Application of Hydrochemical Parameters as Tool for Sustainable Management of Water Supply Network
Abstract
1. Introduction
2. Materials and Methods
2.1. Study Area
2.2. Water Sampling
2.3. Water Analyses
2.4. Modeling
3. Results and Discussion
3.1. Geochemical and Isotopic Characteristics of Groundwater Sources
3.1.1. Bartolovec Wellfield
3.1.2. Vinokovščak
3.1.3. Bela
3.2. Geochemical and Isotopic Characteristics of Water from Water Supply Network—Reservoirs, Public Taps and Hydrants
3.2.1. Reservoirs
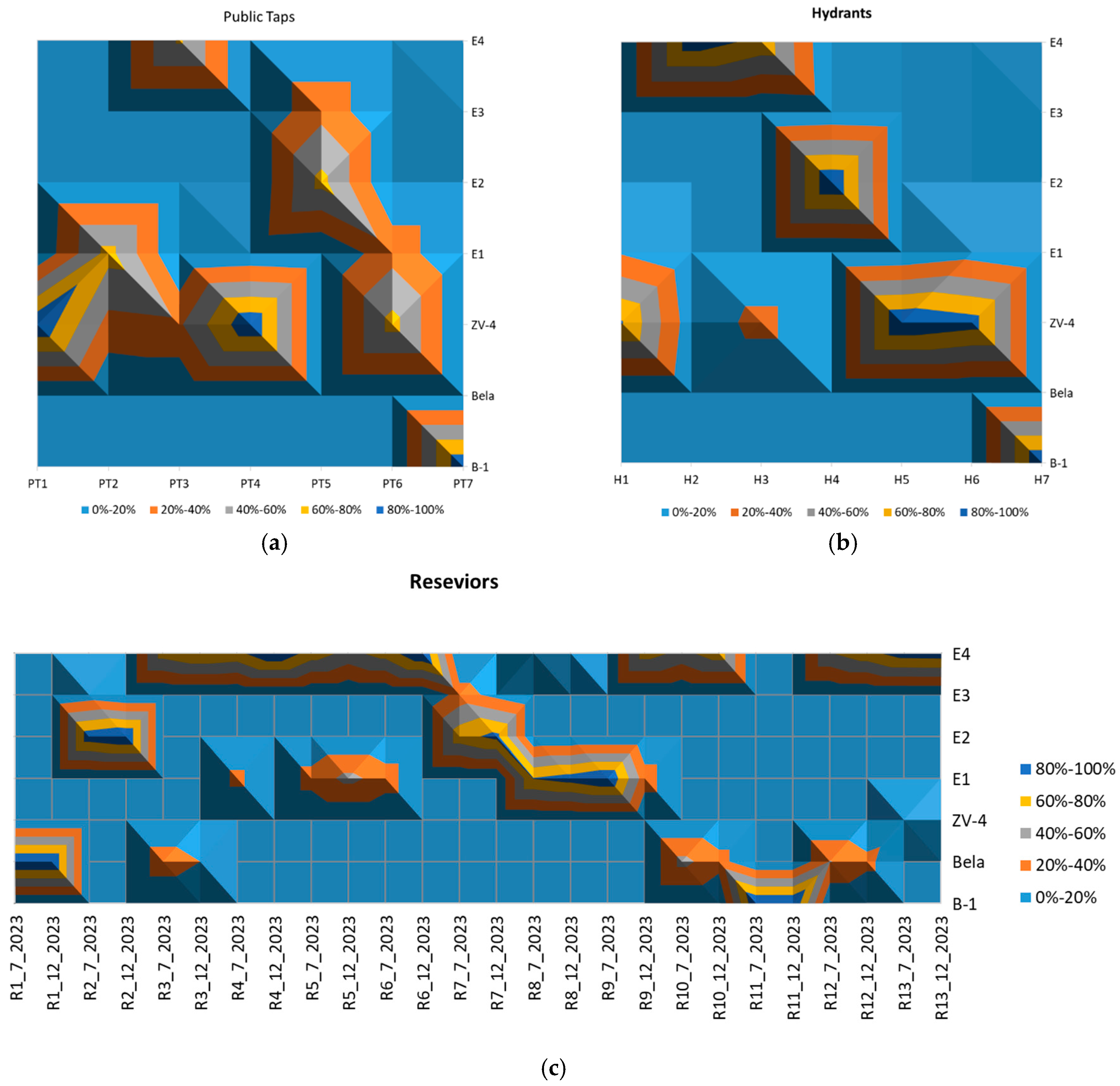
3.2.2. Public Taps and Hydrants
3.3. Origin of Water in the Water Supply Network
3.3.1. Origin of Water at Exits at the Bartolovec Wellfield
3.3.2. Reservoirs, Public Taps and Hydrants
4. Conclusions
Supplementary Materials
Author Contributions
Funding
Institutional Review Board Statement
Informed Consent Statement
Data Availability Statement
Acknowledgments
Conflicts of Interest
References
- WHO Fact Sheets, Drinking Water. Available online: https://www.who.int/news-room/fact-sheets/detail/drinking-water (accessed on 15 February 2023).
- Gleick, P.H. Global freshwater resources: Soft-path solutions for the 21st century. Science 2003, 302, 1524–1528. [Google Scholar] [CrossRef] [PubMed]
- Tipple, B.J.; Jameel, Y.; Chau, T.H.; Mancuso, C.J.; Bowen, G.J.; Dufour, A.; Chesson, L.A.; Ehleringer, J.R. Stable hydrogen and oxygen isotopes of tap water reveal structure of the San Francisco Bay Area’s water system and adjustments during a major drought. Water Res. 2017, 119, 212–224. [Google Scholar] [CrossRef] [PubMed]
- Directive (EU) 2020/2184 on the Quality of Water Intended for Human Consumption. Available online: https://www.fao.org/faolex/results/details/en/c/LEX-FAOC201243/ (accessed on 29 June 2024).
- Puust, R.; Kapelan, Z.; Savic, D.A.; Koppel, T. A review of methods for leakage management in pipe networks. Urban Water J. 2013, 7, 25–45. [Google Scholar] [CrossRef]
- Mutikanga, H.E.; Sharma, S.K.; Vairavamoorthy, K. Methods and tools for managing losses in water distribution systems. J. Water Resour. Plan. Manag. 2013, 139, 166–174. [Google Scholar] [CrossRef]
- Waldrip, S.H.; Niven, R.K.; Abel, M.; Schlegel, M. Maximum Entropy Analysis of Hydraulic Pipe Flow Networks. J. Hydraul. Eng. 2016, 142, 04016028. [Google Scholar] [CrossRef]
- Froehlich, K.; Gibson, J.J.; Aggarwal, P.K. Deuterium Excess in Precipitation and Its Climatological Significance. No. IAEA-CSP--13/P. 2002. Available online: https://inis.iaea.org/search/search.aspx?orig_q=RN:34017972 (accessed on 29 June 2024).
- Dotsika, E.; Lykoudis, S.; Poutoukis, D. Spatial distribution of the isotopic composition of precipitation and spring water in Greece. Global Planet Chang. 2010, 71, 141–149. [Google Scholar] [CrossRef]
- Gross, E.; Andrews, S.; Bergamaschi, B.; Downing, B.; Holleman, R.; Burdick, S.; Durand, D. The Use of Stable Isotope-Based Water Age to Evaluate a Hydrodynamic Model. Water 2019, 11, 2207. [Google Scholar] [CrossRef]
- Marković, T.; Karlović, I.; Perčec Tadić, M.; Larva, O. Application of Stable Water Isotopes to Improve Conceptual Model of Alluvial Aquifer in the Varaždin Area. Water 2020, 12, 379. [Google Scholar] [CrossRef]
- Vreča, P.; Kern, Z. Use of water isotopes in hydrological processes. Water 2020, 12, 2227. [Google Scholar] [CrossRef]
- Jameel, Y.; Brewer, S.; Good, S.P.; Tipple, B.J.; Ehleringer, J.R.; Bowen, G.J. Tap water isotope ratios reflect urban water system structure and dynamics across a semiarid metropolitan area. Water Resour. Res. 2016, 52, 5891–5910. [Google Scholar] [CrossRef]
- Yusuf, J.; Simon, B.; Richard, P.F.; Brett, J.T.; Shazelle, T.; Gabriel, J.B. Isotopic reconnaissance of urban WSS dynamics. Hydrol. Earth Syst. Sci. 2018, 22, 6109–6125. [Google Scholar] [CrossRef]
- Grimmeisen, F.; Lehmann, M.F.; Liesch, T.; Goeppert, N.; Klinger, J.; Zopfi, J.; Goldscheider, N. Isotopic constraints on water source mixing, network leakage and contamination in an urban groundwater system. Sci. Total Environ. 2017, 583, 202–213. [Google Scholar] [CrossRef] [PubMed]
- Nagode, K.; Kanduč, T.; Zuliani, T.; Bračič Železnik, B.; Jamnik, B.; Vreča, P. Daily Fluctuations in the Isotope and Elemental Composition of Tap Water in Ljubljana, Slovenia. Water 2021, 13, 1451. [Google Scholar] [CrossRef]
- Kurajica, L.; Ujević Bošnjak, M.; Kinsela, A.S.; Štiglić, J.; Waite, T.D.; Capak, K.; Pavlić, Z. Effects of changing supply water quality on drinking water distribution networks: Changes in NOM optical properties, disinfection byproduct formation, and Mn deposition and release. Sci. Total Environ. 2021, 762, 144159. [Google Scholar] [CrossRef] [PubMed]
- Kurajica, L.; Ujević Bošnjak, M.; Kinsela, A.S.; Bieroza, M.; Štiglić, J.; Waite, T.D.; Capak, K.; Romić, Ž. Mixing of arsenic-rich groundwater and surface water in drinking water distribution systems: Implications for contaminants, disinfection byproducts and organic component. Chemosphere 2022, 292, 133406. [Google Scholar] [CrossRef] [PubMed]
- Horvatinčić, N.; Kapelj, S.; Sironić, A.; Krajcar Bronić, I.; Kapelj, J.; Marković, T. Investigation of water resources and water protection in the karst area of Croatia using isotopic geochemical analyses. In Proceedings of the Advances in Isotope Hydrology and its Role in Sustainable Water Resources Management, Book of Abstracts IAEA-CN-151, Wiena, Austria, 21–25 May 2007; Volume 2, pp. 295–304. [Google Scholar]
- Buškulić, P.; Parlov, J.; Kovač, Z.; Brenko, T.; Pejić, M. Determination of Nitrate Migration and Distribution through Eutric Cambisols in an Area without Anthropogenic Sources of Nitrate (Velika Gorica Well Field, Croatia). Sustainability 2023, 15, 16529. [Google Scholar] [CrossRef]
- Cukrov, N.; Tepić, N.; Omanović, D.; Lojen, S.; Bura-Nakić, E.; Vojvodić, V.; Pižeta, I. Qualitative interpretation of physico-chemical and isotopic parameters in the Krka River (Croatia) assessed by multivariate statistical analysis. JIEC 2012, 92, 1187–1199. [Google Scholar] [CrossRef]
- Ozyurt, N.N.; Lutz, H.O.; Hunjak, T.; Mance, D.; Roller-Lutz, Z. Characterization of the Gacka River basin karst aquifer (Croatia): Hydrochemistry, stable isotopes and tritium-based mean residence times. Sci. Total Environ. 2014, 487, 245–254. [Google Scholar] [CrossRef] [PubMed]
- Mance, D.; Radišić, M.; Lenac, D.; Rubinić, J. Hydrological Behavior of Karst Systems Identified by Statistical Analyses of Stable Isotope Monitoring Results. Hydrology 2022, 9, 82. [Google Scholar] [CrossRef]
- Parlov, J.; Kovač, Z.; Barešić, J. The study of the interactions between Sava River and Zagreb aquifer system (Croatia) using water stable isotopes. In Proceedings of the E3S Web of Conferences, Tomsk, Russia, 21–26 July 2019; Volume 98, p. 12017. [Google Scholar]
- Krajcar Bronić, I.; Barešić, J.; Sironić, A.; Lovrenčić Mikelić, I.; Borković, D.; Horvatinčić, N.; Kovač, Z. Isotope Composition of Precipitation, Groundwater, and Surface and Lake Waters from the Plitvice Lakes, Croatia. Water 2020, 12, 2414. [Google Scholar] [CrossRef]
- Mance, D.; Lenac, D.; Rubinić, J. Isotope studies of karst springs included in the water supply system of the City of Rijeka (Croatia). Southeast. Eur. Med. J. 2017, 1, 46–54. [Google Scholar]
- Urumović, K.; Hlevnjak, B.; Prelogović, E.; Mayer, D. Hydrogeological conditions of Varaždin aquifer. Geol. Vjesn. 1990, 43, 149–158. [Google Scholar]
- Crnogaj, S.; Mraz, V.; Kruk, B.; Jurić, A. Study on the reserve technical building stone dolomite in mine “Belski Dol Gornji” near Podrute; Croatian Geological Survey: Zagreb, Croatia, 1997. (In Croatian) [Google Scholar]
- Mandel, S.; Shiftan, Z.L. Groundwater Resources Investigation and Development; Academic Press: New York, NY, USA, 1981. [Google Scholar]
- Domenico, P.A.; Schwartz, F.W. Physical and Chemical Hydrogeology; John Willey and Sons: New York, NY, USA, 1990. [Google Scholar]
- Picarro Technology. Cavity Ring down Spectroscopy. Available online: http://www.picarro.com/technology/cavity_ring_down_spectroscopy (accessed on 24 September 2023).
- Clark, I.D.; Fritz, P. Environmental Isotopes in Hydrogeology; CRC Press: Boca Raton, FL, USA, 2013. [Google Scholar]
- Craig, H. Isotopic Variations in Meteoric Waters. Science 1961, 133, 1702–1703. [Google Scholar] [CrossRef] [PubMed]
- Vázquez-Suñé, E.; Carrera, J.; Tubau, I.; Sánchez-Vila, X.; Soler, A. An approach to identify urban groundwater recharge. Hydrol. Earth Syst. Sci. 2010, 14, 2085–2097. [Google Scholar] [CrossRef]
- Eberts, S.M.; Thomas, M.A.; Jagucki, M.L. Factors Affecting Public-Supply Well Vulnerability to Contamination: Understanding Observed Water Quality and Anticipating Future Water Quality; US Department of the Interior: Washington, DC, USA; US Geological Survey: Reston, VA, USA, 2013; 132p.
- Hepburn, E.; Cendón, D.I.; Bekele, D.; Currell, M. Environmental isotopes as indicators of groundwater recharge, residence times and salinity in a coastal urban redevelopment precinct in Australia. Hydrogeol. J. 2020, 28, 503–520. [Google Scholar] [CrossRef]
- Parkhurst, D.L.; Appelo, C.A.J. Description of Input and Examples for PHREEQC Version 3—A Computer Program for Speciation, Batch-Reaction, One-Dimensional Transport, and Inverse Geochemical Calculations; U.S. Geological Survey Techniques and Methods, Book 6; USGS: Denver, CO, USA, 2013; Chapter A43; p. 497. Available online: https://pubs.usgs.gov/tm/06/a43/ (accessed on 23 September 2023).
- Plummer, L.N.; Prestemon, E.C.; Parkhurst, D.L. NETPATH: An Interactive Code (NETPATH) for Modelling NET Geochemical Reactions along a Flow PATH, Version 2.0; Water-Resources Investigations Report 94-4169; USGS: Reston, VA, USA, 1994.
- El-Kadi, A.I.; Plummer, L.N.; Aggarwal, P. NETPATH-WIN: An interactive user version of the mass-balance model, NETPATH. Ground Water 2010, 49, 593–599. [Google Scholar] [CrossRef]
- Kovač, I.; Kovačev-Marinčić, B.; Novotni-Horčička, N.; Mesec, J.; Vugrinec, J. Komparativna analiza koncentracije nitrata u gornjem i donjem sloju Varaždinskog vodonosnika. Radovi Zavoda za znanstveni rad Varaždin 2017, 28, 41–57. (In Croatian) [Google Scholar] [CrossRef]
- Karlović, I.; Marković, T.; Šparica Miko, M.; Maldini, K. Geochemical Characteristics of Alluvial Aquifer in the Varaždin Region. Water 2021, 13, 1508. [Google Scholar] [CrossRef]
- Babić, Ž.; Čakarun, I.; Sokač, A.; Mraz, V. On geological features of quaternary sediments of Drava basin on Croatian territory. Geol Vjesn 1978, 30, 43–61. [Google Scholar]
- Urumović, K. On quaternary aquifer complex in Varaždin area. Geol. Vjesn. 1971, 24, 183–191. [Google Scholar]
- Marković, T.; Larva, O. Hydrogeological characterization of carbonate aquifer system in the northwestern part of Croatia, Abstracts Book. In Proceedings of the IAH 40th International Congress, Perth, Australia, 15 September–20 September 2013; p. 179. [Google Scholar]
- Zaninović, K.; Gajić-Čapka, M.; Perčec Tadić, M.; Vučetić, M.; Milković, J.; Bajić, A.; Cindrić, K.; Cvitan, L.; Katušin, Z.; Kaučić, D.; et al. Klimatski atlas Hrvatske/Climate atlas of Croatia 1961–1990, 1971–2000; Meteorological and Hydrological Service of Croatia: Zagreb, Croatia, 2008; p. 200.











| Mark on Map (Figure 1) | Code | Description | Longitude (E) (HTRS96/TM) | Latitude (N) (HTRS96/TM) | Elevation (m a.s.l.) | Well Depth (m) | Filter (m) |
|---|---|---|---|---|---|---|---|
| 1 | H1 | Hydrant AGM | 487,061 | 5,130,938 | 172.24 | ||
| 2 | H2 | Hydrant Perivoj M.Culeja | 486,712 | 5,129,729 | 171.72 | ||
| 3 | H3 | Hydrant, S. Vukovića | 487,617 | 5,128,649 | 170.00 | ||
| 4 | H4 | Hydrant Drava | 488,490 | 5,131,493 | 170.50 | ||
| 5 | H5 | Hydrant Sračinec | 483,780 | 5,131,782 | 175.12 | ||
| 6 | H6 | Hydrant Ludbreg | 509,239 | 5,123,187 | 153.50 | ||
| 7 | H7 | Hydrant Varaždinske Toplice | 494,099 | 5,118,929 | 189.72 | ||
| 8 | PT1 | Public tap AGM | 487,061 | 5,130,938 | 172.24 | ||
| 9 | PT2 | Public tap Perivoj M.Culeja | 486,712 | 5,129,729 | 171.72 | ||
| 10 | PT3 | Public tap S. Vukovića | 487,609 | 5,128,958 | 171.54 | ||
| 11 | PT4 | Public tap Drava | 488,490 | 5,131,493 | 170.50 | ||
| 12 | PT5 | Public tap Sračinec | 483,780 | 5,131,782 | 153.50 | ||
| 13 | PT6 | Public tap Ludbreg | 509,239 | 5,123,187 | 175.12 | ||
| 14 | PT7 | Public tap Varaždinske Toplice | 494,156 | 5,118,958 | 192.23 | ||
| 15 | R1 | Reservoir Briška | 483,631 | 5,121,191 | 331.48 | ||
| 16 | R2 | Reservoir Bolfan | 513,429 | 5,118,567 | 258.52 | ||
| 17 | R3 | Reservoir Breznički Hum | 483,103 | 5,107,850 | 240.00 | ||
| 18 | R4 | Reservoir Doljan | 487,150 | 5,122,584 | 223.13 | ||
| 19 | R5 | Reservoir Donja Voća | 470,694 | 5,130,305 | 275.30 | ||
| 20 | R6 | Reservoir Lepoglava | 465,054 | 5,119,159 | 285.98 | ||
| 21 | R7 | Reservoir Ludbreg | 508,931 | 5,122,285 | 207.58 | ||
| 22 | R8 | Reservoir Lužan | 489,003 | 5,119,909 | 305.41 | ||
| 23 | R9 | Reservoir Pintarići | 465,842 | 5,128,636 | 432.18 | ||
| 24 | R10 | Reservoir Šćepanje | 482,649 | 5,109,059 | 336.34 | ||
| 25 | R11 | Reservoir Tonimir | 492,999 | 5,120,354 | 258.81 | ||
| 26 | R12 | Reservoir Topličica | 483,721 | 5,114,068 | 358.96 | ||
| 27 | R13 | Reservoir Vinica | 472,327 | 5,132,738 | 259.86 | ||
| 28 | B1 | Well B-1, Bartolovec well field (BWF), SA | 494,829 | 5,127,376 | 161.56 | 32 | 15–25 |
| 29 | Zd-4 | Well Zd-4, BWF, DA | 494,858 | 5,127,550 | 162.50 | 105 | 62–102 |
| 30 | Zp-7 | Well Zp-7, BWF, SA | 495,036 | 5,127,384 | 161.35 | 45 | 15–42 |
| 31 | Zp-9 | Well Zp-9, BWF, SA | 494,671 | 5,127,620 | 162.14 | 45 | 15–42 |
| 32 | E1 | Exit Varaždin, BWF | 494,880 | 5,127,604 | 162.13 | ||
| 33 | E2 | Exit Ludbreg, BWF | 494,880 | 5,127,604 | 162.13 | ||
| 34 | E3 | Exit Novakovec, BWF | 494,978 | 5,127,382 | 162.13 | ||
| 35 | E4 | Exit Doljan, BWF | 494,832 | 5,127,378 | 162.13 | ||
| 36 | ZV4 | Well ZV4, Vinokovščak well field | 485,842 | 5,133,689 | 174.80 | 45 | 10–40 |
| 37 | Bela | Bela spring | 480,891 | 5,117,696 | 218.54 |
| exit Doljan | MB model 1 | MB model 2 | MB model 3 | FM model | IM model | Measured | Calculated MB1 | Calculated MB2 | Calculated MB3 | Calculated FM | Calculated IM | Calculated MB 1 | Calculated MB 2 | Calculated MB 3 | Calculated FM | Calculated IM | |||||
| DA | SA | DA | SA | DA | SA | DA | SA | DA | SA | SO42− (mg/L) | SO42− (mg/L) | SO42− (mg/L) | SO42− (mg/L) | SO42− (mg/L) | SO42− (mg/L) | deviation | deviation | deviation | deviation | deviation | |
| Dec-21 | 78% | 22% | 71% | 29% | 73% | 27% | 71% | 29% | 72% | 28% | 12.4 | 11.6 | 13.3 | 12.8 | 13.3 | 13.0 | 0.17 | 1.04 | 0.52 | 1.05 | 0.70 |
| Jan-22 | 80% | 20% | 76% | 24% | 69% | 31% | 76% | 24% | 77% | 23% | 15.2 | 14.4 | 15.5 | 17.3 | 15.5 | 15.2 | 0.16 | 0.35 | 2.55 | 0.38 | 0.06 |
| Feb-22 | 77% | 23% | 73% | 27% | 70% | 30% | 73% | 27% | 74% | 26% | 16.2 | 15.6 | 16.7 | 17.4 | 16.7 | 16.4 | 0.13 | 0.61 | 1.45 | 0.63 | 0.28 |
| Mar-22 | 77% | 23% | 75% | 25% | 74% | 26% | 75% | 25% | 75% | 25% | 13.1 | 13.1 | 13.6 | 14.0 | 13.6 | 13.7 | 0.00 | 0.63 | 1.04 | 0.61 | 0.73 |
| Apr-22 | 78% | 22% | 76% | 24% | 79% | 21% | 76% | 24% | 76% | 24% | 13.5 | 13.1 | 13.7 | 12.9 | 13.7 | 13.7 | 0.08 | 0.30 | 0.13 | 0.30 | 0.20 |
| May-22 | 67% | 33% | 58% | 42% | 85% | 15% | 58% | 42% | 59% | 41% | 15.7 | 12.8 | 14.6 | 9.1 | 14.6 | 14.4 | 0.61 | 0.23 | 1.36 | 0.24 | 0.28 |
| Jun-22 | 70% | 30% | 59% | 41% | 85% | 15% | 59% | 41% | 61% | 39% | 16.0 | 12.7 | 14.8 | 9.7 | 14.8 | 14.5 | 0.69 | 0.25 | 1.31 | 0.25 | 0.32 |
| Jul-22 | 69% | 31% | 60% | 40% | 79% | 21% | 60% | 40% | 60% | 40% | 16.9 | 13.9 | 16.1 | 11.7 | 16.2 | 16.2 | 0.61 | 0.16 | 1.07 | 0.15 | 0.14 |
| Aug-22 | 80% | 20% | 67% | 33% | 79% | 21% | 69% | 31% | 71% | 29% | 14.1 | 11.2 | 14.4 | 11.5 | 13.9 | 13.5 | 0.60 | 0.36 | 0.55 | 0.04 | 0.13 |
| Sep-22 | 79% | 21% | 67% | 33% | 78% | 22% | 70% | 30% | 71% | 29% | 14.0 | 11.7 | 14.7 | 12.0 | 13.9 | 13.7 | 0.47 | 0.84 | 0.41 | 0.03 | 0.07 |
| Oct-22 | 64% | 36% | 61% | 39% | 74% | 26% | 55% | 45% | 58% | 42% | 17.5 | 15.0 | 15.7 | 12.6 | 17.2 | 16.5 | 0.51 | 0.37 | 1.02 | 0.07 | 0.20 |
| Nov-22 | 65% | 35% | 59% | 41% | 75% | 25% | 56% | 44% | 59% | 41% | 16.5 | 14.5 | 15.8 | 12.1 | 16.6 | 15.9 | 0.42 | 0.14 | 0.92 | 0.13 | 0.11 |
| Dec-22 | 75% | 25% | 62% | 38% | 62% | 38% | 64% | 36% | 65% | 35% | 14.7 | 12.2 | 15.5 | 15.3 | 15.0 | 14.7 | 0.51 | 0.93 | 0.77 | 0.37 | 0.01 |
| std | 0.74 | 0.30 | 0.61 | 0.29 | 0.23 | ||||||||||||||||
| exit Ludbreg | MB model 1 | MB model 2 | MB model 3 | FM model | IM model | Measured | Calculated MB1 | Calculated MB2 | Calculated MB3 | Calculated FM | Calculated IM | Calculated MB 1 | Calculated MB 2 | Calculated MB 3 | Calculated FM | Calculated IM | |||||
| DA | SA | DA | SA | DA | SA | DA | SA | DA | SA | SO42− (mg/L) | SO42− (mg/L) | SO42− (mg/L) | SO42− (mg/L) | SO42− (mg/L) | SO42− (mg/L) | deviation | deviation | deviation | deviation | deviation | |
| Dec-21 | 99% | 1% | 93% | 7% | 99% | 1% | 93% | 7% | 99% | 1% | 7.2 | 6.3 | 7.8 | 6.4 | 7.8 | 6.4 | 0.18 | 0.75 | 0.17 | 0.75 | 0.16 |
| Jan-22 | 100% | 0% | 99% | 1% | 98% | 2% | 99% | 1% | 98% | 2% | 9.1 | 9.2 | 9.5 | 9.8 | 9.4 | 9.8 | 0.11 | 0.38 | 0.76 | 0.36 | 0.74 |
| Feb-22 | 100% | 0% | 97% | 3% | 99% | 1% | 97% | 3% | 99% | 1% | 9.6 | 9.6 | 10.4 | 9.9 | 10.4 | 9.9 | 0.02 | 0.93 | 0.29 | 0.94 | 0.34 |
| Mar-22 | 99% | 1% | 98% | 2% | 105% | −5% | 98% | 2% | 100% | 0% | 7.1 | 7.5 | 7.6 | 6.0 | 7.6 | 7.2 | 0.46 | 0.62 | 0.23 | 0.61 | 0.11 |
| Apr-22 | 100% | 0% | 98% | 2% | 100% | 0% | 98% | 2% | 100% | 0% | 7.2 | 7.3 | 7.7 | 7.2 | 7.7 | 7.3 | 0.10 | 0.58 | 0.01 | 0.61 | 0.10 |
| May-22 | 100% | 0% | 99% | 1% | 100% | 0% | 100% | 1% | 100% | 0% | 5.4 | 6.0 | 6.1 | 5.9 | 6.1 | 6.0 | 0.71 | 0.86 | 0.60 | 0.84 | 0.71 |
| Jun-22 | 71% | 29% | 98% | 2% | 100% | 0% | 98% | 2% | 100% | 0% | 5.3 | 12.4 | 6.9 | 6.5 | 7.0 | 6.5 | 8.52 | 1.98 | 1.40 | 2.01 | 1.47 |
| Jul-22 | 71% | 29% | 100% | 0% | 100% | 0% | 100% | 0% | 100% | 0% | 6.7 | 13.7 | 6.5 | 6.4 | 6.5 | 6.5 | 8.45 | 0.03 | 0.06 | 0.03 | 0.04 |
| Aug-22 | 100% | 0% | 100% | 0% | 99% | 1% | 100% | 0% | 99% | 1% | 6.7 | 6.5 | 6.5 | 6.6 | 6.5 | 6.7 | 0.04 | 0.04 | 0.01 | 0.04 | 0.05 |
| Sep-22 | 100% | 0% | 99% | 1% | 99% | 1% | 99% | 1% | 99% | 1% | 6.3 | 6.8 | 7.1 | 7.0 | 7.1 | 7.0 | 0.60 | 0.98 | 0.79 | 0.94 | 0.89 |
| Oct-22 | 100% | 0% | 95% | 5% | 99% | 1% | 94% | 6% | 97% | 3% | 6.5 | 6.2 | 7.4 | 6.5 | 7.6 | 6.9 | 0.06 | 1.11 | 0.04 | 1.34 | 0.53 |
| Nov-22 | 100% | 0% | 97% | 3% | 100% | 0% | 97% | 3% | 100% | 0% | 5.0 | 5.9 | 6.6 | 5.9 | 6.6 | 5.9 | 1.09 | 1.91 | 1.09 | 1.97 | 1.09 |
| Dec-22 | 100% | 0% | 99% | 1% | 92% | 8% | 99% | 1% | 94% | 6% | 6.3 | 6.2 | 6.5 | 8.2 | 6.5 | 7.7 | 0.02 | 0.26 | 2.33 | 0.24 | 1.63 |
| std | 3.09 | 0.46 | 0.69 | 0.44 | 0.50 | ||||||||||||||||
| exit Varaždin | MB model 1 | MB model 2 | MB model 3 | FM model | IM model | Measured | Calculated MB1 | Calculated MB2 | Calculated MB3 | Calculated FM | Calculated IM | Calculated MB 1 | Calculated MB 2 | Calculated MB 3 | Calculated FM | Calculated IM | |||||
| DA | SA | DA | SA | DA | SA | DA | SA | DA | SA | SO42− (mg/L) | SO42− (mg/L) | SO42− (mg/L) | SO42− (mg/L) | SO42− (mg/L) | SO42− (mg/L) | deviation | deviation | deviation | deviation | deviation | |
| Dec-21 | 100% | 0% | 100% | 0% | 71% | 29% | 99% | 1% | 99% | 1% | 8.2 | 6.2 | 6.1 | 13.3 | 6.4 | 6.4 | 0.41 | 0.44 | 6.19 | 0.36 | 0.36 |
| Jan-22 | 100% | 0% | 94% | 6% | 70% | 30% | 94% | 6% | 95% | 5% | 10.7 | 9.2 | 10.8 | 17.2 | 10.8 | 10.5 | 0.30 | 0.11 | 7.79 | 0.09 | 0.03 |
| Feb-22 | 100% | 0% | 93% | 7% | 62% | 38% | 93% | 7% | 93% | 7% | 10.7 | 9.6 | 11.5 | 19.6 | 11.5 | 11.5 | 0.22 | 0.99 | 10.79 | 0.99 | 0.92 |
| Mar-22 | 99% | 1% | 94% | 6% | 62% | 38% | 94% | 6% | 94% | 6% | 8.5 | 7.4 | 8.9 | 17.1 | 8.9 | 8.8 | 0.23 | 0.48 | 10.34 | 0.48 | 0.34 |
| Apr-22 | 100% | 0% | 93% | 7% | 49% | 51% | 93% | 7% | 93% | 7% | 8.7 | 7.3 | 9.0 | 20.7 | 9.1 | 9.2 | 0.29 | 0.37 | 14.47 | 0.39 | 0.52 |
| May-22 | 73% | 27% | 31% | 69% | 92% | 8% | 31% | 69% | 31% | 69% | 21.9 | 11.6 | 20.1 | 7.7 | 20.1 | 20.1 | 2.14 | 0.37 | 2.94 | 0.37 | 0.38 |
| Jun-22 | 100% | 0% | 31% | 69% | 90% | 10% | 31% | 69% | 32% | 68% | 22.8 | 6.5 | 20.7 | 8.6 | 20.7 | 20.4 | 3.37 | 0.44 | 2.95 | 0.44 | 0.50 |
| Jul-22 | 100% | 0% | 31% | 69% | 87% | 13% | 31% | 69% | 33% | 67% | 24.8 | 6.5 | 23.4 | 9.7 | 23.4 | 22.8 | 3.80 | 0.30 | 3.12 | 0.30 | 0.41 |
| Aug-22 | 87% | 13% | 63% | 37% | 78% | 22% | 66% | 34% | 63% | 37% | 15.6 | 9.6 | 15.3 | 11.9 | 14.7 | 15.4 | 1.23 | 0.06 | 0.77 | 0.18 | 0.05 |
| Sep-22 | 85% | 15% | 62% | 38% | 75% | 25% | 66% | 34% | 62% | 38% | 15.6 | 10.3 | 15.8 | 12.8 | 14.8 | 15.8 | 1.11 | 0.22 | 0.58 | 0.16 | 0.25 |
| Oct-22 | 65% | 35% | 27% | 73% | 82% | 18% | 16% | 84% | 28% | 72% | 25.5 | 14.8 | 24.1 | 10.6 | 26.9 | 23.9 | 2.22 | 0.28 | 3.10 | 1.68 | 0.33 |
| Nov-22 | 84% | 16% | 67% | 33% | 81% | 19% | 64% | 36% | 67% | 33% | 15.0 | 9.8 | 14.1 | 10.6 | 14.7 | 14.0 | 1.07 | 0.19 | 0.90 | 0.06 | 0.21 |
| Dec-22 | 84% | 16% | 61% | 39% | 63% | 37% | 63% | 37% | 65% | 35% | 14.6 | 10.1 | 15.6 | 15.2 | 15.2 | 14.7 | 0.93 | 1.24 | 0.69 | 0.67 | 0.08 |
| std | 1.20 | 0.34 | 4.56 | 0.44 | 0.24 | ||||||||||||||||
| exit Novakovec | MB model 1 | MB model 2 | MB model 3 | FM model | IM model | Measured | Calculated MB1 | Calculated MB2 | Calculated MB3 | Calculated FM | Calculated IM | Calculated MB 1 | Calculated MB 2 | Calculated MB 3 | Calculated FM | Calculated IM | |||||
| DA | SA | DA | SA | DA | SA | DA | SA | DA | SA | SO42− (mg/L) | SO42− (mg/L) | SO42− (mg/L) | SO42− (mg/L) | SO42− (mg/L) | SO42− (mg/L) | deviation | deviation | deviation | deviation | deviation | |
| Dec-21 | 1% | 99% | 7% | 93% | 0% | 100% | 65% | 35% | 31% | 69% | 29.8 | 30.2 | 28.6 | 30.4 | 34.5 | 22.9 | 0.42 | 0.24 | 0.72 | 5.62 | 1.43 |
| Jan-22 | 1% | 99% | 5% | 95% | 0% | 100% | 39% | 61% | 16% | 84% | 35.2 | 35.1 | 34.1 | 35.4 | 39.0 | 31.2 | 0.02 | 0.24 | 0.24 | 4.58 | 0.83 |
| Feb-22 | 0% | 100% | 6% | 94% | 0% | 100% | 53% | 47% | 11% | 89% | 35.0 | 35.8 | 34.4 | 35.8 | 40.9 | 32.9 | 0.97 | 0.13 | 0.97 | 7.14 | 0.43 |
| Mar-22 | 0% | 100% | 9% | 91% | 0% | 100% | 100% | 0% | 6% | 94% | 33.1 | 33.2 | 30.8 | 33.2 | 40.4 | 31.6 | 0.12 | 0.48 | 0.12 | 8.82 | 0.30 |
| Apr-22 | 0% | 100% | 4% | 96% | 20% | 80% | 57% | 44% | 4% | 96% | 33.6 | 33.8 | 32.7 | 28.5 | 37.9 | 32.7 | 0.24 | 0.18 | 1.06 | 5.23 | 0.18 |
| May-22 | 0% | 100% | 3% | 97% | 0% | 100% | 64% | 36% | 33% | 67% | 28.1 | 26.4 | 25.8 | 26.4 | 30.2 | 19.7 | 0.35 | 0.48 | 0.35 | 2.55 | 1.75 |
| Jun-22 | 0% | 100% | 6% | 94% | 0% | 100% | 74% | 26% | 21% | 79% | 29.5 | 26.9 | 25.7 | 26.9 | 31.7 | 22.6 | 0.54 | 0.78 | 0.54 | 2.67 | 1.42 |
| Jul-22 | 2% | 98% | 6% | 94% | 0% | 100% | 6% | 94% | 9% | 91% | 30.9 | 30.5 | 29.4 | 30.9 | 31.3 | 28.7 | 0.08 | 0.32 | 0.00 | 0.48 | 0.46 |
| Aug-22 | 8% | 92% | 12% | 88% | 0% | 100% | 12% | 88% | 10% | 90% | 30.6 | 28.5 | 27.6 | 30.5 | 31.3 | 28.1 | 0.44 | 0.62 | 0.02 | 0.82 | 0.52 |
| Sep-22 | 7% | 93% | 10% | 90% | 0% | 100% | 83% | 17% | 8% | 92% | 30.5 | 28.8 | 28.2 | 30.5 | 36.1 | 28.6 | 0.35 | 0.48 | 0.00 | 6.78 | 0.39 |
| Oct-22 | 13% | 87% | 11% | 89% | 0% | 100% | 0% | 100% | 10% | 90% | 30.4 | 27.6 | 28.1 | 30.8 | 30.8 | 28.3 | 0.58 | 0.48 | 0.48 | 0.48 | 0.43 |
| Dec-22 | 12% | 88% | 9% | 91% | 0% | 100% | 2% | 98% | 9% | 91% | 30.2 | 27.4 | 28.3 | 30.4 | 30.5 | 28.2 | 0.58 | 0.40 | 0.24 | 0.39 | 0.41 |
| std | 0.26 | 0.19 | 0.37 | 2.96 | 0.50 | ||||||||||||||||
Disclaimer/Publisher’s Note: The statements, opinions and data contained in all publications are solely those of the individual author(s) and contributor(s) and not of MDPI and/or the editor(s). MDPI and/or the editor(s) disclaim responsibility for any injury to people or property resulting from any ideas, methods, instructions or products referred to in the content. |
© 2024 by the authors. Licensee MDPI, Basel, Switzerland. This article is an open access article distributed under the terms and conditions of the Creative Commons Attribution (CC BY) license (https://creativecommons.org/licenses/by/4.0/).
Share and Cite
Novotni-Horčička, N.; Marković, T.; Karlović, I.; Kovač, I. Application of Hydrochemical Parameters as Tool for Sustainable Management of Water Supply Network. Sustainability 2024, 16, 9558. https://doi.org/10.3390/su16219558
Novotni-Horčička N, Marković T, Karlović I, Kovač I. Application of Hydrochemical Parameters as Tool for Sustainable Management of Water Supply Network. Sustainability. 2024; 16(21):9558. https://doi.org/10.3390/su16219558
Chicago/Turabian StyleNovotni-Horčička, Nikolina, Tamara Marković, Igor Karlović, and Ivan Kovač. 2024. "Application of Hydrochemical Parameters as Tool for Sustainable Management of Water Supply Network" Sustainability 16, no. 21: 9558. https://doi.org/10.3390/su16219558
APA StyleNovotni-Horčička, N., Marković, T., Karlović, I., & Kovač, I. (2024). Application of Hydrochemical Parameters as Tool for Sustainable Management of Water Supply Network. Sustainability, 16(21), 9558. https://doi.org/10.3390/su16219558

