You are currently viewing a new version of our website. To view the old version click .
Sustainability
  • Article
  • Open Access

20 November 2024

Research into Energy-Saving Control Strategies of a Bulldozer Driven by a Torque Converter Based on the Minimum Fuel Consumption Rate of the Whole Machine

,
,
,
,
and
1
School of Mechanical Engineering, Jiangsu University of Technology, Changzhou 213001, China
2
Jiangsu Provincial Engineering Research Center for Advanced Fluid Power and Equipment, Changzhou 213001, China
*
Author to whom correspondence should be addressed.
This article belongs to the Section Energy Sustainability

Abstract

In order to address the issue of poor fuel efficiency in hydraulic bulldozers during operation, this paper proposes a speed–load control strategy aimed at minimizing the overall fuel consumption rate of the machine. First, input–output models of the engine, hydraulic torque converter and the entire vehicle were established. Then, based on the bulldozer’s output power and fuel consumption rate, a performance metric for the overall fuel consumption rate was proposed to reflect the machine’s working efficiency. The characteristics of the overall fuel consumption rate were analyzed under different load, speed, and gear conditions. Next, a work point optimization control strategy was proposed for the whole machine energy-saving mode and constant power mode, aiming to minimize the overall fuel consumption rate while using the load, speed, and gear as control variables. To verify the feasibility of the work point optimization control strategy, simulations were conducted for both the energy-saving and constant power modes. The simulation results showed that in the whole machine energy-saving mode, this control strategy resulted in the lowest fuel consumption compared to constant speed control strategies at 1500, 1700, and 2000 rpm, with significant reductions in most cases. In the constant power mode, a comparison between four optimal operating points and the whole machine energy-saving mode revealed that while the former had slightly higher fuel consumption, it ensured a stable power output. Finally, experimental testing demonstrated that the proposed control strategy reduced the overall fuel consumption rate by 12.5% compared to the constant speed mode, verifying the effectiveness of the strategy. The study concludes that the energy-saving control strategy, through the coordinated switching between the two modes in complex operating conditions, not only ensures a stable power output for the bulldozer but also significantly improves fuel efficiency, providing an important reference for optimizing the efficiency of transmission systems in construction machines.

1. Introduction

A bulldozer is a self-propelled earth-moving machine featuring a tracked chassis and equipped with a suspended blade, used to perform a variety of heavy earthwork tasks such as trench excavation, backfilling pits, leveling sites, and removing obstacles [1,2,3]. Bulldozers can be classified based on their transmission systems into mechanical drive, fully hydraulic drive, and hydraulic-mechanical drive types [4,5,6]. Among these, hydraulic-mechanical drive bulldozers, which utilize a combination of hydraulic torque converters and power shifters, offer advantages such as load adaptability, easy and flexible operation, high work efficiency, and the ability to shift under load. These are currently widely used in medium and large-sized bulldozers [7]. As an indispensable piece of heavy equipment in construction, the energy consumption level of bulldozers has a significant impact on addressing the environmental and energy crises brought about by traditional construction machinery. In the context of increasingly scarce global energy resources, improving the energy efficiency of such equipment has become an important means of promoting sustainable energy development [8,9].
The performance matching of the bulldozer’s engine and hydraulic torque converter directly affects the bulldozer’s traction characteristics and fuel economy [10,11]. This performance matching involves structural factor matching during the design phase and operating condition factor matching during the operation. Key structural factors during the design phase include the effective diameter of the hydraulic torque converter and the transmission ratio of the drive mechanism. Wang et al. [12] established a multi-objective optimization model for matching hydraulic torque converters and engines based on gray relational analysis, optimizing the effective circular diameter of the hydraulic torque converter and improving matching performance. Ma et al. [13] built a universal characteristic prediction model for hydraulic torque converters using BP neural networks based on steady-state characteristic data, and established a matching model with the engine, improving the matching accuracy between the engine and hydraulic torque converter. Liu et al. [14] analyzed the factors influencing the dynamic matching of high-power diesel engines and hydraulic torque converters for armored vehicles, identifying the main effects and interactions of the torque converter’s effective diameter and intermediate transmission ratio on the matching performance. Focusing on the power and economy of the engine and hydraulic torque converter, Chen et al. [15] optimized the pump wheel outlet angle and guide wheel inlet/outlet angles to improve maximum output torque and average output power while reducing fuel consumption in the efficient speed range. The above studies primarily focus on the mathematical model of the combined operation of the engine and hydraulic torque converter, optimizing the hydraulic torque converter’s circular diameter and improving the power performance of the transmission system.
When the bulldozer is operating, the structural parameters of the engine and hydraulic torque converter are fixed, and it is necessary to match the operating condition factors to achieve comprehensive performance optimization. The main factors include throttle operation patterns, gear shifting, and torque converter lock-up patterns. Zhao et al. [16] proposed a coordination control strategy of engine speed and variable pump displacement for tractor constant-speed cruise control, which reduced the engine speed and fuel consumption while achieving the same target speed. Zhang et al. [17] implemented a dual closed-loop speed-sensing control strategy based on the engine’s speed regulation characteristics and throttle adjustments for different working conditions, optimizing the combined performance of the engine and hydraulic torque converter. Fu et al. [18] applied a load control strategy for bulldozers in heavy-load mode, adjusting the load according to the selected gear’s power characteristics to achieve higher transmission efficiency; in light-load mode, a throttle opening control strategy was used to manage the output power of the power transmission system, allowing the hydraulic torque converter to operate smoothly in the efficient range above 80%. Gao et al. [19] proposed a working point switching control strategy based on maximum acceleration and established a torque and speed feedback coordination control strategy to ensure stability in the engine’s working point during the same working phase of the excavator, effectively reducing energy consumption while improving operational efficiency. Shang et al. [20] increased the engine speed during the start-up of heavy vehicles to keep it near the maximum torque point on the external characteristic curve, ensuring a large torque coefficient for the hydraulic torque converter and thereby enhancing the start-up performance of heavy vehicles. The above studies primarily address the matching and overall efficiency between the engine and hydraulic torque converter, specifically the relationship between the hydraulic torque converter’s output power and the vehicle’s fuel consumption. The ultimate total efficiency of the bulldozer during the operation should be defined as the relationship between the bulldozer’s total output power (the power required to move the earth) and the vehicle’s fuel consumption. This process encompasses not only the power from the engine and hydraulic torque converter but also the standby and no-load power consumption of the entire bulldozer. Therefore, merely considering the optimization of the comprehensive efficiency of the engine and hydraulic torque converter for power matching cannot yield the optimal total efficiency for the bulldozer, leading to a certain degree of power waste.
Consequently, this paper proposes a speed–load control strategy aimed at minimizing the total efficiency of the bulldozer. By establishing input–output models for the engine, hydraulic torque converter, and entire vehicle, the total efficiency under different loads, speeds, and gears is analyzed. Using total efficiency as the objective and load, speed, and gear as variables, control strategies targeting economic mode, constant power mode, and constant speed mode are proposed. The effectiveness of this control strategy is validated through simulations and experiments. This control strategy provides strong support for the sustainable development of the construction machinery sector, assisting in achieving energy-saving and emission-reduction goals, reducing carbon footprints, and offering a reference for future low-carbon construction.

2. Powertrain Matching Characteristics

The bulldozer’s drive system not only supplies power to the travel system but also to the hydraulic system, as shown in Figure 1. When the bulldozer is in operation, the engine drive system provides most of the power to the travel system, which consists of the hydraulic torque converter, transmission, and wheels, while a smaller portion of the power is supplied to hydraulic auxiliary systems such as the blade, brakes, and air conditioning.
Figure 1. The powertrain of the bulldozer.

2.1. Engine Characteristics Analysis

The relationship between engine performance indicators and changes in adjustment conditions and operating states is referred to as engine characteristics, which mainly include steady-state characteristics, dynamic characteristics, and the fuel consumption rate [21]. The steady-state characteristics of an engine primarily consist of external characteristics and speed regulation characteristics. The bulldozer in this study uses the Guangxi Cummins QSL9.3 electronically controlled diesel engine, which features speed-sensing control and can achieve zero speed regulation, contributing to engine speed stability. Through load testing, the maximum speed at full throttle is identified, and then the load is gradually increased from no-load until the engine reaches its maximum torque, resulting in the engine’s external characteristic curve, as shown in Figure 2a. The external characteristic curve represents the maximum torque and power the engine can deliver at [22].
Figure 2. The engine characteristics: (a) the engine performance curve; (b) the engine speed control characteristic curve.
Then, the engine throttle is reduced and adjusted to different speeds, and the load torque is regulated. The above test is repeated to obtain the engine’s speed regulation characteristic curve, as shown in Figure 2b. In the figure, the dashed lines are vertical to the speed axis. After the engine speed is set, when the load changes, the speed can remain constant after adjustment.
The steady-state characteristics of the engine, such as its external characteristics and speed regulation characteristics, reflect the engine’s stable operating points under steady conditions. In contrast, the engine’s characteristics under dynamic conditions reflect the transition process from one stable operating point to another, such as the transition from point A to point B in Figure 3. When the load changes, according to the torque balance equation [23], the following can be obtained:
T p T e T L p 30 × f m × n p t = p 30 × J × d n p t d t
where Tp represents the engine output torque, Te represents the engine no-load torque, T L represents the load torque, fm represents the friction coefficient, J represents the engine moment of inertia, and np represents the engine speed.
Figure 3. The engine characteristic curve.
The combined torque is defined as:
x i t = T p T e T L
The output speed is:
x o t = n p t
By combining Equations (1)–(3) and applying the Laplace transform, the transfer function can be obtained:
G s = X o s X i s = K T s + 1
where K = 30/(π × fm) represents the gain, T = J/fm represents the time constant.
We conducted intensive testing at various points to evaluate the external characteristics of the transmitter, recording the fuel consumption values of the engine at different speeds and torque levels, resulting in the universal characteristic curve shown in Figure 3. There are multiple combinations of speed and torque at the same power level, with different operating points corresponding to varying fuel consumption rates. A lower fuel consumption rate indicates better fuel economy for the engine.

2.2. Hydraulic Torque Converter Characteristics Analysis

The hydraulic torque converter operates between the engine and the transmission, automatically and continuously transmitting the torque through hydraulic drive oil [23,24]. Its original characteristics, expressed in terms of the relationship between the torque and rotational speed input and output, are as follows:
T L = ρ g λ D 2 n p 2 i = n F / n p k = T F / T p η = P F / P p = i × k
where i represents the speed ratio, k represents the torque coefficient, η represents the efficiency of the hydraulic torque converter, ρ represents the density of the hydraulic transmission oil, g represents the acceleration due to gravity, λ represents the pump wheel torque coefficient, D represents the effective diameter of the converter, nF represents the turbine speed of the converter, TF represents the turbine torque of the converter, and PF(Pp) represents the power of the converter turbine (pump wheel).
This study focuses on a bulldozer equipped with a high-power hydraulic torque converter with a diameter of 380 mm, whose original characteristic curve is shown in Figure 4. It can be observed that when the speed ratio i = 0.72 and the torque coefficient k = 1.22, the efficiency of the hydraulic torque converter is maximized at η = 0.878.
Figure 4. The characteristic curve of the torque converter.

2.3. Engine and Hydraulic Torque Converter Combined Characteristics Analysis

Due to the relatively small power of the air conditioning system compared to the total power of the bulldozer, and because the bulldozer’s blade and brake hydraulic systems do not frequently operate in conjunction with the torque converter, the torque converter can be matched to the engine at full power. The hydraulic torque converter load parabola illustrates the relationship between the pump wheel torque and the pump wheel speed at the same speed ratio, as shown in Equation (4). The combined input characteristics of the engine and the hydraulic torque converter are depicted in Figure 5.
Figure 5. The input characteristic of the engine and the torque converter.
It can be observed that at low speeds, the engine can provide a large torque that exceeds the maximum torque the hydraulic torque converter can accept; thus, the input torque of the hydraulic torque converter follows the load parabola, represented by curves a in Figure 5. At high speeds, the hydraulic torque converter can accept a larger torque, but this exceeds the maximum torque the engine can provide; therefore, the input torque of the hydraulic torque converter aligns with the torque from the engine’s external characteristic curve, represented by curve b in Figure 6.
Figure 6. The output characteristics of the engine and the torque converter.
Based on the combined input characteristics of the engine and hydraulic torque converter [25], the relationship between the hydraulic torque converter’s turbine torque and turbine speed at the same impeller speed can be calculated using Equation (5). This calculates the combined output characteristics of the engine and hydraulic torque converter, as shown in Figure 6. Each line in a different color represents the turbine speed and torque of the hydraulic torque converter at different speed ratios under the same engine speed.

3. The Fuel Consumption Rate of the Whole Machine

3.1. Equivalent Fuel Consumption Rate Calculation and Analysis

The engine fuel consumption rate is converted to the fuel consumption rate of the turbine shaft, that is, the hourly fuel consumption per unit of turbine shaft output power, referred to as the Equivalent Fuel Consumption (EFC) of the engine and hydraulic torque converter matching system [26,27], as shown in Equation (6). Based on the combined output characteristics of the engine and hydraulic torque converter in Figure 6 and the engine’s universal characteristics in Figure 3, the engine’s equivalent fuel consumption rate is calculated, reflecting the engine’s fuel consumption rate under different turbine speeds and torque conditions of the hydraulic torque converter, as shown in Figure 7. The point marked with “☆” represents the lowest equivalent fuel consumption rate, and at this point, the parameters of the engine and hydraulic torque converter are listed in Table 1.
φ b = φ F / η
where φb represents the equivalent fuel consumption rate, φF represents the engine fuel consumption rate, and η represents the efficiency of the hydraulic torque converter.
Figure 7. The EFC of the engine and torque converter system.
Table 1. Parameters of the engine and torque converter with the lowest EFC.

3.1.1. Fuel Consumption Rate Calculation of the Whole Machine

The bulldozer’s overall efficiency during the operation should be defined as the relationship between the bulldozer’s total output power (the power required to move the earth) and its total fuel consumption. This process not only includes the power from the engine and hydraulic torque converter but also accounts for standby, no-load, and other power consumption of the entire bulldozer. Therefore, this paper proposes the concept of Fuel Consumption of the Whole Machine (FCWM), which transfers the engine’s fuel consumption rate equivalently to the bulldozer blade. It calculates the hourly fuel consumption corresponding to the output power of the bulldozer’s blade, as shown in Equation (7):
φ z = φ F × P p / P d
where φz represents the fuel consumption rate of the whole machine and Pd represents the blade output power.
The engine torque Tp and speed np are directly extracted from the engine ECU, from which the engine output power is calculated.
P p = T p × n p
The blade output power Pd is obtained by subtracting the no-load traveling power Po of the whole machine from the engine output power Pp. The calculation formula is as follows:
P o = F o × v o
where Fo represents the thrust required for the no-load traveling of the whole machine and vo represents the traveling speed of the whole machine.
F o = T po T e × k × i b × 2 / D L
where Tpo represents the engine output torque during the no-load traveling of the whole machine, ib represents the gearbox reduction ratio, and DL represents the diameter of the track wheel.
v o = n F / i b × D L / 2 π
By rearranging Equations (7)–(10), the fuel consumption rate of the whole machine under different thrusts and traveling speeds can be obtained.

3.1.2. Thrust Required for No-Load Travel

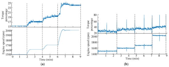
Based on the above calculation process, it is evident that calculating the fuel consumption rate of the whole machine requires obtaining the thrust needed for the no-load traveling of the bulldozer. In this paper, the no-load torque of the engine Te was obtained through experimental methods. The engine torque of the tested bulldozer was measured in standby mode at engine speeds of 1500/1600/1700/2000 rpm, respectively, as shown in Figure 8a. The torque values were directly extracted from the engine ECU using the CAN bus via a J1939 protocol. The vertical axis represents the engine speed and torque percentage, respectively.
Figure 8. The torque percentage of the engine: (a) the no-load torque percentage of the engine at different speeds; (b) the engine torque percentage at different speeds in first gear.
Next, the percentage of the engine output torque Tpo during the no-load traveling of the bulldozer was measured. Engine torque percentages were tested at engine speeds of 1500/1600/1700/2000 rpm in first, second, and third gears, as shown in Table 2. The test data for first gear are shown in Figure 8b. The tests were conducted on a 40-m-long dry soil field. Due to fluctuations in the load during the bulldozer travel, the engine speed and torque measurement data showed more significant variations compared to the standby data.
Table 2. The engine torque of the engine at different gears and rotations.
The reduction ratios for the transmission in first, second, and third gears are shown in Table 3.
Table 3. The reduction ratio of the transmission.
Using Equation (10), Figure 8a, and Table 2, the thrust required for no-load traveling of the whole machine at different speeds was calculated, as shown in Figure 9, with an average value of approximately 2.15 T.
Figure 9. The thrust required for no-load traveling of the whole machine.

3.1.3. The FCWM at Different Speeds and Thrusts

The fuel consumption rate of the whole machine was calculated under different speeds and thrust conditions of the bulldozer, as shown in Figure 10.
Figure 10. The FCWM at different speeds and thrusts.
The symbols ‘×’, ‘o’, and ‘•’ represent data for first, second, and third gears, respectively. The point marked with ‘☆’ represents the lowest fuel consumption rate of the whole machine, designated as point D, with the engine and hydraulic torque converter parameters listed in Table 4. The black ‘o’ represents the lowest equivalent fuel consumption rate. Since the equivalent fuel consumption rate only considers the engine and hydraulic torque converter, without accounting for the overall machine efficiency, there is a lowest equivalent fuel consumption rate at each gear, designated as points E, F, and G. The fuel consumption rates at these three points are shown in Table 5, all of which are higher than at point D. Additionally, the larger the gear and the higher the speed are, the greater the fuel consumption rate of the whole machine is.
Table 4. The engine and torque converter parameters at point D.
Table 5. The FCWM at point E, F, and G.

3.1.4. Analysis of the FCWM

The relationship between the fuel consumption rate of the whole machine and the bulldozer’s thrust is shown in Figure 11. When the load is below 17.7 tons, the point of lowest fuel consumption decreases as the thrust increases, indicating better fuel efficiency of the whole machine. When the load is below 4.6 tons, the lowest fuel consumption point primarily occurs in third gear; when the load is around 4.6 to 9.2 tons, it mainly occurs in second gear; and when the load exceeds 9.2 tons, the lowest fuel consumption point is mainly in first gear. Therefore, as the load increases, the bulldozer shifts to lower gears sequentially, avoiding frequent gear changes and ensuring the stability of the bulldozer.
Figure 11. The FCWM at different thrusts.
Further extraction of the engine speed and the lowest fuel consumption rate of the whole machine at different thrust levels is shown in Figure 12. It can be seen that, in the same gear, as the thrust increases, the engine speed gradually increases without frequent speed changes, ensuring the stability of the bulldozer.
Figure 12. The FCWM and rotation at different thrusts.
The relationship between the fuel consumption rate of the whole machine and the bulldozer’s speed is shown in Figure 13. When the speed is below approximately 3.0 km/h, the lowest fuel consumption point mainly occurs in first gear; at speeds between 3.0 km/h and 5.5 km/h, it mainly occurs in second gear; and when the speed exceeds 5.5 km/h, the lowest fuel consumption point is primarily in third gear. Therefore, as the speed increases, the bulldozer shifts to higher gears sequentially, avoiding frequent gear changes and ensuring the stability of the bulldozer.
Figure 13. The FCWM at different speeds.

4. Optimal Operating Point Control Strategy

To optimize the output performance of the bulldozer, it is necessary to minimize the overall fuel consumption rate at the operating point. This paper studies the operating point optimization strategies for the whole machine energy-saving mode and constant power mode. The whole machine energy-saving mode refers to selecting the operating point with the lowest overall fuel consumption rate from all possible operating points, without setting a specific entire output power or vehicle speed. The constant power mode refers to setting a range of output powers for the bulldozer. While the whole machine energy-saving mode minimizes the fuel consumption rate, it may reduce the bulldozer’s output power and therefore its workload. Thus, by using the constant power mode, the fuel consumption rate can be reduced while ensuring that the bulldozer maintains its workload.
In current industry applications, Refs [28,29] have implemented the primary torque control concept devised by Bosch Rexroth to achieve fast and smooth shifting processes in transmission systems and control strategies. Building on these advantages, the operating point optimization strategy in this paper is programmed in Structured Text (ST) language on the CodeSys platform, with the Bosch Rexroth controller still being used for control. The control process flowchart is shown in Figure 14. First, the system mode is selected, and all operating points within this mode are filtered. Then, the operating point with the lowest fuel consumption rate is identified as the optimal operating point. The bulldozer’s thrust (blade at the lowest position), speed, and gear are adjusted to the optimal operating point. Based on the engine speed, engine torque, turbine speed, etc., the bulldozer’s thrust is calculated in real time. If the bulldozer’s actual thrust is continuously increasing, in order to avoid frequent switching of speed and gear and to ensure stable operation, the bulldozer will continue to operate at the operating point before the thrust starts increasing, until the thrust stops increasing. If the bulldozer’s actual thrust exceeds the optimal operating point’s thrust, the blade height is raised to reduce the load until the bulldozer’s actual thrust equals the optimal operating point’s thrust, thus reaching the optimal operating point. If the bulldozer’s actual thrust is less than the optimal operating point’s thrust, all operating points with a thrust lower than the actual thrust are identified, and the most efficient operating point is selected again until the optimal operating point is reached.
Figure 14. The control strategy of minimum FCWM.

5. Simulation Analysis

To verify the feasibility of the operating point optimization control strategy, a simulation model was built, as shown in Figure 15.
Figure 15. The optimization control strategy simulation model.
Among them, the no-load thrust refers to the thrust required for the entire machine during no-load travel, as shown in Figure 9. The set load thrust is shown in Figure 16, which represents the load when the blade is at its lowest position under different operating conditions.
Figure 16. The set load thrust of the bulldozer.
The process of finding the optimal operating point involves treating all the operating points shown in Figure 2b as a set, and then filtering out the operating point with the lowest overall fuel consumption rate based on the maximum thrust the bulldozer can achieve. The models for the engine and hydraulic torque converter are constructed based on the models described earlier. Based on this model, we can design two energy-saving modes for the bulldozer to achieve coordinated switching between the two modes under complex working conditions: the whole machine energy-saving mode and the constant power mode, which will be discussed in detail in the following subsections.

5.1. Whole Machine Energy-Saving Mode

In the whole machine energy-saving mode, no output power range is set for the machine, allowing all operating points of the bulldozer to be within the selection range, as shown in Figure 17. Based on the load thrust set in Figure 18, the optimal operating points are filtered out. As the load thrust gradually increases, the four optimal operating points are H, I, J, and K, as shown in Figure 19. Among them, the point K is similar to the point D, representing the lowest fuel consumption rate of the entire machine.
Figure 17. The FCWM of the whole machine energy-saving mode.
Figure 18. The whole machine energy-saving mode: (a) the thrust of the bulldozer; (b) the parameters of the four working points.
Figure 19. The FCWM of the constant power mode.
The set load thrust and the actual thrust are shown in Figure 18a. From 0 min to 1.0 min, the blade load gradually increases until the load stabilizes; at 2.0/3.0/4.0 min, there are sudden changes in the load. When the blade is at its lowest position and the load force is still low, the optimal point is found within the range less than or equal to the load force, such as at point H. When the blade is at its lowest position and the load force is high, exceeding the optimal load force, the blade position is raised to reduce the load to the optimal point, as seen at points I, J, and K.
The transition process and stable state of the four operating points are shown in Figure 18b and the table. From 0 min to 1.0 min, the blade load gradually increases. According to the optimal control strategy for the fuel consumption rate in Figure 14, the bulldozer sets the working point to the value at 0 min, which is point K. During this period, the load gradually increases, and the overall fuel consumption rate gradually decreases. When the load stabilizes at 1 min, the bulldozer, following the optimal fuel consumption rate control strategy from Figure 17, identifies the optimal working point for this condition, which is point H. During this period, both the load and the overall fuel consumption rate stabilize, with the fuel consumption rate reaching its lowest point under this load. At 2.0/3.0/4.0 min, there are sudden changes in the load. The bulldozer adjusts the engine speed and blade height to operate at the lowest fuel consumption point achievable by the machine.
If the engine operates under the traditional constant engine speed mode at 1500, 1700, and 2000 rpm, the fuel consumption rate of the whole machine under four actual loads and gears is shown in Table 6. It can be seen that the fuel consumption rate in each case is greater than or equal to the fuel consumption rate at the optimal working point discussed in this paper.
Table 6. The FCWM of the constant rotation.

5.2. Constant Power Mode

In the constant power mode, the output power range of the whole machine is set, which not only relatively reduces the fuel consumption rate of the whole machine but also ensures the output power of the bulldozer. When the bulldozer’s output power exceeds 80 kW, all achievable operating points are shown in Figure 19. Within this range, the fuel consumption rate of the whole machine is examined. Based on the load thrust set in Figure 18a, the optimal operating points are selected. As the load thrust gradually increases, the four optimal operating points are L, M, N, and P, as shown in Figure 19.
In the constant power mode, the four optimal operating points L, M, N, and P have a slightly higher fuel consumption rate compared to the four optimal points H, I, J, and K in the whole machine energy-saving mode. However, the output power is increased, which improves the overall work efficiency, as shown in Figure 20.
Figure 20. Comparison of the performance of the optimum operating points in different modes.

6. Experimental Analysis

The test method follows the guidelines of the GB/T 6375-2008 Earth-moving machinery–Method of test for the measurement of drawbar pull and the GB/T 35202-2017 Earth-moving machinery–Crawler tractor-dozer–Test methods along with other relevant standards. The test section is approximately 40 m in length and 6 m in width. The surface is made of cohesive soil, offering some adhesion and relatively small rolling resistance. The longitudinal slope of the surface is no greater than 0.4%, the lateral slope no greater than 2.5%, and wind speed no more than 6 m/s. Furthermore, based on the powertrain and electronic control principles of the bulldozer shown in Figure 1, the test system is designed as illustrated in Figure 21.
Figure 21. The test system for the bulldozer.
The test system utilizes the J1939 protocol to extract engine speed and torque, and a GREGORY fuel consumption meter from Germany’s Flow-Tronic company to collect engine fuel consumption data. An encoder is installed on the hydraulic torque converter turbine to extract its speed, while a VBox (VBOX Motorsport, Buckingham, UK) from England’s Racelogic company to measure the bulldozer’s vehicle speed. A Dewesoft data acquisition system is employed for data display and storage.
The test was conducted using the whole machine energy-saving mode, and the test data are shown in Figure 22. At time 0 s, the working point is set to the lowest fuel consumption rate point D of the whole machine. During the period from 0 s to 20.0 s, as the bulldozer lowers the blade and starts pushing the soil, the thrust gradually increases, so the working point D remains unchanged. After 20.0 s, the bulldozer’s thrust stabilizes at around 7.5 T, and the fuel consumption rate of the whole machine stabilizes at approximately 320 g/kWh. After stabilizing for 2.5 s, the bulldozer switches to the optimal working point based on the control strategy shown in Figure 14 to reduce fuel consumption. The specific data are shown in Table 7.
Figure 22. The test data of the bulldozer.
Table 7. Data of different working points during bulldozer test.
As shown in Table 7, by switching to the optimal operating points, the whole fuel consumption rate of the machine decreased by 12.5%, demonstrating the effectiveness of the control strategy proposed in this paper.

7. Conclusions

This paper addresses the issue of fuel efficiency in hydraulic bulldozers by constructing a whole-machine model of a bulldozer consisting of the engine, torque converter, reducer, and load, and subsequently conducting research on the energy efficiency of the whole machine.
(a)
In response to the limitations of the equivalent fuel consumption rate, which does not account for whole machine standby and idle consumption, the paper proposes a fuel consumption rate performance indicator for the whole machine. This is defined as the ratio of the bulldozer blade output power to the engine’s fuel consumption, providing a more accurate representation of the bulldozer’s operational efficiency. Additionally, the characteristics of the whole machine’s fuel consumption rate under different loads and speeds were analyzed. The lowest fuel consumption rate of the whole machine mainly occurs in first gear under high loads and low speeds, while mainly in third gear under low loads and high speeds. Moreover, the overall fuel consumption rate of the whole machine is relatively low in first gear.
(b)
A work point optimization control strategy was designed, targeting the lowest fuel consumption rate of the whole machine by adjusting the load, speed, and gear as control variables. Based on the actual load, the strategy identifies the optimal operating point with the lowest fuel consumption rate and adjusts the bulldozer’s thrust (minimizing the blade position), speed, and gear to match the optimal point, thus achieving energy-saving control. When the load continuously changes, the set work point remains stable to enhance the bulldozer’s operational stability. Simulation and experimental tests verified that, compared to constant speed control, the proposed strategy reduced the whole machine’s fuel consumption rate by 12.5%, confirming its effectiveness and providing an important reference for optimizing the performance of engineering machinery transmission systems.

Author Contributions

Conceptualization, H.Q.; methodology, H.Q.; software, H.L.; validation, H.Q.; formal analysis, J.Y.; investigation, L.W.; data curation, H.L.; writing—original draft preparation, H.Q.; writing—review and editing, H.L.; funding acquisition, S.K. and K.L. All authors have read and agreed to the published version of the manuscript.

Funding

This research was funded by Youth program of the National Natural Science Foundation of China, grant number 51805228; The Natural Science Foundation of the Jiangsu Higher Education Institutions of China, grant number 22KJB460021 and 23KJA460006; Changzhou Leading Innovative Talents Introduction and Cultivation Project, grant number CQ20210093 and CQ20220089; Jiangsu University of Technology Graduate Practice Innovation Program, grant number XSJCX24_20.

Institutional Review Board Statement

Not applicable.

Data Availability Statement

3rd Party Data.

Conflicts of Interest

The authors declare no conflict of interest.

References

  1. Pei, B.; Yu, P.; Zhou, J.; Du, X. Rigid-flexible coupling simulation analysis of bulldozer. Chin. J. Constr. Mach. 2023, 21, 12–15. [Google Scholar]
  2. Li, L.; Du, B.-F.; Yang, S.-D.; Li, J.-S. Research on Power Characteristics Matching of Electric Drive Crawler Bulldozer. In Proceedings of the 2019 3rd International Conference on Electronic Information Technology and Computer Engineering (EITCE), Xiamen, China, 18–20 October 2019; pp. 429–433. [Google Scholar]
  3. Mononen, T.; Mattila, J. Flow-bounded velocity controller for hydraulic bulldozers. Energies 2022, 15, 4027. [Google Scholar] [CrossRef]
  4. Liu, J.; Jiao, Z.; Wang, Y.; Li, Q. Research progress of energy recovery and utilization system of hydraulic excavator. Hydraul. Pneum. 2018, 5, 81–87. [Google Scholar] [CrossRef]
  5. Guan, C.; Cheng, H.; Quan, L.; Hao, Y.; Liu, X.; Li, J. Electric energy recycling system of electric drive hydraulic excavator boom. Chin. Hydraul. Pneum. 2020, 1, 21–26. [Google Scholar]
  6. Li, Z.; Lin, M.; Cao, H.; Chen, Y. Working Condition Identification and Controller Matching of Composite Energy Storage Loader Based on BP Neural Network. Hydraul. Pneum. 2020, 2, 36–43. [Google Scholar]
  7. Zhao, K.; Bai, X.; Liu, Y.; Li, G. Simulation Study on Reasonable Matching of Powertrain System for Crawler Bulldozer. China J. Highw. Transp. 2013, 26, 183–190. [Google Scholar]
  8. Li, Z.; Khajepour, A.; Song, J. A comprehensive review of the key technologies for pure electric vehicles. Energy 2019, 182, 824–839. [Google Scholar] [CrossRef]
  9. Karmann, S.; Eicheldinger, S.; Prager, M.; Wachtmeister, G. Optical and thermodynamic investigations of a methane and hydrogen blend fueled large bore engine. Int. J. Engine Res. 2022, 23, 846–864. [Google Scholar] [CrossRef]
  10. Cui, H.W.; Wei, W.; Yan, Q.D. Software development of steady numerical computational method of matching between hydrodynamic torque converter and engine. Adv. Mater. Res. 2011, 199, 323–328. [Google Scholar] [CrossRef]
  11. Zhang, Z.; Hui, J.; Zhang, H.; Geng, Q.; Bu, Z. Research on Power Matching Method for Primary and Secondary Conditions of Engine and Hydraulic Torque Converter. J. Mech. Eng. 2023, 59, 300–314. [Google Scholar]
  12. Wang, Z.; Qin, S. Optimization of matching on torque converter with engine based on typical operating condition. J. Cent. South Univ. (Sci. Technol.) 2017, 48, 331–336. [Google Scholar]
  13. Ma, H.; Liu, C.; Li, J.; Li, J. Research on General Characteristics of Hydraulic TorqueConverter and Its Matching Method. J. Beijing Inst. Technol. 2021, 41, 927–934. [Google Scholar]
  14. Liu, S.; Yan, Q.; Xing, Q. Analysis of Dynamic Matching Factors of High-power Diesel Engine and Hydrodynamic Torque Converter. Acta Armamentarii 2016, 37, 385–393. [Google Scholar]
  15. Chen, K.; Wu, G. Genetic Algorithm-Based Multi-Objective Optimization for the Matching of Torque Converter with Engine. Automot. Eng. 2014, 36, 532–536. [Google Scholar]
  16. Zhao, C.; Wei, C.; Fu, W.; Shang, Y.; Zhang, G.; Cong, Y. Design and Experiment of Cruise Control System for Hydrostatic Transmission Tractor. Trans. Chin. Soc. Agric. Mach. 2021, 52, 359–365. [Google Scholar]
  17. Zhang, Z.; Hui, J.; Bu, Z.; Ding, K.; Gu, L. Power Matching and Speed Sensing Control Between Hydraulic Torque Converter and Engine. Mech. Sci. Technol. Aerosp. Eng. 2018, 37, 55–62. [Google Scholar]
  18. Fu, S.; Li, S.; Luo, N. Dynamic Matching of Power Transmission Efficiency of Bulldozer under Operation Condition. J. Syst. Simul. 2019, 31, 1890–1898. [Google Scholar]
  19. Gao, Y.; Feng, P.; Peng, B.; Qiu, Q. Stage-based power matching control of hydraulic excavator. J. Harbin Eng. Univ. 2017, 38, 1461–1469. [Google Scholar]
  20. Shang, X.; Zhang, F.; Lv, H.; Liu, T.; Han, X.; Wang, M. Coordinated Control Strategy for Improving the Starting Performance of Heavy Vehicle. Acta Armamentarii 2024, 45, 264–275. [Google Scholar]
  21. Gu, Z.; Li, X.; Wang, X.; Zhang, Q.; Zhu, C.; Shu, H.; Liu, M. Modeling and simulation of coupling law of multi adjustable system of marine medium speed diesel engine. In Proceedings of the International Conference on Mechanical Design and Simulation (MDS 2022), Wuhan, China, 18–20 March 2022; Volume 12261, pp. 1321–1329. [Google Scholar]
  22. Johnson, T.V. Review of vehicular emissions trends. SAE Int. J. Engines 2015, 8, 1152–1167. [Google Scholar] [CrossRef]
  23. Wang, F.; Hong, J.; Ding, R.; Xu, B.; Fiebig, W.J. A torque conversion solution to the powertrain of mobile machine and its control strategy. IEEE Trans. Veh. Technol. 2022, 71, 10361–10373. [Google Scholar] [CrossRef]
  24. Liu, C.; Jin, C.; Guo, M.; Yan, Q.; Wei, W. Research on the Influence of Charging Oil Conditions on the Axial Force of Hydraulic Torque Converter. Machines 2023, 11, 730. [Google Scholar] [CrossRef]
  25. Wang, H.; Sun, D. Optimal matching between a diesel engine and a PRHTS transmission. J. Braz. Soc. Mech. Sci. Eng. 2017, 39, 3375–3387. [Google Scholar] [CrossRef]
  26. Xu, L.; Hou, X. Power matching on loader engine and hydraulic torque converter based on typical operating conditions. Trans. Chin. Soc. Agric. Eng. 2015, 31, 80–84. [Google Scholar]
  27. Wang, H.; Sun, D.; Qin, D. A new continuously variable transmission system applied to transmission system of the roadheader’s cutting unit. Proc. Inst. Mech. Eng. Part C J. Mech. Eng. Sci. 2017, 231, 3590–3600. [Google Scholar] [CrossRef]
  28. Mutschler, S.; Brix, N.; Xiang, Y. Torque Control for Mobile Machines; Universitätsbibliothek der RWTH Aachen: Aachen, Germany, 2018; pp. 186–195. [Google Scholar]
  29. Xiang, Y.; Li, R.; Brach, C.; Liu, X.; Geimer, M. A novel algorithm for hydrostatic-mechanical mobile machines with a dual-clutch transmission. Energies 2022, 15, 2095. [Google Scholar] [CrossRef]
Disclaimer/Publisher’s Note: The statements, opinions and data contained in all publications are solely those of the individual author(s) and contributor(s) and not of MDPI and/or the editor(s). MDPI and/or the editor(s) disclaim responsibility for any injury to people or property resulting from any ideas, methods, instructions or products referred to in the content.

Article Metrics

Citations

Article Access Statistics

Multiple requests from the same IP address are counted as one view.