Abstract
This study seeks to explore the relationship between science teachers’ computational thinking skills, collaborative learning attitudes, and their creativity in the context of sustainable education. The study adopted an explanatory sequential design, which is one of the designs used in mixed-method research. A total of 369 science teachers were included in the quantitative phase of the study. Quantitative data were collected using three different scales. These scales included the “Computational Thinking Scale”, “Online Cooperative Learning Attitude Scale (OCLAS)”, and “Creative Self-Efficacy Scale”. Structural Equation Modelling (SEM), confirmatory factor analysis, and path analysis were conducted to analyze the quantitative data. The qualitative phase of the study consisted of nine science teachers. Data were collected with a semi-structured interview form by considering the scores obtained from the scales. Qualitative data were analyzed through descriptive analysis. It was found that science teachers’ computational thinking skills and collaborative learning attitudes significantly predicted their creativity within the framework of sustainable education. As a result of the interviews conducted, it was concluded that science teachers lacked computational thinking skills. It is critical to provide teachers with guidance on how to integrate computational thinking skills into their subject areas. Science teachers’ knowledge of computational thinking skills can be enhanced, and computational thinking skills can be included in all teacher education programs.
1. Introduction
Today, in parallel with advances in technology, almost everyone, regardless of age, is expected to have certain basic computer skills [1]. It is essential for individuals to integrate digital technologies into their lives in order to solve the problems that they encounter in their daily lives by thinking critically [2]. Therefore, it is necessary to provide individuals with problem-solving skills using technology and to raise individuals with this competence [3]. In order to prepare individuals for the world of the future, individuals are expected not to consume technology but to have a productive role by making use of existing technologies [4]. Computational thinking skills are necessary for achieving this [5].
Ref. [2] defines computational thinking skills as “individuals’ ability to solve problems by making use of the fundamental concepts of computer science and understand human behavior”. This covers a wider area than just programming and coding skills [2]. Computational thinking skills include mathematical thinking by using a generalizable approach in the problem-solving process. It adopts engineering thinking by focusing on the design and evaluation of complex systems. It also includes scientific thinking aimed at understanding elements such as human behavior, cognitive processes, and intelligence. This multifaceted structure makes computational thinking skills an effective tool in interdisciplinary problem-solving and modeling processes. The combination of mathematical, engineering, and scientific perspectives allows computational thinking skills to find a wide range of applications. This allows individuals to solve complex problems in a structured and effective way. Computational thinking skills are divided into sub-dimensions, including abstraction, algorithmic thinking, collaboration, creativity, critical thinking, data analysis, debugging, decomposition, intuitive reasoning, and problem-solving [6,7]. Ref. [1] stated that computational thinking skills includes a number of familiar concepts, such as problem decomposition, data representation, and modeling, as well as less well-known ideas such as binary search, recursion, and parallelization. Computational thinking skills also include analytical thinking skills such as reading, writing, and basic mathematics skills [1]. In addition, there are institutions and organizations with international standards that support computational thinking skills in the field of education. These organizations [8], policymakers, and large-scale companies (Google, Microsoft, etc.) have supported this thinking skill and defined computational thinking skills as a competence that everyone should acquire at the basic level.
Over the past three decades, computational thinking skills have become increasingly important and have attracted great attention in the context of sustainable education. For this reason, they are regarded as essential for individuals to be able to keep up with the digital age. In order to integrate digital technologies smoothly into future generations and sustainable education, it is crucial for individuals to develop skills such as creativity and problem-solving. In the digital world, there is a growing need for creativity to solve problems across all areas of life. Creativity is defined as “the generation of both new and useful ideas” [9]. Creativity is described as having original, unique, and useful ideas in which a solution is developed individually or collaboratively [10]. Creativity is related to constructs such as creative thinking [11], creative problem-solving [12], and innovation [13]. Creativity refers to developing solutions by using as few resources as possible. In computer science, creativity is defined as design that requires fewer resources [14]. To maintain competitiveness, every individual, especially the younger generation, is expected to be digitally comfortable and competent and willing to contribute to social development by creatively solving problems with digital technologies [15].
Collaborative learning is a learning approach in which students work together in small, independent groups to achieve common educational goals, and their performance is evaluated both individually and as a group [16]. Collaborative learning can be categorized into two primary forms: group-based collaborative learning and partner-based collaborative learning. In group-based collaborative learning, participants collaborate as a cohesive unit, engaging in a shared learning experience that emphasizes teamwork and collective problem-solving. Conversely, partner-based collaborative learning involves the distribution of tasks among individual partners, where each member takes responsibility for specific subtasks. In this latter model, partners work independently on their assigned components, subsequently merging the individual contributions to form a comprehensive final output. This approach promotes both accountability and interdependence, as each participant’s efforts are critical to the success of the overall project. The integration of individual work into a collective outcome not only enhances the learning experience but also fosters skills such as communication, negotiation, and collaborative problem-solving, which are essential for success in various academic and professional contexts. In collaborative learning, group members are anticipated to engage in negotiation processes to collaboratively fulfill their assigned tasks [17,18]. Collaborative learning is also related to the development of students’ computational thinking skills. Likewise, it has been reported that collaborative game-based learning fosters students’ computational thinking skills [19]. Studies focusing on creativity in computational thinking skills are generally based on two main categories [20]. The first category addresses creativity in the context of computational thinking skills, while the second category examines creativity outside of computational thinking skills. Refs. [5,21] highlight the significant role of digital platforms in developing students’ problem-solving and creative thinking skills within the context of computational thinking skills. In this context, digital tools and platforms provide a basis for students and teachers to solve complex problems more creatively and effectively, while fostering their cognitive flexibility and innovative thinking skills. Studies in the context of creativity, other than computational thinking skills, focus on the relationship between the acquisition of computational thinking skills and creativity measurements. Studies in this category examine whether or not creativity can be fostered through teaching computational thinking skills [22,23] and whether or not computational thinking skills can be developed by supporting creativity [24]. Studies examining the relationship between computational thinking skills and creativity from various perspectives provide important findings for understanding the dynamics between these two skills. These studies reveal how computational thinking skills and creativity support each other and how they can be applied in the context of sustainable education. However, the limited number of studies involving teachers as a sample limits the generalizability of the findings in this area regarding educational practices. Considering the critical role that teachers play in teaching both computational thinking skills and creativity, more extensive research focusing on teachers is necessary. Such studies can provide important guidance for integrating these two skills into educational processes more effectively.
In this learning process, students develop the skills of questioning, sharing their thoughts, being open to different perspectives, and creating new understandings through interaction between them [25]. Designing an education system to support these skills is considered an important step towards raising individuals who think differently and use their imagination effectively. Imagination stands out as the fundamental nurturing element of creativity [24]. Ref. [26] defined creativity as a way of thinking and emphasized that it is closely linked to imagination. Therefore, teachers need to guide students and support this process through in-class activities in order to enable them to develop their creativity and provide sustainable education. Regarding collaborative learning strategies, one study designed a collaborative learning environment by using computational thinking skills in order to teach area calculation to middle school students [27]. In another study, a program that bridges home and school environments was designed by utilizing a digital platform with Web 2.0 features to facilitate structured collaborations in science classes. Following these procedures, students’ achievements in science were reported to have increased [28]. Overall, research suggests that a constructivist learning framework can help students learn social interaction, cognition, higher-order thinking, sustainable education, and computational thinking skills. In addition, these acquired skills are skills that individuals will continuously use both now and in the future, and they are skills whose importance should be highlighted.
The literature includes studies reporting on factors affecting the computational thinking skills of elementary school students, with the effect of collaborative learning [29], the relationship between creativity and computational thinking skills [30], and the effects of computational thinking skills and creative problem-solving [31]. In this regard, it is crucial to develop computational thinking skills for sustainable education within the educational process, as well as to identify the factors that contribute effectively to acquiring these skills. Research has long focused on encouraging teachers to use technology effectively in education. However, it is seen that there are still deficiencies in teachers’ knowledge and skills in using technology [32]. Literature reviews reveal that teachers with high technological skills are more inclined to use technology in the future. This shows that the teacher education process plays a critical role in their effective use of information and communication technologies in the future [33]. In line with sustainable education goals, it is of great importance for teachers to learn computer-supported collaborative learning environments based on social constructivism principles and to be able to use such environments effectively. In this context, it is vital to determine the strengths and weaknesses of a learning environment that supports collaborative problem-solving processes and teach them to teachers. In particular, transferring the design stages of problem-based collaborative learning environments reinforced by dynamic web technologies to teachers will contribute to their ability to effectively apply these technologies in their lessons and to increase their creativity. This approach aims to increase teachers’ awareness of technology-based pedagogical strategies and to widely use such innovative learning environments in the classroom environment. The review of the literature has identified several gaps related to this issue, particularly that no study has examined the interrelationship between teachers’ computational thinking skills, sustainable education, collaborative learning, and creativity skills. For this reason, this study makes a significant contribution to the literature. In this context, this study aims to determine the extent to which science teachers’ computational thinking skills predicts their collaborative learning within the framework of sustainable education and whether or not the creativity variable has an impact on this prediction level. The research questions formulated in line with the purpose of the study are as follows:
- What is the relationship between science teachers’ computational thinking skills and their creativity in the context of sustainable education?
- What is the relationship between science teachers’ computational thinking skills and their collaborative learning in the context of sustainable education?
- Is there a significant relationship between science teachers’ computational thinking skills, collaborative learning, and creativity in the context of sustainable education?
- How do science teachers perceive the relationship between computational thinking skills, collaborative learning, and their creativity in the context of sustainable education?
2. Method
A mixed design, which involves the joint use of quantitative and qualitative research methods, was employed in the study. Qualitative data are necessary to understand the subjective world of the participants in cases where quantitative data alone are insufficient. The study adopted an explanatory design, in which, first, quantitative data are collected and analyzed, then the analysis process is completed using qualitative data based on the former analysis [34].
The research consisted of two phases, and in the first phase the correlational survey model was taken as the basis. In the correlational survey model, the correlations between the variables are examined, and the correlation values of the relationships between the variables are calculated accordingly [34]. In the study adopting the correlational design, the mediation effect between the mediator variable (Creativity) and the other variables was checked. In the next phase, qualitative data aimed to reveal the current situation by using the case study method.
This study aims to determine the extent to which science teachers’ computational thinking skills predicts their collaborative learning in the context of sustainable education and whether or not the creativity variable affects this prediction level.
The hypotheses formed in line with the purpose of the study are given below (Figure 1, Figure 2 and Figure 3).
Figure 1.
Model for Hypothesis 1.
Figure 2.
Model for Hypothesis 2.
Figure 3.
Model for Hypothesis 3.
H1.
There is a significant relationship between the sub-dimensions of computational thinking skills and creativity of science teachers.
H2.
There is a significant relationship between the sub-dimensions of computational thinking skills and collaborative learning of science teachers.
H3.
The sub-dimensions of computational thinking skills and collaborative learning of science teachers are significant predictors of creativity.
2.1. Sample
The sample of the study comprises science teachers in the 2022–2023 academic year. It includes 369 teachers selected through the purposive sampling method. In the first phase of the study, the relationship between teachers’ computational thinking skills, collaborative learning, and creativity was examined. A total of 68.8% of the students taking part in the study were female science teachers and 31.3% were male science teachers. When their grade levels were analyzed, it was revealed that 24.8% of them were in first grade, 26% in second grade, 23.6% in third grade, and 28.4% in fourth grade.
In the qualitative data collection phase, the average scores of the scales were calculated, and teachers who received low and high scores on the scales were identified to create the study group of the research. In this regard, several open-ended questions were posed to nine teachers.
2.2. Data Collection Tools
“Online Cooperative Learning Attitude Scale”, “Computational Thinking Scale”, “Creative Self-Efficacy Scale” and an open-ended questionnaire form were used as data gathering tools in the study.
2.2.1. Computational Thinking Scale
Within the scope of the research, the “Computer Thinking Skills Scale” developed by [35] was used to measure the computational thinking skills of science teachers. The scale is a five-point Likert-type scale consisting of 29 items and five factors, which are “creativity”, “algorithmic thinking”, “cooperativity”, “critical thinking”, and “problem-solving”. The internal consistency coefficient of the scale was found to be 0.82, and it was calculated as 0.79 for the present study. EFA and CFA values were checked to test the construct validity of the scale, and the KMO value of the scale obtained as a result of EFA was found to be 0.77. The Bartlett Sphericity value was found to be 596 (p < 0.001, df = 25). The fit index of the scale was calculated (x2/df = 458.65 df = 1.50, NFI = 0.91, RMSEA = 0.053, CFI = 0.96) and was found to be acceptable.
2.2.2. Online Cooperative Learning Attitude Scale (OCLAS)
The “Online Cooperative Learning Attitude Scale” developed by [7] was employed to measure students’ “Collaborative Learning”. The scale is a five-point Likert-type scale consisting of 17 items and two factors, which are “positive attitude” and “negative attitude”. The internal consistency coefficient of the scale was calculated as 0.90, and it was measured as 0.84 for the present study. The fit index values were calculated for this study ((x2 = 2003.85/df = 404) = 4.95 (p = 0.00), NFI = 0.84, GFI = 0.78, RMSEA = 0.09, CFI = 0.87) and were considered acceptable for the model [36].
2.2.3. Creative Self-Efficacy Scale
The Creative Self-Efficacy Scale (CSES) was developed by [37] and adapted to Turkish by [38]. The CSES aims to measure employees’ perceptions of their ability to be creative in their work and is a five-point Likert-type scale that consists of three items. The internal consistency coefficient of the scale was calculated as 0.72, and it was measured as 0.84 for the present study. The fit index values were also calculated for this study: (x2 = 93.36/df = 32) = 2.93 (p = 0.00), NFI = 0.95, GFI = 0.97, RMSEA = 0.05, CFI = 0.97. Considering these values, the fit indices of the model are considered acceptable [36].
2.2.4. Open Ended Questionnaire
Qualitative data were gathered using a semi-structured interview form with open-ended questions aimed at revealing the feelings and opinions of the teachers regarding computational thinking skills, collaborative learning, and their perception of creativity. The questions in this form include dimensions designed to explore the connections established in real life, such as creativity, algorithmic thinking, cooperativity, critical thinking, problem-solving, positive attitude, negative attitude, creativity, and meaning making. A total of three experts were consulted while preparing the questions.
2.3. Data Collection
Necessary permissions were obtained to collect data for the study, and quantitative data were collected in the fall semester of the 2022–2023 academic year. Data were collected after the class hours, and the participants were informed by the researcher about the scales. For this reason, no problems were experienced. Following the collection and analysis of the quantitative data, teachers with low and high scores on the scales were identified, and qualitative data were collected at the beginning of the spring term of the 2022–2023 academic year.
3. Data Analysis
3.1. Quantitative Data Analysis
The scales were completed by 382 teachers. Data suitability for analysis was tested by the assumption of normality and the identification of missing data. For one thing, data were checked to identify any missing data, and it was found that the missing data rate for each item was below 5%. The missing values were replaced with the item mean without changing the overall mean. The kurtosis and skewness coefficients calculated to verify the normality assumption for the items were taken considering the range of −10 < kurtosis < 10 and −3 < skewness < 3 [39]. KMO and Bartlett’s tests were conducted to determine the construct validity of the scale and the necessity for factor analysis. Following the removal of the invalid data, the data gathered from 369 teachers were entered into the SPSS 23 statistical program. A structural equation model was established to explain the effect of teachers’ computational thinking skills on their collaborative learning in the context of sustainable education when creativity was included as the mediator variable. After the descriptive statistics of the variables were calculated, the correlations were examined to reveal the relationship between the variables. For the analyses, SPSS 23 was used for descriptive statistics and correlation calculations, and LISREL 8.7 was utilized for structural equation modelling. Descriptive statistics were used in the analysis of the qualitative data, and the responses of the teachers were interpreted through examples that present the findings obtained for the research problem.
3.1.1. The Goodness of Fit Interval Values for the Evaluation of Model Fit
The analysis of the model fit indices indicated that RMSEA value showed a perfect fit and CFI value had an acceptable fit. However, AGFI remained outside the acceptable range. Considering these values, confirmatory factor analysis results suggest a structural fit for the model.
3.1.2. Qualitative Data Analysis
The qualitative data of the research were subjected to descriptive analysis, and the opinions of the participants were gathered and interpreted. Descriptive analysis refers to the interpretation of opinions after taking the opinions of the participants [40]. In the current study, research questions were formulated by utilizing the literature, and the data were categorized according to the responses given to the research questions. In this context, codes and themes were generated.
4. Findings
The research made use of descriptive statistics for the variables. Arithmetic mean and standard deviation values were calculated. Then, Pearson correlation coefficient values were calculated to reveal the relationship between the variables, and the findings are given in Table 1.
Table 1.
Confirmatory factor analysis fit index values of the measurement model [36,39,40].
Table 2 shows that the computational thinking skills, collaborative learning, and creativity of the science teachers are close to 3 on the 5-point Likert-type scale. Therefore, it can be stated that the participants had moderate levels of computational thinking skills, collaborative learning, and creativity. In addition, it can be seen in the table that their computational thinking skills were highest in the creativity sub-dimension (Mean = 4.23) and lowest in the problem-solving sub-dimension (Mean = 2.12); their collaborative learning was highest in the positive attitude sub-dimension (Mean = 3.79) and lowest in the negative attitude sub-dimension (Mean = 2.27), and finally their creativity was highest in the first and second sub-dimensions (Mean = 4.03) and lowest in the third sub-dimension (Mean = 3.95).
Table 2.
Pearson correlation and mean values for the variables.
The correlation coefficients given in Table 2 show that there was a low-level, negative, and significant relationship between the creativity, cooperativity, algorithmic thinking, and critical thinking sub-dimensions, which are the sub-dimensions of computational thinking skills, and the positive attitude sub-dimension at the levels of −0.368, −0.142, −0.579, and −0.166, respectively (p < 0.01).
4.1. Findings Regarding the First Sub-Problem
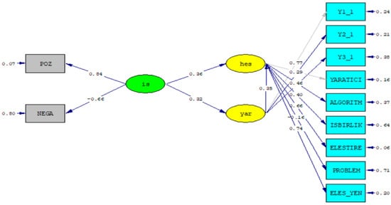
In the analysis of the data related to the first sub-problem of the study, primarily computational thinking skills, collaborative learning, and creativity were identified as implicit variables. Five sub-dimensions of the Computational Thinking Scale and two sub-dimensions of the Online Cooperative Learning Attitudes Scale were assigned to the model as observed variables. As a result of the exploratory factor analysis, three sub-factors were obtained by item parceling, and a measurement model with three latent variables and eleven observed variables was built. Item parceling is the aggregation of items that reflect the sub-dimensions of the scale and have a more homogeneous structure by taking into account the factor loadings of the items of the scale. The model created is shown in Figure 4.
Figure 4.
Measurement model.
According to the measurement model shown in Figure 4, the Chi-square value x2 = 100.91, df = 32 was found to be significant at the p = 0.00 level. As a result of dividing the Chi-square value by the degrees of freedom (x2/df), the value of 3.125 was obtained. The goodness-of-fit indices were calculated as RMSEA 0.05, AGFI 0.79, CFI 0.92, GFI 0.88, NFI 0.96, and SRMR 0.08. Considering these values, the fit indices of the measurement model are considered good [40]. According to the model, there was a highly positive and significant (0.86) relationship between the teachers’ computational thinking skills and collaborative learning, and a highly positive and significant (0.55) relationship between their computational thinking skills and creativity, and a positive and significant (0.32) relationship between their creativity and collaborative learning. Accordingly, as the collaborative learning levels of the teacher rose, so did their creativity and computational thinking skills levels. In the measurement model, t-values were checked to test the significance of the direct effects. The obtained t-values confirmed the significance of the factor loadings. The t-values of the model are illustrated in Figure 5.
Figure 5.
T-values confirming the factor loadings of the measurement model (red represents the result of the analysis done).
4.2. Findings Regarding the Second Sub-Problem
As a result of the analysis conducted for the second sub-problem of the research, a direct relationship was found between computational thinking skills and collaborative learning. The structural model developed is shown in Figure 6.
Figure 6.
Model showing the linear relationship between the variables of computational thinking skills and collaborative learning.
As revealed in Figure 6, the correlation between the variables of collaborative learning and computational learning was found to be positive (0.88) and high. The goodness of fit indices of the model ((x2 = 5.06, p = 0.00), SRMR = 0.092, GFI = 0.88, CFI = 0.86, IFI = 0.86, NFI = 0.78, RMSEA = 0.1, AGFI = 0.74, and RMR = 0.005) indicated a good fit for the model [40].
4.3. Findings Regarding the Third Sub-Problem
In the analysis conducted for the third sub-problem of the research, creativity was included in the model as the mediator variable between computational thinking skills and collaborative learning. The model including the partial mediation relationship was analyzed. While explaining the relationship between a dependent variable and an independent variable within the framework of Structural Equation Modeling (SEM), it is expressed that a mediator variable indirectly affects this relationship [41]. In order for the relationship between dependent and independent variables to be comprehensive, a mediator variable is required. The partial mediator model created is shown in Figure 7.
Figure 7.
Model showing the impact of creativity as the mediator variable on computational thinking skills.
Figure 6 indicates that the direct impact of computational thinking skills on collaborative learning was 0.88, and Figure 7 shows that it was 0.36 when creativity was included as the mediator variable. Drawing on this decrease in the relationship level, it can be suggested that creativity has a partial mediating effect on the relationship between computational thinking skills and collaborative learning. When the fit statistics of the model were examined, it was seen that the fit indices were at an acceptable level [40]: Chi-square value x2 = 195.01, df = 41, p = 0.00, x2/df = 4.75, AGFI = 0.69, GFI = 0.81, CFI = 0.84, and RMSEA = 0.15.
4.4. Qualitative Findings
The qualitative findings of the study are consistent with the quantitative data. The qualitative phase of the study was divided into three codes and eleven themes. The codes of the study included computational thinking skills, collaborative learning, and creativity of teachers, and the themes of the study comprised Creativity, Algorithmic Thinking, Cooperativity, Critical Thinking, Problem-solving, Negative Attitude, Positive Attitude, Original Ideas, Overcoming a problem, and Building on the ideas of Others (Table 3).
Table 3.
Qualitative findings.
It is seen that the themes that were most preferred by the science teachers include creative thinking skills and original ideas, and the least preferred themes were algorithmic thinking skills and negative attitudes. The statements of the teachers regarding this theme are as follows:
T2,T6,T9: “Computational thinking skills refers to the use of 21st century skills in solving a problem. These skills can be critical thinking skills, creative thinking skills, and interdisciplinary thinking skills.”
T1,T5,T6,T8: “Collaborative learning means working together with a group in researching a subject and solving a problem and analyzing the problem situation in coordination with more than one person. If we analyze the problem situation in coordination with more than one person, the most creative and comprehensive solutions will emerge because each person has different thoughts or ideas.”
T2,T6,T9: “Coming up with a creative idea or solution alone is a difficult task. With collaborative learning, more original results come out with the ideas of more than one person. In relation to computational thinking skills, in interdisciplinary thinking, which is also a sub-thinking of computational thinking skills, addressing a problem in an interdisciplinary dimension can be seen healthier for the solutions, results, and causes of that problem.”
T1,T3,T4,T6,T7,T9: “Since computational thinking skills and collaborative learning are based on problem-solving, they are directly related to creativity. Generating new ideas in the problem-solving process requires creative thinking skills as it tries to solve a problem in different ways. While computational thinking skills refers to analyzing a subject or concept thanks to the knowledge acquired, creativity is the endeavor to add new meanings to the subject matter, and collaborative learning means bringing it together as a group. What is important here is to discuss how the knowledge stored in different layers of the mind can be used to solve a certain problem by exchanging ideas between small or large groups.
5. Conclusions
According to the research findings, collaborative learning has a significant effect on computational thinking skills; the creativity variable has a partial mediating effect on this relationship, and this indirect effect is also statistically significant. These results suggest that including teachers in technology-supported processes and providing a culture of collaboration supports the development of computational thinking skills. In addition, these skills will enable teachers to use collaborative and technology-supported learning environments more effectively in their lessons in their professional lives. This finding underscores the importance of developing teachers’ skills in using technology effectively in terms of future educational practices. The research results also revealed that science teachers have deficiencies in computational thinking skills. This deficiency also affects the relationship with collaborative learning and creativity. The strengths of the technology-supported online learning environment are that the teacher–student and environment interaction is simultaneous, it offers a learning process independent of time and space, and students construct knowledge by working together with technology support and receive accurate feedback in this process. In this context, it is recommended that science teachers be trained so that they can integrate online technologies into their teaching–learning processes. This will contribute to the development of teachers’ computational thinking skills for sustainable education and enable them to play a more active role in technology-supported educational environments.
6. Discussion
The results of the study indicate that, within the context of sustainable education, collaborative learning affects computational thinking skills, and at the same time the creativity variable serves as a partial mediator in this relationship, and this indirect effect is statistically significant. It has been reported that computational thinking skills have an impact on collaborative learning and creativity, and that programming improves creativity [42,43]. Ref. [8] also supports the research findings and indicates that creativity, algorithmic thinking, critical thinking, problem-solving, and communication and cooperation skills are essential components of computational thinking skills. It has been noted that teachers associate computational thinking skills mainly with problem-solving and logical thinking skills [5]. Computational thinking skills are of crucial importance for the development of other thinking skills. In one study, the relationship between creative thinking and computational creativity of secondary school students was examined and a special game-based platform was prepared. In the study, it was reported that students solved the challenges in the game platform more easily as their creativity levels rose [15,30]. In addition, both project-based learning and collaborative learning have positive effects on computational thinking skills [44]. Therefore, the issue of how to develop computational thinking skills, especially in teacher education, is a current and much-needed issue [45]. In order to develop these skills, it is essential to equip teachers with the knowledge necessary to integrate computational thinking skills into learning environments. However, although computational thinking skills are considered a fundamental skill set to adapt to the future, the literature does not provide a clear framework for how these skills can be gained [44].
In a study where collaborative learning was provided on computational thinking skills performance, a group of students was presented with a task and content monitoring environment (planning, monitoring, and evaluation). During this process, teachers were asked to plan what students would learn, what assignments they would do, and how they would be assessed. The results of the study revealed that computational thinking skills performance serves as an important factor for collaborative learning. In this context, teachers should use collaborative game-based activities, explain each stage of the activities, and teach with innovative teaching practices. Teachers and learning environments are recognized as critical factors in fostering the development of students’ computational thinking skills [46]. Educators play a central role in designing and facilitating learning experiences that foster problem-solving, abstraction, algorithmic thinking, and data analysis. Effective learning environments, particularly those enriched with technology, provide opportunities for students to engage in collaborative and interactive activities that build these skills [47]. As such, both the teacher’s instructional practices and the structure of the learning environment significantly influence students’ ability to acquire and apply computational thinking skills in various contexts. To effectively develop computational thinking skills, collaboration between computer scientists, educators, and educational technologists is essential. These stakeholders should work together to design instructional activities that integrate computational thinking skills concepts, such as problem decomposition, pattern recognition, and algorithmic reasoning. Furthermore, these activities should be systematically incorporated into teacher training programs, ensuring that educators are equipped with the necessary knowledge and pedagogical strategies to foster computational thinking skills in their classrooms. This interdisciplinary approach aims to enhance teachers’ capacity to deliver computational thinking skills education, thereby improving student outcomes in technology-driven problem-solving. Enhancing science teachers’ understanding of computational thinking skills is crucial for promoting sustainable education practices within the realm of teacher education. Integrating computational thinking skills into all teacher education programs can equip educators with the necessary skills to effectively incorporate computational methods and strategies into their curricula. This foundational knowledge will enable science teachers to facilitate students’ engagement with complex problem-solving scenarios and foster critical thinking skills that are essential in today’s technology-driven world. Moreover, by embedding computational thinking skills within teacher training frameworks, educators can better prepare future generations to navigate and innovate within the increasingly digital landscape of scientific inquiry and education, ultimately contributing to the development of a more sustainable educational ecosystem.
Future research should emphasize the collaborative efforts between educators and computer scientists to create tangible examples of integrating computational thinking skills across various core content areas, including literacy, arts, mathematics, and science [5]. This collaboration is essential to develop a comprehensive framework that illustrates the practical applications of computational thinking skills in diverse educational contexts [48]. If teachers’ content knowledge is not significantly enhanced, their grasp of computational thinking skills will likely remain superficial, characterized by an “abstract” understanding that lacks depth and relevance to the subject matter they are responsible for teaching. Consequently, a focused initiative aimed at professional development for teachers, which encompasses both pedagogical strategies and subject-specific content, is imperative. Such an approach will empower educators to deliver a more meaningful and applicable learning experience, thereby fostering students’ ability to engage with and apply computational thinking skills in real-world scenarios [49,50]. For this reason, understanding the relationship between the variables is considered essential in terms of the characteristics of the person to be raised by the teacher candidates who will build the future. The creativity variable can be key for individuals to acquire computational thinking skills and collaborative learning within the context of sustainable education. Thus, it can be proposed that the person’s ability to acquire knowledge will also affect their creativity. The change variable can be a crucial factor for individuals to acquire computational thinking skills and collaborative learning. Therefore, the ability of a person to acquire knowledge is also an important factor in the domain of innovation.
The examination of the relationship among science teachers’ computational thinking skills, collaborative learning, and their creativity within the context of sustainable education reveals that pre-service science teachers lacked computational thinking skills. As a result of the interviews, it was revealed that the teachers had no opinions about algorithmic thinking. This finding is consistent with studies indicating that pre-service teachers lack the necessary knowledge and skills to teach computational thinking skills [51,52]. However, it has been revealed that when computational thinking skills, positive attitude, and collaborative learning are supported, creativity has an effect. It has also been found that teachers have superficial perspectives on computational thinking skills and teaching. It is seen that program developers have carried out a number of studies in order to provide these skills to pre-service teachers who can build the future [52]. It is recommended that program developers in our country carry out studies that will help acquire these skills. Science teachers, both in pre-service and in-service training, should be taught computer programming and coding language. In addition, the effective use of technology both during and after classes (virtual assignments, etc.) can help increase students’ achievements in science and foster their interest and positive attitudes towards the lesson.
7. Limitations
In future studies, the extent to which collaborative learning and creativity training improve individuals’ computational thinking skills in different sample groups should be examined in detail. Computational thinking skills encompasses multifaceted cognitive skills such as system thinking, modeling, abstraction, data analysis, and pattern creation [53]. Identifying which of these skills creativity predicts better can contribute to the effective development of creativity-based educational programs to be planned in this direction. In addition, implementing these programs in sustainable education processes and investigating their effectiveness is suggested as an important research topic. In recent years, it has been stated that the relationship between collaborative learning, creativity, and computational thinking skills for sustainable education has been intensively researched, especially in the United States, and the number of studies on this subject has increased rapidly [19]. However, ref. [54] examined the relevant literature in Turkey, and although there has been an increase in the number of studies on coding and robotic coding education, no studies were found that addressed the relationship between collaborative learning, creativity, and computational thinking skills. This situation reveals that new and comprehensive studies are needed to investigate the interaction between collaborative learning, creativity, and computational thinking skills in Turkey. It is seen that there is a limited number of studies conducted with teachers in the literature. However, although collaborative learning, creativity, and computational thinking skills are considered critical competencies in the digital age, it is stated that the relationship between these concepts is still not fully understood [30]. The current study was limited to science teachers only. In this context, in order to obtain more comprehensive scientific findings, it is recommended that studies using various research methods be conducted on different samples. Such studies can further investigate the relationship between collaborative learning, creativity, and computational thinking skills and contribute to the development of more effective educational strategies to foster these skills.
8. Suggestions
Teaching computer programming and coding languages in in-service training programs for science teachers and in the education of teacher candidates is a critical necessity. It is suggested that effective use of technology in sustainable education processes and extracurricular activities (e.g., virtual homework) can increase students’ success in science and support their interest and positive attitudes towards lessons. In addition, the use of algorithms in decision-making processes can contribute to the development of students’ logical thinking, problem-solving, and analytical skills, strengthening their cognitive competencies and sustainable development. Such applications support the pedagogical integration of technology, while at the same time preparing the ground for the development of innovative attitudes in science teaching and strengthening sustainable development. Individuals can determine strategic roadmaps that they can follow in solving a problem, for example, “How can I increase my positive attitude in science class?”. They can produce solutions for themselves by asking questions like these. It is an important requirement to conduct studies and research that will contribute to the development of computational thinking skills in teacher education for sustainable education. Especially in science education, studies aimed at developing individuals’ creativity and computational thinking skills can both increase their education levels and contribute to sustainable development.
Author Contributions
A.T., data curation, formal analysis, resources, supervision, validation, visualization, writing—review and editing; F.S.Y., data curation, methodology, software, writing—original draft, writing—review and editing; Y.Ö., supervision, validation, visualization, writing—review and editing; S.S., review and editing; Ş.E., validation, writing—original draft. All authors have read and agreed to the published version of the manuscript.
Funding
This research received no external funding.
Institutional Review Board Statement
Studies involving humans were approved by the Akdeniz University Social and Human Sciences Ethics Committee Decision. 20 April 2022 No: 162. The studies were conducted in accordance with local legislation and institutional requirements. Participants gave their written informed consent to participate in this study.
Informed Consent Statement
Informed consent was obtained from all subjects involved in the study.
Data Availability Statement
The original contributions presented in the study are included in the article; further inquiries can be directed to the corresponding author.
Conflicts of Interest
The author declares that the research was conducted in the absence of any commercial or financial relationship that could be construed as a potential conflict of interest.
References
- Wing, J.M. Computational thinking benefits society. In Social Issues in Computing; Academic Press: New York, NY, USA, 2014; p. 26. [Google Scholar]
- Wing, J.M. Computational thinking. Commun. ACM 2006, 49, 33–35. [Google Scholar] [CrossRef]
- Darling-Hammond, L.; Barron, B.; Pearson, P.D.; Schoenfeld, A.H.; Stage, E.K.; Zimmerman, T.D.; Cervetti, G.N.; Tilson, J.L. Powerful Learning: What We Know about Teaching for Understanding; John Wiley & Sons: Hoboken, NJ, USA, 2015. [Google Scholar]
- Resnick, M.; Maloney, J.; Monroy-Hernández, A.; Rusk, N.; Eastmond, E.; Brennan, K.; Millner, A.; Rosenbaum, E.; Silver, J.; Silverman, B.; et al. Scratch: Programming for all. Commun. ACM 2009, 52, 60–67. [Google Scholar] [CrossRef]
- Yadav, A.; Mayfield, C.; Zhou, N.; Hambrusch, S.; Korb, J.T. Computational Thinking in Elementary and Secondary Teacher Education. ACM Trans. Comput. Educ. 2014, 14, 1–16. [Google Scholar] [CrossRef]
- Brennan, K.; Resnick, M. New frameworks for studying and assessing the development of computational thinking. In Proceedings of the 2012 Annual Meeting of the American Educational Research Association, Vancouver, BC, Canada, 13–17 April 2012; Volume 1, p. 25. [Google Scholar]
- Korkmaz, Ö. A validity and reliability study of the Online Cooperative Learning Attitude Scale (OCLAS). Comput. Educ. 2012, 59, 1162–1169. [Google Scholar] [CrossRef]
- Iste. CT Leadership Toolkit. 2015. Available online: https://iste.org/ (accessed on 20 February 2023).
- Sternberg, R.J.; Lubart, T.I. Defying the Crowd: Cultivating Creativity in a Culture of Conformity; Free Press: Florence, MA, USA, 1995. [Google Scholar]
- McGuinness, C.; O’Hare, L. Introduction to the special issue: New perspectives on developing and assessing thinking: Selected papers from the 15th international conference on thinking (ICOT2011). Think. Ski. Creat. 2012, 2, 75–77. [Google Scholar] [CrossRef]
- DeHaan, R.L. Teaching Creativity and Inventive Problem Solving in Science. CBE—Life Sci. Educ. 2009, 8, 172–181. [Google Scholar] [CrossRef]
- Treffinger, D.J.; Isaksen, S.G. Creative Problem Solving: The History, Development, and Implications for Gifted Education and Talent Development. Gift. Child Q. 2005, 49, 342–353. [Google Scholar] [CrossRef]
- Weilerstein, P.; Byers, T. Guest editorial: Entrepreneurship and innovation in engineering education. Adv. Eng. Educ. 2016, 5, 1–9. [Google Scholar]
- Hoffman, R.N.; Moncet, J.-L. All Data are Useful, but not All Data are Used! What’S Going on Here? In Proceedings of the IGARSS 2008-2008 IEEE International Geoscience and Remote Sensing Symposium, Boston, MA, USA, 7–11 July 2008; Volume 2, p. II-1. [Google Scholar]
- Kong, S.-C. A framework of curriculum design for computational thinking development in K-12 education. J. Comput. Educ. 2016, 3, 377–394. [Google Scholar] [CrossRef]
- Johnson, D.W. Cooperation and Competition: Theory and Research; Interaction Book Co.: Minneapolis, MN, USA, 1989. [Google Scholar]
- Roschelle, J.; Teasley, S.D. The Construction of Shared Knowledge in Collaborative Problem Solving. In Computer Supported Collaborative Learning; O’Malley, C., Ed.; Springer: Berlin/Heidelberg, Germany, 1995; pp. 69–97. ISBN 978-3-642-85100-1. [Google Scholar]
- Hwang, W.-Y.; Hsu, J.-L.; Shadiev, R.; Chang, C.-L.; Huang, Y.-M. Employing self-assessment, journaling, and peer sharing to enhance learning from an online course. J. Comput. High. Educ. 2015, 27, 114–133. [Google Scholar] [CrossRef]
- Turchi, T.; Fogli, D.; Malizia, A. Fostering computational thinking through collaborative game-based learning. Multimed. Tools Appl. 2019, 78, 13649–13673. [Google Scholar] [CrossRef]
- Israel-Fishelson, R.; Hershkovitz, A. Studying interrelations of computational thinking and creativity: A scoping review (2011–2020). Comput. Educ. 2022, 176, 104353. [Google Scholar] [CrossRef]
- Yadav, A.; Cooper, S. Fostering creativity through computing. Commun. ACM 2017, 60, 31–33. [Google Scholar] [CrossRef]
- Kobsiripat, W. Effects of the media to promote the scratch programming capabilities creativity of elementary school students. Procedia-Soc. Behav. Sci. 2015, 174, 227–232. [Google Scholar] [CrossRef]
- Murcia, K.; Pepper, C.; Joubert, M.; Cross, E.; Wilson, S. A framework for identifying and developing children’s creative thinking while coding with digital technologies. Issues Educ. Res. 2020, 30, 1395–1417. [Google Scholar]
- Pérez Poch, A.; Olmedo Torre, N.; Sánchez Carracedo, F.; Salán Ballesteros, M.N.; López Álvarez, D. On the influence of creativity in basic programming learning at a first-year Engineering course. Int. J. Eng. Educ. 2016, 32, 2302–2309. [Google Scholar]
- Gillies, R.M.; Boyle, M. Teachers’ reflections on cooperative learning: Issues of implementation. Teach. Teach. Educ. 2010, 26, 933–940. [Google Scholar] [CrossRef]
- Özden, Y. Eğitimde Yeni Değerler: Eğitimde Dönüşüm; PegemA Yayınları: Ankara, Turkey, 2005. [Google Scholar]
- Wilkerson-Jerde, M.H. Construction, categorization, and consensus: Student generated computational artifacts as a context for disciplinary reflection. Educ. Technol. Res. Dev. 2014, 62, 99–121. [Google Scholar] [CrossRef]
- Tissenbaum, M.; Lui, M.; Slotta, J.D. Co-Designing Collaborative Smart Classroom Curriculum for Secondary School Science. J. Univers. Comput. Sci. 2012, 18, 327–352. [Google Scholar]
- Stewart, W.H.; Baek, Y.; Kwid, G.; Taylor, K. Exploring Factors That Influence Computational Thinking Skills in Elementary Students’ Collaborative Robotics. J. Educ. Comput. Res. 2021, 59, 1208–1239. [Google Scholar] [CrossRef]
- Israel-Fishelson, R.; Hershkovitz, A.; Eguíluz, A.; Garaizar, P.; Guenaga, M. The Associations Between Computational Thinking and Creativity: The Role of Personal Characteristics. J. Educ. Comput. Res. 2021, 58, 1415–1447. [Google Scholar] [CrossRef]
- Hirshfield, L.J.; Koretsky, M.D. Cultivating creative thinking in engineering student teams: Can a computer-mediated virtual laboratory help? J. Comput. Assist. Learn. 2021, 37, 587–601. [Google Scholar] [CrossRef]
- Kramarski, B.; Michalsky, T. Preparing preservice teachers for self-regulated learning in the context of technological pedagogical content knowledge. Learn. Instr. 2010, 20, 434–447. [Google Scholar] [CrossRef]
- Lim, C.P.; Chai, C.S.; Churchill, D. Leading ICT in Education Practices: A Capacity-Building Toolkit for Teacher Education Institutions in the Asia-Pacific; Microsoft Partners-in-Learning (Asia-Pacific): Shenzhen, China, 2010. [Google Scholar]
- Howell, D.C. Statistical Methods for Psychology; PWS-Kent Publishing Co.: Worcester, UK, 1992. [Google Scholar]
- Korkmaz, Ö.; Çakir, R.; Özden, M.Y. A validity and reliability study of the computational thinking scales (CTS). Comput. Hum. Behav. 2017, 72, 558–569. [Google Scholar] [CrossRef]
- Marsh, H.W.; Balla, J.R.; McDonald, R.P. Goodness-of-fit indexes in confirmatory factor analysis: The effect of sample size. Psychol. Bull. 1988, 103, 391. [Google Scholar] [CrossRef]
- Tierney, P.; Farmer, S.M. Creative self-efficacy: Its potential antecedents and relationship to creative performance. Acad. Manag. J. 2002, 45, 1137–1148. [Google Scholar] [CrossRef]
- Atabek, O. Adaptation of creative self-efficacy scale into Turkish language. World J. Educ. Technol. Curr. Issues 2020, 12, 84–97. [Google Scholar] [CrossRef]
- Kline, T.J. Psychological Testing: A Practical Approach to Design and Evaluation; Sage Publications: London, UK, 2005. [Google Scholar]
- Schermelleh-Engel, K.; Moosbrugger, H.; Müller, H. Evaluating the fit of structural equation models: Tests of significance and descriptive goodness-of-fit measures. Methods Psychol. Res. Online 2003, 8, 23–74. [Google Scholar]
- Williams, J.; MacKinnon, D.P. Resampling and Distribution of the Product Methods for Testing Indirect Effects in Complex Models. Struct. Equ. Model. A Multidiscip. J. 2008, 15, 23–51. [Google Scholar] [CrossRef]
- Cortina, T.J. Reaching a broader population of students through “unplugged” activities. Commun. ACM 2015, 58, 25–27. [Google Scholar] [CrossRef]
- Akçay, A.O.; Karahan, E.; Türk, S. Bilgi işlemsel düşünme becerileri odaklı okul sonrası kodlama sürecinde ilkokul öğrencilerinin deneyimlerinin incelenmesi. Eskişehir Osman. Üniversitesi Türk Dünyası Uygul. Araştırma Merk. Eğitim Derg. 2019, 4, 38–50. [Google Scholar]
- Hsu, T.-C.; Chang, S.-C.; Hung, Y.-T. How to learn and how to teach computational thinking: Suggestions based on a review of the literature. Comput. Educ. 2018, 126, 296–310. [Google Scholar] [CrossRef]
- Tang, S.Y.; Wong, A.K.; Li, D.D.; Cheng, M.M. Millennial generation preservice teachers’ intrinsic motivation to become a teacher, professional learning and professional competence. Teach. Teach. Educ. 2020, 96, 103180. [Google Scholar] [CrossRef]
- Sofwan, M.; Habibi, A.; Attar, R.W.; Alqahtani, T.M.; Alahmari, S.A.; Alhazmi, A.H. Factors Affecting Teachers’ Behavior of Innovative Teaching with Technology: Structural Equation Modelling. Sustainability 2024, 16, 8496. [Google Scholar] [CrossRef]
- Kahriman-Pamuk, D.; Ahi, B. Preservice preschool teacher’s phenomenological understanding of environment: A projection to education for sustainable development. J. Educ. Sci. Environ. Health 2023, 9, 224–236. [Google Scholar] [CrossRef]
- Alwhaibi, R.M.; Alotaibi, M.S.; Almutairi, S.F.; Alkhudhayr, J.E.; Alanazi, R.F.; Al Jamil, H.F.; Aygun, Y. Exploring the Relationship Between Video Game Engagement and Creative Thinking in Academic Environments: Cross-Sectional Study. Sustainability 2024, 16, 9104. [Google Scholar] [CrossRef]
- Hill, R.B. New perspectives: Technology teacher education and engineering design. J. Ind. Teach. Educ. 2006, 43, 45. [Google Scholar]
- Eroglu, S.; Bektas, O. The effect of STEM applications on the scientific creativity of 9th-grade students. J. Educ. Sci. Environ. Health 2022, 8, 17–36. [Google Scholar] [CrossRef]
- Chevalier, M.; El-Hamamsy, L.; Giang, C.; Bruno, B.; Mondada, F. Teachers’ Perspective on Fostering Computational Thinking Through Educational Robotics. In Robotics in Education; Merdan, M., Lepuschitz, W., Koppensteiner, G., Balogh, R., Obdržálek, D., Eds.; Advances in Intelligent Systems and Computing; Springer International Publishing: Cham, Switzerland, 2022; Volume 1359, pp. 177–185. ISBN 978-3-030-82543-0. [Google Scholar]
- Angeli, C.; Valanides, N. Developing young children’s computational thinking with educational robotics: An interaction effect between gender and scaffolding strategy. Comput. Hum. Behav. 2020, 105, 105954. [Google Scholar] [CrossRef]
- Weintrop, D.; Beheshti, E.; Horn, M.; Orton, K.; Jona, K.; Trouille, L.; Wilensky, U. Defining Computational Thinking for Mathematics and Science Classrooms. J. Sci. Educ. Technol. 2016, 25, 127–147. [Google Scholar] [CrossRef]
- Top, O.; Arabacioglu, T. Bilgi Işlemsel Düşünme: Bir Sistematik Alanyazin Taramasi. Uludağ Üniversitesi Eğitim Fakültesi Derg. 2021, 34, 527–567. [Google Scholar] [CrossRef]
Disclaimer/Publisher’s Note: The statements, opinions and data contained in all publications are solely those of the individual author(s) and contributor(s) and not of MDPI and/or the editor(s). MDPI and/or the editor(s) disclaim responsibility for any injury to people or property resulting from any ideas, methods, instructions or products referred to in the content. |
© 2024 by the authors. Licensee MDPI, Basel, Switzerland. This article is an open access article distributed under the terms and conditions of the Creative Commons Attribution (CC BY) license (https://creativecommons.org/licenses/by/4.0/).






