Abstract
The United Nations Sustainable Development Goals (SDGs) emphasize enhancing agricultural productivity sustainably and strengthening the resilience of agricultural systems amidst rising economic uncertainties, escalating climate change risks, and geopolitical tensions. Amidst these challenges, the relentless progress of digital and information technologies heralds the digital economy as a potential game-changer for agricultural productivity. In 2023, the scale of China’s digital economy reached 7.64 trillion US dollars, accounting for 42.8% of China’s GDP, with the contribution of digital economy growth to GDP growth reaching 66.45%. As a nascent yet formidable force in the global economy, the digital economy is reshaping industries worldwide, particularly the agricultural sector. Food security and sustainability could potentially be affected by the digital economy, while agricultural productivity is a crucial element of food security and sustainability. The primary objective of this study is to investigate the extent to which the digital economy (DE) contributes to agricultural technical efficiency (ATE) in the context of China and to explore the mechanisms through which this impact is mediated and the implications for regional disparities. This study delves into the Chinese context, examining the empirical evidence of how the DE bolsters ATE utilizing provincial panel data. Key findings reveal the following: (1) DE exerts a significant and positive impact on ATE, demonstrating robust effects. (2) Marketization acts as a pivotal mediation mechanism in transmitting the positive influence of DE on ATE. (3) DE fosters convergence in ATE, narrowing regional disparities. Based on these insights, we propose strategic recommendations to mitigate agricultural production risks in agricultural productivity and propel food security and sustainability in China.
1. Introduction
The digital economy is a new driver of the global economy that is profoundly affecting many industries, especially in the agricultural sector. The United Nations Sustainable Development Goals (SDGs) encompass the “Zero Hunger” goal (SDG 2) [1], emphasizing the promotion of sustainable agricultural production and the enhancement of agricultural systems’ resilience to guarantee sufficient nutrition and food for all individuals. The digital economy holds a pivotal role in facilitating the attainment of this objective. In the face of global challenges, prioritizing food security and sustainability is more important than ever; from a global perspective, the challenges of agricultural production are rising sharply due to rising economic uncertainty, the growing risk of climate change, and the instability of geopolitical conflicts. In recent years, digital and information technology has advanced continuously, and the advancement of the digital economy could serve as the driving force to address the present challenges related to food security and sustainability.
China offers rich material for our study. China’s agriculture has long been challenged by low productivity, such as fragmented land, low mechanization, an aging and feminized rural labor force, etc., which have constrained China’s agricultural development. Chinese policymakers view digital technology as a crucial means to drive the high-quality advancement of agriculture. Certain research suggests that the digital economy can facilitate the circulation of elements and optimize resource allocation [2,3,4]. Focusing on the effect of the digital economy on the productivity of agriculture is valuable, as it contributes practical implications for the global sustainable development goals (SDGs) and theoretical development for the study related to agricultural productivity.
As the new generation of information technology continues to evolve, the digital economy is increasingly characterized by new technologies such as the Internet, big data, and artificial intelligence, which has shaped new economic formats and promoted the digital transformation of traditional formats. Based on research conducted by the China Academy of Information and Communications Technology, the annual penetration of the digital economy in China’s primary industry is steadily rising, and the penetration rate will exceed 35% by 2023. By shaping the economy, digital technologies optimize the allocation of industrial elements and strengthen the accumulation of human capital by digital means. The combination of digital technology and agriculture has great potential for the improvement of agricultural total factor productivity in China.
At present, few studies have concentrated on the relationship between the digital economy and agricultural productivity. Most studies still focus on the effects of agricultural factors on overall agricultural performance, including the participation of agricultural cooperatives [5,6], urban distance [7], interpersonal trust [8], arable land transfer [9,10], off-farm work [11] on agricultural production performance. From the perspective of total factor productivity (TFP), most academic studies have empirically shown that the digital economy can promote macroeconomic growth by optimizing element allocation and improving total factor productivity levels: firstly, the development of DE can significantly improve the allocation of data elements by integrating them with especially production elements such as labor and capital, thereby enhancing production efficiency and fostering economic growth. Second, upgrading industrial structures and technological innovation are critical mechanisms through which DE improves total factor productivity [9]. Therefore, we draw attention to the relationship between the digital economy and agricultural productivity as an area of significant concern for further research.
Hence, the primary objective of this study is to investigate the extent to which the DE contributes to ATE in the context of China and to explore the mechanisms through which this impact is mediated and the implications for regional disparities. Three main marginal contributions: (1) Based on overcoming endogeneity, we construct a digital economy index covering digital infrastructure, Internet development, and the information industry and select historical data on energy consumption in the production of electronic communications equipment and chips as instrumental variables. Through comparative analysis of the technical efficiency of agriculture at different scales and in northern or southern provinces of China, our findings indicate that the effect of the digital economy on agricultural technical efficiency is both significant and stable; (2) through theoretical analysis and empirical models, we examined the mechanism of the marketization of agricultural elements in the digital economy on the improvement of agricultural technical efficiency, and creatively measured the degree of marketization by agricultural farming structure, off-farm work, and arable land transfer, expanding the content of the examination of the improvement mechanism of agricultural technical efficiency driven by the digital economy. (3) Based on the “super efficiency” DEA and the methods of absolute β convergence and spatial conditional β convergence, we found that the digital economy significantly promotes the convergence growth rate of China’s agricultural technical efficiency.
2. Literature Review
2.1. Digital Economy and Agricultural Technical Efficiency
Many studies have found that the digital economy (DE) can improve the level of total factor productivity (TFP) by optimizing the allocation of elements to promote macroeconomic growth. TFP is similar to agricultural technical efficiency (ATE), which measures the efficiency of economic growth and mainly evaluates the input–output effect of all production elements in the production process, including labor, capital, energy, and raw materials. ATE is a measure of the capacity of decision-making units (DMU). Standard evaluation produces a certain amount of output with as little input as possible, which can be used to evaluate agricultural production performance, covering agricultural issues such as land fragmentation [12], irrigation shortages [13], agricultural skills deficiencies [14], and industrial air pollution [15]. The literature on the impact of the digital economy on TFP has concluded important mechanism findings: the development of the digital economy can significantly improve the allocation of elements by integrating data elements with elements such as labor and capital, thereby enhancing production efficiency and achieving economic growth [16,17]. Industrial structure upgrading and technological innovation are two major mediation impact mechanisms for the digital economy to improve TFP. For example, studies have determined that the digital economy (DE) has markedly enhanced China’s green total factor productivity (GTFP) by advancing the industrial structure, utilizing methodologies such as quantile regression analysis, Tobit, and mediation effect models [15,18]. The study indicates that DE stimulates an innovation-driven enhancement in China’s TFP, contributing to the broad and sustainable expansion of TFP. [19].
Agricultural production is an essential part of the economy, and optimizing the allocation of production elements is an important path to improve agricultural productivity. According to the study of the digital economy on issues related to TFP, this paper focuses on agricultural technical efficiency (ATE). ATE represents the development of agricultural productivity and will also be affected by DE. Optimizing the allocation of agricultural factors in the digital economy will also improve the efficiency of agricultural technology. Therefore, hypothesis 1 of this study is that the digital economy can promote the efficiency of agricultural technology.
Due to differences in China’s economic development level, social and cultural environment, etc., the impact of the digital economy on agricultural technical efficiency may, therefore, vary across regions of China. The improvement gradually weakens from east to west, while a significant inhibitory effect is observed in the west [20]. The impact of digital finance on agricultural total factor productivity varies across regions. Among them, the impact of digital finance on total factor productivity in the central region is the strongest compared to the eastern and western regions [21]. In the central and western regions of China, the impact of the digital economy on total factor productivity in agriculture is greater than in the eastern part of the country. At the same time, taking into account the decomposition effect of total factor productivity in agriculture, the impact of the digital economy on technological progress and efficiency is also greater in the central and western regions of China than in the eastern part of the country [22]. The contribution of the digital economy to total factor productivity in agriculture in China is mainly reflected in the following: it has played both a positive and a negative role in southwest and northern China, respectively [23]. This paper focuses on the North–South divide in China and argues that this difference in agricultural production patterns may decisively influence the impact of DE on ATE. Therefore, based on Hypothesis 1, this paper further proposes Hypothesis 1a: The effect of DE on ATE varies significantly across regions.
2.2. Marketization of Agricultural Elements
The development of digital technology has promoted the marketization level and improved the element distortion of the rural labor market and capital market. As a result, TFP has increased [24]. DE optimizes the allocation of agricultural resources through marketization, improves efficiency, and transforms farmers’ production from “relying on the weather” to systematic input and output based on digital technology [25]. The marketization of agriculture promotes the progress of agricultural productivity, the upgrading and optimization of the agricultural industrial structure, and the increased mobility of factors of agricultural production. In this way, producers can participate more efficiently in the production process, and ATE can be improved. Therefore, Hypothesis 2 of this study is as follows: DE promotes the enhancement of ATE by facilitating agricultural marketization.
2.3. The Impact of Digital Economy on the Convergence of Agricultural Technical Efficiency
Related research has concentrated on the convergence of TFP. Some research has discussed the convergence of agricultural TFP in China and found that there is an absolute β convergence of TFP in China [26,27]. Similarly, some research found that agricultural GTFP showed an absolute convergence trend [28]. Based on information and communication technology, the digital economy promotes the growth of agricultural productivity [29,30] and guides traditional enterprises to move towards digitalization by forming a virtuous circle between the supply of information products and the demand of other industries [31,32]. With e-commerce platforms, digital consumption and transactions have changed the mode of distribution of agricultural products. The third hypothesis of our study is as follows: DE promotes the convergence of ATE.
3. Materials and Methods
3.1. Digital Economy
The Australian government defines the digital economy (DE) as the integration of global economic and social networks facilitated by information and communication technologies, including the Internet, mobile phones, and sensor networks. DE is also defined as taking digital information as the core element of production, information technology as the support, modern information network as the main carrier, and digital technology to provide products or services. It is a new economic form of technology integration, industrial integration, producer and consumer integration [33,34]. This paper summarizes the connotation of the digital economy into three aspects: the development of information, the development of the Internet, and the development of digital transactions. For the measurement, we refer to existing studies [35,36], which contain 8 secondary indicators: information infrastructure, information communication, Internet terminal equipment, mobile phone, fixed telephone, mobile network impact, information industry infrastructure, and information industry. Detailed indicators are shown in Table A1. The original data can be sourced from the China Statistical Yearbook and the China Information Industry Yearbook. Through the improved entropy method [37], the above eight indicators are grouped into groups to reduce the dimension after data standardization, and the comprehensive development index of the digital economy is obtained, which is recorded as DE.
Figure 1 illustrates the trend of the digital economy (DE) across different years. The DE index in Figure 1 shows the great differences in the digital economy across provinces of China, which reflects the imbalance in China’s internal economic development. The Appendix A Table A3 and Table A4 contain detailed maps of the spatial distribution of China’s digital economy from 2013 to 2019.
Figure 1.
Geographical distribution of China’s DE over the specified period (horizontal axis: longitude, vertical axis: latitude; same below).
As shown in Figure 1, a clear distribution feature of the DE indicator within the observation period (2013~2019) can be found: there is a significant gap between the DE of the eastern provinces of China and that of the other provinces. However, during the period from 2013 to 2019, China’s DE has risen rapidly—in 2013, the central and western provinces were basically in the low range (0.07~0.12), but in 2019, the DE of these provinces was close to 0.2. The most significant increases were in Shaanxi, Sichuan, Hubei, Chongqing, and Anhui, all of which increased by more than 0.1.
3.2. Calculation of Agricultural Technical Efficiency Based on the DEA
Currently, Data Envelopment Analysis (DEA) is commonly employed for measurement purposes. DEA models include the CCR and BCC approaches [38]. The CCR model operates under the assumption of constant returns to scale, whereas the BCC model assumes increasing or decreasing returns to scale. The efficiency, as defined by DEA, encompasses three dimensions: overall technical efficiency (CCR), pure technical efficiency (BCC), and scale efficiency [33]. In this study, ATE is assessed as overall technical efficiency (based on the CCR), which assesses the ability to produce a given output using the least amount of inputs. Therefore, the input-oriented CCR model is utilized.
Since DEA gives every efficient decision-making unit (DMU) a score of 1, it complicates the task of establishing a hierarchy among them. As a result, the effectiveness of DEA as a framework system for measuring efficiency is undermined because only inefficient DMUs can be ranked. Some studies have introduced the concept of ‘super efficiency’ as a means to create a hierarchy among decision-making units [39].
The fundamental principle of the super-efficiency evaluation technique is to exclude the effective evaluation unit from the dataset and conduct a re-evaluation. This method retains the original assessment of non-effective values, enabling comparison when the initial effective value exceeds 1. To measure agricultural technical efficiency (ATE), we utilize a super-efficiency DEA model. Assuming there are decision-making units, input indicators, and output indicators, the following model is employed to determine ATE:
For the kth DMU, denotes the ith input indicator, represents the jth output indicator. and and are input and output slack variables, respectively. denotes the weight coefficient. An elevated value serves as an indicator of increased ATE.
Additionally, the variables incorporated into the DEA model are defined as follows: fertilizer input is measured by the amount of nitrogen and phosphate fertilizer applied to agricultural production; pesticide input is quantified based on the amount of pesticides used; diesel consumption in agricultural production is utilized as an indicator of energy input; total agricultural water use is employed to represent water input; the total area sown acts as a proxy for land input; and the yield value of the agricultural planting industry is used as an indicator of output value. To account for inflation, output values are deflated using 2013 as the base year.
In Figure 2, the average of ATE increased from 0.51 in 2013 to 0.74 in 2019. This is an increase of nearly 45.09%. Similar to DE, ATE shows a clear spatial distribution feature. However, the trend of imbalance is declining, which means that the ATE in different regions of China is experiencing balanced growth.
Figure 2.
Geographical distribution of China’s agricultural technical efficiency over the specified period.
3.3. Econometric Model
We investigate the impact of the digital economy on agricultural technical efficiency, where the digital economy (DE) serves as the key independent variable and agricultural technical efficiency (ATE) is the dependent variable. Dynamic panel methods are employed to analyze the potential lagged effects on ATE. The basic model is formulated as follows:
In Equation (2), represents the province, and represents the corresponding year for each variable. The intercept term is represented by . represents the stochastic error term. While represents the coefficients for the regress. The agricultural technical efficiency of the province is denoted by , and represents the digital economy. A vector of control variables is denoted by . From the perspective of agricultural production, existing research on the factors influencing agricultural production efficiency can be categorized into several angles: first, the fundamental elements of agricultural production, such as water resources [40]; second, uncertain factors like climate and natural disasters [41,42]; and third, agricultural energy efficiency, environmental regulation intensity, and other policy functions [43,44].
In addition, agricultural energy efficiency (AEE) is calculated as fiscal agricultural expenditure divided by total fiscal expenditure. Water resource adequacy (WRA) is evaluated by dividing regional water resources (in 100 million m3) by the area sown to crops (in 1000 hectares). Environmental regulation intensity (ERI) is determined by the share of industrial pollution control investments completed in the secondary sector. The measure for natural disasters (ND) is the ratio of the affected area relative to the cultivated area. Table A2 shows the descriptive statistics.
3.4. Data Sources
Constrained by the availability of data, this research period is limited to 2013–2020. For this study, all data were sourced exclusively from the public database of the National Bureau of Statistics (https://data.stats.gov.cn/, accessed on 10 March 2024), particularly the China Statistical Yearbook, the China Agriculture Yearbook, the China Rural Statistical Yearbook, and the China Population and Employment Statistics Yearbook. We refer to the selection of relevant studies [45,46] and the issues of concern to this study and conduct the screening and collection of yearbook data. All data in this study are public data and can be used free of charge. Table 1 displays the descriptive statistics of our key variables.
Table 1.
Descriptive statistics of key variables.
4. Results
This study employs several key empirical estimation methodologies. First, the Pesaran cross-sectional dependence (CD) test and the Lagrange Multiplier (LM) test are conducted in Section 4.1 to determine the existence of cross-sectional dependence. Then, panel unit root tests are performed in Section 4.2 to assess the stationarity of each variable. Lastly, in Section 4.3, the ordinary least squares (OLS), generalized least squares (GLS), random effects (RE), and fixed effects (FE) methods are applied to estimate the impact.
4.1. Examination of Cross-Sectional Dependency
Before conducting a valid econometric analysis, it is essential to check for cross-sectional dependency in panel data. Neglecting cross-sectional independence often leads to unreliability and inconsistencies [47]. To address this, the analysis incorporates several assessments to determine the presence of cross-sectional interdependence: the Pesaran CD test [48], the Breusch–Pagan LM test [49], the Frees test [50], and the Friedman test [51].
Table 2 provides the findings of the four tests of cross-sectional dependency. Except for the Friedman test, all p-values for cross-sectional dependence checks were greater than 1%. As a result, the analysis disproves the null hypothesis, which posits the absence of cross-sectional dependency. The result indicates that the cross-sectional components of the research are not independent. Therefore, the presence of cross-sectional dependence must be considered in the subsequent empirical analysis.
Table 2.
Tests for cross-sectional dependency.
4.2. Verifying the Stationarity of Panel Data
Testing stationarity is essential for avoiding biased regression results. Notably, the reliability of first-generation panel unit root tests, such as the Phillips–Perron test and the LLC test, is diminished in the presence of cross-sectional dependence [52]. Consequently, second-generation panel unit root tests, which account for cross-sectional dependence, are recommended by Pesaran [52]. In this study, both the Levin–Lin–Chu (LLC) and Phillips–Perron (PP) panel unit root tests are applied in Table 2.
Each of the indicators analyzed in this study possesses a first-order integration, denoted as I (1). The unit root tests emphasize two distinct forms: one with intercept only and another with both intercept and trend components. Table 3 presents evidence suggesting that, with the exception of ATE and ERI, the original data series is non-stationary, irrespective of the presence of a trend component. Subsequently, first-order differentiation is applied to the raw data, resulting in statistically significant p-values (p < 0.01) for the transformed first-order series. Therefore, the raw data are not stationary.
Table 3.
Outcomes of verifying panel stationarity.
4.3. Digital Economy’s Effect on Agricultural Technical Efficiency
To assess the impact of DE on ATE, it is crucial to apply appropriate econometric models. The Feasible Generalized Least Squares (FGLS) method is particularly effective for panel estimation, as it maximizes the advantages of panel data while minimizing estimation errors. It is commonly used when heteroscedasticity and serial correlation are present in the sample data [53]. Given the results from the cross-sectional dependence and panel stationarity tests, this study uses FGLS as the benchmark method for evaluating the influence of DE on ATE, ensuring greater consistency and validity in the panel regression, as shown in Table 4.
Table 4.
Assessing the impact of DE on ATE.
The coefficient of DE displays positive, demonstrating that DE exerts a positive facilitating effect on ATE. Besides, we run the estimation based on the ordinary least squares, fixed effects, random effects, and generalized least squares method to guarantee the robustness of the main results. The effect of DE on ATE is robust, as all the signs and coefficients in columns 1–6 of Table 3 are consistent. The coefficients of DE on ATE in FGLS are 0.23 and statistically significant at the 1% level, which shows that a 1% increase in DE leads to a 0.23% increase in ATE.
Regarding the control variables, adequate water resources and agricultural energy efficiency both have a positive impact on elevating agricultural technical efficiency. WRA is associated with a higher ATE. WRA increases ATE, and this reflects the crucial role that irrigation plays in agricultural productivity. Higher AEE reduces the cost of farm mechanization and increases ATE by increasing the substitution of farm machinery for labor. Agricultural production is heavily influenced by climate, and droughts can impede the accumulation of grain dry matter and lead to premature maturation, ultimately reducing food yields. Furthermore, drought forces farmers to reallocate resources, increasing their labor and water inputs to mitigate its effects. ERI significantly reduces the ATE by crowding out original agricultural production inputs through increased environmental investment costs.
5. Robustness Tests
5.1. Replacing the Dependent Variable
First, three indicators of the digital economy—informatization development (INF), internet development (INT), and digital industries (DI)—are utilized as substitutes for the main independent variable (DE). The regression results on ATE using the FGLS method are presented in Columns 1–3 of Table 4. All three indicators have positive impacts on ATE, with statistical significance at the 1% level. Specifically, the estimated elasticities for INF, INT, and DI in relation to ATE are 0.2, 0.261, and 0.168, respectively. These findings align with the results shown in Table 5, further confirming the robustness of the baseline regression results.
Table 5.
Robustness test: replacing the dependent variable and two-stage least squares method.
Second, although heteroscedasticity and serial correlation issues are addressed in the benchmark regression, potential endogeneity bias may persist. This bias can arise from omitted variables or interactions between the dependent and independent variables. To address potential endogeneity concerns, we employ an instrumental variable approach. Specifically, we use the lagged values of energy consumption from electronic communication equipment () and chip production () as instruments. The estimation results, based on the 2SLS method, are presented in Column 4 of Table 5. Weak identification tests reject the hypothesis of weak instrumental variables, indicating that the instruments are effective. These results further confirm the robustness of the findings. Therefore, Hypothesis 1 is supported by robust results.
5.2. The Asymmetric Effect
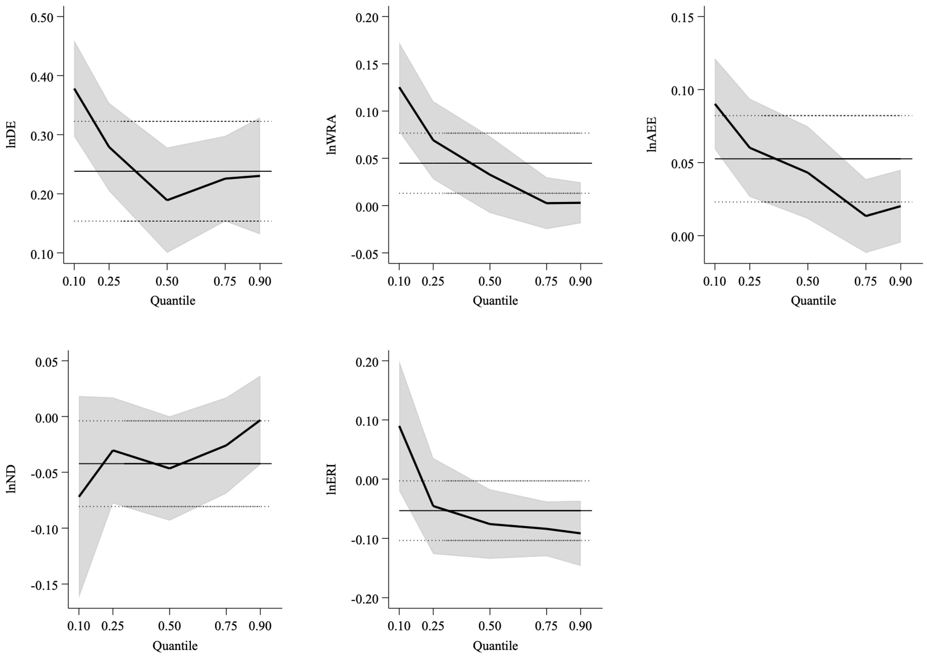
To examine the potential asymmetric effects of the DE on ATE, we analyze Equation (2) by estimating the lower, first quartile, median, third quartile, and upper quantiles of the specified level of ATE. Utilizing the two-stage panel quantile regression methodology, we aim to capture unobserved individual variations [54]; we present the results in Table 6, while Figure 3 illustrates the varying impacts across these quantile levels.
Table 6.
Calculation of two-step panel quantile regression.
Figure 3.
Variations in coefficient estimates obtained via panel quantile regression.
As shown in Table 6 and Figure 3, the impact of DE on ATE across different quantile ranges exhibits stability and uniformity. DE has a positive coefficient, suggesting potential for substantial enhancement of ATE. It is worth noting that DE made a greater impact on ATE in low-ATE. For control variables, the impacts of WRA, AEE, ND, and ERI on ATE exhibit asymmetry. Specifically, the influence of WRA and ND on ATE is notable in regions with low ATE, whereas it is insignificant in those with high ATE. Higher ATEs demonstrated a stronger ability to defend against the challenges of ND, while lower ATE areas need to be alert to the damage caused to ATE by ND. In addition, ERI displays a negative impact on ATE in high-ATE, which may be related to regulatory costs. Higher ATE will compress the optimal allocation of input elements, so the negative impact of ERI will be more significant.
6. Discussion
6.1. Heterogeneity Analysis
We segregated China’s 30 provinces into two distinct regions, according to their geographical positioning, in order to discern the regionally varying impact of DE on ATE. The detailed panels are outlined in Appendix A.
The climate differs greatly between the northern and southern regions of China. To analyze the regionally diverse impact of DE on ATE, we divided the 30 provinces of China according to their geographical locations. Table 7 presents the estimated results, which were derived using the FGLS estimation.
Table 7.
Estimation of regional heterogeneity.
In both the northern and southern areas, DE displays a positive and statistically substantial effect on ATE. A 1% increase in DE leads to a 25.9% increase in ATE in the northern provinces, while in the southern provinces, the increase is 30%. It demonstrates that increasing DE is more efficient in southern areas. The primary reason is the difference in natural resources and economic development. The south is more conducive to agricultural growth in terms of water resource reserves and weather conditions, so the progression of the digital economy in the southern provinces is more conducive to the improvement of agricultural technical efficiency under the same conditions. The south is more conducive to agricultural growth because of the water resources reserves and the weather conditions, so the development of DE in southern provinces is more significant to the improvement of ATE. For control variables, the impact of AEE on ATE in southern provinces is not significant, while the impact in northern provinces is significantly positive. The proportion of mechanization is comparatively higher in the northern region than in the southern region; therefore, AEE may have a greater impact in the north. Thus, Hypothesis 1a is supported to some extent; from the existing literature, our findings on mechanization have not been paid attention to in previous studies [20,21,22]. We identify the heterogeneity of this effect by dividing the Chinese provinces into north and south. This sample division strategy takes into account the differences in the endowments of various Chinese provinces [23] and is more targeted to policy implementation.
6.2. Mechanism Analysis
6.2.1. Potential Mechanisms
The above results suggest that increasing DE could lead to increasing ATE. In this study, we employ a mediation mechanism to delve into the intricate pathways through which DE exerts its influence on ATE. It is found that the digital economy can improve production efficiency through the optimization of element allocation. With the development of digitization, the level of marketization has improved, the distorted rural labor and capital market has improved, and the agricultural TFP has improved [55]. The marketization of agriculture involves three major elements: agricultural farming structure (AFS), off-farm work (OFW), and arable land transfer (ALT). AFS measures the proportion of cash crops, which changes with labor prices and population structure [56]. Cash crops are more intensively commercialized and have higher total income than traditional crops. [57,58]. In rural China, OFWs have always been an inevitable topic. [59,60]. As the most important allocation mode of agricultural land, ALT represents the achievements of land marketization reform, and their proportion evaluates the allocation of land elements [61,62].
AFS, OFW, and ALT serve as mediators in our model, enabling us to scrutinize the underlying mechanism linking DE to ATE. The agricultural farming structure (AFS) is represented by the proportion of cash crop sown area to the total sown area. The proportion of non-agricultural employment to total employment is used as an indicator for off-farm work (OFW). The ratio of arable land transferred to total arable land serves as arable land transfer (ALT). All of the aforementioned data resources are sourced from public databases. Compared to ATE, Figure 4 shows the spatial distribution of AFS, OFW, and ALT during 2013–2019. The model for analyzing the mechanism, which incorporates a mediating effect, is established as follows:
where represents mediators such as AFS, OFM, and ALT and represents units and time periods in the panel. A set of control variables is represented by X. is the total impact of the digital economy on agricultural technical productivity. is the direct impact of DE on ATE, and is the indirect impact.

Figure 4.
The spatial distribution of AFS, ALT, OFW, and ATE during 2013–2019. (a) Agricultural farming structure (AFS); (b) arable land transfer (ALT); (c) off-farm work (OFW); (d) agricultural technical efficiency (ATE).
6.2.2. Results of the Mediation Effect Analysis
In Table 8, Column 1 displays the aggregate impact of DE on ATE (). The elasticity of the aggregate impact is 0.23 and is significant. Columns 2–4 of Table 7 show the indirect impact including AFS, PAM, and ALT, are all significant at a threshold of 1% statistical confidence and estimated to be 0.236, 0.177, and 0.521. These results suggest that DE exerts a positive impact on AFS, OFW, and ALT. From Columns 4–5, it can be seen that the elasticities of AFS, OFW, and ALT are 0.275, 0.129, and 0.038, and are significant. This suggests that AFS, OFW, and ALT significantly influence the ATE. Our finding is consistent with the conclusions of existing research: the digital economy can significantly promote the transfer of farmland and improve production efficiency [63], achieve coordination of the digital economy through OFW and AFS, unleash the driving force of digital economy innovation, and improve productivity [64].
Table 8.
Mechanism analysis results of AFS, OFW, and ALT.
6.3. Further Discussion
We investigated the convergence of ATE and the effect of DE on its convergence, as shown in Table 9.
Table 9.
Unconditional β-convergence and conditional β-convergence on ATE of China.
Table 9 shows the estimated outcomes of the unconditional β convergence test, categorized according to high, medium, and low levels of digital economy (DE). For these regions, the unconditional β-convergence test solely rejects the convergence hypothesis for ATE in the context of medium levels of DE. This section aims to answer whether DE can exacerbate the convergence of ATE in China in the future.
The role of DE in accelerating agricultural total factor efficiency ATE convergence is explored in this paper. By examining the lagged ATE in both unconditional and conditional analyses, we test DE’s contribution to ATE convergence in China. In the full sample analysis, the coefficient shift suggests DE’s positive effect on world agriculture convergence. Within-group comparisons show DE facilitates convergence in the full sample and high DE sample. Condition β-convergence results hint at future ATE improvement and accelerated convergence beyond DE. Overall, WRE, AEE, and ERI also significantly impact ATE improvement and convergence. Our findings align with previous studies emphasizing the pivotal role of technological advancements [21,63], in transforming agricultural productivity and fostering efficiency convergence across regions. By enhancing data-driven decision-making, precision farming, and resource optimization, DE narrows the productivity gap between advanced and less developed agricultural sectors, as suggested by the conditional β-convergence results. This reinforces the notion that technological innovations are key drivers of agricultural development and should be a focal point of policy interventions.
7. Conclusions and Policy Implications
The key findings of the study are as outlined below:
- The visualization revealed disparities between eastern and central/western regions, which appeared to narrow from 2013 to 2019 due to government efforts. Notably, a preliminary positive correlation between DE and ATE was observed;
- DE significantly and positively impacts ATE and has been tested differently to prove that such conclusions obtained in this study are robust. The development of the digital economy is advantageous to agricultural productivity, and considering the disparity in natural resources and economic development, it follows that the impact is more pronounced in the southern region;
- In addition, this study discusses the mechanisms. We found that marketization is a mediation impact mechanism while DE impacts ATE. Based on the statistical results, OFW, AFS, and ALT are all the mechanism variables of DE, which means that DE will impact ATE by influencing OFW, AFS, and ALT;
- Finally, we are concerned about the impact of the digital economy on the convergence of agricultural technical efficiency. Due to the development of digital information technology, marketization and the digitalization of agricultural production, as a result, agricultural technical efficiency has been improved. It means that the digital economy fosters the convergence of agricultural technical efficiency.
These empirical findings outlined above carry important policy implications:
- The government should (1) deepen agricultural marketization reforms, (2) optimize agricultural industrial structures, (3) encourage the transfer of rural labor to non-agricultural sectors, (4) facilitate the transfer of arable land, and (5) optimize agricultural farming structures. These initiatives will enhance the thorough integration of the digital economy and agricultural markets, further releasing agricultural productivity;
- With the development of digital information technology and the digitization of agricultural production, agricultural technical efficiency has been significantly improved. The government should focus on balanced improvements in agricultural technical efficiency, particularly providing more support to technologically backward regions and resource-scarce areas;
- For southern cities, enhancing the integration of the digital economy (DE) with existing agricultural practices and leveraging their superior natural resources and climate conditions to foster agricultural growth and improve agricultural technical efficiency (ATE) should be prioritized. Given the conducive environment for agricultural development, the progression of DE in these regions can significantly contribute to the optimization of agricultural input allocation and overall technical efficiency.
While our study sheds light on the pivotal role of the digital economy (DE) in accelerating agricultural total factor efficiency (ATE) convergence, several avenues for future research remain open to further refine and expand our understanding of this phenomenon:
- Our study was constrained by the availability of data, limiting our analysis to a specific timeframe and geographic scope. To keep pace with the rapid evolution of the digital economy, future research endeavors should strive to collect and analyze updated datasets. This will not only allow for a more contemporary examination of the DE–ATE relationship but also enable researchers to capture any emerging trends or shifts in this dynamic landscape;
- Despite discussing heterogeneity within our provincial-level analysis, substantial variation still exists within our sample. To address this, future research could endeavor to construct more granular datasets, potentially shifting the focus to a municipal or even more refined perspective. Such an approach would provide deeper insights into the nuanced impacts of the digital economy on agricultural productivity across diverse regions;
- Our study identified areas for improvement in the construction of the digital economy index. The precision and comprehensiveness of this index are crucial for accurately identifying and analyzing economic issues related to the digital economy. Future research should strive to enhance the development of the digital economy index, incorporating a broader range of indicators and employing more sophisticated methodologies to ensure a more precise and nuanced representation of the digital economy’s multifaceted impacts on agricultural productivity.
Author Contributions
Conceptualization, H.X., P.W. and K.D.; methodology, H.X. and P.W.; software, H.X. and P.W.; validation, H.X.; formal analysis, K.D.; investigation, H.X., P.W. and K.D.; resources, P.W. and H.X.; data curation, P.W. and H.X.; writing—original draft preparation, H.X. and P.W.; writing—review and editing, H.X.; visualization, H.X.; supervision, K.D.; project administration, K.D.; funding acquisition, H.X. and K.D. All authors have read and agreed to the published version of the manuscript.
Funding
This research was Supported by the Outstanding Innovative Talents Cultivation Funded Programs 2024 of Renmin University of China.
Institutional Review Board Statement
Not applicable.
Informed Consent Statement
Not applicable.
Data Availability Statement
The data presented in this study are available on request from the corresponding author.
Acknowledgments
We appreciate the anonymous reviewers for their invaluable comments and suggestions on this manuscript.
Conflicts of Interest
The authors declare no conflicts of interest.
Appendix A
Table A1.
Digital economy indicators.
Table A1.
Digital economy indicators.
| Level 1 Indicators | Level 2 Indicators | Measurement | Weighting |
|---|---|---|---|
| Informatization Development (INF) | Informatization Foundation | Fiber optic density | 0.0628 |
| Mobile phone base station density | 0.0684 | ||
| Percentage of information technology employees | 0.0275 | ||
| Influence of Informatization | Total telecoms business | 0.1125 | |
| Software business income | 0.1695 | ||
| Internet Development (INT) | Fixed End Internet Foundation | Internet access port density | 0.0634 |
| Mobile Internet Foundation | Mobile internet penetration | 0.0294 | |
| Fixed End Internet Impact | Share of broadband internet users | 0.0357 | |
| Mobile Internet Impact | Share of mobile internet users | 0.0116 | |
| Digital Industry (DI) | Digital Industry Foundation | Number of websites per 100 businesses | 0.0174 |
| Use of computers in business | 0.0426 | ||
| Percentage of e-commerce businesses | 0.0481 | ||
| Digital Trading | E-commerce sales | 0.1403 | |
| Online retail sales | 0.1707 |
Table A2.
Summary statistics of variables in the econometric model.
Table A2.
Summary statistics of variables in the econometric model.
| Var Name | Obs | Mean | SD | Min | Max |
|---|---|---|---|---|---|
| LnATE | 240 | −0.424 | 0.351 | −1.544 | 0.222 |
| LnDE | 240 | −1.633 | 0.501 | −2.617 | −0.264 |
| LnWRA | 240 | −2.146 | 1.202 | −4.923 | 0.571 |
| LnAEE | 240 | 3.196 | 1.279 | 0.583 | 5.939 |
| LnND | 240 | −2.294 | 1.036 | −7.169 | 0.964 |
| LnERI | 240 | −6.200 | 0.914 | −10.02 | −3.709 |
| LnINF | 240 | −2.727 | 0.582 | −3.863 | −1.191 |
| LnINT | 240 | −2.629 | 0.378 | −3.576 | −1.959 |
| LnDI | 240 | −2.939 | 0.659 | −4.343 | −1.019 |
| LnECEt-1 | 240 | −3.335 | 2.318 | −10.45 | 0.671 |
| LnCP | 240 | 1.721 | 2.063 | 0 | 6.730 |
| LnOFW | 240 | −0.387 | 0.198 | −0.898 | −0.0301 |
| LnAFS | 240 | −2.047 | 0.824 | −4.720 | 0.711 |
| LnALT | 240 | −1.178 | 0.511 | −3.061 | −0.0931 |
Table A3.
The specific provinces across different regions.
Table A3.
The specific provinces across different regions.
| Region | Provinces |
|---|---|
| North (15 provinces) | Beijing, Hebei, Tianjin, Inner Mongolia, Shanxi, Jilin, Liaoning, Heilongjiang, Henan, Shandong, Gansu, Shaanxi, Ningxia, Qinghai, Xinjiang |
| South (15 provinces) | Shanghai, Jiangsu, Hainan, Fujian, Hubei, Jiangxi, Guangxi, Hunan, Guangdong, Sichuan, Guizhou, Chongqing, Zhejiang, Anhui, Yunnan |
Table A4.
The specific provinces across Different levels of DE development regions.
Table A4.
The specific provinces across Different levels of DE development regions.
| Region | Provinces |
|---|---|
| Hight (10 provinces) | Beijing, Fujian, Guangdong, Jiangsu, Shandong, Shanghai, Sichuan, Zhejiang, Liaoning, Shaanxi. |
| Middle (10 provinces) | Hebei, Hubei, Inner Mongolia, Tianjin, Anhui, Qinghai, Hainan, Xinjiang, Hunan, Chongqing. |
| Low (10 provinces) | Shanxi, Jilin, Heilongjiang, Henan, Gansu, Ningxia, Jiangxi, Guangxi, Guizhou, Yunnan. |
References
- Fund, S. Sustainable Development Goals. 2015. Available online: https://www.un.org/sustainabledevelopment/inequality (accessed on 10 March 2024).
- Li, H.; Lin, Q.; Jian, Z.; Li, S. An Analysis of the Internal Relationship between the Digital Economy and Resource Allocation in Manufacturing Enterprises. J. Ind. Manag. Optim. 2024, 21, 335–355. [Google Scholar] [CrossRef]
- Li, H.; Qi, H. The Research on the Promotion Path of Digital Elements to Digital Economy. In Proceedings of the 2021 International Conference on Computer Network, Electronic and Automation (ICCNEA), Xi’an, China, 24–26 September 2021; pp. 299–302. [Google Scholar]
- Yuan, H.; Peng, G.; Song, C.; Wang, L.; Lu, S. Enhancing Digital Economy: Optimizing Export Enterprise Markup and Resource Allocation Efficiency. J. Knowl. Econ. 2024, 1–36. [Google Scholar] [CrossRef]
- Abate, M.; Assefa, N.; Alemayehu, T. Knowledge, Attitude, Practice, and Determinants Emergency Contraceptive Use among Women Seeking Abortion Services in Dire Dawa, Ethiopia. PLoS ONE 2014, 9, e110008. [Google Scholar] [CrossRef]
- Ma, W.; Renwick, A.; Yuan, P.; Ratna, N. Agricultural Cooperative Membership and Technical Efficiency of Apple Farmers in China: An Analysis Accounting for Selectivity Bias. Food Policy 2018, 81, 122–132. [Google Scholar] [CrossRef]
- Duvivier, C. Does Urban Proximity Enhance Technical Efficiency? Evidence from Chinese Agriculture. J. Reg. Sci. 2013, 53, 923–943. [Google Scholar] [CrossRef]
- Tian, Q.; Yu, Y.; Xiang, Z.; Li, C. Agricultural Technical Education, Interpersonal Trust, and Pesticide Use by Vegetable Farmers in China. J. Agric. Educ. Ext. 2021, 27, 211–227. [Google Scholar] [CrossRef]
- Liu, Y.; Yan, B.; Wang, Y.; Zhou, Y. Will Land Transfer Always Increase Technical Efficiency in China?— A Land Cost Perspective. Land Use Policy 2019, 82, 414–421. [Google Scholar] [CrossRef]
- Zhou, Y.; Shi, X.; Heerink, N.; Ma, X. The Effect of Land Tenure Governance on Technical Efficiency: Evidence from Three Provinces in Eastern China. Appl. Econ. 2019, 51, 2337–2354. [Google Scholar] [CrossRef]
- Chang, M.; Liu, J.; Shi, H.; Guo, T. The Effect of Off-Farm Employment on Agricultural Production Efficiency: Micro Evidence in China. Sustainability 2022, 14, 3385. [Google Scholar] [CrossRef]
- Shi, H. Performance of Community-Based Water-Saving Technology under Land Fragmentation: Evidence from Groundwater Overexploitation in the North China Plain. Water Policy 2021, 23, 1542–1555. [Google Scholar] [CrossRef]
- Zewdie, M.C.; Moretti, M.; Tenessa, D.B.; Ayele, Z.A.; Nyssen, J.; Tsegaye, E.A.; Minale, A.S.; Van Passel, S. Agricultural Technical Efficiency of Smallholder Farmers in Ethiopia: A Stochastic Frontier Approach. Land 2021, 10, 246. [Google Scholar] [CrossRef]
- Zheng, H.; Ma, W.; Wang, F.; Li, G. Does Internet Use Improve Technical Efficiency of Banana Production in China? Evidence from a Selectivity-Corrected Analysis. Food Policy 2021, 102, 102044. [Google Scholar] [CrossRef]
- Wang, Z.; Wei, W.; Zheng, F. Effects of Industrial Air Pollution on the Technical Efficiency of Agricultural Production: Evidence from China. Environ. Impact Assess. Rev. 2020, 83, 106407. [Google Scholar] [CrossRef]
- Khatun, T.; Afroze, S. Relationship between Real GDP and Labour & Capital by Applying the Cobb-Douglas Production Function: A Comparative Analysis among Selected Asian Countries. Dhaka Univ. J. Bus. Stud. 2016, 37, 113–129. [Google Scholar]
- Nakamura, K.; Kaihatsu, S.; Yagi, T. Productivity Improvement and Economic Growth: Lessons from Japan. Econ. Anal. Policy 2019, 62, 57–79. [Google Scholar] [CrossRef]
- Liu, Y.; Yang, Y.; Li, H.; Zhong, K. Digital Economy Development, Industrial Structure Upgrading and Green Total Factor Productivity: Empirical Evidence from China’s Cities. Int. J. Environ. Res. Public Health 2022, 19, 2414. [Google Scholar] [CrossRef]
- Pan, W.; Xie, T.; Wang, Z.; Ma, L. Digital Economy: An Innovation Driver for Total Factor Productivity. J. Bus. Res. 2022, 139, 303–311. [Google Scholar] [CrossRef]
- Liu, S. Impact of Agricultural Informatisation on Total Factor Productivity in Agriculture. Soc. Sci. 2021, 9, 79–85. [Google Scholar]
- Qi, W.; Teng, Y.; Li, Z. Digital financial inclusion and agricultural total factor productivity: A study of driving paths and heterogeneity. Businesses Econ. Rev. 2023, 24, 60–78. [Google Scholar] [CrossRef]
- Sun, G.; Li, T.; Mo, Y. The Impact of the Digital Economy on Total Factor Productivity in Chinese Agriculture. Rev. Econ. Manag. 2023, 39, 92–103. [Google Scholar] [CrossRef]
- Di, L.; Wang, J. Impact of the digital economy on driving total factor productivity in agriculture. J. Langfang Teach. Univ. (Nat. Sci. Ed.) 2022, 22, 71–77. [Google Scholar]
- Gao, K.; Yuan, Y. Does Market-Oriented Reform Make the Industrial Sector “Greener” in China? Fresh Evidence from the Perspective of Capital-Labor-Energy Market Distortions. Energy 2022, 254, 124183. [Google Scholar] [CrossRef]
- Deichmann, U.; Goyal, A.; Mishra, D. Will Digital Technologies Transform Agriculture in Developing Countries? Agric. Econ. 2016, 47, 21–33. [Google Scholar] [CrossRef]
- Li, H.; Zhang, Y.; Li, Y. The Impact of the Digital Economy on the Total Factor Productivity of Manufacturing Firms: Empirical Evidence from China. Technol. Forecast. Soc. Chang. 2024, 207, 123604. [Google Scholar] [CrossRef]
- Liang, G.; Zhang, Z.; Wu, P.; Zhang, Z.; Shao, X. Analysis of Business Risk Measurement and Factors Influencing Plantation-Based Farming Cooperatives: Evidence from Guizhou Province, China. Sustainability 2024, 16, 2194. [Google Scholar] [CrossRef]
- Hu, J. Green Productivity Growth and Convergence in Chinese Agriculture. J. Environ. Plan. Manag. 2024, 67, 1775–1804. [Google Scholar] [CrossRef]
- Yao, W.; Sun, Z. The Impact of the Digital Economy on High-Quality Development of Agriculture: A China Case Study. Sustainability 2023, 15, 5745. [Google Scholar] [CrossRef]
- Yang, C.; Ji, X.; Cheng, C.; Liao, S.; Obuobi, B.; Zhang, Y. Digital Economy Empowers Sustainable Agriculture: Implications for Farmers’ Adoption of Ecological Agricultural Technologies. Ecol. Indic. 2024, 159, 111723. [Google Scholar] [CrossRef]
- Zangiacomi, A.; Pessot, E.; Fornasiero, R.; Bertetti, M.; Sacco, M. Moving towards Digitalization: A Multiple Case Study in Manufacturing. Prod. Plan. Control 2020, 31, 143–157. [Google Scholar] [CrossRef]
- Kristoffersen, E.; Blomsma, F.; Mikalef, P.; Li, J. The Smart Circular Economy: A Digital-Enabled Circular Strategies Framework for Manufacturing Companies. J. Bus. Res. 2020, 120, 241–261. [Google Scholar] [CrossRef]
- Tien, J.M. The next Industrial Revolution: Integrated Services and Goods. J. Syst. Sci. Syst. Eng. 2012, 21, 257–296. [Google Scholar] [CrossRef]
- Park, Y.; Geum, Y.; Lee, H. Toward Integration of Products and Services: Taxonomy and Typology. J. Eng. Technol. Manag. 2012, 29, 528–545. [Google Scholar] [CrossRef]
- Zhang, W.; Zhao, S.; Wan, X.; Yao, Y. Study on the Effect of Digital Economy on High-Quality Economic Development in China. PLoS ONE 2021, 16, e0257365. [Google Scholar] [CrossRef]
- Luo, S.; Yimamu, N.; Li, Y.; Wu, H.; Irfan, M.; Hao, Y. Digitalization and Sustainable Development: How Could Digital Economy Development Improve Green Innovation in China? Bus. Strategy Environ. 2023, 32, 1847–1871. [Google Scholar] [CrossRef]
- He, Y.; Jiao, Z.; Yang, J. Comprehensive Evaluation of Global Clean Energy Development Index Based on the Improved Entropy Method. Ecol. Indic. 2018, 88, 305–321. [Google Scholar] [CrossRef]
- Nabavi-Pelesaraei, A.; Hosseinzadeh-Bandbafha, H.; Qasemi-Kordkheili, P.; Kouchaki-Penchah, H.; Riahi-Dorcheh, F. Applying Optimization Techniques to Improve of Energy Efficiency and GHG (Greenhouse Gas) Emissions of Wheat Production. Energy 2016, 103, 672–678. [Google Scholar] [CrossRef]
- Andersen, P.; Petersen, N.C. A Procedure for Ranking Efficient Units in Data Envelopment Analysis. Manag. Sci. 1993, 39, 1261–1264. [Google Scholar] [CrossRef]
- Zhou, L.-M.; Xie, X.-H.; Zhu, Z.-D.; Wang, L.-X.; Wu, J.-Y. Input-Output Efficiency of Agricultural Resources Based on the Water-Energy-Food Nexus. J. Agric. Resour. Environ. 2020, 16, e0257365. [Google Scholar]
- Weerasekara, S.; Wilson, C.; Lee, B.; Hoang, V.-N.; Managi, S.; Rajapaksa, D. The Impacts of Climate Induced Disasters on the Economy: Winners and Losers in Sri Lanka. Ecol. Econ. 2021, 185, 107043. [Google Scholar] [CrossRef]
- Chen, S.; Gong, B. Response and Adaptation of Agriculture to Climate Change: Evidence from China. J. Dev. Econ. 2021, 148, 102557. [Google Scholar] [CrossRef]
- Kakraliya, S.K.; Jat, H.S.; Singh, I.; Gora, M.; Kakraliya, M.; Bijarniya, D.; Sharma, P.C.; Jat, M.L. Energy and Economic Efficiency of Climate-Smart Agriculture Practices in a Rice–Wheat Cropping System of India. Sci. Rep. 2022, 12, 8731. [Google Scholar] [CrossRef] [PubMed]
- Wu, S.; Ding, S. Efficiency Improvement, Structural Change, and Energy Intensity Reduction: Evidence from Chinese Agricultural Sector. Energy Econ. 2021, 99, 105313. [Google Scholar] [CrossRef]
- Xu, H.; Zhu, S.; Shi, H. Is It Possible to Reduce Agricultural Carbon Emissions through More Efficient Irrigation: Empirical Evidence from China. Water 2022, 14, 1218. [Google Scholar] [CrossRef]
- Shi, H.; Xu, H.; Gao, W.; Zhang, J.; Chang, M. The Impact of Energy Poverty on Agricultural Productivity: The Case of China. Energy Policy 2022, 167, 113020. [Google Scholar] [CrossRef]
- Grossman, G.M.; Krueger, A.B. Economic Growth and the Environment. Q. J. Econ. 1995, 110, 353–377. [Google Scholar] [CrossRef]
- Pesaran, M.H.; Schuermann, T.; Weiner, S.M. Modeling Regional Interdependencies Using a Global Error-Correcting Macroeconometric Model. J. Bus. Econ. Stat. 2004, 22, 129–162. [Google Scholar] [CrossRef]
- Breusch, T.S.; Pagan, A.R. The Lagrange Multiplier Test and Its Applications to Model Specification in Econometrics. Rev. Econ. Stud. 1980, 47, 239–253. [Google Scholar] [CrossRef]
- Frees, E.W.; Miller, T.W. Sales Forecasting Using Longitudinal Data Models. Int. J. Forecast. 2004, 20, 99–114. [Google Scholar] [CrossRef]
- Friedman, M. The Use of Ranks to Avoid the Assumption of Normality Implicit in the Analysis of Variance. J. Am. Stat. Assoc. 1937, 32, 675–701. [Google Scholar] [CrossRef]
- Pesaran, M.H. A Simple Panel Unit Root Test in the Presence of Cross-Section Dependence. J. Appl. Econom. 2007, 22, 265–312. [Google Scholar] [CrossRef]
- Su, L.; Ullah, A. Profile Likelihood Estimation of Partially Linear Panel Data Models with Fixed Effects. Econ. Lett. 2006, 92, 75–81. [Google Scholar] [CrossRef]
- Canay, I.A. A Simple Approach to Quantile Regression for Panel Data. Econom. J. 2011, 14, 368–386. [Google Scholar] [CrossRef]
- Feng, S.; Chong, Y.; Yang, Y.; Hao, X. Digitization and Total Factor Productivity: Evidence from China. Singap. Econ. Rev. 2022, 1–33. [Google Scholar] [CrossRef]
- Zhoufu, Y.; Fangwei, W.; Kaibin, Y. Labor Endowment Change, Technological Choice and Grain Planting Structure Adjustment. J. Financ. Econ. 2021, 47, 79–93. [Google Scholar]
- Govereh, J.; Jayne, T.S. Cash Cropping and Food Crop Productivity: Synergies or Trade-Offs? Agric. Econ. 2003, 28, 39–50. [Google Scholar]
- Achterbosch, T.J.; van Berkum, S.; Meijerink, G.W.; Asbreuk, H.; Oudendag, D. Cash Crops and Food Security: Contributions to Income, Livelihood Risk and Agricultural Innovation; LEI: Wageningen, the Netherlands, 2014. [Google Scholar]
- Gaetano, A.M. Off the Farm: Rural Chinese Women’s Experiences of Labor Mobility and Modernity in Post-Mao China (1984–2002); University of Southern California: Los Angeles, CA, USA, 2005. [Google Scholar]
- Long, H.; Liu, Y.; Li, X.; Chen, Y. Building New Countryside in China: A Geographical Perspective. Land Use Policy 2010, 27, 457–470. [Google Scholar] [CrossRef]
- Liu, H.; Zhang, H.; Xu, Y.; Xue, Y. Decision-Making Mechanism of Farmers in Land Transfer Processes Based on Sustainable Livelihood Analysis Framework: A Study in Rural China. Land 2024, 13, 640. [Google Scholar] [CrossRef]
- Abate, M.C.; He, Z.; Cai, B.; Huang, Y.; Betelhemabraham, G.; Bayu, T.; Addis, A.K. Environmental Impact of Agricultural Land Transfer in China: A Systematic Review on Sustainability. Sustainability 2024, 16, 6498. [Google Scholar] [CrossRef]
- Zhang, X.; Yang, X. The impact of the digital economy on the behaviour of farmers in the transfer of farmland. Intell. Agric. Guide 2023, 3, 112–115. [Google Scholar] [CrossRef]
- Nie, X. Digital economy innovation, labour off-farm employment and shared prosperity. J. Tech. Econ. Manag. 2024, 40–45. [Google Scholar]
Disclaimer/Publisher’s Note: The statements, opinions and data contained in all publications are solely those of the individual author(s) and contributor(s) and not of MDPI and/or the editor(s). MDPI and/or the editor(s) disclaim responsibility for any injury to people or property resulting from any ideas, methods, instructions or products referred to in the content. |
© 2024 by the authors. Licensee MDPI, Basel, Switzerland. This article is an open access article distributed under the terms and conditions of the Creative Commons Attribution (CC BY) license (https://creativecommons.org/licenses/by/4.0/).