Next Article in Journal
The Potential of the Society 5.0 Strategy to Be a Solution to the Political and Structural Problems of Countries: The Case of Türkiye
Next Article in Special Issue
Assessment of Vegetation Vulnerability in the Haihe River Basin Under Compound Heat and Drought Stress
Previous Article in Journal
Has Trade Liberalization Promoted Energy Efficiency in Enterprises?
Previous Article in Special Issue
Study on the Value of Ecosystem Services and Land Use Change in the Area North of the Tianshan Mountains from 2000 to 2020
 
 
Font Type:
Arial Georgia Verdana
Font Size:
Aa Aa Aa
Line Spacing:
Column Width:
Background:
Article

Has There Been a Recent Warming Slowdown over North China?

1
Hebei Key Laboratory of Environmental Change and Ecological Construction, College of Geography Science, Hebei Normal University, Shijiazhuang 050024, China
2
Key Laboratory of Agricultural Water Resources, Center for Agricultural Resources Research, Chinese Academy of Sciences, Shijiazhuang 050021, China
3
University of Chinese Academy of Sciences, Beijing 100049, China
4
State Key Laboratory of Desert and Oasis Ecology, Key Laboratory of Ecological Safety and Sustainable Development in Arid Lands, Xinjiang Institute of Ecology and Geography, Chinese Academy of Sciences, Urumqi 830011, China
5
School of Land Science and Space Planning, Hebei GEO University, Shijiazhuang 050031, China
*
Author to whom correspondence should be addressed.
Sustainability 2024, 16(22), 9828; https://doi.org/10.3390/su16229828
Submission received: 17 September 2024 / Revised: 1 November 2024 / Accepted: 6 November 2024 / Published: 11 November 2024

Abstract

The warming slowdown observed between 1998 and 2012 has raised concerns in recent years. To examine the temporal and spatial variations in annual mean temperature (Tmp) as well as 12 extreme temperature indices (ETIs), and to assess the presence of a warming slowdown in North China (NC), we analyzed homogenized daily observational datasets from 79 meteorological stations spanning 1960 to 2020. Additionally, we investigated the influences of 78 atmospheric circulation indices (ACIs) on ETIs during the period of warming slowdown. To compare temperature changes, the study area was divided into three parts based on topographic conditions: Areas I, II, and III. The results revealed significant warming trends in Tmp and the 12 ETIs from 1960 to 2020. Comparing the time frames of 1960–1998, 2012–2020, and 1998–2012, both Tmp and the 12 ETIs displayed a cooling trend in the latter period, confirming the existence of a warming slowdown in NC. Notably, indices derived from daily maximum temperature exhibited higher cooling rates during 1998–2012, with winter contributing most significantly to the cooling trend among the four seasons. The most pronounced warming slowdown was observed in Area I, followed by Area III and Area II. Furthermore, our attribution analysis of ACIs concerning the temperature change indicated that the Asia Polar Vortex Area Index may have had the greatest influence on ETIs from 1960 to 2016. Moreover, the weakening of the Tibet Plateau Index Band and the Asian Latitudinal Circulation Index, and the strengthening of the Eurasian Latitudinal Circulation Index, were closely associated with ETIs during the warming slowdown period in NC. Through this research, we aim to deepen our understanding of climate change in NC and offer a valuable reference for the sustainable development of its natural ecology and social economy.

1. Introduction

Climate warming has been observed on different spatio-temporal scales over the last hundred years, as confirmed by a large number of temperature observations. However, the trends of temperature change rates vary at different spatial and temporal scales, making it important to calculate the warming rate based on real, accurate, and complete temperature data for studying climate change [1]. In 2006, Carter first discovered that the global warming trend had slowed down in 1998 [2]. This phenomenon was later confirmed by Kerr et al. and Knight et al. [3,4], and has become a hot topic in the field of climate change.
According to the global surface air temperature data, there was an increase of about 0.08 °C/10a over 1901–2012 and about 0.12 °C/10a over 1951–2012 when described by a linear trend [5]. However, the IPCC’s Fifth Assessment Report (AR5) noted that the increasing trend was “much smaller” at 0.05 °C/10a over 1998–2012, compared to the previous 30 to 60 years. Although the surface air temperature still showed an overall upward trend, the rate of warming had slowed down. This period, when the least-squares linear trend of surface temperature was close to zero, has been referred to as the “hiatus”, “pause”, “slowdown”, “stagnation”, or “mitigation” in surface warming [6,7,8]. This phenomenon was chosen by Nature magazine as “one of the top 10 scientific discoveries of 2014” [9,10].
The existence of the warming slowdown phenomenon is a key debate in the scientific community. Some scholars have detected a slowdown in warming in Eurasia, North America, China, and other places [11,12,13,14,15], while others believe that there is a deviation in the analysis data [16] or a lack of data in key warming regions such as the Arctic [17]. Additionally, different regions have different climatic characteristics, and the average warming rates of large regions may not reflect the changing trends of smaller internal regions [15]. For example, Du et al. found significant cooling in the arid region of Northwest China and the monsoon region of eastern China from 1998 to 2012, while the high frigid region of the Tibetan Plateau still showed a warming trend, and there was no warming slowdown phenomenon [14]. Furthermore, most current research on climate warming slowdown is based on reanalysis data, which may not be as accurate as observation data [14]. Therefore, when using climate models to explain, 111 out of 114 CMIP5 regional system models did not prove that there was a warming slowdown [8].
The fluctuation in land surface temperature significantly influences the energy balance of land surface processes and the stability of ecosystems. During the recent warming slowdown, physical mechanisms such as the air–sea interaction process have also changed, triggering a chain response of changes in physical geography with consequences for ecosystems, socio-economic factors, and human survival [18,19]. The causes of the warming slowdown phenomenon have received much attention, with research focusing on external forcing and internal variability of the climate system. Some studies suggest that counteracting effects were from solar activity, volcanic eruptions, atmospheric aerosol pollution, or stratospheric water vapor [20,21,22,23,24], while others suggest that it was affected by internal variability of the Earth, such as atmospheric circulation factors [25], El Niño events [26], and the heat storage characteristics of the ocean [27,28,29,30].
In China and its different regions, many studies have confirmed the existence of a warming slowdown [13,31,32]. North China, serving as the economic, political, and cultural hub and breadbasket of China, faces substantial population pressure, a fragile ecological environment, and a pronounced water supply and demand contradiction. The highly sensitive natural environment and socio-economic structure are vulnerable to climate change. NC has witnessed a significant trend of “warming-drying” under the background of climate change in the past 60 years [33,34]. The increasing frequencies and intensities of extreme weather and climate events have strengthened the uncertainties of climate change [35,36,37], making the attribution of whether there is warming slowdown more complicated in North China. Most studies have used the average temperature to explain warming slowdown, and there is a lack of discussion on the extreme temperature index (ETI), which can fully reveal the characteristics and understand the climate change.
The warming slowdown phenomenon from 1998 to 2012 is a significant finding in the field of climate change. Especially for NC, with large population pressure and huge ecological and environmental carrying capacity, whether there has been a warming slowdown or not is related to the sustainable development of nature, society, and the economy in this region. To better understand the temperature change in NC, it is important to consider a wider range of ETIs. This study examines 13 temperature indices and their spatio-temporal variations using daily data from 79 meteorological observation stations in NC from 1960 to 2020. Additionally, the study conducts an attribution analysis of the warming slowdown phenomenon from the perspective of atmospheric circulation.

2. Study Area, Data, and Methodology

2.1. Study Area

In this study, North China (NC) refers to a vast area of nearly 700,000 km2, which is generally confined to 112–123° E and 31–43° N. This area covers six provinces and cities, namely Beijing, Tianjin, Hebei province, Shanxi province, Shandong province, and Henan province (Figure 1). NC has diverse landforms, including mountains, plains, and hills, and is generally flat with a slight incline from west to east. The western part of NC includes part of the Loess Plateau and the Taihang Mountain, while the middle is the vast North China Plain (NCP), and the eastern part is the mountains and hills of south-central Shandong. The elevation of NC ranges from −169 m to 3072 m, and the range between the highest and lowest elevations is 3241 m. The study area is divided into three topographic divisions based on the difference in topography and elevation. Area Ⅰ is the highest in elevation, mainly consisting of the Loess Plateau and three major mountain ranges (Taihang Mountains, Lvliang Mountains, and Yanshan Mountains). Area Ⅱ is the flat and open NCP, while Area Ⅲ is dominated by the Yimeng Mountains and Shandong Hills. NC has a temperate continental monsoon climate with four distinct seasons. Summers are hot and rainy, while winters are cold and dry. Precipitation varies greatly from year to year and is not evenly distributed among seasons, making it one of the climate-vulnerable regions in China.

2.2. Data and Quality Control

In this study, we collected daily observation datasets for 1960–2020 from 79 meteorological stations in NC from the China Meteorological Data Service Center (CMDC). These datasets had undergone strict quality control and inspection procedures by the CMDC. To investigate the temporal and spatial variations of warming slowdown in NC during 1960–2020, we selected 10 ETIs from 27 ETIs introduced by the CCl/CLIVAR/JCOMM Expert Team on Climate Change Detection and Indices (ETCCDI), taking into consideration the unique climate characteristics of NC (Table 1). Meanwhile, we also selected annual mean temperature (Tmp) as a reference index of the temperature benchmark, and chose Tmx (annual average daily maximum temperature) and Tmn (annual average daily minimum temperature), which were calculated by the R ClimDex 4.03 software package, as extreme temperature indices. In addition, the R ClimDex software package was used to ensure data accuracy and extract the ETIs [38]. After data quality control (details are given in the paper of Zhang et al.) [39], 79 meteorological stations met the study requirements, with 31 stations in Area Ⅰ, 36 stations in Area Ⅱ, and 12 stations in Area Ⅲ (Figure 1). The seasonal period of this study includes spring (March to May), summer (June to August), autumn (September to November), and winter (December to February of the following year).
In addition, the researchers obtained data of 78 ACIs from the China National Climate Center and the Earth System Research Laboratory, which almost covered all atmospheric circulation indicators and were standardized. Due to the inconsistency in the time periods of the various atmospheric circulation data obtained, in order to facilitate a uniform comparison, this study set the research period for atmospheric circulation data as 1960–2016.

2.3. Method

We calculated the representative value of NC by using the arithmetic mean values of each ETI from the 79 stations during 1960–2020. The same method was used to calculate each ETI for each area. Regional annual anomaly series and linear regression were conducted to reflect the extent of temporal variations for ETIs.
The Mann–Kendall nonparametric trend test (MK test) [40,41] has been widely used in the research fields of meteorological and hydrological time series variation as it does not need to follow a certain sample distribution and is not affected by the interference of a few outliers. In this study, we conducted the MK test to detect the temporal variation trend and significance level for each ETI. We also utilized ten-year overlapping time windows [42] to analyze the temporal changing trends of 13 ETIs during 1960–2020 (for a total of 52 windows in 61 years).
From the perspective of atmospheric circulation, this study explored the potential causes of the warming slowdown in NC during 1998–2012. In order to determine which circulation has a significant influence on the temperature change in NC, this study first analyzed the correlation between 3 ECIS (Tmp, Tmx, and Tmn) and 78 ACIs through derivation of the Pearson correlation coefficient using SPSS 26 software. To avoid over-fitting, we conducted multivariate stepwise linear regression (MLSR) analysis and obtained regression equations. Then, we linearly fitted the ACIS selected in the regression equation using the scatter plot. Finally, we selected the most significant ACIs as those that are most likely to affect warming slowdown in NC.

3. Analysis and Results

3.1. Temporal Variation Trends of Temperature Indices During Different Periods

3.1.1. Temporal Patterns of Tmp, Tmx, Tmn, and DTR

During 1960–2020, Tmp, Tmx, and Tmn showed a significant upward trend (p < 0.01), with rising rates of 0.294 °C/10a, 0.236 °C/10a, and 0.379 °C/10a, respectively (Table 2, Figure 2). A rising trend in the three indexes was observed in all seasons. The highest increase rate of Tmp was in spring, and those of Tmx and Tmn were in winter. Overall, the warming amplitude in four seasons was Tmn > Tmx > Tmp. The results indicate a significant warming trend in NC during 1960–2020, with the most significant contribution to the warming coming from the increase in Tmn and winter temperature.
During the three time periods of 1960–1998, 1998–2012, and 2012–2020, Tmp, Tmx, and Tmn only showed a significant downward trend during 1998–2012, with decreasing rates of −0.464 °C/10a (p < 0.01), −0.587 °C/10a (p < 0.01), and −0.237 °C/10a (p < 0.05), respectively. The cooling rate of Tmx was the highest, while that of Tmn was the lowest. In contrast, Tmp, Tmx, and Tmn all showed an upward trend during 1960–1998 and 2012–2020, with the increasing rate being greater during 2012–2020. The rising rates of Tmp, Tmx, and Tmn for 2012–2020 were 1.058 °C/10a (p < 0.01), 1.252 °C/10a (p < 0.01), and 0.654 °C/10a, respectively. The three indexes in four seasons all showed an upward trend during 2012–2020, and winter temperature contributed most to the annual warming. Interestingly, the change rates of Tmp, Tmx, and Tmn all showed a decreasing trend in spring, autumn, and winter during 1998–2012, with the significant decrease mainly observed in winter (−1.099 °C/10a, −0.826 °C/10a, and −0.799 °C/10a, respectively). The results showed that Tmp, Tmx, and Tmn did show a warming slowdown during 1998–2012, and the significant decrease in Tmx and the cooling in winter contributed most to this phenomenon.
DTR has shown a significant decreasing trend (p < 0.01) during the periods of 1960–2020, 1960–1998, and 1998–2012, with the most significant decrease occurring during 1998–2012 (Table 2, Figure 2). Seasonally, the changing rate of DTR decreased most in winter during the three periods. However, from 2012 to 2020, DTR showed an expanding trend, with the highest expanding rate occurring in spring.

3.1.2. Temporal Patterns of TX10p, TN10p, TX90p, and TN90p

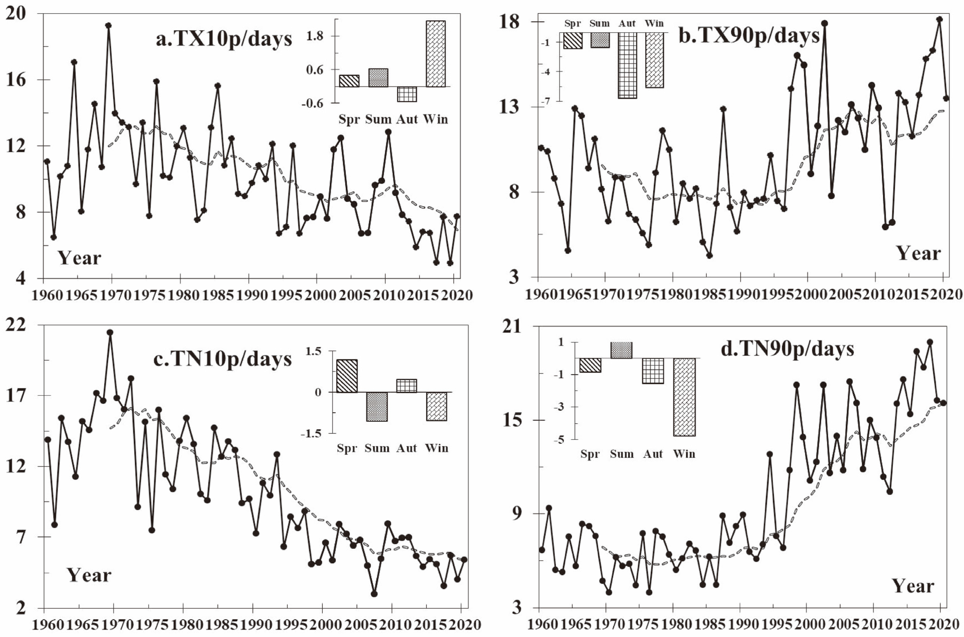
From 1960 to 2020, both TX10p and TN10p, as cold extreme value indexes, showed a significant decreasing trend (p < 0.01), with changing rates of −0.947 Days/10a and −2.01 Days/10a, respectively (Table 3, Figure 3). Seasonally, TX10p and TN10p exhibited a decreasing trend in all seasons. The largest decrease in TX10p occurred in winter, followed by spring, autumn, and summer. Meanwhile, the decrease rate of TN10p was highest in spring, followed by autumn, and lowest in winter. In comparison, as warm extreme value indices, both TX90p and TN90p showed a significant increasing trend (p < 0.01) during the same period, with changing rates of 0.992 Days/10a and 2.104 Days/10a, respectively. Seasonally, TX90p and TN90p exhibited a significant increase trend in all seasons. The largest increase in TX90p occurring in spring and the smallest in summer. The increase rate of TN90p was highest in spring and lowest in autumn. The decrease in TX10p and TN10p and the increase in TX90p and TN90p suggested a warming trend during 1960–2020.
Based on the comparison of detection results from three different time periods (1960–1998, 1998–2012, and 2012–2020), it was found that TX10p and TN10p only showed an increasing trend during 1998–2012, with a rate of 0.672 Days/10a and 0.604 Days/10a, respectively. Conversely, TX90p and TN90p only showed a decreasing trend during 1998–2012, at −3.884 Days/10a and −1.516 Days/10a, respectively. During the seasons of 1998–2012, TX10p showed a decreasing trend in autumn and an increasing trend in other seasons, with the largest increase occurring in winter. TN10p showed a rising trend in spring and autumn, with the largest increase in spring. TX90p showed a decreasing trend in all seasons, with the highest decrease rate in autumn and winter. TN90p increased in summer but decreased significantly in other seasons, with the largest decrease in winter. The results indicated that the increase in cold days and cold nights, and the decrease in warm days and warm nights, during 1998–2012, are direct manifestations of the warming slowdown in NC. Seasonally, the main contributions to this phenomenon were the increase in cold days in winter and cold nights in spring, and the decrease in warm days in autumn and warm nights in winter.

3.1.3. Temporal Patterns of FD0, ID0, SU25, CSDI and WSDI

From 1960 to 2020, both WSDI and SU25, which are indicators of warm extremes, showed a significant increasing trend (p < 0.01), with the rates of 0.733 Days/10a and 2.4 Days/10a, respectively. Conversely, CSDI, FD0, and ID0, which are indicators of cold extremes, showed a significant decreasing trend at the rates of −0.614 Days/10a, −4.108 Days/10a, and −1.873 Days/10a (Table 4, Figure 4). When comparing the detection results in three time periods (1960–1998, 1998–2012, and 2012–2020), CSDI, FD0, and ID0 showed an increasing trend only during 1998–2012, with increasing rates of 0.708 Days/10a, 4.992 Days/10a (p < 0.05), and 5.746 Days/10a (p < 0.05), respectively. However, they showed a decreasing trend during 1960–1998 and 2012–2020, especially during 2012–2020, with decreasing rates of FD0 and ID0 reaching −13.43 Days/10a and −9.559 Days/10a. WSDI and SU25 showed a decreasing trend during 1998–2012, with a decreasing rate of −5.984 Days/10a (p < 0.01) and −2.248 Days/10a, respectively, while they showed an increasing trend during 1960–1998 and 2012–2020. In particular, WSDI and SU25 increased rapidly during 2012–2020, with an increase rate of 6.515 Days/10a (p < 0.01) and 2.213 Days/10a (p < 0.05), respectively.

3.2. Spatial Variabilities of Temperature Indices During Different Periods

3.2.1. Spatial Variabilities of Tmp, Tmx, Tmn, and DTR

Overall, Tmp, Tmx, and Tmn showed a significant upward trend (p < 0.05) from 1960 to 2020 in all regions of NC, while DTR experienced a significant decrease (Table 5, Figure 5). Specifically, Tmp showed an increasing rate of 0.1–0.6 °C/10a (p < 0.01) in 93.67% of the stations, with the highest warming rate observed in Area Ⅰ (0.316 °C/10a). Meanwhile, the warming rate of Tmp in Area Ⅲ (0.292 °C/10a) was slightly higher than that in Area II (0.275 °C/10a). Tmx showed a lowest warming rate in Area II at 0.167 °C/10a, and the only five non-significant warming sites in NC are all located in the central and southern parts of Area II. Area Ⅲ had an increase rate of 0.22 °C/10a, while the maximum increase rate was observed in Area Ⅰ at 0.32 °C/10a. Tmn increased significantly (p < 0.01) at rates of 0.362 °C/10a, 0.396 °C/10a, and 0.387 °C/10a in Area Ⅰ, Area II, and Area Ⅲ, respectively. However, nearly 10% of the stations in Area Ⅰ showed an insignificant decreasing trend. In terms of DTR, nearly one-third of the stations in Area Ⅰ showed an upward trend, resulting in a decreasing rate of only −0.016 °C/10a, which is much lower than that in Area II (−0.224 °C/10a) and Area Ⅲ (−0.166 °C/10a).
During the warming slowdown period from 1998 to 2012, Tmp, Tmx, Tmn, and DTR in the three areas showed a significant downward trend (Table 5, Figure 6). Overall, Tmp showed a significant decrease (p < 0.01), with the maximum cooling rate observed in Area Ⅰ at −0.681 °C/10a, and the minimum cooling rate in Area II at −0.277 °C/10a. All the warming stations (12.66% in total) were located at Area II. Tmx also showed a significant decrease in all three areas (p < 0.01), with cooling rates of −0.816 °C/10a, −0.417 °C/10a, and −0.511 °C/10a, respectively, and the number of stations with a significant cooling rate in the three areas accounted for 87.10%, 58.33% and 66.67%, respectively. Tmn showed a significant decrease in Area Ⅰ and Area Ⅲ (p < 0.05), with cooling rates of −0.408 °C/10a and −0.327 °C/10a, respectively, while Tmn showed an insignificant decrease in Area II, with the minimum cooling rate of −0.061 °C/10a. DTR also showed a significant decrease in all three areas, with the highest cooling rate in Area Ⅰ, followed by Area II and Area Ⅲ, at the rate of −0.413 °C/10a, −0.36 °C/10a, and −0.191 °C/10a, respectively. We can find that Area Ⅰ, with the highest elevation, were particularly sensitive to temperature changes. The significant cooling of Tmp, Tmx, and Tmn in Area Ⅰ during 1998–2012 contributed most to the warming slowdown in NC. Contrarily, Area II made the least contribution, primarily due to its predominantly flat terrain, leading to a more gradual temperature fluctuation.

3.2.2. Spatial Variabilities of TX10p, TX90p, TN10p and TN90p

From 1960 to 2020, TX10p and TN10p in the three areas showed a significant decreasing trend, while TX90p and TN90p showed a significant increasing trend (Table 5, Figure 7). TX10p showed a decreasing trend in all stations, with the highest decreasing rate observed in Area Ⅰ (−1.113 Days/10a), followed by Area Ⅲ (−1.05 Days/10a) and Area II (−0.771 Days/10a). However, the stations with a significant decrease by a wide margin were mostly distributed in the central of Area Ⅰ, the northeast of Area II, and the southwest of Area Ⅲ. TN10p also showed a significant decreasing trend in the whole region, with only 13% of the stations in Area I showing an insignificant increase trend. The decreasing rate in Area I was minimum with −1.86 Days/10a, while in Area II it was maximum with −2.504 Days/10a. The increasing rate of TX90p was highest in Area Ⅰ (1.414 Days/10a), followed by Area Ⅲ (1.056 Days/10a) and Area II (0.608 Days/10a). The stations with a significant increase in Area II were mainly concentrated in the northern region, while most of the other stations showed a small and insignificant increasing or decreasing trend. TN90p decreased slightly at the Chengde station in Area Ⅰ at a rate of −0.39 Days/10a, while all other stations showed an increasing trend. A share of 76.92% of the stations with a large and significant increase were distributed in Area II, resulting in the highest overall increase rate of 2.486 Days/10a in that area, followed by 2.086 Days/10a in Area Ⅲ and 1.73 Days/10a in Area Ⅰ.
Between 1998 and 2012, TX90p and TN90p showed a decreasing trend in all three areas, while TX10p and TN10p showed an increasing trend in Area I and Area III, but a decreasing trend in Area II (Table 5, Figure 8). Specifically, TX10p increased insignificantly at a rate of 1.652 Days/10a in Area Ⅲ and 1.2 Days/10a in Area Ⅰ, and decreased insignificantly at a rate of −0.109 Days/10a in Area II. Similarly, TN10p increased insignificantly at a rate of 1.307 Days/10a in Area Ⅰ and 0.675 Days/10a in Area Ⅲ, and decreased insignificantly at a rate of −0.026 Days/10a in Area II. The stations with a significant increase in TN10p were mainly distributed in the northern and southern mountainous areas of Area I, while the stations with a significant decrease were mainly distributed in the central and southern plain areas of Area II. TX90p decreased significantly in all three areas (p < 0.05), with the highest decreasing rate observed in Area Ⅰ (−5.142 Days/10a), followed by Area II (−3.088 Days/10a) and Area Ⅲ (−3.022 Days/10a). In Area Ⅰ, 64.52% of the stations showed a decreasing trend, while in Area II, 44.44% of the stations showed a significant decreasing trend, mainly in the northern region. TN90p showed a significant decreasing trend in Area I, and an insignificant decreasing trend in Areas Ⅲ and II, with the rates of −2.411 Days/10a, −2.019 Days/10a, and −0.577 Days/10a, respectively. The stations with a significant decrease were mainly distributed in the northern part of Area I and II, while the southern stations in Area II showed a significant increase trend.

3.2.3. Spatial Variabilities of FD0, ID0, SU25, CSDI and WSDI

During 1960–2020, FD0, ID0, and CSDI showed a significant decreasing trend in all three areas, while SU25 and WSDI showed an increasing trend (Table 6, Figure 9). Specifically, FD0 decreased significantly (p < 0.01) at a rate of −4.659 Days/10a in Area Ⅲ, −4.526 Days/10a in Area II, and −3.408 Days/10a in Area I, respectively, with all other stations showing a decreasing trend except for three stations in Area I. ID0 also showed a decreasing trend in all stations, with the highest decreasing rate observed in Area I (−2.754 Days/10a), followed by Area Ⅲ (−1.693 Days/10a) and Area II (−1.175 Days/10a). The stations with a significant decrease were mainly distributed in the northern and central parts of Area I, the northern part of Area II, and all of Area Ⅲ. CSDI showed a significant decreasing trend (p < 0.01) in the whole region, but only 30.38% of the stations showed a significant decreasing trend, mainly concentrated in the central and southern parts of Area I and the northern part of Area II. The maximum decreasing rate was −0.803 Days/10a in Area Ⅲ, followed by −0.627 Days/10a in Area II, while the minimum value in Area I was −0.526 Days/10a. On the other hand, SU25 showed an increasing trend in all stations in the whole area, with 79.75% of the stations showing a significant increasing trend (p < 0.05), and the stations with an insignificant increasing trend mainly concentrated in the middle of Area II. The increasing rate was highest in Area I (2.758 Days/10a), followed by Area Ⅲ (2.611 Days/10a) and Area II (2.02 Days/10a). In the whole region, 37.97% of WSDI stations showed a significant increasing trend (p < 0.05), mainly distributed in the majority of Area I, the northern part of Area II, and the western part of Area Ⅲ, while 7.59% of the stations showed a decreasing trend, mainly distributed in the southern part of Area II. WSDI showed a significant increasing trend in Area I and Area Ⅲ (p < 0.05), with rates of 1.081 Days/10a and 0.668 Days/10a, respectively, while an insignificant increasing trend was observed in Area II (0.454 Days/10a).
Between 1998 and 2012, the variation trend of FD0 and ID0 was completely opposite to that observed between 1960 and 2020, showing an increasing trend (Table 6, Figure 10). Specifically, FD0 increased significantly in 27.85% of all the stations (p < 0.05), mainly distributed in the northern part of Areas I and II, and the western and southern parts of Area III, while 17.72% of the stations showed a decreasing trend, dispersed in Areas I and II. Therefore, the increasing rate was highest in Area III (8.643 Days/10a), followed by Area II (4.963 Days/10a) and Area I (3.612 Days/10a). The changing rates of ID0 in the three areas are quite different. ID0 increased at the fastest rate of 10.289 Days/10a in Area I, followed by 6.018 Days/10a in Area III, and 1.744 Days/10a in Area II, with a total of 37.97% of stations in the whole region showing a significant increasing trend (p < 0.05), mainly distributed in Area I and Area III, while 18.99% of the stations showed an insignificant decreasing trend, mainly concentrated in the central and south of Area II.
During 1998–2012, CSDI showed an insignificant increasing trend in Area I and Area II, with an increasing rate of 0.939 Days/10a and 0.832 Days/10a, respectively, while it showed an insignificant decreasing trend in Area III, with a decreasing rate of −0.259 Days/10a. Only two stations showed a significant increasing trend in the whole area, and 22.78% of the stations showed an insignificant decreasing trend and were mainly distributed in the middle of Area II and the south of Area III. On the other hand, SU25 decreased significantly in Area I (p < 0.01), with a rate of −5.835 Days/10a, and 17.72% of the stations with a significant decrease were all distributed in Area I. There was an insignificant decrease in the rate of −1.75 Days/10a in Area III, and an insignificant increase in the rate of 0.676 Days/10a in Area II. WSDI showed a decreasing trend in all three areas, with the most significant decrease observed in Area I (p < 0.01), with a rate of −8.204 Days/10a, while the decreasing rate in Area II and Area III was −4.343 Days/10a and −5.17 Days/10a, respectively. The stations with a significant decrease were mainly distributed in the large part of Area I and the northern part of Area II.

3.3. The Potential Impact of Atmospheric Circulation on the Warming Slowdown

According to the results (R value) of the Pearson correlation coefficient test, Tmp, Tmx, and Tmn are significantly correlated with multiple ACIs. Therefore, to avoid over-fitting, we further adopted the multiple stepwise linear regression (MLSR) method to identify the most significant ACIs that can explain the temperature change and the warming slowdown in NC.
The results of MLSR (Table 7) showed that during 1960–2016, the Asia Polar Vortex Area Index (Area 1, 60 E−150 E) (APVAI) (R = −0.735), Atlantic European Zone Polar Vortex Area Index (Area 4, 30 W−60 E) (AEZPVA) (R = −0.626), Atlantic European Circulation Pattern W (AECPW) (R = −0.41), Eurasian Latitudinal Circulation Index (IZ, 0–150 E) (ELCI) (R = 0.438), and Northern Hemisphere Polar Vortex Center Intensity (JQ) (R = 0.319) together explained 75.9% of the variation for Tmp. For Tmx, APVAI (R = −0.643), AECPW (R = −0.326), and ELCI (R = 0.486) together accounted for 59.8% of the variation. For Tmn, except for AECPW (R = −0.472) and ELCI (R = 0.326), the Northern Hemisphere Polar Vortex Area Index (Area 5, 0–360) (NHPVAI) (R = −0.798), North African Subtropical High Area Index (20 W−60 E) (NASHAI) (R = 0.669), North African Subtropical High Ridge (20 W−60 E) (NASHR) (R = 0.654), and Sunspot Index (SI) (R value is only −0.147) were also introduced. In order to better understand the relationships between these ACIs and the temperature change, the scatter relationship fitting with Tmp, Tmx, and Tmn was further constructed. It was found that the linear correlation between APVAI and the temperature change was slightly stronger than for other ACIs. The fitting degree R2 of the Tmp, Tmx, and Tmn regression models is 0.5397, 0.4137, and 0.5744, respectively. APVAI showed a significant decreasing trend (p < 0.01) during 1960–2016 and showed a significant increasing trend (p < 0.05) during 1998–2012 (Table 8). The findings indicated that the weakening of APVAI between 1960 and 2016 influenced the increasing warmth of Tmp in NC, whereas the strengthening of APVAI from 1998 to 2012 contributed to the slowdown of warming in the same region.
During 1998–2012, the model of MLSR for Tmp introduced Tibet Plateau Index B (30 N–40 N, 75 E–105 E) (TPI_B), India–Burma Trough (15 N–20 N, 80 E–100 E) (IBT), Southern Oscillation Index (SOI), South China Sea Subtropical High Intensity Index (100 E–120 E) (SCSSHI), Eurasian Latitudinal Circulation Index (IZ, 0–150 E) (ELCI), East Pacific Subtropical High Intensity Index (175 W–115 W) (EPSHI), and Western Pacific Subtropical High West Extension Ridge Point (WPSHWERP) (Table 9). These seven ACIs together explained 99.4% of the Tmp variation during the warming slowdown in NC, in which TPI_B and ELCI were significantly correlated, with correlation coefficients R of 0.787 and 0.739, respectively. For Tmx, TPI_B, Northern Hemisphere Polar Vortex Center (JW), North African–Atlantic–North American Subtropical High North Boundary (110 W–60 E) (NANSHNB), Atlantic Multidecadal Oscillation (AMO), and North American Subtropical High Ridge (110 W–60 W) (NASHR) were introduced. These five ACIs together explained 93.6% of the Tmx variation, in which TPI_B was significantly correlated with Pearson’s correlation coefficient R of 0.745. For Tmn, it was found that Asian Latitudinal Circulation Index (IZ, 60 E–150 E) (ALCI) alone can explain 59.4% of its variation.
Among all these ACIs, TPI_B, ELCI, and ALCI are significantly correlated with Tmp, Tmx, and Tmn. It was found that TPI_B, ELCI, and ALCI have a strong linear correlation with the temperature variation during 1998–2012 in NC, and TPI_B has the strongest linear correlation. The fitting degree R2 of the scatter relationship for TPI_B with Tmp, Tmx, and Tmn were 0.6191, 0.555, and 0.5689, respectively. By comparison, both ELCI and ALCI have the strongest linear correlation with Tmn and the weakest linear correlation with Tmx. Based on the above results, we speculate that the warming slowdown was closely related to the significant weakening of TPI_B and ALCI (p < 0.01), and the significant strengthening of ELCI (p < 0.01) during 1998–2012 in NC, with TPI_B having the strongest linear correlation (Table 8 and Table 9).
During 2012–2016, Tmp, Tmx, and Tmn were found to be significantly correlated with East Asian Trough Location (CW), with correlation coefficients R of 0.948, 0.923, and 0.937, respectively. Nevertheless, it is worth noting that the analysis was constrained by the finite availability of time-bound data, and further research is required to corroborate the precision of these findings. Additionally, the study highlights the need to investigate the ACIs that contributed to the significant warming phenomenon observed after the warming slowdown period in NC.

4. Discussion

This study analyzed daily temperature data from 79 meteorological observation stations in NC from 1960 to 2020 to examine the time variation of the ETIs during four distinct periods: 1960–2020, 1960–1998, 1998–2012, and 2012–2020. The results showed that during 1960–2020, Tmp significantly increased at a rate of 0.294 °C/10a (p < 0.01), which was much higher than the global increase rate of 0.07 °C/10a and the Northern Hemisphere increase rate of 0.10 °C/10a [43]. From 1998 to 2012, ETIs exhibited a warming slowdown phenomenon, with most significant decreasing trends observed in Tmp, Tmx, Tmn, and DTR. Additionally, during 1998–2012, cold extreme value indexes (TX10p, TN10p, CSDI, FD0, and ID0) all showed an increasing trend, while the warm extreme value indexes (TX90p, TN90p, WSDI, and SU25) all showed a decreasing trend. These findings suggest that the probability of extreme cold events increased while the probability of extreme warm events decreased during the warming slowdown period.
Studies have shown that the rate of warming varies over time [1]. To determine whether the temperature change rate in NC decreased the most during 1998–2012, we conducted a sliding detection analysis on the change rates of Tmp, Tmx, and Tmn in different periods from 1960 to 2020. The results indicated that the three indexes experienced a significant decrease during 1961–1969, 1975–1984, and 1998–2012. Specifically, Tmp, Tmx, and Tmn showed the fastest decreasing rates during 1961–1969, reaching −1.133 °C/10a, −1.006 °C/10a, and −1.099 °C/10a, respectively. The change rates from 1975 to 1984 were −0.305 °C/10a, −0.078 °C/10a, and −0.428 °C/10a, respectively. However, the two periods of 1961–1969 and 1975–1984 were shorter in duration. Furthermore, the analysis of change rates in the periods after the 1990s revealed that the change rate did decrease the fastest during 1998–2012, which lasted for as long as 15 years. Therefore, this study confirms the existence of a warming slowdown phenomenon in NC during 1998–2012, and this conclusion is consistent with the relevant studies in China [13,14,31]. In addition, we suggest that future studies should pay more attention to the temperature changes in 1961–1969 and 1975–1984.
According to IPCC AR5, the global average surface air temperature change rate during the period from 1998 to 2012 was only 0.05 °C/10a. However, these data have been criticized for not accounting for the Arctic’s contribution to global warming due to incomplete geographic coverage of the region’s dataset. To address this, Huang et al. used the data-interpolating empirical orthogonal function method to fill data gaps for the Arctic region, and found that the average surface air temperature in the Arctic region increased at a rate of 0.755 °C/10a during the same period, which is 2.2 times the warming rate of IPCC AR5 [17]. Other studies have shown that the temperature change rate in the northern hemisphere during 1998–2012 was 0.039 °C/10a, which is only 1/5 of that during 1951–2012 [16,44,45]. In China, Tian et al. revealed that the change rate of land surface temperature in China was 0.21 °C/10a during 2001–2020, with 78% of the land area experiencing warming, demonstrating the spatial characteristics of multi-core warming and axial cooling [46]. Du et al. found that the temperature change rate during 1998–2012 was −0.221 °C/10a [14], indicating a warming slowdown that was consistent with global and northern hemisphere trends. However, the trend of temperature change in different regions of China varied due to the complexity of the geographical environment. The northwestern arid region had the highest cooling trend, with a rate of −0.361 °C/10a, followed by the eastern monsoon region with a rate of −0.31 °C/10a. The Tibetan Plateau, on the other hand, warmed at a rate of 0.204 °C/10a. While some studies also found no evidence of a warming interruption in the Qinghai-Tibet high plain during 1998–2012 [47,48,49], others disagreed, citing differences in data sources, research periods, and calculation methods [32]. The warming slowdown in NC during 1998–2012 showed the same trend as that of China as a whole, with a cooling trend of −0.464 °C/10a (Tmp), which was significantly lower than that in the arid region of Northwest China and the eastern monsoon region. This conclusion further indicated that NC is very sensitive to climate change compared to other places. Therefore, in the context of huge population pressure and a fragile ecological environment, we should pay more attention to this region [50,51]. Although there was a warming slowdown in 1998–2012, The China Climate Bulletin points out that temperature has resumed its rapid rise after it, and surpassed the historical record since 1961. This is confirmed by this paper, which showed there was a large margin rise in ETIs during 2012–2020 in NC, with Tmp, Tmx, and Tmn increasing at the rate of 1.058 °C/10a, 1.252 °C/10a, and 0.654 °C/10a, respectively. The general trend of global warming will not change, and the intensity and frequency of extreme temperature events will increase [52]. Therefore, in order to reduce the impact of climate change on agricultural production and the ecological environment in NC, it is necessary to continue to strengthen the simulation and prediction of future climate change and extreme climate events, and to enhance the regional ability to cope with climate disasters.
There have been numerous studies investigating the causes of warming slowdown in China and relevant regions. Du et al. found that the warming hiatus from 1998 to 2012 in China may have been influenced by the negative phase of the Pacific Decadal Oscillation (PDO) and the reduction in sunspot numbers and total solar radiation [14]. They also noted that the impact of the PDO varied seasonally, which is consistent with the findings of Trenberth et al. and Meehl et al., who attributed the warming slowdown to atmospheric circulation anomalies induced by the tropical Pacific forcing-related negative phase of PDO [9,30]. Huang et al. suggested that China’s warming slowdown is related to various factors, including solar radiation, AMO, the multivariate El Nino southern oscillation (ENSO) index, PDO, agricultural greenhouse gases, and atmospheric pressure [17,53]. Other studies have suggested that the probable cause is decreasing downward shortwave radiation and changes in the large-scale circulation [13,25]. In other regions of China, Sun et al. found that the cooling rate in Northeast China after 1998 was higher than the global and Chinese averages, which were closely correlated with the negative Arctic Oscillation (AO), the Siberia High, the East Asian Trough, and the stronger East Asian winter monsoon [31]. Liu et al. found that the warming interruption in the Tibetan Plateau was affected by various factors, including wind speed, sunshine duration, vapor pressure, and precipitation, all of which are related to temperature and reversed their trends in 1998 [32]. In this paper, the relationship between 78 ACIs and ETIs was analyzed, and it was found that the ETIs in NC are significantly affected by the changes in APVAI. Meanwhile, the occurrence of warming slowdown during 1998–2012 is closely related to the weakening of TPI_B, ELCI, and ALCI. Therefore, future research on warming slowdown in these regions would benefit from an increased discussion and understanding of APVAI, TPI_B, ELCI, and ALCI. Within the context of the warming–drying trend in NC [54], these newly discovered findings can offer valuable insight into the intricate interplay between atmospheric circulation and regional climate change.

5. Conclusions

This study examined the spatial-temporal variation trends of 13 ETIs using daily observation datasets from 79 meteorological stations during 1960–2020 in NC. We also investigated 78 possible ACIs that may have impacted the ETIs and warming slowdown. Our findings can be summarized as follows:
(1)
From 1960–2020, Tmp and 12 other ETIs in NC showed significant warming trends, with indexes derived from daily minimum temperature (Tmn, TN10p, TN90p, CSDI, FD0) exhibiting higher warming rates. The rise in minimum temperature was the main driving force behind climate warming in NC, with winter playing a dominant role. Tmp significantly increased at a rate of 0.294 °C/10a, which was higher than the global and Northern Hemisphere averages. The changing rate of other ETIs varied, with warm ETIs increasing and cold ETIs decreasing. The warming trend was spatially heterogeneous, with the most significant warming trend observed in Area I, followed by Areas III and II. The northern mountainous area experienced a more pronounced warming trend than the central and southern plains area.
(2)
Comparing the periods of 1960–1998 and 2012–2020 to 1998–2012, Tmp and 12 other ETIs showed a cooling trend during the latter period, confirming the existence of a warming slowdown in NC. Indexes derived from daily maximum temperature (Tmx, TX10p, TX90p, WSDI, SU25, ID0) exhibited higher cooling rates during the warming slowdown, with winter contributing the most to the trend. Tmp significantly decreased at a rate of −0.464 °C/10a, which was far lower than the global average. The changing rate of other ETIs varied, with warm ETIs decreasing more than cold ETIs. The cooling trend was spatially heterogeneous, with the most significant warming slowdown observed in Area I, followed by Areas III and II. The northern mountainous area was particularly more sensitive to the cooling trend than the central and southern plain area.
(3)
This study revealed that the Asia Polar Vortex Area Index had the greatest impact on Tmp, Tmx, and Tmn during the period of 1960–2016. However, in the period of warming slowdown (1998–2012), the three ETIs exhibited a strong correlation with the weakening of the Tibet Plateau Index B, the Eurasian Latitudinal Circulation Index, and the Asian Latitudinal Circulation Index. These are interesting findings, and future research should delve deeper into the influence of these ACIs on the temperature changes in the respective regions.

Author Contributions

Conceptualization and writing, M.Z. and C.Z.; methodology, D.X.; validation and results analysis, Y.C. and Q.Z. All authors have read and agreed to the published version of the manuscript.

Funding

This research was funded by the Natural Science Foundation of Hebei Province (D2020205008), Hebei Provincial Science Foundation for Distinguished Young Scholars (No. D2022205010), Science Research Project of Hebei Education Department (QN2019145), Key Laboratory of Agricultural Water Resources & Hebei Key Laboratory of Agricultural Water-Saving, Chinese Academy of Sciences (KFKT201902), Science Foundation of Hebei Normal University (L2019B33).

Institutional Review Board Statement

Not applicable.

Informed Consent Statement

Not applicable.

Data Availability Statement

The data presented in this study are available on request from the corresponding author.

Acknowledgments

We thank all the reviewers and editors for their sincere work. In addition, Man Zhang wants to thank, in particular, the patience, care, and support from Zilong Zhang.

Conflicts of Interest

The authors declare no conflicts of interest.

References

  1. Risbey, J.S.; Lewandowsky, S.; Cowtan, K.; Oreskes, N.; Rahmstorf, S.; Jokimäki, A.; Foster, G. A fluctuation in surface temperature in historical context: Reassessment and retrospective on the evidence. Environ. Res. Lett. 2018, 13, 123008. [Google Scholar] [CrossRef]
  2. Carter, B. There is a problem with global warming… it stopped in 1998. Telegr. Newsp. 2006, 9, 135. [Google Scholar]
  3. Kerr, R.A. What happened to global warming? Scientists say just wait a bit. Science 2009, 326, 28–29. [Google Scholar] [CrossRef][Green Version]
  4. Knight, J.; Kenneby, J.; Folland, C.K.; Harris, G.; Jones, G.S.; Palmer, M.D.; Parker, D.; Scaife, A.A.; Stott, P.A. Do global temperature trends over the last decade falsify climate predictions? Bull. Am. Meteorol. Soc. 2009, 90, 22–23. [Google Scholar]
  5. Hartmann, D.L.; Klein Tank, A.M.G.; Rusticucci, M.; Alexander, L.V.; Brönnimann, S.; Charabi, Y.A.R.; Dentener, F.J.; Dlugokencky, E.J.; Easterling, D.R.; Kaplan, A.; et al. Observations: Atmosphere and surface. In Climate Change 2013 the Physical Science Basis: Working Group I Contribution to the Fifth Assessment Report of the Intergovernmental Panel on Climate Change; Cambridge University Press: Cambridge, UK, 2013; pp. 159–254. ISBN 9781107057999. [Google Scholar]
  6. Slingo, J. The Recent Pause in Global Warming Parts 1-3Rep; The Met Office: Exeter, UK, 2013. [Google Scholar]
  7. Guemas, V.; Doblas-Reyes, F.J.; Andreu-Burillo, M.A. Retrospective prediction of the global warming slowdown in the past decade. Nat. Clim. Chang. 2013, 3, 649–653. [Google Scholar] [CrossRef]
  8. Medhaug, I.; Stolpe, M.B.; Fischer, E.M.; Knutti, R. Reconciling controversies about the ‘global warming hiatus’. Nature 2017, 545, 41–47. [Google Scholar] [CrossRef]
  9. Meehl, G.A.; Teng, H. CMIP5 multi-model hindcasts for the mid-1970s shift and early 2000s hiatus and predictions for 2016–2035. Geophys. Res. Lett. 2014, 41.5, 1711–1716. [Google Scholar] [CrossRef]
  10. Morello, L.; Abbott, A.; Butler, D.; Callaway, E.; Cyranoski, D.; Reardon, S. 365 days: 2014 in science. Nature 2014, 516, 7531. [Google Scholar] [CrossRef][Green Version]
  11. Delworth, T.L.; Zeng, F.; Rosati, A.; Vecchi, G.A.; Wittenberg, A.T. A link between the hiatus in global warming and North American drought. J. Clim. 2015, 28, 3834–3845. [Google Scholar] [CrossRef]
  12. Li, C.; Stevens, B.; Marotzke, J. Eurasian winter cooling in the warming hiatus of 1998–2012. Geophys. Res. Lett. 2015, 42, 8131–8139. [Google Scholar] [CrossRef]
  13. Li, Q.X.; Yang, S.; Xu, W.; Wang, X.; Phil Jones, L.; Parker, D.; Zhou, L.; Feng, Y.; Gao, Y. China experiencing the recent warming hiatus. Geophys. Res. Lett. 2015, 42, 889–898. [Google Scholar] [CrossRef]
  14. Du, Q.; Zhang, M.; Wang, S.; Che, C.; Ma, R.; Ma, Z. Changes in air temperature over China in response to the recent global warming hiatus. J. Geogr. Sci. 2019, 29, 496–516. [Google Scholar] [CrossRef]
  15. Xu, C.; Hou, M.; Yan, X.; Zhang, X. Temporal variability of seasonal warming rates in China. Int. J. Climatol. 2021, 41, E1597–E1607. [Google Scholar] [CrossRef]
  16. Karl, T.R.; Arguez, A.; Huang, B.; Lawrimore, J.H.; Mcmahon, J.R.; Menne, M.J.; Peterson, T.C.; Vose, R.S.; Zhang, H.M. Possible artifacts of data biases in the recent global surface warming hiatus. Science 2015, 348, 1469–1472. [Google Scholar] [CrossRef] [PubMed]
  17. Huang, J.; Zhang, X.; Zhang, Q.; Lin, Y.; Hao, M.; Luo, Y.; Zhao, Z.; Yao, Y.; Nie, S.; Yin, Y.; et al. Recently amplified arctic warming has contributed to a continual global warming trend. Nat. Clim. Chang. 2017, 7, 875–879. [Google Scholar] [CrossRef]
  18. Adam, O.; Schneider, T.; Harnik, N. Role of changes in mean temperatures versus temperature gradients in the recent widening of the Hadley circulation. J. Clim. 2014, 27, 7450–7461. [Google Scholar] [CrossRef]
  19. Feng, J.; Li, J.; Wang, Y.; Guo, Y. Decreased response contrast of Hadley circulation to the equatorially asymmetric and symmetric tropical SST structures during the recent hiatus. Sola 2017, 13, 181–185. [Google Scholar] [CrossRef][Green Version]
  20. Kaufmann, R.K.; Kauppi, H.; Mann, M.L.; Stock, J.H. Reconciling anthropogenic climate change with observed temperature 1998-2008. Proc. Natl. Acad. Sci. USA 2011, 108, 11790–11793. [Google Scholar] [CrossRef]
  21. Balmaseda, M.A.; Trenberth, K.E.; Källén, E. Distinctive climate signals in reanalysis of global ocean heat content. Geophys. Res. Lett. 2013, 40, 1754–1759. [Google Scholar] [CrossRef]
  22. Santer, B.D.; Bonfils, C.; Painter, J.F.; Zelinka, M.D.; Mears, C.; Solomon, S.; Schmidt, G.A.; Fyfe, J.C.; Cole, J.N.S.; Nazarenko, L.; et al. Volcanic contribution to decadal changes in tropospheric temperature. Nat. Geosci. 2014, 7, 185–189. [Google Scholar] [CrossRef]
  23. Lean, J.L.; Rind, D.H. How will Earth’s surface temperature change in future decades? Geophys. Res. Lett. 2009, 36, 15. [Google Scholar] [CrossRef]
  24. Solomon, S.; Rosenlof, K.H.; Portmann, R.W.; Daniel, J.S.; Davis, S.M.; Sanford, T.J.; Plattner, G.K. Contributions of stratospheric water vapor to decadal changes in the rate of global warming. Science 2010, 327, 1219–1223. [Google Scholar] [CrossRef] [PubMed]
  25. Xie, Y.; Huang, J.; Liu, Y. From accelerated warming to warming hiatus in China. Int. J. Climatol. 2017, 37, 1758–1773. [Google Scholar] [CrossRef]
  26. Tung, K.K.; Chen, X. Understanding the recent global surface warming slowdown: A review. Climate 2018, 6, 82. [Google Scholar] [CrossRef]
  27. Kosaka, Y.; Xie, S.P. Recent global-warming hiatus tied to equatorial Pacific surface cooling. Nature 2013, 501, 403–407. [Google Scholar] [CrossRef]
  28. Meehl, G.A.; Hu, A.; Arblaster, J.M.; Fasullo, J.; Trenberth, K.E. Externally forced and internally generated decadal climate variability associated with the Interdecadal Pacific Oscillation. J. Clim. 2013, 26, 7298–7310. [Google Scholar] [CrossRef]
  29. Chen, X.; Tung, K.K. Varying planetary heat sink led to global-warming slowdown and acceleration. Science 2014, 345, 897–903. [Google Scholar] [CrossRef]
  30. Trenberth, K.E.; Fasullo, J.T.; Branstator, G.; Phillips, A.S. Seasonal aspects of the recent pause in surface warming. Nat. Clim. Chang. 2014, 4, 911–916. [Google Scholar] [CrossRef]
  31. Sun, X.; Ren, G.; Ren, Y.; Fang, Y.; Liu, Y.; Xue, X.; Zhang, P. A remarkable climate warming hiatus over Northeast China since 1998. Theor. Appl. Climatol. 2018, 133, 579–594. [Google Scholar] [CrossRef]
  32. Liu, Y.; Zhang, Y.; Zhu, J.; Liu, Y.; Zhang, Y.; Zhu, J.; Huang, K.; Zu, J.; Chen, N.; Cong, N.; et al. Warming slowdown over the Tibetan plateau in recent decades. Theor. Appl. Climatol. 2019, 135, 1375–1385. [Google Scholar] [CrossRef]
  33. Zhang, C.; Ren, Y.; Cao, L.; Wu, J.; Zhang, S.; Hu, C.; Zhujie, S. Characteristics of dry-wet climate change in China during the past 60 years and its trends projection. Atmosphere 2022, 13, 275. [Google Scholar] [CrossRef]
  34. Zheng, J.Y.; Fang, X.Q.; Wu, S.H. Recent progress of climate change research in physical geography studies from China. Prog. Geogr. 2018, 37, 16–27. [Google Scholar]
  35. A, D.; Zhao, W.; Qu, X.; Jing, R.; Xiong, K. Spatio-temporal variation of vegetation coverage and its response to climate change in North China plain in the last 33 years. Int. J. Appl. Earth Obs. Geoinf. 2016, 53, 103–117. [Google Scholar] [CrossRef]
  36. Li, X.; Ren, G.; You, Q.; Zhang, W. Soil Moisture Continues Declining in North China over the Regional Warming Slowdown of the Past 20 Years. J. Hydrometeorol. 2021, 22, 3001–3015. [Google Scholar] [CrossRef]
  37. Shi, Z.; Xiao, D.; Bai, H.; Chen, X.; Lu, Y.; Ren, D.; Yuan, J.; Zhang, M. Multi-model ensemble of CMIP6 projections for future extreme climate changes in wheat production regions of China. Clim. Dyn. 2024, 62, 5061–5081. [Google Scholar] [CrossRef]
  38. Zhang, X.B.; Feng, Y. R ClimDex (1.0). User Manual; Climate Research Branch Environment Canada: Downsview, ON, Canada, 2004. [Google Scholar]
  39. Zhang, M.; Chen, Y.N.; Shen, Y.J.; Li, Y.P. Changes of precipitation extremes in arid Central Asia. Quat. Int. 2017, 436, 16–27. [Google Scholar] [CrossRef]
  40. Mann, H.B. Non-parametric tests against trend. Econometrica 1945, 13, 245–259. [Google Scholar] [CrossRef]
  41. Kendall, M.G. Rank Correlation Measures; Charles Griffin: London, UK, 1975; p. 202. [Google Scholar]
  42. Zhang, M.; Chen, Y.; Shen, Y.J.; Li, B.F. Tracking climate change in Central Asia through temperature and precipitation extremes. J. Geogr. Sci. 2019, 229, 3–28. [Google Scholar] [CrossRef]
  43. Harris, I.P.D.J.; Jones, P.D.; Osborn, T.J.; Lister, D.H. Updated high-resolution grids of monthly climatic observations–the CRU TS3. 10 Dataset. Int. J. Climatol. 2014, 34, 623–642. [Google Scholar] [CrossRef]
  44. Hansen, J.; Ruedy, R.; Sato, M.; Lo, K. Global surface temperature change. Rev. Geophys. 2010, 48, 4. [Google Scholar] [CrossRef]
  45. Jones, P.D.; Lister, D.H.; Osborn, T.J.; Harpham, C.; Salmon, M.; Morice, C.P. Hemispheric and large-scale land-surface air temperature variations: An extensive revision and an update to 2010. J. Geophys. Res. Atmos. 2012, 117, D5. [Google Scholar] [CrossRef]
  46. Tian, H.; Liu, L.; Zhang, Z.; Chen, H.; Zhang, X.; Wang, T.; Kang, Z. Spatiotemporal differentiation and attribution of land surface temperature in China in 2001–2020. J. Geogr. Sci. 2024, 34, 375–396. [Google Scholar] [CrossRef]
  47. Duan, A.; Xiao, Z. Does the climate warming hiatus exist over the Tibetan Plateau? Sci. Rep. 2015, 5, 13711. [Google Scholar] [CrossRef] [PubMed]
  48. You, Q.; Min, J.; Kang, S. Rapid warming in the Tibetan Plateau from observations and CMIP5 models in recent decades. Int. J. Climatol. 2016, 36, 2660–2670. [Google Scholar] [CrossRef]
  49. Cai, D.; You, Q.; Fraedrich, K.; Guan, Y. Spatiotemporal temperature variability over the Tibetan Plateau: Altitudinal dependence associated with the global warming hiatus. J. Clim. 2017, 30, 969–984. [Google Scholar] [CrossRef]
  50. Xin, J.; Zhan, M.; Xu, B.; Li, H.; Zhan, L. Variations of extreme temperature event indices in six temperature zones in China from 1961 to 2020. Sustainability 2023, 15, 11536. [Google Scholar] [CrossRef]
  51. Wang, F.; Duan, K.; Zou, L. Urbanization effects on human-perceived temperature changes in the North China Plain. Sustainability 2019, 11, 3413. [Google Scholar] [CrossRef]
  52. Su, J.; Zhang, R.; Wang, H. Consecutive record-breaking high temperatures marked the handover from hiatus to accelerated warming. Sci. Rep. 2017, 7, 43735. [Google Scholar] [CrossRef]
  53. Huang, X.; Ma, L.; Liu, T.; Sun, B.; Chen, Y.; Qiao, Z.; Liang, L. Response relationship between the abrupt temperature change-climate warming hiatus and changes in influencing factors in China. Int. J. Climatol. 2021, 41, 5178–5200. [Google Scholar] [CrossRef]
  54. Dai, Q.; Chen, H.; Cui, C.; Li, J.; Sun, J.; Ma, Y.; Peng, X.; Wang, Y.; Hu, X. Spatiotemporal Characteristics of Actual Evapotranspiration Changes and Their Climatic Causes in China. Remote Sens. 2024, 16, 8. [Google Scholar] [CrossRef]
Figure 1. Location of North China and the meteorological stations.
Figure 1. Location of North China and the meteorological stations.
Sustainability 16 09828 g001
Figure 2. Temporal variation trends of Tmp, Tmx, Tmn, and DTR during 1960–2020 in North China. Black solid line denotes the mean value of each extreme temperature index; black dotted line denotes the linear trend of each index before and after warming slowdown; black curve dotted line represents 10-year overlapping averages of each index; the four bars represent seasonal variation rates of extreme temperature indexes. Significance level of seasonal variation < 0.05 is marked with *, and significance level < 0.01 is marked with **.
Figure 2. Temporal variation trends of Tmp, Tmx, Tmn, and DTR during 1960–2020 in North China. Black solid line denotes the mean value of each extreme temperature index; black dotted line denotes the linear trend of each index before and after warming slowdown; black curve dotted line represents 10-year overlapping averages of each index; the four bars represent seasonal variation rates of extreme temperature indexes. Significance level of seasonal variation < 0.05 is marked with *, and significance level < 0.01 is marked with **.
Sustainability 16 09828 g002
Figure 3. Temporal variation trends of TX10p, TX90p, TN10p, and TN90p during 1960–2020 in North China. Black solid line denotes the mean value of each extreme temperature index; black dotted line denotes the linear trend of each index before and after warming slowdown; black curve dotted line represents 10-year overlapping averages of each index; the four bars represent seasonal variation rates of extreme temperature indexes.
Figure 3. Temporal variation trends of TX10p, TX90p, TN10p, and TN90p during 1960–2020 in North China. Black solid line denotes the mean value of each extreme temperature index; black dotted line denotes the linear trend of each index before and after warming slowdown; black curve dotted line represents 10-year overlapping averages of each index; the four bars represent seasonal variation rates of extreme temperature indexes.
Sustainability 16 09828 g003
Figure 4. Temporal variation trends of SU25, CSDI, WSDI, FD0, and ID0 during 1960–2020 in North China. Black solid line denotes the mean value of each extreme temperature index; black dotted line denotes the linear trend of each index before and after warming slowdown; black curve dotted line represents 10-year overlapping averages of each index.
Figure 4. Temporal variation trends of SU25, CSDI, WSDI, FD0, and ID0 during 1960–2020 in North China. Black solid line denotes the mean value of each extreme temperature index; black dotted line denotes the linear trend of each index before and after warming slowdown; black curve dotted line represents 10-year overlapping averages of each index.
Sustainability 16 09828 g004
Figure 5. Spatial variabilities of Tmp, Tmx, Tmn, and DTR during 1960–2020 in North China. The black filled triangles and the black filled inverted-triangles denote a significant rising trend and falling trend (p < 0.05), respectively. The unfilled triangle and the unfilled inverted-triangle a denote rising trend and falling trend, although not significant, respectively. The three-dimensional coordinate system represents the rate of change of three zones. Significant trends (significance level < 0.05) are marked with *; and significant trends (significance level < 0.01) are marked with **.
Figure 5. Spatial variabilities of Tmp, Tmx, Tmn, and DTR during 1960–2020 in North China. The black filled triangles and the black filled inverted-triangles denote a significant rising trend and falling trend (p < 0.05), respectively. The unfilled triangle and the unfilled inverted-triangle a denote rising trend and falling trend, although not significant, respectively. The three-dimensional coordinate system represents the rate of change of three zones. Significant trends (significance level < 0.05) are marked with *; and significant trends (significance level < 0.01) are marked with **.
Sustainability 16 09828 g005
Figure 6. Spatial variabilities of Tmp, Tmx, Tmn, and DTR during 1998–2012 in North China. The black filled triangles and the black filled inverted-triangles denote significant rising trends and falling trends (p < 0.05), respectively. The unfilled triangles and the unfilled inverted-triangles denote rising trends and falling trends, although not significant, respectively. The three-dimensional coordinate system represents the rate of change of three zones. Significant trends (significance level < 0.05) are marked with *; and significant trends (significance level < 0.01) are marked with **.
Figure 6. Spatial variabilities of Tmp, Tmx, Tmn, and DTR during 1998–2012 in North China. The black filled triangles and the black filled inverted-triangles denote significant rising trends and falling trends (p < 0.05), respectively. The unfilled triangles and the unfilled inverted-triangles denote rising trends and falling trends, although not significant, respectively. The three-dimensional coordinate system represents the rate of change of three zones. Significant trends (significance level < 0.05) are marked with *; and significant trends (significance level < 0.01) are marked with **.
Sustainability 16 09828 g006
Figure 7. Spatial variabilities of TX10p, TX90p, TN10p, and TN90p during 1960–2020 in North China. The black filled triangles and the black filled inverted-triangles denote significant rising trends and falling trends (p < 0.05), respectively. The unfilled triangles and the unfilled inverted-triangles denote a rising trend and falling trend, although not significant, respectively. The three-dimensional coordinate system represents the rate of change of three zones. Significant (significance level < 0.05) trends are marked with *; and significant trends (significance level < 0.01) are marked with **.
Figure 7. Spatial variabilities of TX10p, TX90p, TN10p, and TN90p during 1960–2020 in North China. The black filled triangles and the black filled inverted-triangles denote significant rising trends and falling trends (p < 0.05), respectively. The unfilled triangles and the unfilled inverted-triangles denote a rising trend and falling trend, although not significant, respectively. The three-dimensional coordinate system represents the rate of change of three zones. Significant (significance level < 0.05) trends are marked with *; and significant trends (significance level < 0.01) are marked with **.
Sustainability 16 09828 g007
Figure 8. Spatial variabilities of TX10p, TX90p, TN10p, and TN90p during 1998–2012 in North China. The black filled triangles and the black filled inverted-triangles denote significant rising trends and falling trends (p < 0.05), respectively. The unfilled triangles and the unfilled inverted-triangles denote rising trends and falling trends, although not significant, respectively. The three-dimensional coordinate system represents the rate of change of three zones. Trends significant (significance level < 0.05) are marked with *.
Figure 8. Spatial variabilities of TX10p, TX90p, TN10p, and TN90p during 1998–2012 in North China. The black filled triangles and the black filled inverted-triangles denote significant rising trends and falling trends (p < 0.05), respectively. The unfilled triangles and the unfilled inverted-triangles denote rising trends and falling trends, although not significant, respectively. The three-dimensional coordinate system represents the rate of change of three zones. Trends significant (significance level < 0.05) are marked with *.
Sustainability 16 09828 g008
Figure 9. Spatial variabilities of FD0, ID0, SU25, CSDI, and WSDI during 1960–2020 in North China. The black filled triangles and the black filled inverted-triangles denote significant rising trends and falling trends (p < 0.05), respectively. The unfilled triangles and the unfilled inverted-triangles denote rising trends and falling trends but not significant, respectively. The three-dimensional coordinate system represents the rate of change of three zones. Significant trends (significance level < 0.05) are marked with *; and significant trends (significance level < 0.01) are marked with **.
Figure 9. Spatial variabilities of FD0, ID0, SU25, CSDI, and WSDI during 1960–2020 in North China. The black filled triangles and the black filled inverted-triangles denote significant rising trends and falling trends (p < 0.05), respectively. The unfilled triangles and the unfilled inverted-triangles denote rising trends and falling trends but not significant, respectively. The three-dimensional coordinate system represents the rate of change of three zones. Significant trends (significance level < 0.05) are marked with *; and significant trends (significance level < 0.01) are marked with **.
Sustainability 16 09828 g009
Figure 10. Spatial variabilities of FD0, ID0, SU25, CSDI, and WSDI during 1998–2012 in North China. The black filled triangles and the black filled inverted-triangles denote significant rising trends and falling trends (p < 0.05), respectively. The unfilled triangles and the unfilled inverted-triangles denote rising trends and falling trends, although not significant, respectively. The three-dimensional coordinate system represents the rate of change of three zones. Significant trends (significance level < 0.05) are marked with *; and significant trends (significance level < 0.01) are marked with **.
Figure 10. Spatial variabilities of FD0, ID0, SU25, CSDI, and WSDI during 1998–2012 in North China. The black filled triangles and the black filled inverted-triangles denote significant rising trends and falling trends (p < 0.05), respectively. The unfilled triangles and the unfilled inverted-triangles denote rising trends and falling trends, although not significant, respectively. The three-dimensional coordinate system represents the rate of change of three zones. Significant trends (significance level < 0.05) are marked with *; and significant trends (significance level < 0.01) are marked with **.
Sustainability 16 09828 g010
Table 1. Definitions of 13 temperature indices chose for this study.
Table 1. Definitions of 13 temperature indices chose for this study.
IndexIndicator NameDefinitionsUNITS
TmpEverage temperatureAnnual mean temperature°C
TmxMean maximum temperatureAnnual average TX°C
TmnMean minimum temperatureAnnual average TN°C
DTRDiurnal temperature rangeMonthly mean difference between TX and TN°C
TN10pCool nightsPercentage of days when TN < 10th percentileDays
TX10pCool daysPercentage of days when TX < 10th percentileDays
TN90pWarm nightsPercentage of days when TN > 90th percentileDays
TX90pWarm daysPercentage of days when TX > 90th percentileDays
FD0Frost daysAnnual count when TN < 0 °CDays
ID0Ice daysAnnual count when TX < 0 °CDays
SU25Summer daysAnnual count when TX > 25 °CDays
CSDICold spell duration indicatorAnnual count of days with at least 6 consecutive days when TN < 10th percentileDays
WSDIWarm spell duration indicatorAnnual count of days with at least 6 consecutive days when TX > 90th percentileDays
TX denotes daily maximum temperature; TN denotes daily minimum temperature.
Table 2. Temporal variation trends of Tmp, Tmx, Tmn, and DTR based on MK test and linear regression during different periods in North China.
Table 2. Temporal variation trends of Tmp, Tmx, Tmn, and DTR based on MK test and linear regression during different periods in North China.
DurationIndexAnnualSpringSummerAutumnWinter
1960–2020Tmp0.294 **0.398 **0.15 **0.235 **0.391 **
Tmx0.236 **0.453 **0.244 **0.322 **0.499 **
Tmn0.379 **0.456 **0.249 **0.329 **0.513 **
DTR−0.151 **−0.083−0.135 **−0.143 *−0.243 **
1960–1998Tmp0.190 *0.103−0.0380.0870.427 **
Tmx0.1230.1790.0330.080.528 **
Tmn0.247 **0.195 *0.0460.0850.543 **
DTR−0.142 **−0.225 *−0.172 *0.084−0.254
1998–2012Tmp−0.464 **−0.35−0.046−0.366−1.099 *
Tmx−0.587 **−0.2980.185−0.06−0.826 *
Tmn−0.237 *−0.2920.221−0.065−0.799 *
DTR−0.355 **−0.128−0.345−0.420−0.528
2012–2020Tmp1.058 **0.9150.733 **0.897 *1.679
Tmx1.252 **0.4030.5450.6101.442 *
Tmn0.6540.2540.4500.4551.266
DTR0.629 **0.984 **0.2060.4580.867 **
Tmp, Tmn, Tmx, DTR (°C per Decade); significant trends (significance level < 0.05) are marked with *; significant trends (significance level < 0.01) are marked with **.
Table 3. Temporal variation trends of TX10p, TN10p, TX90p, and TN90p based on MK test and linear regression during different periods in North China.
Table 3. Temporal variation trends of TX10p, TN10p, TX90p, and TN90p based on MK test and linear regression during different periods in North China.
DurationIndexAnnualSpringSummerAutumnWinter
1960–2020TX10p−0.947 **−1.274 **−0.370−0.812 *−1.358 **
TN10p−2.01 **−2.204 **−1.614 **−1.672 **−1.122 **
TX90p0.992 **1.547 **0.749 *0.906 *0.758 *
TN90p2.104 **2.514 **2.056 **1.839 **2.008 **
1960–1998TX10p−0.85 *−0.490.197−0.91−2.273 *
TN10p−1.887 **−2.045 *−0.778−1.03−2.212 **
TX90p0.0420.464−0.9591.1990.373
TN90p0.9090.9120.240.8131.7 **
1998–2012TX10p0.6720.4050.637−0.5312.34
TN10p0.6041.188−1.0440.472−1.018
TX90p−3.884 *−1.66−1.539−6.713−5.618
TN90p−1.516−0.8471.068−1.563−4.757
2012–2020TX10p−1.018−1.3210.8260.36−4.049 **
TN10p−1.901 **−0.371−2.631−2.3592.346 *
TX90p8.802 **7.313 *6.137 **12.78 **9.527 *
TN90p5.179 **3.7956.7761.5658.656 **
TX10p, TX90p, TN10p, TN90p (Days per Decade); significant trends (significance level < 0.05) are marked with *; significant trends (significance level < 0.01) are marked with **.
Table 4. Temporal variation trends of FD0, ID0, SU25, CSDI, and WSDI based on MK test and linear regression during different periods in North China.
Table 4. Temporal variation trends of FD0, ID0, SU25, CSDI, and WSDI based on MK test and linear regression during different periods in North China.
Duration1960–20201960–19981998–20122012–2020
CSDI−0.614 **−0.686 *0.708−0.038
WSDI0.733 **0.812−5.984 **6.515 **
FD0−4.108 **−2.788 *4.992 *−13.43 *
ID0−1.873 **−2.801 **5.746 *−9.559
SU252.4 **0.785−2.2482.213 *
CSDI, WSDI, FD0, ID0, SU25 (Days per Decade); significant trends (significance level < 0.05) are marked with *; significant trends (significance level < 0.01) are marked with **.
Table 5. Spatial variabilities of temperature extremes based on MK test and linear regression during different periods in different areas of North China (1).
Table 5. Spatial variabilities of temperature extremes based on MK test and linear regression during different periods in different areas of North China (1).
DurationAreaTmpTmxTmnDTRTX10pTX90pTN10pTN90p
1960–20200.316 **0.32 **0.362 **−0.016 *−1.113 **1.414 **−1.86 **1.73 **
0.275 **0.167 **0.396 **−0.224 **−0.771 **0.608 *−2.504 **2.486 **
0.292 **0.22 **0.387 **−0.166 **−1.05 **1.056 **−2.262 **2.086 **
1998–2012−0.681 **−0.816 **−0.408 *−0.413 **1.2−5.142 *1.307−2.411 *
−0.277 *−0.417 **−0.061−0.36 **−0.109−3.088 *−0.026−0.577
−0.468 **−0.511 **−0.327 *−0.191 **1.652−3.022 *0.675−2.019
Tmp, Tmn, Tmx, and DTR (°C per Decade); TX10p, TX90p, TN10p, and TN90p (Days per Decade); significant trends (significance level < 0.05) are marked with *; significant trends (significance level < 0.01) are marked with **.
Table 6. Spatial variabilities of temperature extremes based on MK test and linear regression during different periods in different areas of North China (2).
Table 6. Spatial variabilities of temperature extremes based on MK test and linear regression during different periods in different areas of North China (2).
DurationAreaSU25WSDIFD0ID0CSDI
1960–2020I2.758 **1.081 **−3.408 **−2.754 **−0.526 **
II2.02 **0.454−4.526 **−1.175 *−0.627 **
2.611 **0.668 **−4.659 **−1.693 **−0.803 **
1998–2012I−5.835 **−8.204 **3.61210.289 *0.939
II0.676−4.343 *4.963 *1.7440.832
−1.75−5.178.643 *6.018 **−0.259
CSDI, WSDI, FD0, ID0, SU25 (Days per Decade); significant trends (significance level < 0.05) are marked with *; significant trends (significance level < 0.01) are marked with **.
Table 7. The impact of atmospheric circulation factors on temperature change in North China from 1960 to 2016 based on multiple stepwise linear regression.
Table 7. The impact of atmospheric circulation factors on temperature change in North China from 1960 to 2016 based on multiple stepwise linear regression.
IndexMLSR EquationR2FSig.
TmpyTmp = −0.262APVAI − 0.383AECPW + 0.534ELCI − 0.328AEZPVA + 0.202JQ + 0.6830.75936.2080.00 **
TmxyTmx = −0.438APVAI + 0.534ELCI − 0.425AECPW + 0.7750.59828.7400.00 **
TmnyTmn = −0.447NHPVAI + 0.243NASHAI − 0.167SI + 0.323ELCI − 0.292AECPW + 0.165NASHR + 0.550.83748.9360.00 **
Significant trends (significance level < 0.01) are marked with **.
Table 8. Temporal variation trends of APVAI, TPI_B, ELCI, and ALCI based on MK test and linear regression during different periods.
Table 8. Temporal variation trends of APVAI, TPI_B, ELCI, and ALCI based on MK test and linear regression during different periods.
DurationAPVAITPI_BELCIALCI
1960–2016−0.2192 **0.1206 *−0.0007−0.0754
1960–1998−0.2189 **−0.0823−0.8507−0.0792
1998–20120.444 *−1.3768 **0.0955 **−1.2176 **
2012–2016−2.14 **8.126 **−0.1680.817 **
APVAI, TPI_B, ELCI, and ALCI (annual change rate of atmospheric circulation index); significant trends (significance level < 0.05) are marked with *; significant trends (significance level < 0.01) are marked with **.
Table 9. The impact of atmospheric circulation factors on temperature extremes in North China from 1998 to 2012 based on multiple stepwise linear regression.
Table 9. The impact of atmospheric circulation factors on temperature extremes in North China from 1998 to 2012 based on multiple stepwise linear regression.
IndexMLSR EquationR2FSig.
TmpyTmp = 0.745TPI_B − 1.395IBT − 0.402SOI + 0.501SCSSHI + 0.228ELCI + 0.198EPSHI + 0.256WPSHWERP + 0.9260.994168.2470.00 **
TmxyTmx = 0.392TPI_B + 0.699 JW +1.87NANSHNB − 0.397AMO − 0.274NASHR − 0.1550.93626.2370.00 **
TmnyTmn = 0.321ALCI + 0.5790.59419.0120.00 **
Significant trends (significance level < 0.01) are marked with **.
Disclaimer/Publisher’s Note: The statements, opinions and data contained in all publications are solely those of the individual author(s) and contributor(s) and not of MDPI and/or the editor(s). MDPI and/or the editor(s) disclaim responsibility for any injury to people or property resulting from any ideas, methods, instructions or products referred to in the content.

Share and Cite

MDPI and ACS Style

Zhang, M.; Zhang, C.; Xiao, D.; Chen, Y.; Zhang, Q. Has There Been a Recent Warming Slowdown over North China? Sustainability 2024, 16, 9828. https://doi.org/10.3390/su16229828

AMA Style

Zhang M, Zhang C, Xiao D, Chen Y, Zhang Q. Has There Been a Recent Warming Slowdown over North China? Sustainability. 2024; 16(22):9828. https://doi.org/10.3390/su16229828

Chicago/Turabian Style

Zhang, Man, Chengguo Zhang, Dengpan Xiao, Yaning Chen, and Qingxi Zhang. 2024. "Has There Been a Recent Warming Slowdown over North China?" Sustainability 16, no. 22: 9828. https://doi.org/10.3390/su16229828

APA Style

Zhang, M., Zhang, C., Xiao, D., Chen, Y., & Zhang, Q. (2024). Has There Been a Recent Warming Slowdown over North China? Sustainability, 16(22), 9828. https://doi.org/10.3390/su16229828

Note that from the first issue of 2016, this journal uses article numbers instead of page numbers. See further details here.

Article Metrics

Back to TopTop