Sensitivity of Seabed Characteristics on the Seismic Performance of Suction Bucket-Supported Offshore Wind Turbines
Abstract
1. Introduction
2. Numerical Model Establishment
2.1. OWT Properties
2.2. Foundation Model
2.3. Soil Profiles
2.4. Seismic Motions
3. Model Validation
4. Results and Discussion
4.1. Free-Field Analysis Results
4.2. Maximum Seismic Response
4.3. Seismic Fragility Analysis
4.3.1. Fragility Function and Damage Critical Levels
4.3.2. Fragility Curves Results
5. Conclusions
- (1)
- The analysis showed that soft sands exhibited significant PGA amplification at low seismic levels but decreased at higher levels due to their nonlinear behavior. Medium sands maintain PGA amplification at all levels, reflecting their wider linear response range. Dense sands also showed consistent PGA amplification but had a lower SAF at PGA values below 0.4 g, and a higher SAF with increasing PGA compared to soft and medium sands. This behavior is attributed to the high stiffness of dense sands, which reduced amplification at lower PGA levels but enhanced it at higher levels.
- (2)
- For stiffer soils (characterized by higher ), the maximum horizontal displacement at the mudline and tower-top decreased under low-intensity seismic motions. However, under high-intensity seismic motions, these displacements increased with greater soil stiffness. Additionally, the effect of on displacement at the mudline was more pronounced than at the tower-top.
- (3)
- The acceleration amplification factors along the OWT height were influenced by the soil stiffness. Specifically, lower soil stiffness led to increased amplification effects under low-intensity earthquakes, while higher soil stiffness resulted in greater amplification effects under high-intensity earthquakes.
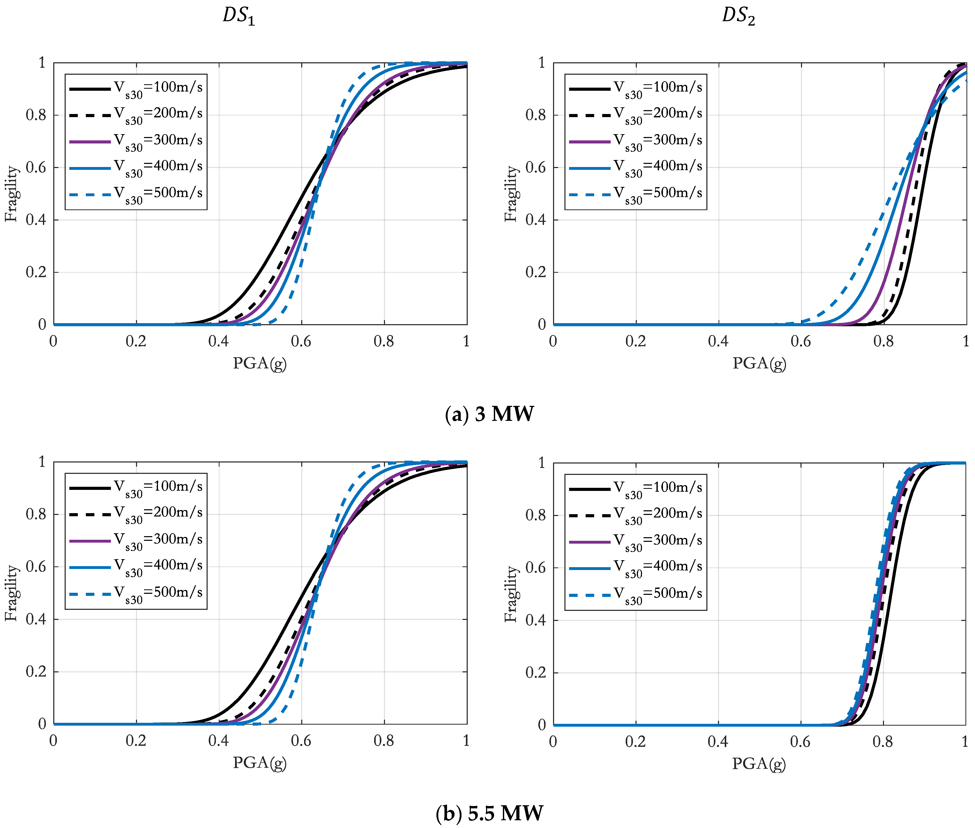
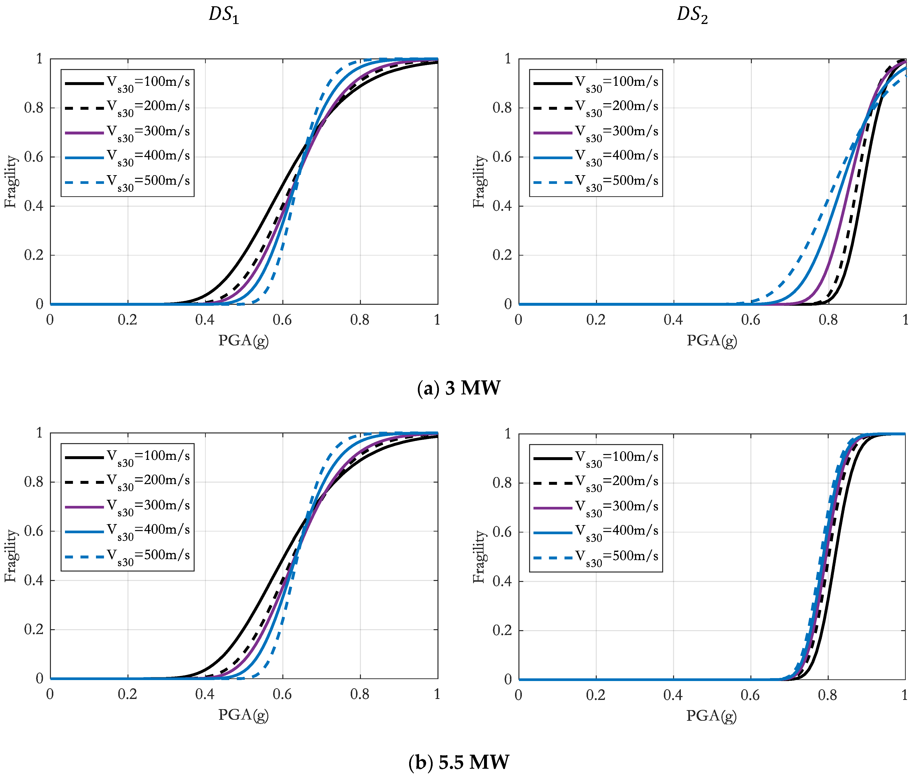
- (4)
- For , stiffer soils initially reduced the probability of damage at lower PGA levels due to decreased seismic intensity. However, as PGA increased, the probability of damage for stiffer soils increased due to amplified seismic effects. For , the probability of exceeding damage continuously increased with soil stiffness, as damage associated with occurs only at high PGA levels, where the seismic amplification effect increases with soil stiffness.
- (5)
- In addition to soil stiffness, the size, and capacity of the turbine also had specific effects: a minor impact on displacement at the mudline but a more significant impact on displacement at the tower top. The increased size and capacity of the turbine led to larger displacements but contributed to reduced damage at the tower top, while the effect on mudline damage was less significant.
Author Contributions
Funding
Institutional Review Board Statement
Informed Consent Statement
Data Availability Statement
Conflicts of Interest
References
- Bang, S.; Preber, T.; Cho, Y.; Thomason, J.; Karnoski, S.; Taylor, R. Suction piles for mooring of mobile offshore bases. Mar. Struct. 2000, 13, 367–382. [Google Scholar] [CrossRef]
- Byrne, B.; Houlsby, G.; Martin, C.; Fish, P. Suction caisson foundations for offshore wind turbines. Wind Eng. 2002, 26, 145–155. [Google Scholar] [CrossRef]
- Ngo, D.-V.; Kim, Y.-J.; Kim, D.-H. Seismic Fragility Assessment of a Novel Suction Bucket Foundation for Offshore Wind Turbine under Scour Condition. Energies 2022, 15, 499. [Google Scholar] [CrossRef]
- Barari, A.; Ibsen, L.B. Insight into the lateral response of offshore shallow foundations. Ocean Eng. 2017, 144, 203–210. [Google Scholar] [CrossRef]
- Díaz, C.; Soares, G. Review of the current status, technology and future trends of offshore wind farms. Ocean Eng. 2020, 209, 107381. [Google Scholar] [CrossRef]
- Li, L.; Zheng, M.; Liu, X.; Wu, W.; Liu, H.; Hesham El Naggar, M.; Jiang, G. Numerical analysis of the cyclic loading behavior of monopile and hybrid pile foundation. Comput. Geotech. 2022, 144, 104635. [Google Scholar] [CrossRef]
- Li, L.; Liu, X.; Liu, H.; Wu, W.; Lehane, B.M.; Jiang, G.; Xu, M. Experimental and numerical study on the static lateral performance of monopile and hybrid pile foundation. Ocean Eng. 2022, 255, 111461. [Google Scholar] [CrossRef]
- Ngo, D.-V.; Kim, D.-H. Seismic responses of different types of offshore wind turbine support structures. Ocean Eng. 2024, 297, 117108. [Google Scholar] [CrossRef]
- Skau, K.S.; Grimstad, G.; Page, A.M.; Eiksund, G.R.; Jostad, H.P. A macro-element for integrated time domain analyses representing bucket foundations for offshore wind turbines. Mar. Struct. 2018, 59, 158–178. [Google Scholar] [CrossRef]
- Wang, X.; Yang, X.; Zeng, X. Seismic centrifuge modelling of suction bucket foundation for offshore wind turbine. Renew. Energy 2017, 114, 1013–1022. [Google Scholar] [CrossRef]
- Ngo, D.-V.; Kim, Y.-J.; Kim, D.-H. Risk Assessment of Offshore Wind Turbines Suction Bucket Foundation Subject to Multi-Hazard Events. Energies 2023, 5, 2184. [Google Scholar] [CrossRef]
- Hong, S.; Vicent, S.; Gu, K.-Y.; Kim, S.-R. Effect of drainage condition on the pullout characteristics of bucket foundations in sand. Ocean Eng. 2022, 260, 111994. [Google Scholar] [CrossRef]
- Zhang, J.; Cheng, W.; Cheng, X.; Wang, P.; Wang, T. Seismic responses analysis of suction bucket foundation for offshore wind turbine in clays. Ocean Eng. 2021, 232, 109159. [Google Scholar] [CrossRef]
- Kourkoulis, R.S.; Lekkakis, P.C.; Gelagoti, F.M.; Kaynia, A.M. Suction caisson foundations for offshore wind turbines subjected to wave and earthquake loading: Effect of soil-foundation interface. Geotechnique 2014, 64, 171–185. [Google Scholar] [CrossRef]
- Gao, B.; Ye, G.; Zhang, Q.; Xie, Y.; Yan, B. Numerical simulation of suction bucket foundation response located in liquefiable sand under earthquakes. Ocean Eng. 2021, 235, 109394. [Google Scholar] [CrossRef]
- Negro, V.; López-Gutiérrez, J.-S.; Esteban, M.D.; Matutano, C. Uncertainties in the design of support structures and foundations for offshore wind turbines. Renew. Energy 2014, 63, 125–132. [Google Scholar] [CrossRef]
- Geng, F.; Yang, W.; Nadimi, S.; Han, B.; Huang, G. Study for predicting the earthquake-induced liquefaction around the monopile foundation of offshore wind turbines. Ocean Eng. 2023, 268, 113421. [Google Scholar] [CrossRef]
- Natarajan, K.; Madabhushi, G.S.P. Seismic response of an offshore wind turbine jacket structure with pile foundations. Soil Dyn. Earthq. Eng. 2022, 162, 107427. [Google Scholar] [CrossRef]
- Eslami, A.; Ghorbani, A. Seismic response of offshore wind turbines supported on Monopiles and Suction Buckets: Numerical modelling and soft computing study. Soil Dyn. Earthq. Eng. 2022, 159, 107284. [Google Scholar] [CrossRef]
- Antoniou, M.; Kourkoulis, R.; Gelagoti, F.; Anastasopoulos, I. Simplified method for performance-based seismic design of suction caissons supporting jacket offshore wind turbines. Soil Dyn. Earthq. Eng. 2022, 155, 107169. [Google Scholar] [CrossRef]
- Cheng, L.; Ullah, S.N.; Hu, Y.; Zhou, M.; Jiang, W. Numerical analysis of lateral—Moment capacity of bucket foundations for offshore wind turbine in sand. Mar. Struct. 2023, 87, 103337. [Google Scholar] [CrossRef]
- Faizi, K.; Faramarzi, A.; Dirar, S.; Chapman, D. Investigating the monotonic behaviour of hybrid tripod suction bucket foundations for offshore wind towers in sand. Appl. Ocean Res. 2019, 89, 176–187. [Google Scholar] [CrossRef]
- Skau, K.S.; Jostad, H.P.; Eiksund, G.; Sturm, H. Modelling of soil-structure-interaction for flexible caissons for offshore wind turbines. Ocean Eng. 2019, 171, 273–285. [Google Scholar] [CrossRef]
- Kim, D.H.; Lee, S.G.; Lee, I.K. Seismic fragility analysis of 5 MW offshore wind turbine. Renew. Energy 2014, 65, 250–256. [Google Scholar] [CrossRef]
- Bisoi, S.; Haldar, S. Design of monopile supported offshore wind turbine in clay considering dynamic soil–structure-interaction. Soil Dyn. Earthq. Eng. 2015, 73, 103–117. [Google Scholar] [CrossRef]
- Rezaei, R.; Fromme, P.; Duffour, P. Fatigue life sensitivity of monopile-supported offshore wind turbines to damping. Renew. Energy 2018, 123, 450–459. [Google Scholar] [CrossRef]
- Panagoulias, S.; Winter, C.D.; Navalkar, S.T.; Nernheim, A. Sensitivity of the seismic response of monopile-supported offshore wind turbines to soil variability. Ocean Eng. 2023, 268, 113545. [Google Scholar] [CrossRef]
- Abaqus, in Dassault Systemes Simulia Corporation. 2020. Available online: https://abaqus-docs.mit.edu/2017/English/SIMACAEEXCRefMap/simaexc-c-docproc.htm (accessed on 16 August 2024).
- Papadrakakis, M.; Sapountzakis, E. Matrix Methods for Advanced Structural Analysis; Butterworth-Heinemann: Oxford, UK, 2018. [Google Scholar] [CrossRef]
- Hamilton, E.L. Shear-wave velocity versus depth in marine sediments: A review. Log. Anal. 1977, 18, SPWLA-1977-vXVIIIn1a5. [Google Scholar] [CrossRef]
- Liu, H.S.; Zheng, T.; Qi, W.H. Relationship between shear wave velocity and depth of conventional soils. Chin. J. Geotech. Eng. 2010, 32, 1142–1149. [Google Scholar]
- Holzer, T.L.; Bennett, M.J.; Noce, T.E.; Padovani, A.C.; Tinsley, J.C. Shear-wave velocity of surficial geologic sediments: Statistical distributions and depth dependence. Earthq. Spectra 2005, 21, 161–177. [Google Scholar] [CrossRef]
- Brocher, T.M. Compressional and shear-wave velocity versus depth relations for common rock types in Northern California. Bull. Seismol. Soc. Am. 2008, 98, 950–968. [Google Scholar] [CrossRef]
- Wang, S.Y.; Wang, H.Y. Site-dependent shear-wave velocity equations versus depth in California and Japan. Soil Dyn. Earthq. Eng. 2016, 88, 8–14. [Google Scholar] [CrossRef]
- EduPro Civil Systems, I. ProShake Ground Response Analysis Program, Version 2.0. 2020. Available online: http://www.proshake.com/index.html (accessed on 11 August 2024).
- Det Norske Veritas. Blade: Wind Turbine Design and Analysis Software. Available online: https://www.dnv.com/software/services/bladed/ (accessed on 10 August 2024).
- Yu, L.Q.; Wang, L.Z.; Guo, Z.; Bhattacharya, S.; Nikitas, G.; Li, L.L.; Xing, Y.L. Long-term dynamic behavior of monopile supported offshore wind turbines in sand. Theor. Appl. Mech. Lett. 2015, 5, 80–84. [Google Scholar] [CrossRef]
- Jalbi, S.; Bhattacharya, S. Closed form solution for the first natural frequency of offshore wind turbine jackets supported on multiple foundations incorporating soil-structure interaction. Soil Dyn. Earthq. Eng. 2018, 113, 593–613. [Google Scholar] [CrossRef]
- Wang, L.; Zhou, W.; Guo, Z.; Rui, S. Frequency change and accumulated inclination of offshore wind turbine jacket structure with piles in sand under cyclic loadings. Ocean Eng. 2020, 217, 108045. [Google Scholar] [CrossRef]
- Natale, A.; Giuseppe, F.; Felice, A. Seismic analysis of offshore wind turbines on bottom-fixed support structures. Philos. Trans. R. Soc. A 2015, 373, 20140086. [Google Scholar] [CrossRef]
- Shinozuka, M.; Feng, M.Q.; Lee, J.; Naganuma, T. Statistical analysis of fragility curves. J. Eng. Mech. 2000, 126, 1224–1231. [Google Scholar] [CrossRef]
- Offshore Standard DNV-OS-J101; Design of Offshore Wind Turbine Structures. Det Norske Veritas: Høvik, Norway, 2014.












| Parameters | 3 MW OWT | 5.5 MW OWT |
|---|---|---|
| Number of blades | 3 | 3 |
| Rated wind speed (m/s) | 10 | 13 |
| Cut-in/cut-out wind speed (m/s) | 3/25 | 3/25 |
| Hub height (m) | 66.64 | 110.08 |
| Tower top height (m) | 63.70 | 106.42 |
| Tower top diameter (m) | 3.070 | 5.055 |
| Tower base diameter (m) | 4.500 | 6.028 |
| Rotor-Nacelle-Assembly (RNA) mass (ton) | 186.00 | 391.42 |
| Density of tower material (also for substructures) (kg/m3) | 7850 | |
| Young’s modulus (GPa) | 210 | |
| Poisson’s ratio | 0.3 | |
| Yield stress (MPa) | 345 | |
| Suction bucket (SB) diameter (m) | 6 | 9 |
| SB height (m) | 12 | 7 |
| SB wall thickness (m) | 0.019 | 0.025 |
| Parameters | Value |
|---|---|
| Type of soil | Sand |
| Density (kg/m3) | 2000 |
| Poison ratio | 0.48 |
| No. | Name | PGA (g) | Predominant Period (s) | Mean Frequency (Hz) |
|---|---|---|---|---|
| 1 | Loma Prieta—TI | 0.159 | 0.640 | 3.072 |
| 2 | Loma Prieta—DH | 0.113 | 0.406 | 4.322 |
| 3 | Loma Prieta—YBI | 0.067 | 1.412 | 4.637 |
| 4 | Taft | 0.185 | 0.333 | 4.744 |
| 5 | El Centro | 0.344 | 0.683 | 6.197 |
| 6 | Northridge | 0.329 | 0.307 | 10.068 |
| 7 | Petrolia | 0.422 | 1.412 | 14.745 |
| OWT | Mode | Abaqus | Blade | [38] | [39] | [40] |
|---|---|---|---|---|---|---|
| 3 MW (Tripod) | 1st Tower fore-aft | 0.324 | 0.331 | 0.314–0.317 | ||
| 1st Tower side-side | 0.324 | |||||
| 5.5 MW (Pentapod) | 1st Tower fore-aft | 0.255 | 0.249 | 0.245–0.256 | ||
| 1st Tower side-side | 0.255 | 0.249 |
| Case | 3 MW OWT | 5.5 MW OWT |
|---|---|---|
| DS1 | 0.038 m | 0.038 m |
| DS2 | 0.412 m | 0.601 m |
Disclaimer/Publisher’s Note: The statements, opinions and data contained in all publications are solely those of the individual author(s) and contributor(s) and not of MDPI and/or the editor(s). MDPI and/or the editor(s) disclaim responsibility for any injury to people or property resulting from any ideas, methods, instructions or products referred to in the content. |
© 2024 by the authors. Licensee MDPI, Basel, Switzerland. This article is an open access article distributed under the terms and conditions of the Creative Commons Attribution (CC BY) license (https://creativecommons.org/licenses/by/4.0/).
Share and Cite
Ngo, D.-V.; Kim, D.-H. Sensitivity of Seabed Characteristics on the Seismic Performance of Suction Bucket-Supported Offshore Wind Turbines. Sustainability 2024, 16, 9150. https://doi.org/10.3390/su16219150
Ngo D-V, Kim D-H. Sensitivity of Seabed Characteristics on the Seismic Performance of Suction Bucket-Supported Offshore Wind Turbines. Sustainability. 2024; 16(21):9150. https://doi.org/10.3390/su16219150
Chicago/Turabian StyleNgo, Duc-Vu, and Dong-Hyawn Kim. 2024. "Sensitivity of Seabed Characteristics on the Seismic Performance of Suction Bucket-Supported Offshore Wind Turbines" Sustainability 16, no. 21: 9150. https://doi.org/10.3390/su16219150
APA StyleNgo, D.-V., & Kim, D.-H. (2024). Sensitivity of Seabed Characteristics on the Seismic Performance of Suction Bucket-Supported Offshore Wind Turbines. Sustainability, 16(21), 9150. https://doi.org/10.3390/su16219150

