Next Article in Journal
A Two-Stage Bayesian Network Approach to Inland Waterway Navigation Risk Assessment Considering the Characteristics of Different River Segments: A Case of the Yangtze River
Next Article in Special Issue
Effects of Reclaimed Water Irrigation on Soil Properties and the Composition and Diversity of Microbial Communities in Northwest China
Previous Article in Journal
An Optimal Road Network Extraction Methodology for an Autonomous Driving-Based Demand-Responsive Transit Service Considering Operational Design Domains
 
 
Font Type:
Arial Georgia Verdana
Font Size:
Aa Aa Aa
Line Spacing:
Column Width:
Background:
Article

Investigating the Interactive Effect of Arbuscular Mycorrhizal Fungi and Different Chelating Agents (EDTA and DTPA) with Different Plant Species on Phytoremediation of Contaminated Soil

1
Soil Science Department, College of Food and Agriculture Sciences, King Saud University, Riyadh 13362, Saudi Arabia
2
Plant Production Department, College of Food and Agriculture Sciences, King Saud University, Riyadh 13362, Saudi Arabia
*
Author to whom correspondence should be addressed.
Sustainability 2024, 16(20), 8820; https://doi.org/10.3390/su16208820
Submission received: 28 August 2024 / Revised: 4 October 2024 / Accepted: 10 October 2024 / Published: 11 October 2024
(This article belongs to the Special Issue Soil Pollution, Soil Ecology and Sustainable Land Use)

Abstract

Heavy metal (HM) contamination in soil poses a severe environmental threat, jeopardizing ecosystem health and potentially entering the food chain through plant uptake. Phytoremediation, a bioremediation technique utilizing plants to remove or immobilize contaminants, offers a sustainable and eco-friendly solution for HM remediation. This study investigated the interactive effects of arbuscular mycorrhizal fungi (AMF) and chelating agents (EDTA and DTPA) on the growth of maize (Zea mays L.) and alfalfa (Medicago sativa L.) cultivated in metal-contaminated soil and their impact on HM uptake by these plants. The findings revealed that AMF and chelating agents have complex interactive effects on plant growth and metal accumulation. Maize (Zea mays L.) shoot dry matter increased with AMF and chelating agents at lower concentrations. Both plants generally showed a significant (p ≤ 0.05) increase in shoot dry matter with amendments, with AMF × EDTA (10 mmol/kg) being the most effective for alfalfa. DTPA and EDTA generally reduced the DTPA-extractable metals in soil, suggesting potential for metal removal. However, the effects of AMF on metal availability were variable. Metal concentrations in maize (Zea mays L.) shoots increased with increasing DTPA and EDTA concentrations, while the effects of AMF were more complex. The alfalfa shoot metal content showed varied responses, with EDTA (5 mmol/kg) effectively reducing the metal uptake. In general, treatments involving chelating agents (DTPA and EDTA) tend to result in higher bioaccumulation factor (BF) values compared to the non-treated controls for most HMs in both plant species. Mycorrhizal fungi (AMF) treatment alone or in combination with chelating agents also showed that varied effects on HM uptake in both the alfalfa and maize treatments with chelating agents, especially at higher concentrations, generally promoted the greater translocation of HMs in both plant species. Both alfalfa and maize responded differently to treatments, with some treatments showing higher translocation factor (TF) values for certain HMs in one species compared to the other. Mycorrhizal fungi (AMF) treatment alone or in combination with chelating agents also showed varied effects on HM uptake and translocation in both alfalfa and maize. Further research is required to optimize remediation strategies that balance plant health and metal mobilization.

1. Introduction

Industrial activities, mining practices, and the improper use of pesticides and fertilizers are major contributors to heavy metal (HM) pollution [1]. HMs are elements characterized by a large atomic weight and high density, and they persist in the environment due to their inability to decompose [2,3,4,5].
These HMs can persist in the soil for extended periods, adversely affecting soil fertility, microbial communities, and plant growth. Human activities contribute to elevated levels of toxic metals such as zinc, copper, and cadmium in the environment, leading to significant health risks to both human and animal health. HMs absorbed by plants facilitate their entry to the food chain, further amplifying the risk to human and animal health. Consequently, soil contamination by HMs and other pollutants poses a considerable threat to environmental health, which necessitates remediation efforts [6,7,8,9].
Phytoremediation, a green and sustainable technology, utilizes plants to extract, stabilize, or degrade contaminants from soil, offering a promising and eco-friendly approach to address HM contamination. This technique utilizes plants to remove or immobilize HMs from the soil through various mechanisms including phytoextraction, which involves the uptake and translocation of HMs to harvestable shoots. However, the effectiveness of phytoremediation can be limited by multiple factors including low plant biomass production, limited efficiency of HM uptake, and insufficient translocation to harvestable parts of the plant [6,10,11].
Chelating agents such as ethylenediaminetetraacetic acid (EDTA) and diethylenetriaminepentaacetic acid (DTPA) are synthetic compounds that can bind to metal ions, forming complexes that are more readily absorbed by plants, thereby increasing their mobility in the soil and promoting their uptake by plants. Excessive use of chelating agents, however, can potentially leach HMs into groundwater, posing a limiting factor for their application in phytoremediation [12].
A highly effective chelator, EDTA is known for its ability to mobilize a wide range of metals, however, its persistence in the environment and potential for mobilizing unwanted elements may raise concerns about its long-term impact. A less persistent chelator compared to EDTA is DTPA, which offers a potentially more environmentally friendly alternative. However, its effectiveness in mobilizing specific metals may be lower than that of EDTA [13,14].
Arbuscular mycorrhizal fungi (AMF) are a type of symbiotic fungus that forms beneficial associations with plant roots, enhancing nutrient uptake, and potentially improving plant tolerance to HM stress [15]. Zhou et al. (2019) demonstrated that elevated CO2 levels enhanced AMF colonization in tomato roots by stimulating strigolactone biosynthesis. This finding emphasizes the importance of both environmental factors and hormonal regulation in fostering beneficial symbiotic relationships between plants and AMF [16].
AbdElgawad et al. (2022) indicated that elevated CO2 (eCO2) and AMF improved sugar flow to the roots, reducing arsenite (AsIII) uptake and stress in plants, especially in soybeans. Sheteiwy et al. (2022) demonstrated that the mechanism of AMF had an impact on beryllium (Be) stress in ryegrass and chickpea plants, and AMF inoculation could serve as a viable strategy to mitigate Be phytotoxicity in both plant species [17,18].
Arbuscular mycorrhizal fungi (AMF) form symbiotic relationships with the roots of over 80% of terrestrial plant species. These microscopic fungi extend the plant’s root system, increasing its access to water and nutrients in the soil. They can also play a crucial role in phytoremediation by enhancing metal mobilization, as AMF secrete organic acids and siderophores, natural chelators that can increase the mobility and plant uptake of metals [19,20].
For example, a study by Yang et al. (2021) demonstrated that AMF colonization significantly enhanced the uptake of lead (Pb) by maize plants. AMF can alleviate metal-induced stress in plants by enhancing their antioxidant defense mechanisms. This allows plants to tolerate higher metal concentrations and continue to function effectively. A healthy and vigorous plant with the support of AMF can take up more contaminants and contribute to faster remediation [15,21,22].
Although the use of hyperaccumulator plants in the phytoremediation of HM-contaminated industrial soils serves as an effective and cost-effective solution, the efficiency of such techniques is heavily influenced by the soil and climatic conditions. For instance, the survival of hyperaccumulator plants is difficult in arid-region soils with higher pH, EC, and calcium carbonate contents on top of HM polluted soil. Therefore, adding chelating agents (EDTA and DTPA) with AMF could improve the survival of accumulator plants and grow well in such conditions, which could effectively remediate heavy metal-contaminated soils.
This research examined the interactive effects of AMF colonization, chelating agent application, and plant diversity on phytoremediation. The focus was on optimizing metal mobilization and understanding how AMF and chelators work together to enhance contaminant bioavailability for specific plant species. Research suggests that AMF can enhance the effectiveness of chelators by facilitating their penetration into the rhizosphere, improving a plant’s phytoremediation capability.

2. Material and Methods

2.1. Soil Collection and Preparation

A calcareous soil was collected from the top 0–20 cm layer from an undisturbed and uncontaminated area (26°12′ N, 44°05′ E) from three sites in the Al-Qassim region, located in central Saudi Arabia (approximately 400 km northwest of Riyadh, the capital of Saudi Arabia), which is 600–750 m above sea level. The collected samples were air-dried, ground, passed through a 2 mm mesh sieve, and thoroughly mixed to ensure homogeneity and used for pot experiments. A subsample of the soil samples was used for physio-chemical analysis.
The soils were then artificially contaminated with HMs by introducing heavy metal salts (CdCl2·2H2O, CoCl2, Cr(NO3)3·9H2O, CuCl2, KMnClO4, NI(NO3)6H2O, PbCl2, and ZnCl2) to the soil. These salts were obtained from Sigma-Aldrich Co. (St. Louis, MO, USA).
According to the findings from prior studies in a major industrial site in SA by Aloud et al. (2022, 2023), the applied concentrations for the artificially contaminated soil were established at 100 mg/kg for Cd, 50 mg/kg for Co, 50 mg/kg for Cr, 150 mg/kg for Cu, 150 mg/kg for Mn, 50 mg/kg for Ni, 150 mg/kg for Pb, and 150 mg/kg for Zn. After the soils were treated with specific concentrations of HMs, the soils were mixed well in large plastic containers and incubated for 3 months. Soil moisture was maintained through alternate wetting and drying cycles to allow the HMs to equilibrate with the soil. After 3 months, the incubated heavy metal-contaminated soils were used in the greenhouse experiments [3,23].

2.2. Experiments

A pot experiment was conducted in the Greenhouse Research Center at the College of Food and Agricultural Sciences, King Saud University. The study aimed to investigate the interactive effects of arbuscular mycorrhizal fungi (AMF) and different chelating agents on the uptake and mobility of HMs in polluted soil by various plant species. Ten different treatments, namely AMF, DTPA (5 mmol/kg), DTPA (10 mmol/kg), EDTA (5 mmol/kg), EDTA (10 mmol/kg), AMF × DTPA (5 mmol/kg), AMF × DTPA (10 mmol/kg), AMF × EDTA (5 mmol/kg), and AMF × EDTA (10 mmol/kg) were used. The pot experiment followed a factorial completely randomized design with three replications. A plastic pots with a diameter of 25 cm and a height of 30 cm were used for the experiment. Each pot was filled with 5 kg of air-dried soil that had been artificially contaminated with heavy metals (HMs) to achieve the desired concentration levels.
Funneliformis mosseae (syn. Glomus mosseae), Rhizophagus intraradices (syn. Glomus intraradices), Claroideoglomus etunicatum (syn. Glomus etunicatum), and Gigaspora margarita were obtained after 90 days of cultivation trap culture. Zea mays L. seeds were sown (20 seeds per pot) in 5 kg capacity pots at a depth of 2 cm, and the pots were incubated under controlled conditions in a plant growth chamber at 25 ± 2 °C with an 18-h photoperiod, a photosynthetic photon flux density of 750 μmol m−2 s−1, and a relative humidity of 70–75% for 90 days. Hoagland’s solution without phosphorus was used to enhance mycorrhizal colonization. The trap culture was used as the AMF inoculum for mycorrhizal treatments of 25 g of trap soil culture (approx.100 spores/g trap soil) per pot as a thin layer about 5 cm below the surface and before seed sowing for pots. Non-inoculated soil was also used as the control [24].
Seeds of maize (Zeal mays L.) and alfalfa (Medicago sativa L.) were first sterilized and placed on moistened filter papers in Petri dishes overnight [19,25]. Plant seeds were planted with a rate of 10 seeds per pot for maize (Zea mays L.) and alfalfa (Medicago sativa L.). After 15 days post cultivation, all plant species were thinned to three plants for Zea mays L. and Medicago sativa L. per pot. Intercultural operations, such as weeding and watering, were performed when necessary to ensure normal plant growth. Subsequently, plants were irrigated daily with water, maintaining the soil moisture content at field capacity throughout the experimental period. No fertilizers were used throughout the three month experiment to ensure no interference with plant growth.

2.3. Soil Physical and Chemical Analyses

Soil pH and electrical conductivity (EC) were determined in a 1:1 ratio of soil with deionized water using a pH meter and EC meter, respectively [26]. The soil particle size distribution was analyzed with the hydrometer method, and the soil texture was estimated using the USDA textural triangle. Cation exchange capacity (CEC) was determined by extraction with 1 N NH4OAc (pH 7.0), and exchangeable cations (Ca2+, Mg2+, K+, Na+ were determined in the soil extraction solution using ICP-OES (Perkin Elmer Optima 2100 DV, Shelton, CT, USA). The contents of CaCO3 were analyzed using the calcimeter method. The Walkley–Black method was employed to estimate the contents of soil organic matter (O.M) [27,28].

2.4. Measurements of Heavy-Metal Concentrations in Plants and Soils

Maize (Zea mays L.) and alfalfa plants were precisely extracted from their pots and cleansed using distilled water to remove the soil. The roots and shoots were separated and dried in an oven at 70 °C for 72 alfalfa, and the dry weights were recorded by an electronic balance. Plant samples were ground into powder with an electric grinder. A total of 2.0 g of the plant sample was taken in a Pyrex beaker and digested with a mixture of acids (HNO3 + HClO4 and aqua regia). The digested samples were then passed through syringe filters (0.45 μm) and their volumes were adjusted in volumetric flasks (25 mL) using deionized water. The HM plant contents were measured with ICP-AES [29].
At the end of the experiments, soil samples were collected from pots, air dried, sieved through a <2 mm sieve, and the soils were then extracted with DTPA solution. HMs in the extracted soil content were determined by ICP-OES [30,31]. All reagents used were of analytical grade. Stock standard solutions for the seven elements, each at a concentration of 1000 µg/mL, were prepared from either salts or pure metals obtained from J.T. Baker (Deventer, The Netherlands), Merck (Darmstadt, Germany), and Aldrich Chemical Company (Milwaukee, WI, USA).

2.5. Plant Bioaccumulation Factor (BF)

The plant bioaccumulation factor (BF) is a useful tool to evaluate whether a specific plant is an HM hyperaccumulator or not. BF is defined as the ability of a plant to accumulate HM concentrations, which is the ratio of HM concentration in plants and soil.
BF is computed according to the following formula [32,33,34]:
B F = C 1 C 2
where C1 and C2 are the average concentrations of metals in plants and soil, respectively.

2.6. The Translocation Factor (TF)

The translocation factor (TF) reflects the plant species efficiency in translocating the accumulated metals from its roots to shoots. It is calculated according to the following equation [35,36]:
T F = M 1 M 2
where M1 and M2 are the average concentrations of metals in the shoots and roots, respectively.

2.7. Statistical Analyses

The collected data were organized and analyzed using statistical software. Descriptive statistics including the mean and standard error (SE) were calculated using Statistic 8 software. Figures were created using Microsoft Excel 2016. To compare the mean concentrations of heavy metals (HMs) in plants and soils across all sites, a one-way ANOVA followed by a least significant difference (LSD) test was conducted at a 5% significance level using Statistic 8 software.

3. Results and Discussion

3.1. Soil Properties

The soil’s basic physical and chemical properties are shown in Table 1. In the topsoil from three undisturbed and uncontaminated sites, the soil was characterized as sandy loam, with sand, silt, and clay contents of 58%, 23%, and 19%, respectively. The organic matter content (O.M) of soil was 1.70% and 11.91% for the CaCO3 content with a pH value of 8.1, indicating a poor O.M and high soil alkalinity.
The soil had an electrical conductivity (EC) value of 1.93 dsm−1. The soil sample showed a cation exchange capacity (CEC) of 5.81 cmol/kg, Na+ (39.83 cmol/kg), Ca2+ (33.23 cmol/kg), Mg2+ (26.71 cmol/kg), and K (15.64 cmol/kg). The soil’s chemical proprieties indicate that HMs in such environments would precipitate in the topsoil surface, with limited movement and bioavailability for plants due to the high calcium carbonate content in addition to alkaline pH.

3.2. Plant Dry Matter

The dried weight of the maize (Zea mays L.) and alfalfa (Medicago sativa L.) plant shoots values are presented in Figure 1. The change in dry matter (DM) of the shoot ranged from 2.02 to 4.8 g plant−1 for Zea Mays (Figure 1a) and from 0.34 to 1.30 g plant−1 for alfalfa (Medicago sativa L.) (Figure 1b). The average DM was 3.27 and 0.80 g plant−1 for maize (Zea mays L.) and alfalfa (Medicago sativa L.), respectively. The results showed that the highest DM in shoots for Zea Mays L. was with AMF × EDTA (10 mmol/kg) and the EDTA (5 mmol/kg) treatments, reaching about 4.8 and 4.5 g plant−1, respectively. Conversely, the alfalfa plants exhibited varying responses, with treatments like AMF × EDTA (20 mmol/kg) resulting in the highest dry matter of 1.30 g plant−1.
According to the one-way ANOVA and LSD all-pairwise comparison, there were significant differences among all treatments for both crops (p-value < 0.001). These findings offer valuable insights into the interactive effects of arbuscular mycorrhizal fungi (AMF) and chelating agents on the growth of these plant species under varying conditions, enhancing our understanding of plant–soil interactions in polluted environments.
Amendments like AMF can enhance nutrient uptake by forming a symbiotic relationship with the plant roots, increasing the root surface area for absorption. Additionally, chelating agents like DTPA and EDTA can mobilize nutrients locked in the soil, making them more accessible to plants. The positive effect of EDTA at lower concentrations (5 mmol/kg) aligns with some studies, suggesting that it improves nutrient availability. However, the negative effect at higher concentrations (10 mmol/kg) might be due to excessive chelation, leading to nutrient leaching from the soil [37].
The study’s observation of AMF treatments with chelating agents (AMF × DTPA, AMF × EDTA) resulting in the highest shoot dry matter implies a synergistic effect. AMF can improve nutrient uptake while chelators can further mobilize nutrients, leading to a more pronounced growth increase compared to single amendments. As for alfalfa plants, the untreated soil treatment also had the lowest shoot dry matter, at around 0.2 g/plant. The shoot dry matter showed an increase in all treatments, except for DTPA at 10 mmol/kg. The highest shoot dry matter was with the AMF × EDTA (10 mmol/kg) treatment at around 1.6 g/plant, followed by EDTA (5 mmol/kg) with 1.2 g/plant.
AMF can improve nutrient acquisition, particularly phosphorus, which is essential for alfalfa growth, resulting in increased shoot dry matter production [38]. At appropriate concentrations (5 mmol/kg), chelating agents like DTPA can increase nutrient availability by mobilizing locked nutrients in the soil. This can enhance alfalfa growth, as seen in Figure 1b. The study suggests a potentially synergistic effect between AMF and chelators (AMF × DTPA, AMF × EDTA) on the shoot dry matter.

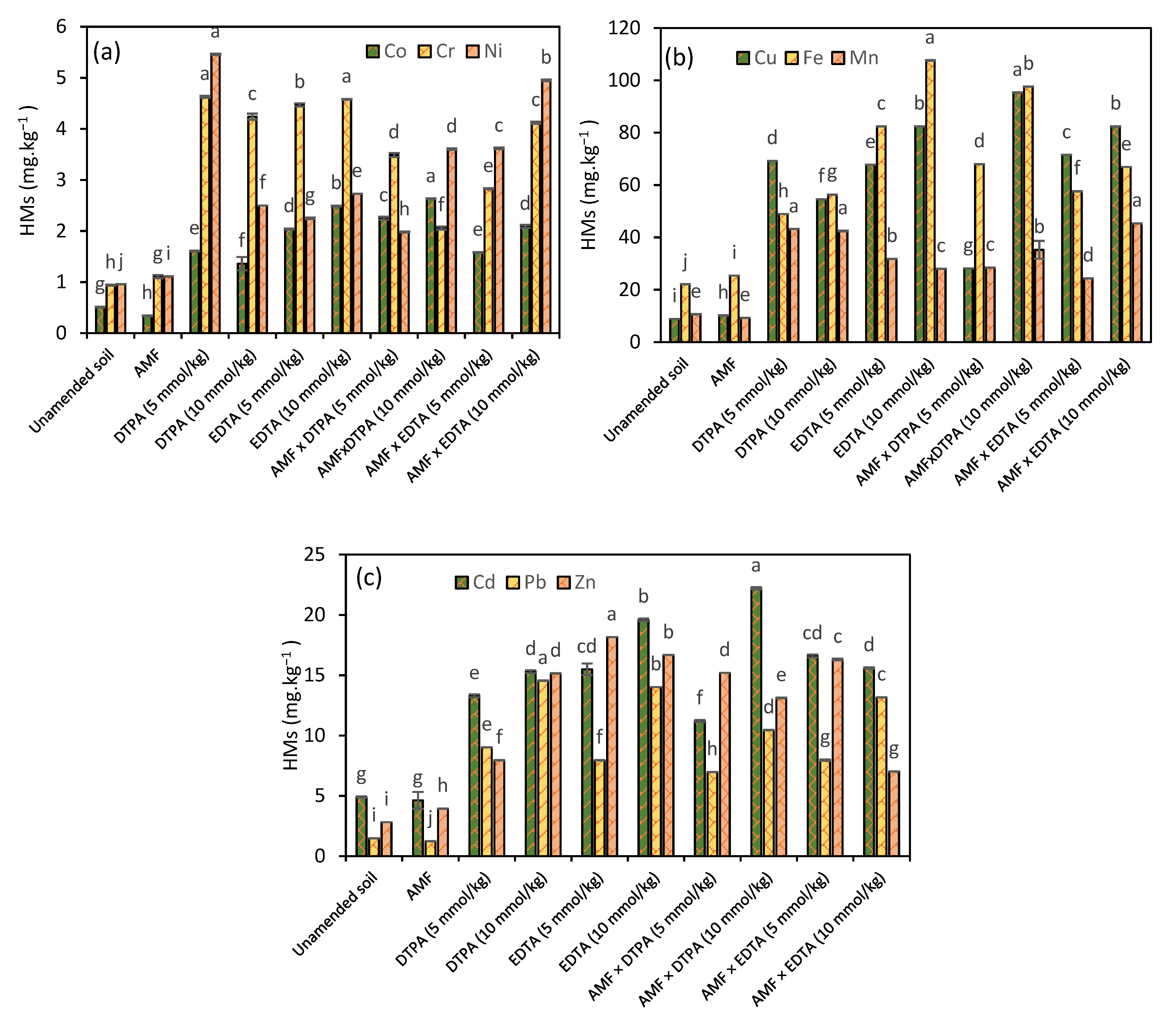
3.3. Extractable Heavy Metal Content in Soils

The DTPA-extractable HM contents (mg kg−1) in soil treated with different amendments are given in Figure 2. The study showed a significant increase in nine heavy metals (Cd, Co, Cr, Cu, Fe, Mn, Ni, Pb, and Zn) in soils treated with AMF, DTPA, EDTA, or their combinations compared to the untreated soil. Cd levels increased notably in AMF + DTPA-treated soils (16–22.3 mg/kg) compared to the untreated soil (4.8–5 mg/kg). Co and Cr also rose significantly (p-value < 0.05), especially in the AMF + DTPA and AMF + EDTA treatments. Cu and Fe showed the highest increases in DTPA and EDTA treatments, particularly with AMF, highlighting their strong impact. Mn and Ni concentrations were highest in the AMF + DTPA and AMF + EDTA treatments. Pb and Zn also increased significantly in the DTPA and EDTA treatments compared to the untreated soil.
There are no general or local standards to assess HM availability in soils. It is accepted that the following values (0.1, 0.2, 10, 1.0 and 0.5 mg kg−1) can be used as threshold values for Cd, Cu, Pb, Ni, and Zn, respectively. Murtaza et al. (2008) considered 0.5 g kg−1 as a permissible limit for Co [39,40].
The results showed that Cd, Cu, Ni, Pb, and Zn were above the critical limits for all treatments (Figure 2). The untreated soil consistently had the highest concentration of all elements across the figures, suggesting natural contamination. One-way ANOVA and LSD as all-pairwise comparison showed that there were significant differences among treatments for both crops (p-value < 0.001). DTPA and EDTA, chelating agents, generally showed lower concentrations compared to the untreated soil, indicating potential metal removal. However, the effectiveness seemed to vary.
The impact of AMF is less clear. In some cases like Cu, the AMF treatments showed higher concentrations than the untreated soil, possibly due to the increased uptake by plants. However, in other cases, it may influence metal bioavailability, for example, the Zn concentrations were higher in the untreated soil and showed a similar pattern to Cu and Fe in Figure 1 and Figure 2. The application of DTPA and EDTA seemed to reduce the Zn concentration, with the lowest concentration observed in EDTA (10 mmol/kg). AMF with EDTA (10 mmol/kg) showed the highest Zn concentration among the amended soils. Pb followed a similar pattern to Zn. Unamended soil had the highest concentration, and DTPA and EDTA seemed to reduce the Pb concentration. Cd concentrations were the highest in the untreated soil, however, unlike Zn and Pb, EDTA seemed to be less effective in reducing the Cd concentration compared to DTPA. The AMF and DTPA combined treatments showed a similar pattern to Zn, with the highest concentration observed in AMF × EDTA (10 mmol/kg).
The analysis of Figure 2 revealed how different treatments influence the soil HM concentrations. Chelating agents like DTPA and EDTA can effectively reduce some metal concentrations, though their efficiency varies based on factors like soil conditions and metal types. The role of AMF is more complex, as they can enhance metal uptake in some cases while potentially reducing bioavailability in others. Understanding these interactions is crucial for optimizing soil management practices and improving plant nutrition in contaminated environments [12].

3.4. Heavy Metal Concentration in Plants

The contents of HMs in maize (Zea mays L.) and alfalfa (Medicago sativa L.) are summarized in Figure 3 and Figure 4. A plant’s capacity to accumulate HMs from soils can be assessed using the BF. Phytoremediation relies on the uptake of HMs and their translocation to the upper parts of plants, where they can be easily removed. Generally, HMs are translocated to the shoots. Some plant species absorb HMs from the soil and store them in their biomass, while others translocate them to the aerial parts. Plants with BF and translocation factor (TF) values less than one are not considered suitable for phytoremediation [29,41].
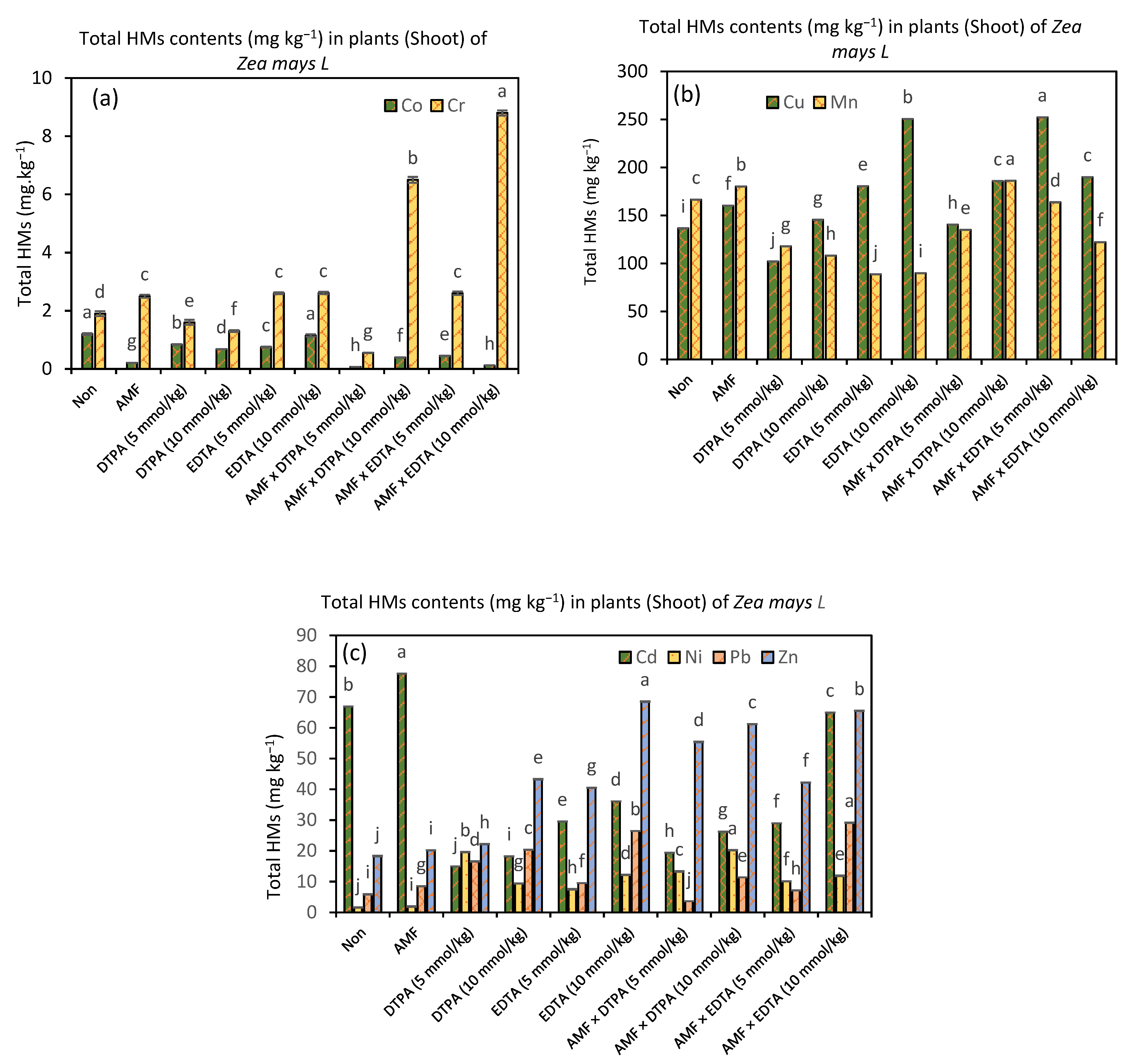
From Figure 3, it appears that Cd, Zn, Cu, Mn, and Cr showed the highest concentrations of HMs in maize shoots compared to the untreated soils. AMF integrated with DTPA and EDTA at (10 mmol/kg) increased the Cr in maize shoots by 243% and 363%, respectively, compared to the untreated soil. The Cu concentration in the shoots was greater in AMF × EDTA (5 mmol/kg) at 84% compared to the control. Ni showed the highest concentration compared to all other elements with 1125%, 487.5%, 368.8%, 662%, 731.3%, 1162.5%, 531.3%, and 643.8% for DTPA (5 mmol/kg), DTPA (10 mmol/kg), EDTA (5 mmol/kg) EDTA (10 mmol/kg), AMF × DTPA (5 mmol/kg), AMF × DTPA (10 mmol/kg), AMF × EDTA (5 mmol/kg), and AMF × EDTA (10 mmol/kg), respectively, compared to the control.
However, the highest Ni concentration was in AMF × DTPA (10 mmol/kg) with 1162.5%, followed by DTPA (5 mmol/kg) with 1125%. The highest Pb concentration was shown in AMF × EDTA (10 mmol/kg), followed by DTPA (10 mmol/kg) and EDTA (10 mmol/kg) with 393%, 348%, and 245%, respectively, compared to the untreated soil. The Zn concentration was higher in all of the amended soil compared to the untreated soil, with the highest percentage in EDTA (10 mmol/kg) by 274%.
Cd was higher in the treatment of AMF, which increased its concentration by 15% in the maize shoots compared to the untreated soil. This suggests that the amendments may have increased the bioavailability of HMs in the contaminated soil, leading to increased uptake by the plants.
Within each experiment, increasing the concentrations of the DTPA and EDTA amendments may correspond to a further increase in HM concentration in the maize shoots. The effect of AMF on the HM concentration appears to be more complex and could vary depending on the specific fungal species and the metal involved. In some cases, AMF could facilitate metal uptake, potentially leading to a higher HM content than the control. However, some AMF species might help plants tolerate HMs, potentially resulting in a lower HM content compared to the control.
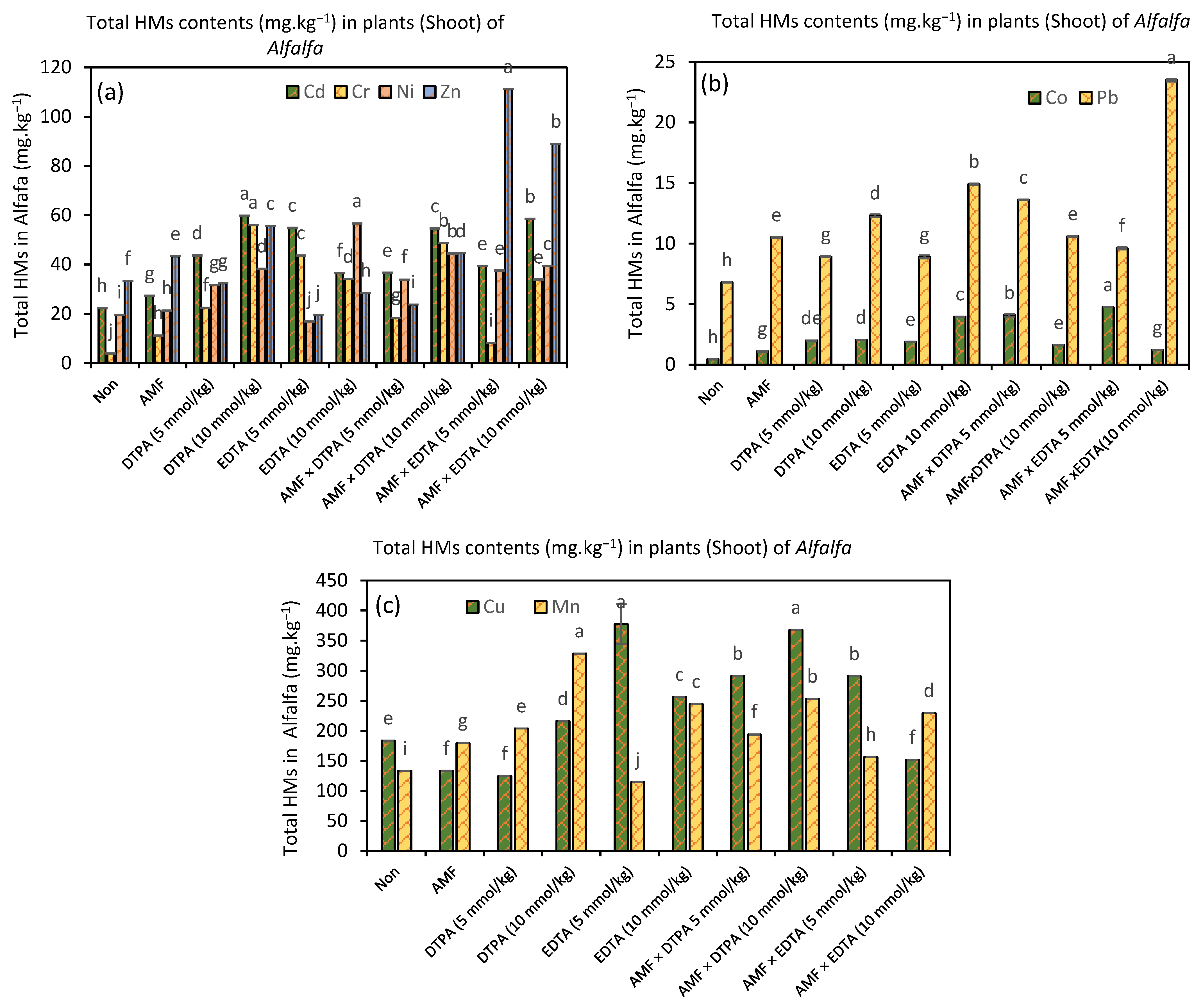
Among all treatments, the untreated soils showed the lowest concentrations of HMs in alfalfa shoots compared to those in amended soils Figure 2. The Cd concentration was higher in all amended soils compared to the untreated soils, with the highest concentrations in DTPA (10 mmol/kg) and AMF × EDTA (10 mmol/kg) compared to the untreated soils with 167% and 162%, respectively. Co was also higher in all treatments of amended soils, with the highest in AMF × EDTA (5 mmol/kg) and AMF × DTPA (5 mmol/kg) of 951 and 808, respectively. Cr showed the highest (1336%) in DTPA (10 mmol/kg) compared to thee control.
Cu was higher in EDTA (5 mmol/kg), AMF × DTPA (5 mmol/kg), AMF × DTPA (10 mmol/kg), and AMF × EDTA (5 mmol/kg) compared to the untreated plants, with the highest being 105% in EDTA (5 mmol/kg). The highest Mn concentration was 146% in the DTPA (10 mmol/kg) treatment compared to the control. Ni was highest in EDTA (10 mmol/kg) by 146% compared to the untreated soils. Pb was 245% higher in AMF × EDTA (10 mmol/kg) compared to the untreated soils while Zn showed the highest (233%) in AMF × EDTA (5 and 10 mmol/kg).
The effect of DTPA on the element content appeared inconsistent across the figures, in some cases, it might not significantly reduce the element content compared to the control. EDTA, particularly at concentrations of 5 mmol/kg, showed a remarkable decrease in element concentration in alfalfa shoots. According to the one-way ANOVA and LSD as an all-pairwise comparison, there were significant differences among all treatments for both crops (p-value < 0.001). This suggests its effectiveness in chelating elements in the soil, making them unavailable for plant uptake. Similar findings have been reported in studies on EDTA reducing lead accumulation in plants [42].
Mycorrhizal fungi (AMF), alone without DTPA or EDTA, might not always have a substantial impact on the element content. However, the combined application of AMF with either DTPA or EDTA at lower concentrations showed promising results in some figures, suggesting a potential synergistic effect. This was in contrast to the study of Yang et al. (2022), who demonstrated that AMF colonization alone significantly enhanced the uptake of lead (Pb) by maize plants. This can be attributed to the different treatment levels and mixtures used in the study [21]. Research by Razmi et al. (2021) supports this, demonstrating AMF’s ability to enhance EDTA’s effectiveness in remediating element-contaminated soil [43]. On the other hand, Pinto et al. (2014) reported that compared to EDTA, DTPA offered a potentially more environmentally friendly alternative, but its effectiveness in mobilizing specific metals may be lower than EDTA [14]. This contradicts our current findings, which found that both ETDA and DTPA has great potential in mobilizing heavy metals in soil.

3.5. Bioaccumulation (BF) and Translocation Factor (TF) in Maize Shoots

Table 2 and Table 3 summarize the BF and TF of shoots of Zea mays for various treatments.
The tables show that the BF and TF of the shoots for most HMs were significantly impacted by the different treatments. For example, the BF of Cd in the non-treated control group was 0.67, while the BF of Cd in the AMF × EDTA (10 mmol/kg) treatment group was 0.66. This suggests that the AMF × EDTA (10 mmol/kg) treatment group did not significantly affect the BF of Cd in the maize shoots. Similarly, the TF of Cd in the non-treated control group was 1.33, while the TF of Cd in the AMF × EDTA (10 mmol/kg) treatment group was 0.93. This suggests that the AMF × EDTA (10 mmol/kg) treatment group reduced the TF of Cd in the maize shoots.
The impact of the treatments on the BF and TF of shoots for other HMs was more variable, for example, the BF of Cu in the non-treated control group was 0.7, while the BF of Cu in the AMF × EDTA (10 mmol/kg) treatment group was 0.52. This suggests that the AMF × EDTA (10 mmol/kg) treatment group reduced the BF of Cu in the maize shoots. However, the TF of Cu in the non-treated control group was 0.7, while the TF of Cu in the AMF × EDTA (10 mmol/kg) treatment group was 0.52, suggesting that the AMF × EDTA (10 mmol/kg) treatment group did not significantly affect the TF of Cu in the maize shoots.
Overall, the tables show that the BF and TF of the shoots for most HMs were significantly impacted by the different treatments. The effects of the treatments were variable and dependent on the specific HM and treatment. Generally, plants with BF and TF values less than one are not considered suitable for phytoremediation [43]. Another study by Aloud et al. (2022) revealed that some plant species resulted in BF ranges from 0.04 to 2.76, which indicates that these plants have the potential for phytoremediation [3]. This is in line with our current study in which maize plants had higher BF values in some elements, which reflect the ability of this plant for phytoremediation in this area.

3.6. Bioaccumulation (BF) and Translocation Factor (TF) in Alfalfa (Medicago sativa L.)

Table 4 and Table 5 show the bioaccumulation factor (BF) and translocation factor (TF) of various HMs in alfalfa (Medicago sativa L.) grown in soil with HM contamination. Different treatments were applied to observe their effect on metal uptake by the plants. In alfalfa, the highest BF was found for copper (Cu) at 2.51, followed by nickel (Ni) at 1.13, chromium (Cr) at 1.12, manganese (Mn) at 0.74, zinc (Zn) at 0.60, cadmium (Cd) at 0.16, lead (Pb) at 0.09, and cobalt (Co). These results suggest that alfalfa accumulates Cu more efficiently than other metals. The maximum bioconcentration factor was achieved under an EDTA treatment at a rate of (10 mmol/kg), demonstrating that EDTA significantly enhances metal uptake, particularly for Cu. The study also observed the highest translocation factor for Zn in the AMF × EDTA treatment (10 mmol/kg), indicating that this treatment promotes efficient translocation of Zn from roots to shoots. Conversely, Pb showed the lowest TF in the same treatment, suggesting limited mobility of lead within the plant.

3.7. Bioaccumulation Factor (BF)

The BF indicates how much a metal concentrates in the plant shoot compared to its concentration in the soil. A higher BF value indicates a greater bioaccumulation.
In general, the non-treated plants showed moderate BF values for most metals, indicating some uptake but not extreme accumulation. Treatments generally increased the BF for some metals compared to the non-treated control. DTPA at higher concentrations (10 mmol/kg) significantly increased the BF for Cu, Cr, and Ni. This suggests that DTPA increased the mobility of these metals in the soil, making them more available for plant uptake. EDTA also increased the BF for some metals, particularly Cu at both concentrations. However, its effect was less pronounced compared to DTPA.
AMF, when used alone, had a minimal effect on the BF for most metals. Combining AMF with chelators like DTPA or EDTA showed mixed results. In some cases, it seemed to further enhance metal uptake (e.g., Cu with AMF × DTPA 5 mmol/kg), while in others, it mitigated the effect (e.g., Cd with AMF × EDTA).

3.8. Translocation Factor (TF)

The TF indicates how much a metal moves from the roots to the shoots of the plant. A higher TF value means a greater translocation to the edible parts of the plant. Like the BF, the non-treated plants showed moderate TF values for most metals. Treatments generally increased the TF for some metals compared to the control, and the trends observed with DTPA, EDTA, and AMF for BF were also reflected in the TF values.
DTPA at higher concentrations (10 mmol/kg) significantly increased the TF for several metals (Cu, Cr, Ni). EDTA increased the TF for Cu at both concentrations, while AMF alone had a minimal effect on TF, while combining AMF with the chelators showed mixed results.
Considering these findings in the context of HM contamination, the increased BF and TF values with some treatments raise concern. This suggests that these treatments might enhance the uptake and translocation of HMs into the aerial parts of the plants, posing a potential health risk if the alfalfa is consumed by humans or animals. DTPA seems to be particularly concerning as it significantly increased the BF and TF for several metals, therefore, its use for remediation purposes in such scenarios needs careful evaluation.
A study by Wuana et al. (2016) found that chelating agents like EDTA and DTPA can increase the mobility and bioavailability of HMs in soil. Another study by Hashem et al. (2022) reported that AMF can enhance plant metal uptake but can also act as a barrier to translocation depending on the metal and plant species. The study by Osama et al. (2018) found that applying biochar BC, AMF, and Rhizobium Rh to alfalfa plants, either individually or in combination, reduced the amount of Cd that the plants took up from the soil and translocated from their roots to their seeds [44,45,46].
Although this contradicts our findings in which the authors used AMF with different treatments and focused only on Cd, it can be agreed that AMF mitigates Cd from contaminated soils by using alfalfa plants.

4. Conclusions

This study investigated the interactive effects of arbuscular mycorrhizal fungi (AMF) and chelating agents (DTPA and EDTA) on HM uptake by maize and alfalfa. The findings indicate that these amendments can significantly impact plant growth, metal accumulation, and metal bioavailability in contaminated soil. Both AMF and the chelating agents generally enhanced plant growth, particularly at lower concentrations.
Chelating agents increased the metal uptake in both maize and alfalfa, while the AMF effects were more variable. Chelating agents reduced the DTPA-extractable metals in soil, suggesting their potential for metal removal. Both maize and alfalfa exhibited similar trends in HM uptake but also showed some specific variations. While most previous studies have explored the individual contributions of these factors, this study offers a unique perspective by examining their combined impact on HM uptake and plant growth.
The recommendations for future research on AMF and chelating agents on phytoremediation should emphasize how AMF enhances nutrient uptake and stress tolerance in plants. Investigating the diversity of AMF in contaminated soils, evaluating environmental factors such as pH and CaCO3 content that influence their effectiveness, and conducting long-term field assessments of their practical applications in remediation are all future research directions. This focus is particularly important given the rapid industrial growth in major cities around the world, which has resulted in the accumulation of HMs and the creation of significant environmental challenges.

Author Contributions

Conceptualization, S.S.A. and K.D.A.; Methodology, K.F.A., F.A. and F.N.A.; Formal analysis, K.D.A., S.S.A. and I.A.A.; Data curation, K.F.A., F.A., F.N.A. and I.A.A.; Writing—original draft preparation, S.S.A. and I.A.A.; Writing—review and editing, K.F.A., K.D.A. and F.N.A.; Supervision, S.S.A. All authors have read and agreed to the published version of the manuscript.

Funding

This project was funded by the National Plan for Science, Technology, and Innovation (MAARIFAH), King Abdulaziz City for Science and Technology, Kingdom of Saudi Arabia, Award-Number (14-BIO785-02).

Institutional Review Board Statement

Not applicable.

Informed Consent Statement

Not applicable.

Data Availability Statement

The data used in this study are available from the corresponding author upon reasonable request.

Acknowledgments

The authors extend their deep appreciation to the National Plan for Science, Technology, and Innovation (MAARIFAH), King Abdulaziz City for Science and Technology, Kingdom of Saudi Arabia.

Conflicts of Interest

The authors declare no conflicts of interest.

References

  1. Vareda, J.P.; Valente, A.J.M.; Durães, L. Assessment of Heavy Metal Pollution from Anthropogenic Activities and Remediation Strategies: A Review. J. Environ. Manag. 2019, 246, 101–118. [Google Scholar] [CrossRef] [PubMed]
  2. Alloway, B. Sources of Heavy Metals and Metalloids in Soils. In Heavy Metals in Soils: Trace Metals and Metalloids in Soils and Their Bioavailability Series; Springer: Dordrecht, The Netherlands, 2013; Volume 22, pp. 11–50. ISBN 978-94-007-4469-1. [Google Scholar]
  3. Aloud, S.S.; Alotaibi, K.D.; Almutairi, K.F.; Albarakah, F.N. Assessment of Heavy Metals Accumulation in Soil and Native Plants in an Industrial Environment, Saudi Arabia. Sustainability 2022, 14, 5993. [Google Scholar] [CrossRef]
  4. Wu, G.; Kang, H.; Zhang, X.; Shao, H.; Chu, L.; Ruan, C. A Critical Review on the Bio-Removal of Hazardous Heavy Metals from Contaminated Soils: Issues, Progress, Eco-Environmental Concerns and Opportunities. J. Hazard. Mater. 2010, 174, 1–8. [Google Scholar] [CrossRef] [PubMed]
  5. Rahman, Z.; Singh, V.P. The Relative Impact of Toxic Heavy Metals (THMs) (Arsenic (As), Cadmium (Cd), Chromium (Cr)(VI), Mercury (Hg), and Lead (Pb)) on the Total Environment: An Overview. Environ. Monit. Assess. 2019, 191, 419. [Google Scholar] [CrossRef] [PubMed]
  6. Priya, A.K.; Muruganandam, M.; Ali, S.S.; Kornaros, M. Clean-Up of Heavy Metals from Contaminated Soil by Phytoremediation: A Multidisciplinary and Eco-Friendly Approach. Toxics 2023, 11, 422. [Google Scholar] [CrossRef]
  7. Saxena, G.; Purchase, D.; Mulla, S.I.; Saratale, G.D.; Bharagava, R.N. Phytoremediation of Heavy Metal-Contaminated Sites: Eco-Environmental Concerns, Field Studies, Sustainability Issues, and Future Prospects. Rev. Environ. Contam. Toxicol. 2020, 249, 71–131. [Google Scholar] [CrossRef]
  8. Tauqeer, H.; Turan, V.; Iqbal, M. Production of Safer Vegetables from Heavy Metals Contaminated Soils: The Current Situation, Concerns Associated with Human Health and Novel Management Strategies. In Advances in Bioremediation and Phytoremediation for Sustainable Soil Management; Springer: Cham, Switzerland, 2022; pp. 301–312. ISBN 978-3-030-89983-7. [Google Scholar]
  9. Chen, H.; Teng, Y.; Lu, S.; Wang, Y.; Wang, J. Contamination Features and Health Risk of Soil Heavy Metals in China. Sci. Total Environ. 2015, 512–513, 143–153. [Google Scholar] [CrossRef]
  10. Nedjimi, B. Phytoremediation: A Sustainable Environmental Technology for Heavy Metals Decontamination. SN Appl. Sci. 2021, 3, 286. [Google Scholar] [CrossRef]
  11. Kumar, S.; Kadier, A.; Malyan, S.; Ahmad, A.; Bishnoi, N. Phytoremediation and Rhizoremediation: Uptake, Mobilization and Sequestration of Heavy Metals by Plants. In Plant-Microbe Interactions in Agro-Ecological Perspectives; Springer: Singapore, 2017; pp. 367–394. ISBN 978-981-10-6592-7. [Google Scholar]
  12. Sinegani, A.; Tahmasbian, I.; Safari Sinegani, M. Chelating Agents and Heavy Metal Phytoextraction. In Heavy Metal Contamination of Soils; Springer: Cham, Switzerland, 2015; pp. 367–393. ISBN 978-3-319-14525-9. [Google Scholar]
  13. Evangelou, M.W.H.; Ebel, M.; Schaeffer, A. Chelate Assisted Phytoextraction of Heavy Metals from Soil. Effect, Mechanism, Toxicity, and Fate of Chelating Agents. Chemosphere 2007, 68, 989–1003. [Google Scholar] [CrossRef]
  14. Pinto, I.S.S.; Neto, I.F.F.; Soares, H.M.V.M. Biodegradable Chelating Agents for Industrial, Domestic, and Agricultural Applications—A Review. Environ. Sci. Pollut. Res. Int. 2014, 21, 11893–11906. [Google Scholar] [CrossRef]
  15. Dhalaria, R.; Kumar, D.; Kumar, H.; Nepovimova, E.; Kuča, K.; Torequl Islam, M.; Verma, R. Arbuscular Mycorrhizal Fungi as Potential Agents in Ameliorating Heavy Metal Stress in Plants. Agronomy 2020, 10, 815. [Google Scholar] [CrossRef]
  16. Zhou, Y.; Ge, S.; Jin, L.; Yao, K.; Wang, Y.; Wu, X.; Zhou, J.; Xia, X.; Shi, K.; Foyer, C.H.; et al. A Novel CO2-Responsive Systemic Signaling Pathway Controlling Plant Mycorrhizal Symbiosis. New Phytol. 2019, 224, 106–116. [Google Scholar] [CrossRef] [PubMed]
  17. AbdElgawad, H.; El-Sawah, A.M.; Mohammed, A.E.; Alotaibi, M.O.; Yehia, R.S.; Selim, S.; Saleh, A.M.; Beemster, G.T.S.; Sheteiwy, M.S. Increasing Atmospheric CO2 Differentially Supports Arsenite Stress Mitigating Impact of Arbuscular Mycorrhizal Fungi in Wheat and Soybean Plants. Chemosphere 2022, 296, 134044. [Google Scholar] [CrossRef] [PubMed]
  18. Sheteiwy, M.S.; El-Sawah, A.M.; Korany, S.M.; Alsherif, E.A.; Mowafy, A.M.; Chen, J.; Jośko, I.; Selim, S.; AbdElgawad, H. Arbuscular Mycorrhizal Fungus “Rhizophagus Irregularis” Impacts on Physiological and Biochemical Responses of Ryegrass and Chickpea Plants under Beryllium Stress. Environ. Pollut. 2022, 315, 120356. [Google Scholar] [CrossRef] [PubMed]
  19. Meddad-Hamza, A.; Hamza, N.; Neffar, S.; Beddiar, A.; Gianinazzi, S.; Chenchouni, H. Spatiotemporal Variation of Arbuscular Mycorrhizal Fungal Colonization in Olive (Olea europaea L.) Roots across a Broad Mesic-Xeric Climatic Gradient in North Africa. Sci. Total Environ. 2017, 583, 176–189. [Google Scholar] [CrossRef]
  20. Ma, Y.; Oliveira, R.S.; Freitas, H.; Zhang, C. Biochemical and Molecular Mechanisms of Plant-Microbe-Metal Interactions: Relevance for Phytoremediation. Front. Plant Sci. 2016, 7, 918. [Google Scholar] [CrossRef]
  21. Yang, Y.; Huang, B.; Xu, J.; Li, Z.; Tang, Z.; Wu, X. Heavy Metal Domestication Enhances Beneficial Effects of Arbuscular Mycorrhizal Fungi on Lead (Pb) Phytoremediation Efficiency of Bidens Parviflora through Improving Plant Growth and Root Pb Accumulation. Environ. Sci. Pollut. Res. Int. 2022, 29, 32988–33001. [Google Scholar] [CrossRef]
  22. Zhan, F.; Li, B.; Jiang, M.; Yue, X.; He, Y.; Xia, Y.; Wang, Y. Arbuscular Mycorrhizal Fungi Enhance Antioxidant Defense in the Leaves and the Retention of Heavy Metals in the Roots of Maize. Environ. Sci. Pollut. Res. Int. 2018, 25, 24338–24347. [Google Scholar] [CrossRef]
  23. Aloud, S.S.; Alotaibi, K.D.; Almutairi, K.F.; Albarakah, F.N. Phytoremediation Potential of Native Plants Growing in Industrially Polluted Soils of Al-Qassim, Saudi Arabia. Sustainability 2023, 15, 2668. [Google Scholar] [CrossRef]
  24. Stutz, J.C.; Morton, J.B. Successive Pot Cultures Reveal High Species Richness of Arbuscular Endomycorrhizal Fungi in Arid Ecosystems. Can. J. Bot. 1996, 74, 1883–1889. [Google Scholar] [CrossRef]
  25. Kereszt, A.; Li, D.; Indrasumunar, A.; Nguyen, C.D.T.; Nontachaiyapoom, S.; Kinkema, M.; Gresshoff, P.M. Agrobacterium Rhizogenes-Mediated Transformation of Soybean to Study Root Biology. Nat. Protoc. 2007, 2, 948–952. [Google Scholar] [CrossRef] [PubMed]
  26. Okalebo, J.R.; Gathua, K.W.; Woomer, P.L. Laboratory Methods of Soil and Plant Analysis: A Working Manual; Sacred Africa: Nairobi, Kenya, 2002. [Google Scholar]
  27. Rowell, D.L. Soil Science, 1st ed.; Routledge: London, UK, 2014; ISBN 9781317896128. [Google Scholar]
  28. Klute, A.; Page, A.L. Methods of Soil Analysis: Chemical and Microbiological Properties; ASA/SSSA Agronomy; American Society of Agronomy: Madison, WI, USA, 1982; ISBN 9780891180722. [Google Scholar]
  29. Fitz, W.J.; Wenzel, W.W. Arsenic Transformations in the Soil-Rhizosphere-Plant System: Fundamentals and Potential Application to Phytoremediation. J. Biotechnol. 2002, 99, 259–278. [Google Scholar] [CrossRef] [PubMed]
  30. Bremner, J.M.; Mulvaney, C.S. Nitrogen—Total. In Methods of Soil Analysis; John Wiley & Sons, Ltd.: Hoboken, NJ, USA, 1982; pp. 595–624. ISBN 9780891189770. [Google Scholar]
  31. Jones, J. Complete Guide for Growing Plants Hydroponically; CRC Press: Boca Raton, FL, USA, 2014; ISBN 9781439876695. [Google Scholar]
  32. Ma, L.Q.; Komar, K.M.; Tu, C.; Zhang, W.; Cai, Y.; Kennelley, E.D. A Fern That Hyperaccumulates Arsenic. Nature 2001, 409, 579. [Google Scholar] [CrossRef] [PubMed]
  33. Rai, U.; Upadhyay, A.; Singh, N.; Dwivedi, S.; Tripathi, R. Seasonal Applicability of Horizontal Sub-Surface Flow Constructed Wetland for Trace Elements and Nutrient Removal from Urban Wastes to Conserve Ganga River Water Quality at Haridwar, India. Ecol. Eng. 2015, 81, 115–122. [Google Scholar] [CrossRef]
  34. Soda, S.; Hamada, T.; Yamaoka, Y.; Ike, M.; Nakazato, H.; Saeki, Y.; Kasamatsu, T.; Sakurai, Y. Constructed Wetlands for Advanced Treatment of Wastewater with a Complex Matrix from a Metal-Processing Plant: Bioconcentration and Translocation Factors of Various Metals in Acorus Gramineus and Cyperus Alternifolius. Ecol. Eng. 2012, 39, 63–70. [Google Scholar] [CrossRef]
  35. Kim, I.S.; Kang, K.H.; Johnson-Green, P.; Lee, E.J. Investigation of Heavy Metal Accumulation in Polygonum thunbergii for Phytoextraction. Environ. Pollut. 2003, 126, 235–243. [Google Scholar] [CrossRef]
  36. Ali, H.; Khan, E.; Sajad, M.A. Phytoremediation of Heavy Metals—Concepts and Applications. Chemosphere 2013, 91, 869–881. [Google Scholar] [CrossRef]
  37. Vigliotta, G.; Matrella, S.; Cicatelli, A.; Guarino, F.; Castiglione, S. Effects of Heavy Metals and Chelants on Phytoremediation Capacity and on Rhizobacterial Communities of Maize. J. Environ. Manag. 2016, 179, 93–102. [Google Scholar] [CrossRef]
  38. Peng, Q.; Wu, M.; Zhang, Z.; Su, R.; He, H.; Zhang, X. The Interaction of Arbuscular Mycorrhizal Fungi and Phosphorus Inputs on Selenium Uptake by Alfalfa (Medicago sativa L.) and Selenium Fraction Transformation in Soil. Front. Plant Sci. 2020, 11, 966. [Google Scholar] [CrossRef]
  39. Yang, Q.; Li, Z.; Lu, X.; Duan, Q.; Huang, L.; Bi, J. A Review of Soil Heavy Metal Pollution from Industrial and Agricultural Regions in China: Pollution and Risk Assessment. Sci. Total Environ. 2018, 642, 690–700. [Google Scholar] [CrossRef]
  40. Murtaza, D.G.; Ghafoor, A.; Qadir, M. Accumulation and Implications of Cadmium, Cobalt and Manganese in Soils and Vegetables Irrigated with City Effluent. J. Sci. Food Agric. 2008, 88, 100–107. [Google Scholar] [CrossRef]
  41. Seleiman, M.; Santanen, A.; Mäkelä, P. Recycling Sludge on Cropland as Fertilizer-Advantages and Risks. Resour. Conserv. Recycl. 2019, 155, 104647. [Google Scholar] [CrossRef]
  42. Kanwal, U.; Ali, S.; Shakoor, M.B.; Farid, M.; Hussain, S.; Yasmeen, T.; Adrees, M.; Bharwana, S.A.; Abbas, F. EDTA Ameliorates Phytoextraction of Lead and Plant Growth by Reducing Morphological and Biochemical Injuries in Brassica napus L. under Lead Stress. Environ. Sci. Pollut. Res. Int. 2014, 21, 9899–9910. [Google Scholar] [CrossRef] [PubMed]
  43. Razmi, B.; Ghasemi-Fasaei, R.; Ronaghi, A.; Mostowfizadeh-Ghalamfarsa, R. Investigation of Factors Affecting Phytoremediation of Multi-Elements Polluted Calcareous Soil Using Taguchi Optimization. Ecotoxicol. Environ. Saf. 2021, 207, 111315. [Google Scholar] [CrossRef]
  44. Wuana, R.; Eneji, I.; Naku, J. Single and Mixed Chelants-Assisted Phytoextraction of Heavy Metals in Municipal Waste Dump Soil by Castor. Adv. Environ. Res. 2016, 5, 19–35. [Google Scholar] [CrossRef]
  45. Hashem, A.; Shameem, N.; Parray, J.; Abd Allah, E.F. Mycorrhizal Strategy for the Management of Hazardous Chromium Contaminants. In Core Microbiome: Improving Crop Quality and Productivity; John Wiley & Sons Ltd.: Hoboken, NJ, USA, 2022; pp. 298–314. ISBN 9781119830764. [Google Scholar]
  46. Osama, N.M.; Ibrahim, M.Z.; Ghazi, S.; Shedeed, Z.; Doaa, M.N. Remediation of Cadmium Toxicity on Alfalfa (Medicago sativa L.) Using Biochar as a Bioadsorbent, Rhizobium Meliloti and Arbuscular Mycorrhizal Fungi as Biofertilizers. J. Bioremed. Biodegrad. 2018, 9, 429. [Google Scholar] [CrossRef]
Figure 1. Shoot dry matter (g plant−1). (a) Represents the shoot DM of Zea mays L. and (b) represents the shoot DM of alfalfa (Medicago sativa L.) as affected by the incorporation of amendments into the soil. The means with the same letter are not significantly different from each other according to the LSD test (p < 0.05).
Figure 1. Shoot dry matter (g plant−1). (a) Represents the shoot DM of Zea mays L. and (b) represents the shoot DM of alfalfa (Medicago sativa L.) as affected by the incorporation of amendments into the soil. The means with the same letter are not significantly different from each other according to the LSD test (p < 0.05).
Sustainability 16 08820 g001
Figure 2. DTPA-extractable HM contents in contaminated soils. (a) Represents HMs of Co, Cr, and Ni; (b) represents HMs of Cu, Fe, and Mn; and (c) represents HMs of Cd, Pb, and Zn, all in (mg kg−1). The means with the same letter are not significantly different from each other according to the LSD test (p < 0.05).
Figure 2. DTPA-extractable HM contents in contaminated soils. (a) Represents HMs of Co, Cr, and Ni; (b) represents HMs of Cu, Fe, and Mn; and (c) represents HMs of Cd, Pb, and Zn, all in (mg kg−1). The means with the same letter are not significantly different from each other according to the LSD test (p < 0.05).
Sustainability 16 08820 g002
Figure 3. Total HM content in the Zea mays L. shoots. (a) Represents the total HMs of Co and Cr; (b) represents the total HMs of Cu and Mn; and (c) represents the total HMs of Cd, Ni, Pb, and Zn, all in (mg kg−1). The means with the same letter are not significantly different from each other according to the LSD test (p < 0.05).
Figure 3. Total HM content in the Zea mays L. shoots. (a) Represents the total HMs of Co and Cr; (b) represents the total HMs of Cu and Mn; and (c) represents the total HMs of Cd, Ni, Pb, and Zn, all in (mg kg−1). The means with the same letter are not significantly different from each other according to the LSD test (p < 0.05).
Sustainability 16 08820 g003
Figure 4. Total HM content in the Medicago sativa L. shoots. (a) Represents the total HMs of Cd, Cr, Ni, and Zn; (b) represents the total HMs of Co and Pb; and (c) represents the total HMs of Cu and Mn, all in (mg kg−1). The means with the same letter are not significantly different from each other according to the LSD test (p < 0.05).
Figure 4. Total HM content in the Medicago sativa L. shoots. (a) Represents the total HMs of Cd, Cr, Ni, and Zn; (b) represents the total HMs of Co and Pb; and (c) represents the total HMs of Cu and Mn, all in (mg kg−1). The means with the same letter are not significantly different from each other according to the LSD test (p < 0.05).
Sustainability 16 08820 g004
Table 1. Soil chemical and physical properties.
Table 1. Soil chemical and physical properties.
ParameterMean
pH (1:1)8.1
EC ds/m−12.41
O.M %1.45
CaCO3 %11.91
Sand %58
Silt %23
Clay %19
CEC cmol/kg5.81
Ca2+ cmol/kg33.23
Mg2+ cmol/kg26.71
Na+ cmol/kg39.83
K+ cmol/kg15.64
Table 2. Bioaccumulation factor (BF) of cadmium (Cd), cobalt (Co), chromium (Cr), copper (Cu), manganese (Mn), nickel (Ni), lead (Pb), and zinc (Zn) in Zea mays shoots. The means with the same letter are not significantly different from each other according to the LSD test (p < 0.05).
Table 2. Bioaccumulation factor (BF) of cadmium (Cd), cobalt (Co), chromium (Cr), copper (Cu), manganese (Mn), nickel (Ni), lead (Pb), and zinc (Zn) in Zea mays shoots. The means with the same letter are not significantly different from each other according to the LSD test (p < 0.05).
TreatmentCdCoCrCuMnNiPbZn
Non0.67 ± 0.11 b0.01 ± 0.001 b0.22 ± 0.015 c0.7 ± 0.05 h1.7 ± 0.005 a0.02 ± 0.005 e0.06 ± 0.005 e0.2 ± 0.005 f
AMF0.78 ± 0.11 a0.01 ± 0.001 b0.18 ± 0.07 cd0.8 ± 0.011 g1.2 ± 0.05 b0.04 ± 0.005 e0.06 ± 0.005 e0.1 ± 0.005 h
DTPA (5 mmol/kg)0.15 ± 0.011 g0.01 ± 0.002 a0.38 ± 0.005 a1.9 ± 0.005 d0.8 ± 0.005 e0.4 ± 0.005 a0.11 ± 0.005 c0.2 ± 0.005 g
DTPA (10 mmol/kg)0.18 ± 0.005 fg0.02 ± 0.002 b0.36 ± 0.005 a1.5 ± 0.005 f0.7 ± 0.011 f0.2 ± 0.005 cd0.14 ± 0.005 b0.3 ± 0.005 e
EDTA (5 mmol/kg)0.3 ± 0.028 d0.01 ± 0.001 b0.35 ± 0.011 a1.8 ± 0.005 e0.6 ± 0.005 g0.15 ± 0.005 d0.06 ± 0.005 e0.3 ± 0.005 e
EDTA (10 mmol/kg)0.36 ± 0.005 c0.01 ± 0.001 a0.33 ± 0.011 a2 ± 0.005 c0.6 ± 0.011 g0.2 ± 0.005 bc0.2 ± 0.005 a0.5 ± 0.005 a
AMF × DTPA (5 mmol/kg)0.19 ± 0.005 f0.02 ± 0.001 b0.31 ± 0.005 ab0.84 ± 0.005 g0.9 ± 0.005 d0.3 ± 0.008 b0.02 ± 0.008 f0.4 ± 0.008 d
AMF × DTPA (10 mmol/kg)0.26 ± 0.005 e0.01 ± 0.001 b0.14 ± 0.005 d2.1 ± 0.012 b1.2 ± 0.011 b0.4 ± 0.005 a0.08 ± 0.005 d0.4 ± 0.005 c
AMF × EDTA (5 mmol/kg)0.29 ± 0.005 de0.01 ± 0.001 b0.24 ± 0.011 bc2.04 ± 0.011 c1.09 ± 0.012 c0.2 ± 0.05 cd0.05 ± 0.05 e0.3 ± 0.005 e
AMF × EDTA (10 mmol/kg)0.66 ± 0.005 b0.006 ± 0.003 b0.37 ± 0.011 a2.5 ± 0.005 a0.8 ± 0.005 e0.2 ± 0.005 bc0.2 ± 0.005 a0.4 ± 0.005 b
LSD0.0350.0370.070.060.050.050.020.01
Table 3. Translocation factor (TF) of cadmium (Cd), cobalt (Co), chromium (Cr), copper (Cu), manganese (Mn), nickel (Ni), lead (Pb), and zinc (Zn) in Zea mays shoots. The means with the same letter are not significantly different from each other according to the LSD test (p < 0.05).
Table 3. Translocation factor (TF) of cadmium (Cd), cobalt (Co), chromium (Cr), copper (Cu), manganese (Mn), nickel (Ni), lead (Pb), and zinc (Zn) in Zea mays shoots. The means with the same letter are not significantly different from each other according to the LSD test (p < 0.05).
TreatmentCdCoCrCuMnNiPbZn
Non1.33 ± 0.005 de0.03 ± 0.005 de0.22 ± 0.005 d0.74 ± 0.4 bc1.42 ± 0.005 b0.17 ± 0.005 j0.48 ± 0.005 ab0.6 ± 0.05 f
AMF0.25 ± 0.005 a0.25 ± 0.005 a0.25 ± 0.005 c0.25 ± 0.005 d0.25 ± 0.005 g0.25 ± 0.005 j0.25 ± 0.005 d0.25 ± 0.005 g
DTPA (5 mmol/kg)0.28 ± 0.005 b0.13 ± 0.005 b0.09 ± 0.005 h0.36 ± 0.005 cd0.67 ± 0.005 e0.88 ± 0.005 e0.45 ± 0.005 b0.69 ± 0.005 e
DTPA (10 mmol/kg)0.28 ± 0.005 b0.12 ± 0.005 b0.073 ± 0.008 i0.63 ± 0.005 bcd0.61 ± 0.005 f0.9 ± 0.005 d0.33 ± 0.005 c0.68 ± 0.005 e
EDTA (5 mmol/kg)0.49 ± 0.005 c0.09 ± 0.005 c0.15 ± 0.005 g0.68 ± 0.005 bc0.71 ± 0.005 e0.85 ± 0.005 f0.31 ± 0.005 c0.57 ± 0.005 f
EDTA (10 mmol/kg)0.51 ± 0.005 b0.13 ± 0.005 b0.16 ± 0.005 f0.84 ± 0.005 ab0.89 ± 0.005 d1.23 ± 0.005 c0.52 ± 0.005 a1.13 ± 0.005 c
AMF × DTPA (5 mmol/kg)0.39 ± 0.005 f0.01 ± 0.017 f0.04 ± 0.005 j1.12 ± 0.005 ab1.07 ± 0.005 c1.5 ± 0.005 b0.12 ± 0.005 e0.82 ± 0.005 d
AMF × DTPA (10 mmol/kg)0.35 ± 0.005 de0.04 ± 0.005 de0.93 ± 0.005 a0.57 ± 0.005 bcd1.56 ± 0.005 a1.66 ± 0.005 a0.32 ± 0.005 c1.38 ± 0.005 b
AMF × EDTA (5 mmol/kg)0.41 ± 0.005 f0.01 ± 0.016 f0.21 ± 0.005 e0.82 ± 0.005 ab1.57 ± 0.005 a0.65 ± 0.008 g0.21 ± 0.005 d0.6 ± 0.06 f
AMF × EDTA (10 mmol/kg)0.93 ± 0.005 ef0.02 ± 0.005 ef0.48 ± 0.005 b0.52 ± 0.005 bcd0.6 ± 0.005 f0.54 ± 0.005 h0.5 ± 0.06 a2.09 ± 0.005 a
LSD0.010.010.0030.30.050.0030.040.06
Table 4. Bioaccumulation factor (BF) of Cd, Co, Cr, Cu, Mn, Ni, Pb, and Zn in alfalfa (Medicago sativa L.) shoots. The means with the same letter are not significantly different from each other according to the LSD test (p < 0.05).
Table 4. Bioaccumulation factor (BF) of Cd, Co, Cr, Cu, Mn, Ni, Pb, and Zn in alfalfa (Medicago sativa L.) shoots. The means with the same letter are not significantly different from each other according to the LSD test (p < 0.05).
TreatmentCdCoCrCuMnNiPbZn
Non0.22 ± 0.005 f0.01 ± 0.001 d0.08 ± 0.005 i1.2 ± 0.005 f0.38 ± 0.005 g0.39 ± 0.004 a0.05 ± 0.005 g0.22 ± 0.005 e
AMF0.27 ± 0.005 e0.02 ± 0.005 cd0.22 ± 0.005 g0.89 ± 0.005 h0.51 ± 0.005 e0.43 ± 0.004 a0.07 ± 0.005 e0.29 ± 0.005 d
DTPA (5 mmol/kg)0.44 ± 0.005 c0.04 ± 0.005 b0.45 ± 0.005 e0.83 ± 0.005 i0.58 ± 0.005 d0.63 ± 0.004 a0.06 ± 0.005 f0.22 ± 0.005 e
DTPA (10 mmol/kg)0.6 ± 0.06 a0.04 ± 0.005 b1.1 ± 0.005 a1.44 ± 0.005 e0.94 ± 0.005 a0.77 ± 0.004 a0.08 ± 0.005 d0.37 ± 0.005 c
EDTA (5 mmol/kg)0.55 ± 0.005 b0.04 ± 0.005 b0.87 ± 0.005 c2.5 ± 0.005 a0.33 ± 0.005 h0.34 ± 0.004 a0.06 ± 0.005 f0.13 ± 0.005 g
EDTA (10 mmol/kg)0.37 ± 0.005 d0.08 ± 0.005 a0.68 ± 0.005 d1.7 ± 0.005 d0.7 ± 0.05 bc1.1 ± 0.004 a0.1 ± 0.0001 b0.19 ± 0.005 ef
AMF × DTPA (5 mmol/kg)0.37 ± 0.005 d0.08 ± 0.005 a0.37 ± 0.005 f1.9 ± 0.005 c0.55 ± 0.005 de0.68 ± 0.004 a0.09 ± 0.005 c0.16 ± 0.005 fg
AMF × DTPA (10 mmol/kg)0.55 ± 0.005 b0.03 ± 0.005 bc0.97 ± 0.005 b2.4 ± 0.005 b0.72 ± 0.005 b0.89 ± 0.004 a0.07 ± 0.005 e0.3 ± 0.06 d
AMF × EDTA (5 mmol/kg)0.39 ± 0.005 d0.09 ± 0.005 a0.16 ± 0.005 h1.9 ± 0.005 c0.45 ± 0.005 f0.75 ± 0.004 a0.06 ± 0.005 f0.74 ± 0.005 a
AMF × EDTA (10 mmol/kg)0.59 ± 0.02 ab0.02 ± 0.005 cd0.68 ± 0.005 d1.01 ± 0.000 g0.66 ± 0.005 c0.79 ± 0.004 a0.16 ± 0.005 a0.59 ± 0.005 b
LSD0.050.010.0030.0050.04 0.0050.04
Table 5. Translocation factor (TF) of Cd, Co, Cr, Cu, Mn, Ni, Pb, and Zn in alfalfa (Medicago sativa L.). The means with the same letter are not significantly different from each other according to the LSD test (p < 0.05).
Table 5. Translocation factor (TF) of Cd, Co, Cr, Cu, Mn, Ni, Pb, and Zn in alfalfa (Medicago sativa L.). The means with the same letter are not significantly different from each other according to the LSD test (p < 0.05).
TreatmentCdCoCrCuMnNiPbZn
Non0.96 ± 0.005 d1.2 ± 0.035 b1.03 ± 0.035 d1.3 ± 0.005 d0.96 ± 0.005 cd0.86 ± 0.005 bc1.5 ± 0.005 fg2.06 ± 0.005 a
AMF0.93 ± 0.005 d0.9 ± 0.005 bc1 ± 0.0001 d0.8 ± 0.005 e1.03 ± 0.005 cd1.03 ± 0.03 bc2.11 ± 0.005 def1.2 ± 0.005 b
DTPA (5 mmol/kg)1.2 ± 0.005 cd0.78 ± 0.005 bc2.6 ± 0.005 bc0.8 ± 0.005 e1.1 ± 0.06 bc0.7 ± 0.05 bc2.03 ± 0.003 ef0.3 ± 0.005 e
DTPA (10 mmol/kg)3.2 ± 0.005 a3.8 ± 0.005 a3.2 ± 0.06 b1.2 ± 0.005 d1 ± 0.005 cd2.1 ± 0.05 a2.8 ± 0.005 cd0.4 ± 0.005 d
EDTA (5 mmol/kg)2.4 ± 0.005 b0.9 ± 0.008 bc3.3 ± 0.3 b4.2 ± 0.005 a0.97 ± 0.005 cd0.6 ± 0.005 c0.9 ± 0.05 g0.1 ± 0.005 g
EDTA (10 mmol/kg)0.8 ± 0.005 d1.09 ± 0.005 bc2.8 ± 0.05 bc1.9 ± 0.005 c0.83 ± 0.005 d1.14 ± 0.005 bc3.2 ± 0.05 bc0.4 ± 0.06 d
AMF × DTPA (5 mmol/kg)0.9 ± 0.005 d1.3 ± 0.005 b1.3 ± 0.005 d2.3 ± 0.005 b1.4 ± 0.005 a0.85 ± 0.005 bc2.3 ± 0.005 def0.3 ± 0.005 f
AMF × DTPA (10 mmol/kg)1.6 ± 0.005 c0.2 ± 0.005 c4.5 ± 0.005 a1.9 ± 0.005 c0.8 ± 0.005 d0.95 ± 0.005 bc3.6 ± 0.005 ab0.2 ± 0.005 f
AMF × EDTA (5 mmol/kg)1.2 ± 0.005 cd1 ± 0.05 b c0.86 ± 0.005 d1.7 ± 0.005 c1.3 ± 0.00 ab1.04 ± 0.5 bc4.3 ± 0.005 ab0.2 ± 0.005 g
AMF × EDTA (10 mmol/kg)1.2 ± 0.005 cd1.2 ± 0.9 b2.2 ± 0.8 c0.7 ± 0.005 e1.2 ± 0.3 abc2.2 ± 0.1 a2.3 ± 0.8 de0.7 ± 0.005 c
LSD0.450.80.820.3 0.450.740.06
Disclaimer/Publisher’s Note: The statements, opinions and data contained in all publications are solely those of the individual author(s) and contributor(s) and not of MDPI and/or the editor(s). MDPI and/or the editor(s) disclaim responsibility for any injury to people or property resulting from any ideas, methods, instructions or products referred to in the content.

Share and Cite

MDPI and ACS Style

Aloud, S.S.; Alotaibi, K.D.; Almutairi, K.F.; Albarakah, F.N.; Alotaibi, F.; Ahmed, I.A. Investigating the Interactive Effect of Arbuscular Mycorrhizal Fungi and Different Chelating Agents (EDTA and DTPA) with Different Plant Species on Phytoremediation of Contaminated Soil. Sustainability 2024, 16, 8820. https://doi.org/10.3390/su16208820

AMA Style

Aloud SS, Alotaibi KD, Almutairi KF, Albarakah FN, Alotaibi F, Ahmed IA. Investigating the Interactive Effect of Arbuscular Mycorrhizal Fungi and Different Chelating Agents (EDTA and DTPA) with Different Plant Species on Phytoremediation of Contaminated Soil. Sustainability. 2024; 16(20):8820. https://doi.org/10.3390/su16208820

Chicago/Turabian Style

Aloud, Saud S., Khaled D. Alotaibi, Khalid F. Almutairi, Fahad N. Albarakah, Fahad Alotaibi, and Ibrahim A. Ahmed. 2024. "Investigating the Interactive Effect of Arbuscular Mycorrhizal Fungi and Different Chelating Agents (EDTA and DTPA) with Different Plant Species on Phytoremediation of Contaminated Soil" Sustainability 16, no. 20: 8820. https://doi.org/10.3390/su16208820

APA Style

Aloud, S. S., Alotaibi, K. D., Almutairi, K. F., Albarakah, F. N., Alotaibi, F., & Ahmed, I. A. (2024). Investigating the Interactive Effect of Arbuscular Mycorrhizal Fungi and Different Chelating Agents (EDTA and DTPA) with Different Plant Species on Phytoremediation of Contaminated Soil. Sustainability, 16(20), 8820. https://doi.org/10.3390/su16208820

Note that from the first issue of 2016, this journal uses article numbers instead of page numbers. See further details here.

Article Metrics

Back to TopTop