Effects of Biochar and Organic Acid Addition on Phosphorus State and Yield of Cotton Field Under Different Phosphate Fertilizer Application Rates
Abstract
1. Introduction
2. Materials and Methods
2.1. Summary of the Pilot Zone
2.2. Experimental Design
2.3. Sample Collection and Determination
2.3.1. Soil
2.3.2. Plants
2.4. Data Processing
3. Results
3.1. Effects of Biochar and Organic Acid on Soil Quick-Acting Phosphorus in Different Breeding Periods of Cotton
3.2. Effects of Biochar and Organic Acid Addition on Accumulated Phosphorus Absorption in Different Fertilizer Periods
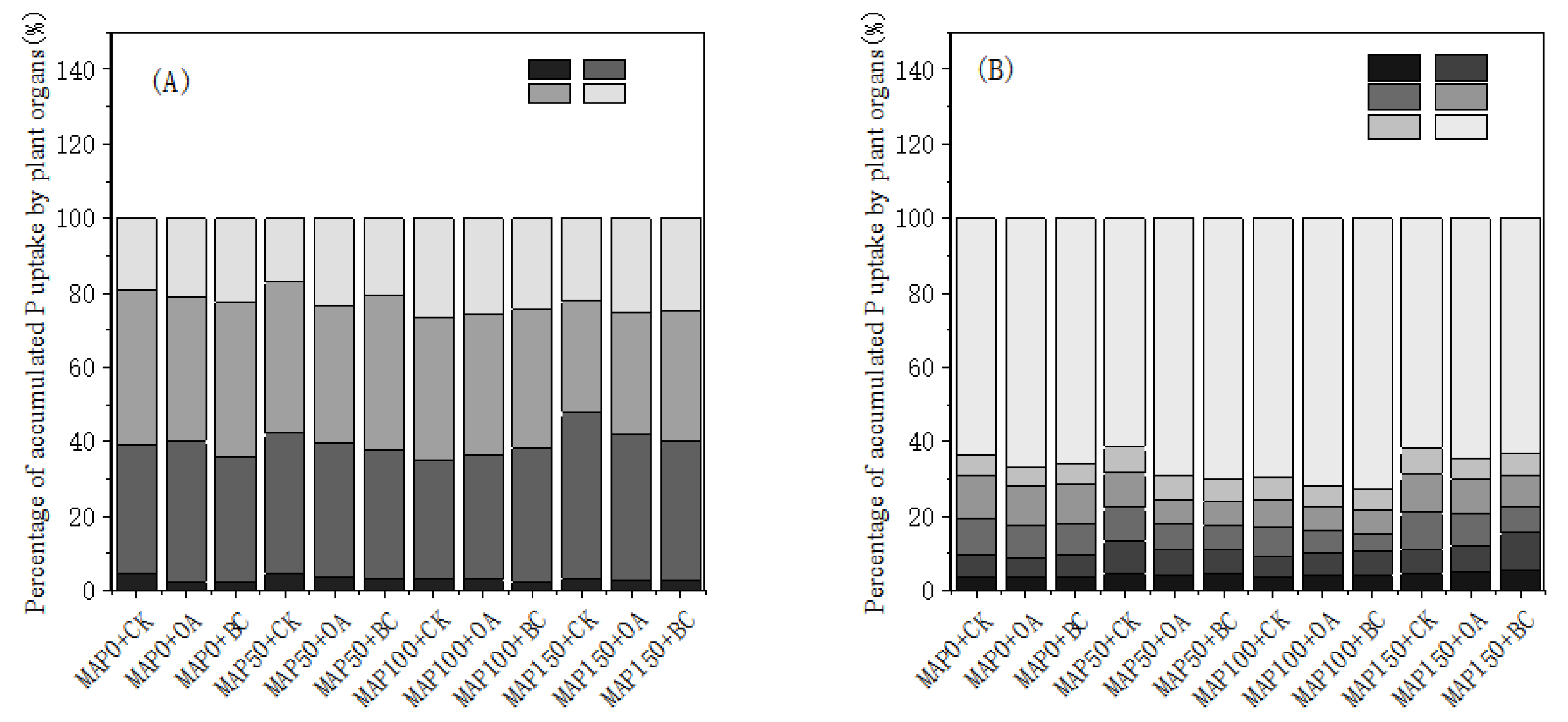
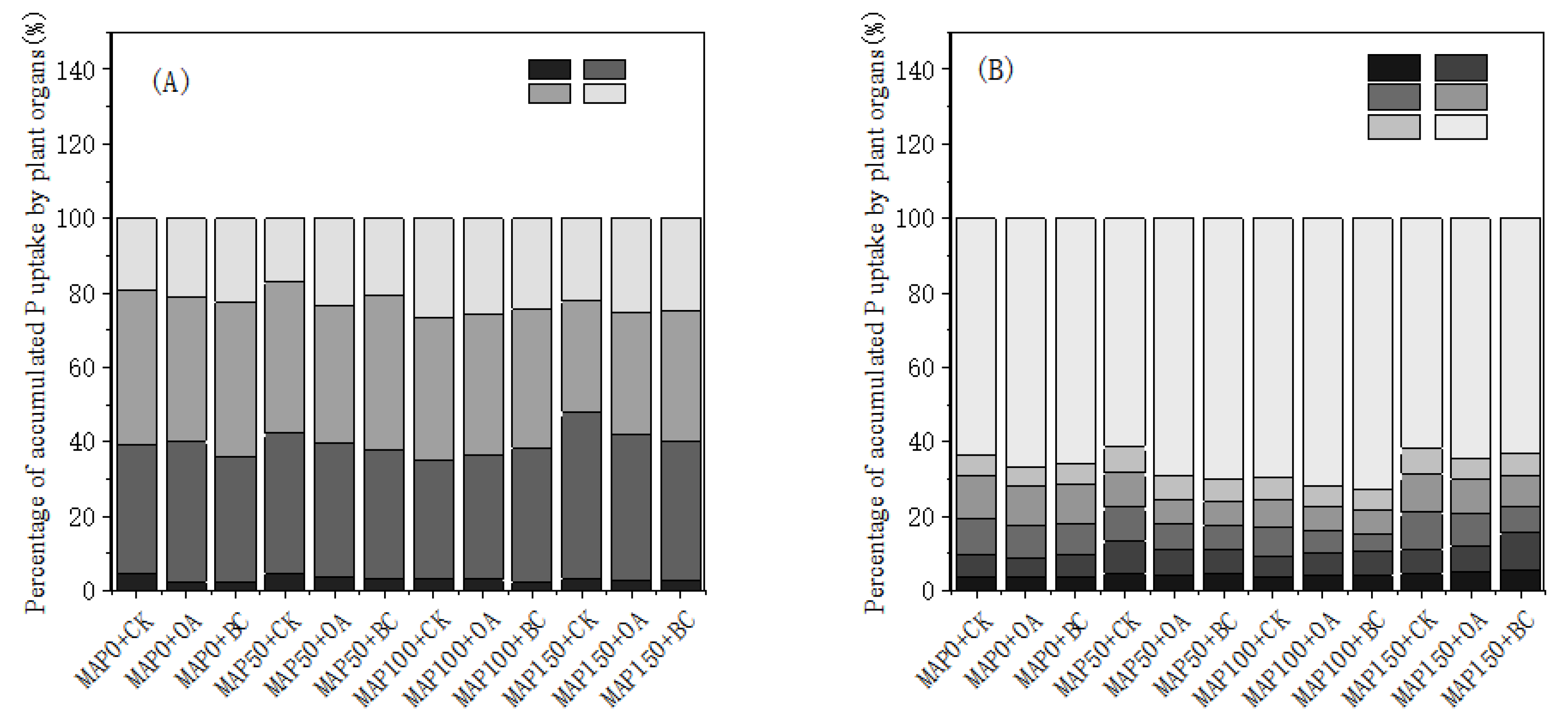
3.3. Effect of Biochar and Organic Acid Addition on Phosphorus Distribution in Cotton Organs Under Different Phosphorus Application Conditions
3.4. Effect of Biochar and Organic Acid Addition on Cotton Yield Under Different Phosphorus Fertilizer Dosage
3.5. Effect of Biochar and Organic Acid Addition on the Utilization of Phosphate in Cotton Field Under Different Phosphorus Fertilizer Dosage
3.6. Effect of Biochar and Organic Acid Addition on Phosphorus Balance in Cotton Field Under Different Phosphorus Fertilizer Dosage
3.7. Effects of Biochar and Organic Acid Addition on Cottonseed Yield Under Different Phosphate Fertilizer Dosage in 2019 and 2020
4. Discussion
4.1. Effect of Biochar and Organic Acid on Soil Quick-Acting Phosphorus in Cotton Field Under Different Phosphorus Fertilizer Conditions
4.2. Effects of Biochar and Organic Acid Addition on the Accumulation of Phosphorus Absorption and Phosphorus Distribution in Plants Under Different Phosphorus Fertilizer
4.3. Effect of Biochar and Organic Acid on Cottonseed Yield and Phosphate Fertilizer Utilization Efficiency Under Different Phosphate Fertilizer Dosages
5. Conclusions
Author Contributions
Funding
Institutional Review Board Statement
Informed Consent Statement
Data Availability Statement
Acknowledgments
Conflicts of Interest
References
- Yuan, M.; Zhao, Z.; Li, X.; Zhang, F.; Liu, F.; Meng, C. Physiology and morphological characteristics among different cotton genotypes in response to low phosphorus stress. Seed 2019, 38, 20–23. [Google Scholar] [CrossRef]
- Shi, H.; Zhang, J.; Yan, Q.; Tian, L.; Cui, J.; Lin, T.; Guo, R. Effects of different nitrogen fertilizer levels on growth, yield, water and nitrogen use efficiency of cotton under non-sufficient drip irrigation. Agric. Res. Arid. Areas 2017, 35, 129–136. [Google Scholar] [CrossRef]
- Pan, L.; Li, Y.; Tang, L.S. Growth and allocation of photosynthetic produces in cotton under alternative partial root-zone irrigation. Sci. Agric. Sin. 2009, 42, 2982–2986. [Google Scholar]
- National Bureau of Statistics. China Statistical Yearbook; China Statistics Press: Beijing, China, 2019. [Google Scholar]
- Zhao, F.; Zhang, Y.; Dijkstra, F.A.; Li, Z.; Zhang, Y.; Zhang, T.; Lu, Y.; Shi, J.; Yang, L. Effects of amendments on phosphorous status in soils with different phosphorous levels. Catena 2019, 172, 97–103. [Google Scholar] [CrossRef]
- Wang, Q.; Zhan, X.; Zhang, S.; Peng, C.; Gao, H.; Zhang, X.; Zhu, P.; Gilles, C. Phosphorus adsorption and desorption characteristics and its response to soil properties of black soil under long-term different fertilization. Sci. Agric. Sin. 2019, 52, 3866–3877. [Google Scholar] [CrossRef]
- Zhang, M.; Xiao, J.; Tang, L.; Zheng, Y. Effects of wheat and faba bean intercropping on the available phosphorus contents in rhizospheric soil and phosphorus uptake by crops under different phosphorus levels. J. Plant Nutr. Fertil. 2019, 25, 1157–1165. [Google Scholar] [CrossRef]
- MacDonald, G.K.; Bennett, E.M.; Potter, P.A.; Ramankutty, N. Agronomic phosphorus imbalances across the world’s croplands. Proc. Natl. Acad. Sci. USA 2011, 108, 3086–3091. [Google Scholar] [CrossRef] [PubMed]
- Qin, Y.; Tian, Y.; Fan, M.; Shi, X.; Jia, L.; Chen, Y.; Yu, J. Effect of different phosphorous fertilizer kinds on potato yield and phosphorus use efficiency in calcareous soil. China Veg. 2019, 363, 70–75. (In Chinese) [Google Scholar]
- Dong, J.; Jia, D. Several problems should be paid attention to in Xinjiang soil testing and formula fertilization. Xinjiang Agric. Sci. Technol. 2010, 51. [Google Scholar]
- Wang, S.; Xia, P. The use efficiency and slow-release rate of various P fertilizers with different application rates on calcareous soil. Chin. J. Soil Sci. 2008, 39, 1363–1368. [Google Scholar]
- Wang, Y.; Chen, X.; Shi, Y.; Lu, C. Review on the effects of low molecular weight organic acids on soil phosphorus activation and mechanisms. Chin. J. Ecol. 2018, 37, 2189–2198. [Google Scholar] [CrossRef]
- Hu, H.; Li, Y.; He, J. Interaction of Organic Acids and Phosphorus in Soils. Chin. J. Soil Sci. 2004, 35, 222–229. [Google Scholar]
- Li, C. Effects of Exogenous Organic Acids and Foliar Spraying on Phosphorus Uptake and Delveopment of Maize (Zea mays L.) Under P-Limiting Soil. Ph.D. Thesis, Northwest A&F University, Xianyang, China, 2011. [Google Scholar]
- Wang, Y. The Study on the Effects of Low Molecular Weight Acid Activating the Phosphorus Iron and Zinc in the Alkaline Soil. Ph.D. Thesis, Northwest A&F University, Xianyang, China, 2014. [Google Scholar]
- Zhang, J.; Wu, D. Effects of Biochar on Soil Fertilizer and Future Studies. Mod. Agric. Res. 2020, 26, 29–31. [Google Scholar]
- Liu, Z.; Lan, Y.; Yang, T.; Zhang, Y.; Meng, J. Effect of biochar application pattern on soil fertility and enzyme activity under limited fertilization conditions. J. Agric. Resour. Environ. 2020, 37, 544–551. [Google Scholar]
- He, X.; Zhang, S.; She, D.; Geng, Z.; Gao, H. Effects of Biochar on Soil and Fertilizer and Future Research. Chin. Agric. Sci. Bull. 2011, 27, 16–25. [Google Scholar]
- Zhan, Y.; Wang, Z.; Meng, Y. Biochar addition improves soil phosphorus availability. Chin. J. Appl. Ecol. 2020, 31, 1185–1193. [Google Scholar]
- Du, H.; Feng, J.; Guo, H.; Wang, F.; Zhang, K. Effects of irrigation using dairy effluent on grain yield, phosphorus utilization and distribution in soil profile in winter wheat-summer maize rotation system. J. Appl. Ecol. 2015, 26, 2379–2386. (In Chinese) [Google Scholar] [CrossRef]
- Guo, Y.; Liu, J.; Guo, J.; Liao, W.; Wu, J.; Xie, J. Effects of long-term application of phosphorus and organic fertilizer on phosphorus availability in vegetable soil. J. Hebei Agric. Univ. 2020, 43, 76–82. [Google Scholar] [CrossRef]
- Gao, S.; Yang, J.; Yao, R.; Cao, Y.; Zhu, H.; Sun, Y.; Wang, X.; Xie, W. Effects of different management on phosphorus fractions in coastal saline soil and phosphorus absorption and utilization by crops. Soils 2020, 52, 691–698. [Google Scholar] [CrossRef]
- Wang, X.; Hou, Y. Effects of organic matter addition on the characteristics of phosphate adsorption and forms of phosphorus in a calcareous soil. Acta Sci. Circumstantiae 2004, 440–443. [Google Scholar] [CrossRef]
- Lu, W.; Zhang, F.; Cao, Y.; Wang, J. Influence of low-molecular weight organic acids on kinetics of phosphorus adsorption by soils. Acta Pedol. Sin. 1999, 36, 189–197. [Google Scholar]
- Xu, G.; Sun, J.N.; Shao, H.B.; Chang, S.X. Biochar had effects on phosphorus sorption and desorption in three soils with differing acidity. Ecol. Eng. 2014, 62, 54–60. [Google Scholar] [CrossRef]
- Liu, J.; Liao, W.; Zhang, F.; Gao, Z. Variation and distribution of individual phosphorus pool in the soil profile of vegetable fields. J. Agric. Univ. Hebei 2004, 27, 6–11. (In Chinese) [Google Scholar]
- Yao, Y.; Zhang, Y.; Hu, W.; Gao, Y.; Qi, Y.; Zeng, X.; Wen, Q. Effects of phosphorus application on biomass accumulation, distribution rate and yield of sea island cotton. Chin. J. Soil Fertil. 2008, 5, 36–40. (In Chinese) [Google Scholar]
- Cui, S.; Zhang, Y.; Wang, J.; Yao, J. Effect of phosphorus placed in soil on root system morphology of cotton and p uptake. J. Plant Nutr. Fertil. 1997, 3, 249–254. [Google Scholar] [CrossRef]
- He, P.; Huang, X.; Wang, Y.; Shi, Z.; Huang, K. Effects of phosphate fertilization on soil fertility and plant morphology, grain yield and quality of Fagopyrum esculentum. J. Fujian Agric. 2019, 34, 1003–1008. [Google Scholar]
- Zhang, M.; Sheng, J.; Baidengsha, M.; Feng, G. Response of root morphology and phosphatase activity of cotton to phosphorus supply. J. Cotton Res. 2017, 29, 283–291. [Google Scholar] [CrossRef]
- Ha, S.; Tian, L. Understanding plant responses to phosphorus starvation for improvement of plant tolerance to phosphorus deficiency by biotechnological approaches. Crit. Rev. Biotechnol. 2013, 34, 16–30. [Google Scholar] [CrossRef] [PubMed]
- Niu, Y.F.; Chai, R.S.; Jin, G.L.; Wang, H.; Tang, C.X.; Zhang, Y.S. Responses of root architecture development to low phosphorus availability: A review. Ann. Bot. 2013, 112, 391–408. [Google Scholar] [CrossRef]
- Zhang, Z.; Liao, H.; Lucas, W.J. Molecular mechanisms underlying phosphate sensing, signaling, and adaptation in plants. Integr. Plant Biol. 2014, 56, 192–220. [Google Scholar] [CrossRef]
- Spolaor, L.T.; Guirado, G.C.; Scapim, C.A.; Kuki, M.C.; Bertagna, F.A.B.; Ferreira, J.M.; Zucareli, C.; Gonçalves, L.S.A. Brazilian maize landraces variability under high and low phosphorus inputs. Maydica 2018, 63, 23–27. [Google Scholar]
- Mahmudul, H.; Kee, Z. Nitrogen and phosphorus management for bambara groundnut (Vigna subterranea) production—A review. Legume Res. 2019, 41, 483–489. [Google Scholar]
- Xie, Y.; Li, A.; Yan, Z.; Niu, J.; Sun, F.; Yan, B.; Zhang, H. Effect of different phosphorus levels on phosphorus nutrient uptake, transformation and phosphorus utilization efficiency of oil flax. Acta Prataculturae Sin. 2014, 23, 158–166. [Google Scholar]
- Wang, D. The Impact of Biochar on the Growth and Nutrient Efficiency of Oil/Cotton Crops in Different Soils. Ph.D. Thesis, Huazhong Agricultural University, Wuhan, China, 2014. [Google Scholar]
- Liu, Y.; Li, Z.; Zou, B.; Sun, S.; Guo, J.; Sun, C. Research progress on the effects of biochar on crop growth and the synergistic mechanisms with chemical fertilizers. Acta Ecol. Sin. 2017, 28, 1030–1038. [Google Scholar] [CrossRef]
- Xu, Y.; Yang, Y.; Jiang, L.; Liu, Z.; Wang, M.; Shi, J.; Jin, H.; Gong, Z.; Li, H. Effects of different soil improvement measures on soybean yield and quality in saline-alkali soil. Shandong Agric. Sci. 2020, 52, 86–89. [Google Scholar] [CrossRef]
- Li, C.; Tian, X.; Cao, C. Effects of exogenous organic acids on phosphate uptake and growth of maize. Acta Bot. Boreali-Occident. Sin. 2011, 31, 1376–1383. [Google Scholar]
- Hao, Z.; Liu, H.; Li, C.; Xie, X.; Gao, Q. Effect of phosphorus application on phosphorus utilization of spring maize and soil phosphorus transformation. J. Jilin Agric. Univ. 2024, 46, 600–607. [Google Scholar] [CrossRef]
- Zhang, X.; Liu, S.; Wang, P. Effects of phosphorus application rate on phosphorus absorption, utilization and yield of cotton. Agric. Technol. Inf. 2019, 10, 36–41. [Google Scholar]
- Wang, S.; Yang, J.; Han, X.; Liu, X.; Zhan, X.; Liu, S. Effect of fertilizer application on photosynthetic traits of spring maize. Soil Fertil. Sci. China 2008, 23–27. [Google Scholar]
- Chen, X.; Xu, X.; Qu, H. Effect of Biochar Addition on the Phosphorus Absorption and Yield of Eggplant in Facility Vegetable Fields. J. Anhui Agric. Sci. 2020, 48, 149–151. [Google Scholar]
- Zhang, W.; Yang, P.; Duan, S.; Dou, Q.; Chen, X.; Zhang, J. Effects of plant spacing on canopy structure and yield of cotton under different capillary spacing. Xinjiang Agric. Sci. 2020, 57, 1385–1392. [Google Scholar]
- Yang, H.; Chen, Y.; Hou, X. Effects of biology humic acid on the component of soil carbon. Chin. Agric. Sci. Bull. 2015, 31, 137–141. [Google Scholar]
- Xu, X.; Zhang, M.; Zhai, B.; Li, S.-Q.; Li, S.-X. Dry matter and nitrogen accumulation and partition of different summer corn varieties at the later growth stage. Acta Bot. Boreali Occident. Sin. 2006, 26, 772–777. [Google Scholar]
- Ni, H.; Zhu, Y.; Liu, S.; Li, K.; Lu, Z.; Zhao, L. Effects of water retention agent and organic acid soil conditioner on saline-alkali soil improvement and wheat yield. Shandong Agric. Sci. 2020, 52, 121–125. [Google Scholar]


root,
stem,
leaf,
bell shell,
cotton wadding,
cottonseed.
root,
stem,
leaf,
bell shell,
cotton wadding,
cottonseed.

| Soil Type | pH | Soil Organic Matter (g/kg) | Available Nitrogen (mg/kg) | Available Phosphorus (mg/kg) | Available Potassium (mg/kg) |
|---|---|---|---|---|---|
| Loamy soil | 8.04 | 17.20 | 45.21 | 11.55 | 442.67 |
| Irrigation | Irrigation Time (Day Month Year) | Irrigation Amount/(m3/ha) |
|---|---|---|
| Emergence water | 10 May 2020 | 656.25 |
| 1 water | 5 July 2020 | 578.125 |
| 2 waters | 15 July 2020 | 273.43 |
| 3 waters | 25 July 2020 | 320.31 |
| 4 waters | 5 August 2020 | 554.68 |
| 5 waters | 15 August 2020 | 492.18 |
| 6 waters | 24 August 2020 | 359.375 |
| Total | 3234.35 |
| pH | Organic Matter (g/kg) | Total Nitrogen (g/kg) | Total Phosphorus (g/kg) | Total Potassium (g/kg) |
|---|---|---|---|---|
| 8.6 | 300 | 1.33 | 0.37 | 275 |
| Treatment | Number of Bells Per Plant/(Individual/Strain) | Single Bell Weight/(g/Bell) | Density/(104 Plants/ha) | Cottonseed Yield/(kg/ha) |
|---|---|---|---|---|
| MAP0 + CK | 5.00 ± 0.07 a | 5.27 ± 0.22 a | 12.75 ± 0.56 a | 3736.09 ± 269.13 a |
| MAP0 + OA | 6.00 ± 0.07 bc | 5.36 ± 0.17 ab | 12.55 ± 0.43 a | 3900.92 ± 380.61 ab |
| MAP0 + BC | 5.94 ± 0.07 de | 5.63 ± 0.20 abc | 13.00 ± 0.56 a | 4542.02 ± 380.61 abc |
| MAP50 + CK | 6.00 ± 0.07 de | 5.59 ± 0.20 abc | 13.50 ± 0.46 ab | 4596.11 ± 310.76 abc |
| MAP50 + OA | 5.84 ± 0.07 d | 5.83 ± 0.17 bcd | 13.84 ± 0.43 abc | 4962.48 ± 380.61 bc |
| MAP50 + BC | 6.29 ± 0.07 f | 5.66 ± 0.22 abc | 15.00 ± 0.56 c | 5066.78 ± 380.61 bc |
| MAP100 + CK | 5.95 ± 0.07 de | 5.96 ± 0.20 cd | 13.00 ± 0.49 a | 4248.18 ± 310.76 abc |
| MAP100 + OA | 6.13 ± 0.07 ef | 5.97 ± 0.17 cd | 14.86 ± 0.43 c | 5194.85 ± 380.61 c |
| MAP100 + BC | 6.00 ± 0.07 de | 6.02 ± 0.22 cd | 13.33 ± 0.49 a | 5210.17 ± 380.61 c |
| MAP150 + CK | 5.39 ± 0.07 b | 6.24 ± 0.20 d | 14.33 ± 0.49 bc | 4744.30 ± 380.61 abc |
| MAP150 + OA | 6.02 ± 0.07 de | 5.93 ± 0.17 cd | 13.38 ± 0.43 ab | 4583.73 ± 380.61 abc |
| MAP150 + BC | 5.79 ± 0.07 cd | 6.19 ± 0.22 d | 13.00 ± 0.46 a | 4681.84 ± 269.13 abc |
| Treatments | Phosphorus Fertilizer Utilization (%) | Cumulative Utilization of Phosphate Fertilizer (%) | Phosphorus Fertilizer Agronomy (kg/kg) | Phosphorus Fertilizer Productivity (kg/kg) |
|---|---|---|---|---|
| MAP0 + CK | - | - | - | - |
| MAP0 + OA | - | - | - | - |
| MAP0 + BC | 25.53 | 597.17 | 17.01 | 242.11 |
| MAP50 + CK | 19.16 | 233.64 | 9.77 | 91.92 |
| MAP50 + OA | 29.17 | 258.63 | 17.78 | 94.96 |
| MAP50 + BC | 29.26 | 190.00 | 13.95 | 73.69 |
| MAP100 + CK | 32.97 | 140.21 | 1.40 | 42.48 |
| MAP100 + OA | 33.01 | 138.85 | 13.36 | 51.95 |
| MAP100 + BC | 33.22 | 120.36 | 6.25 | 40.84 |
| MAP150 + CK | 17.35 | 88.85 | 4.24 | 31.63 |
| MAP150 + OA | 21.14 | 87.63 | 4.83 | 30.56 |
| MAP150 + BC | 16.99 | 83.37 | 3.95 | 28.29 |
| Treatment | P Input/(kg P2O5/ha) | P Output/(kg P2O5/ha) | P Surplus/(kg P2O5/ha) | ||||
|---|---|---|---|---|---|---|---|
| P Fertilizer | Biochar | Total | Fiber | Seed | Total | ||
| MAP0 + CK | 0 | 1.17 | 3.25 | 78.64 | 81.86 | −80.69 | |
| MAP0 + OA | 0 | 1.17 | 3.27 | 80.39 | 83.66 | −82.49 | |
| MAP0 + BC | 0 | 18.76 | 19.93 | 3.31 | 80.39 | 83.70 | −63.77 |
| MAP50 + CK | 50 | 51.17 | 3.22 | 61.00 | 64.22 | −13.05 | |
| MAP50 + OA | 50 | 51.17 | 4.62 | 88.73 | 93.35 | −42.18 | |
| MAP50 + BC | 50 | 18.76 | 69.93 | 3.37 | 86.88 | 90.25 | −20.32 |
| MAP100 + CK | 100 | 101.17 | 2.89 | 79.25 | 82.14 | 19.03 | |
| MAP100 + OA | 100 | 101.17 | 4.28 | 105.21 | 109.49 | −8.32 | |
| MAP100 + BC | 100 | 18.76 | 119.93 | 4.07 | 101.1 | 105.17 | 14.76 |
| MAP150 + CK | 150 | 151.17 | 3.31 | 93.98 | 97.29 | 53.88 | |
| MAP150 + OA | 150 | 151.17 | 2.81 | 88.73 | 91.54 | 59.63 | |
| MAP150 + BC | 150 | 18.76 | 169.93 | 4.03 | 92.52 | 96.55 | 73.38 |
Disclaimer/Publisher’s Note: The statements, opinions and data contained in all publications are solely those of the individual author(s) and contributor(s) and not of MDPI and/or the editor(s). MDPI and/or the editor(s) disclaim responsibility for any injury to people or property resulting from any ideas, methods, instructions or products referred to in the content. |
© 2024 by the authors. Licensee MDPI, Basel, Switzerland. This article is an open access article distributed under the terms and conditions of the Creative Commons Attribution (CC BY) license (https://creativecommons.org/licenses/by/4.0/).
Share and Cite
Zhang, N.; Li, J. Effects of Biochar and Organic Acid Addition on Phosphorus State and Yield of Cotton Field Under Different Phosphate Fertilizer Application Rates. Sustainability 2024, 16, 10100. https://doi.org/10.3390/su162210100
Zhang N, Li J. Effects of Biochar and Organic Acid Addition on Phosphorus State and Yield of Cotton Field Under Different Phosphate Fertilizer Application Rates. Sustainability. 2024; 16(22):10100. https://doi.org/10.3390/su162210100
Chicago/Turabian StyleZhang, Nan, and Jun Li. 2024. "Effects of Biochar and Organic Acid Addition on Phosphorus State and Yield of Cotton Field Under Different Phosphate Fertilizer Application Rates" Sustainability 16, no. 22: 10100. https://doi.org/10.3390/su162210100
APA StyleZhang, N., & Li, J. (2024). Effects of Biochar and Organic Acid Addition on Phosphorus State and Yield of Cotton Field Under Different Phosphate Fertilizer Application Rates. Sustainability, 16(22), 10100. https://doi.org/10.3390/su162210100
