Abstract
As the aviation industry embraces the carbon trading market, the competition between full-service carriers and low-cost carriers in ticket pricing is becoming more complicated and worth studying. To this end, we introduce carbon trading into game theoretical models under different market power structures and use real data from China Eastern Airlines and Spring Airlines on the route from Sanya to Shanghai to study this problem. This differs from the existing literature as empirical research is mainly used in this field. Our main results show that the disparity in market power (Stackelberg game) alleviates competition intensity under carbon trading and leads to higher equilibrium prices than in the Nash game model. Meanwhile, even when the two airlines have similar market power, Spring Airlines still has incentives to voluntarily act as a follower of China Eastern Airlines instead of maintaining equal market power with China Eastern Airlines. Under mild regulation, the uplift of carbon prices promotes higher equilibrium prices and supports larger profits. For the sake of consumer welfare, this suggests that the regulation department should impose stricter regulations and grant subsidies to motivate the airlines to mitigate emissions by introducing clean technologies.
1. Introduction
Environmental problems are increasingly serious nowadays, such as global warming, air pollution, etc. Among others, the excessive emission of greenhouse gases is one of the main causes. To solve these environmental problems, various countries and international organizations have made enormous efforts and formed complete carbon emission standards to promote sustainable development, such as ISO14064 [1], GHG Protocol [2], and PAS2050 [3]. As one of the industries with high carbon emissions, aviation has attracted a lot of attention for its carbon emissions. According to the International Civil Aviation Organization (ICAO), about 2% of man-made carbon emissions are generated by air transport (ICAO, 2018). In order to promote the sustainable development of the aviation industry, a number of regulatory policies have been proposed, such as the European Union Emissions Trading Scheme (EU ETS) and the “Carbon Neutral Growth from 2020” strategy (CNG 2020 strategy). Under these policies, airlines need to pay for excessive carbon emissions and also have a chance to benefit from curbing carbon emissions. These additional costs/benefits can significantly affect airlines’ sustainable operations, especially airline ticket pricing. Therefore, it is important to explore the impact of carbon control policies on ticket pricing strategies.
With the increasing cost pressure, many airlines have begun to operate with a low-cost strategy known as “low-cost carriers” (LCCs). This then classifies the airlines into two categories: low-cost carriers (LCCs) and full-service carriers (FSCs). The increasingly emerging LCC imposes significant impacts on the competition in the aviation industry, as LCCs occupy a certain share of the market with their cost advantages. Obviously, this impact varies under different market power structures. With the development of the carbon market, the ticket pricing competition between FSCs and LCCs is even more complicated: many more factors will affect airline ticket pricing, such as the technology cost of carbon reduction, the carbon tax of the government, and the transaction cost of the carbon market. In addition, the consumers’ low-carbon preference will also have an impact on the valuation of the airline service. Therefore, how FSC airlines should make ticket pricing decisions when faced with LCCs under carbon emission regulations becomes an interesting topic that is really worth exploring. Motivated by this, we aim to explore the following research questions: (1) How should the FSC make ticket pricing decisions when faced with an LCC under a carbon trading mechanism? (2) How does the variation of carbon price affect the equilibrium outcomes of the competition? (3) How do the effects of carbon price vary across different market power structures?
Existing research on competition with LCCs in the aviation industry mainly uses empirical analysis to analyze the impact of competing with LCCs by collecting data. In contrast, this paper conducts normative research by constructing game theoretical models and calculating the parameters with real data from China Eastern Airlines and Spring Airlines on the route from Sanya to Shanghai. Moreover, we also introduce the effects of carbon trading and market power structure.
Our results show that the equilibrium prices of the Stackelberg game are higher than those of the Nash game, although not as high as those in the centralized model. This indicates the disparity in market power can alleviate competition intensity under carbon trading. However, with higher equilibrium prices, the equilibrium profits in the Stackelberg game model still outperform those in the Nash game. It then suggests that even when the two airlines have similar market power, Spring Airlines still has incentives to voluntarily act as a follower of China Eastern Airlines when making ticket price decisions. The centralization benefits China Eastern Airlines at the expense of badly hurting Spring Airlines’ profit. Therefore, China Eastern Airlines should design a sufficiently attractive coordination mechanism for Spring Airlines when seeking centralization.
We also find that the effects of carbon prices affect China Eastern Airlines more than Spring Airlines. With the rise of carbon prices, both airlines are motivated to raise ticket prices, and China Eastern Airlines has incentives to raise prices higher than Spring Airlines due to larger market potential and unit emission. Meanwhile, China Eastern Airlines also gains more profit than Spring Airlines when carbon price increases because of the larger volume of price rise and carbon emission. However, the increase in carbon price hurts consumers’ welfare by increasing both airlines’ ticket prices. Therefore, the regulation department should impose stricter regulations and grant subsidies to motivate the airlines to mitigate emissions by introducing clean technologies.
The rest of this paper is organized as follows: Section 2 reviews the relevant literature. Section 3 describes the problem in detail, formulates and analyzes the model, and obtains the optimal price and the maximum profit. Section 4 conducts empirical analysis using the case of China Eastern Airlines and Spring Airlines on the route from Sanya to Shanghai. Section 5 summarizes this paper and puts forward limitations and future research directions.
2. Literature Review
With the fast development in practice, airline ticket pricing has been attracting significant attention from academia all along. Many researchers studied passenger ticket pricing in non-competitive environments. Researchers mainly focus on the following aspects: the pricing strategy of low-cost carriers (Sengpoh, 2015; Wang et al., 2018; Varella, 2017) [4,5,6], dynamic pricing of air tickets and price prediction (Wittman et al., 2019; Wittman, 2018; Wang et al., 2019; Abdella et al., 2021; Shukla, 2019; Williams, 2022) [7,8,9,10,11,12], and price discrimination (Escobari, 2019; Aryal et al., 2021) [13,14]. Unlike the above studies, this paper focuses on airline ticket pricing in a competitive environment.
Research on airline ticket pricing in competitive environments mainly focuses on two areas. Firstly, competition across industries is analyzed. Bergantino (2015) empirically analyzed airline pricing strategies in the presence of inter-modal competition. The results suggest that airlines are more likely to use inter-temporal discrimination when they are in cross-industry competition [15]. Zhang et al. (2019) and Su et al. (2020) analyzed the impact of high-speed rail on Chinese airlines. They found that the presence of high-speed rail could induce airlines to significantly reduce ticket prices and flight frequencies [16,17]. Álvarez-SanJaime et al. (2020) considered the impact of the adoption of cooperative pricing strategies on the prices of the two modes of transport by high-speed rail and airlines under competitive modes [18].
Secondly, in terms of competition within the aviation industry, Tan (2018) investigated airline ticket prices on legacy carriers and independent regional airline routes when there is competition from other routes [19]. Ma et al. (2019) and Gil et al. (2021) considered the impact of price competition on the aviation market [20,21]. The results show that price competition leads to a reduction in airline ticket prices while also improving the quality of air supply and reducing the cancellation and departure delays of airlines. This also implies the fact that increased competition may increase consumer surplus. Lewis (2021) explored how airlines should offer differentiated prices when there is price discrimination in a competitive market [22].
Other researchers also explored the airline ticket pricing competition when there are LCCs in the market. There is considerable empirical evidence that ticket prices of LCCs are lower than those typically offered by full-service carriers (FSC) (Kwoka et al., 2016) [23]. The impact of low-cost carriers on market prices was analyzed by statistical data, and the results show that although low-cost carriers fundamentally change price decisions, this impact is limited to some extent. Zhang (2018) [24] used empirical analysis to discuss the impact of the entry of low-cost carriers on airline prices in a duopoly market. The results show that airline ticket price for full-service carriers also decreases as low-cost carriers enter the market. However, Nicolò et al. (2021) [25] employed a multivariate logistic regression model to analyze the competition between low-cost airlines and full-service carriers. They showed that low-cost carriers can also offer higher airline ticket prices than full-service carriers on competing flights.
The research mentioned above mainly used empirical analysis to analyze the competition with LCCs and the impact on airline ticket prices by collecting data. In contrast, this paper conducts normative research by constructing game theoretical models and calculating the parameters with real data. Moreover, this paper introduces factors such as carbon trading and market power structure into the models. In terms of the main results, the existing research finds that the presence of the LCC can lead to lower ticket prices for the FSC, and the LCC may price lower or higher than the FSC. However, the LCC imposes a limited impact on the FSC. In contrast, our paper finds that the FSC may raise ticket prices and benefits under carbon trading, even in the presence of the LCC. The increasing volume of ticket prices for the FSC is larger in the Stackelberg model than in the Nash model.
There are also many scholars focusing on the impact of carbon taxes and carbon trading on airline ticket pricing under carbon regulation. On the carbon tax, Pagoni and Psaraki-Kalouptsidi (2016) examined the impact of a carbon tax on airline ticket prices and passenger purchasing decisions [26]. The results show that the carbon tax leads to a moderate increase in airline ticket prices and a decline in air travel demand. Dixit (2022) analyzed whether the presence of carbon tax policies and congestion costs affect airlines’ green investment decisions in a duopoly market. The result shows that airlines are reluctant to commit to green investments due to increased costs when penalties are small and suggests that carbon taxes also lead to higher airline ticket prices [27]. Cui et al. (2019) also considered the impact on online pricing of airline tickets. They took competitive factors and carbon taxes into account and explored the optimal price and profitability of bookings using Ryanair as an example [28].
On carbon trading, scholars have examined the impact of carbon trading policies on airlines’ operational efficiency. Cui and Li (2016) analyzed the effectiveness of airlines’ implementation of carbon reduction measures from the perspective of input and output [29]. Qiu et al. (2017) analyzed the impact of the carbon allowance mechanism on aviation emission reduction measures [30]. Markham (2018) used the example of Australian domestic aviation to analyze the impact of carbon trading prices on the level of domestic airline passenger kilometers [31]. Fageda and Teixido (2022) considered the effect of carbon trading on the aviation market as a whole from an econometric perspective. They found that the regulation of carbon emissions does not improve aircraft efficiency but leads to a reduction in the number of flights [32].
In addition, some scholars have analyzed the impact of carbon trading on air ticket prices. Sheu and Li (2014) examined the impact of a carbon trading system on airline ticket pricing as well as on green investments. They found that consumers’ green attitudes influence whether or not customers accept increases in airline ticket pricing caused by carbon trading, suggesting that inefficient firms should make green investments wherever possible [33]. In order to analyze the impact of carbon trading policy on airline competition more thoroughly, Rong (2018) explored the impact of carbon emissions trading on dynamic price competition among airlines using bifurcation and game theory [34]. Pang and Chen (2023) analyzed the impact of carbon trading policies on co-opetition strategies of carbon emission allowances between airlines and other companies [35]. The above literature analyzed the impact of competition and no competition under carbon trading regulation. Apparently, none of the studies mentioned above considered the impact of different market power structures when exploring airline ticket pricing competition under carbon emission regulation, which is, however, the topic our paper pays close attention to.
In summary, little has been done to analyze the impact of different market power structures on airline ticket pricing under carbon trading. To this end, this paper considers the competition between two airlines, one of which is a low-cost carrier, and analyses how they make pricing decisions under different power structures. Specifically, we conduct comparative analyses across a centralized decision-making scenario, Nash game scenario, and Stackelberg scenario to explore the impact of carbon trading on airline ticket pricing competition.
3. Problem Description and Model Formulation
This section considers two competing airlines, and , on a single route. Airline provides full-service, while Airline implements a low-cost strategy. Airlines and make decisions on their own airline ticket price , respectively. In order to focus on the impact of carbon trading on airline ticket pricing competition under different market power structures, we do not consider the preference of passengers for airlines and the variability of airline services, such as fare class, passenger type, and flight schedule, to isolate effects from those factors. Therefore, we assume the demand for airline tickets is only determined by , characterized as follows:
where represents demand for passenger tickets of airlines, is the market potential, is the price sensitivity coefficient, and is the cross-price sensitivity coefficient. To capture the fact that an airline is more sensitive to its own ticket price than to the competitor’s, we assume . To avoid trivial cases, we further assume .
As one of the industries with high carbon emissions, the aviation industry is currently facing pressure to reduce emissions from the Carbon Offsetting and Reduction Mechanism for International Aviation (CORSIA Mechanism). According to the Administrative Measures for Carbon Emissions Trading (Trial Implementation), the initial allocation of emission quotas is free, and compensated allocation will be gradually introduced later. Therefore, we assume airlines can obtain free government quotas of , which are related to the airlines’ historical carbon emissions in base-year, and the remaining quotas cannot be carried over to the next period. Simultaneously, we assume airlines’ unit carbon emissions as , and the price of carbon trading is μ. Summing up, the airlines face problems of maximizing profit described as follows:
where represents the airline’s profit on the route, is the airline’s demand, and is the variable cost of services provided by airlines.
In Equations (3) and (4), when the carbon emissions of airline A (B) is lower than government quotas; thus, the remaining quota can be sold in the carbon market to obtain earnings; when , the carbon emissions of airline A (B) is higher than government quotas; thus, payment is required to purchase quota in the carbon market.
In order to study the impact of carbon trading on airline prices under different market power structures, we construct a centralized decision-making model, Nash game model, and Stackelberg game model and perform comparative analyses across the three models, which will be elaborated in subsequent sections. Table 1 summarizes the notations used in this paper.
Table 1.
Summary of notations.
4. Model Analyses
In this section, we first analyze three models with different market power between the two airlines and then make comparative analyses across the models.
4.1. The Centralized Decision-Making Model
In the centralized decision-making model, two airlines act as one firm and simultaneously determine their ticket prices to maximize the total profit. The profit maximization problem of the two airlines is characterized as follows:
Note that and .
We utilize Proposition 1 to characterize optimal pricing decisions of airlines in the centralized decision-making model.
Proposition 1.
In the centralized decision-making model, optimal pricing decisions of the two airlines are given as follows:
Proof of Proposition 1.
Two airlines decide prices simultaneously to maximize their total profit. Solve for the first-order partial derivation from to to obtain the ticket price of the airline A(B):
Joining the two equations, we obtain Equations (6) and (7).
Next, solve for the second-order partial derivation from to to obtain:
We use the Hessian matrix to determine the extreme values of the binary function:
where is constantly positive, and must be constant:
where M is a negative-definite matrix; that is, when , the game has equilibrium prices and , as shown in Proposition 1.
Based on Proposition 1, we obtain the maximum profits of airlines A and B:
where and □
4.2. The Nash Game Model
In the Nash game model, the airlines have equivalent market power; hence, they make their decisions simultaneously on airline ticket prices to maximize their profit, respectively. We obtain optimal decisions of airlines in the Nash game model characterized as Proposition 2.
Proposition 2.
In the Nash game model, optimal decisions of airlines A and B are given as follows:
Proof of Proposition 2.
Calculating the first-order partial derivatives of (3) and (4) with respect to and and setting the first-order partial derivatives to zero, we can obtain the results as follows:
From Equations (19) and (20), we can obtain the results as follows:
Solving the above two equations, we obtain Equations (17) and (18) and obtain optimal pricing for this game model.
Substituting Equations (17) and (18) into Equations (3) and (4), we can obtain the equilibrium profits of airlines A and B as follows:
where and □
Corollary 1.
In the Nash game, passenger ticket prices for both airlines increase with carbon trading price . Higher carbon trading prices enhance the cost of airlines, and companies have to raise prices to maintain equilibrium profits.
Proof of Corollary 1.
Calculating the first-order derivatives of and with respect to carbon trading price , we obtain
From the Equations (17) and (18), we know that the is positive, so 0, and from the model assumptions, we know that the parameters are all constantly positive, so we obtain
It follows from Equations (27) and (28) that the and increase with carbon trading price . □
4.3. The Stackelberg Game Model
In the Stackelberg game model, airline A, which acts as the Stackelberg leader, first makes its decision, in which airline B then determines its profit-maximizing airline ticket price. We obtain the optimal decisions of airlines in the Stackelberg game model as Proposition 3.
Proposition 3.
In the Stackelberg game model, optimal decisions of airlines A and B are given as follows:
Proof of Proposition 3.
Calculating the first-order partial derivative of (4) with respect to and setting the first-order partial derivative to zero, we obtain
Solving Equation (31), we can obtain the result as follows:
Considering the pricing decision of airline B when A makes its optimal pricing decision and substituting Equation (32) into Equation (3), we obtain
Calculating the first-order partial derivative of (33) with respect to , setting the first-order partial derivative to zero, and solving the equation, we can obtain the optimal decision of airline A as follows:
Substituting Equation (34) into Equation (32), we obtain the optimal decision of airline B as follows:
Substituting Equations (34) and (35) into Equations (3) and (4), we can obtain the optimal decisions of airlines A and B in the Stackelberg game model as follows:
where and □
4.4. Analysis of Game Results
Apparently, the results of Table 2 and Table 3 show the optimal pricing and profit of different game models will be affected by the change of each parameter; when the value of one parameter changes, the game results also change. We can classify the above parameters as market demand-related, cost-related, and carbon trading-related. Since the specific values of the parameters have not been set, the differences in the results of different games will be further studied in the empirical analyses later in this paper.
Table 2.
Optimal pricing comparison table.
Table 3.
Optimal profit comparison table.
5. Empirical Analysis
In order to further study the pricing model, this section will take the case of China Eastern Airlines and Spring Airlines on the Sanya to Shanghai route as an example for empirical analysis. China Eastern Airlines occupies the most market share on this route, so we assume China Eastern Airlines is A and Spring Airlines is B. China Eastern Airlines operates three flights per day on average, with the aircraft type A321-200, which has 168 seats. Spring Airlines operates two flights per day on average on this route, with the aircraft type A320-186 (medium), which has 186 seats.
5.1. Parameter Setting
Based on the analysis of the historical data of the airlines, we obtain , , , , , and , and the demand functions are as follows:
We derive operating costs and passenger turnover based on the 2020 annual reports of China Eastern Airlines and Spring Airlines as shown in Table 4:
Table 4.
Spring Airlines/China Eastern Airlines operating data.
By calculation, we know the cost per passenger–kilometer of Spring Airlines is about CNY 0.33; for China Eastern Airlines, it is about CNY 0.66; and the distance from Sanya to Shanghai is 1867 km, i.e., , .
Since Spring Airlines has not announced its carbon dioxide emissions to the public, we use a method of calculating developed by the International Civil Aviation Organization (ICAO) to calculate carbon emissions on the route as shown in Table 5 and Table 6:
Table 5.
Carbon emission of Spring Airlines.
Table 6.
Carbon emission stages of Spring Airlines.
Note that carbon dioxide emissions per passenger is 153.7.
According to the 2020 social responsibility report of China Eastern Airlines, its carbon emissions in 2020 would be 1,394,9700 tons, transportation turnover would be 1,072,732,500,00 passenger–kilometers, and the carbon dioxide emissions per passenger at a distance of 1867 km would be 243 kg, i.e., .
Shanghai’s carbon quota calculation adopts the historical method, whereby the company’s annual initial quota = historical intensity base annual business volume. If each ton of fuel produces approximately 3.15 tons of carbon dioxide, Spring Airlines’ carbon dioxide emissions can be calculated as shown in Table 7:
Table 7.
Spring Airlines carbon dioxide emission projection.
The historical intensity base is the weighted average of the company’s carbon emissions per unit of business in the previous three years, as is shown in Table 8. Based on the passenger turnover of Spring Airlines in 2020, it can be estimated that the initial carbon quota for a single flight on the route of Spring Airlines would be about 23,058 kg. Now that Spring Airlines operates two flights on the route, then .
Table 8.
China Eastern Airlines carbon dioxide emissions.
Similarly, based on the carbon emissions of China Eastern Airlines from 2017 to 2019, the initial carbon quota for a single flight of China Eastern Airlines in 2020 would be about 26,623 kg. As China Eastern Airlines operates three flights, we know .
Assuming the carbon market trading price , the parameter values are summarized in the table below.
5.2. Optimal Pricing and Maximum Profits in Different Models
Based on the operating profits of China Eastern Airlines and Spring Airlines, the Nash game model, the Stackelberg game model, and the centralized decision-making model are used for analysis in this section, and the results of the game pricing models are used in this section to compare the optimal pricing and the maximum profits of different models.
First, each parameter in Table 9 is substituted into the optimal price and maximum profits functions in Table 2 and Table 3, and the results are as shown in Table 10.
Table 9.
Parameter table.
Table 10.
Optimal prices and maximum profits in different models.
It shows that the equilibrium prices of the Stackelberg game are a little bit higher than those of the Nash game, although they are basically at the same level. This is because the disparity in market power alleviates competition intensity between the airlines, thus raising the ticket prices of both airlines. Meanwhile, the equilibrium prices in the centralized decision-making model are prominently higher, and the price gap is largely mitigated between the two airlines. This indicates that competition intensity is alleviated as much as possible by centralization. In terms of the performance in profit, the equilibrium profits in the Stackelberg game outperform those in the Nash game, although the gap is limited. The increase in profit in price can be attributed to the emission regulation: emission regulation incurs additional costs for the airlines when serving more demand, gaining another stream of profit by serving less demand and selling excessive carbon emission allowance. Thus, the airlines raise prices to suppress demand to avoid this additional cost while obtaining higher profit margins and more streams of profit. Meanwhile, centralization optimizes the total profit of the two airlines. However, it benefits China Eastern Airlines at the expense of badly hurting Spring Airlines’ profit.
As a result, we can derive some interesting managerial insights for the airlines: Under the decentralized decision structure, even when two airlines have similar market power, they still tend to increase their heterogeneity by actively differentiating their market power due to the additional stream of profit generated by selling excessive carbon emission allowance. For example, Spring Airlines has incentives to voluntarily follow China Eastern Airlines’ lead in making price decisions, even when it has similar market power with China Eastern Airlines. Under the centralized situation, the total profit of the two airlines is maximized, however, at the expense of hurting Spring Airlines’ profit. Therefore, China Eastern Airlines should devise and provide a sufficiently attractive compensation for Spring Airlines to coordinate the incentive for the sake of higher profit under centralization.
5.3. Impact of Carbon Trading Prices on the Equilibrium Results
This section discusses the impact of changes in carbon trading prices on the equilibrium results, where we consider the impact of carbon price changes on optimal pricing and maximum profits, respectively.
5.3.1. Impact of Carbon Trading Prices on Optimal Pricing
Assume the carbon trading price varies between 0 and 0.1. When the carbon trading price changes, optimal price changes of China Eastern Airlines and Spring Airlines are shown in Figure 1 and Figure 2. These show that the optimal price for both airlines increase in the carbon price. In addition, for every 0.01 increase in the carbon price, the optimal price of China Eastern Airlines in the three game models increases by 1.36, 1.34 and 1.25, respectively, and the optimal price of Spring Airlines increases by 0.9, 0.89 and 0.63, respectively, which shows that the changing rate of the optimal price of China Eastern Airlines is higher than Spring Airlines.
Figure 1.
Optimal price of China Eastern Airlines in different models.
Figure 2.
Optimal price of Spring Airlines in different models.
The rationale behind this can be interpreted as follows: As the airlines tend to avoid the cost incurred by carbon emission and increase the additional profit brought by selling excessive emission allowance, they naturally adopt higher ticket prices to suppress demand. The rise of carbon price enhances this additional cost/profit, thus alleviating the competition between the airlines, and the ticket prices of both airlines increase in the carbon price. Specifically, China Eastern Airlines has a larger market potential and unit emission; hence, it has incentives to raise prices higher than Spring Airlines when carbon price increases.
5.3.2. Impact of Carbon Trading Prices on Maximum Profits
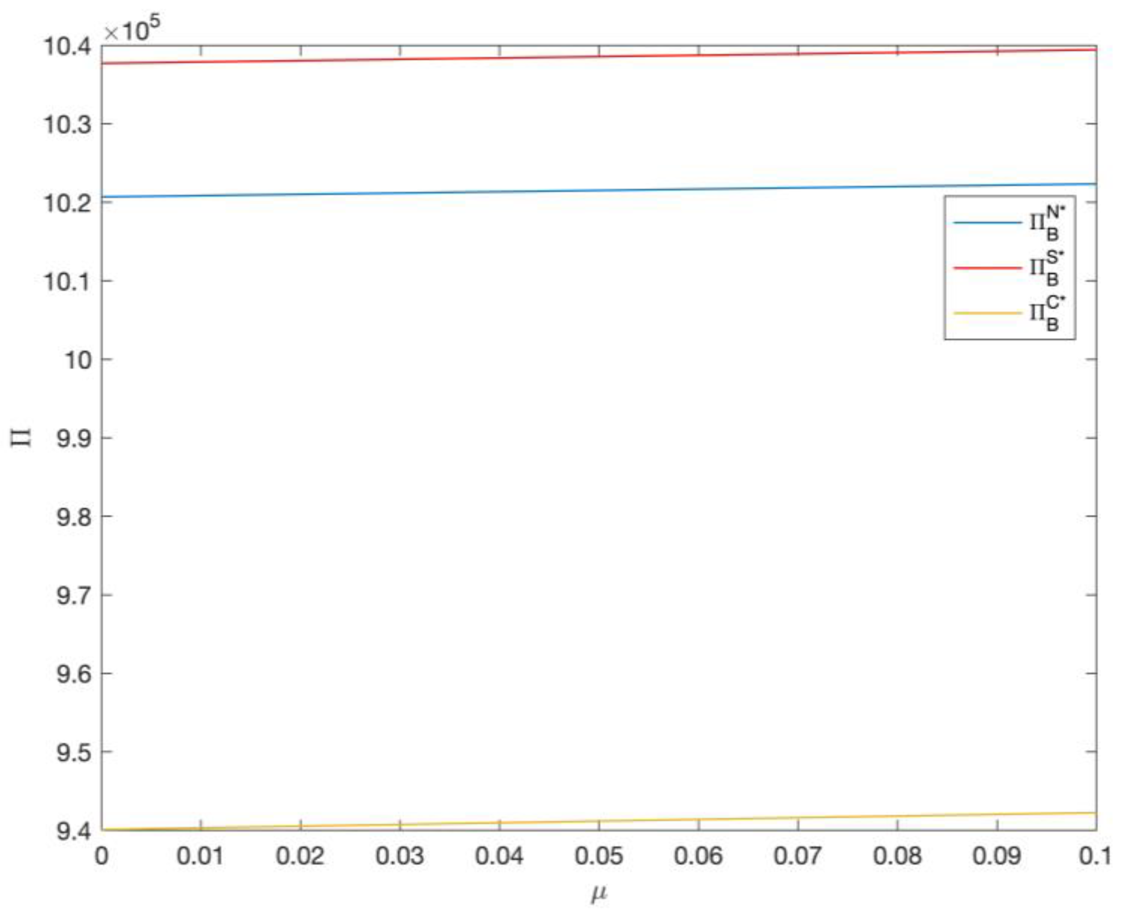
Assuming that the carbon trading price varies between 0 and 0.1, we obtain the maximum profit change of China Eastern Airlines and Spring Airlines, as shown in Figure 3 and Figure 4. These show the maximum profit of the two airlines’ increase in carbon price. This is the case when the initial carbon quotas allocated are greater than the actual carbon emissions, and the carbon trade is manifested as a gain for airlines. If the actual carbon emissions are greater than the allocated initial carbon quotas, the carbon trading fee is the cost, and the profit of airlines will decrease with the carbon price. In addition, for every 0.01 increase in the carbon price, the maximum profit of China Eastern Airlines in the three game models increases by 4840, 4854 and 5031, respectively, and the maximum profit of Spring Airlines increases by 2958, 2957 and 3340, respectively. This shows that the changing rate of the maximum profit of China Eastern Airlines is higher than Spring Airlines.
Figure 3.
Optimal profits of China Eastern Airlines in different models.
Figure 4.
Optimal profits of Spring Airlines in different models.
These results can be interpreted as follows: The rise in carbon prices enhances the airlines’ motivation to raise ticket prices for the sake of higher profit margins and higher profit from selling excessive carbon allowances. These increased profits outperform the loss from diminishing demand due to price rises. China Eastern Airlines has larger volumes of price rise and carbon emission than Spring Airlines, thus gaining more profit when carbon price increases. Although the increase in carbon price benefits both airlines, it increases both airlines’ ticket prices, which hurts consumers’ welfare. Therefore, the regulation department should impose stricter regulations to turn carbon trading into a cost from profit for the airlines. Then, the regulation department can grant subsidies to motivate airlines to mitigate emissions by introducing clean technologies.
6. Conclusions
As the aviation industry embraces the carbon trading market, the competition between FSCs and LCCs in ticket pricing is becoming more complicated and worth studying. The existing research mainly uses empirical analysis to analyze the competition with LCCs. In contrast, we adopt both normative and empirical methodologies to study the ticket pricing competition between an FSC and an LLC under carbon trading in different market power structures, such as the centralized model, Nash game model, and Stackelberg game model. First, we introduce a carbon trading mechanism and use game theory to construct a centralized model, Nash game model, and Stackelberg game model between the FSC and the LCC, and then analyze the equilibrium prices and profits in each model. Second, we use real data from China Eastern Airlines and Spring Airlines on the route from Sanya to Shanghai to conduct a further numerical analysis. The parameters in the models are calculated with the data, and equilibrium prices and profits are compared across the models. On this basis, we obtain some interesting managerial insights for the airlines and the regulation department in terms of the effects of market power structure and carbon price.
We show that the equilibrium prices of the Stackelberg game are higher than those of the Nash game due to the disparity in market power, as it alleviates competition intensity between the airlines. Meanwhile, centralization prominently raises the equilibrium prices compared with decentralized models and mitigates the price gap between the two airlines by further alleviating competition intensity.
Although the equilibrium prices in the Stackelberg game model are higher, the equilibrium profits still outperform those in the Nash game. This is because the airlines have incentives to raise prices to curb demand for the sake of avoiding carbon costs and seeking profit from carbon trading. This then suggests that even when the two airlines have similar market power, Spring Airlines still has incentives to voluntarily act as a follower of China Eastern Airlines when making ticket price decisions. The centralization benefits China Eastern Airlines at the expense of badly hurting Spring Airlines’ profit. Therefore, China Eastern Airlines should design a sufficiently attractive coordination mechanism for Spring Airlines when seeking higher profit brought by centralization.
The effects of carbon prices affect China Eastern Airlines more than Spring Airlines. As the rise in carbon price enhances additional cost/profit from carbon trading, both airlines are motivated to raise ticket prices. In particular, China Eastern Airlines has incentives to raise prices higher than Spring Airlines due to larger market potential and unit emission.
Although equilibrium ticket prices increase when carbon price rises, the airlines’ equilibrium profits also increase. This is because higher profit margins and higher profit from selling excessive carbon allowances outperform the loss from diminishing demand. China Eastern Airlines gains more profit than Spring Airlines when carbon price increases because of larger volumes of price rise and carbon emission. However, the increase in carbon price hurts consumers’ welfare by increasing both airlines’ ticket prices. Therefore, the regulation department should impose stricter regulations and grant subsidies to motivate the airlines to mitigate emissions by introducing clean technologies.
There are also some limitations in this paper. First, we do not consider stricter regulations from government departments; thus, this present research does not include the case of purchasing carbon allowance in carbon trading. Second, this research does not quantitatively explore consumers’ welfare and, thus, cannot provide insights on how the regulation department should tighten regulations. Naturally, these limitations are also our future research directions.
Author Contributions
Conceptualization, methodology, and supervision, L.X.; methodology, formal analysis, and investigation, P.D.; software and writing—original draft preparation, R.L. and M.H. All authors have read and agreed to the published version of the manuscript.
Funding
This research was funded by: 1. the Humanities and Social Sciences Program of the Ministry of Education of China, grant number 22YJA630016; 2. China Postdoctoral Science Foundation, grant number bs6820020; 3. NSFC special supporting funding of CAUC (Grant No. 3122022PT08); 4. SAFEA High-End Foreign Experts Project (Grant No. G2022202001L, G2023202005L); 5. “Chunhui Plan” Cooperative Research Project of Ministry of Education (Grant No. HZKY20220596); and 6. National Natural Science Foundation of China (Grant No. 72172148, 72261147707).
Institutional Review Board Statement
Not applicable.
Informed Consent Statement
Not applicable.
Data Availability Statement
The data in this article are based on the annual reports of China Eastern Airlines and Spring Airlines.
Conflicts of Interest
The authors declare no conflicts of interest.
References
- ISO 14064-1; Specification with Guidance at the Organization Level for Quantification and Reporting of Greenhouse Gas Emissions and Removals. ISO Technical Committees: Geneva, Switzerland, 2018. Available online: https://www.iso.org/home.html (accessed on 25 October 2023).
- The Greenhouse Gas Protocol; World Resources Institute and World Business Council for Sustainable Development: Washington, DC, USA; Geneva, Switzerland, 2004; Available online: https://www.wbcsd.org/ (accessed on 25 October 2023).
- PAS 2050:2011; Specification for the Assessment of the Life Cycle Greenhouse Gas Emissions of Goods and Services. BSI: London, UK, 2008. [CrossRef]
- Sengpoh, L. The competitive pricing behaviour of low cost airlines in the perspective of sun tzu art of war. Procedia Soc. Behav. Sci. 2015, 172, 741–748. [Google Scholar] [CrossRef]
- Wang, K.; Zhang, A.; Zhang, Y. Key determinants of airline pricing and air travel demand in china and india: Policy, ownership, and lcc competition. Transp. Policy 2018, 63, 80–89. [Google Scholar] [CrossRef]
- Varella, R.R.; Frazão, J.; Oliveira, A.V. Dynamic pricing and market segmentation responses to low-cost carrier entry. Transp. Res. Part E Logist. Transp. Rev. 2017, 98, 151–170. [Google Scholar] [CrossRef]
- Wittman, M.D.; Belobaba, P.P. Dynamic pricing mechanisms for the airline industry: A definitional framework. J. Revenue Pricing Manag. 2019, 18, 100–106. [Google Scholar] [CrossRef]
- Wittman, M.D.; Belobaba, P.P. Customized dynamic pricing of airline fare products. J. Revenue Pricing Manag. 2018, 17, 78–90. [Google Scholar] [CrossRef]
- Wang, T. A Framework for Airfare Price Prediction: A Machine Learning Approach. In Proceedings of the 2019 IEEE 20th International Conference on Information Reuse and Integration for Data Science (IRI), Los Angeles, CA, USA, 30 July–1 August 2019; pp. 200–207. [Google Scholar] [CrossRef]
- Abdella, J.A.; Zaki, N.M.; Shuaib, K.; Khan, F.S. Airline ticket price and demand prediction: A survey. J. King Saud Univ.-Comput. Inf. Sci. 2021, 33, 375–391. [Google Scholar] [CrossRef]
- Shukla, N.; Kolbeinsson, A.; Otwell, K.; Marla, L.; Yellepeddi, K. Dynamic pricing for airline ancillaries with customer context. In Proceedings of the 25th ACM SIGKDD International Conference on Knowledge Discovery & Data Mining, Anchorage, AK, USA, 4–8 August 2019; pp. 2174–2182. [Google Scholar] [CrossRef]
- Williams, K.R. The welfare effects of dynamic pricing: Evidence from airline markets. Econometrica 2022, 90, 831–858. [Google Scholar] [CrossRef]
- Escobari, D.; Rupp, N.G.; Meskey, J. An analysis of dynamic price discrimination in airlines. South. Econ. J. 2019, 85, 639–662. [Google Scholar] [CrossRef]
- Aryal, G.; Murry, C.; Williams, J.W. Price discrimination in international airline markets. arXiv 2021, arXiv:2102.05751. [Google Scholar] [CrossRef]
- Bergantino, A.S.; Capozza, C. Airline pricing behavior under limited inter-modal competition. Econ. Inq. 2014, 53, 700–713. [Google Scholar] [CrossRef]
- Zhang, R.; Johnson, D.; Zhao, W.; Nash, C. Competition of airline and high-speed rail in terms of price and frequency: Empirical study from China. Transp. Policy 2019, 78, 8–18. [Google Scholar] [CrossRef]
- Su, M.; Luan, W.; Fu, X.; Yang, Z.; Zhang, R. The competition effects of low-cost carriers and high-speed rail on the Chinese aviation market. Transp. Policy 2020, 95, 37–46. [Google Scholar] [CrossRef]
- Álvarez-SanJaime, Ó.; Cantos-Sanchez, P.; Moner-Colonques, R.; Sempere-Monerris, J.J. Pricing and infrastructure fees in shaping cooperation in a model of high-speed rail and airline competition. Transp. Res. Part B Methodol. 2020, 140, 22–41. [Google Scholar] [CrossRef]
- Tan, K.M. Outsourcing and Price Competition: An Empirical Analysis of the Partnerships between Legacy Carriers and Regional Airlines. Rev. Ind. Organ. 2018, 53, 275–294. [Google Scholar] [CrossRef]
- Ma, W.; Wang, Q.; Yang, H.; Zhang, Y. An analysis of price competition and price wars in Australia’s domestic airline market. Transp. Policy 2019, 81, 163–172. [Google Scholar] [CrossRef]
- Gil, R.; Kim, M. Does competition increase quality? evidence from the us airline industry. Soc. Sci. Electron. Publ. 2021, 77, 102742. [Google Scholar] [CrossRef]
- Lewis, M.S. Identifying airline price discrimination and the effect of competition. Int. J. Ind. Organ. 2021, 78, 102761. [Google Scholar] [CrossRef]
- Kwoka, J.; Hearle, K.; Alepin, P. From the Fringe to the Forefront: Low Cost Carriers and Airline Price Determination. Rev. Ind. Organ. 2016, 48, 247–268. [Google Scholar] [CrossRef]
- Zhang, Y.; Sampaio, B.; Fu, X.; Huang, Z. Pricing dynamics between airline groups with dual-brand services the case of the Australian domestic market. Transp. Res. Part A Policy Pract. 2018, 112, 46–59. [Google Scholar] [CrossRef]
- Nicolò, A.; Malighetti, P.; Redondi, R. A tale of airline competition: When full-service carriers undercut low-cost carriers fares J. J. Air Transp. Manag. 2021, 92, 102027. [Google Scholar] [CrossRef]
- Pagoni, I.; Psaraki-Kalouptsidi, V. The impact of carbon emission fees on passenger demand and air fares: A game theoretic approach. J. Air Transp. Manag. 2016, 55, 41–51. [Google Scholar] [CrossRef]
- Dixit, A.; Kumar, P.; Jakhar, S.K. Effectiveness of carbon tax and congestion cost in improving the airline industry greening level and welfare: A case of two competing airlines. J. Air Transp. Manag. 2022, 100, 102182. [Google Scholar] [CrossRef]
- Cui, Q.; Lin, J.L.; Jin, Z.Y. Evaluating airline efficiency under “carbon neutral growth from 2020” strategy through a network interval slack-based measure. Energy 2019, 193, 116734. [Google Scholar] [CrossRef]
- Cui, Q.; Li, Y. Airline energy efficiency measures considering carbon abatement: A new strategic framework. Transp. Res. Part D Transp. Environ. 2016, 49, 246–258. [Google Scholar] [CrossRef]
- Qiu, R.; Xu, J.; Zeng, Z. Carbon emission allowance allocation with a mixed mechanism in air passenger transport. J. Environ. Manag. 2017, 200, 204–216. [Google Scholar] [CrossRef]
- Markham, F.; Young, M.; Reis, A.; Higham, J. Does carbon pricing reduce air travel? Evidence from the Australian ‘Clean Energy Future’ policy. July 2012 to June 2014. J. Transp. Geogr. 2018, 70, 206–214. [Google Scholar] [CrossRef]
- Fageda, X.; Teixidó, J.J. Pricing carbon in the aviation sector: Evidence from the European emissions trading system. J. Environ. Econ. Manag. 2022, 111, 102591. [Google Scholar] [CrossRef]
- Sheu, J.B.; Li, F. Market competition and greening transportation of airlines under the emission trading scheme: A case of duopoly market. Transp. Sci. 2014, 48, 684–694. [Google Scholar] [CrossRef]
- Rong, H.; Chen, L.; Zhang, F.; Zhu, J. Complexity of Airlines’ Dynamic Price Competition with Carbon Emission Trading. J. Transp. Syst. Eng. Inf. Technol. 2018, 18, 6. Available online: http://www.tseit.org.cn/EN/Y2018/V18/I1/6 (accessed on 25 November 2023).
- Pang, S.; Chen, M.C. The EU emissions trading system and airline low-carbon transition: A game-theoretic approach. J. Air Transp. Manag. 2023, 110, 102407. [Google Scholar] [CrossRef]
Disclaimer/Publisher’s Note: The statements, opinions and data contained in all publications are solely those of the individual author(s) and contributor(s) and not of MDPI and/or the editor(s). MDPI and/or the editor(s) disclaim responsibility for any injury to people or property resulting from any ideas, methods, instructions or products referred to in the content. |
© 2024 by the authors. Licensee MDPI, Basel, Switzerland. This article is an open access article distributed under the terms and conditions of the Creative Commons Attribution (CC BY) license (https://creativecommons.org/licenses/by/4.0/).



