitability of Delivery Platform Two, when employing Strategy One, initially experiences an upward trend followed by a decline as the value of α increases. Upon reaching a specific threshold for α, the profits associated with both Strategy One and Strategy Two converge. Notably, under Strategy Two, the profitability of Delivery Platform Two demonstrates a marked upward trajectory only when α exceeds a particular value. Conversely, the profitability of Delivery Platform Two under Strategy Three shows a substantial increase in relation to the valuation discount factor, consistently surpassing the profits generated by both Strategy One and Strategy Two. This examination suggests that the valuation discount factor α plays a critical role in determining the profitability of Delivery Platform Two when catering businesses allocate resources towards marketing initiatives. Consequently, the adoption of Strategy Three appears to offer greater advantages for catering merchants utilizing Delivery Platform Two.

6.4. Profitability Analysis of Marketing Effort Cost Coefficients for Merchant and Delivery Platforms Across Various Strategies

Utilizing parameter settings of c = 0.1 , α = 0.6 , this analysis examines the effects of marketing effort cost coefficients on the profitability of merchants and food delivery platforms. A comparative review of Figure 5a,b reveals that the profit for Delivery Platform One depicted in Figure 5a exhibits a gradual decline as the variable k increases. Conversely, Figure 5b illustrates an upward trend in the profit of Delivery Platform Two as k rises. Notably, while the variable k exerts a relatively minor influence on the profits of catering businesses, it has a pronounced effect on Delivery Platform One under Strategy Two and Delivery Platform Two under Strategy Three.

7. Discussion

7.1. Conclusions

This study investigates the regulatory framework of the “one out of two” policy concerning food delivery platforms. We analyzed a catering service provider’s selection of both robust and less effective delivery platforms, alongside the implementation of various marketing strategies. Our research specifically examined the differential effects of these strategic choices made by catering service providers on the performance of members within the service supply chain. We developed profit functions for each supply chain member under four distinct marketing strategies employed by service providers. Through this analysis, we evaluated the optimal decisions and profits of each member, leading to several key conclusions.
The selection of delivery platforms and marketing strategies by service providers has a significant influence on the performance of supply chain members. This study emphasizes three marketing strategies utilized by service providers, as the fourth strategy does not yield an optimal solution. When service providers choose to affiliate with dominant platforms and engage in marketing efforts (Strategy Two), they attain the highest optimal profit, with the profits of dominant platforms consistently surpassing those of the other strategies. In contrast, when a service provider opts to partner with a less advantageous platform and undertake marketing efforts (Strategy Three), its optimal profit aligns with that achieved when it abstains from marketing on both platforms (Strategy One). Notably, in this scenario, the profits of weaker platforms consistently exceed those observed under the other strategies.
The extent of marketing effort exerted by service providers is intricately linked to the cost coefficient associated with such marketing endeavors. The profits of catering providers and delivery platforms exhibit an inverse relationship with the marketing effort cost coefficient of the catering providers. Conversely, the profits of the second delivery platform are directly proportional to the marketing effort cost coefficient of catering merchants. For catering businesses, an elevated marketing effort cost coefficient leads to increased marketing expenses per unit of product investment, thereby diminishing the overall profits of the business. To mitigate these losses, merchants may choose to raise product prices on the delivery platform. When market demand remains stable, an increase in product prices on one platform may prompt some consumers to transition to alternative platforms. Consequently, when catering merchants engage in high-cost marketing efforts on a delivery platform, this results in elevated product prices and a decline in consumer demand, while simultaneously increasing consumption demand on competing delivery platforms.
The extent of marketing initiatives undertaken by catering businesses plays a crucial role in shaping the strategy for establishing the nominal value of discount coupons across competitive platforms. In a competitive landscape, when merchants allocate resources to marketing on more robust platforms, it is advisable for the platform to increase the nominal value of the coupons. Conversely, when merchants direct their marketing efforts towards less competitive platforms, the nominal value of the coupons should be adjusted in accordance with a percentage of the commission. In instances where the commission ratio is low, the optimal nominal value of the coupons on the platform should surpass the standard coupon value to encourage merchants to pursue marketing activities. Delivery Platform Two, characterized by its relative weakness and diminished consumer demand, exemplifies this dynamic. As a result, when catering businesses opt to invest in marketing on Delivery Platform One, Delivery Platform Two is likely to issue substantial discount coupons to mitigate the potential shift in consumer demand towards Platform One. This approach is designed to enhance the surplus from product consumption and bolster competitiveness. Therefore, it can be concluded that when merchants concentrate their marketing efforts on stronger platforms, the optimal coupon value on weaker platforms will consistently exceed the coupon value in scenarios where merchants refrain from engaging in marketing activities.

7.2. Theoretical Implications

This study investigates the diverse impacts of alterations in marketing strategies employed by service providers within a competitive platform environment. A comprehensive understanding of these dynamics is essential for enhancing cooperation strategies within platform supply chains. It is important to highlight that the current body of literature concerning platform supply chains has rarely examined the cooperative strategies employed by individual offline service providers in relation to multiple competing platforms. This gap in research limits our understanding of the strategic implications for stakeholders within the service supply chain in these scenarios. This study examines the decision-making processes of catering merchants in relation to their associations with either robust or less robust platforms. Additionally, it investigates how the adoption of diverse marketing strategies influences both the merchants’ performance and the performance of competing platforms. Furthermore, it examines the influence of differing commission rates and coupon values offered by competitive platforms on the performance of supply chain participants. Through the use of detailed numerical examples, this study also assesses the effects of various valuation discount factors on the profits of catering merchants and two delivery platforms. Ultimately, this research provides theoretical insights into how different platforms can enhance their collaboration with suppliers in light of the “one out of two” regulatory policy recently enacted for platforms.
This study substantiates the beneficial effects of merchant marketing strategies and enhances our comprehension of their influence on supply chain demand levels, pricing decisions, and profitability. Prior research has established that marketing initiatives foster innovation and positively impact the decision-making processes and economic advantages of supply chain participants [48]. For retailers, marketing strategies can directly stimulate consumer purchasing demand [42], thereby affecting demand levels, pricing strategies, and overall profitability within the supply chain [45]. This investigation reveals that the marketing activities of service providers significantly influence the performance of supply chain participants and the strategic determination of platform coupon face values. When service providers allocate substantial resources to marketing on a specific platform, it may result in elevated product prices and a reduction in consumer demand on that platform, while concurrently enhancing consumer demand on rival platforms. Moreover, when service providers focus their marketing efforts on dominant platforms, they achieve maximum optimal profits, with the earnings from these platforms consistently surpassing those derived from alternative strategies. In contrast, when a merchant directs marketing efforts towards a less competitive platform their optimal profit aligns with the profit they would attain without any marketing initiatives on either platform. Nonetheless, the profit generated by the weaker platform remains superior to that of other strategies. This research enriches our understanding of the cascading effects resulting from strategic modifications implemented by members within the service supply chain.
This study contributes to the understanding of the competitive dynamics between bilateral platforms and their associated implications. Prior research has established that digital platforms are characterized by the principle that “the strong remain strong” [31]. However, following the introduction of anti-monopoly regulations for platforms in 2021, competition among these platforms has been effectively maintained. Within bilateral platforms, the degree of competition among sellers significantly affects platform pricing, product diversity, and the number of trading platforms available [6]. Therefore, the effective management of competition among platforms is crucial. In scenarios where bilateral platforms face intense competition between suppliers and demanders, the cooperative relationships among platform members may negatively impact the platform’s profitability [8]. In a competitive environment, if a platform incentivizes high-quality suppliers to join through subsidies, while this may enhance supplier quality, it can also pose challenges for the platform and reduce supplier profits [9]. The analysis indicates that when platforms one and two engage in competition, the nominal value of platform coupons is correlated with the platform’s commission rate. As the commission rate increases, optimal decisions regarding product sales prices and coupon values for both platforms also rise. When merchants choose to invest in marketing efforts on less competitive platforms, the nominal value of coupons for these platforms increases more significantly, whereas the increase for more competitive platforms is relatively modest. Nonetheless, the coupon value remains lower than it would be in the absence of marketing efforts. Competitive platforms that implement varying commission rates and coupon values exert distinct effects on the performance of different members within the supply chain.

7.3. Practical Implications

Service providers must strategically choose platforms and formulate effective marketing strategies. When evaluating profit margins, marketing expenses, and product costs, service providers should prioritize their marketing efforts on robust platforms, as this approach typically yields the highest profit margins. However, if the objective is to increase product awareness and stimulate sales, marketing on less prominent platforms may also prove beneficial for businesses. From the perspective of the platform, the marketing expenditures incurred by participating merchants contribute to the platform’s overall revenue. Therefore, when merchants allocate resources to marketing on the platform, it results in increased profits for the platform. Furthermore, the marketing initiatives undertaken by merchants can attract additional customer traffic, thereby further enhancing the platform’s revenue and profitability. Consequently, service providers must meticulously assess their choices between strong and weak platforms, as well as their investments in marketing activities such as traffic fees and advertising costs, in light of the performance metrics they seek to achieve. Strong platforms should incentivize merchants to intensify their marketing efforts on the platform. It is also essential for the platform to adjust its strategic decisions based on its unique circumstances. For example, the nominal value of coupons can impact consumer demand and the platform’s costs, while the commission rate imposed by the platform can influence the pricing strategies of merchants’ products, among other considerations.
Service providers should conduct a thorough evaluation of the costs associated with marketing efforts prior to implementing any marketing strategies. For merchants, a higher coefficient of marketing effort cost results in increased marketing expenses per unit of product, which subsequently diminishes merchant profits. To counterbalance these losses, merchants may choose to elevate the prices of their products on the platform. When market demand remains stable and competition among platforms exists, an increase in product prices on one platform is likely to prompt some consumers to migrate to alternative platforms. This indicates that when retailers invest in expensive marketing initiatives on a particular platform, it results in higher product prices and a decrease in consumer demand on that platform. Concurrently, this approach tends to enhance consumer demand on rival platforms. Nevertheless, marketing efforts can also exert a positive influence on consumer demand, particularly on stronger platforms where consumer interest is comparatively high. The profit loss experienced by a platform due to price increases resulting from merchants’ intensified marketing efforts can be alleviated by the consumer demand generated by these initiatives. Conversely, for weaker platforms, the increase in product prices and the decline in consumer demand resulting from high-cost marketing efforts by merchants cannot be fully compensated. To sustain optimal profit levels, this scenario necessitates a lower optimal marketing effort level for merchants on weaker platforms compared to those on stronger platforms.
In competitive settings, various platforms must assess the influence of discount coupon face value strategies on the performance of supply chain participants. When merchants choose to advertise their products on robust platforms, it is essential to adjust the face value of coupons in relation to the commission percentage. A lower commission ratio warrants an increase in the coupon face value, as this can lead to improved profitability. Conversely, a higher commission percentage necessitates a reduction in the coupon face value compared to scenarios where merchants are not engaged in marketing activities. When merchants direct their marketing efforts towards less competitive platforms, stronger platforms should consider raising the face value of their coupons to enhance the residual utility of products and alleviate potential declines in consumer demand. Therefore, platforms must meticulously analyze their own conditions alongside those of rival platforms when establishing coupon face values. For merchants operating on weaker platforms, the commission ratio becomes a pivotal element in determining the appropriate coupon face value. A high commission ratio indicates that a larger coupon face value may not be advantageous for augmenting platform profits, thereby necessitating a lower face value. In contrast, a low commission ratio suggests that the optimal coupon face value should surpass the value established in the absence of merchant marketing efforts. Weaker platforms generally experience diminished consumer demand. Consequently, when merchants promote their products on stronger platforms, weaker platforms may issue substantial discount coupons to enhance product consumption surplus and bolster their competitive stance, thereby mitigating the risk of consumer demand migrating to stronger platforms. Thus, when merchants opt to market on robust platforms, the optimal coupon value for weaker platforms should consistently exceed the value observed when merchants refrain from marketing activities.

7.4. Limitations and Future Research

This study presents four primary limitations. First, the representativeness of the research is constrained. The focus is exclusively on the supply chain of food delivery services, which constitutes a significant subset of platform services. However, other bilateral platform services, such as ride-hailing, online retail, and logistics platforms, possess distinct characteristics that are not addressed in this study. Consequently, the research fails to encompass the fundamental attributes of competitive bilateral platforms comprehensively. Second, the article assumes that both merchants and platforms operate under conditions of risk neutrality, overlooking the variability in risk preferences that may exist between these entities. Current literature on the supply chain strategies of online-to-offline (O2O) food delivery services typically adopts a risk-neutral perspective for both platforms and merchants [49]. Furthermore, studies examining network cross-externalities among various delivery platforms have predominantly considered scenarios in which the delivery platform is risk-neutral [50]. Additionally, research on governmental regulation of bilateral market competition with network externalities within the O2O framework has not accounted for differing risk preferences [36]. As a result, the influence of risk preference on optimal strategies in the context of competitive platforms and two-sided markets has been insufficiently explored. Lastly, the research methodology exhibits certain limitations. While the study employs game theory analysis, inverse solving methods, and numerical case analysis, these approaches are conducted within static contexts and do not thoroughly investigate the Stackelberg dynamic game methodology.
Future research can be pursued comprehensively through three key dimensions. First, it is essential to enhance the representativeness of the study. A more systematic investigation into the differentiated effects of marketing strategies on bilateral platform service providers, such as ride-hailing services, online retail, and logistics platforms, should be considered. Second, a broader range of possibilities should be examined. This article primarily addresses the relationship between a single merchant and two platforms; however, future studies could investigate optimal strategies involving multiple merchants and platforms, including scenarios of collaboration among merchants and competition among platforms. Existing literature suggests that as the number of merchants increases, the platforms’ absolute power over these merchants diminishes, which may facilitate improvements in the merchants’ profit margins. Lastly, future research should take into account varying risk preferences. Subsequent studies could conduct a thorough analysis of the reciprocal influences between merchants and platforms characterized by differing risk appetites.

Author Contributions

Conceptualization, W.L. and Y.H.; methodology, W.L. and Y.H.; formal analysis, W.L. and Y.H.; writing-original draft preparation, W.L. and Y.H.; writing-review and editing, W.L. and Y.H.; project administration, W.L.; funding acquisition, W.L. All authors have read and agreed to the published version of the manuscript.

Funding

The following project funded this research work: Major Program of the National Social Science Foundation of China (grant No. 22BGL288).

Institutional Review Board Statement

Not applicable.

Informed Consent Statement

Not applicable.

Data Availability Statement

Research data are available from the authors upon reasonable request.

Conflicts of Interest

The authors declare no conflicts of interest.

Appendix A. Methodology for Analyzing Four Strategic Approaches

Appendix A.1. Strategy 1

Proof Methodology:
In order to address the problem through the technique of reverse induction, we begin by performing calculations π 1 N e 1 N = 1 α + 2 e 1 N e 2 N p 1 N + p 2 N p 1 N λ 1 α 1 and π 2 N e 2 N = α e 1 N + 2 e 2 N + α p 1 N λ 2 p 2 N p 2 N ( α 1 ) α according to Equations (4) and (5). Since 2 π 1 N ( e 1 N ) 2 = 2 1 α < 0 and 2 π 2 N ( e 2 N ) 2 = 2 ( α 1 ) α < 0 , so π 1 N is a concave function with respect to e 1 N , and π 2 N is a concave function with respect to e 2 N . Therefore, simultaneously assume π 1 N e 1 N = 0 and π 2 N e 2 N = 0 , and we can obtain e 1 N = 2 2 α + p 1 N 2 + α 2 λ 1 p 2 N 1 + λ 2 4 + α and e 2 N = 1 α α + p 1 N α α λ 1 + p 2 N 2 + α 2 λ 2 4 + α . Next, we substitute e 1 N and e 2 N into Equation (3) and compute the first-order partial derivatives of p 1 N and p 2 N , respectively, to obtain π s N p 1 N = 2 2 + α α p 1 N 1 + λ 1 2 + α 1 + λ 1 2 + c 1 + α + 2 p 2 N 1 + λ 2 4 + α 1 + α α and π s N p 2 N = 2 α p 1 N 1 + λ 1 1 + λ 2 + 1 + α 2 c + α + 2 + α p 2 N 1 + λ 2 1 + λ 2 + 2 + α p 2 N 1 + λ 2 2 4 + α 1 + α α . We then calculate the second-order partial derivative to derive the Hessian matrix H s N = 2 2 + α 1 + λ 1 2 4 + α 1 + α 2 1 + λ 1 1 + λ 2 4 + α 1 + α 2 1 + λ 1 1 + λ 2 4 + α 1 + α 2 2 + α 1 + λ 2 2 4 + α 1 + α α . Since H s N = 4 1 + λ 1 2 1 + λ 2 2 4 + α 1 + α α > 0 remains constant, the Hessian matrix H s N is negative definite, indicating that the profit π s N of the merchant is a concave function with respect to p 1 N and p 2 N . Simultaneously solving for π s N p 1 N = 0 and π s N p 2 N = 0 yields p 1 N * and p 2 N * , and substituting p 1 N * and p 2 N * into e 1 N and e 2 N yields e 1 N * and e 2 N * . Finally, substituting p 1 N * , p 2 N * , e 1 N * , and e 2 N * into Equations (3)–(5) results in the optimal profits π s N * , π 1 N * , and π 2 N * .

Appendix A.2. Strategy 2

The proof is established through the application of the reverse induction method. Firstly, we calculate π 1 M e 1 M = 1 α + 2 e 1 M e 2 M + F 1 M p 1 M + e 2 M p 1 M λ 1 1 + α and π 2 M e 2 M = α e 1 M + 2 e 2 M α F 1 M + α F 1 M p 2 M p 2 M λ 2 1 + α α according to Equations (16) and (17). Since 2 π 1 M ( e 1 M ) 2 = 2 1 α < 0 and 2 π 2 M ( e 2 M ) 2 = 2 1 α 2 α < 0 , so π 1 M is a concave function with respect to e 1 M , and π 2 M is a concave function with respect to e 2 M . Therefore, simultaneously assume π 1 M e 1 M = 0 and π 2 M e 2 M = 0 , and we can obtain e 1 M = 2 + 2 α 2 F 1 M + α F 1 M + 2 p 1 M α p 1 M p 2 M + 2 p 1 M λ 1 + p 2 M λ 2 4 + α and e 2 M = α + α 2 + α F 1 M α p 1 M + 2 p 2 M α p 2 M + α p 1 M λ 1 + 2 p 2 M λ 2 4 + α . Next, we substitute e 1 M and e 2 M into Equation (15) and compute the first-order partial derivatives of p 1 M , p 2 M , and F 1 M , respectively, to obtain π s M p 1 M = 2 2 + α α F 1 M 1 + λ 1 + 2 2 2 + α α p 1 M 1 + λ 1 2 + α 1 + λ 1 2 + c 1 + α + 2 p 2 M 1 + λ 2 2 4 + α 1 + α α , π s M p 2 M = 2 λ 2 1 ( α 1 ) ( α + 2 c ) + ( α 2 ) λ 2 1 p 2 M + ( α 2 ) λ 2 1 2 p 2 M + 2 α λ 1 1 λ 2 1 p 1 M + 2 α F 2 M λ 2 1 2 ( α 4 ) ( α 1 ) α , and π s M F 1 M = 2 k 4 + α 1 + α α F 1 M + 2 α c 1 + α + 2 + α p 1 M 1 + λ 1 + p 2 M 1 + λ 2 2 4 + α 1 + α α We then calculate the second-order partial derivative to derive the Hessian matrix
H s M = 2 2 + α 1 + λ 1 2 4 + α 1 + α 2 1 + λ 1 1 + λ 2 4 + α 1 + α 2 + α 1 + λ 1 4 + α 1 + α 2 1 + λ 1 1 + λ 2 4 + α 1 + α 2 2 + α 1 + λ 2 2 4 + α 1 + α α 1 + λ 2 4 + α 1 + α 2 + α 1 + λ 1 4 + α 1 + α 1 + λ 2 4 + α 1 + α k . Since 2 2 + α 1 + λ 1 2 4 + α 1 + α < 0 and 2 2 + α 1 + λ 1 2 4 + α 1 + α 2 1 + λ 1 1 + λ 2 4 + α 1 + α 2 1 + λ 1 1 + λ 2 4 + α 1 + α 2 2 + α 1 + λ 2 2 4 + α 1 + α α > 0 , when k > 2 α 2 4 + α 1 + α , we can obtain 2 2 + α 1 + λ 1 2 4 + α 1 + α 2 1 + λ 1 1 + λ 2 4 + α 1 + α 2 + α 1 + λ 1 4 + α 1 + α 2 1 + λ 1 1 + λ 2 4 + α 1 + α 2 2 + α 1 + λ 2 2 4 + α 1 + α α 1 + λ 2 4 + α 1 + α 2 + α 1 + λ 1 4 + α 1 + α 1 + λ 2 4 + α 1 + α k = 2 2 + 2 k 4 + α 1 + α + α 1 + λ 1 2 1 + λ 2 2 α 4 5 α + α 2 2 > 0 . At this time, the Hessian matrix H s M is negative definite, indicating that the profit π s M of the merchant is a concave function with respect to p 1 M , p 2 M , and F 1 M . Simultaneously solving for π s M p 1 M = 0 , π s M p 2 M = 0 , and π s M F 1 M = 0 yields p 1 M * , p 2 M * , and F 1 M * , and substituting p 1 M * , p 2 M * , F 1 M * into e 1 M and e 2 M yields e 1 M * and e 2 M * . Finally, substituting p 1 M * , p 2 M * , F 1 M * , e 1 M * , and e 2 M * into Equations (15)–(17) results in the optimal profits π s M * , π 1 M * , and π 2 M * .

Appendix A.3. Strategy 3

The proof is established through the application of the reverse induction method. Firstly, we calculate π 1 E e 1 E = 1 α + 2 e 1 E e 2 E F 2 E p 1 E + p 2 E p 1 E λ 1 1 + α and π 2 E e 2 E = α e 1 E + 2 e 2 E α F 1 E + α F 1 E p 2 E p 2 E λ 2 1 + α α according to Equations (29) and (30). Since 2 π 1 E ( e 1 E ) 2 = 2 1 α < 0 and 2 π 2 E ( e 2 E ) 2 = 2 1 α 2 α < 0 , so π 1 E is a concave function with respect to e 1 E , and π 2 E is a concave function with respect to e 2 E . Therefore, simultaneously assume π 1 E e 1 E = 0 and π 2 E e 2 E = 0 , and we can obtain e 1 E = 2 + 2 α + F 2 E + 2 p 1 E α p 1 E p 2 E + 2 p 1 E λ 1 + p 2 E λ 2 4 + α and e 2 E = α + α 2 2 F 2 E + α F 2 E α p 1 E + 2 p 2 E α p 2 E + α p 1 E λ 1 + 2 p 2 E λ 2 4 + α . Next, we substitute e 1 E and e 2 E into Equation (28) and compute the first-order partial derivatives of p 1 E , p 2 E , and F 2 E , respectively, to obtain π s E p 1 E = 2 α F 2 E 1 + λ 1 + 2 ( 2 2 + α α p 1 E 1 + λ 1 2 + α 1 + λ 1 2 + c 1 + α + 2 p 2 E 1 + λ 2 ) 2 4 + α 1 + α α , π s E p 2 E = 2 ( λ 2 1 ( α 1 ) ( α + 2 c ) + ( α 2 ) λ 2 1 p 2 E + ( α 2 ) λ 2 1 2 p 2 E + 2 α λ 1 1 λ 2 1 p 1 E ) + 2 ( α 2 ) F 2 E λ 2 1 2 ( α 4 ) ( α 1 ) α , and π s E F 1 E = 2 k 4 + α 1 + α α F 2 E + 2 2 c 1 + α + α p 1 E 1 + λ 1 + 2 + α p 2 E 1 + λ 2 2 4 + α 1 + α α We then calculate the second-order partial derivative to derive the Hessian matrix H s E = 2 2 + α 1 + λ 1 2 4 + α 1 + α 2 1 + λ 1 1 + λ 2 4 + α 1 + α 1 + λ 1 4 5 α + α 2 2 1 + λ 1 1 + λ 2 4 + α 1 + α 2 2 + α 1 + λ 2 2 4 + α 1 + α α 2 + α 1 + λ 2 4 + α 1 + α α 1 + λ 1 4 5 α + α 2 2 + α 1 + λ 2 4 + α 1 + α α k . Since 2 2 + α 1 + λ 1 2 4 + α 1 + α < 0 and 2 2 + α 1 + λ 1 2 4 + α 1 + α 2 1 + λ 1 1 + λ 2 4 + α 1 + α 2 1 + λ 1 1 + λ 2 4 + α 1 + α 2 2 + α 1 + λ 2 2 4 + α 1 + α α > 0 , when k > 2 α 2 4 + α 1 + α α , we can obtain 2 2 + α 1 + λ 1 2 4 + α 1 + α 2 1 + λ 1 1 + λ 2 4 + α 1 + α 1 + λ 1 4 5 α + α 2 2 1 + λ 1 1 + λ 2 4 + α 1 + α 2 2 + α 1 + λ 2 2 4 + α 1 + α α 2 + α 1 + λ 2 4 + α 1 + α α 1 + λ 1 4 5 α + α 2 2 + α 1 + λ 2 4 + α 1 + α α k = 2 ( 2 + α + 2 k ( 4 + α ) ( 1 + α ) α ) 1 + λ 1 2 1 + λ 2 2 α 2 4 5 α + α 2 2 > 0 . At this time, the Hessian matrix H s E is negative definite, indicating that the profit π s E of the merchant is a concave function with respect to p 1 E , p 2 E , and F 1 E . Simultaneously solving for π s E p 1 E = 0 , π s E p 2 E = 0 , and π s E F 1 E = 0 yields p 1 E * , p 2 E * , and F 1 E * , and substituting p 1 E * , p 2 E * , and F 1 E * into e 1 E and e 2 E yields e 1 E * and e 2 E * . Finally, substituting p 1 E * , p 2 E * , F 1 E * , e 1 E * , and e 2 E * into Equations (28)–(30) results in the optimal profits π s E * , π 1 E * , and π 2 E * .

Appendix A.4. Strategy 4

The proof is established through the application of the reverse induction method. Firstly, we calculate π 1 Q e 1 Q = 1 + e 1 + e 2 F 1 + F 2 + p 1 p 2 1 α + e 1 + p 1 λ 1 1 α and π 2 Q e 2 Q = e 1 + e 2 F 1 + F 2 + p 1 p 2 1 α + e 2 F 2 + p 2 α + 1 1 α + 1 α e 2 + p 2 λ 2 according to Equations (34) and (35). Since 2 π 1 Q ( e 1 Q ) 2 = 2 1 α < 0 and 2 π 2 Q ( e 2 Q ) 2 = 2 1 α 2 α < 0 , so π 1 Q is a concave function with respect to e 1 Q , and π 2 Q is a concave function with respect to e 2 Q . Therefore, simultaneously assume π 1 Q e 1 Q = 0 and π 2 Q e 2 Q = 0 , and we can obtain e 1 Q = 2 + 2 α 2 F 1 + α F 1 + F 2 + 2 p 1 α p 1 p 2 + 2 p 1 λ 1 + p 2 λ 2 4 + α and e 2 Q = α + α 2 + α F 1 2 F 2 + α F 2 α p 1 + 2 p 2 α p 2 + α p 1 λ 1 + 2 p 2 λ 2 4 + α . Next, we substitute e 1 Q and e 2 Q into profit function and compute the first-order partial derivatives of p 1 Q , p 2 Q , F 1 Q , and F 2 Q respectively, to obtain π s Q p 1 Q = 1 2 4 + α 1 + α α 2 2 + α α F 1 1 + λ 1 + 2 α F 2 1 + λ 1 + 2 2 2 + α α p 1 1 + λ 1 2 + α 1 + λ 1 2 + c 1 + α + 2 p 2 1 + λ 2 , π s Q p 2 Q = 1 2 ( 4 + α ) ( 1 + α ) α ( 2 ( 2 α p 1 ( 1 + λ 1 ) ( 1 + λ 2 ) + ( ( 1 + α ) ( 2 c + α ) + ( 2 + α ) p 2 ( 1 + λ 2 ) ) ( 1 + λ 2 ) + ( 2 + α ) p 2 ( 1 + λ 2 ) 2 ) + 2 α F 1 ( 1 + λ 2 ) + 2 ( 2 + α ) F 2 ( 1 + λ 2 ) ) , π s Q F 1 Q = 2 k 4 + α 1 + α α F 1 + 2 α c 1 + α + 2 + α p 1 1 + λ 1 + p 2 1 + λ 2 / ( 2 ( 4 + α ) ( 1 + α ) α ) , and π s Q F 2 Q = ( 2 k ( 4 + α ) ( 1 + α ) α F 2 + 2 ( 2 c ( 1 + α ) + α p 1 ( 1 + λ 1 ) + ( 2 + α ) p 2 ( 1 + λ 2 ) ) ) / ( 2 ( 4 + α ) ( 1 + α ) α ) .
We then calculate the second-order partial derivative to derive the Hessian matrix
H s Q = { { 2 2 + α 1 + λ 1 2 4 + α 1 + α , 2 1 + λ 1 1 + λ 2 4 + α 1 + α , 2 + α 1 + λ 1 4 + α 1 + α , 1 + λ 1 4 + α 1 + α } ,
2 1 + λ 1 1 + λ 2 4 + α 1 + α , 2 2 + α 1 + λ 2 2 4 + α 1 + α α , 1 + λ 2 4 + α 1 + α , 2 + α 1 + λ 2 4 + α 1 + α α ,
{ 2 + α 1 + λ 1 4 + α 1 + α , 1 + λ 2 4 + α 1 + α , k , 0 } ,
{ 1 + λ 1 ( 4 + α ) ( 1 + α ) , ( 2 + α ) ( 1 + λ 2 ) ( 4 + α ) ( 1 + α ) α , 0 , k } } Since 2 2 + α 1 + λ 1 2 4 + α 1 + α < 0 and 2 2 + α 1 + λ 1 2 4 + α 1 + α 2 1 + λ 1 1 + λ 2 4 + α 1 + α 2 1 + λ 1 1 + λ 2 4 + α 1 + α 2 2 + α 1 + λ 2 2 4 + α 1 + α α > 0 , when k > 2 α 2 4 + α 1 + α , we can obtain 2 2 + α 1 + λ 1 2 4 + α 1 + α 2 1 + λ 1 1 + λ 2 4 + α 1 + α 2 + α 1 + λ 1 4 + α 1 + α 2 1 + λ 1 1 + λ 2 4 + α 1 + α 2 2 + α 1 + λ 2 2 4 + α 1 + α α 1 + λ 2 4 + α 1 + α 2 + α 1 + λ 1 4 + α 1 + α 1 + λ 2 4 + α 1 + α k = 2 2 + 2 k 4 + α 1 + α + α 1 + λ 1 2 1 + λ 2 2 α 4 5 α + α 2 2 < 0 . To obtain the optimal solution for its Hessian matrix, the fourth-order matrix is negative. However,
H s Q = ( ( 1 + 2 k ( 2 + ( 1 + 2 k ( 4 + α ) ) ( 1 + α ) α ) ) ( 1 + λ 1 ) 2 ( 1 + λ 2 ) 2 ) / ( α 2 ( 4 5 α + α 2 ) 2 ) > 0. By calculation, if the fourth-order Hessian matrix is positive definite, then 1 < α < 4 , assuming that α belongs to the interval (0, 1). As a result, the requisite condition for the existence of an optimal solution pertaining to the Hessian matrix is not fulfilled. Consequently, Strategy Four cannot be realized, and an optimal outcome is not attainable.

References

  1. Hagiu, A.; Lee, R.S. Exclusivity and Control. J. Econ. Manag. Strategy 2011, 20, 679–708. [Google Scholar] [CrossRef]
  2. Armstrong, M.; Wright, J. Two-sided Markets, Competitive Bottlenecks and Exclusive Contracts. Econ. Theory 2006, 32, 353–380. [Google Scholar] [CrossRef]
  3. Doganoglu, T.; Wright, J. Exclusive dealing with network effects. Int. J. Ind. Organ. 2010, 28, 145–154. [Google Scholar] [CrossRef]
  4. Teng, W.B.; Shen, L. How to regulate a dominant platform’s “One-out-of-Two” arrangement? -The exclusive strategy selection of the platform under asymmetric competition. Syst. Eng. Theory Pract. 2024, 44, 428–443. [Google Scholar]
  5. Belleflamme, P.; Peitz, M. Managing competition on a two-sided platform. J. Econ. Manag. Strat. 2019, 28, 5–22. [Google Scholar] [CrossRef]
  6. Karle, H.; Peitz, M.; Reisinger, M. Segmentation versus Agglomeration: Competition between Platforms with Competitive Sellers. J. Political Econ. 2020, 128, 2329–2374. [Google Scholar] [CrossRef]
  7. Cohen, M.C.; Zhang, R. Competition and coopetition for two-sided platforms. Prod. Oper. Manag. 2022, 31, 1997–2014. [Google Scholar] [CrossRef]
  8. Fu, Q.; Lyu, G. Competition Between Two-Sided Platforms with Quality-Based Subsidization. Int. J. Electron. Commer. 2022, 26, 526–551. [Google Scholar] [CrossRef]
  9. Grover, V.; Lyytined, K. Special Issue Editorial: Platform Competition in the Digital Era -Overview and Research Directions. MIS Qua. Exe. 2022, 21, 1–17. [Google Scholar]
  10. Liu, W.; Wang, D.; Shen, X.; Yan, X.; Wei, W. The impacts of distributional and peer-induced fairness concerns on the decision-making of order allocation in logistics service supply chain. Transp. Res. Part E Logist. Transp. Rev. 2018, 116, 102–122. [Google Scholar] [CrossRef]
  11. Liu, W.; Wang, D.; Long, S. Service supply chain management: A behavioral operations perspective. Mod. Supply Chain. Res. Appl. 2019, 1, 28–53. [Google Scholar] [CrossRef]
  12. Shah, N.H.; Chaudhari, U.; Cárdenas-Barrón, L.E. Integrating credit and replenishment policies for deteriorating items under quadratic demand in a three-echelon supply chain. Int. J. Syst. Sci. Oper. Logist. 2018, 7, 34–45. [Google Scholar] [CrossRef]
  13. Wang, D.; Liu, W.; Liang, Y.; Wei, S. Decision optimization in service supply chain: The impact of demand and supply driven data value and altruistic behavior. Ann. Oper. Res. 2021, 324, 971–992. [Google Scholar] [CrossRef]
  14. He, P.; He, Y.; Tang, X.; Ma, S.; Xu, H. Channel encroachment and logistics integration strategies in an e-commerce platform service supply chain. Int. J. Prod. Econ. 2021, 244, 108368. [Google Scholar] [CrossRef]
  15. Zhang, X.M.; Zheng, Y.W.; Li, M.L. Cooperation strategy for supply chain considering add-on service and platform marketing effort in O2O model. Chin. J. Manag. Sci. 2022, 30, 181–190. [Google Scholar]
  16. Lin, Y.Q.; Guo, Q.; Zhang, Z.W. Study on the cooperation model decisions for hotels and OTAs in the off-season. Chin. J. Manag. Sci. 2018, 26, 187–196. [Google Scholar]
  17. Gharaei, A.; Shekarabi, S.A.H.; Karimi, M.; Pourjavad, E.; Amjadian, A. An integrated stochastic EPQ model under quality and green policies: Generalised cross decomposition under the separability approach. Int. J. Syst. Sci. Oper. Logist. 2019, 8, 119–131. [Google Scholar] [CrossRef]
  18. Duan, C.; Deng, C.; Gharaei, A.; Wu, J.; Wang, B. Selective maintenance scheduling under stochastic maintenance quality with multiple maintenance actions. Int. J. Prod. Res. 2018, 56, 7160–7178. [Google Scholar] [CrossRef]
  19. Choy, K.; Li, C.L.; So, S.C.; Lau, H.; Kwok, S.; Leung, D.W. Managing uncertainty in logistics service supply chain. Int. J. Risk Assess. Manag. 2007, 7, 19. [Google Scholar] [CrossRef]
  20. Xia, Y.; Chen, B.; Jayaraman, V.; Munson, C.L. Competition and market segmentation of the call center service supply chain. Eur. J. Oper. Res. 2015, 247, 504–514. [Google Scholar] [CrossRef]
  21. Wang, D.; Liu, W.; Shen, X.; Wei, W. Service order allocation under uncertain demand: Risk aversion, peer competition, and relationship strength. Transp. Res. Part E Logist. Transp. Rev. 2019, 130, 293–311. [Google Scholar] [CrossRef]
  22. Nouri, F.A.; Nikabadi, M.S.; Olfat, L. Sustainable service supply chain practices (SSSCPs): A framework development. Int. J. Prod. Perform. Manag. 2019. ahead of print. [Google Scholar] [CrossRef]
  23. Caillaud, B.; Jullien, B. Chicken & Egg: Competition among Intermediation Service Providers. RAND J. Econ. 2003, 34, 309–328. [Google Scholar] [CrossRef]
  24. Rochet, J.-C.; Tirole, J. Two-sided markets: A progress report. RAND J. Econ. 2006, 37, 645–667. [Google Scholar] [CrossRef]
  25. Gui, Y.; Miao, C.J.; Gong, B.G. Research on Information Strategy and Pricing of Network Freight Platforms under Dynamic Competition. Syst. Sci. Math. 2021, 41, 1–11. [Google Scholar]
  26. He, Y.; Yu, Y.; Wang, Z.; Xu, H. Equilibrium Pricing, Advertising, and Quality Strategies in a Platform Service Supply Chain. Asia-Pac. J. Oper. Res. 2021, 39, 2140031. [Google Scholar] [CrossRef]
  27. Tang, F.C.; Guo, H. Research on Pricing Strategies for Platform Competition Considering Cross Network Externalities. Chin. J. Manag. Sci. 2022, 30, 1–20. [Google Scholar]
  28. Liu, W.; Yan, X.; Wei, W. Pricing decisions for service platform with provider’s threshold participating quantity, value-added service and matching ability. Tran. R. Part E Logist. Transp. Rev. 2019, 122, 410–432. [Google Scholar] [CrossRef]
  29. Tan, B.; Anderson, E.G.; Parker, G.G. Platform Pricing and Investment to Drive Third-Party Value Creation in Two-Sided Networks. Inf. Syst. Res. 2020, 31, 217–239. [Google Scholar] [CrossRef]
  30. Liu, Z.; Zhang, D.J.; Zhang, F. Information Sharing on Retail Platforms. Manuf. Serv. Oper. Manag. 2021, 23, 606–619. [Google Scholar] [CrossRef]
  31. Caillaud, B.; Jullien, B. Competing cybermediaries. Eur. Econ. Rev. 2001, 45, 797–808. [Google Scholar] [CrossRef]
  32. Thatchenkery, S.; Katila, R. Innovation and profitability following antitrust intervention against a dominant platform: The wild, wild west? Strat. Manag. J. 2022, 44, 943–976. [Google Scholar] [CrossRef]
  33. Choi, J.; Jeon, D.S. Platform design biases in ad-funded two-sided markets. RAND J. Econ. 2023, 54, 240–267. [Google Scholar] [CrossRef]
  34. Chawla, N.; Mondal, D. Seller competition on two-sided platforms. J. Econ. 2024, 142, 213–245. [Google Scholar] [CrossRef]
  35. Etro, F.; Moresi, S. Platform acquisitions and Nash bargaining. Econ. Lett. 2024, 235, 1–3. [Google Scholar] [CrossRef]
  36. Wang, S.; Chen, H.; Wu, D. Regulating platform competition in two-sided markets under the O2O era. Int. J. Prod. Econ. 2019, 215, 131–143. [Google Scholar] [CrossRef]
  37. Zhou, T.Y.; Chang, W.; Chen, Q.Z. Platform competition, exclusive agreements, and competition bottlenecks. Chin. J. Manag. Sci. 2019, 27, 209–216. [Google Scholar]
  38. Liu, W.; Long, S.; Xie, D.; Liang, Y.; Wang, J. How to govern the big data discriminatory pricing behavior in the platform service supply chain?An examination with a three-party evolutionary game model. Int. J. Prod. Econ. 2020, 231, 107910. [Google Scholar] [CrossRef]
  39. Sun, Z.M.; Xu, Q. Dynamic pricing of ride-hailing platforms considering different competitive scenarios under random demand. Chin. J. Manag. Sci. 2021, 29, 138–148. [Google Scholar]
  40. Yuan, X.; Dai, T.; Chen, L.G.; Gavirneni, S. Co-Opetition in Service Clusters with Waiting-Area Entertainment. Manuf. Serv. Oper. Manag. 2021, 23, 106–122. [Google Scholar] [CrossRef]
  41. Bloom, P.N.; Smith, W.R.; Blackburn, R. Explaining the marketing effort of professional service providers: An exploratory study. Mark. Lett. 1991, 2, 111–127. [Google Scholar] [CrossRef]
  42. Mirzaee, M.; Ahmad, M.; Ebrahim, M.T. Supply chain coordination under retail competition and advertising dependent demand. Int. J. Ind. Eng. Comput. 2012, 3, 383–392. [Google Scholar] [CrossRef]
  43. McCarthy, I.M. Advertising intensity and welfare in an equilibrium search model. Econ. Lett. 2016, 141, 20–26. [Google Scholar] [CrossRef][Green Version]
  44. Zhang, X.M.; Zhang, W.J.; Zuo, C. Research on Channel Entry Strategies for Service Providers in the O2O Environment. Sof. Sci. 2019, 3, 86–91. [Google Scholar]
  45. Ma, P.; Li, K.W.; Wang, Z.J. Pricing decisions in closed-loop supply chains with marketing effort and fairness concerns. Int. J. Prod. Res. 2017, 55, 6710–6731. [Google Scholar] [CrossRef]
  46. Zhang, Q.; Da, Q.L.; Shen, H.C. EOQ model based on Stackelberg game in supply chain. Chin. J. Manag. Sci. 2002, 10, 39–43. [Google Scholar]
  47. Yang, W.S.; Ma, S.H.; Li, L. Stackelberg Model and Decision making for Just in Time Purchasing in Supply Chain. Syst. Eng.-Theory Methodol. Appl. 2005, 14, 68–73. [Google Scholar]
  48. Ma, D.Q.; Hu, J.S. Dynamic collaborative strategy of quality improvement investment and marketing efforts considering delay phenomenon. Oper. Res. Manag. Sci. 2021, 30, 181–190. [Google Scholar]
  49. Xing, P.; He, T.R. Research on Quality Efforts Strategy of O2O takeaway Service Supply Chain under Three Operation Models. Chin. J. Manag. Sci. 2020, 28, 115–126. [Google Scholar]
  50. Zhang, C.; Tian, Y.X.; Xiao, M. Investment and pricing strategy for value-added services of multilateral distribution platforms considering the external effects of cross network. Syst. Eng. Theo. Pract. 2019, 39, 3084–3096. [Google Scholar]
Figure 1. The Game Sequence of Marketing Efforts between Merchants and Platforms.
Figure 1. The Game Sequence of Marketing Efforts between Merchants and Platforms.
Sustainability 16 10269 g001
Figure 2. The Influence of Variable α on the Profitability of a Catering Enterprise Across Different Strategic Approaches.
Figure 2. The Influence of Variable α on the Profitability of a Catering Enterprise Across Different Strategic Approaches.
Sustainability 16 10269 g002
Figure 3. The Influence of α on Delivery Platform One Across Different Strategic Approaches.
Figure 3. The Influence of α on Delivery Platform One Across Different Strategic Approaches.
Sustainability 16 10269 g003
Figure 4. The Influence of α on Delivery Platform One Across Different Strategic Approaches.
Figure 4. The Influence of α on Delivery Platform One Across Different Strategic Approaches.
Sustainability 16 10269 g004
Figure 5. The influence of k on profitability: (a) the effect of k on the profits of merchants employing different strategies; (b) the effect of k on the profits of delivery platforms utilizing various strategies.
Figure 5. The influence of k on profitability: (a) the effect of k on the profits of merchants employing different strategies; (b) the effect of k on the profits of delivery platforms utilizing various strategies.
Sustainability 16 10269 g005
Table 1. Relevant parameter settings and explanations.
Table 1. Relevant parameter settings and explanations.
ParameterExplanations
p i j Under the strategy j , merchants establish prices on the platform i .
e i j Under the strategy j , the platform’s i coupon face value.
F i j Under the strategy j , the effort level of merchants on the platform i .
i { 1 , 2 } Representing Platform One and Platform Two, respectively.
j { N , M , E , Q } This study categorizes merchants based on their marketing investment strategies: those who do not allocate resources to marketing, those who exclusively invest in marketing on Platform One, those who solely invest in marketing on Platform Two, and those who engage in marketing investments across both platforms.
c Production Cost per Unit of Product.
v Valuation of Products.
α Valuation Discount Coefficient.
k Marketing Effort Cost Coefficient.
λ i The commission structure for the delivery platform i .
D i j Under the strategy j , consumer demand on the platform i .
π s j Under the strategy j , the merchant’s profit.
π i j Under the strategy j , the profit of delivery platform i .
Disclaimer/Publisher’s Note: The statements, opinions and data contained in all publications are solely those of the individual author(s) and contributor(s) and not of MDPI and/or the editor(s). MDPI and/or the editor(s) disclaim responsibility for any injury to people or property resulting from any ideas, methods, instructions or products referred to in the content.

Share and Cite

MDPI and ACS Style

Liu, W.; Han, Y. Selecting the Appropriate Platform: The Varied Effects of Service Merchant Marketing Strategies on the Performance of Supply Chain Participants. Sustainability 2024, 16, 10269. https://doi.org/10.3390/su162310269

AMA Style

Liu W, Han Y. Selecting the Appropriate Platform: The Varied Effects of Service Merchant Marketing Strategies on the Performance of Supply Chain Participants. Sustainability. 2024; 16(23):10269. https://doi.org/10.3390/su162310269

Chicago/Turabian Style

Liu, Wenchao, and Yuliang Han. 2024. "Selecting the Appropriate Platform: The Varied Effects of Service Merchant Marketing Strategies on the Performance of Supply Chain Participants" Sustainability 16, no. 23: 10269. https://doi.org/10.3390/su162310269

APA Style

Liu, W., & Han, Y. (2024). Selecting the Appropriate Platform: The Varied Effects of Service Merchant Marketing Strategies on the Performance of Supply Chain Participants. Sustainability, 16(23), 10269. https://doi.org/10.3390/su162310269

Note that from the first issue of 2016, this journal uses article numbers instead of page numbers. See further details here.

Article Metrics

Back to TopTop