Next Article in Journal
Amish and Non-Amish Farmer Perspectives on Climate Change Causes, Effects, and Adaptation Strategies
Previous Article in Journal
Numerical Investigation for the Effect of Joint Persistence on Rock Slope Stability Using a Lattice Spring-Based Synthetic Rock Mass Model
Previous Article in Special Issue
Conversion of Vacuum Residue from Refinery Waste to Cleaner Fuel: Technical and Economic Assessment
 
 
Font Type:
Arial Georgia Verdana
Font Size:
Aa Aa Aa
Line Spacing:
Column Width:
Background:
Article

Parametric Study and Optimization of Hydrogen Production Systems Based on Solar/Wind Hybrid Renewable Energies: A Case Study in Kuqa, China

1
Hubei Research Center for New Energy & Intelligent Connected Vehicle, Wuhan University of Technology, Wuhan 430070, China
2
VOYAH Automobile Technology Co., Ltd., Wuhan 430050, China
3
State Key Laboratory of Maritime Technology and Safety, Wuhan University of Technology, Wuhan 430063, China
4
School of Transportation and Logistics Engineering, Wuhan University of Technology, Wuhan 430063, China
5
Hydrogen Research Institute, Université du Québec à Trois-Rivières, Trois-Rivières, QC G8Z 4M3, Canada
*
Author to whom correspondence should be addressed.
Sustainability 2024, 16(2), 896; https://doi.org/10.3390/su16020896
Submission received: 11 December 2023 / Revised: 12 January 2024 / Accepted: 18 January 2024 / Published: 20 January 2024
(This article belongs to the Special Issue Studies on Hydrogen Energy and Energy Conversion)

Abstract

Based on the concept of sustainable development, to promote the development and application of renewable energy and enhance the capacity of renewable energy consumption, this paper studies the design and optimization of renewable energy hydrogen production systems. For this paper, six different scenarios for grid-connected and off-grid renewable energy hydrogen production systems were designed and analyzed economically and technically, and the optimal grid-connected and off-grid systems were selected. Subsequently, the optimal system solution was optimized by analyzing the impact of the load data and component capacity on the grid dependency of the grid-connected hydrogen production system and the excess power rate of the off-grid hydrogen production system. Based on the simulation results, the most matched load data and component capacity of different systems after optimization were determined. The grid-supplied power of the optimized grid-connected hydrogen production system decreased by 3347 kWh, and the excess power rate of the off-grid hydrogen production system decreased from 38.6% to 10.3%, resulting in a significant improvement in the technical and economic performance of the system.

1. Introduction

In order to cope with multiple problems related to increasing global environmental degradation, the gradual warming of the climate, and impediments to economic development, countries around the world have put forward new energy strategies to achieve the goal of carbon neutrality. In order to achieve this goal, countries have begun to utilize technical means such as carbon capture, utilization, and storage techniques [1,2,3] to reduce carbon emissions, while vigorously developing renewable energy [4]. The fluctuating and intermittent nature of renewable energy sources, such as solar and wind, leads to low utilization. In order to promote the development and utilization of renewable energy sources, using energy storage technologies to store the energy generated via renewable energy systems on time is a solution to the low utilization of renewable energy sources. At present, an energy storage technology that conforms to the concept of green development and is suitable for wide application is hydrogen energy storage technology. Electricity generated from renewable energy sources such as solar and wind power is used to electrolyze water to produce hydrogen, achieving the conversion from electricity to hydrogen. As an energy carrier with zero pollution from combustion products, a wide range of sources, and high calorific value, hydrogen is suitable for long-term large-scale storage and has great potential for future development in the energy sector. Therefore, combining renewable energy generation technologies and hydrogen production technologies can enhance the consumption capacity of renewable energy systems and promote the development of hydrogen energy. Renewable energy hydrogen production systems (HPSs) contain various components and have a large component capacity. In order to improve the energy efficiency of the system, it is crucial to analyze the regional conditions, rationally design the system structure, and optimize the system before application.
In order to rationally design and analyze renewable energy hydrogen production systems, the current research is mainly being carried out by using simulations. The scholars mainly focus on the relationship between different input parameters and key output parameters such as the system’s power generation, hydrogen production, hydrogen production rate, and hydrogen production efficiency. For economic indicators, scholars have analyzed key indicators, such as the net present value (NPV) of the system and the cost of energy. Zaenal et al. [5] developed a grid-connected HPS to analyze the relationship between the system output power and the hydrogen production efficiency. It was shown that the wind speed only affects the hydrogen production rate, although it fluctuates with time. Based on weather data in the northwestern region of Germany, Schnuelle et al. [6] built an off-grid photovoltaic (PV)/wind turbine (WT)/fuel cell (FC) HPS to analyze the system’s output performance. The results showed that the system’s hydrogen production efficiency, renewable energy utilization, hydrogen yield, and energy cost are highly dependent on the system’s output power. Ishaq et al. [7] designed three off-grid renewable energy HPSs with different scenarios, including a photovoltaic HPS, a geothermal HPS, and a biomass HPS. The simulation results found that the biomass HPS has the highest hydrogen production efficiency of 53.6%, the geothermal HPS has the lowest hydrogen production efficiency of 10.4%, and the photovoltaic HPS has an efficiency of 16.95%. Yilmaz et al. [8] established an off-grid PV/WT/FC HPS and investigated the effect of the system input parameters on the output performance, and calculated the hydrogen production rate of the system to be 0.001457 kg/s. Baque Billah et al. [9] proposed the establishment of an off-grid wind–hydro-power HPS in a coastal area, and a techno-economic analysis of the system for different scenarios was carried out by using the HOMER (Hybrid Optimization of Multiple Energy Resources) software in order to select the most economical system configuration scenario. According to the simulation results, the energy cost of the system can be as low as 0.09 USD/kWh. Ji et al. [10] developed a multi-period energy model based on P-maps and used the model to compare different systems. It was found that renewable energy systems with hydrogen storage and battery energy storage are more advantageous in terms of cost and CO2 emissions than those without energy storage. Babatunde et al. [11] utilized HOMER for selection in the renewable energy systems that they designed for hydrogen production. The results showed that the system with the best economy was the PV/battery system and the one with best overall performance was the PV/WT/FC/battery system. He et al. [12] analyzed the feasibility of retrofitting coal-fired power plants using renewable hydrogen production and battery energy storage. The techno-economic analysis found it feasible to retrofit coal-fired power plants with renewable energy HPSs in most areas of China. Restrepo et al. [13] analyzed the feasibility of hydrogen production from concentrating solar energy in Guamare, Brazil. The results showed that the maximum annual average solar energy conversion efficiency to hydrogen for the two designed systems was 31.8% and 10.2%. He et al. [14] analyzed the possibility of using renewable energy to produce hydrogen from electrolyzed seawater on remote islands in Japan. The results show that the addition of electrolyzed seawater for hydrogen production reduces the carbon emissions and cost of the system compared to a system using only battery energy storage.
For the study of system optimization, scholars mainly use algorithms or simulation software to optimize the performance and parameters of renewable energy HPSs to determine the optimal configuration and capacity of the system. Human et al. [15] illustrated an optimization method for the capacity allocation of off-grid renewable energy HPSs, using the system hydrogen production efficiency, cost, and reliability as constraints to optimize the capacity allocation of a PV/WT HPS for three different regions using the intensity Pareto evolutionary algorithm and genetic algorithm. Khare et al. [16] designed a renewable energy system using HOMER software and performed cost optimization on the designed renewable energy system using the chaotic particle swarm optimization algorithm and cuckoo optimization algorithm. Micco et al. [17] used HOMER to perform an economic analysis of two renewable multi-energy systems. The results show that the co-production of energy streams can significantly reduce their levelized costs and that integrating a system into the grid can further reduce the cost. Based on weather data for a Turkish region, Gokcek et al. [18] built an off-grid PV/WT/battery HPS using HOMER software to perform a techno-economic analysis of the system. The results showed that the cost of hydrogen production was maintained at 7.526–7.866 USD/kg for different configurations of HPS. Hassanzadeh et al. [19] used a particle swarm optimization algorithm to determine an energy management strategy for system capacity configuration in order to minimize the investment and operating costs, CO2 emissions, and fuel consumption of a grid-connected PV/WT/FC HPS. The results showed that fuel cells can significantly reduce CO2 emissions. Based on an off-grid PV/WT/FC HPS, Amrollahi et al. [20] designed a demand-response program through HOMER version 3.7 software and GAMS (General Algebraic Modeling System) version 23.6 software to optimize the system’s capacity configuration and component sizing scale in order to reduce the investment and operating costs of the finished system. Incorporating weather data from the northern region of Iraq, Aziz et al. [21] developed an off-grid PV/WT/FC HPS, which was simulated using HOMER software to obtain the optimal capacity configuration of the system. Gul et al. [22] present a renewable energy hydrogen production system and optimization model using an anion exchange membrane water electrolyzer. The system succeeded in producing a large amount of clean energy (0.084 MWh/year) at the lowest levelized cost of 15.025 EUR/kWh. Okundamiya [23] used HOMER software to size and optimize the designed PV/FC grid-connected hybrid grid system. The results showed that the optimized system was effective in saving more than 88% in energy cost and 41.3% in return on investment. Ghandehariun et al. [24] optimized the proposed hybrid renewable energy system using the equilibrium optimizer algorithm and compared the quantities with other algorithms. The results show that the use of the balanced optimizer algorithm outperforms the conventional optimization algorithm in reducing the levelized cost of electricity to 0.83 USD/kWh. Rezaei et al. [25] conducted a techno-economic analysis of the construction of a renewable energy HPS in Queensland, Australia. It was found that if the capacity of the electrolyzer array is appropriate, then the target production cost of 3 AUD/kg can be achieved.
In summary, many scholars have conducted a lot of research on the simulation and optimization of renewable energy HPSs and achieved certain research results. However, most research cases only study a single type of system and do not comprehensively consider grid-connected and off-grid renewable energy HPSs for different scenarios. In addition, while most scholars focus on optimizing the system performance and capacity configurations, the system’s applicability is neglected, and there is a lack of research on the impact of the capacity of the system components on different performance parameters. As the performance of renewable energy HPSs varies among different scenarios, it is difficult to arrive at an HPS that best meets local development without comprehensive analysis and the targeted optimization of the system. Located in northwestern China, Kuqa is rich in solar and wind energy resources. In addition, the region is blessed with two rivers flowing through it, which have abundant above-ground and below-ground water resources, making it ideal for establishing a renewable energy HPS. Therefore, this paper takes Kuqa as the research site and explores the HPS suitable of local renewable energy resources. In the previous study, the optimal system structures were selected for six different types of grid-connected and off-grid renewable energy HPSs [26]. In order to improve the techno-economic performance of the selected system, this paper focuses on analyzing the influence of the load data and component capacity on the key technical parameters of the grid-connected and off-grid HPS, and determining the most compatible load data and component capacity.

2. Mathematical Model

2.1. System Component Model

Renewable hydrogen production systems are feature-rich, providing both electricity and hydrogen, and are composed of power generation components (photovoltaic panels, wind turbines, etc.), electrolyzers, hydrogen storage tanks, fuel cells, and the end users (electricity users, hydrogen users, etc.).
The principle of solar photovoltaic power generation is to use semiconductor materials to convert solar energy directly into direct current electrical energy. According to Kirchhoff’s law, the theoretical expression for the output current Ipv of a photovoltaic cell under certain light conditions and a certain cell temperature is
I p v = I L I D I s h
where IL is the photogenerated current, A; ID is the total diffusion current of the P-N junction, A; and Ish is the current of the parallel resistor Rsh, A. The expressions for Ish and ID are
I s h = ( U p v + I p v R s ) / R s h
I D = I 0 [ e q U p v + I p v R s A k T 1 ]
where Upv is the output voltage of the photovoltaic cell, V; I0 is the reverse saturation current of the diode, A; and Rs and Rsh are series and parallel resistors, Ω, respectively. q is the electron charge, q = 1.6 × 10−9 C; A is the ideal constant factor of the equivalent diode; k is Boltzmann’s constant—k = 1.38 × 10−23 J/K; and T is the temperature of the photovoltaic cell, K.
By associating Equations (1)–(3), the relationship between the PV cell output current Ipv and the voltage Upv can be derived as
I p v = I L I 0 e q U p v + I p v R s A k T 1 ( U p v + I p v R s ) / R s h
The relationship between the output power of the wind turbine and the wind speed can be expressed using a segmented function with the expression:
P W = 0 , v < v 1 ;   v > v 2 1 2 ρ π R 2 C p v 3 , v 1 v < v r P r , v r v v 2
where v1, vr, and v2 are the cut-in, rated, and cut-out wind speeds of the wind turbine, m/s, respectively. Pr is the rated power of the wind turbine, W. ρ is the air density, kg/m3; R is the radius of the wind turbine blades, m; and Cp is a dimensionless coefficient indicating the wind energy utilization factor of the wind turbine. v is the wind speed at the measurement point, and its relationship with the height of the measurement point from the ground h and the ground roughness α can be expressed as
v = v 0 ( h / h 0 ) α
where v and v0 are the wind speed at the measurement point and the wind speed at the height h0 from the ground, m/s, respectively.
The hydrogen production technique adopted in this study is the electrolysis of water through an alkaline electrolyzer. The relationship between the voltage and current during the normal operation of an alkaline electrolyzer can be expressed as
U e = n e U r + r * A e I e + s l o g ( t * A e I e + 1 ) r * = r 1 + r 2 T e t * = t 1 + t 2 / T e + t 3 / T e 2
where Ue and Ur are the electrolyzer output voltage and reversible voltage, V, respectively. Ie is the electrolyzer operating current, A; Te is the operating temperature of the electrolyzer, T; Ae is the surface area of the electrode plate of the electrolyzer, m2; and ne is the number of electrolyzers in a series.
The actual rate of hydrogen production in the electrolyzer is related to the current via the expression:
q H 2 = n η F I e 2 F
where q H 2 is the rate of hydrogen production, mol/s; F is the Faraday constant with a value of 96,485 C/mol; and ηF is the electrolyzer current efficiency.
A proton exchange membrane fuel cell is composed of nfc individual cells connected in series, and its output voltage Ufc can be expressed as
U f c = n f c ( E U a c t U o h m U c o n c )
where E, Uact, Uohm, and Uconc are thermodynamic electric potential, activation overvoltage, ohmic overvoltage, and concentration overvoltage, V, respectively.
During the analysis process, the hydrogen generated from the electrolysis of water is stored in high-pressure hydrogen storage tanks through a compressor. The energy consumed by the compressor during its operation can be calculated by Equation (10):
W c o m p = c p T i n η c o m p p i n p o u t r 1 r 1 m ˙ H 2
where Wcomp is the energy consumed by the compressor, kW; cp is the specific heat capacity of hydrogen at constant pressure, with a value of 14.304 kJ/(kg∙K); Tin is the temperature of hydrogen at the inlet of the compressor, K; and ηcomp is the efficiency of the compressor. pin and pout are the pressures of the hydrogen at the inlet and outlet of the compressor, kPa, respectively. r is the isentropic index of hydrogen, with a value of 1.4; m ˙ H 2 is the mass flow rate of hydrogen through the compressor, kg/s. In this paper, the energy consumed by the compressor is considered as the internal energy consumption of the renewable energy hydrogen production system, which is ignored in the simulation process. The hydrogen produced is directly delivered to the hydrogen storage tank for storage. Based on the above mathematical model, this study simulated each component using TRNSYS version 18.0 software in order to study the output characteristics of each component, laying the foundation for the integrated design and optimization of a renewable energy HPS.

2.2. Input Parameters

In this paper, a renewable energy hydrogen production system is simulated and analyzed using HOMER software. The input parameters include weather data, load (electrical and hydrogen load) data, and system component parameters.
In this paper, Kuqa, Xinjiang is selected as the study site, with the specific coordinates of 41°75′ N latitude and 82°75′ E longitude; this area is rich in solar and wind energy resources. Data from National Aeronautics and Space Administration (NASA) statistics are used to systematically evaluate the solar radiation intensity and wind speed in the region throughout the year. For solar radiation intensity, this paper uses the monthly average solar radiation intensity and clearness index as the main basis for solar potential assessment. The average solar radiation intensity and clearness indexes for different months during the year are shown in Figure 1a. As shown in Figure 1a, the average clearness index is greater than 0.5 for each month of the year, indicating that the total solar radiation incident on the horizontal plane is large. The average clearness index for the whole year is 0.572, indicating that the proportion of sunny days throughout the year is high and the region is sunny. In addition, the average solar radiation intensity in the region is 4.311 kWh/m2/month throughout the year. This paper uses the monthly average wind speed as the main basis for wind energy potential assessment, and the monthly average data for the wind speed and temperature are shown in Figure 1b. It can be seen that the average wind speed for the whole year is 3.758 m/s, and the maximum and minimum monthly average wind speeds are in May and December and are 5.020 m/s and 2.110 m/s, respectively, with significant fluctuations in wind speed throughout the year. The average temperature over the whole year is 10.19 °C, and the largest and smallest monthly average temperatures are in July and January and are 25.19 °C and −7.55 °C, respectively.
The electrical load data were obtained from the average electricity demand of a small office building from 0 to 23 h per month during a year provided by the HOMER software, as shown in Figure 2. It can be seen that the average daily electrical load is 172 kWh, the average hourly electrical load is 7.2 kWh, and the electrical load demand is the highest in August. The hydrogen loading data were obtained from the literature [18]. As shown in Figure 3, the daily hydrogen loading was 75 kg, and the average hourly hydrogen loading was 3.13 kg.
The economic parameters of each module are shown in Table 1. The photovoltaic panel is selected as Generic Flat-plate PV, and the upper limit of power is set to 1200 kW. Considering that the minimum monthly average wind speed in Kuqa is about 2 m/s, the model of a wind turbine is selected as Enercon, and there are five types of rated power, including 500 kW, 660 kW, 800 kW, 1000 kW, and 2000 kW. The electrolyzer is a general-purpose electrolyzer with an upper power limit of 1000 kW and an operating efficiency of 85%. The capacity of the hydrogen storage tank is set at 1000 kg, and the initial hydrogen quality in the tank is set at 10% of the tank capacity. The upper limit of power setting for the fuel cell is 100 kW, the upper limit of power setting for the converter is 1000 kW, and the efficiency of both the inverter and rectifier is set at 95%.

3. Results and Discussion

3.1. System Solution Selection

According to the data analysis in Section 2.2, Xinjiang Kuqa is rich in solar and wind energy resources, and the weather belongs to the temperate arid climate, with a large temperature difference between day and night, low precipitation, and a high average number of annual sunny days. Therefore, combined with the distribution characteristics of renewable energy in Kuqa, six different scenarios for renewable energy hydrogen production systems are designed in this section to select the best grid-connected and off-grid renewable energy HPSs in Kuqa. The structures of the hydrogen production systems for different scenarios are shown in Figure 4.
In order to set up the initial capacity configurations of different scenarios to meet the system requirements for electric and hydrogen loads, the capacity configurations of the scenarios were obtained at the minimum net present value, as shown in Table 2. Among these scenarios, the off-grid ones S1, S3, and S5 are not feasible and will not satisfy the electrical/hydrogen load of the system, even with an increase in the rated power/capacity of components without any upper limit. Subsequently, a comparative analysis of different scenarios of grid-connected and off-grid renewable energy HPSs was carried out in terms of system economics and technicality.
The economic analyzes compares and analyses the investment cost, operating cost, NPV, and energy cost of different scenarios for grid-connected and off-grid renewable energy HPSs. The economic indicator data for each scenario are shown in Figure 5. For grid-connected HPSs, the systems without a fuel cell (G1, G3, and G5) have a smaller investment cost, operation cost, NPV and energy cost than the systems with a fuel cell (G2, G4, and G6), especially for the PV (G1) and PV/WT (G5) HPSs. For off-grid HPSs, the PV/FC (S2) and PV/WT/FC (S6) HPSs have smaller investment costs, operating costs, NPVs, and energy costs, especially the PV/WT/FC (S6) HPS, which is advantageous in terms of energy costs and has a better economy.
The technical analysis compares and analyzes the power generation, hydrogen production, hydrogen use, capacity shortage rate, and excess power rate of different scenario HPSs. The technical indicator data for each program are shown in Figure 6 and Figure 7, and Table 3. Analyzing from a technicality point of view, we can see that for the grid-connected HPS, considering the amount of power generated by the system, the WT/FC (G4) and G6 HPSs have a larger amount of power generated and the amount of power supplied to the system from the grid is smaller, which is technically better. Considering the hydrogen production and utilization in the system, the G3 and G5 HPSs do not produce the largest amount of hydrogen; however, there is no fuel cell module in these two systems to utilize hydrogen for generating electricity, so the actual use of hydrogen by the hydrogen load is larger and technically better. Considering the hydrogen capacity shortage rate of the system, the G3 and G4 HPSs have a smaller hydrogen capacity shortage rate and are technically better. Considering the system power generation of the off-grid HPS, the WT/FC (S4) and PV/WT/FC (S6) HPSs have a larger power generation capacity and are technically better. Considering the hydrogen production and use of the system, the PV/FC (S2) and S6 HPSs have a larger actual hydrogen use for the hydrogen load and are technically better. Considering the system’s electric/hydrogen capacity shortage rate, the electric/hydrogen capacity shortage rate of the S2 and S6 HPSs is smaller and technically better. Considering the excess power rate of the system, the S2 and S6 HPSs have a smaller excess power rate and are technically better.
The economic and technical aspects of the system are considered together. For the grid-connected HPS, the economic aspect dominates and the energy cost of the system is mainly considered. For off-grid HPSs, the economics and technology are equal, and the main considerations are the system’s capacity shortfall and energy cost [27]. In summary, among the six different grid-connected and off-grid scenarios, the optimal grid-connected system is the PV/WT (G5) HPS. The capacity configuration of the G5 system is PV panels (800 kW), a wind turbine (800 kW), a fuel cell (10 kW), an electrolyzer (500 kW), a hydrogen storage tank (300 kg), and a converter (100 kW). The best off-grid system is the PV/WT/FC (S6) HPS. The capacity configuration of the S6 system is PV panels (800 kW), a wind turbine (800 kW), a fuel cell (10 kW), an electrolyzer (600 kW), a hydrogen storage tank (300 kg), and a converter (100 kW).

3.2. Component Operational Status

Although the energy cost of the grid-connected PV/WT HPS (G5) is 0.152 USD/kWh, the grid supplies the system with 7013 kWh of electricity. For sustainability, the grid-connected HPS should be less dependent on the grid. Although the energy cost of the off-grid PV/WT/FC HPS (S6) is 0.162 USD/kWh and the electricity/hydrogen capacity shortfalls are 0.15% and 4.42%, respectively, the system’s excess power rate reaches 38.6%, which indicates that the system’s actual power consumption is small, resulting in low renewable energy utilization. Therefore, the grid-connected G5 HPS and the off-grid S6 HPS need to be optimized in order to reduce the dependence of the G5 HPS on the grid, as well as to reduce the excess power rate of the S6 HPS.
In order to optimize the two systems, the operation of each component of the two systems during their life cycles was first analyzed. Figure 8 illustrates the results of the operation of each component of the system, which mainly include the output power of the photovoltaic panels and the wind turbine, the input power of the electrolyzer and the rate of hydrogen production, the mass of hydrogen in the hydrogen storage tanks, and the amount of hydrogen used by the fuel cell and its output power, as well as the shortage of capacity of the electric/hydrogen loads. The output power of the PV panels and the wind turbine is the same in both systems. In January and December, the solar radiation intensity and wind speed are stronger in Kuqa, Xinjiang, and the average daily output power of the PV panels is larger. In April-August, the solar radiation intensity and wind speed are stronger in Kuqa, Xinjiang. However, the monthly average daily output power of PV panels is smaller than the monthly average daily output power of wind turbines. Therefore, in Kuqa, Xinjiang, it is reasonable to utilize solar and wind energy to establish a renewable energy HPS, effectively reducing the probability of zero power output of the system and improving its stability. In the PV/WT/FC (S6) HPS, the monthly average daily output power of the fuel cell is the largest in January; the average daily output power of the fuel cell is the smallest in May. Based on the operating conditions of the PV/WT (G5) and PV/WT/FC (S6) HPS components, the output performance of the individual components of the G5 and S6 systems is mainly affected by factors such as the weather data, load data, and component capacity. It is worth noting that the weather data are affected by the geographical location and climate conditions and cannot be changed artificially. Therefore, the phenomena of grid dependence in the G5 HPS and excess power in the S6 HPS are mainly affected by the load data and component capacity.

3.3. Parameter Optimization of the Grid-Connected System

3.3.1. Load Data Optimization for the Grid-Connected System

For the grid-connected PV/WT (G5) HPS, in order to study the effect of the average daily electrical load on the degree of dependence on the grid, the maximum system capacity shortages were set to be 5% and 10% with a constant system hydrogen load and module capacity. It was found that when the maximum capacity shortage of the system is 5%, no feasible solution exists if the average daily electrical load is greater than 190 kWh. When the maximum capacity shortage of the system is 10%, no feasible solution exists if the average daily electrical load is greater than 1300 kWh. The main reason for this is that when the electrical load is too large, even though the grid can provide energy to the system, the excess power of the system after meeting the electrical load is not enough to enable the electrolyzer to produce enough hydrogen to meet the hydrogen load, resulting in a hydrogen capacity shortage rate that is greater than the maximum capacity shortage rate of the system. Figure 9 shows the changes in electricity, hydrogen capacity shortage rate, and energy cost of the grid supply system with the average daily electric load for capacity shortage rates of 5% and 10%. When the maximum capacity shortage rate of the system is 5%, the amount of electricity supplied to the system from the grid gradually increases with the increase in the average daily load of the system, and the growth rate reaches 56%. When the maximum capacity shortage rate of the system is 10%, as the average daily load of the system increases, the amount of electricity supplied by the grid to the system also increases gradually, with an increase of 79%. It can be seen that the average daily load has a significant impact on the degree of grid dependence.
In addition, this paper investigates the effect of the average daily hydrogen load on the degree of dependence on the grid by setting the average daily hydrogen load of the system in the range of 40–100 kg and the maximum capacity shortfalls of 5% and 10%, while the electrical load and component capacity of the system remain unchanged. It was found that when the maximum system capacity shortage is 5%, there is no feasible solution if the average daily hydrogen load is greater than 75 kg. When the system maximum capacity shortage rate is 10%, there is no feasible solution if the average daily hydrogen load exceeds 90 kg. The maximum capacity shortage rate of the system is 7013 kWh for both 5% and 10% of the grid supply to the system. However, the energy cost of the system and the hydrogen capacity shortage rate will increase with the increase in the average daily hydrogen load. It can be seen that the average daily hydrogen load does not affect the degree of dependence of the G5 HPS on the grid.
In summary, in the grid-connected G5 HPS, the amount of electricity supplied to the system from the grid gradually increases as the average daily electric load increases. In addition, the amount of electricity supplied to the system from the grid increases as the maximum capacity shortfall of the system increases, so it can be seen that the maximum capacity shortfall of the system should be set at 5%. The average daily electrical load should be a minimum of 120 kWh and a maximum of 180 kWh. Considering the fact that the HPS in G5 should reduce the dependence on the grid, the average daily electrical load should be 120 kWh.

3.3.2. Component Capacity Optimization for the Grid-Connected System

For the grid-connected G5 HPS, in order to investigate the effect of the capacity of the generating components on the degree of dependence on the grid, the rated power of the PV panels is set in the range of 500–1500 kW, the number of wind turbines (rated at 800 kW) is set to 1–5, the average daily electrical load of the system is 120 kWh, and the hydrogen load is 80 kg, with the maximum capacity shortfall of 10%.
The results show that when the number of wind turbines (800 kW × 1) is kept constant, as the rated power of the PV panels increases from 800 kW to 1500 kW, the amount of electricity supplied to the system by the grid decreases from 4359 kWh to 4342 kWh, a reduction of only 0.39%, which is a very small degree of impact. When the maximum rated power of the PV panels (800 kW) is kept constant, as shown in Table 4, the amount of electricity supplied to the system from the grid decreases from 4359 kWh to 3258 kWh, a decrease of 47%, as the number of wind turbines increases from 1 to 5. It can be seen that the power rating and number of wind turbines have a more significant effect on the degree of dependence of the system on the grid. Meanwhile, it can be seen from Table 4 that when the rated power of the PV panels is 700 kW, and the number of wind turbines (800 kW) is 2, the energy cost of the G5 HPS is minimized to 0.149 USD/kWh, while the power supplied to the system from the grid is reduced to 3666 kWh. Therefore, the optimization of the grid-connected G5 HPS results in the following: the rated power of the PV panels is 700 kW, the number of wind turbines (800 kW) is 2, the capacity of the other components remains unchanged, and the average daily electrical and hydrogen loads are 120 kWh and 75 kg, respectively.

3.4. Parameter Optimization of the Off-Grid System

3.4.1. Load Data Optimization for the Off-Grid System

For the off-grid PV/WT/FC (S6) HPS, in order to investigate the effect of the average daily electric load on the excess capacity rate, the average daily electric load range of the system is set to be 100–500 kWh with the maximum capacity shortage rates of 5% and 10%, while the system hydrogen load and the module capacity remain unchanged.
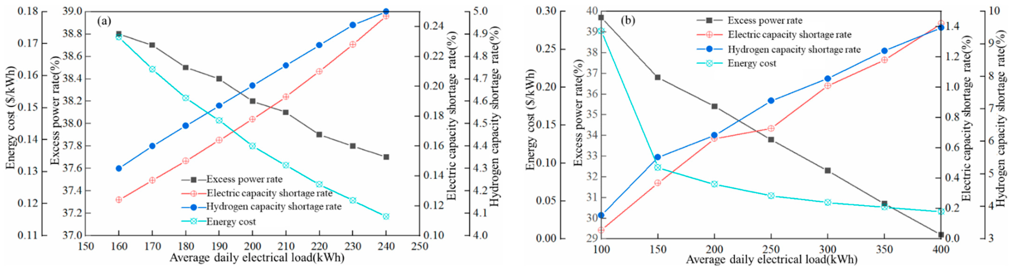
Figure 10 shows the changes in the system’s excess power rate, electric/hydrogen capacity shortages, and energy costs with the average daily electric load for the maximum capacity shortages of 5% and 10%. When the maximum capacity shortage of the system is 5%, the system cannot meet the hydrogen load demand if the average daily electric load is greater than 240 kWh. If the average daily electric load is greater than 400 kWh, the system also cannot meet the hydrogen load demand when the maximum capacity shortage of the system is 10%. The main reason is that when the electrical load is too large, the excess power is insufficient to allow the electrolyzer to produce enough hydrogen to meet the hydrogen load. It can also be seen that when the maximum capacity shortage rate of the system is 5%, the excess power rate of the system gradually decreases as its average daily electric load increases. However, the change is small, with a difference of only 1.1%. When the system’s maximum capacity shortage rate is 10%, the system excess power rate changes by 10%. In addition, as the average daily electric load increases, the electric and hydrogen capacity shortages in the system gradually increase, mainly because the power generation from PV panels and wind turbines is constant, so when the electric load of the system increases, the actual power consumption of the system also increases.
In order to investigate the effect of the average daily hydrogen load on the excess capacity rate, the average daily hydrogen load of the system was set to be in the range of 40–100 kg. The maximum capacity shortage rate was set to be 5% and 10%, while the electrical load of the system and the capacity of the components were kept constant. Figure 11 shows the changes in the excess power rate and electric/hydrogen capacity shortage rate of the system with the average daily hydrogen load at 5%. For the maximum capacity shortage rate of 10%, the excess power rate, electric/hydrogen capacity shortage rate, and energy cost of the S6 system at different average daily hydrogen loads are shown in Table 5. When the maximum capacity shortage of the system is 5%, if the average daily hydrogen load is greater than 75 kg, then the system cannot meet the hydrogen load demand. When the maximum capacity shortage rate of the system is 10%, the system also cannot meet the hydrogen load if the average daily hydrogen load is greater than 90 kg. The main reason is that, when the hydrogen load is too large, the system does not have enough excess power after meeting the electrical load to allow the electrolyzer to produce enough hydrogen to meet the hydrogen load. As shown in Figure 11, the excess power rate of the system decreases gradually and significantly as the average daily hydrogen load increases. When the maximum capacity shortage rate is 5%, the average daily hydrogen load of the system changes from 40 kg to 75 kg, and the excess power rate changes from 63.2% to 38.6%. It is worth noting that, when the average daily hydrogen load of the system is less than or equal to 50 kg, the capacity shortage rate of the system is extremely small, and the hydrogen capacity shortage rate is zero. When the maximum capacity shortage rate is 10%, the average daily hydrogen load of the system can be up to 90 kg, and the excess power is reduced to 30.5%. The main reason for this is that the power generation of the system is constant. To ensure that the system hydrogen capacity shortage rate does not exceed the maximum system capacity shortage rate. When the system hydrogen load increases, the power supplied by the system to the electrolyzer increases and the power supplied to the electrical load decreases. This results in an increase in the system’s electric/hydrogen capacity shortage and an increase in energy costs.
In summary, in the off-grid S6 HPS, the excess power rate of the system decreases as the average daily electric/hydrogen load increases. The excess power rate of the system decreases as its maximum capacity shortage rate increases, which shows that its maximum capacity shortage rate should be set to 10%. When the average daily hydrogen load of the system is certain (75 kg), the average daily electric load can reach 400 kWh, the excess power rate of the system is 28.4%, the electric capacity shortage rate is 1.56%, and the hydrogen capacity shortage rate is 9.86%. When the average daily electric load of the system is certain (172 kWh), the average daily hydrogen load should reach 90 kg, the excess power rate of the system is 30.5%, the electric capacity shortage rate is 0.213%, and the hydrogen capacity shortage rate is 8.77%. The excess power rate and electric/hydrogen capacity shortage rates of the system under different average daily electric and hydrogen loads are shown in Table 6. The table shows that if both the average daily electric and hydrogen loads are considered, then the system has the lowest excess power rate, with a value of 28.1%, when the average daily electric and hydrogen loads are 350 kWh and 90 kg, respectively. Under this condition, the energy cost of the system is 0.142 USD/kWh.

3.4.2. Component Capacity Optimization for the Off-Grid System

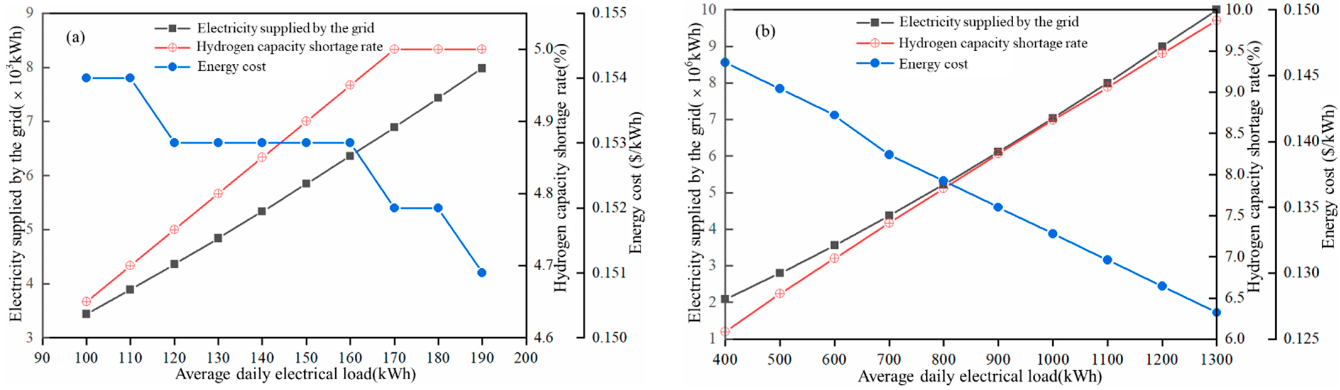
For the off-grid S6 HPS, in order to investigate the effect of generating module capacity on the excess power rate, the rated power range of PV panels was set to 500–1500 kW, the number of wind turbines (rated at 800 kW) was set to 1–5, and the system’s average daily electrical load was 350 kWh, the hydrogen load was 90 kg, and the maximum capacity shortfall was 10%, while the system’s electrical/hydrogen load and the capacity of the other modules were unchanged. It was found that when the number of wind turbines (800 kW × 1) was kept constant, the system excess power rate was reduced from 47.8% to 28.2% as the PV panel-rated power was increased from 1500 kW to 800 kW, which is a smaller reduction. When the maximum rated power of the PV panels (800 kW) was kept constant, as shown in Table 7, as the number of wind turbines increased and decreased from 5 to 1, the system excess power rate decreased from 72.3% to 28.1%, a larger reduction. This shows that the number of wind turbines has a more significant effect on the excess power rate of the system. From Table 7, it can also be found that when the rated power of the PV panels was 800 kW, and the number of wind turbines was 1, both the excess power rate and the energy cost of the S6 hydrogen system were minimized, and were 28.1% and 0.142 USD/kWh, respectively.
In order to investigate the effect of the hydrogen production component capacity on the system excess power rate, the rated power of the electrolyzer was set in the range of 100–1000 kW, based on Section 3.4.1, with the system electric/hydrogen load and other component capacities unchanged. It was found that a feasible solution exists only when the rated power of the electrolyzer is greater than or equal to 600 kW, and when the rated power of the electrolyzer is 600 kW, the excess power rate of the S6 HPS is 28.1%, and when the rated power of the electrolyzer is 700 kW, 800 kW, 900 kW, and 1000 kW. When the rated power of the electrolyzer is 600 kW, the excess power rate of the S6 hydrogen system is 28.1%. The excess power rate of the S6 hydrogen system is 27.8% when the rated power of the electrolyzer is 700 kW, 800 kW, 900 kW, and 1000 kW. Although the excess power rate of the system decreases slightly, the energy cost increases significantly, which reduces the economics of the system. On this basis, the effect of the capacity of the hydrogen storage assembly on the excess power rate of the system was also explored by setting the rated capacity of the hydrogen storage tank in the range of 300–1200 kg.
The changing patterns in the system’s excess power rate, electric capacity shortage rate, and hydrogen capacity shortage rate with the capacity of the hydrogen storage tank are shown in Figure 12. When the hydrogen storage tank capacity is larger than 1200 kg, the energy cost of the S6 HPS will exceed the original proposal of 0.162 USD/kWh and will not be discussed. The figure shows that, as the capacity of the hydrogen storage tank increases, the excess power rate, the electric capacity shortage rate, and the hydrogen capacity shortage rate of the system decrease. When the hydrogen storage tank capacity is 1200 kg, the excess power rate of the system is 10.3%, which is a significant reduction. It can be seen that increasing the capacity of the hydrogen storage tank is an effective measure to reduce the excess power rate of the system. As shown in Figure 13, with the increase in hydrogen storage tank capacity, the investment and operating costs of the system will gradually increase, resulting in a gradual increase in the net present value and energy costs of the system. This is because, with the increase in the capacity of the hydrogen storage tank, the excess power of the system can be converted into hydrogen gas and stored in the hydrogen storage tank through the electrolyzer, increasing the actual power consumption of the system and decreasing the excess power rate of the system. Although the NPV and actual electricity consumption of the system increase with the increase in hydrogen storage tank capacity, the change in the NPV of the system is larger than the actual electricity consumption, increasing the energy cost of the system.
In summary, for an off-grid S6 HPS, increasing the rated power of the electrolyzer system can reduce the excess power rate of the system slightly but increase the energy cost of the system and reduce the economy of the system. With the increase in the hydrogen storage tank capacity, the excess power rate of the system will decrease, and the amplitude is obvious. However, considering the energy cost of the system, the maximum capacity of the hydrogen storage tank is 1200 kg, and the minimum excess power rate is 10.3%. Therefore, the result of the optimization of the S6 HPS is that the hydrogen storage tank capacity can be set to 300–1200 kg, the capacity of other components remains unchanged, and the daily electrical and hydrogen loads are 350 kWh and 90 kg, respectively.

3.5. Optimization Result Analysis

By analyzing the component capacity and load data, the change in the grid-supplied power of the grid-connected HPS and the excess power rate of the off-grid HPS before and after optimization are shown in Figure 14.
Comparing the simulation results, the power supplied from the grid of the optimized grid-connected HPS is 3666 kWh, which is 3347 kWh lower than the power supplied by the grid before optimization and effectively reduces the dependence of the grid-connected system on the grid. The excess power rate of the off-grid HPS after optimization is as low as 10.3%, compared with the excess power rate of 38.6% before optimization, which is a significant optimization effect and effectively improves the technical performance of the off-grid system.

4. Conclusions

Taking Kuqa, Xinjiang as the research site, this paper designs grid-connected and off-grid renewable energy hydrogen production systems (HPSs) for different scenarios. HOMER software is used to comprehensively compare and analyze the HPSs of different scenarios to select the best grid-connected and off-grid renewable energy HPSs and optimize the two systems to improve the system’s technology. The main conclusions of this paper are as follows:
(1)
We compared and analyzed different HPS scenarios from economic and technical points of view. The best grid-connected HPS scenario is the PV/WT HPS, with an energy cost of 0.152 USD/kWh, but relying on the grid to supply 7013 kWh. The best off-grid HPS scenario is the PV/WT/FC HPS, with an energy cost of 0.162 USD/kWh and an electricity/hydrogen capacity shortage of 0.15% and 4.42%, respectively, but with an excess electricity rate of 38.6%.
(2)
For the grid-connected PV/WT HPS, the amount of electricity supplied to the system from the grid increases gradually as the average daily electric load increases and decreases gradually as the capacity of the generating modules increases. For the off-grid PV/WT/FC HPS, the excess power rate of the system gradually decreases with the increase in the average daily electric/hydrogen load. The excess power rate of the system gradually decreases with the appropriate reduction in the capacity of the power generation module and the increase in the capacity of the hydrogen production and storage module.
(3)
For the grid-connected PVWT/WT (G5) HPS, by optimizing the module capacity and load data, the grid-supplied power of the system decreases from 7013 kWh to 3666 kWh, which significantly reduces the dependence of the grid-connected system on the grid. For the off-grid PVWT/FC (S6) HPS, by optimizing the module capacity and load data, the excess power rate of the system is reduced from 38.6% to 10.3%, which significantly improves the technical performance of the off-grid system.

Author Contributions

Conceptualization, J.X. and T.Y.; methodology, F.Y. and R.C.; software, W.C. and N.X.; validation, L.T. and H.L.; formal analysis, W.C.; investigation, L.T. and R.C.; resources, H.L.; data curation, X.Y.; writing—original draft preparation, T.Y., W.C. and X.Y.; writing—review and editing, F.Y. and J.X.; visualization, X.Y.; supervision, F.Y.; project administration, T.Y. and J.X.; funding acquisition, N.X. All authors have read and agreed to the published version of the manuscript.

Funding

This research was funded by the National Key R&D Program of China (2021YFB2601603), the National Natural Science Foundation of China (52176191 and 51476120), the Natural Science Foundation of Hubei Province of China (2021CFB071), the 111 Project of China (B17034), and the Innovative Research Team Development Program of the Ministry of Education of China (IRT_17R83).

Institutional Review Board Statement

Not applicable.

Informed Consent Statement

Not applicable.

Data Availability Statement

The data are contained within the article.

Conflicts of Interest

Author Wenchao Cai was a student at Wuhan University of Technology during this research and is currently employed by the company VOYAH Automobile Technology Co., Ltd. The remaining authors declare that the research was conducted in the absence of any commercial or financial relationships that could be construed as a potential conflict of interest.

References

  1. Sun, J.; Chen, Z.; Wang, X.; Zhang, Y.; Qin, Y.; Chen, C.; Li, W.; Zhou, W. Displacement Characteristics of CO2 to CH4 in Heterogeneous Surface Slit Pores. Energy Fuels 2023, 37, 2926–2944. [Google Scholar] [CrossRef]
  2. Hu, W.; Chen, C.; Sun, J.; Zhang, N.; Zhao, J.; Liu, Y.; Ling, Z.; Li, W.; Liu, W. Three-body aggregation of guest molecules as a key step in methane hydrate nucleation and growth. Commun. Chem. 2022, 5, 33. [Google Scholar] [CrossRef]
  3. Li, Z.; Zhang, J.; Zhang, N.; Li, Z.; Bao, J.; Zhang, X.; He, G.; Chen, C.; Song, Y. Tunable nano-wrinked channels of reduced graphene oxide membranes for molecular sieving gas separation. Carbon 2024, 216, 118524. [Google Scholar] [CrossRef]
  4. Skea, J.; van Diemen, R.; Portugal-Pereira, J.; Al Khourdajie, A. Outlooks, Explorations and Normative Scenarios: Approaches to Global Energy Futures Compared. Technol. Forecast. Soc. Chang. 2021, 168, 120736. [Google Scholar] [CrossRef]
  5. Zaenal, M.U.; Mohammed, S.S.; Wahhab, A.A.; Abdalgbar, O.J. Complementary Power Supply to Compensate the Wind Power in Water Electrolytic System for Hydrogen Production. In Proceedings of the 2019 Global Conference for Advancement in Technology (GCAT), Bangalore, India, 18–20 October 2019. [Google Scholar]
  6. Schnuelle, C.; Wassermann, T.; Fuhrlaender, D.; Zondervan, E. Dynamic hydrogen production from PV & wind direct electricity supply—Modeling and techno-economic assessment. Int. J. Hydrogen Energy 2020, 45, 29938–29952. [Google Scholar]
  7. Ishaq, H.; Dincer, I. Comparative assessment of renewable energy-based hydrogen production methods. Renew. Sustain. Energy Rev. 2021, 135, 110192. [Google Scholar] [CrossRef]
  8. Yilmaz, F.; Ozturk, M.; Selbas, R. Design and thermodynamic modeling of a renewable energy based plant for hydrogen production and compression. Int. J. Hydrogen Energy 2020, 45, 26126–26137. [Google Scholar] [CrossRef]
  9. Baque Billah, S.M.; Kabir, K.M.; Islam, M.O. Hydrogen Energy Storage Based Green Power Plant in Seashore of Bangladesh: Design and Optimal Cost Analysis. In Proceedings of the International Conference on Innovations in Green Energy and Healthcare Technologies (IGEHT), Coimbatore, India, 16–18 March 2017. [Google Scholar]
  10. Ji, M.M.; Zhang, W.; Xu, Y.F.; Liao, Q.; Klemeš, J.J.; Wang, B.H. Optimisation of multi-period renewable energy systems with hydrogen and battery energy storage: A P-graph approach. Energy Convers. Manag. 2023, 281, 116826. [Google Scholar] [CrossRef]
  11. Babatunde, O.; Munda, J.; Hamam, Y. Hybridized off-grid fuel cell/wind/solar PV/battery for energy generation in a small household: A multi-criteria perspective. Int. J. Hydrogen Energy 2022, 47, 6437–6452. [Google Scholar] [CrossRef]
  12. He, Y.; Guo, S.; Dong, P.X.; Lv, D.Q.; Zhou, J.X. Feasibility analysis of decarbonizing coal-fired power plants with 100% renewable energy and flexible green hydrogen production. Energy Convers. Manag. 2023, 290, 117232. [Google Scholar] [CrossRef]
  13. Restrepo, J.C.; Izidoro, D.L.; Násner, A.M.L.; Venturini, O.J.; Lora, E.E.S. Techno-economical evaluation of renewable hydrogen production through concentrated solar energy. Energy Convers. Manag. 2022, 258, 115372. [Google Scholar] [CrossRef]
  14. He, H.; Huang, Y.; Nakadomari, A.; Masrur, H.; Krishnan, N.; Hemeida, A.M.; Mikhaylov, A.; Senjyu, T. Potential and economic viability of green hydrogen production from seawater electrolysis using renewable energy in remote Japanese islands. Renew. Energy 2023, 202, 1436–1447. [Google Scholar] [CrossRef]
  15. Human, G.; Schoor, G.V.; Uren, K.R. Power Management and Sizing Optimisation of Renewable Energy Hydrogen Production Systems. Sustain. Energy Technol. 2019, 31, 155–166. [Google Scholar] [CrossRef]
  16. Khare, V.; Khare, C.J.; Bhuiyan, M.A. Design, optimization, and data analysis of solar-tidal hybrid renewable energy system for Hurawalhi, Maldives. Clean. Energy Syst. 2023, 6, 100088. [Google Scholar] [CrossRef]
  17. Di Micco, S.; Romano, F.; Jannelli, E.; Perna, A.; Minutillo, M. Techno-economic analysis of a multi-energy system for the co-production of green hydrogen, renewable electricity and heat. Int. J. Hydrogen Energy 2023, 48, 31457–31467. [Google Scholar] [CrossRef]
  18. Gokcek, M.; Kale, C. Techno-Economical Evaluation of a Hydrogen Refuelling Station Powered by Wind-PV Hybrid Power System: A Case Study for İzmir-çeşme. Int. J. Hydrogen Energy 2018, 43, 10615–10625. [Google Scholar] [CrossRef]
  19. HassanzadehFard, H.; Tooryan, F.; Collins, E.R.; Jin, S.; Ramezani, B. Design and optimum energy management of a hybrid renewable energy system based on efficient various hydrogen production. Int. J. Hydrogen Energy 2020, 45, 30113–30128. [Google Scholar] [CrossRef]
  20. Amrollahi, M.H.; Bathaee, S.M.T. Techno-economic Optimization of Hybrid Photovoltaic/Wind Generation Together with Energy Storage System in a Stand-alone Micro-Grid Subjected to Demand Response. Appl. Energy 2017, 202, 66–77. [Google Scholar] [CrossRef]
  21. Aziz, A.S.; Tajuddin, M.F.N.; Adzman, M.R.; Azmi, A.; Ramli, M.A. Optimization and Sensitivity Analysis of Standalone Hybrid Energy Systems for Rural Electrification: A Case Study of Iraq. Renew. Energy 2019, 138, 775–792. [Google Scholar] [CrossRef]
  22. Gul, E.; Baldinelli, G.; Farooqui, A.; Bartocci, P.; Shamim, T. AEM-electrolyzer based hydrogen integrated renewable energy system optimisation model for distributed communities. Energy Convers. Manag. 2023, 285, 117025. [Google Scholar] [CrossRef]
  23. Okundamiya, M. Size optimization of a hybrid photovoltaic/fuel cell grid connected power system including hydrogen storage. Int. J. Hydrogen Energy 2021, 46, 30539–30546. [Google Scholar] [CrossRef]
  24. Ghandehariun, S.; Ghandehariun, A.M.; Ziabari, N.B. Performance prediction and optimization of a hybrid renewable-energy-based multigeneration system using machine learning. Energy 2023, 282, 128908. [Google Scholar] [CrossRef]
  25. Rezaei, M.; Akimov, A.; Gray, E.M. Economics of renewable hydrogen production using wind and solar energy: A case study for Queensland, Australia. J. Clean. Prod. 2023, 435, 140476. [Google Scholar] [CrossRef]
  26. Song, C.Y.; Zhang, B.; Cai, W.C.; Zhang, D.N.; Yan, X.L.; Yang, T.Q.; Xiao, J.S. Techno-economic analysis of hydrogen production systems based on solar/wind hybrid renewable energy. In Proceedings of the 6th International Symposium on Hydrogen Energy and Energy Technologies, Osaka, Japan, 10–11 November 2023. [Google Scholar]
  27. Zhou, M.H. The Optimal Selection Research of Hybrid Renewable Enegry System in Remote Mountainous. Master’s Thesis, Harbin Institute of Technology, Harbin, China, May 2020. [Google Scholar]
Figure 1. Weather data for the region: (a) monthly averages of solar radiation intensity and clearness indices; (b) monthly averages of wind speed and temperature [26].
Figure 1. Weather data for the region: (a) monthly averages of solar radiation intensity and clearness indices; (b) monthly averages of wind speed and temperature [26].
Sustainability 16 00896 g001
Figure 2. Average electrical load for a small office building from 0 to 23 h per month for one year: (a) January to March; (b) April to June; (c) July to September and (d) October to December [26].
Figure 2. Average electrical load for a small office building from 0 to 23 h per month for one year: (a) January to March; (b) April to June; (c) July to September and (d) October to December [26].
Sustainability 16 00896 g002
Figure 3. Daily hydrogen loading data from 0 to 23 h.
Figure 3. Daily hydrogen loading data from 0 to 23 h.
Sustainability 16 00896 g003
Figure 4. Schematic illustration of the basic structures of the renewable energy hydrogen production systems for different scenarios [26].
Figure 4. Schematic illustration of the basic structures of the renewable energy hydrogen production systems for different scenarios [26].
Sustainability 16 00896 g004
Figure 5. Data on economic indicators of the renewable energy hydrogen production systems for different scenarios: (a) investment cost and net present value; (b) operating cost and (c) energy cost.
Figure 5. Data on economic indicators of the renewable energy hydrogen production systems for different scenarios: (a) investment cost and net present value; (b) operating cost and (c) energy cost.
Sustainability 16 00896 g005
Figure 6. Electricity generation from the renewable hydrogen production systems for different scenarios.
Figure 6. Electricity generation from the renewable hydrogen production systems for different scenarios.
Sustainability 16 00896 g006
Figure 7. Hydrogen production and use in the renewable energy hydrogen production systems for different scenarios.
Figure 7. Hydrogen production and use in the renewable energy hydrogen production systems for different scenarios.
Sustainability 16 00896 g007
Figure 8. (a) Average daily output of photovoltaic panels and wind turbines per month. (b) Average daily power input and hydrogen production rate of the electrolyzer per month. (c) Average daily hydrogen mass in the hydrogen storage tanks per month. (d) Average daily output and hydrogen usage of the fuel cells per month.
Figure 8. (a) Average daily output of photovoltaic panels and wind turbines per month. (b) Average daily power input and hydrogen production rate of the electrolyzer per month. (c) Average daily hydrogen mass in the hydrogen storage tanks per month. (d) Average daily output and hydrogen usage of the fuel cells per month.
Sustainability 16 00896 g008
Figure 9. Effect of the average daily electric load on the degree of grid dependence, hydrogen capacity shortage, and energy cost of the G5 hydrogen production system when the maximum capacity shortage is (a) 5% and (b) 10%.
Figure 9. Effect of the average daily electric load on the degree of grid dependence, hydrogen capacity shortage, and energy cost of the G5 hydrogen production system when the maximum capacity shortage is (a) 5% and (b) 10%.
Sustainability 16 00896 g009
Figure 10. Effect of the average daily electric load on the excess power rate, electric/hydrogen capacity shortage, and energy cost of the S6 hydrogen generation system when the maximum capacity shortage rate is 5% (a) and 10% (b).
Figure 10. Effect of the average daily electric load on the excess power rate, electric/hydrogen capacity shortage, and energy cost of the S6 hydrogen generation system when the maximum capacity shortage rate is 5% (a) and 10% (b).
Sustainability 16 00896 g010
Figure 11. Effect of the average daily hydrogen load on the excess power rate, electric/hydrogen capacity shortage rates, and energy cost of the S6 hydrogen system when the maximum capacity shortage rate is 5%.
Figure 11. Effect of the average daily hydrogen load on the excess power rate, electric/hydrogen capacity shortage rates, and energy cost of the S6 hydrogen system when the maximum capacity shortage rate is 5%.
Sustainability 16 00896 g011
Figure 12. Effect of the hydrogen storage tank capacity on the excess power rate, electric capacity shortage rate, and hydrogen capacity shortage rate of the S6 hydrogen production system.
Figure 12. Effect of the hydrogen storage tank capacity on the excess power rate, electric capacity shortage rate, and hydrogen capacity shortage rate of the S6 hydrogen production system.
Sustainability 16 00896 g012
Figure 13. Variation of net present value (black line) and energy cost (red line) with the hydrogen storage tank capacity for the S6 hydrogen production system.
Figure 13. Variation of net present value (black line) and energy cost (red line) with the hydrogen storage tank capacity for the S6 hydrogen production system.
Sustainability 16 00896 g013
Figure 14. The grid-supplied electricity of the grid-connected hydrogen production system and the excess power rate of the off-grid hydrogen production system before and after optimization.
Figure 14. The grid-supplied electricity of the grid-connected hydrogen production system and the excess power rate of the off-grid hydrogen production system before and after optimization.
Sustainability 16 00896 g014
Table 1. System component parameters [26].
Table 1. System component parameters [26].
System ComponentInitial Investment CostReplacement CostOperation and Maintenance CostsLife Cycle
PV panel2000 USD/kW2000 USD/kW10 USD/kW30 years
Wind turbine1000 USD/kW1000 USD/kW12 USD/kW30 years
Electrolyzer2000 USD/kW2000 USD/kW2 USD/kW15 years
H2 storage tank600 USD/kg400 USD/kg3 USD/kg25 years
Fuel cell1200 USD/kW1200 USD/kW0.02 USD/h40,000 h
Convertor700 USD/kW630 USD/kW10 USD/kW15 years
Table 2. Capacity configuration of renewable energy hydrogen production systems for different scenarios at minimum NPV [26].
Table 2. Capacity configuration of renewable energy hydrogen production systems for different scenarios at minimum NPV [26].
ScenarioPV Panel (kW)Wind Turbine (kW)Electrolyzer (kW)H2 Storage Tank (kg)Fuel Cell (kW)Convertor (kW)
G1900/500300/10
G2900/6002501010
G3/4 × 1000350400/400
G4/4 × 10004005005400
G5800800500300/100
G68008006003005100
S2900/6002501020
S4/4 × 100040050020400
S680080060030010100
Table 3. Capacity shortage rates for the hydrogen generation systems in different scenarios and excess power rates for the off-grid hydrogen generation systems in different scenarios.
Table 3. Capacity shortage rates for the hydrogen generation systems in different scenarios and excess power rates for the off-grid hydrogen generation systems in different scenarios.
ScenarioElectricity Capacity Shortfall Rate (%)Hydrogen Capacity Shortfall Rate (%)Excess Power Rate (%)
G1/5/
G2/5/
G3/4.75/
G4/4.94/
G5/5/
G6/5/
S20.214.5813.1
S40.224.7873.2
S60.154.4238.6
Table 4. The rated power of the photovoltaic panels, the power supplied by the grid, the hydrogen capacity shortage rate, and the cost of energy for the G5 hydrogen production system at the NPV minimum for different numbers of wind turbines.
Table 4. The rated power of the photovoltaic panels, the power supplied by the grid, the hydrogen capacity shortage rate, and the cost of energy for the G5 hydrogen production system at the NPV minimum for different numbers of wind turbines.
Number of Wind TurbinesPV Panel (kW)Electricity Supplied by the Grid (kWh)Hydrogen Capacity Shortage Rate (%)Energy Cost (USD/kWh)
180043594.750.152
270036664.520.149
370034433.150.156
460033364.410.159
560032674.000.163
Table 5. The excess power rate, electric/hydrogen capacity shortage rate, and energy cost of the S6 hydrogen production system at different average daily hydrogen loads when the maximum capacity shortage rate is 10%.
Table 5. The excess power rate, electric/hydrogen capacity shortage rate, and energy cost of the S6 hydrogen production system at different average daily hydrogen loads when the maximum capacity shortage rate is 10%.
Average Daily Hydrogen Load (kg)Excess Power Rate (%)Electric Capacity Shortage Rate (%)Hydrogen Capacity Shortage Rate (%)Energy Cost (USD/kWh)
8035.90.1745.970.163
8533.20.1988.160.164
9030.50.2138.770.165
Table 6. The excess power rate and electric/hydrogen capacity shortage rate of the S6 hydrogen production system under different average daily electric and hydrogen loads.
Table 6. The excess power rate and electric/hydrogen capacity shortage rate of the S6 hydrogen production system under different average daily electric and hydrogen loads.
Average Daily Electrical Load (kWh)Average Daily Hydrogen Load (kg)Excess Power Rate (%)Electric Capacity Shortage Rate (%)Hydrogen Capacity Shortage Rate (%)
3509028.11.2610.0
3009028.41.569.96
2509028.50.849.86
2009028.80.479.79
3508529.21.429.62
1509029.61.079.28
3008529.90.609.22
1009030.10.269.17
2508530.71.189.11
4008031.10.799.05
Table 7. The power rating of the PV panels, excess power rate, electric/hydrogen capacity shortage rate, and energy cost of the S6 hydrogen production system with the smallest NPV for different numbers of wind turbines.
Table 7. The power rating of the PV panels, excess power rate, electric/hydrogen capacity shortage rate, and energy cost of the S6 hydrogen production system with the smallest NPV for different numbers of wind turbines.
Number of Wind TurbinesPV Panel (kW)Excess Power Rate (%)Electric Capacity Shortage Rate (%)Hydrogen Capacity Shortage Rate (%)Energy Cost (USD/kWh)
180028.10.6029.870.142
270047.20.5368.560.153
370061.80.2498.340.159
470066.80.4018.480.165
560072.00.4358.570.178
Disclaimer/Publisher’s Note: The statements, opinions and data contained in all publications are solely those of the individual author(s) and contributor(s) and not of MDPI and/or the editor(s). MDPI and/or the editor(s) disclaim responsibility for any injury to people or property resulting from any ideas, methods, instructions or products referred to in the content.

Share and Cite

MDPI and ACS Style

Yang, T.; Yan, X.; Cai, W.; Luo, H.; Xu, N.; Tong, L.; Yan, F.; Chahine, R.; Xiao, J. Parametric Study and Optimization of Hydrogen Production Systems Based on Solar/Wind Hybrid Renewable Energies: A Case Study in Kuqa, China. Sustainability 2024, 16, 896. https://doi.org/10.3390/su16020896

AMA Style

Yang T, Yan X, Cai W, Luo H, Xu N, Tong L, Yan F, Chahine R, Xiao J. Parametric Study and Optimization of Hydrogen Production Systems Based on Solar/Wind Hybrid Renewable Energies: A Case Study in Kuqa, China. Sustainability. 2024; 16(2):896. https://doi.org/10.3390/su16020896

Chicago/Turabian Style

Yang, Tianqi, Xianglin Yan, Wenchao Cai, Hao Luo, Nianfeng Xu, Liang Tong, Fei Yan, Richard Chahine, and Jinsheng Xiao. 2024. "Parametric Study and Optimization of Hydrogen Production Systems Based on Solar/Wind Hybrid Renewable Energies: A Case Study in Kuqa, China" Sustainability 16, no. 2: 896. https://doi.org/10.3390/su16020896

APA Style

Yang, T., Yan, X., Cai, W., Luo, H., Xu, N., Tong, L., Yan, F., Chahine, R., & Xiao, J. (2024). Parametric Study and Optimization of Hydrogen Production Systems Based on Solar/Wind Hybrid Renewable Energies: A Case Study in Kuqa, China. Sustainability, 16(2), 896. https://doi.org/10.3390/su16020896

Note that from the first issue of 2016, this journal uses article numbers instead of page numbers. See further details here.

Article Metrics

Back to TopTop