Screening Suitable Ecological Grasses and the Seeding Rate in the Muli Mining Area
Abstract
1. Introduction
2. Materials and Methods
2.1. Study Area
2.2. Methods
2.2.1. Simulating the External Environment for Seed Germination Test
2.2.2. Comparative Test of Seedling Stage and Green Stage Coverage of 9 Kinds of Ecological Grass
2.2.3. Screening Test of Suitable Sowing Rate for 4 Ecological Grass Species
2.3. Sample Collection and Determination
2.3.1. Simulating the External Environment for Seed Germination
2.3.2. Ecological Grass Cultivation Experiment
2.3.3. Suitable Seeding Rate Screening Test
Determination of Growth Characteristics
Determination of Plant Nutrients
Determination of Soil Physical and Chemical Indicators
Comprehensive Ranking
2.4. Data Analysis
3. Results
3.1. Screening of Ecological Grass Species
3.1.1. Effect of Alkaline Environment on Relative Germination Rate, Root Length, Bud Length, Germination Index, and Viability Index of Ecological Grass Seeds
3.1.2. Comprehensive Evaluation of Alkali Resistance of Nine Ecological Grasses
3.1.3. Vegetation Coverage of Ecological Grasses at Seedling Stage and Regreening Stage
3.2. Suitable Seeding Rate Screening
3.2.1. Analysis of Growth Traits of Ecological Grasses Under Different Seeding Rates
3.2.2. Analysis of Nutritional Components of Ecological Grass Species Under Different Seeding Rates
3.2.3. Analysis of Physical and Chemical Properties in Soil of Ecological Grass Species Under Different Seeding Rates
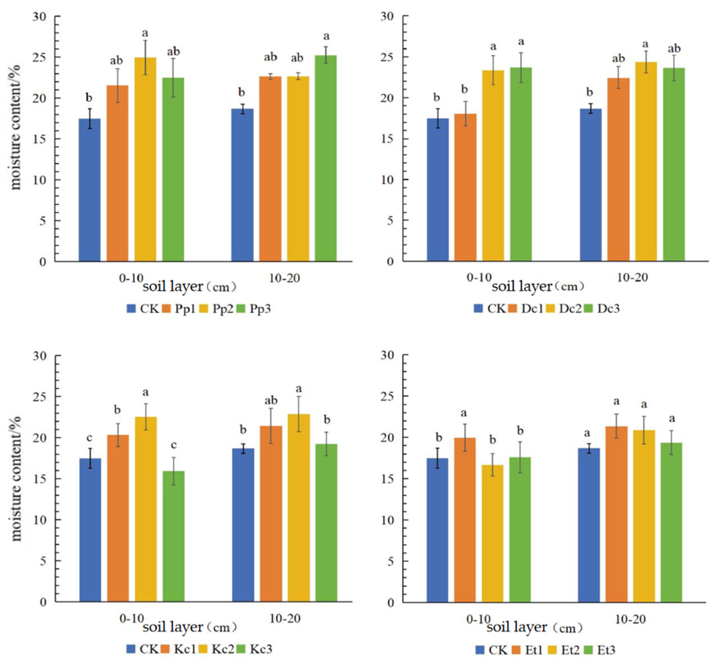
Soil Water Content Under Different Seeding Rates
Analysis of Soil pH Under Different Seeding Rates
Analysis of Soil Nutrients Under Different Seeding Rates
3.2.4. Comprehensive Evaluation of Ecological Grass Species Under Different Seeding Rates
4. Discussion
4.1. Analysis of Germination Characteristics and Regreening Status of Ecological Grass Species
4.2. Analysis of Seeding Quantity Characteristics of Ecological Grass Seeds
5. Conclusions and Prospect
5.1. Conclusions
5.2. Prospect
Author Contributions
Funding
Institutional Review Board Statement
Informed Consent Statement
Data Availability Statement
Conflicts of Interest
References
- Wang, T.; Du, B.; Li, C.C.; Wang, H.; Zhou, W.; Wang, H.; Lin, Z.Y.; Zhao, X.; Xiong, T. Ecological environment rehabilitation management model and key technologies in plateau alpine coal mine. J. China Coal Soc. 2021, 46, 230–244. [Google Scholar] [CrossRef]
- Wen, H.J.; Shao, L.Y.; Li, H.Y.; Lu, J.; Zhang, S.L.; Wang, W.L.; Huang, M. Structure and stratigraphy of the Juhugeng coal district at Muli, Tianjun county, Qinghai province. Geol. Bull. China 2011, 30, 1823–1828. [Google Scholar] [CrossRef]
- Li, X.; Gao, J.; Zhang, J.; Wang, R.; Jin, L.; Zhou, H. Adaptive strategies to overcome challenges in vegetation restoration to coalmine wasteland in a frigid alpine setting. Catena 2019, 182, 104142. [Google Scholar] [CrossRef]
- Qi, F.; Ding, J.L.; Cui, J.Q.; Pu, G.L.; Xiang, S.; Wu, Y.; Liu, Q. Overview of ecological restoration technology and strategy of dreg field by the major construction project of the ecologically fragile area in Southwest China. Chin. J. Appl. Environ. Biol. 2024, 30, 848–860. [Google Scholar] [CrossRef]
- Gusev, E.M.; Nasonova, O.N.; Kovalev, E.E. Change in Water Availability in Territories of River Basins Located in Different Regions of the World due to Possible Climate Changes. Arid Ecosyst. 2021, 11, 221–230. [Google Scholar] [CrossRef]
- Nahid, J.; Javad, M.; Reza, O.; Yahya, K. Effects of micro-climatic conditions on soil properties along a climate gradient in oak forests, west of Iran: Emphasizing phosphatase and urease enzyme activity. Catena 2023, 224, 106960. [Google Scholar] [CrossRef]
- Schuts, C.J.; Christie, S.I.; Herman, B. Site Relationships for Some Wood Properties of Pine Species in Plantation Forests of Southern Africa. S. Afr. For. J. 2010, 156, 1–6. [Google Scholar] [CrossRef]
- Zerizghi, T.; Guo, Q.; Tian, L.; Wei, R.; Zhao, C. An integrated approach to quantify ecological and human health risks of soil heavy metal contamination around the coal mining area. Sci. Total Environ. 2021, 814, 152653. [Google Scholar] [CrossRef]
- Krauss, S.L.; Sinclair, E.A.; Bussell, J.D.; Hobbs, R.J. An ecological genetic delineation of local seed-source provenance for ecological restoration. Ecol. Evol. 2013, 7, 2138–2149. [Google Scholar] [CrossRef]
- Jochimsen, M.E. Vegetation development and species assemblages in a long-term reclamation project on mine spoil. Ecol. Eng. 2001, 17, 187–198. [Google Scholar] [CrossRef]
- Yabsley, S.H.; Meade, J.; Hibburt, T.D.; Martin, J.M.; Boardman, W.S.; Nicolle, D.; Walker, M.J.; Turbill, C.; Welbergen, J.A. Variety is the spice of life: Flying-foxes exploit a variety of native and exotic food plants in an urban landscape mosaic. Front. Ecol. Evol. 2022, 10, 907966. [Google Scholar] [CrossRef]
- Holmes, T.P.; Bergstrom, J.C.; Huszar, E.; Kask, S.B.; Lill, F.O. Contingent valuation, net marginal benefits, and the scale of riparian ecosystem restoration. Ecol. Econ. 2003, 1, 19–30. [Google Scholar] [CrossRef]
- Herrera, M.A.; Salamanca, C.P.; Barea, J.M. Inoculation of woody Legumes with selected arbuscular mycorrhizal fungi and rhizobia to recover desertified mediterranean ecosystems. Appl. Environ. Microbiol. 1993, 59, 129–133. [Google Scholar] [CrossRef] [PubMed]
- Liu, Q.; Lv, L.; He, M.; Cai, Z.; Shi, J. Screening of suitable mixed grass species and seeding rates of four native grass seeds in an alpine mining area. Sustainability 2024, 16, 9587. [Google Scholar] [CrossRef]
- Nan, W.G.; Jiao, L.; Wang, H.; Hu, G.Y.; Xiao, F.J.; Dong, Z.B.; Zhang, X. Ecological restoration effect of artificial grassland and turf transplantation in alpine mining area on the plateau. Grassl. Res. 2023, 40, 3018–3029. [Google Scholar] [CrossRef]
- Pang, J.H.; Liang, S.; Liu, Y.B.; Li, G.R.; Zhu, H.L.; Hu, X.H.; Shi, X.P.; Shang, Q.; Miao, X.X.; Wang, Y.X. Effects of restoration years on plant diversity and soil chemical properties in an alpine metal mine dump. Bull. Soil Water Conserv. 2023, 43, 110–120. [Google Scholar] [CrossRef]
- He, M.H.; Liu, Q.Q.; Ma, Y.; Shi, J.J.; Xing, Y.F.; Zhang, H.R. Effects of alkali stress on seed germination and seedling growth of five ecological grasses. North Hortic. 2024, 2, 55–61. [Google Scholar]
- Liu, W.J. Effects of Organic Fertilizer Application Rate and Sowing Method on the Surface Substrate, Vegetation Growth and Microorganism of Zhashan in the Alpine Mining Area. Master’s Thesis, Qinghai University, Xining, China, 2022. [Google Scholar] [CrossRef]
- Zhang, Y.F.; Li, X.L.; Gao, Z.X.; Zhang, J.; Zhou, W.; Zhang, Y. Effects of different fertilization combinations on artificial vegetation and soil microbial characteristics in Muli mining area. Northwest Agric. J. 2022, 31, 741–754. [Google Scholar] [CrossRef]
- Chen, Y.Q.; Su, K.Q.; Chen, T.X.; Li, C.J. Effects of complex saline-alkali stress on seed germination and seedling physiological characteristics of Achnatherum inebrians. J. Prataculture 2021, 30, 137–157. [Google Scholar]
- Yang, D.N.; Luo, Y.F.; Xie, J.Q.; Zhang, Q.; Yang, L. Effects of acidity and aluminum stress on seed germination and seedling growth of Medicago sativa. Pratacultural J. 2015, 24, 103–109. [Google Scholar]
- Tu, M.Y.; Li, J.; He, Y.L.; Li, X.; Li, J.; Yuan, X.J. Identification of genetic diversity of Poa pratensis germplasm resources using RAPD markers. Acta Prataculturala Sin. 2017, 26, 71–81. [Google Scholar]
- Ma, Y.; Xu, Z.H.; Zeng, Q.H.; Meng, J.L.; Hu, Y.H.; Su, J.Q. Effects of nitrogen addition on nutrient stoichiometry of herbaceous plants in desertification steppe. Acta Prataculturala Sin. 2021, 30, 64–72. [Google Scholar]
- Xiao, Y.; Yang, Z.F.; Nie; Han, J.T.; Shuai, Y.; Zhang, X.Q. A comprehensive evaluation of production performance and nutritional value of 12 Lolium perenne varieties in Chengdu Plain. Acta Prataculturala Sin. 2021, 30, 174–185. [Google Scholar]
- Wang, Q.; Zheng, J.H.; Zhao, M.L.; Zhang, J. Effects of mowing intensity on plant community characteristics and soil physical and chemical properties in Stipa grandis steppe. Pratacultural J. 2023, 32, 26–34. [Google Scholar] [CrossRef]
- Bao, S.D. Soil Agricultural Chemistry Analysis; China Agricultural Publishing House: Beijing, China, 2000. [Google Scholar]
- Cao, P.P.; Huang, S.F.; Wang, Z.; Zhang, C.; Wang, F.Z.; Wang, W. Salt tolerance evaluation of wheat at germination stage based on Topsis method. Crop Res. 2023, 6, 556–561. [Google Scholar]
- Yao, R.Y.; Wang, F.; Zou, Y.F.; Wang, L.; Yang, X.W.; Chen, X.F. Topsis method was used to comprehensively compare the germination quality of Bupleuri Radix seeds with four maturities in Qingchuan. Plant Res. 2014, 1, 108–113. [Google Scholar] [CrossRef]
- Wu, Y.M.; Cui, H.T.; Zhang, K.; Li, Y.; Li, M.N.; Sun, Y. Physiological and biochemical responses and comprehensive evaluation of two Carex auricula species to gradient NaCl stress. J. Grassl. Sci. 2024, 3, 736–745. [Google Scholar] [CrossRef]
- Zhou, T.; Lu, R.; Liu, N.F.; Xu, Q.; Hu, L.X. Analysis and evaluation of forage yield and quality traits of Amaranthus cruentus germplasm from different sources. J. Grassl. Sci. 2023, 8, 2369–2376. [Google Scholar]
- Zhang, D.C.; Liu, X.X.; Tang, X.R. Simple analysis of influence of alpine cold environment on open-pit Mining of the Muli coal field in Qinghai. Acta Geol. Sichuan 2020, 40, 75–79. [Google Scholar]
- Guo, D.G.; Zhao, B.Q.; Shangguan, T.L.; Bai, Z.K.; Shao, H.B. Dynamic parameters of plant communities partially reflect the soil quality improvement in eco ln eclamation area of an opencast coal mine. Clean Soil Air Water 2013, 41, 1–9. [Google Scholar] [CrossRef]
- Li, J.; Zhao, J.Y.; Chen, W.Q. Mining wasteland and its ecological restoration and reconstruction. Territ. Nat. Resour. Study 2004, 1, 27–28. [Google Scholar] [CrossRef]
- Zhao, D.F.; Guo, J.B.; Jing, F.; Guo, H.Q. Study on re-vegetation in Mining wasteland of gepu core mine, Shanxi province. Res. Soil Water Conserv. 2009, 16, 92–94. [Google Scholar]
- Rumball, W. Relation between adaptability and some morphological characters in prairie grass. N. Z. J. Agric. Res. 2012, 15, 341–346. [Google Scholar] [CrossRef]
- Mapato, C.; Wanapat, M. New roughage source of Pennisetum purpureum cv. Mahasarakham utilization for ruminants feeding under global climate change. Asian-Australas. J. Anim. Sci. 2018, 31, 1890–1896. [Google Scholar] [CrossRef] [PubMed]
- Hou, Z.; Zhou, B.; Yang, J.; Deng, T.; Zhang, M.; University, H.A. Effects of Soil pH on Growth and Dry Matter Accumulation of Tobacco Plants. Agric. Sci. Technol. 2017, 18, 1443–1447. [Google Scholar] [CrossRef]
- Shen, Z.B.; Pan, D.F.; Wang, J.L.; Zhang, R.B.; Li, D.M.; Gao, C.; Di, G.L.; Zhong, P. Effects of saline-alkaloid stress on seed germination and seedling growth of grasses. Acta Agrestia Sin. 2012, 20, 914–920. [Google Scholar] [CrossRef]
- Tian, Y.F.; Bai, X.M.; Zhang, X.J.; Wei, Z.Q.; Chen, R.J.; Niu, X.Y. Physiological response of four wild Poato soil pH. Pratacultural Sci. 2017, 34, 2445–2453. [Google Scholar] [CrossRef]
- Wang, H.C.; Zhao, J.Y.; Zhou, H.K. Effect of Temperature and Moisture on Seed Germination of Pedicularis kansuensis Maxim. J. Anhui Agric. Sci. 2008, 36, 14873–14875. [Google Scholar]
- Wang, L.; Zhao, H.Y.; Du, X.C.; Guo, X.L.; Guo, Q.M. Comprehensive evaluation of fruit quality of three new rose varieties based on entropy weight TOPSIS method. J. Chin. Med. Mater. 2023, 46, 1858–1864. [Google Scholar] [CrossRef]
- Wang, B.; Xie, H.L.; Ren, H.Y.; Li, X. Assessment for phytoremediation plant growth in petroleum contaminated soil via analytic hierarchy process. J. Saf. Environ. 2019, 19, 985–991. [Google Scholar]
- Jing, Y.J.; Huang, J.P.; Wang, Q.L.; An, j.; Wang, X.; Wang, Y.P.; Zhang, g.; Peng, L.; Gao, j.; Wang, C.L.; et al. Screening the optimal harvesting period of Platycodon grandiflorus based on entropy weight TOPSIS method and gray correlation analysis. Mod. Appl. Pharm. China 2024, 41, 1229–1237. [Google Scholar]
- You, K.; Zhao, X.H.; He, S.N.; Wang, K.; Wang, X.K.; Yu, J.; Chen, H.Y.; Hong, L.Z.; Liu, C.; Pan, J.; et al. Effects of seeding rate and row spacing on growth of Suaeda salsa and salt reduction and soil improvement in tidal flat. Jiangsu Agric. Sci. 2024, 52, 250–256. [Google Scholar] [CrossRef]
- Wang, X.; Bi, Y.L.; Wang, Y.; Tian, Y.; Li, Q.; Du, X.P.; Guo, Y. Effects of planting density of Hippophae rhamnoides and inoculation of AMF on understory vegetation growth and soil improvement. Sci. Silvae Sin. 2023, 59, 138–149. [Google Scholar]
- Zhang, J.; Guo, Z.S.; Huangpu, Z.Q.; Tian, W.; Zhang, S.J. Effects of Sowing Date and Seeding Rate on Yield of a Nationally Approved Wheat Variety Zhengmai. China Seed Ind. 2023, 1342, 71–76. [Google Scholar] [CrossRef]
- Gu, C.; Liu, J.Y.; Du, Y.F.; Chen, W.J.; Zhao, M.L. Effects of Seeding Rates on Forage Yields and Seed Productions of Medicago falcata. Chin. J. Grassl. 2016, 38, 86–91. [Google Scholar] [CrossRef]
- Zhao, A.; Bai, Y. The dialectical relationship between “sourcing food from cropland storing grain in the land” and “sourcing food from grassland-storing grain in the grass” from the—On the “Farmland Protection” in chapter perspective of agricultural ethics—Chapter 2 of the Food Security Law. Acta Prataculturae Sin. 2024, 33, 183–193. [Google Scholar] [CrossRef]
- Wang, X.L.; Guo, X.X.; Yu, S.; Guo, W.; Yu, L.H.; Xue, Y.W. Effects of Different Densities Levels on Photosynthetic Characteristics, Yield and Quality of Naked Oat (Avena nuda). Mol. Plant Breed. 2020, 18, 7943–7952. [Google Scholar] [CrossRef]
- Chen, Y.X.; Du, Y.; Yu, X.M.; Zhang, L.; Wang, Y.X.; Zhang, B.; Lu, Q.; Wang, P. Response of young spike differentiation and seed yield to planting density in Bromus inermis. Pratacultural Sci. 2023, 40, 1358–1367. [Google Scholar]
- Wang, X.C.; Wang, X.; Wang, Q.; Song, W.X.; Wang, T.R.; Huang, S.D.; Wang, Z.Y.; Fu, B.Z.; Gao, X.Q. Effects of Row Spacing and Seeding Rate on Seed Yield and Its Components of Agropyron mongolicum. Acta Agrestia Sin. 2023, 31, 2882–2889. [Google Scholar] [CrossRef]
- Feng, P.; Wen, D.Y.; Sun, Q.Z. Effects of planting density on yield and silage quality of maize. Pratacultural Sci. 2011, 28, 6. [Google Scholar]
- Fu, D.Q.; Wang, Y.C.; Song, L.; Wang, X.Z.; Zhang, F.F.; Ma, C.H. Effects of nitrogen application rate and planting density on the production performance of early-maturing forage oats in Shihezi. Acta Agrestia Sin. 2021, 29, 2364–2371. [Google Scholar] [CrossRef]
- Jing, F.; Nan, M.; Liu, Y.M.; Chen, F.; Bian, F.; Ren, S.L.; Zhang, C.J. Effects of Variety and Planting Density on Yield, Quality, and Disease of Forage Oat. Acta Agrestia Sin. 2023, 31, 3174–3184. [Google Scholar] [CrossRef]
- Lu, H.D.; Xue, J.Q.; Hao, Y.C.; Zhang, X.H.; Zhang, R.H.; Gao, J. Effects of density on forage yield and nutritional value of different types of silage maize. Acta Agrestia Sin. 2014, 22, 865–870. [Google Scholar] [CrossRef]
- Zhang, H.Y.; Sun, S.C.; Wu, Y.Z.; An, J.; Song, H.L. Distribution characteristics of soil water, carbon and nitrogen under different vegetation densities in the Loess Plateau. Ecol. Environ. Sci. 2022, 31, 875–884. [Google Scholar] [CrossRef]
- Li, D.; Huang, Y.; Wu, Q.; Ming, Z.; Jin, D.Y. Dynamic Simulation of Soil Organic Carbon in Alpine Meadow Ecosystem of Qinghai-Tibet Plateau. Acta Prataculturae Sin. 2010, 19, 160–168. [Google Scholar] [CrossRef]






| Grass Seed | Labeled | Thousand Grain Weight (g) | Seeding Rate (g·m−2) |
|---|---|---|---|
| Poa pratensis L. ‘Qinghai’ | Pp | 0.23 | 9.00 |
| Deschampsia cespitosa | Dc | 0.34 | 9.00 |
| Koeleria cristata | Kc | 0.36 | 9.00 |
| Elymus tangutorum | Et | 2.64 | 24.00 |
| Poa crymophila L. ‘Qinghai’ | Pc | 0.21 | 9.00 |
| Puccinellia tenuiflora cv. ‘Tongde’ | Pt | 0.2 | 9.00 |
| Gentiana macrophylla | Gm | 0.18 | 6.00 |
| Aconitum pendulum | Ap | 1.66 | 6.00 |
| Pedicularis kansuensis | Pk | 0.51 | 6.00 |
| Treatment | Grass Seed | Seeding Rate (g·m−2) | |
|---|---|---|---|
| Pp | Pp1 | Poa pratensis L. ‘Qinghai’ | 6.00 |
| Pp2 | Poa pratensis L. ‘Qinghai’ | 9.00 | |
| Pp3 | Poa pratensis L. ‘Qinghai’ | 12.00 | |
| Dc | Dc1 | Deschampsia cespitosa | 6.00 |
| Dc2 | Deschampsia cespitosa | 9.00 | |
| Dc3 | Deschampsia cespitosa | 12.00 | |
| Kc | Kc1 | Koeleria cristata | 6.00 |
| Kc2 | Koeleria cristata | 9.00 | |
| Kc3 | Koeleria cristata | 12.00 | |
| Et | Et1 | Elymus tangutorum | 18.00 |
| Et2 | Elymus tangutorum | 24.00 | |
| Et3 | Elymus tangutorum | 30.00 | |
| Numbered | Treatment | Closeness Degree (Ci) | Scheduling |
|---|---|---|---|
| Et | Elymus tangutorum | 0.73 | 1 |
| Dc | Deschampsia cespitosa | 0.72 | 2 |
| Kc | Koeleria cristata | 0.63 | 3 |
| Pp | Poa pratensis L. ‘Qinghai’ | 0.54 | 4 |
| Pt | Puccinellia tenuiflora cv. ‘Tongde’ | 0.52 | 5 |
| Pc | Poa crymophila L. ‘Qinghai’ | 0.40 | 6 |
| Gm | Gentiana macrophylla | 0.31 | 7 |
| Ap | Aconitum pendulum | 0.32 | 8 |
| Pk | Pedicularis kansuensis | 0.00 | 9 |
| Treatment | Crude Protein (g·kg−1) | Crude Fat (%) | Soluble Sugar (mg·g−1) | Soluble Protein (mg·g−1) | Neutral Fiber (%) | Acidic Fiber (%) | |
|---|---|---|---|---|---|---|---|
| Pp | Pp1 | 113.36 ± 15.62 c | 2.51 ± 0.18 b | 42.25 ± 2.43 b | 71.87 ± 4.56 b | 52.22 ± 5.39 a | 28.24 ± 3.46 a |
| Pp2 | 176.71 ± 16.33 a | 2.83 ± 0.15 a | 50.19 ± 4.35 a | 81.47 ± 6.46 a | 52.88 ± 2.40 a | 26.40 ± 3.58 a | |
| Pp3 | 139.48 ± 16.75 b | 2.17 ± 0.20 c | 48.77 ± 3.52 a | 74.74 ± 3.57 b | 52.44 ± 3.89 a | 28.54 ± 4.26 a | |
| Dc | Dc1 | 171.85 ± 12.32 a | 2.62 ± 0.28 a | 41.07 ± 4.52 c | 57.74 ± 2.65 c | 53.01 ± 5.83 a | 30.59 ± 2.68 a |
| Dc2 | 158.52 ± 13.62 b | 2.67 ± 0.22 a | 57.70 ± 5.47 a | 73.77 ± 6.46 a | 55.12 ± 7.54 a | 31.07 ± 3.48 a | |
| Dc3 | 171.31 ± 18.32 a | 2.41 ± 0.17 b | 51.54 ± 4.35 b | 62.92 ± 6.34 b | 52.54 ± 6.54 a | 30.97 ± 4.35 a | |
| Kc | Kc1 | 98.60 ± 9.63 b | 2.81 ± 0.23 b | 50.74 ± 3.58 b | 84.54 ± 7.52 a | 55.01 ± 7.53 a | 30.93 ± 2.76 a |
| Kc2 | 117.88 ± 16.36 a | 3.14 ± 0.25 a | 55.72 ± 5.36 a | 81.72 ± 4.28 a | 50.01 ± 4.30 b | 28.05 ± 1.68 b | |
| Kc3 | 105.81 ± 12.85 b | 2.83 ± 0.18 b | 51.06 ± 6.42 b | 82.53 ± 6.43 a | 50.12 ± 5.39 b | 28.01 ± 2.35 b | |
| Et | Et1 | 136.23 ± 12.68 a | 2.56 ± 0.26 a | 57.72 ± 2.74 a | 73.41 ± 3.48 a | 60.54 ± 4.36 a | 34.12 ± 5.30 a |
| Et2 | 99.87 ± 12.13 c | 2.58 ± 0.34 a | 49.65 ± 3.46 b | 68.06 ± 7.42 ab | 59.01 ± 5.76 a | 32.02 ± 4.34 a | |
| Et3 | 114.93 ± 14.50 b | 2.32 ± 0.14 b | 56.09 ± 5.32 a | 65.18 ± 7.43 b | 58.61 ± 5.43 a | 33.52 ± 2.45 a | |
| Soil Layer | Treatment | Organic Matter (g·kg−1) | Total Nitrogen (g·kg−1) | Total Phosphorus (g·kg−1) | Total Potassium (g·kg−1) | Available Phosphorus (mg·kg−1) | Available Potassium (mg·kg−1) | Ammonia Nitrogen (g·kg−1) | Nitrate Nitrogen (g·kg−1) |
|---|---|---|---|---|---|---|---|---|---|
| 0~10 | Pp1 | 278.59 ± 9.45 a | 7.35 ± 0.65 b | 2.47 ± 0.13 a | 17.07 ± 1.03 b | 67.12 ± 8.23 b | 695.33 ± 15.46 b | 2.94 ± 0.24 b | 3.14 ± 0.54 a |
| Pp2 | 274.49 ± 16.87 a | 8.14 ± 0.14 a | 2.50 ± 0.01 a | 17.83 ± 1.30 a | 77.74 ± 10.50 a | 740.24 ± 22.47 a | 2.69 ± 0.23 c | 3.09 ± 0.32 a | |
| Pp3 | 259.51 ± 16.46 b | 7.31 ± 0.26 b | 2.18 ± 0.13 b | 17.20 ± 2.03 b | 59.20 ± 1.31 c | 600.56 ± 28.90 c | 3.25 ± 0.36 a | 3.10 ± 0.44 a | |
| CK | 205.45 ± 12.14 c | 5.83 ± 0.03 c | 1.62 ± 0.12 c | 14.80 ± 1.51 c | 47.20 ± 2.34 d | 483.68 ± 11.25 d | 2.63 ± 0.01 c | 3.06 ± 0.02 a | |
| Dc1 | 255.88 ± 14.47 b | 6.71 ± 0.21 b | 2.40 ± 0.12 a | 17.73 ± 1.04 a | 53.78 ± 2.54 a | 640.75 ± 29.50 b | 2.69 ± 0.25 c | 3.51 ± 0.20 b | |
| Dc2 | 234.98 ± 14.30 c | 7.75 ± 0.46 a | 2.23 ± 0.01 c | 17.41 ± 1.02 a | 57.25 ± 3.11 a | 570.63 ± 34.20 c | 2.97 ± 0.16 a | 3.93 ± 0.19 a | |
| Dc3 | 296.76 ± 24.60 a | 6.54 ± 0.40 c | 2.31 ± 0.01 b | 15.21 ± 0.49 b | 54.74 ± 4.80 a | 720.86 ± 36.27 a | 2.85 ± 0.18 b | 3.89 ± 0.30 a | |
| CK | 205.45 ± 12.14 d | 5.83 ± 0.03 d | 1.62 ± 0.12 d | 14.80 ± 1.51 c | 47.20 ± 2.34 b | 483.68 ± 11.25 d | 2.63 ± 0.01 c | 3.06 ± 0.02 c | |
| Kc1 | 228.28 ± 20.05 c | 6.73 ± 0.48 bc | 2.29 ± 0.12 a | 17.91 ± 1.76 a | 47.23 ± 2.61 c | 575.46 ± 32.55 c | 2.78 ± 0.20 b | 4.49 ± 0.65 a | |
| Kc2 | 298.95 ± 23.53 a | 7.86 ± 0.30 a | 2.30 ± 0.02 a | 16.71 ± 1.08 b | 64.14 ± 5.44 a | 750.57 ± 25.80 a | 3.45 ± 0.42 a | 4.51 ± 0.87 a | |
| Kc3 | 278.13 ± 15.43 b | 6.79 ± 0.24 b | 2.38 ± 0.01 a | 18.12 ± 1.54 a | 57.56 ± 3.92 b | 675.22 ± 30.27 b | 3.67 ± 0.38 a | 3.42 ± 0.24 b | |
| CK | 205.45 ± 12.14 d | 5.83 ± 0.03 c | 1.62 ± 0.12 b | 14.80 ± 1.51 c | 47.20 ± 2.34 c | 483.68 ± 11.25 d | 2.63 ± 0.01 c | 3.06 ± 0.02 c | |
| Et1 | 321.07 ± 16.39 a | 8.31 ± 0.16 a | 2.62 ± 0.15 a | 15.47 ± 0.98 b | 73.10 ± 3.74 a | 723.54 ± 35.60 a | 3.83 ± 0.36 a | 4.42 ± 0.63 a | |
| Et2 | 260.23 ± 21.25 c | 7.19 ± 0.47 b | 2.36 ± 0.12 b | 16.60 ± 1.03 a | 42.07 ± 2.10 c | 640.89 ± 31.05 b | 2.68 ± 0.17 c | 3.08 ± 0.14 c | |
| Et3 | 294.54 ± 15.36 b | 7.23 ± 0.54 b | 2.61 ± 0.03 a | 16.95 ± 1.20 a | 61.80 ± 1.30 b | 540.00 ± 22.60 c | 3.01 ± 0.26 b | 4.06 ± 0.37 b | |
| CK | 205.45 ± 12.14 d | 5.83 ± 0.03 c | 1.62 ± 0.12 c | 14.80 ± 1.51 b | 47.20 ± 2.34 c | 483.68 ± 11.25 d | 2.63 ± 0.01 c | 3.06 ± 0.02 c |
| Soil Layer | Treatment | Organic Matter (g·kg−1) | Total Nitrogen (g·kg−1) | Total Phosphorus (g·kg−1) | Total Potassium (g·kg−1) | Available Phosphorus (mg·kg−1) | Available Potassium (mg·kg−1) | Ammonia Nitrogen (g·kg−1) | Nitrate Nitrogen (g·kg−1) |
|---|---|---|---|---|---|---|---|---|---|
| 10~20 | Pp1 | 278.59 ± 9.45 a | 7.35 ± 0.65 b | 2.47 ± 0.13 a | 17.07 ± 1.03 b | 67.12 ± 8.23 b | 695.33 ± 15.46 b | 2.94 ± 0.24 b | 3.14 ± 0.54 a |
| Pp2 | 274.49 ± 16.87 a | 8.14 ± 0.14 a | 2.50 ± 0.01 a | 17.83 ± 1.30 a | 77.74 ± 10.50 a | 740.24 ± 22.47 a | 2.69 ± 0.23 c | 3.09 ± 0.32 a | |
| Pp3 | 259.51 ± 16.46 b | 7.31 ± 0.26 b | 2.18 ± 0.13 b | 17.20 ± 2.03 b | 59.20 ± 1.31 c | 600.56 ± 28.90 c | 3.25 ± 0.36 a | 3.10 ± 0.44 a | |
| CK | 205.45 ± 12.14 c | 5.83 ± 0.03 c | 1.62 ± 0.12 c | 14.80 ± 1.51 c | 47.20 ± 2.34 d | 483.68 ± 11.25 d | 2.63 ± 0.01 c | 3.06 ± 0.02 a | |
| Dc1 | 255.88 ± 14.47 b | 6.71 ± 0.21 b | 2.40 ± 0.12 a | 17.73 ± 1.04 a | 53.78 ± 2.54 a | 640.75 ± 29.50 b | 2.69 ± 0.25 c | 3.51 ± 0.20 b | |
| Dc2 | 234.98 ± 14.30 c | 7.75 ± 0.46 a | 2.23 ± 0.01 c | 17.41 ± 1.02 a | 57.25 ± 3.11 a | 570.63 ± 34.20 c | 2.97 ± 0.16 a | 3.93 ± 0.19 a | |
| Dc3 | 296.76 ± 24.60 a | 6.54 ± 0.40 c | 2.31 ± 0.01 b | 15.21 ± 0.49 b | 54.74 ± 4.80 a | 720.86 ± 36.27 a | 2.85 ± 0.18 b | 3.89 ± 0.30 a | |
| CK | 205.45 ± 12.14 d | 5.83 ± 0.03 d | 1.62 ± 0.12 d | 14.80 ± 1.51 c | 47.20 ± 2.34 b | 483.68 ± 11.25 d | 2.63 ± 0.01 c | 3.06 ± 0.02 c | |
| Kc1 | 228.28 ± 20.05 c | 6.73 ± 0.48 bc | 2.29 ± 0.12 a | 17.91 ± 1.76 a | 47.23 ± 2.61 c | 575.46 ± 32.55 c | 2.78 ± 0.20 b | 4.49 ± 0.65 a | |
| Kc2 | 298.95 ± 23.53 a | 7.86 ± 0.30 a | 2.30 ± 0.02 a | 16.71 ± 1.08 b | 64.14 ± 5.44 a | 750.57 ± 25.80 a | 3.45 ± 0.42 a | 4.51 ± 0.87 a | |
| Kc3 | 278.13 ± 15.43 b | 6.79 ± 0.24 b | 2.38 ± 0.01 a | 18.12 ± 1.54 a | 57.56 ± 3.92 b | 675.22 ± 30.27 b | 3.67 ± 0.38 a | 3.42 ± 0.24 b | |
| CK | 205.45 ± 12.14 d | 5.83 ± 0.03 c | 1.62 ± 0.12 b | 14.80 ± 1.51 c | 47.20 ± 2.34 c | 483.68 ± 11.25 d | 2.63 ± 0.01 c | 3.06 ± 0.02 c | |
| Et1 | 321.07 ± 16.39 a | 8.31 ± 0.16 a | 2.62 ± 0.15 a | 15.47 ± 0.98 b | 73.10 ± 3.74 a | 723.54 ± 35.60 a | 3.83 ± 0.36 a | 4.42 ± 0.63 a | |
| Et2 | 260.23 ± 21.25 c | 7.19 ± 0.47 b | 2.36 ± 0.12 b | 16.60 ± 1.03 a | 42.07 ± 2.10 c | 640.89 ± 31.05 b | 2.68 ± 0.17 c | 3.08 ± 0.14 c | |
| Et3 | 294.54 ± 15.36 b | 7.23 ± 0.54 b | 2.61 ± 0.03 a | 16.95 ± 1.20 a | 61.80 ± 1.30 b | 540.00 ± 22.60 c | 3.01 ± 0.26 b | 4.06 ± 0.37 b | |
| CK | 205.45 ± 12.14 d | 5.83 ± 0.03 c | 1.62 ± 0.12 c | 14.80 ± 1.51 b | 47.20 ± 2.34 c | 483.68 ± 11.25 d | 2.63 ± 0.01 c | 3.06 ± 0.02 c |
| Treatment | Degree of Affiliation (Math.) U (x1) | Degree of Affiliation (Math.) U (x2) | Degree of Affiliation (Math.) U (x3) | Degree of Affiliation (Math.) U (x4) | Degree of Affiliation (Math.) U (x5) | Value of the Affiliation Function D | Scheduling |
|---|---|---|---|---|---|---|---|
| Pp1 | 0.563 | 0.556 | 0.013 | 0.039 | 0.282 | 0.361 | 3 |
| Pp2 | 0.974 | 1.000 | 0.232 | 0.054 | 0.815 | 0.701 | 1 |
| Pp3 | 0.507 | 0.688 | 0.088 | 0.023 | 0.584 | 0.415 | 2 |
| Dc1 | 0.000 | 0.719 | 0.385 | 0.179 | 0.469 | 0.330 | 3 |
| Dc2 | 0.279 | 0.721 | 0.604 | 0.981 | 1.000 | 0.576 | 1 |
| Dc3 | 0.034 | 0.780 | 0.706 | 0.269 | 0.000 | 0.396 | 2 |
| Kc1 | 0.393 | 0.229 | 0.062 | 1.000 | 0.677 | 0.383 | 2 |
| Kc2 | 0.790 | 0.554 | 0.275 | 0.886 | 0.021 | 0.610 | 1 |
| Kc3 | 0.569 | 0.384 | 0.000 | 0.627 | 0.170 | 0.382 | 3 |
| Et1 | 1.000 | 0.285 | 1.000 | 0.333 | 0.369 | 0.673 | 1 |
| Et2 | 0.336 | 0.000 | 0.202 | 0.030 | 0.559 | 0.197 | 3 |
| Et3 | 0.421 | 0.037 | 0.534 | 0.000 | 0.687 | 0.307 | 2 |
Disclaimer/Publisher’s Note: The statements, opinions and data contained in all publications are solely those of the individual author(s) and contributor(s) and not of MDPI and/or the editor(s). MDPI and/or the editor(s) disclaim responsibility for any injury to people or property resulting from any ideas, methods, instructions or products referred to in the content. |
© 2024 by the authors. Licensee MDPI, Basel, Switzerland. This article is an open access article distributed under the terms and conditions of the Creative Commons Attribution (CC BY) license (https://creativecommons.org/licenses/by/4.0/).
Share and Cite
Lyu, L.; Liu, Q.; He, M.; Gao, P.; Cai, Z.; Shi, J. Screening Suitable Ecological Grasses and the Seeding Rate in the Muli Mining Area. Sustainability 2024, 16, 10184. https://doi.org/10.3390/su162310184
Lyu L, Liu Q, He M, Gao P, Cai Z, Shi J. Screening Suitable Ecological Grasses and the Seeding Rate in the Muli Mining Area. Sustainability. 2024; 16(23):10184. https://doi.org/10.3390/su162310184
Chicago/Turabian StyleLyu, Liangyu, Qingqing Liu, Miaohua He, Pei Gao, Zongcheng Cai, and Jianjun Shi. 2024. "Screening Suitable Ecological Grasses and the Seeding Rate in the Muli Mining Area" Sustainability 16, no. 23: 10184. https://doi.org/10.3390/su162310184
APA StyleLyu, L., Liu, Q., He, M., Gao, P., Cai, Z., & Shi, J. (2024). Screening Suitable Ecological Grasses and the Seeding Rate in the Muli Mining Area. Sustainability, 16(23), 10184. https://doi.org/10.3390/su162310184

