Exploring Sustainable Remediation Options: The Mycodegradation of Halogenated Nitroaromatic Compounds by Caldariomyces fumago
Abstract
1. Introduction
2. Materials and Methods
2.1. Fungal Strain Selection
2.2. Growth of Fungal Cultures
2.3. Model Compound Preparation
2.4. Media Preparation
2.5. Degradation Studies
2.6. Detection of Chloride and Fluoride by Ion Chromatography
2.7. Bioluminescence Inhibition Testing (MicroTox Test)
3. Results and Discussion
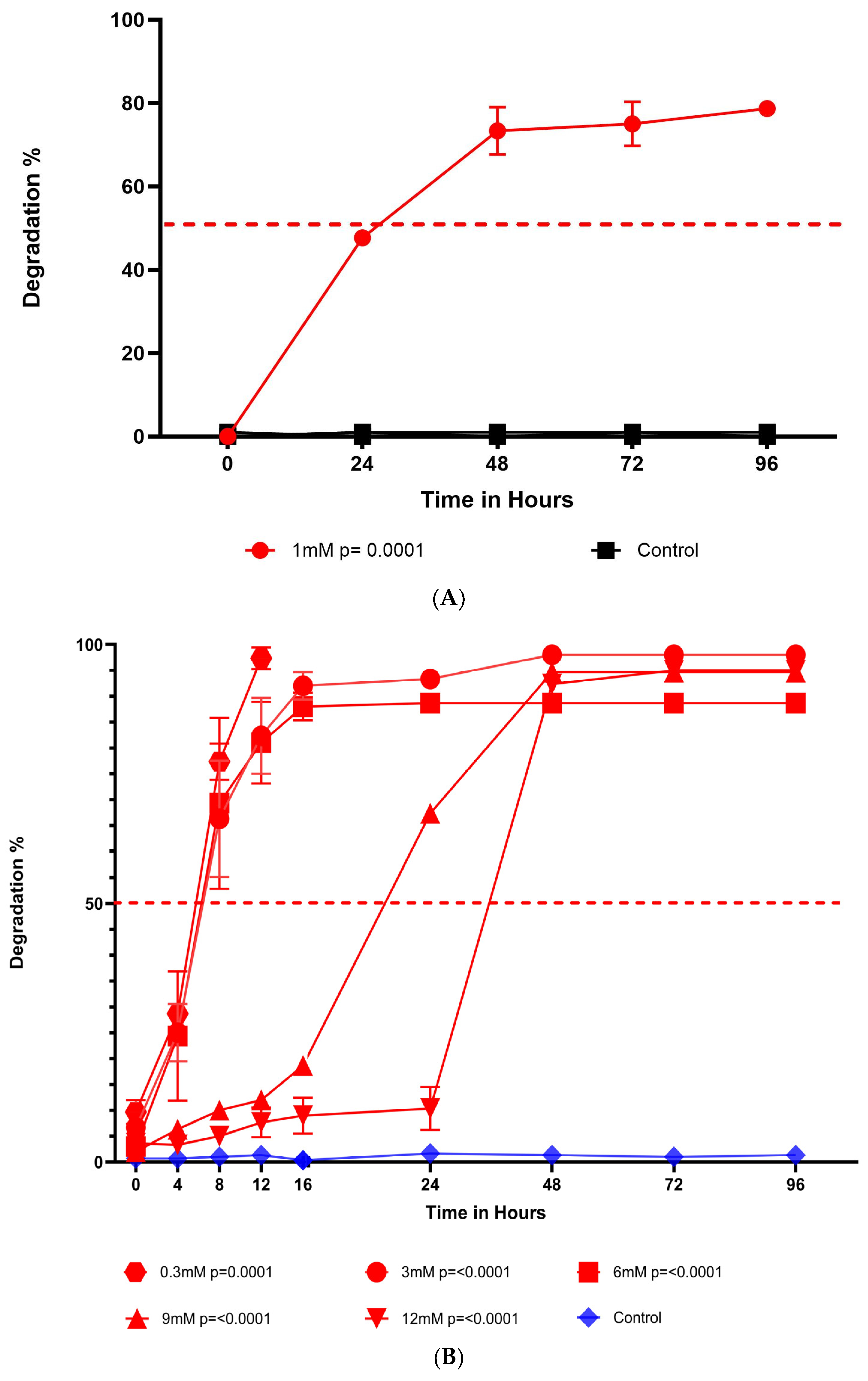
3.1. Degradation of 2-Chloro-4-nitrophenol and 5-Fluoro-2-nitrophenol (0.3 mM)
3.2. Effect of the Concentration of HNCs on Degradation by C. fumago
3.3. Detection of Chloride and Fluoride Ions
3.4. Assessment of the Impact of the Degradation of HNC on Ecotoxicity
4. Conclusions
Author Contributions
Funding
Institutional Review Board Statement
Informed Consent Statement
Data Availability Statement
Acknowledgments
Conflicts of Interest
References
- Hu, K.; Barbieri, M.V.; López-García, E.; Postigo, C.; Lopez de Alda, M.; Caminal, G.; Sarrà, M. Fungal degradation of selected medium to highly polar pesticides by Trametes versicolor: Kinetics, biodegradation pathways, and ecotoxicity of treated waters. Anal. Bioanal. Chem. 2022, 414, 439–449. [Google Scholar] [CrossRef] [PubMed]
- Jeschke, P.; Nauen, R. Neonicotinoids—From zero to hero in insecticide chemistry. Pest Manag. Sci. Former. Pestic. Sci. 2008, 64, 1084–1098. [Google Scholar] [CrossRef] [PubMed]
- Liu, C.X.; Yi, F.P.; Zou, J.Z. Design and synthesis of heterocyclic enamine derivatives based on skeleton of neonicotinoids. Heterocycl. Commun. 2012, 18, 113–116. [Google Scholar] [CrossRef]
- Pesticides & Bee Toxicity. Available online: https://www.mda.state.mn.us/protecting/bmps/pollinators/beetoxicity (accessed on 21 August 2024).
- Hladik, M.L.; Main, A.R.; Goulson, D. Environmental Risks and Challenges Associated with Neonicotinoid Insecticides. Env. Sci. Technol. 2018, 52, 3329–3335. [Google Scholar] [CrossRef]
- Neonicotinoid Pesticide Market—By Type (Imidacloprid, Thiamethoxam, Clothianidin, Dinotefuran, Acetamiprid) by Crop Type (Cereals, Oilseed, Fruits, Vegetables, Pulses), by Application Method & Forecast, 2024–2032. Available online: https://www.gminsights.com/industry-analysis/neonicotinoid-pesticide-market#:~:text=Neonicotinoid%20Pesticide%20Market%20was%20valued,owing%20to%20its%20versatile%20applications (accessed on 31 August 2024).
- Borsuah, J.F.; Messer, T.L.; Snow, D.D.; Comfort, S.D.; Mittelstet, A.R. Literature Review: Global Neonicotinoid Insecticide Occurrence in Aquatic Environments. Water 2020, 12, 3388. [Google Scholar] [CrossRef]
- Global Fluorinated Compounds Market Growth 2024–2030. Available online: https://www.researchreportsworld.com/global-fluorinated-compounds-market-26325246 (accessed on 31 August 2024).
- Gershon, H.; Clarke, D.; Gershon, M. Antifungal activity of halophenols and halonitrophenols. Monatshefte Fur Chem. 1995, 126, 1161. [Google Scholar] [CrossRef]
- Taylor, J.S.; Jacobs, E.P. Reverse osmosis and nanofiltration. In Water Treatment Membranes and Their Processes, 1st ed.; McGraw-Hill Education: New York, NY, USA, 1996; pp. 9.1–9.70. [Google Scholar]
- Elazhar, F.; Touir, J.; Elazhar, M.; Belhamidi, S.; El Harrak, N.; Zdeg, A.; Hafsi, M.; Amor, Z.; Taky, M.; Elmidaoui, A. Techno-economic comparison of reverse osmosis and nanofiltration in desalination of a Moroccan brackish groundwater. Desalin. Water Treat. 2015, 55, 2471–2477. [Google Scholar] [CrossRef]
- Arora, P.K.; Jain, R.K. Metabolism of 2-chloro-4-nitrophenol in a Gram negative bacterium, Burkholderia sp. RKJ 800. PLoS ONE 2012, 7, e38676. [Google Scholar] [CrossRef]
- Ke, Z.; Lan, M.; Yang, T.; Jia, W.; Gou, Z.; Chen, K.; Jiang, J. A two-component monooxygenase for continuous denitration and dechlorination of chlorinated 4-nitrophenol in Ensifer sp. strain 22-1. Environ. Res. 2021, 198, 111216. [Google Scholar] [CrossRef]
- Schenzle, A.; Lenke, H.; Spain, J.C.; Knackmuss, H.-J. Chemoselective nitro group reduction and reductive dechlorination initiate degradation of 2-chloro-5-nitrophenol by Ralstonia eutropha JMP134. Appl. Environ. Microbiol. 1999, 65, 2317–2323. [Google Scholar] [CrossRef]
- Čapek, A.; Šimek, A.; Leiner, J.; Weichet, J. Antimicrobial agents: VII. Microbial degradation of the antifungal agent 2-chloro-4-nitrophenol (Nitrofungin). Folia Microbiol. Praha 1970, 15, 350–353. [Google Scholar] [CrossRef] [PubMed]
- Yadav, J.S.; Bethea, C.; Reddy, C.A. Mineralization of Trichloroethylene (TCE) by the White Rot Fungus Phanerochaete chrysosporium. Bull. Environ. Contam. Toxicol. 2000, 65, 28–34. [Google Scholar] [CrossRef]
- Wu, B.; Hussain, M.; Zhang, W.; Stadler, M.; Liu, X.; Xiang, M. Current insights into fungal species diversity and perspective on naming the environmental DNA sequences of fungi. Mycology 2019, 10, 127–140. [Google Scholar] [CrossRef] [PubMed]
- Pointing, S. Feasibility of bioremediation by white-rot fungi. Appl. Microbiol. Biotechnol. 2001, 57, 20–33. [Google Scholar] [CrossRef] [PubMed]
- Harms, H.; Schlosser, D.; Wick, L.Y. Untapped potential: Exploiting fungi in bioremediation of hazardous chemicals. Nat. Rev. Microbiol. 2011, 9, 177–192. [Google Scholar] [CrossRef] [PubMed]
- Baldrian, P. Wood-inhabiting ligninolytic basidiomycetes in soils: Ecology and constraints for applicability in bioremediation. Fungal Ecol. 2008, 1, 4–12. [Google Scholar] [CrossRef]
- D’Annibale, A.; Rosetto, F.; Leonardi, V.; Federici, F.; Petruccioli, M. Role of Autochthonous Filamentous Fungi in Bioremediation of a Soil Historically Contaminated with Aromatic Hydrocarbons. Appl. Environ. Microbiol. 2006, 72, 28–36. [Google Scholar] [CrossRef]
- Blanco-Orta, M.F.; Garcia-de la Cruz, R.F.; Paz-Maldonado, L.M.T.; Pedraza-Gonzalez, D.A.; Morales-Avila, M.M.; Balderas-Hernandez, V.E.; Gonzalez-Ortega, O.; Perez-Martinez, A.S. Assessing three industrially produced fungi for the bioremediation of diclofenac. J. Environ. Sci. Health A Tox Hazard Subst. Environ. Eng. 2023, 58, 661–670. [Google Scholar] [CrossRef]
- Khindaria, A.; Grover, T.A.; Aust, S.D. Bioremediation of aliphatic halocarbons by Phanerochaete chrysosporium. In Proceedings of the 9th Annual Conference on Hazardous Waste Remediation, Bozeman, MT, USA, 8–10 June 1994. [Google Scholar]
- Rigas, F.; Dritsa, V.; Chatzidakis, J.; Marchant, R. Detoxification characteristics of selected Polyporus species for bioremediation applications. In Proceedings of the 8th International Conference on Environmental Science and Technology, Myrina, Greece, 8–10 September 2003; pp. 739–746. [Google Scholar]
- Tan, Z.; Losantos, D.; Li, Y.; Sarra, M. Biotransformation of chloramphenicol by white-rot-fungi Trametes versicolor under cadmium stress. Bioresour. Technol. 2023, 369, 128508. [Google Scholar] [CrossRef]
- Murphy, C.D. Fluorophenol oxidation by a fungal chloroperoxidase. Biotechnol. Lett. 2007, 29, 45–49. [Google Scholar] [CrossRef]
- Vanschijndel, J.; Vollenbroek, E.G.M.; Wever, R. The chloroperoxidase from the fungus curvularia-inaequalis—A novel vanadium enzyme. Biochim. Biophys. Acta 1993, 1161, 249–256. [Google Scholar] [CrossRef] [PubMed]
- Vithalani, P.; Bhatt, N.S. Mycoremediation of Rhodamine B through Aspergillus fumigatus P5 and evaluation of degradative pathway. Int. J. Environ. Sci. Technol. 2023, 20, 13209–13218. [Google Scholar] [CrossRef]
- Gajendiran, A.; Abraham, J. Biomineralisation of fipronil and its major metabolite, fipronil sulfone, by Aspergillus glaucus strain AJAG1 with enzymes studies and bioformulation. 3 Biotech 2017, 7, 212. [Google Scholar] [CrossRef] [PubMed]
- Arora, P.K.; Jain, R.K. Biotransformation of 4-chloro-2-nitrophenol into 5-chloro-2-methylbenzoxazole by a marine Bacillus sp. strain MW-1. Biodegradation 2012, 23, 325–331. [Google Scholar] [CrossRef]
- Kaminskyj, S.G. Fundamentals of growth, storage, genetics and microscopy of Aspergillus nidulans. Fungal Genet. Rep. 2001, 48, 25–31. [Google Scholar] [CrossRef]
- Arora, P.K.; Sharma, A.; Mehta, R.; Shenoy, B.D.; Srivastava, A.; Singh, V.P. Metabolism of 4-chloro-2-nitrophenol in a Gram-positive bacterium, Exiguobacterium sp. PMA. Microb. Cell Fact. 2012, 11, 150. [Google Scholar] [CrossRef]
- Johnson, B.T. Microtox® acute toxicity test. In Small-Scale Freshwater Toxicity Investigations: Toxicity Test Methods; Springer: Berlin/Heidelberg, Germany, 2005; pp. 69–105. [Google Scholar]
- Khudur, L.S.; Gleeson, D.B.; Ryan, M.H.; Shahsavari, E.; Haleyur, N.; Nugegoda, D.; Ball, A.S. Implications of co-contamination with aged heavy metals and total petroleum hydrocarbons on natural attenuation and ecotoxicity in Australian soils. Environ. Pollut. 2018, 243, 94–102. [Google Scholar] [CrossRef]
- Manusadžianas, L.; Balkelyt, L.; Sadauskas, K.; Blinova, I.; Põllumaa, L.; Kahru, A. Ecotoxicological study of Lithuanian and Estonian wastewaters: Selection of the biotests, and correspondence between toxicity and chemical-based indices. Aquat. Toxicol. 2003, 63, 27–41. [Google Scholar] [CrossRef]
- Günesf, E.; Günes, Y.; Talınıe, I. Toxicity evaluation of industrial and land base sources in a river basin. Desalination 2008, 226, 348–356. [Google Scholar] [CrossRef]
- Beunink, J.; Rehm, H.-J. Coupled reductive and oxidative degradation of 4-chloro-2-nitrophenol by a co-immobilized mixed culture system. Appl. Microbiol. Biotechnol. 1990, 34, 108–115. [Google Scholar] [CrossRef]
- Arora, P.K.; Jain, R.K. Pathway for Degradation of 2-Chloro-4-Nitrophenol in Arthrobacter sp. SJCon. Curr. Microbiol. 2011, 63, 568. [Google Scholar] [CrossRef] [PubMed]
- Ghosh, A.; Khurana, M.; Chauhan, A.; Takeo, M.; Chakraborti, A.K.; Jain, R.K. Degradation of 4-nitrophenol, 2-chloro-4-nitrophenol, and 2, 4-dinitrophenol by Rhodococcus imtechensis strain RKJ300. Environ. Sci. Technol. 2010, 44, 1069–1077. [Google Scholar] [CrossRef] [PubMed]
- Min, J.; Zhang, J.-J.; Zhou, N.-Y. A Two-Component para-Nitrophenol Monooxygenase Initiates a Novel 2-Chloro-4-Nitrophenol Catabolism Pathway in Rhodococcus imtechensis RKJ300. Appl. Environ. Microbiol. 2016, 82, 714–723. [Google Scholar] [CrossRef] [PubMed]
- Wang, Y.; Liu, H.; Yang, X.; Wang, L. Aquatic toxicity and aquatic ecological risk assessment of wastewater-derived halogenated phenolic disinfection byproducts. Sci. Total Environ. 2022, 809, 151089. [Google Scholar] [CrossRef] [PubMed]
- Min, J.; Chen, W.; Wang, J.; Hu, X. Genetic and biochemical characterization of 2-chloro-5-nitrophenol degradation in a newly isolated bacterium, Cupriavidus sp. strain CNP-8. Front. Microbiol. 2017, 8, 1778. [Google Scholar] [CrossRef]
- Tiwari, J.; Naoghare, P.; Sivanesan, S.; Bafana, A. Biodegradation and detoxification of chloronitroaromatic pollutant by Cupriavidus. Bioresour. Technol. 2017, 223, 184–191. [Google Scholar] [CrossRef]
- Pandey, J.; Heipieper, H.J.; Chauhan, A.; Arora, P.K.; Prakash, D.; Takeo, M.; Jain, R.K. Reductive dehalogenation mediated initiation of aerobic degradation of 2-chloro-4-nitrophenol (2C4NP) by Burkholderia sp. strain SJ98. Appl. Microbiol. Biotechnol. 2011, 92, 597–607. [Google Scholar] [CrossRef]
- Min, J.; Zhang, J.-J.; Zhou, N.-Y. The Gene Cluster for para-Nitrophenol Catabolism Is Responsible for 2-Chloro-4-Nitrophenol Degradation in Burkholderia sp. Strain SJ98. Appl. Environ. Microbiol. 2014, 80, 6212–6222. [Google Scholar] [CrossRef]
- Pickard, M.A. A defined growth medium for the production of chloroperoxidase by Caldariomyces fumago. Can. J. Microbiol. 1981, 27, 1298–1305. [Google Scholar] [CrossRef]
- Rieble, S.; Joshi, D.K.; Gold, M.H. Aromatic Nitroreductase from the Basidiomycete Phanerochaete chrysosporium. Biochem. Biophys. Res. Commun. 1994, 205, 298–304. [Google Scholar] [CrossRef]
- Levin, L.; Carabajal, M.; Hofrichter, M.; Ullrich, R. Degradation of 4-nitrophenol by the white-rot polypore Trametes versicolor. Int. Biodeterior. Biodegrad. 2016, 107, 174–179. [Google Scholar] [CrossRef]
- Mendonça, E.; Picado, A.; Paixão, S.M.; Silva, L.; Cunha, M.A.; Leitão, S.; Moura, I.; Cortez, C.; Brito, F. Ecotoxicity tests in the environmental analysis of wastewater treatment plants: Case study in Portugal. J. Hazard. Mater. 2009, 163, 665–670. [Google Scholar] [CrossRef]








| Class | Order | Family | Mycobank Name | Basis for Selection |
|---|---|---|---|---|
| Agaricomycetes | Agaricales | Pleurotaceae | Pleurotusostreatus | Bioremediation of diclofenac [22] |
| Agaricomycetes | Polyporales | Phanerochaeteaceae | Phanerochaete | Bioremediation of aliphatic halocarbons [23] |
| Agaricomycetes | Polyporales | Polyporaceae | Lentinus brumalis (Polyporus brumalis) | Poly R-478 decolorization [24] |
| Agaricomycetes | Polyporales | Polyporaceae | Trametes versicolor | Biotransformation of chloramphenicol [25] |
| Dothideomycetes | Capnodiales | Capnodiaceae | Leptoxyphium fumago (Caldariomyces Fumago) | Fluorophenol oxidation by chloroperoxidase [26] |
| Dothideomycetes | Pleosporales | Pleosporaceae | Curvularia | Vanadate-dependent chloroperoxidase [27] |
| Eurotiomycetes | Eurotiales | Aspergillaceae | Aspergillus fumigats mut. Fumigatus | Mycoremediation of Rhodamine B [28] |
| Eurotiomycetes | Eurotiales | Aspergillaceae | Aspergillus glaucus | Biomineralization of fipronil [29] |
| Eurotiomycetes | Eurotiales | Aspergillaceae | Aspergillus niger | Bioremediation of diclofenac [22] |
| Eurotiomycetes | Eurotiales | Aspergillaceae | Penicillium roquefortii | Bioremediation of diclofenac [22] |
Disclaimer/Publisher’s Note: The statements, opinions and data contained in all publications are solely those of the individual author(s) and contributor(s) and not of MDPI and/or the editor(s). MDPI and/or the editor(s) disclaim responsibility for any injury to people or property resulting from any ideas, methods, instructions or products referred to in the content. |
© 2024 by the authors. Licensee MDPI, Basel, Switzerland. This article is an open access article distributed under the terms and conditions of the Creative Commons Attribution (CC BY) license (https://creativecommons.org/licenses/by/4.0/).
Share and Cite
Aguilar, G., Jr.; Khudur, L.S.; Shah, K.V.; Ball, A.S. Exploring Sustainable Remediation Options: The Mycodegradation of Halogenated Nitroaromatic Compounds by Caldariomyces fumago. Sustainability 2024, 16, 9897. https://doi.org/10.3390/su16229897
Aguilar G Jr., Khudur LS, Shah KV, Ball AS. Exploring Sustainable Remediation Options: The Mycodegradation of Halogenated Nitroaromatic Compounds by Caldariomyces fumago. Sustainability. 2024; 16(22):9897. https://doi.org/10.3390/su16229897
Chicago/Turabian StyleAguilar, Gerardo, Jr., Leadin S. Khudur, Kalpit V. Shah, and Andrew S. Ball. 2024. "Exploring Sustainable Remediation Options: The Mycodegradation of Halogenated Nitroaromatic Compounds by Caldariomyces fumago" Sustainability 16, no. 22: 9897. https://doi.org/10.3390/su16229897
APA StyleAguilar, G., Jr., Khudur, L. S., Shah, K. V., & Ball, A. S. (2024). Exploring Sustainable Remediation Options: The Mycodegradation of Halogenated Nitroaromatic Compounds by Caldariomyces fumago. Sustainability, 16(22), 9897. https://doi.org/10.3390/su16229897

