Research into Energy-Saving Control Strategies of a Bulldozer Driven by a Torque Converter Based on the Minimum Fuel Consumption Rate of the Whole Machine
Abstract
1. Introduction
2. Powertrain Matching Characteristics
2.1. Engine Characteristics Analysis
2.2. Hydraulic Torque Converter Characteristics Analysis
2.3. Engine and Hydraulic Torque Converter Combined Characteristics Analysis
3. The Fuel Consumption Rate of the Whole Machine
3.1. Equivalent Fuel Consumption Rate Calculation and Analysis
3.1.1. Fuel Consumption Rate Calculation of the Whole Machine
3.1.2. Thrust Required for No-Load Travel
3.1.3. The FCWM at Different Speeds and Thrusts
3.1.4. Analysis of the FCWM
4. Optimal Operating Point Control Strategy
5. Simulation Analysis
5.1. Whole Machine Energy-Saving Mode
5.2. Constant Power Mode
6. Experimental Analysis
7. Conclusions
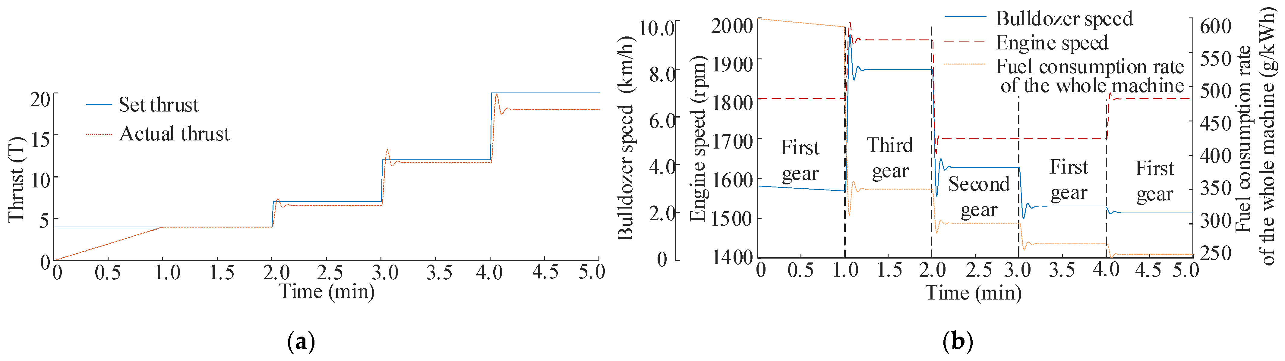
- (a)
- In response to the limitations of the equivalent fuel consumption rate, which does not account for whole machine standby and idle consumption, the paper proposes a fuel consumption rate performance indicator for the whole machine. This is defined as the ratio of the bulldozer blade output power to the engine’s fuel consumption, providing a more accurate representation of the bulldozer’s operational efficiency. Additionally, the characteristics of the whole machine’s fuel consumption rate under different loads and speeds were analyzed. The lowest fuel consumption rate of the whole machine mainly occurs in first gear under high loads and low speeds, while mainly in third gear under low loads and high speeds. Moreover, the overall fuel consumption rate of the whole machine is relatively low in first gear.
- (b)
- A work point optimization control strategy was designed, targeting the lowest fuel consumption rate of the whole machine by adjusting the load, speed, and gear as control variables. Based on the actual load, the strategy identifies the optimal operating point with the lowest fuel consumption rate and adjusts the bulldozer’s thrust (minimizing the blade position), speed, and gear to match the optimal point, thus achieving energy-saving control. When the load continuously changes, the set work point remains stable to enhance the bulldozer’s operational stability. Simulation and experimental tests verified that, compared to constant speed control, the proposed strategy reduced the whole machine’s fuel consumption rate by 12.5%, confirming its effectiveness and providing an important reference for optimizing the performance of engineering machinery transmission systems.
Author Contributions
Funding
Institutional Review Board Statement
Informed Consent Statement
Data Availability Statement
Conflicts of Interest
References
- Pei, B.; Yu, P.; Zhou, J.; Du, X. Rigid-flexible coupling simulation analysis of bulldozer. Chin. J. Constr. Mach. 2023, 21, 12–15. [Google Scholar]
- Li, L.; Du, B.-F.; Yang, S.-D.; Li, J.-S. Research on Power Characteristics Matching of Electric Drive Crawler Bulldozer. In Proceedings of the 2019 3rd International Conference on Electronic Information Technology and Computer Engineering (EITCE), Xiamen, China, 18–20 October 2019; pp. 429–433. [Google Scholar]
- Mononen, T.; Mattila, J. Flow-bounded velocity controller for hydraulic bulldozers. Energies 2022, 15, 4027. [Google Scholar] [CrossRef]
- Liu, J.; Jiao, Z.; Wang, Y.; Li, Q. Research progress of energy recovery and utilization system of hydraulic excavator. Hydraul. Pneum. 2018, 5, 81–87. [Google Scholar] [CrossRef]
- Guan, C.; Cheng, H.; Quan, L.; Hao, Y.; Liu, X.; Li, J. Electric energy recycling system of electric drive hydraulic excavator boom. Chin. Hydraul. Pneum. 2020, 1, 21–26. [Google Scholar]
- Li, Z.; Lin, M.; Cao, H.; Chen, Y. Working Condition Identification and Controller Matching of Composite Energy Storage Loader Based on BP Neural Network. Hydraul. Pneum. 2020, 2, 36–43. [Google Scholar]
- Zhao, K.; Bai, X.; Liu, Y.; Li, G. Simulation Study on Reasonable Matching of Powertrain System for Crawler Bulldozer. China J. Highw. Transp. 2013, 26, 183–190. [Google Scholar]
- Li, Z.; Khajepour, A.; Song, J. A comprehensive review of the key technologies for pure electric vehicles. Energy 2019, 182, 824–839. [Google Scholar] [CrossRef]
- Karmann, S.; Eicheldinger, S.; Prager, M.; Wachtmeister, G. Optical and thermodynamic investigations of a methane and hydrogen blend fueled large bore engine. Int. J. Engine Res. 2022, 23, 846–864. [Google Scholar] [CrossRef]
- Cui, H.W.; Wei, W.; Yan, Q.D. Software development of steady numerical computational method of matching between hydrodynamic torque converter and engine. Adv. Mater. Res. 2011, 199, 323–328. [Google Scholar] [CrossRef]
- Zhang, Z.; Hui, J.; Zhang, H.; Geng, Q.; Bu, Z. Research on Power Matching Method for Primary and Secondary Conditions of Engine and Hydraulic Torque Converter. J. Mech. Eng. 2023, 59, 300–314. [Google Scholar]
- Wang, Z.; Qin, S. Optimization of matching on torque converter with engine based on typical operating condition. J. Cent. South Univ. (Sci. Technol.) 2017, 48, 331–336. [Google Scholar]
- Ma, H.; Liu, C.; Li, J.; Li, J. Research on General Characteristics of Hydraulic TorqueConverter and Its Matching Method. J. Beijing Inst. Technol. 2021, 41, 927–934. [Google Scholar]
- Liu, S.; Yan, Q.; Xing, Q. Analysis of Dynamic Matching Factors of High-power Diesel Engine and Hydrodynamic Torque Converter. Acta Armamentarii 2016, 37, 385–393. [Google Scholar]
- Chen, K.; Wu, G. Genetic Algorithm-Based Multi-Objective Optimization for the Matching of Torque Converter with Engine. Automot. Eng. 2014, 36, 532–536. [Google Scholar]
- Zhao, C.; Wei, C.; Fu, W.; Shang, Y.; Zhang, G.; Cong, Y. Design and Experiment of Cruise Control System for Hydrostatic Transmission Tractor. Trans. Chin. Soc. Agric. Mach. 2021, 52, 359–365. [Google Scholar]
- Zhang, Z.; Hui, J.; Bu, Z.; Ding, K.; Gu, L. Power Matching and Speed Sensing Control Between Hydraulic Torque Converter and Engine. Mech. Sci. Technol. Aerosp. Eng. 2018, 37, 55–62. [Google Scholar]
- Fu, S.; Li, S.; Luo, N. Dynamic Matching of Power Transmission Efficiency of Bulldozer under Operation Condition. J. Syst. Simul. 2019, 31, 1890–1898. [Google Scholar]
- Gao, Y.; Feng, P.; Peng, B.; Qiu, Q. Stage-based power matching control of hydraulic excavator. J. Harbin Eng. Univ. 2017, 38, 1461–1469. [Google Scholar]
- Shang, X.; Zhang, F.; Lv, H.; Liu, T.; Han, X.; Wang, M. Coordinated Control Strategy for Improving the Starting Performance of Heavy Vehicle. Acta Armamentarii 2024, 45, 264–275. [Google Scholar]
- Gu, Z.; Li, X.; Wang, X.; Zhang, Q.; Zhu, C.; Shu, H.; Liu, M. Modeling and simulation of coupling law of multi adjustable system of marine medium speed diesel engine. In Proceedings of the International Conference on Mechanical Design and Simulation (MDS 2022), Wuhan, China, 18–20 March 2022; Volume 12261, pp. 1321–1329. [Google Scholar]
- Johnson, T.V. Review of vehicular emissions trends. SAE Int. J. Engines 2015, 8, 1152–1167. [Google Scholar] [CrossRef]
- Wang, F.; Hong, J.; Ding, R.; Xu, B.; Fiebig, W.J. A torque conversion solution to the powertrain of mobile machine and its control strategy. IEEE Trans. Veh. Technol. 2022, 71, 10361–10373. [Google Scholar] [CrossRef]
- Liu, C.; Jin, C.; Guo, M.; Yan, Q.; Wei, W. Research on the Influence of Charging Oil Conditions on the Axial Force of Hydraulic Torque Converter. Machines 2023, 11, 730. [Google Scholar] [CrossRef]
- Wang, H.; Sun, D. Optimal matching between a diesel engine and a PRHTS transmission. J. Braz. Soc. Mech. Sci. Eng. 2017, 39, 3375–3387. [Google Scholar] [CrossRef]
- Xu, L.; Hou, X. Power matching on loader engine and hydraulic torque converter based on typical operating conditions. Trans. Chin. Soc. Agric. Eng. 2015, 31, 80–84. [Google Scholar]
- Wang, H.; Sun, D.; Qin, D. A new continuously variable transmission system applied to transmission system of the roadheader’s cutting unit. Proc. Inst. Mech. Eng. Part C J. Mech. Eng. Sci. 2017, 231, 3590–3600. [Google Scholar] [CrossRef]
- Mutschler, S.; Brix, N.; Xiang, Y. Torque Control for Mobile Machines; Universitätsbibliothek der RWTH Aachen: Aachen, Germany, 2018; pp. 186–195. [Google Scholar]
- Xiang, Y.; Li, R.; Brach, C.; Liu, X.; Geimer, M. A novel algorithm for hydrostatic-mechanical mobile machines with a dual-clutch transmission. Energies 2022, 15, 2095. [Google Scholar] [CrossRef]






















| Project | Engine Speed (rpm) | Engine Torque (Nm) | Speed Ratio | EFC (g/kWh) |
|---|---|---|---|---|
| Parameter | 1800 | 830.84 | 0.72 | 226.48 |
| 1500 rpm | 1600 rpm | 1700 rpm | 2000 rpm | |
|---|---|---|---|---|
| First gear | 28.5 | 31 | 33 | 40 |
| Second gear | 37 | 40 | 42.5 | 49 |
| Third gear | 46 | 48 | 50 | 60 |
| Project | First Gear | Second Gear | Third Gear |
|---|---|---|---|
| Move forward | 93.74 | 51.23 | 31.72 |
| Move backward | 78.87 | 43.11 | 26.68 |
| Project | Engine Speed (rpm) | Engine Torque (Nm) | Speed Ratio | Gear | FCWM (g/kWh) |
|---|---|---|---|---|---|
| Parameter | 1800 | 716.77 | 0.67 | 1 | 255.03 |
| Project | E | F | G |
|---|---|---|---|
| FCWM (g/kWh) | 257.53 | 290.58 | 351.83 |
| Thrust | 4.0 T | 6.49 T | 11.52 T | 17.7 T |
|---|---|---|---|---|
| Gear | First Gear | Second Gear | First Gear | First Gear |
| 1500 rpm | 377.95 | 316.42 | 277.83 | 302.31 |
| 1700 rpm | 350.95 | 300.93 | 270.81 | 260.71 |
| 2000 rpm | 368.24 | 324.47 | 299.79 | 274.65 |
| Optimal operating strategy | 350.69 | 300.93 | 270.81 | 255.03 |
| Project | Engine Speed (rpm) | Engine Thrust (T) | Bulldozer Speed (km/h) | Gear | FCWM (g/kWh) |
|---|---|---|---|---|---|
| Before switching | 1800 | 7.5 | 2.8 | 1 | 320 |
| After switching | 1700 | 7.5 | 3.7 | 2 | 280 |
Disclaimer/Publisher’s Note: The statements, opinions and data contained in all publications are solely those of the individual author(s) and contributor(s) and not of MDPI and/or the editor(s). MDPI and/or the editor(s) disclaim responsibility for any injury to people or property resulting from any ideas, methods, instructions or products referred to in the content. |
© 2024 by the authors. Licensee MDPI, Basel, Switzerland. This article is an open access article distributed under the terms and conditions of the Creative Commons Attribution (CC BY) license (https://creativecommons.org/licenses/by/4.0/).
Share and Cite
Qiang, H.; Li, H.; Kang, S.; Liu, K.; Yang, J.; Wang, L. Research into Energy-Saving Control Strategies of a Bulldozer Driven by a Torque Converter Based on the Minimum Fuel Consumption Rate of the Whole Machine. Sustainability 2024, 16, 10111. https://doi.org/10.3390/su162210111
Qiang H, Li H, Kang S, Liu K, Yang J, Wang L. Research into Energy-Saving Control Strategies of a Bulldozer Driven by a Torque Converter Based on the Minimum Fuel Consumption Rate of the Whole Machine. Sustainability. 2024; 16(22):10111. https://doi.org/10.3390/su162210111
Chicago/Turabian StyleQiang, Hongbin, He Li, Shaopeng Kang, Kailei Liu, Jing Yang, and Lian Wang. 2024. "Research into Energy-Saving Control Strategies of a Bulldozer Driven by a Torque Converter Based on the Minimum Fuel Consumption Rate of the Whole Machine" Sustainability 16, no. 22: 10111. https://doi.org/10.3390/su162210111
APA StyleQiang, H., Li, H., Kang, S., Liu, K., Yang, J., & Wang, L. (2024). Research into Energy-Saving Control Strategies of a Bulldozer Driven by a Torque Converter Based on the Minimum Fuel Consumption Rate of the Whole Machine. Sustainability, 16(22), 10111. https://doi.org/10.3390/su162210111

