Enhancing Mango Productivity with Wood Vinegar, Humic Acid, and Seaweed Extract Applications as an Environmentally Friendly Strategy
Abstract
1. Introduction
2. Materials and Methods
2.1. Experimental Site and Plant Materials
2.2. Experimental Design and Treatments
2.3. Measurements and Determinations
2.3.1. Nutritional Status and Yield
2.3.2. Fruit Physico–Chemical Characteristics
2.4. Statistical Analysis
3. Results
3.1. Nutritional Status
3.2. Yield (Kg/Tree)
3.3. Fruit Physical Characteristics
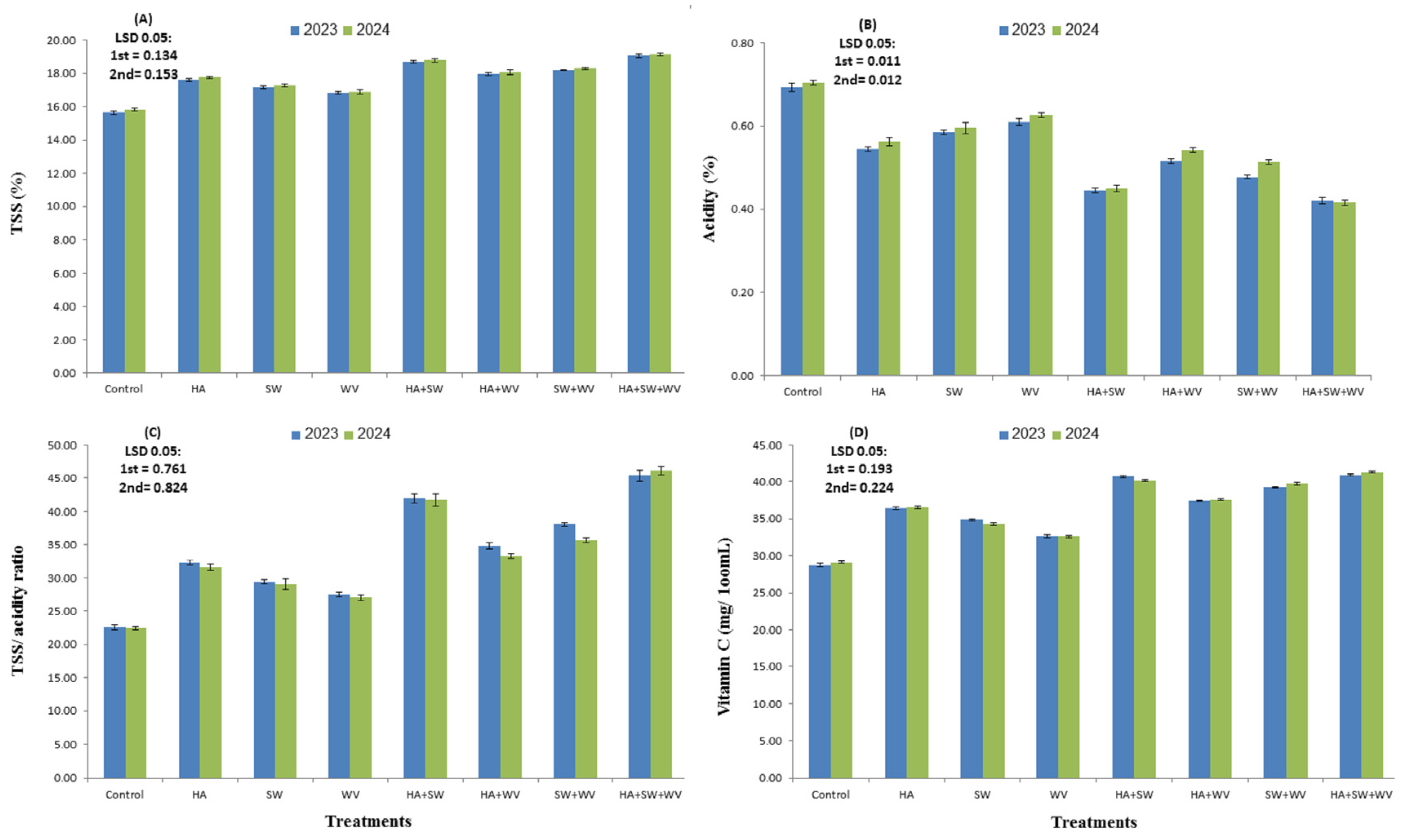
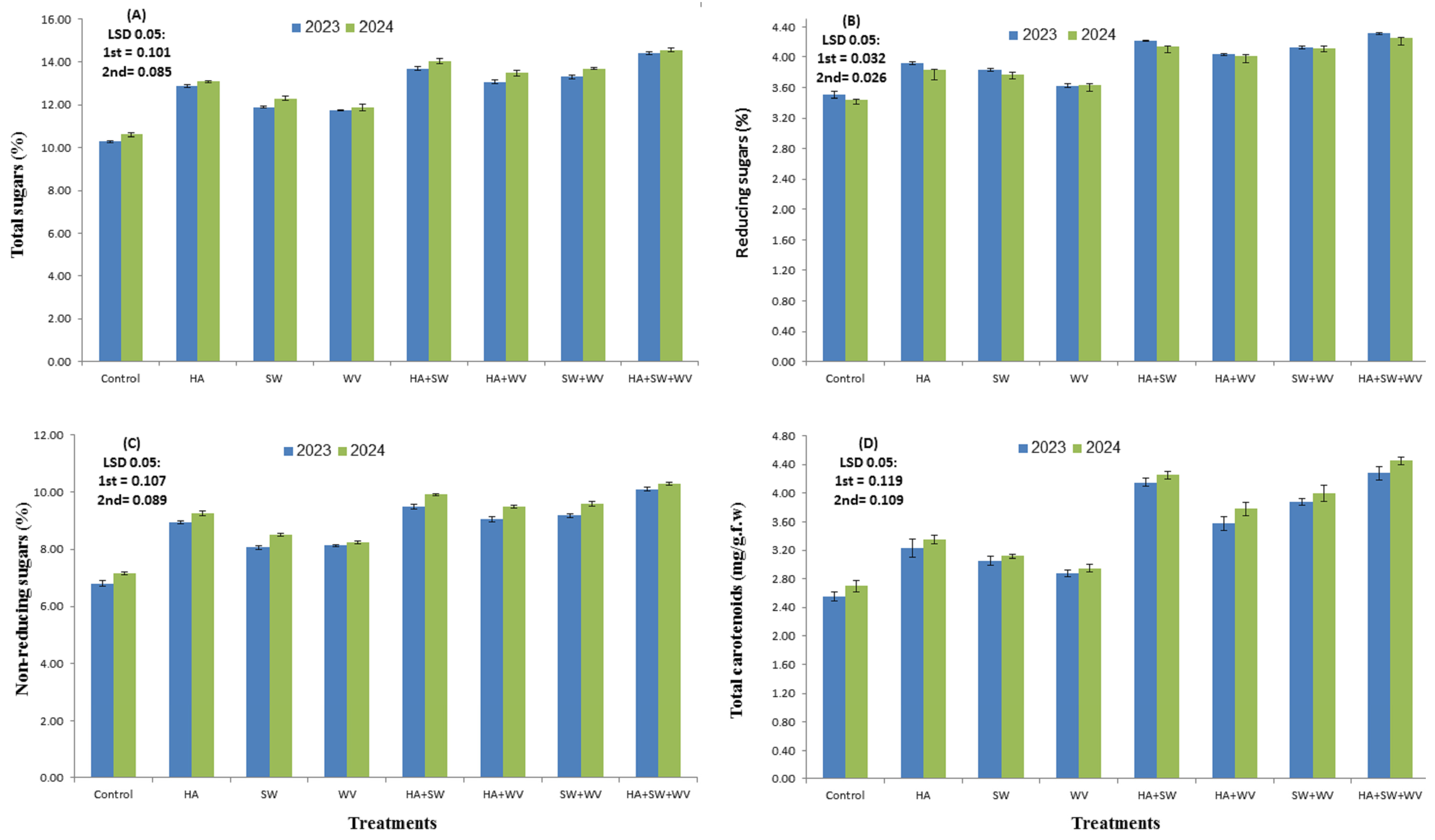
3.4. Fruit Chemical Characteristics
4. Discussion
5. Conclusions
Author Contributions
Funding
Institutional Review Board Statement
Informed Consent Statement
Data Availability Statement
Conflicts of Interest
References
- Mukherjee, S.K.; Litz, R.E. Botany and Importance. In The Mango: Botany, Production and Uses; Litz, R.E., Ed.; CABI: Cambridge, MA, USA, 2009; pp. 1–18. [Google Scholar]
- Liu, X.; Xiao, Y.; Zi, J.; Yan, J.; Li, C.; Du, C.; Wan, J.; Wu, H.; Zheng, B.; Wang, S.; et al. Differential effects of low and high temperature stress on pollen germination and tube length of mango (Mangifera indica L.) genotypes. Sci. Rep. 2023, 13, 611. [Google Scholar] [CrossRef]
- Wang, J.; Elbagory, M.; He, Y.; Zhang, X.; Hui, Y.; Eissa, M.A.; Ding, Z.; El-Nahrawy, S.; Omara, A.E.-D.; Zoghdan, M.G.; et al. Modeling of P-Loss Risk and Nutrition for Mango (Mangifera indica L.) in Sandy Calcareous Soils: A 4-Years Field Trial for Sustainable P Management. Horticulturae 2022, 8, 1064. [Google Scholar] [CrossRef]
- Makhasha, E.; Al-Obeed, R.S.; Abdel-Sattar, M. Responses of Nutritional Status and Productivity of Timor Mango Trees to Foliar Spray of Conventional and/or Nano Zinc. Sustainability 2024, 16, 6060. [Google Scholar] [CrossRef]
- Kundu, A.K.; Tarai, R.K.; Nayak, A.; Senapati, B. Influence of plant growth regulators on fruit drop, fruit retention and fruit yield of mango (Mangifera indica L.) cv. Amrapali under west central table land zone of Odisha. Plant Sci. Today 2024, 1, 79–84. [Google Scholar] [CrossRef]
- Alebidi, A.; Abdel-Sattar, M.; Mostafa, L.Y.; Hamad, A.S.A.; Rihan, H.Z. Synergistic Effects of Applying Potassium Nitrate Spray with Putrescine on Productivity and Fruit Quality of Mango Trees cv. Ewais. Agronomy 2023, 13, 2717. [Google Scholar] [CrossRef]
- Abdel-Sattar, M.; Almutairi, K.F.; Aboukarima, A.M.; El-Mahrouky, M. Impact of organic manure on fruit set, fruit retention, yield, and nutritional status in pomegranate (Punica granatum L. “Wonderful”) under water and mineral fertilization deficits. PeerJ 2021, 9, e10979. [Google Scholar] [CrossRef]
- Webb, N.P.; Marshall, N.A.; Stringer, L.C.; Reed, M.S.; Chappell, A.; Herrick, J.E. Land degradation and climate change: Building climate resilience in agriculture. Front. Ecol. Environ. 2017, 15, 450–459. [Google Scholar] [CrossRef]
- Luo, X.; Wang, Z.; Meki, K.; Wang, X.; Liu, B.; Zheng, H.; You, X.; Li, F. Effect of co-application of wood vinegar and biochar on seed germination and seedling growth. J. Soils Sediments 2019, 19, 3934–3944. [Google Scholar] [CrossRef]
- Wang, Y.; Zhu, Y.; Zhang, S.; Wang, Y. What could promote farmers to replace chemical fertilizers with organic fertilizers? J. Clean. Prod. 2018, 199, 882–890. [Google Scholar] [CrossRef]
- Mosa, W.F.A.; Abd EL-Megeed, N.A.; Ali, M.M.; Abada, H.S.; Ali, H.M.; Siddiqui, M.H.; Sas-Paszt, L. Preharvest Foliar Applications of Citric Acid, Gibberellic Acid and Humic Acid Improve Growth and Fruit Quality of ‘Le Conte’ Pear (Pyrus communis L.). Horticulturae 2022, 8, 507. [Google Scholar] [CrossRef]
- Chaski, C.; Petropoulos, S.A. The Alleviation Effects of Biostimulants Application on Lettuce Plants Grown under Deficit Irrigation. Horticulturae 2022, 8, 1089. [Google Scholar] [CrossRef]
- Dalal, A.; Bourstein, R.; Haish, N.; Shenhar, I.; Wallach, R.; Moshelion, M.A. High-Throughput Physiological Functional Phenotyping System for Time- and Cost-Effective Screening of Potential Biostimulants. bioRxiv 2019. [Google Scholar] [CrossRef]
- Lau, S.-E.; Teo, W.F.A.; Teoh, E.Y.; Tan, B.C. Microbiome Engineering and Plant Biostimulants for Sustainable Crop Improvement and Mitigation of Biotic and Abiotic Stresses. Discov. Food 2022, 2, 9. [Google Scholar] [CrossRef]
- du Jardin, P. Plant biostimulants: Definition, concept, main categories and regulation. Sci. Hortic. 2015, 196, 3–14. [Google Scholar] [CrossRef]
- Brown, P.; Saa, S. Biostimulants in Agriculture. Front. Plant Sci. 2015, 6, 671. [Google Scholar] [CrossRef]
- Garg, S.; Nain, P.; Kumar, A.; Joshi, S.; Punetha, H.; Sharma, P.K.; Siddiqui, S.; Alshaharni, M.O.; Algopishi, U.B.; Mittal, A. Next generation plant biostimulants & genome sequencing strategies for sustainable agriculture development. Front. Microbiol. 2024, 15, 1439561. [Google Scholar] [CrossRef]
- Mackiewicz-Walec, E.; Olszewska, M. Biostimulants in the Production of Forage Grasses and Turfgrasses. Agriculture 2023, 13, 1796. [Google Scholar] [CrossRef]
- Hernández-Herrera, R.M.; Gómez-Leyva, J.F.; Sánchez-Hernández, C.V.; Ocampo-Álvarez, H.; Ramírez-Romero, R.; Palmeros-Suárez, P.A. Seaweed extract ameliorates salt stress in tomato plants by enhancing the antioxidant system and expression of stress-responsive genes. J. Appl. Phycol. 2024, 36, 2269–2282. [Google Scholar] [CrossRef]
- Abbas, M.; Anwar, J.; Zafar-ul-Hye, M.; Khan, R.I.; Saleem, M.; Rahi, A.A.; Danish, S.; Datta, R. Effect of Seaweed Extract on Productivity and Quality Attributes of Four Onion Cultivars. Horticulturae 2020, 6, 28. [Google Scholar] [CrossRef]
- Rouphael, Y.; Colla, G.; Giordano, M.; El-Nakhel, C.; Kyriacou, M.C.; De Pascale, S. Foliar applications of a legume-derived protein hydrolysate elicit dose-dependent increases of growth, leaf mineral composition, yield and fruit quality in two greenhouse tomato cultivars. Sci. Hortic. 2017, 22, 353–360. [Google Scholar] [CrossRef]
- Zhang, Y.; Wang, X.; Liu, B.; Liu, Q.; Zheng, H.; You, X.; Sun, K.; Luo, X.; Li, F. Comparative study of individual and co-application of biochar and wood vinegar on blueberry fruit yield and nutritional quality. Chemosphere 2020, 246, 125699. [Google Scholar] [CrossRef]
- Zhou, H.; Fu, K.; Shen, Y.; Li, R.; Su, Y.; Deng, Y.; Xia, Y.; Zhang, N. Physiological and Biochemical Mechanisms of Wood VinegarInduced Stress Response against Tomato Fusarium Wilt Disease. Plants 2024, 13, 157. [Google Scholar] [CrossRef]
- Sun, X.; Guo, Y.; Zeng, L.; Li, X.; Liu, X.; Li, J.; Cui, D. Combined Urea Humate and Wood Vinegar Treatment Enhances Wheat–Maize Rotation System Yields and Nitrogen Utilization Efficiency Through Improving the Quality of Saline–Alkali Soils. J. Soil Sci. Plant Nutr. 2021, 21, 1759–1770. [Google Scholar] [CrossRef]
- Sirivardena, B.P.; Subasinghe, S.; Vidanapathirena, N.P.; Kumarasingha, H.K.M.S.; Dhanushka, T.G.B. Effects of pyroligneous acids (wood vinegar) produced from different wood species on vegetative growth of eggplant (Solanum melongena L.). Int. J. Minor Fruits Med. Aromat. Plants 2020, 6, 25–29. [Google Scholar]
- Zhu, K.; Gu, S.; Liu, J.; Luo, T.; Khan, Z.; Zhang, K.; Hu, L. Wood Vinegar as a Complex Growth Regulator Promotes the Growth, Yield, and Quality of Rapeseed. Agronomy 2021, 11, 510. [Google Scholar] [CrossRef]
- Feng, Y.; Li, D.; Sun, H.; Xue, L.; Zhou, B.; Yang, L.; Liu, J.; Xing, B. Wood vinegar and biochar co-application mitigates nitrous oxide and methane emissions from rice paddy soil: A two-year experiment. Environ. Pollut. 2020, 267, 115403. [Google Scholar] [CrossRef]
- Qin, W.; Ma, X.; Zhao, Z.; Zhang, S.; Liu, S. Antioxidant activities and chemical profiles of pyroligneous acids from walnut shell. J. Anal. Appl. Pyrolysis 2010, 88, 149–154. [Google Scholar]
- Ma, X.; Wei, Q.; Zhang, S.; Shi, L.; Zhao, Z. Isolation and bioactivities of organic acids and phenols from walnut shell pyroligneous acid. J. Anal. Appl. Pyrolysis 2011, 91, 338–343. [Google Scholar] [CrossRef]
- Ma, C.; Song, K.; Yu, J.; Yang, L.; Zhao, C.; Wang, W.; Zu, G.; Zu, Y. Pyrolysis process and antioxidant activity of pyroligneous acid from Rosmarinus officinalis leaves. J. Anal. Appl. Pyrolysis 2013, 104, 38–47. [Google Scholar] [CrossRef]
- Jothityangkoon, D.; Koolachart, R.; Wanapat, S.; Wongkaew, S.; Jogloy, S. Using wood vinegar in enhancing peanut yield and in controlling the contamination of aflatoxin producing fungus. Int. Crop Sci. 2008, 4, 253. [Google Scholar]
- Pan, X.; Zhang, Y.; Wang, X.; Liu, G. Effect of adding biochar with wood vinegar on the growth of cucumber. IOP Conf. Series Earth Environ. Sci. 2017, 261, 012149. [Google Scholar] [CrossRef]
- Ratanapisit, J.; Apiraksakul, S.; Rerngnarong, A.; Chungsiriporn, J.; Bunyakarn, C. Preliminary evaluation of production and characterization of wood vinegar from rubberwood. Songklanakarin J. Sci. Technol. 2009, 31, 343–349. [Google Scholar]
- Lashari, M.S.; Ye, Y.; Ji, H.; Li, L.; Kibue, G.W.; Lu, H.; Zheng, J.; Pan, G. Biochar–Manure Compost in Conjunction with Pyroligneous Solution Alleviated Salt Stress and Improved Leaf Bioactivity of Maize in a Saline Soil from Central China: A 2-Year Field Experiment. J. Sci. Food Agric. 2015, 95, 1321–1327. [Google Scholar] [CrossRef]
- Simma, B.; Polthanee, A.; Goggi, A.S. Wood vinegar seed priming improves yield and suppresses weeds in dryland direct-seeding rice under rainfed production. Agron. Sustain. Dev. 2017, 37, 56. [Google Scholar] [CrossRef]
- El Boukhari, M.E.M.; Barakate, M.; Bouhia, Y.; Lyamlouli, K. Trends in seaweed extract based biostimulants: Manufacturing process and beneficial effect on soil-plant systems. Plants 2020, 9, 359. [Google Scholar] [CrossRef]
- Ali, O.; Ramsubhag, A.; Jayaraman, J. Biostimulant properties of seaweed extracts in plants: Implications towards sustainable crop production. Plants 2021, 10, 531. [Google Scholar] [CrossRef]
- Yarşı, G. Effects of seaweed fertilizer and wood vinegar on nutrient uptake, plant growth and yield of cucumber (Cucumis sativus L) grown in a greenhouse. J. Elem. 2023, 28, 937–948. [Google Scholar] [CrossRef]
- Alebidi, A.; Abdel-Sattar, M. Synergistic effect of seaweed extract and boric acid and/or calcium chloride on productivity and physico-chemical properties of Valencia orange. PeerJ 2024, 12, e17378. [Google Scholar] [CrossRef]
- Goni, O.; Quille, P.; O’Connell, S. Ascophyllum nodosum extract biostimulants and their role in enhancing tolerance to drought stress in tomato plants. Plant Physiol. Biochem. 2018, 126, 63–73. [Google Scholar] [CrossRef]
- Laribi, B.; Annabi, H.A.; Bettaieb, T. Effects of Ulva intestinalis Linnaeus seaweed liquid extract on plant growth, photosynthetic performance and water status of two hydroponically grown Lamiaceae species: Peppermint (Mentha × piperita L.) and purple basil (Ocimum basilicum var. purpurascens Benth). S. Afr. J. Bot. 2023, 158, 63–72. [Google Scholar] [CrossRef]
- Bulgari, R.; Franzoni, G.; Ferrante, A. Biostimulants application in horticultural crops under abiotic stress conditions. Agronomy 2019, 9, 306. [Google Scholar] [CrossRef]
- Rana, V.S.; Sharma, V.; Sharma, S.; Rana, N.; Kumar, V.; Sharma, U.; Almutairi, K.F.; Avila-Quezada, G.D.; Abd-Allah, E.F.; Gudeta, K. Seaweed extract as a biostimulant agent to enhance the fruit growth, yield, and quality of kiwifruit. Horticulturae 2023, 9, 432. [Google Scholar] [CrossRef]
- Buurman, P.; Nierop, K.G.J.; Kaal, J.; Senesi, N. Analytical pyrolysis and thermally assisted hydrolysis and methylation of EUROSOIL humic acid samples—A key to their source. Geoderma 2009, 150, 10–22. [Google Scholar] [CrossRef]
- Selim, E.M.; Mosa, A.A.; El-Ghamry, A.M. Evaluation of humic substances fertigation through surface and subsurface drip irrigation systems on potato grown under Egyptian sandy soil conditions. Agric. Water Manag. 2009, 96, 1218–1222. [Google Scholar] [CrossRef]
- Kumari, S.; Chhillar, H.; Chopra, P.; Khanna, R.R.; Khan, M.I.R. Potassium: A track to develop salinity tolerant plants. Plant Physiol. Biochem. 2021, 167, 1011–1023. [Google Scholar] [CrossRef]
- Mahdi, A.H.A.; Badawy, S.A.; Abdel Latef, A.A.H.; El Hosary, A.A.A.; Abd El Razek, U.A.; Taha, R.S. Integrated Effects of Potassium Humate and Planting Density on Growth, Physiological Traits and Yield of Vicia faba L. Grown in Newly Reclaimed Soil. Agronomy 2021, 11, 461. [Google Scholar] [CrossRef]
- Ramadan, K.M.A.; El-Beltagi, H.S.; Abd El-Mageed, T.A.A.; Saudy, H.S.; Al-Otaibi, H.H.; Mahmoud, M.A.A. The changes in various physio-biochemical parameters and yield traits of faba bean due to humic acid plus 6-benzylaminopurine application under deficit irrigation. Agronomy 2023, 131, 1227. [Google Scholar] [CrossRef]
- Zhou, L.; Monreal, C.M.; Xu, S.; McLaughlin, N.B.; Zhang, H.; Hao, G.; Liu, J. Effect of bentonite-humic acid application on the improvement of soil structure and maize yield in a sandy soil of a semi-arid region. Geoderma 2019, 338, 269–280. [Google Scholar] [CrossRef]
- Alsudays, I.M.; Alshammary, F.H.; Alabdallah, N.M.; Alatawi, A.; Alotaibi, M.M.; Alwutayd, K.M.; Alharbi, M.M.; Alghanem, S.M.S.; Alzuaibr, F.M.; Gharib, H.S.; et al. Applications of humic and fulvic acid under saline soil conditions to improve growth and yield in barley. BMC Plant Biol. 2024, 24, 191. [Google Scholar] [CrossRef]
- Abdel-Sattar, M.; Al-Obeed, R.S.; Makhasha, E.; Mostafa, L.Y.; Abdelzaher, R.A.E.; Rihan, H.Z. Improving mangoes’ productivity and crop water productivity by 24-epibrassinosteroids and hydrogen peroxide under deficit irrigation. Agric. Water Manag. 2024, 298, 108860. [Google Scholar] [CrossRef]
- Evenhuis, B.; De Waard, P.W. Principles and practices in plant analysis. FAO Soils Bull. 1980, 38, 152–163. [Google Scholar]
- Wang, H.; Pampati, N.; McCormick, W.M.; Bhattacharyya, L. Protein nitrogen determination by Kjeldahl digestion and ion chromatography. J. Pharm. Sci. 2016, 105, 1851–1857. [Google Scholar] [CrossRef]
- Wieczorek, D.; Żyszka-Haberecht, B.; Kafka, A.; Lipok, J. Determination of phosphorus compounds in plant tissues: From colourimetry to advanced instrumental analytical chemistry. Plant Methods 2022, 18, 22. [Google Scholar] [CrossRef]
- Asch, J.; Johnson, K.; Mondal, S.; Asch, F. Comprehensive assessment of extraction methods for plant tissue samples for determining sodium and potassium via flame photometer and chloride via automated flow analysis. J. Plant Nutr. Soil Sci. 2022, 185, 308–316. [Google Scholar] [CrossRef]
- Stafilov, T.; Karadjova, I. Atomic absorption spectrometry in wine analysis. Maced J. Chem. Chem. Eng. 2009, 281, 7–31. [Google Scholar] [CrossRef]
- Fadeel, A.A. Location and properties of chloroplasts and pigment determination in roots. Physiol. Plant 1962, 15, 130–146. [Google Scholar] [CrossRef]
- Dubois, M.; Smith, F.; Gilles, K.A.; Hamilton, J.K.; Robers, P.A. Colorimetric method for determination of sugars and related substances. Anal. Chem. 1956, 28, 350–356. [Google Scholar] [CrossRef]
- Sadler, G.D.; Murphy, P.A. pH and titratable acidity. In Food Analysis; Nielsen, S.S., Ed.; Springer: Boston, MA, USA, 2010; pp. 219–238. [Google Scholar] [CrossRef]
- AOAC—Association of Official Analytical Chemists. Official Method of Analysis, 21st ed.; AOAC: Washington, DC, USA, 2019. [Google Scholar]
- Malik, C.P.; Singh, M.B. Plant Engymology and Histo-Engymology; A Text Manual; Kalyani Publishers: New Delhi, India, 1980. [Google Scholar]
- Nielsen, S.S. Phenol-sulfuric acid method for total carbohydrates. In Food Analysis Laboratory Manual; Food Analysis Texts Series; Nielsen, S.S., Ed.; Springer: Boston, MA, USA, 2010; pp. 47–53. [Google Scholar] [CrossRef]
- Egan, H.; Kirk, R.S.; Sawyer, R. Pearson’s Chemical Analysis of Food; Churchill Livingstone: Minneapolis, MN, USA, 1981; p. 591. [Google Scholar]
- Moran, R.; Porath, D. Chlorophyll determination in intact tissues using N, N-Dimethylformamide. Plant Physiol. 1980, 65, 479. [Google Scholar] [CrossRef]
- Gomez, K.A.; Gomez, A. Statistical Procedures for Agricultural Research, 1st ed.; John Willey & Sons: New York, NY, USA, 1984. [Google Scholar]
- SAS Statistical Package, The SAS System for Windows, Version 9.13; SAS Institute Inc.: Cary, NC, USA, 2009.
- Carillo, P.; Colla, G.; El-Nakhel, C.; Bonini, P.; D’Amelia, L.; Dell’Aversana, E.; Pannico, A.; Giordano, M.; Sifola, M.I.; Kyriacou, M.C.; et al. Biostimulant Application with a Tropical Plant Extract Enhances Corchorus olitorius Adaptation to Sub-Optimal Nutrient Regimens by Improving Physiological Parameters. Agronomy 2019, 9, 249. [Google Scholar] [CrossRef]
- Diab, S.M.; El-hmied, S.A.A. Improving Mango Productivity by Spraying Some Natural Extracts and Adding Humic Under the Conditions of Newly Reclaimed Lands. Middle East J. Agric. Res. 2022, 11, 719–732. [Google Scholar]
- Al-Marsoumi, F.S.H.; Al-Hadethi, M.E.A. Effect of Humic acid and Seaweed extract spray in leaf mineral content of mango seedlings. Plant Arch. 2020, 20, 827–830. [Google Scholar]
- Sotiropoulos, S.; Chatzissavvidis, C.; Papadakis, I.E.; Kavvadias, V.; Paschalidis, C.; Antonopoulou, C.; Kiriakopoulos, S. Enhancing the Yield of Mature Olive Trees via Comparative Fertilization Strategies, including a Foliar Application with Fulvic and Humic Acids, in Non-Irrigated Orchards with Calcareous and Non-Calcareous Soils. Horticulturae 2024, 10, 167. [Google Scholar] [CrossRef]
- Huang, W.; Shen, Q.; Yang, H.; Chen, X.; Huang, W.; Wu, H.; Lai, N.; Yang, L.; Huang, Z.; Chen, L. Effects of Humic Acid-Copper Interactions on Growth, Nutrient Absorption, and Photosynthetic Performance of Citrus sinensis Seedlings in Sand Culture. J. Plant Growth Regul. 2024, 43, 3920–3938. [Google Scholar] [CrossRef]
- Abobaker, A.M.; Bound, S.A.; Swarts, N.D.; Barry, K.M. Effect of fertilizer type and mycorrhizal inocula-tion on growth and development of sunflower (Helianthus annuus L.). Rhizosphere 2018, 6, 11–19. [Google Scholar] [CrossRef]
- Narwal, S.S. Allelopathic interactions in multiple cropping systems. In Allelopathy in Ecological Agriculture and Forestry; Narwal, S.S., Hoagland, R.E., Dilday, R.H., Reigosa, M.J., Eds.; Springer: Dordrecht, The Netherlands, 2000; pp. 141–157. [Google Scholar]
- FFTC, Food & Fertilizer Technology Center. Wood Vinegar. 2005. Available online: http://www.fftc.agnet.org/library/pt/2005025/ (accessed on 2 April 2024).
- Tancho, A. Applied Natural Farming; Distributed in Thailand by NSTDA Book Center (National Science and Technology Development Agency); Mae Jo Natural Farming Information Center and National Science and Technology Development Agency: Pathom Thani, Thailand, 2013; ISBN 978-974-229-867-8. [Google Scholar]
- Lashari, M.S.; Liu, Y.; Li, L.; Pan, W.; Fu, J.; Pan, G.; Zheng, J.; Zheng, J.; Zhang, X.; Yu, X. Effects of amendment of biochar-manure compost in conjunction with pyroligneous solution on soil quality and wheat yield of a salt-stressed cropland from Central China Great Plain. Food Crop Res. 2013, 144, 113–118. [Google Scholar] [CrossRef]
- Grewal, A.; Abbey, L.; Gunupuru, L.R. Production, prospects and potential application of pyroligneous acid in agriculture. J. Anal. Appl. Pyrolysis 2018, 135, 152–159. [Google Scholar] [CrossRef]
- Sun, H.; Feng, Y.; Ji, Y.; Shi, W.; Yang, L.; Xing, B. N2O and CH4 emissions from N-fertilized rice paddy soil can be mitigated by wood vinegar application at an appropriate rate. Atmos. Environ. 2018, 185, 153–158. [Google Scholar] [CrossRef]
- Kaschuk, G.; Kuyper, T.W.; Leffelaar, P.A.; Hungria, M.; Giller, K.E. Are the rates of photosynthesis stimulated by the carbon sink strength of rhizobial and arbuscular mycorrhizal symbioses? Soil Biol. Biochem. 2009, 41, 1233–1244. [Google Scholar] [CrossRef]
- Wang, Y.; Qiu, L.; Song, Q.; Wang, S.; Wang, Y.; Ge, Y. Root proteomics reveals the effects of wood vinegar on wheat growth and subsequent tolerance to drought stress. Int. J. Mol. Sci. 2019, 20, 943. [Google Scholar] [CrossRef]
- Yang, S.; Wang, H.; Wang, G.; Wang, J.; Gu, A.; Xue, X.; Chen, R. Effects of seaweed-extract-based organic fertilizers on the levels of mineral elements, sugar-acid components and hormones in fuji apples. Agronomy 2023, 13, 969. [Google Scholar] [CrossRef]
- Al-Saif, A.M.; Ali, M.M.; Ben Hifaa, A.B.; Mosa, W.F. Influence of spraying some biostimulants on yield, fruit quality, oil fruit content and nutritional status of olive (Olea europaea L.) under salinity. Horticulturae 2023, 9, 825. [Google Scholar] [CrossRef]
- Asadi, M.; Rasouli, F.; Amini, T.; Hassanpouraghdam, M.B.; Souri, S.; Skrovankova, S.; Mlcek, J.; Ercisli, S. Improvement of Photosynthetic Pigment Characteristics, Mineral Content, and Antioxidant Activity of Lettuce (Lactuca sativa L.) by Arbuscular Mycorrhizal Fungus and Seaweed Extract Foliar Application. Agronomy 2022, 12, 1943. [Google Scholar] [CrossRef]
- Prasad, K.; Das, A.K.; Oza, M.D.; Brahmbhatt, H.; Siddhanta, A.K.; Meena, R.; Eswaran, K.; Rajyaguru, M.R.; Ghosh, P.K. Detection and quantification of some plant growth regulators in a seaweed-based foliar spray employing a mass spectrometric technique sans chromatographic separation. J. Agric. Food Chem. 2010, 58, 4594–4601. [Google Scholar] [CrossRef]
- Vannini, A.; Moratelli, F.; Monaci, F.; Loppi, S. Effects of wood distillate and soy lecithin on the photosynthetic performance and growth of lettuce (Lactuca sativa L.). SN Appl. Sci. 2021, 3, 113. [Google Scholar] [CrossRef]
- Drobek, M.; Frąc, M.; Cybulska, J. Plant Biostimulants: Importance of the Quality and Yield of Horticultural Crops and the Improvement of Plant Tolerance to Abiotic Stress—A Review. Agronomy 2019, 9, 335. [Google Scholar] [CrossRef]
- Martínez-Lorente, S.E.; Martí-Guillén, J.M.; Pedreño, M.Á.; Almagro, L.; Sabater-Jara, A.B. Higher Plant-Derived Biostimulants: Mechanisms of Action and Their Role in Mitigating Plant Abiotic Stress. Antioxidants 2024, 13, 318. [Google Scholar] [CrossRef]
- Tung-Yunn, H.O.; Quigg, A.; Finkel, Z.V.; Milligan, A.J.; Wgman, K.; Falkowski, P.G.; Morel, F.M.M. The elemental composition of some marine phytoplankton. J. Phycol. 2003, 39, 10–20. [Google Scholar] [CrossRef]
- Zhang, X.; Ervin, E. Cytokinin-containing seaweed and humic acid extracts associated with creeping bentgrass leaf cytokinins and drought resistance. Crop Sci. 2004, 44, 1737–1745. [Google Scholar] [CrossRef]
- Koç, I.; Yildiz, Ş.; Yardim, E.N. Effect of some pesticides and wood vinegar on soil nematodes in a wheat agro-ecosytem. Kahramanmaraş Sütçü İmam Univ. J. Agric. Nat. 2020, 23, 621–633. [Google Scholar]
- Dixon, K.W.; Merritt, D.J.; Flematti, G.R.; Ghisalberti, E.L. Karrikinolide—A phytoreactive compound derived from smoke with applications in horticulture, ecological restoration and agriculture. Acta Hortic. 2009, 813, 155–170. [Google Scholar] [CrossRef]
- Chiwocha, S.D.S.; Dixon, K.W.; Flematti, G.R.; Ghisalberti, E.L.; Merritt, D.J.; Nelson, D.C.; Riseborough, J.-A.M.; Smith, S.M.; Stevens, J.C. Karrikins: A new family of plant growth regulators in smoke. Plant Sci. 2009, 177, 252–256. [Google Scholar] [CrossRef]
- Kulkarni, M.G.; Ascough, G.D.; Verschaeve, L.; Baeten, K.; Arruda, M.P.; Van Staden, J. Effect of smoke-water and a smoke-isolated butenolide on the growth and genotoxicity of commercial onion. Sci. Hortic. 2010, 124, 434–439. [Google Scholar] [CrossRef]
- Spinelli, F.; Giovanni, F.; Massimo, N.; Mattia, S.; Guglielmo, C. Perspectives on the use of a seaweed extract to moderate the negative effects of alternate bearing in apple trees. J. Hortic. Sci. Biotechnol. 2009, 17, 131–137. [Google Scholar] [CrossRef]
- Chouliaras, V.; Tasioula, M.; Chatzissavvidis, C.; Therios, I.; Tsabolatidou, E. The effects of a seaweed extract in addition to nitrogen and boron fertilization on productivity, fruit maturation, leaf nutritional status and oil quality of the olive (Olea europaea L.) cultivar Koroneiki. J. Sci. Food Agric. 2009, 89, 984–988. [Google Scholar] [CrossRef]
- Al-Ghamdi, A.A.; Elansary, H.O. Synergetic effects of 5-aminolevulinic acid and Ascophyllum nodosum seaweed extracts on Asparagus phenolics and stress related genes under saline irrigation. Plant Physiol. Biochem. 2018, 129, 273–284. [Google Scholar] [CrossRef]
- Jindo, K.; Goron, T.L.; Pizarro-Tobías, P.; Sánchez-Monedero, M.A.; Audette, Y.; Deolu-Ajayi, A.O.; van der Werf, A.; Teklu, M.G.; Shenker, M.; Pombo Sudré, C.; et al. Application of biostimulant products and biological control agents in sustainable viticulture: A review. Front. Plant Sci. 2022, 13, 932311. [Google Scholar] [CrossRef]
- Souza, A.C.; Olivares, F.L.; Peres, L.E.P.; Piccolo, A.; Canellas, L.P. Plant hormone crosstalk mediated by humic acids. Chem. Biol. Technol. Agric. 2022, 9, 29. [Google Scholar] [CrossRef]
- Obata, T. Metabolons in plant primary and secondary metabolism. Phytochem. Rev. 2019, 18, 1483–1507. [Google Scholar] [CrossRef]
- Meraj, T.A.; Fu, J.; Raza, M.A. Transcription factors regulate plant stress responses through mediating secondary metabolism. Genes 2020, 11, 346. [Google Scholar] [CrossRef]
- Williams, A.; Gamir, J.; Gravot, A.; Pétriacq, P. Chapter Three—Untangling plant immune responses through metabolomics. Adv. Bot. Res. 2021, 98, 73–105. [Google Scholar] [CrossRef]
- Daws, M.I.; Davies, J.; Pritchard, H.W.; Brown, N.A.; Van Staden, J. Butenolide from plant-derived smoke enhances germination and seedling growth of arable weed species. Plant Growth Regul. 2007, 51, 73–82. [Google Scholar] [CrossRef]
- Guo, W.; Nazim, H.; Liang, Z.; Yang, D. Magnesium deficiency in plants: An urgent problem. Crop J. 2016, 4, 83–91. [Google Scholar] [CrossRef]
- Michel, L.; Pena, A.; Pastenes, C.; Berríos, P.; Rombol, A.D.; Covarrubias, J.I. Sustainable strategies to prevent iron deficiency, improve yield and berry composition in blueberry (Vaccinium spp.). Front. Plant Sci. 2019, 10, 255. [Google Scholar] [CrossRef]
- Zhu, K.; Liu, J.; Luo, T.; Zhang, K.; Khan, Z.; Zhou, Y.; Cheng, T.; Yuan, B.; Peng, X.; Hu, L. Wood Vinegar Impact on the Growth and Low-Temperature Tolerance of Rapeseed Seedlings. Agronomy 2022, 12, 2453. [Google Scholar] [CrossRef]
- Soppelsa, S.; Kelserer, M.; Casera, C.; Bassi, M.; Robatscher, P.; Andreotti, C. Use of biostimulants for organic apple production: Effects on tree growth, yield and fruit quality at harvest and during storage. Front. Plant Sci. 2018, 9, 1342. [Google Scholar] [CrossRef]
- Roshdy, K.A. Effect of spraying silicon and seaweed extract on growth and fruiting of grandnaine banana. Egypt. J. Agric. Res. 2014, 92, 979–991. [Google Scholar] [CrossRef]
- Alebidi, A.; Almutairi, K.; Merwad, M.; Mostafa, E.; Saleh, M.; Ashour, N.; Al-Obeed, R.; Elsabagh, A. Effect of Spraying Algae Extract and Potassium Nitrate on the Yield and Fruit Quality of Barhee Date Palms. Agronomy 2021, 11, 922. [Google Scholar] [CrossRef]
- Ngullie, C.R.; Tank, R.V.; Bhander, D.R. Effect of salicylic acid and humic acid on flowering, fruiting, yield and quality of mango (Mangifera indica L.) cv. KESAR. Adv. Res. J. Crop Improv. 2014, 5, 136–139. [Google Scholar] [CrossRef]
- El-Hoseiny, H.M.; Helaly, M.N.; Elsheery, N.I.; Alam-Eldeinry, S.H.M. Humic Acid and Boron to Minimize the Incidence of Alternate Bearing and Improve the Productivity and Fruit Quality of Mango Trees. HortScience 2020, 55, 1026–1037. [Google Scholar] [CrossRef]
- Abdel-Mawgoud, A.M.R.; El-Greadly, N.; Helmy, Y.I.; Singer, S.M. Response of tomato plants to different rates of humic based fertilizer and NPK fertilization. J. Appl. Sci. Res. 2007, 3, 169–174. [Google Scholar]
- Hermans, C.; Hammond, J.P.; White, P.J.; Verbruggen, N. How do plants respond to nutrient shortage by biomass allocation? Trends Plant Sci. 2006, 11, 610–617. [Google Scholar] [CrossRef]




| Soil Depth (cm) | Soil Fractions | Soil Texture | pH | EC (dS/m) | CaCO3 (%) | OM (%) | Soluble Cations (meq/L) | Soluble Anions (meq/L) | |||||||
|---|---|---|---|---|---|---|---|---|---|---|---|---|---|---|---|
| Sand (%) | Silt (%) | Clay (%) | |||||||||||||
| Na+ | Ca2+ | Mg2+ | K+ | HCO3− | Cl− | SO42− | |||||||||
| 0–30 | 72.80 | 12.80 | 14.40 | Sandy Loam | 7.62 | 1.45 | 2.33 | 0.46 | 8.79 | 3.33 | 2.50 | 0.15 | 2.9 | 9.08 | 2.79 |
| 30–60 | 71.10 | 12.00 | 16.90 | Sandy Loam | 7.66 | 1.41 | 2.28 | 0.52 | 8.10 | 3.48 | 2.59 | 0.20 | 3.1 | 8.38 | 2. 89 |
| 60–90 | 72.00 | 11.80 | 16.20 | Sandy Loam | 7.81 | 1.56 | 2.42 | 0.36 | 8.88 | 3.09 | 2.80 | 0.20 | 3.19 | 9.1 | 3.18 |
| Average | 71.97 | 12.20 | 15.83 | Sandy Loam | 7.70 | 1.46 | 2.35 | 0.45 | 8.59 | 3.30 | 2.63 | 0.18 | 3.06 | 8.85 | 2.95 |
| Season | Treatment | N (%) | P (%) | K (%) | Ca (%) | Mg (%) | Fe (ppm) | Zn (ppm) |
|---|---|---|---|---|---|---|---|---|
| 2023 | Control | 1.22 h | 0.12 h | 0.54 f | 0.20 h | 1.60 h | 112.88 h | 29.00 h |
| HA | 1.54 f | 0.18 f | 0.76 d | 0.35 f | 1.96 f | 135.13 f | 46.93 f | |
| SW | 1.64 e | 0.21 e | 0.82 c | 0.42 e | 2.05 e | 140.10 e | 53.98 e | |
| WV | 1.39 g | 0.16 g | 0.68 e | 0.29 g | 1.84 g | 130.20 g | 37.93 g | |
| HA + SW | 1.94 b | 0.33 b | 0.99 b | 0.61 b | 2.37 b | 183.75 b | 73.95 b | |
| HA + WV | 1.73 d | 0.24 d | 0.86 c | 0.49 d | 2.15 d | 146.70 d | 60.98 d | |
| SW + WV | 1.86 c | 0.30 c | 0.93 b | 0.55 c | 2.26 c | 163.93 c | 67.13 c | |
| HA + SW + WV | 2.02 a | 0.38 a | 1.07 a | 0.67 a | 2.47 a | 198.50 a | 83.30 a | |
| LSD0.05 | 0.036 | 0.012 | 0.053 | 0.008 | 0.029 | 0.922 | 0.760 | |
| 2024 | Control | 1.24 h | 0.12 h | 0.56 h | 1.62 h | 0.23 h | 114.18 h | 29.23 h |
| HA | 1.59 f | 0.19 f | 0.79 f | 2.01 f | 0.39 f | 136.88 f | 47.88 f | |
| SW | 1.67 e | 0.22 e | 0.86 e | 2.11 e | 0.46 e | 142.53 e | 55.98 e | |
| WV | 1.43 g | 0.17 g | 0.69 g | 1.90 g | 0.33 g | 131.88 g | 40.38 g | |
| HA + SW | 1.99 b | 0.36 b | 1.03 b | 2.40 b | 0.64 b | 191.78 b | 77.00 b | |
| HA + WV | 1.76 d | 0.26 d | 0.92 d | 2.21 d | 0.52 d | 151.30 d | 62.40 d | |
| SW + WV | 1.88 c | 0.32 c | 0.98 c | 2.32 c | 0.57 c | 178.40 c | 69.90 c | |
| HA + SW + WV | 2.23 a | 0.40 a | 1.13 a | 2.51 a | 0.69 a | 207.30 a | 85.43 a | |
| LSD0.05 | 0.050 | 0.010 | 0.033 | 0.030 | 0.011 | 1.090 | 0.745 |
| Season | Treatment | Fruit Weight (g) | Seed Weight (g) | Peel Weight (g) | Pulp Weight (g) | Pulp/Fruit (%) | Fruit Length (cm) | Fruit Width (cm) | Fruit Shape Index |
|---|---|---|---|---|---|---|---|---|---|
| 2023 | Control | 203.18 h | 10.43 a | 16.30 a | 176.45 h | 86.85 h | 6.88 h | 5.65 h | 1.22 e |
| HA | 221.85 f | 9.08 c | 15.67 c | 197.11 f | 88.85 f | 8.65 f | 6.40 f | 1.35 c | |
| SW | 227.95 e | 8.70 d | 15.30 d | 203.95 e | 89.47 e | 9.05 e | 6.80 e | 1.33 c | |
| WV | 214.40 g | 9.60 b | 15.82 b | 188.98 g | 88.14 g | 7.85 g | 6.15 g | 1.28 d | |
| HA + SW | 244.13 b | 8.11 g | 14.17 g | 221.85 b | 90.87 b | 11.25 b | 7.53 b | 1.50 a | |
| HA + WV | 234.48 d | 8.44 e | 14.63 e | 211.41 d | 90.16 d | 9.85 d | 6.93 d | 1.42 b | |
| SW + WV | 240.18 c | 8.29 f | 14.28 f | 217.61 c | 90.60 c | 10.83 c | 7.25 c | 1.49 a | |
| HA + SW + WV | 246.38 a | 7.89 h | 14.08 h | 224.41 a | 91.08 a | 11.68 a | 7.80 a | 1.50 a | |
| LSD0.05 | 1.692 | 0.091 | 0.076 | 1.717 | 0.105 | 0.197 | 0.114 | 0.036 | |
| 2024 | Control | 206.13 g | 10.28 a | 16.48 a | 179.40 h | 87.02 h | 6.98 h | 5.74 f | 1.22 de |
| HA | 222.23 e | 8.94 c | 15.72 c | 197.57 f | 88.91 f | 8.85 f | 7.16 d | 1.24 d | |
| SW | 228.00 d | 8.56 d | 15.45 d | 203.99 e | 89.47 e | 9.40 e | 7.80 c | 1.21 de | |
| WV | 215.90 f | 9.48 b | 15.98 b | 190.45 g | 88.21 g | 8.10 g | 6.80 e | 1.19 e | |
| HA + SW | 247.38 b | 7.86 g | 14.25 g | 225.26 b | 91.06 b | 11.81 b | 8.43 a | 1.40 b | |
| HA + WV | 241.95 c | 8.36 e | 14.77 e | 218.82 d | 90.44 d | 10.55 d | 7.85 c | 1.34 c | |
| SW + WV | 243.65 c | 8.20 f | 14.39 f | 221.06 c | 90.73 c | 11.18 c | 8.11 b | 1.38 b | |
| HA + SW + WV | 250.33 a | 7.76 g | 14.15 g | 228.42 a | 91.25 a | 12.38 a | 8.59 a | 1.44 a | |
| LSD0.05 | 1.772 | 0.123 | 0.130 | 1.809 | 0.096 | 0.121 | 0.167 | 0.033 |
Disclaimer/Publisher’s Note: The statements, opinions and data contained in all publications are solely those of the individual author(s) and contributor(s) and not of MDPI and/or the editor(s). MDPI and/or the editor(s) disclaim responsibility for any injury to people or property resulting from any ideas, methods, instructions or products referred to in the content. |
© 2024 by the authors. Licensee MDPI, Basel, Switzerland. This article is an open access article distributed under the terms and conditions of the Creative Commons Attribution (CC BY) license (https://creativecommons.org/licenses/by/4.0/).
Share and Cite
Abdel-Sattar, M.; Mostafa, L.Y.; Rihan, H.Z. Enhancing Mango Productivity with Wood Vinegar, Humic Acid, and Seaweed Extract Applications as an Environmentally Friendly Strategy. Sustainability 2024, 16, 8986. https://doi.org/10.3390/su16208986
Abdel-Sattar M, Mostafa LY, Rihan HZ. Enhancing Mango Productivity with Wood Vinegar, Humic Acid, and Seaweed Extract Applications as an Environmentally Friendly Strategy. Sustainability. 2024; 16(20):8986. https://doi.org/10.3390/su16208986
Chicago/Turabian StyleAbdel-Sattar, Mahmoud, Laila Y. Mostafa, and Hail Z. Rihan. 2024. "Enhancing Mango Productivity with Wood Vinegar, Humic Acid, and Seaweed Extract Applications as an Environmentally Friendly Strategy" Sustainability 16, no. 20: 8986. https://doi.org/10.3390/su16208986
APA StyleAbdel-Sattar, M., Mostafa, L. Y., & Rihan, H. Z. (2024). Enhancing Mango Productivity with Wood Vinegar, Humic Acid, and Seaweed Extract Applications as an Environmentally Friendly Strategy. Sustainability, 16(20), 8986. https://doi.org/10.3390/su16208986

