Abstract
This paper aims to provide an in-depth analysis of the knowledge of and access to funding sources in the context of sustainability. Additionally, it seeks to analyse the perspectives and intentions of entrepreneurs regarding the use of such sources in the future. For this purpose, quantitative research was conducted, and data were collected from a sample of 267 respondents, companies operating in the Central Region of Romania. The evidence indicates that reinvestment of profits is the most commonly used funding source, followed by bank loans and leasing. The least-used and least-known funding source are Business Angels. Among the conclusions of the study, the demonstration of the link between the level of use of the funding sources, which moderates the close relationship between sustainability and the financial performance of a company, is noteworthy. Ultimately, this research opens new ways for collaboration between the academic environment, government, and local authorities. The results can be beneficial for stakeholders at both the micro- and macroeconomic levels interested in the sustainable development of the SME sector.
1. Introduction
In the current economic context, characterised by multiple recent crises (e.g., the crisis triggered by the war, the energy crisis, the food crisis, and the international economic crisis, etc.) and an unprecedented development of sustainability [1], entrepreneurs are seeking to identify effective cost reduction initiatives based on resource reallocation [2] and the most creative ways to finance their businesses, precisely due to the challenges posed by the economic environment. Funding concerns the allocation of internal resources, from the state budget or from international bodies and institutions, for the purpose of establishing and operating a company. The most well-known methods of financial support for a business are reinvestment of profits, various forms of loans (bank loans, etc.), leasing [3], and accessing various forms of funding (European, governmental, etc.).
In Romania, according to the context of sustainable development, entrepreneurship aims at designing business models that contribute to the promotion of sustainable development objectives. The activity of entrepreneurs is manifested within the framework of an ecosystem where access to financing can be favoured.
The micro-, small-, and medium-sized companies (SMEs) represent the engine of global economy (and of regional economies), employing 50% of the global workforce, by 2030, it is estimated that they will provide approximately 600 million jobs [4,5].
In this context, for long-term sustainable economic growth, national authorities are called to develop economic policies that facilitate the access of the SMEs to appropriate funding sources.
In the business development process, the SMEs face multiple difficulties in obtaining capital, especially in the start-up phase. In this context, the increase of the capacity to access financing and face the present challenges and opportunities could bring added value to the competitiveness of international markets [6].
Financial institutions, governments, and public institutions must understand how SMEs access funding and the future intentions of entrepreneurs. This understanding can lead to a better promotion of financial access or even the modification of policies in this area [7]. Furthermore, the current economic context, along with the recent sustainability trend, also influences and changes the way companies choose the best options for accessing funding sources.
The necessity and actuality of the study are revealed in the section focusing on the analysis of the specialised literature, where it may be observed that most of the bibliographic references deal with the funding sources for each component or group and not for the entire range known to entrepreneurs. In their minute analysis of the specialised literature, the authors identified studies on the funding sources, sustainability, and performance of companies, but each of them analysed the terms separately [8,9,10]. The authors of the paper searched the Web of Science Core Collection database for the three terms (sources of funding, sustainability, and company performance). Filtering the results by Keyword Plus, no result was displayed; filtering by Topic, only 26 results were displayed, but these analyse specific topics (such as supply chain, food industry, etc.). The identified gap starts by combining the study of the previously mentioned three concepts at the level of SMEs, which are extremely important in the current context. The main purpose of the study is to develop a comprehensive and detailed analysis of the opinions formulated by entrepreneurs from the Central Region of Romania regarding the knowledge, application, and future intentions of accessing funding sources in the context of sustainability. The paper investigates the funding sources that Romanian entrepreneurs can call upon in the current context of sustainability. In order to understand the implications of the use of funding sources for the sustainable development of businesses, the following research questions were formulated: (i) What are the ways in which entrepreneurs can implement sustainability strategies?; (ii) What are the types of funding sources that entrepreneurs know?; (iii) What are the types of funding sources that entrepreneurs want to use in the future in the current context of sustainability? Elaborating on the answers to these research questions, the study transmits information about the potential for identification by entrepreneurs of the most suitable economic sustainability strategies while preserving environmental and social objectives [11], their knowledge of the funding sources available to SMEs, and the link between sustainability and company performance moderated by the used funding sources.
The notable contribution of this research consists of explaining the connection between sustainability and company performance, moderated by the level of use of the funding sources, based on which the authors developed the CSFS model that systematically presents the Connection between Sustainability, Funding Sources and Performance.
Taking into account the above-mentioned premises, the authors have structured the work into five sections. After the literature review and hypotheses development, the research method and objectives section are described, followed by the presentation of the research results and discussions. The final section includes the conclusions and implications of the study.
2. Literature Review and Hypotheses Development
A specialised literature review based on solid information, which led to the formulation of three hypotheses.
2.1. Ways of Implementing the Sustainability Strategies Used by Entrepreneurs
Considering that SMEs represent 99% of all businesses in the EU and provide two-thirds of private sector employment, special attention is given to programmes of action aimed at enhancing competitiveness through research, innovation, and access to financing [12]. In turn, SMEs pay close attention to accessing funding programmes through European funds while also carefully analysing the structure of their own funding sources. A study concerning the impact of funding sources on sustainable development across 24 countries in the European Union reveals that the combination of their own resources and European funds has a positive impact on sustainable development in only five countries (the Czech Republic, Denmark, Spain, Slovenia, and Austria). In the rest of the countries, the use of European funds has a positive impact on sustainable development [13].
According to the Global Entrepreneurship Monitor GEM [14], entrepreneurial activity in Romania is below the average calculated for middle-income economies as well as below the average of the GEM participating countries, and the rate of those who in the next three years intend to start a business is 14.93% of the adult population. This rate is higher than that registered in Hungary (10.66%) or Poland (3.69%). In the case of the countries analysed within GEM, in Croatia this rate is slightly higher (3:1), in case of Hungary it is lower (1:1), and in Poland the rate is 0.18 (there are five times fewer entrepreneurs at an early stage than established entrepreneurs).
The rate of business angel investments in the analysed countries is lower than the considered averages. Only 2.61% of the adult population of Romania stated that in the last three years they provided funds for the start of a new business by another person [14].
Furthermore, according to the GEM, established entrepreneurs in Romania consider sustainable entrepreneurship to be important, taking into account the social (71.25%) and environmental (82.33%) implications of decisions in a higher proportion than the average of middle-income countries and the GEM average. A significant proportion of experienced entrepreneurs (67.98%) consider that the social and/or environmental impact must be placed before the criterion of profitability or business development. It should be noted that Poland has extremely low weights regarding these aspects [14].
In the current context, companies are increasingly interested in identifying the most suitable strategies that offer long-term economic, social and environmental advantages, which can be achieved by using so-called sustainability strategies. Although at the moment in Romania the obligation to develop a sustainability code and, implicitly, a strategy in this regard is restricted only to companies with over 500 employees [15], in the future the measure will also be extended to small organisations and small businesses [16]. For any responsible entrepreneur, awareness of the real effect of their company’s activity, positive or negative, on all categories of stakeholders is a priority. The research carried out by Allal-Chérif et al. [17] suggests the use of strategies that contribute to the differentiation of sustainable entrepreneurs from other categories of entrepreneurs, namely: to collaborate with integrated suppliers as business extensions, to embrace open innovation of sustainable products, and to acquire leadership technology in order to transform the present markets and create new ones promoting sustainable values and practices in business and society. According to Manninen and Huiskonen [18], applying an integrated strategy that correlates business strategy with sustainability principles can contribute to solving the global sustainability challenges important to the company. This is influenced by conditions related to the organisation, by the employees that allow the implementation, and by the market that can favour or prevent the implementation of the strategy, but also by activities such as those internal and external to the organisation.
In the specialised literature, different methods of implementing sustainability strategies are presented, depending on the geographical area in which the entrepreneurs operate [19,20,21,22,23,24], the areas of business approached [25,26,27], or the integration of the pillars of sustainable, economic, social, and environmental development in the implemented strategy [20].
The way in which the gender of entrepreneurs influences the leaning of organisations to implement certain strategies to promote sustainability is a topic analysed in several studies that discuss the gender component as well as other elements, such as the culture of the country from which the entrepreneurs come or the region’s level of economic development [28,29]. The analysis of different funding sources provides a picture of their influence on sustainability practices. For example, in the case of the capital market (a funding source with a high degree of vulnerability), the attitude of this type of investor towards certain actions of the leadership can be felt in the investment decisions and the appreciation of the company strategy [30]. Based on the information under study, the authors aim to investigate this process, starting with the first hypothesis,
Hypothesis 1 (H1).
There is a connection between the gender of the respondents and the sustainability strategy that they choose.
The literature and practice of sustainability innovations are vast but fragmented, with diverse conceptual works and many potential innovative approaches that can contribute to the creation of a business model suitable for achieving sustainable development goals [31]. The idea of using business models to support business performance and sustainability seems to be widely accepted in the industry, and the involvement of banking and consulting companies indicates that the interest in Sustainable Business Model (SBM) is certainly not just an academic niche, but it transcends sectoral boundaries [32]. There is a great diversity of studies that analyse how entrepreneurs guide their sustainability strategies according to the 17 objectives of sustainable development [33,34,35].
Based on the presented information, the following research question was formulated: “What are the ways in which entrepreneurs can implement sustainability strategies (RQ1)?”
The implementation of sustainability strategies is also correlated with the CSR-type actions, whether it is involvement in actions related to environmental protection or with an impact on the social dimension of sustainability [36,37,38]. Considering all these aspects, the researchers have identified and formulated the second hypothesis,
Hypothesis 2 (H2).
Verification of the connection between the definition of the sustainability strategy and the priority of CSR-type actions.
2.2. Funding Sources Applied for by Companies
In order to ensure good functioning of the business, each company must select the financing policy of the most suitable funding sources in an appropriate way. Any entity can resort to its own funding sources, attracted sources, and borrowed sources.
Internal financing resources represented by the reinvestment of profit or the sale of assets from the company patrimony and loans from shareholders or capital increases represent the main funding source for companies in Romania [39]. According to the study carried out by the National Bank of Romania (NBR) [39], among the least pressing problems faced by companies is access to financing, in which 78 percent of companies did not turn to funding sources from the banking sector (loans or overdrafts) in the last 12 months.
However, in contradiction with the NBR study, in their concern for development in the context of sustainability, the companies take decisions regarding the reinvestment of profit for financing activities, taking into account that accessibility to other funding sources is more difficult [40].
The most common source of SMEs financing is bank lending in the form of asset-based loans and cash flow loans. Along with these, trade finance and leasing represent the largest part of corporate credit [41,42]. In an extremely competitive environment, banks are adapting to optimise their loan portfolio [43] and turning to internet financing, open banking, and Fintech lending [44,45,46]. Fintech has contributed to the creation of a wide range of new services, including asset management and online banking services [47], and can add value to the quality of financial services. Numerous companies have added to their objectives the provision of advanced technological support to financial institutions, but also to non-financial ones, contributing to their digital transformation [48]. Fintech promotes internet credit and instant payment, reducing the financing constraints for SMEs [49]. According to Carson Mencken’s study [50], small business loans are important for socio-economic development, and they are positively associated with the increase in average income per family.
Another funding source used by SMEs is short-term financing—commercial credit [51,52,53,54]. Commercial credit is the most important source of short-term financing for any company, and it can increase sales and profit [55]. A recent study [56] highlights the dominant role of commercial credit in corporate growth, underscoring a non-linear relationship between the use of commercial credit and corporate growth. This suggests that the use of commercial credit requires a balance between benefit and cost for corporations to enhance their growth. In addition, it reflects the idea that the use of commercial credit is sensitive to financial constraints and financial crises [56,57]. It was also found that companies with more redistributable assets adjust their commercial credit relatively quickly compared to others [58]. Commercial credit also has a signalling role in relation to bank credit. Thus, companies that grant commercial credit are more likely to access bank loans at lower costs. [59].
The European funds are non-refundable financing instruments allocated to the Member States of the European Union (EU) in order to reduce the economic and social development gaps between them. Funds for SMEs help companies develop their businesses in different fields of activity; their absorption represents a barometer for intelligent and sustainable growth [60]. According to a 2020 study [61], a series of difficulties were recorded in accessing the European funds, which could be overcome by a simplification of the bureaucracy in allocating them both at the European and national level as well as by the consolidation of financial security through audit measures [62]. The effect of structural funds have positive implications for public investments and aggregate well-being [63,64].
Leasing is an innovative form of financing equipment for all companies, and the practiced forms are operational leasing and financial leasing [65,66], requiring a certain flexibility for online leasing [67]. Extensive studies reveal that in retail companies, this form of financing recorded an increase of about twenty percent of the company’s assets and liabilities [68] as well as profitability [69].
Undoubtedly, in order to carry out an innovative activity at SME level, it is necessary to have own financial surpluses [70]. Net profit represents the safest funding source, and between net profit and equity, there is reciprocity and strong correlation, [71]. The structure of equity depends on executive management [72], factors related to the external environment (economic uncertainties) [73] and, last but not least, environmental, social, and governance (ESG) performance [74].
Another form of financing is represented by Business Angels with contributions at the beginning of a business, but also during its development [75,76]. Together with other sources, crowdfunding [77,78,79] and Social Impact Bonds (SIB) represent innovative funding sources for projects that are extremely dynamic. Sustainable financing and impact funding use financial instruments, such as SIBs [80,81] and green bonds, and they are usually owned by those who are interested not only in financial return of their investments, but also in their social impact. In the variety of funding sources available on the business market, the following question arises: “What are the types of funding sources that entrepreneurs know (RQ2)?”
2.3. Types of Funding Sources That Entrepreneurs Want to Use in the Future in the Context of Sustainability
Economic development from the perspective of sustainability implies for SMEs finding new funding sources that allow innovative business models. In this context, the entrepreneurs link traditional debt and equity financing with microfinancing, crowdfunding, peer-to-peer lending, and other financial innovations [82] together with bootstrapping, which involves optimising the use of internal resources and the cost structure of the business [83,84,85,86].
In the last 30 years, venture capital (VC) has been an important funding source for innovative companies (Amazon, Apple, Facebook, Gilead Sciences, Google, Netflix, Starbucks, and others). Startups are looking for financial and non-financial resources from a corporate venture capitalist (CVC) even in the early stages of development; only that a significant role in gaining access to financing is represented by the confidence transmitted by the entrepreneurs [87,88,89,90].
The programmes offer various ways of financing a business, such as grants, loans from government agencies and tax credits. Government policies and programmes can encourage entrepreneurship [91,92,93].
Another funding source is Vendor financing, which is a form of loan from the seller to the customer that can take the form of debt financing or equity funding (the transfer of shares to the seller) [94]. In the supply chain, cooperation among suppliers is crucial for the success of the business. [95,96,97].
Business incubators are meant to accelerate growth and ensure the success of entrepreneurship [98]. Certain studies show that they can contribute to increasing the confidence of VCs to invest in startups [99], with virtual incubators becoming a phenomenon on the rise [100], although there are situations where the excess of entrepreneurial confidence can cause a decrease in the performance of the incubator [101].
Angel Investors, in general, are individuals (or a group) that provide financial support and backing to start-ups and early-stage businesses but usually take an equity stake in the company. Complex studies show that occasional angels and angel funds are stronger substitutes for venture capitalists (VC) than serial angels, and the companies in which angels invest are unlikely to ever switch to VC financing [102]. The business angel market manifests itself through a process of searching for and matching entrepreneurs with financiers [103]. It has been demonstrated that political decision-makers must be involved in increasing the confidence of angels in tax benefits and the creation of networks and online communities that offer consultancy to entrepreneurs in order to attract angels [104].
Analysing new ways of funding, the following question arises: “What are the types of funding sources that entrepreneurs want to use in the future in the current context of sustainability (RQ3)?”
In the end, it can be concluded that funding sources are influenced by sustainability, since SMEs—in order to reach sources for business development—must meet not only financial criteria but also criteria related to environmental, social, and corporate governance aspects. Thus, in order to be eligible, companies—either public or private—must present projects to financing institutions to demonstrate that they have implemented and embraced solid environmental and social practices and that they have performance in sustainability [105]. Thus, awareness of the existence of financing instruments is crucial for the transition to sustainability [106,107,108,109,110,111]. Based on the information provided by the specialised literature on this topic, the authors emphasised the third hypothesis,
Hypothesis 3 (H3).
There is a moderating effect of the relationship between the sustainability level of the companies included in the research and turnover, moderated by the level of use regarding the 7 funding sources.
3. Research Method and Objectives
In order to achieve the objectives of the research, a quantitative method was conducted. The authors chose this type of research, taking into account the fact that it provides more information for decision-makers [112].
For this reason, a survey was conducted using the questionnaire as a data collection tool [113]. The data have been analysed with the aim of identifying the opinions, attitudes, and perceptions of entrepreneurs in companies regarding their knowledge, application, and future intentions concerning funding sources in the context of sustainability. The ultimate goal of the research is to identify the characteristics that underline the choice of the appropriate funding source for each company, with a focus on the influence of sustainability.
The objectives of the research have been established, starting from the research questions detailed in the analysis of the specialised literature, which are considered appropriate to achieve the proposed goal. The objectives are the following:
- O1. Discovering ways to implement the sustainability strategies by the entrepreneurs;
- O2. Identifying the types of funding sources that are most frequently used by the entrepreneurs;
- O3. Determining the future intentions of the entrepreneurs regarding the strategy of the companies to use various funding sources.
In order to achieve the purpose of the present study, the research design (Figure 1) is presented, based on the key concepts analysed in the specialised literature.
Figure 1.
Research Design from the Researchers’ Questions to the Model Conceptualization. Source: Carried out by the Authors of the present paper.
In order to understand and deepen the entrepreneurs’ decisions regarding the choice of funding sources, the research design is quantitative. The research started by formulating the three questions of the researcher, thus managing to outline the aim of the research. The three objectives of the research are established, supplemented by the development of the hypotheses (which are strongly supported by the specialised literature). The CSFS model is developed in order to achieve the proposed objectives and to obtain the most effective solution for the research problem.
3.1. Questionnaire Development
To achieve the objectives, data were collected using a questionnaire, which was drawn up after thorough research of the specialised literature, existing studies, and the professional experience gained by the authors of the present paper (persons working in various interdisciplinary fields). The questionnaire was developed by the authors, and in order to better measure the researched characteristics, several types of scales were used. The nominal scale was used with the possibility of simple choice, multiple choice, and also the binary scale. There are also questions with a numerical measurement scale as well as a Likert scale (to find out the opinions of the subjects regarding certain statements).
Before distributing the questionnaire to the target population, a pre-testing phase was conducted on a sample of five people. The role of pre-testing was to identify and eliminate any ambiguities. As a result of this pre-testing phase, two questions were reformulated to be better understood by respondents. The final version of the questionnaire (obtained after the pre-testing phase) includes items that comprehensively cover the research topic and achieve the proposed goal, but there are also items that aim to identify the respondents.
3.2. Data Collection and Location of the Survey
To decide on the target population, it was first necessary to delineate the geographical area of the respondents. Following a rigorous analysis of the eight development regions into which Romania is divided, the decision was made to select a single region to include in the research. To make this choice, the authors examined the eight development regions from an economic perspective, as well as other available data attesting to the authorities’ concern for ensuring balanced and sustainable economic and social growth [114,115,116]. The Central Region was chosen because it presents a balanced structure with both an active industrial sector and a significantly developed tertiary sector. Considering the Gross Domestic Product (GDP) per capita (51,365 RON in the year 2020), the Central Region ranks third in Romania, following the Western Region and the Bucharest-Ilfov Region. It should be mentioned that in 2020, the GDP per capita registered 67% of the European average (this average at the level of the European Union was the equivalent of 20,100 euros). Additionally, the Central Region has a diverse potential for tourism, ranking first in terms of the number of accommodated tourists in the year 2021 (2.25 million arrivals, accounting for 24.1% of the total number of tourists accommodated in Romania) [117].
The next step consisted of selecting and defining the research population, which comprised micro-, small-, and medium-sized enterprises (SMEs) from the Central Region of Romania. The Central Region includes six counties: Brasov, Sibiu, Covasna, Harghita, Mures, and Alba, and had the highest number of registered companies as of the year 2020—73,744 companies [118], after the Western Region and Bucharest—Ilfov Region [119]. Indeed, the population is relevant since SMEs represent approximately 99% of the registered companies in Romania [120]. Considering that most of these companies have outsourced the organisation of their accounting, a database containing all firms with CAEN (NACE—Classification of Economic Activities) code 6920—Accounting, financial auditing, and tax consulting activities was used [121], based on the premise of forming a sample within the customers of small-, medium-, and micro-companies that benefit from accounting services. Companies providing accounting services in the Central Region of Romania were selected and arranged in descending order according to their turnover for each county.
To obtain more accurate results, the method of stratified proportional random sampling was chosen for sampling accounting companies to distribute the questionnaire [122] A total of 40 accounting companies were established for the sample, distributed as follows: 14 companies from Brasov county, 8 companies from Sibiu county, 3 companies from Covasna county, 3 companies from Harghita county, 7 companies from Mures county, and 5 companies from Alba county. The second step of stratification involved categorising the entities (micro-entities, small- and medium-sized entities) to which the accounting companies in the Central Region belong, based on criteria, such as: turnover, total assets, and number of employees (Table 1). It is noted that micro-enterprises dominate in all counties.
Table 1.
Structure of Accounting Companies in the Central Region of Romania.
Therefore, the 40 accounting companies (micro-enterprises) were contacted in order to participate in the opinion survey by instructing a person within their company. Each accounting company has a strict procedure for receiving documents for processing. This procedure requires that, in the first 10 (ten) days of the following month for which accounting is organised, a representative expert from the client company should deliver the documents in person based on minutes. To ensure reasonable representativeness for our research, a planned sample size of 280 companies was chosen, and 267 companies accepted the questionnaire, the refusal rate being 4.64%.
In the final stage of sampling, using systematic sampling [122], the researchers arrived at a mechanical step of 7 (seven). The interviewers (represented by the trained individuals within the accounting companies) applied this mechanical step and monitored the filling in of the questionnaire by the designated person responsible for submitting the documents and discussing with the accounting company (every 7th customer, in the order of their arrival at the accounting company). For each company, the authors instructed the interviewers to stop after filling in 7 (seven) questionnaires.
3.3. Study Sample
The final sample for the conducted quantitative research consisted of 267 respondents, representing companies operating in the Central Region of Romania (Table 2). This region, with its privileged location, offers significant entrepreneurial development potential and, besides its tourist sights, provides many business opportunities. Entrepreneurial development directly impacts local economic growth and social development. In addition to the service sector, the construction sector also presents a wide interest in this area. Alongside the strengths of this region, there is also a noticeable presence of insufficient funding for business technological upgrades and sustainable development [123]. The data collection period was from April 2023 to June 2023.
Table 2.
The Sample Structure.
The distribution of respondents based on their roles was as follows: managers (36%), administrators (21.3%), owners (9%), founding members (2.2%), CEOs (1.1%), directors (9.4%), associates (4.9%). Additionally, 16.1% of the subjects did not declare their specific roles.
3.4. Measurement for Designing the Regression Function
In order to express the statistical link between sustainability and performance, the regression analysis was used. Thus, the values of the dependent variable (sustainability level) are estimated by the independent variable (turnover), and the market model should be written as:
where:
Y = f(X) + ɛ,
- Y—the random (outcome) dependent variable;
- X—the (non-random) independent variable;
- ɛ—error or residual random variable.
The random variable ɛ represents the summation of the influences of the variables not included in the model on the variable Y. The simple linear regression model is the following one:
Y = α + βX +ɛ
Then, in order to see if the funding sources influence the intensity of the link between the two variables, the indicator of the utility of funding sources is used as a moderator.
The literature on SME funding is extensive and there are many empirical studies. The authors have selected some relevant studies from the scientific field, in which similar variables are used. The nexus between environmental, social and governance (ESG) performance and corporate capital financing decisions is analysed by Zahid [73]. Another research in the field shows the moderation of financial objectives [124]. Other studies that used variables similar to those included in the present study are relational capital [8], sustainable business models [9], SME growth [10] and CSR Audit Quality [125].
In order to design the regression function, it was necessary to create the following factors, starting from the theoretical foundation supported in works by the specialised literature:
- The average regarding the use of the analysed funding sources (which represents W (MO))—this indicator has been created by calculating the average for the values registered in the following question: “To what extent do you think that the funding sources available to the company are used?.” The scale includes 7 variants (representing the 7 analysed funding sources, namely: Profit, Equity, Supplier Credit, European Funds, Bank Credit, Leasing and Business-Angels), assessed on a 5-point Likert scale, from 1 (“the least used”) to 5 (“the most frequently used”).
- The level reached by the company for sustainability (which represents Y (VD))—this indicator has been calculated as the average for the responses registered to the questions: Defining the sustainability strategy, and the items that are measured with a 5-point Likert scale, from 1 (“total disagreement”) to 5 (“total agreement”) for the statements: Involvement in the community is a priority for company; The company has well-established responsible purchasing policies (e.g., reduced consumption of resources, collaboration with certified supplies, etc.); The company’s sustainability strategy is successfully applied; Corporate social responsibility actions are a priority for the company.
- The average of the registered turnover (which represents X (VI))—indicator calculated as an average for the turnover declared by the respondents within the framework of the research for the year 2020.
3.5. Data Analysis
The obtained data were processed using the SPSS program, employing various data analysis methods. The selected data analysis techniques were aligned with the study objectives. To achieve this, IBM SPSS Statistics 26 was used for estimating descriptive analysis and illustrating respondent characteristics. Statistical and descriptive indicators were employed, including the mean, median, frequency, and standard deviation methods [126,127,128,129]. To understand the pattern of the entrepreneurs’ reactions regarding the funding sources, the Principal Component Analysis—PCA (a method that belongs to multivariate data analysis) was used. In order to complete the analysis, we used the correlation matrix, Varimax rotation method and the Graphical Representation of the Association between Variables and Factors.
In order to test the correlations between the variables (Hypothesis 1), the descriptive statistics were inspected and the Chi-square analysis () performed, which confirmed with a probability of 95% that there is a connection between the existence of a sustainability strategy and the gender of the respondents (= 6.241 > 5.99).
In order to check the second hypothesis (H2), the non-parametric Kolmogorov–Smirnov test was applied. After applying the test, the alternative hypothesis is accepted and the null hypothesis is rejected, which means that there are significant differences between the definition of the sustainability strategy and the priority of the CSR companies ( 37.1% > 16.66%).
In order to test the moderating role of the relationship between the level of sustainability of companies and their turnover, moderated by the level of the use of the funding sources (Hypothesis H3), model 1 of the Hayes PROCESS macro for SPSS [130,131] was used. We chose the PROCESS macro over SEM because it is a more recent method for data analysis, which provides a graphical description of moderate correlations. In addition, this approach generates a moderate mediation index that indicates whether the study model should be accepted or rejected. All calculations of statistical indicators were performed in SPSS, being calculated: , F test, Coefficients β, Standard Error, t test, p value, Coefficient Effects. In order to sketch and develop the moderation link, a regression function was created which shows that the global regression is statistically significant (= 0.100, F (3, 263) = 9.703, p = 0.000).
4. Results and Discussions
The results are presented and grouped by research objectives, and the analyses are logically sequenced, allowing for relevant and easily comprehensible outcomes.
Objective 1 (O1).
Discovering Ways to Implement Sustainability Strategies by Entrepreneurs.
The measurement of the importance of sustainability among the surveyed entrepreneurs highlights a very important level for 36% of them and an important level for 32.6%. A percentage of 17.2% marked the level as neither important, nor unimportant, 13.1% as somewhat important and 1.1% as not important at all. Overall, it is noted that the surveyed managers consider sustainability to be important or very important.
Almost half of the respondents (47.6%) defined a sustainability strategy, while similar percentages did not have such a strategy (42.7%). There were also 9.7% of subjects who stated that they did not know whether their company had defined such a strategy. It is noticeable that more than half of the respondents (36% + 32.6%) give great importance to the concept of sustainability and sustainable business. According to the elaborated strategy, the SMEs aim for acquisitions that meet environmental requirements, with a reduced consumption of conventional energy and the use of energy from renewable resources, offering sustainable services, and engaging in social life [132].
The analysis undertaken in this study demonstrates that the majority of entrepreneurs appreciate the importance of funding sources in the transition towards a more sustainable future. Implementing sustainable projects that target environmental concerns, social responsibility, and governance requires financial strategies that bring more opportunities for small entrepreneurs [133].
By creating and studying the contingency table regarding the existence of sustainability strategies and the gender of the respondents, it can be observed that the percentage of companies that do not have a defined sustainability strategy is higher among men. For companies where a sustainability strategy exists, the percentages are almost equal (47% among men and 48.5% among women). A non-parametric test was conducted to determine whether the differences between the variables were significant or not. The non-parametric test is used when the data do not meet the assumptions of normal distribution required for parametric tests.
For applying test, the following hypotheses are considered:
—There is no correlation between the existence of a sustainability strategy and the gender of the respondents;
—There is a correlation between the existence of a sustainability strategy and the gender of the respondents.
Based on calculations performed in SPSS, it is noticed that the level for = 6.241 > 5.99, hypothesis is accepted, which means that it can be stated with 95% probability that there is a connection between the existence of a sustainability strategy and the gender of the respondents. The same decision can also be made based on the minimum significance level of 0.044, which is smaller than α = 0.05, confirming once again the existence of the relationship between the two analysed variables. The validity of the test is ensured since none of the cells contains expected values of less than 5 (0 cells (0.0%) have expected count less than 5).
The results of the test were predictable, as females tend to be more cautious, forward-thinking, and meticulous. They often face more challenges in funding their businesses compared to males [134,135] and may face doubts about their credibility. However, female entrepreneurs are highly concerned about the future of their businesses and meticulously plan all activities regarding the sustainability of their business.
The degree of agreement or disagreement among the surveyed managers regarding four statements related to the importance of sustainability and the implementation of sustainability strategies is analysed and presented in Table 3.
Table 3.
The Distribution of Agreement and Disagreement among Respondents regarding Four Statements Related to Sustainable Entrepreneurship in the Conducted Research.
The distribution of the results for all four statements shows a higher weight of responses towards the agreement side of the scale. Thus, it can be noted that involvement in the community is a priority for 40.8% of the respondents who gave an agreement response. Responsible purchasing policies receive 34.8% agreement responses and 30.3% complete agreement responses, together exceeding half of the respondents. The sustainability strategy of the company has been successfully implemented, obtaining 34.1% agreement responses and 24.3% total agreement responses. The statement that corporate social responsibility actions are considered a priority for the company records 36.3% of the answers at level 3, representing neither agreement nor disagreement, followed by 34.1% for agreement responses. Entrepreneurs consider the implementation of sustainability strategies an important issue for achieving smart and sustainable economic growth based on digitalisation, sustainable development, and innovation. Analysing the field of activity in relation to sustainability challenges serves as an argument for entrepreneurs to view the development of a sustainable business model as a competitive advantage [136,137].
A contingency table has been created between the level of agreement on the CSR-type actions that represent a priority for the company and the definition of a sustainability strategy at the company level. From the distribution of relative frequencies on the two groups, it can be seen that at the level of the companies that have defined a sustainability strategy, most of the respondents agree and fully agree that CSR is a priority for the company (68.5%), compared to the same percentage at the level of the companies that have not defined a sustainability strategy (31.6%).
In order to check if there are differences between the samples, the non-parametric Kolmogorov–Smirnov test is used (Table 4). The testing hypotheses are the following ones:
Table 4.
Calculated Values for the Kolmogorov–Smirnov Test.
—Between the companies which have defined a sustainability strategy and those that have not, there are no significant differences regarding the opinion on the priority of the CSR actions;
—Between the companies which have defined a sustainability strategy and those that have not, there are significant differences regarding the opinion on the priority of the CSR actions.
The maximum difference between the accumulated relative frequencies is 0.371 ≅ 37.1% (Table 5), being greater than the calculated value 16.66%, which means that the alternative hypothesis is accepted, and the null hypothesis is rejected. In conclusion, there are significant differences between the definition of the sustainability strategy and the priority of the CSR companies. The same decision can be taken based on the minimum significance level for which the alternative hypothesis can be accepted (this significance level being lower than the threshold of 0.05, which means that it can be guaranteed with a probability of 95% that there are significant differences between the two groups).
Table 5.
The Distribution of Registered Responses regarding the Future Intentions of the Surveyed Companies concerning the Use of Analysed Funding Sources.
Objective 2 (H2).
Identifying the Types of Funding Sources that are Most Frequently Used by the Entrepreneurs.
The research included a filter question: Have you used any funding sources for your company in the past? to which all the registered responses (267—representing 100%) were affirmative, suggesting that every company requires financing. This finding is also supported and confirmed by the specialised literature [134,138]. In the context of a sustainable economy, emphasis is placed on the presence of both governmental and non-governmental funding sources [139,140], the SMEs are increasingly interested in finding alternative funding sources [141].
The choice of funding sources requires economic and financial knowledge from the representatives of the companies. Thus, the respondent managers were asked to assess the soundness of their financial knowledge. Half of them considered their financial knowledge to be sound (50.2%), but an interesting finding is that only 15% selected the option very sound. This suggests that there may be a need for additional training or education in the financial knowledge field. A percentage of 21.3% chose options indicating moderate knowledge, neither/nor, while 13.5% rated their knowledge as satisfactory. It is worth to consider that none of the respondents chose the option ‘not at all’ sound, which is as expected, considering the respondents are represented by decision-makers.
It is necessary to examine the extent to which the respondents are familiar with the funding sources for their own businesses. The responses indicate that nearly half of the subjects (49.8%) have a good understanding of the funding sources. The transition from general to specific, that is, from the general knowledge of funding sources to the knowledge of the most suitable sources for their own business aligns well with the score registered at the first level. The middle option answer, neither/nor, was chosen by 21.7% of respondents, followed by 17.6% for the option very good. 10.9% indicated a satisfactory level of knowledge, and no respondent chose the option ‘not satisfactory at all.’
In response to the open-ending question What funding sources do you know?, respondents had the possibility to mention all the funding sources with which they were familiar. These sources were classified and divided into categories, and the results show that the most well-known funding sources among the respondents are bank loans, with 78.7%, followed by leasing (63.7%), profit (52.8%), and European funds (19.9%). Personal funds received 19.9% of the responses, while trade credit was mentioned by 18% of the respondents. The least known source is Business Angels, with only 0.4%. Other sources mentioned and classified under a different type of funding sources include: subsidies (45.5%), credit lines (11.4%), investments (9.1%), microgrants (4.5%), trade credit, factoring, and share capital (each with 4.5%), stocks, capital contributions, associate loans, public funds, bond and share issuances, investors, government funds—all with 2.3% each.
In conclusion, the majority of respondents (76.03%) base their business operations on collaborative relationships with business partners, emphasizing respect and diligence in adhering to contractual agreements. This finding is also supported by other studies [142].
Regarding the statement “Requesting guarantees for the borrowed amount represents a barrier to accessing funding sources,” respondents were asked to indicate their level of agreement or disagreement. The results show that 41.6% of the respondents agree, followed by total agreement at 28.8%. The option of neither agreement nor disagreement is chosen by almost a quarter of the respondents (21.7%). Significantly lower percentages were registered for the disagreement option at 6% and total disagreement at 1.9%, respectively. Despite appearances, bank loans are not among the most accessible sources for all entrepreneurs [6], since bank loans require the establishment of guarantees by SMEs, and these represent burdensome costs for most companies (41.6%). Under these circumstances, many entrepreneurs opt for factoring as a funding source. Factoring does not involve any type of material guarantee, and the expenses consist of the commission charged by the bank and the interest calculated for the loan [143]. Many entrepreneurs choose factoring as a funding source due to the benefits it offers [144,145].
Most respondents (73%) consider that the choice of the financing method also takes into account the tax aspects (considering that opting for leasing as a financing method involves VAT, whereas a traditional bank loan does not impact on VAT), while 18% hold the opposite view. Additionally, 9% of respondents mentioned that they were not aware of this aspect.
As a rigorous and comprehensive organisation and management of company activities are not sufficient to ensure development in the context of new daily challenges, every company manager considers resorting to various funding sources.
Objective 3 (O3).
Determining the Future Intentions of the Entrepreneurs regarding the Strategy of the Companies to Use Various Funding Sources.
The results regarding the identification of funding sources used by the companies surveyed for sustaining and developing their business activities it can be noted that reinvesting profit is the most commonly used source of funding (79.4%), followed by bank loan (62.2%), and leasing, respectively (52.1%). The least used source is Business Angels [146], with only 1.1%, a result also confirmed by the study [147,148,149]. Under the option “Other sources of financing,” it is noted that subsidies are considered the most used sources of funding by the responding managers. Microgrants, loans between subsidiaries and parent companies, and loans from associates are equally noted, with only 2.38% each. During the business recovery period, the majority of the SMEs resorted to non-repayable sums, such as microgrants, for the purpose of acquiring services, inventory items, and other equipment to resume current activities [150]. The choice of funding sources is undoubtedly an important decision, even for small enterprises, where obstacles encountered can pose development issues. Some studies even show a correlation between the choice of funding sources and the performance achieved [151]. The intention to use bank loans should be mentioned, as they are among the most well-known sources of financing, even though they can generate burdensome costs. However, business development and achieving performance objectives always require taking certain risks in relation to funding sources. It has been proven that in certain situations, such as the financial crisis of 2008, bank financing served as a means of recovery for SMEs, rather than relying solely on the internal resources of the company [152].
To better observe future intentions, the results reflecting the respondents’ choices regarding funding sources are presented in Table 5.
From the seven funding sources analysed, it can be noted that the highest level of intention for future use is obtained for profit reinvestment (59.6%). With a high possibility of future use, we can see bank loans (36%), leasing (33.7%), and personal funds (27.7%). Correlating these results with the ones obtained in the previous question (where profit showed 79.4%, followed by the bank loan with 62.2%, and the leasing with 52.1%, respectively), it becomes obvious that the managers of the respondent companies have the intention of using the same funding sources they have already used.
To understand the pattern of entrepreneurs’ reactions regarding the funding sources and to draw logical conclusions, the principal component analysis was used, which reduces the variables to a smaller number. Seven variables measured with an interval scale were included in the analysis, so that the means for each variable were calculated [126,153].
It can be noted that among the 267 respondents included in the analysis, relatively different means were obtained for the seven variables analysed—funding sources. From the correlation matrix, it is obvious that there are two groups of variables that are closely related: profit and personal funds form the first component, while trade credit, European funds, bank loans, leasing, and Business Angels form the second component.
These two components are rotated in an orthogonal plane, and the weight of the seven variables in the two factors is presented in the “Rotated Component Matrix” table (Table 6). The variables are ordered based on their weight in the first factor, representing the group that describes “external funding sources,” while the second factor represents “internal funding sources.” In this way, two new variables were formed based on the individual average values of the variables included in each component. Therefore, the variable “Situation regarding self-financing capacity,” which includes profit and personal funds, and the variable “Situation regarding external funding sources,” obtained from the other five variables. This grouping explains how entrepreneurs think of using them, namely, supplementing internal funding sources with external ones, exactly in the order indicated by entrepreneurs (trade credit, European funds, bank loan, leasing, and Business Angels).
Table 6.
Component Matrix for Principal Component Analysis.
The results obtained demonstrate that after the rotation of axes (Table 7), there are no substantial changes in the correlation coefficients compared to the situation presented earlier. The graph is represented in Figure 2, for demonstration, where the two variables, named by the authors of the article as “Situation regarding self-financing capacity” and “Situation regarding external funding source,” can be found.
Table 7.
Rotated Component Matrix for Principal Component Analysis.
Figure 2.
Graphical Representation of the Association Between Variables and Factors. Source: Carried out using SPSS software by the Authors of the present paper, based on research data.
The analysis conducted by the authors confirms that funding for the SMEs has an impact on their continuous and sustainable growth. The SME sector facilitates the creation of new businesses, promotes innovation, and also contributes to national economic growth.
To further investigate and understand the extent to which funding sources available to the companies are used, respondents were asked to indicate a level between 1 and 5, considering distances between the scale levels equal, where 1—the least used and 5—the most frequently used. The results once again confirm that profit is the most frequently used financing source, with the maximum percentage for level 5 on the scale (at 60.7%). Relatively close percentages are registered for level 4 of the scale for sources, such as personal funds (31.1%), bank loans (30.3%), and leasing (32.2%). It is noteworthy that the least used sources are trade credits, European funds, and Business Angels (82%).
Considering that profit is the most significant funding source, the analysis focuses on its distribution, specifically whether it is spread over a longer period (the study has set a time horizon of three years) or fully allocated in the year following its generation. Thus, in the first year, most respondent managers state that they are willing to reinvest a percentage between 0 and 10% of the profit, followed by 35.2% with a reinvestment percentage between 10 and 25%. It can be noted that in the second year, the situation changes, and reinvested profit falls between 25 and 50% for 41.6% of the respondents, followed by 30.7% with values between 10 and 25%. In the second year, the reinvested profit with values between 0 and 10% was chosen by 15.4% of the respondents. The third year follows a similar trend to the second year, with very close values: 43.1% of the respondents for 25–50%, and 24% for 10–25% of the profit.
The obtained results confirm the prudence in company management and the quality of entrepreneurs’ ability to make decisions that target a longer period of time. In their view, the results achieved through the use of profit (the source with the least significant or non-existent costs) for business development must be convincing and sustainable. It should be mentioned, in this context, that assuming a moderate level of risk is the path to the success and durability of a business, and the results obtained are also supported by other studies [154]. Furthermore, this distribution of profit reflects decisions regarding the funding of activities or investments based on a strategy that focuses resources on specific factors to ensure the efficiency of the business and its subsequent development, considering that the accessibility to other funding sources is more difficult [40]. In conclusion, the behaviour of reinvesting profits is influenced by factors such as taking certain risks, business experience, competitive advantage, the possibility of accessing external funding sources, and, finally, the basic economic background and preparedness of entrepreneurs.
The distribution of responses regarding the willingness of respondents to use the company’s own capital shows that the option much accounts for 49.1% of the answers, followed by neither/nor with 21.7%. The responses for very much constitute 12.4%, not at all with 9.7%, and considerably with 7.1%.
The analysis of the respondents’ willingness to resort to bank loans shows that 30.3% marked the response option 5—very much, followed by level 4 with 24%. The middle level, 3, is indicated by 15.4% of the subjects, followed by 12.4% for level 2. The minimum level 1—which indicates the response not much, registers 18%. It can be concluded that most of the respondents have the intention to use bank loans in the future.
The next two questions show the respondents’ future intention to use Leasing and Business Angels as funding sources. For the first one, the measure to which respondents intend to use leasing as a possible alternative form of financing (considering its greater flexibility compared to traditional bank financing), the results indicate that almost half of the respondents have the future intention to resort to Leasing (with 37.1% for level 5 “very much”, followed by 26.6% for level 4). The mid-level, 3, is indicated by 18% of respondents, followed by 5.2% for level 2, and 13.1% for level 1—“not much”.
The structure of funding sources contributes to a company’s competitiveness and influences its ability to expand the business. In the complex conditions of running a business, there is a significant number of funding sources available on the financial market, but each entrepreneur, based on a development plan, analyses the competition, types, deadlines, interest rates, and other contractual terms of suitable sources. They orient themselves towards achieving a financial mix between their own and borrowed funding sources. Besides funding sources such as bank and commercial loans, companies are increasingly turning to financing through leasing. Leasing represents a form of financing commercial activities when they do not have sufficient resources for acquiring necessary assets, and resorting to bank loans is very costly [155].
While nearly half of the respondents showed their intention to use Leasing as a funding source, the results for Business Angels indicate exactly the opposite. Specifically, 68.2% of the respondents indicated level 1—“not much”, followed by 14.6% for level 2. The mid-level, 3, is marked by 5.6% of the surveyed managers, followed by 9% for level 4, and 2.6% for level 5, respectively.
It can be concluded that most respondents have the intention to resort to Leasing as a funding source. At the same time, most of the subjects do not have the intention to use Business Angels. As it is a less well-known funding source, entrepreneurs are less inclined to resort to this option. Moreover, there is a manifestation of mistrust in collaborating with financially stronger individuals. Businesses that would be of interest to a Business Angel are those with high returns that can also cover a higher level of risk [148].
The Influence of the Funding Sources in the Sustainability-Performance Relationship
In order to identify the relationship between performing-sustainable development and the choice of funding sources, a moderation analysis was performed, and the PROCESS SPSS macro was used [109].
The suggested model consists of the components shown in Figure 3.
Figure 3.
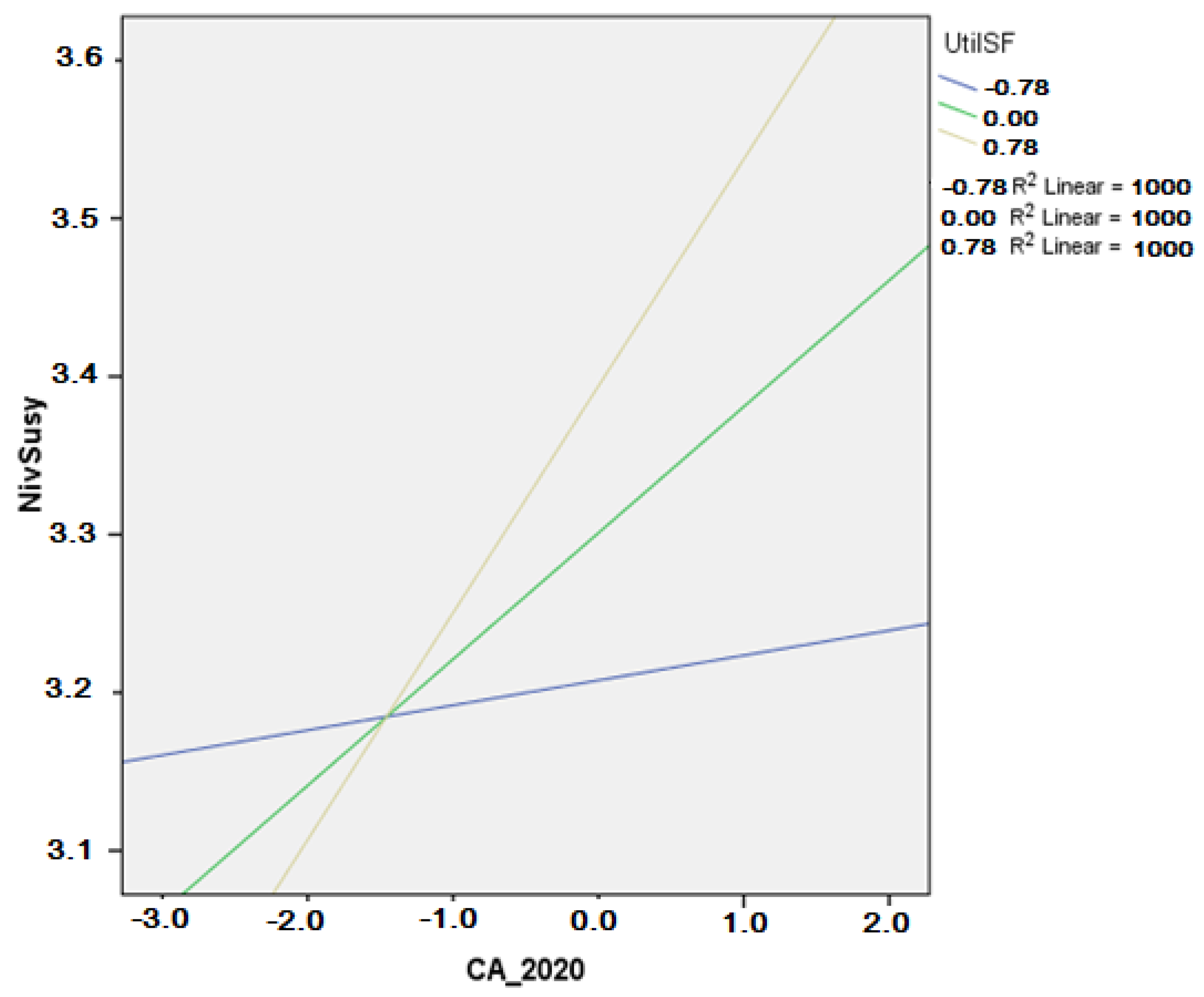
The Relationship between the Sustainability Level of the Companies Included in the Research and the Turnover, Moderated by the Level of Use of the Analysed Funding Sources (Included in the Study). Source: Carried out by the Authors of the present paper.
For this model, we observed a = 0.100, this means that 10% of the variance in the level achieved by the company for sustainability is explained by the level of using the funding sources, the turnover of the company and the interaction between them. This amount of explained variance is significant and the interaction term is significant, considering that F(3, 263) = 9.703 and p = 0.000.
Table 8 displays the Unstandardised Regression Coefficients. The interaction effect was statistically significant (p = 0.000 and is no zero in the confidence interval), indicating that the relationship between the turnover and the level achieved by the company for sustainability is moderated by the level of using funding sources. This moderating effect is shown in Figure 4.
Table 8.
Summary of Moderated Regression Analysis.
Figure 4.
Graphical Representation of the Moderating Effect. Source: Carried out using the SPSS software by the Authors of the present paper, based on research data.
Standard Error values between 0.029 and 0.046 can be observed. At the same time, the estimators are significantly different from 0 because each of them registers p-value lower than 0.05, the significance threshold allowed for the confidence intervals of the estimators, implicitly at a probability of 95%. This finding is also confirmed by the confidence intervals of the coefficients, which do not change the sign from the lower limit to the upper one, so they do not contain the value 0. The confidence intervals can be observed as follows:
The empirical results in Table 8 are also supported by studies that present the relationship between the analysed terms. The study on sustainable competitiveness in business also includes the interrelationships between the profitability and sustainability of the company [156]. Another article presents the link between performance and sustainable growth [157], while another piece of research addresses the topic of income flows that ensure financial sustainability in eight EU countries, including Romania [158].
To further establish that the effect differs depending on the level reached by the company regarding the use of funding sources, we employed a bootstrapping procedure by quantifying the low-level effect (−1SD), the effect at the mean, and the high level effect (+1SD) [159]. Table 9 presents the coefficient effects of the predictor (level achieved by the company for sustainability) at these values of the moderator (level achieved by the company regarding the use of funding sources).
Table 9.
Coefficient Effects of the Level Reached by the Company Regarding the Use of the Funding Sources.
The effect of the three levels of using funding sources (low, medium, high) is presented in Table 9. As it can be determined, at a low level of using financial sources, the association between turnover and the level of sustainability of the company is weaker, and then, at a medium level of using funding sources, it is stronger, and at a high level of using funding sources, the relationship is the strongest. The statement is supported by the increase in the coefficient from 0.016 (low use level of funding sources) to 0.143 (high use level of funding sources).
The graphical representation demonstrates that at a lower level of using funding sources, the association between turnover and sustainability level is weaker, and at a high level of using funding sources, the association between the two is stronger. This result is consistent and supports the conclusion from the coefficient effects presented before.
Considering sustainability dimensions, the entrepreneurs must ensure the necessary flexibility in both the pursued architecture and the diversification of funding sources, and if necessary, integrate financial consulting and entrepreneurial education services into their system. Integrating circular economy thinking into financing source planning aims at the sustainable development of the business.
Finally, for the companies to maintain their position on the market in the current context of sustainability, they must identify:
- The areas of interest for thorough basic entrepreneurial and financial knowledge, which will contribute together with other factors to the success of a business;
- The most appropriate development strategies, integrated with the sustainability strategies, for responsible and sustainable growth on the business market;
- The harmonious combination of specific financial tools to achieve the pursued objectives;
- The architecture of a framework and a climate for a sustainable and efficient business, considering harmonious concern for the environment, profitability, and social commitment towards people and the community.
In conclusion, the architecture of the results, presented in the model below suggested by the authors of the present paper, Figure 5, not only provides us with information about how the components of the business process system are connected with sustainability and about the interaction between them, but also offers a general picture of the moderately sustainable business environment with the funding sources that have been used.
Figure 5.
CSFS Model—The Connection between Sustainability, Funding Sources and Performance. Source: Carried out by the Authors of the present paper.
5. Conclusions and Implications
The purpose of this research was to provide pertinent and relevant findings, offering a clearer picture of the entrepreneurs’ attitudes, behaviours, and opinions regarding the use of funding sources in their current activities, investments, technological advancements, and innovations. These aspects were analysed in the context of business competitiveness and sustainability in a dynamically changing market. The contribution of this study lies in correlating and providing an overview of the integration of a wide range of funding sources, because by analysing the literature, it is noted that most studies research and analyse funding sources grouped based on specific criteria or analyse only a single funding source [160], whereas the present research integrates seven types of funding sources.
The conducted study highlighted that the majority of surveyed entrepreneurs intend to primarily use their own funding sources (profits and personal funds) and, ultimately, resort to external sources (bank loans, leasing, and European funds). From the registered results, it is noted that profit reinvestment is the most frequently used funding source, followed by bank credit and leasing, while the least used source are Business Angels.
From the funding sources analysed in the research, the highest level of future use intention is registered for profit reinvestment (with more than half of the respondents), followed by bank loans, leasing, and personal funds.
Related to the concept of sustainable business and sustainability, the study highlighted that, in general, the management of the SMEs considers them important and very important, a fact demonstrated by the result that shows that half of the surveyed companies have defined a sustainability strategy. Moreover, the connection between the existence of a sustainability strategy and the respondents’ gender was tested and demonstrated.
This research demonstrates that most entrepreneurs appreciate the importance of funding sources in the transition to a more sustainable future. In this sense, the paper demonstrated the existence of a relationship between the level of sustainability of companies and their turnover, moderated by the use level of funding sources. An important conclusion of the present study consists of developing the CSFS Model that succeeded in presenting the connection between sustainability, funding sources, and performance (confirming, once again, the moderation relationship demonstrated by the regression function).
The study provided a consistent summary of the specialised literature, with one of the implications of the work being to enrich the specialised literature through the model suggested in the study but also to demonstrate the moderation relationship realised in the regression function. The theoretical implications consist of the collaboration of the SMEs with governmental and financial organisations, researchers in the field, or other bodies in order to develop and promote new frameworks and programmes for the implementation of funding solutions suited to the needs of the SMEs. It is concluded that government programmes to support SME lending must be oriented towards fields with high added value, with a high level of technology facilitating the green transition [45].
The comprehensive analysis of the literature also led to a series of practical implications for SME managers regarding funding sources. It was found that integrated strategic thinking, such as the choice of the most suitable funding sources to support practices regarding operational and economic organisational sustainability, risk management regarding the costs associated with financing, combining several internal and external funding sources, and resorting to innovative funding sources, can cause changes in business development.
In order to achieve organisational, operational, and economic sustainability, companies must assess and improve their corporate competencies, evaluate their level of knowledge of different funding sources, innovative financial technologies, and their impact on sustainability. Also, organisations must improve adaptability and flexibility by restructuring existing business models and processes [2]. This involves the use of new strategies and the use of advanced technology to add value and stability to the business, flexibility, and agility in calling on the various funding sources existing at the level of the economy with an impact on environmental and social actions in order to ensure and maintain their performance.
The study put forth practical implications for the national economy as well, since sustainability strategies at the micro level have an effect on economic well-being and the adoption of decisions regarding the recovery and resilience mechanisms so that economies become more sustainable, more resilient, and better prepared for the green transition and the digital one.
Finally, this investigation, correlated with other specialised research, can be useful to both micro- and macroeconomic factors interested in the sustainable development of the SME sector, which is unanimously considered the engine of any country’s economy. Consequently, this study contributes to the current state of knowledge regarding the appeal to funding sources that are so necessary for companies.
However, beyond the results obtained, this research also has certain limitations, primarily caused by the fact that the investigated population focused on analysing the Central Region of Romania and only companies using external accounting services. Another limitation of the study refers to the analysis of the seven most well-known and used funding sources, perhaps excluding innovative funding sources from the analysis. At the same time, in future research, large and very large companies can be included; a limitation of the present study is it surveyed only SMEs.
The authors intend to expand the research in the future at the national level, covering all eight regions of development. Future studies could further examine the management of funding sources in the case of companies from other European countries. Moreover, research could also target an in-depth study of the real needs of start-up companies, especially the barriers and negative influences that may affect their opinions. A future study may analyse the opinions of future entrepreneurs, of people who intend to open a business in the immediate future, to be able to observe and compare the possible differences between the opinions of people who have experience in running a business and people who are going to open and manage a business.
Author Contributions
Conceptualization, A.Z., C.E.A., R.-G.A., T.S., S.M.S. and O.-A.G.-P.; methodology, C.E.A. and A.Z.; software, A.Z.; validation, A.Z. and C.E.A.; investigation, C.E.A., R.-G.A. and A.Z.; resources, R.-G.A., T.S. and S.M.S.; writing—original draft preparation, A.Z., C.E.A., R.-G.A., T.S., S.M.S. and O.-A.G.-P.; writing—review and editing, A.Z., C.E.A. and R.-G.A.; visualization, A.Z.; supervision, C.E.A.; project administration, A.Z.; funding acquisition, C.E.A. All authors have read and agreed to the published version of the manuscript.
Funding
This research was funded by TRANSILVANIA UNIVERSITY OF BRAȘOV.
Institutional Review Board Statement
Ethical review and approval were waived for this study because we conducted a non-interventional study (questionnaires type), and all participants were fully informed that the anonymity is assured. All the participants agreed to answer the questions, taking into account that the data obtained were used strictly for statistics.
Informed Consent Statement
Informed consent was obtained from all subjects involved in the study.
Data Availability Statement
Data are contained within the article.
Conflicts of Interest
The authors declare no conflicts of interest.
References
- Foris, T.; Tecău, A.S.; Dragomir, C.-C.; Foris, D. The Start-Up Manager in Times of Crisis: Challenges and Solutions for Increasing the Resilience of Companies and Sustainable Reconstruction. Sustainability 2022, 14, 9140. [Google Scholar] [CrossRef]
- Obrenovic, B.; Godinic, D.; Njavro, M. Sustaining company performance during the war-induced crisis using sourcing capability and substitute input. Environ. Dev. Sustain. 2023. [Google Scholar] [CrossRef]
- Mura, L.; Buleca, J. Evaluation of Financing Possibilities of Small and Medium Industrial Enterprises. Procedia Econ. Financ. 2012, 3, 217–222. [Google Scholar] [CrossRef]
- Small and Medium Enterprises (SMEs) Finance. Available online: https://www.worldbank.org/en/topic/smefinance (accessed on 12 October 2021).
- International Labour Organization. Small Matters: Global Evidence on the Contribution to Employment by the Self-Employed, Micro-Enterprises and SMEs; International Labour Organization: Geneva, Switzerland, 2019. [Google Scholar]
- Batrancea, L.M.; Balcı, M.A.; Chermezan, L.; Akgüller, Ö.; Masca, E.S.; Gaban, L. Sources of SMEs Financing and Their Impact on Economic Growth across the European Union: Insights from a Panel Data Study Spanning Six-teen Years. Sustainability 2022, 14, 15318. [Google Scholar] [CrossRef]
- Rao, P.; Kumar, S.; Chavan, M.; Lim, W.M. A systematic literature review on SME financing: Trends and future directions. J. Small Bus. Manag. 2023, 61, 1247–1277. [Google Scholar] [CrossRef]
- Dias, Á.; Silva, G.M. Lifestyle Entrepreneurship and Innovation in Rural Areas: The Case of Tourism Entrepreneurs. J. Small Bus. Strategy 2021, 31, 40–49. [Google Scholar] [CrossRef]
- Dias, A.; Silva, G.M.; Patuleia, M.; González-Rodríguez, M.R. Developing sustainable business models: Local knowledge acquisition and tourism lifestyle entrepreneurship. J. Sustain. Tour. 2023, 31, 931–950. [Google Scholar] [CrossRef]
- Adomak, S. Environmental collaboration, sustainable innovation, and small and medium-sized enterprise growth in sub-Saharan Africa: Evidence from Ghana. Sustain. Dev. 2020, 28, 1609–1619. [Google Scholar] [CrossRef]
- Pires, A.; Morato, J.; Peixoto, H.; Botero, V.; Zuluaga, L.; Figueroa, A. Sustainability assessment of indicators for integrated water resources management. Sci. Total Environ. 2017, 578, 139–147. [Google Scholar] [CrossRef]
- Europa.eu. Available online: https://www.europarl.europa.eu/factsheets/ro/sheet/63/intreprinderile-mici-si-mijlocii (accessed on 10 June 2023).
- Lapinskaite, I.; Skvarciany, V.; Janulevicius, P. Impact of Investment Sources for Sustainability on a Country’s Sustainable Development: Evidence from the EU. Sustainability 2020, 12, 2421. [Google Scholar] [CrossRef]
- Global Entrepreneurship Monitor. Available online: https://gemconsortium.org/file/open?fileId=51347 (accessed on 22 December 2023).
- ANAF.ro. Ordinul 3456/2018 Privind Modificarea Și Completarea Unor Reglementări Contabile, Ministerul Finanțelor Publice, Monitorul Oficial Nr. 942 Din 7 Noiembrie 2018. Available online: https://static.anaf.ro/static/10/Anaf/legislatie/OMFP_3456_2018.pdf (accessed on 12 September 2023).
- EUR-Lex. Directive (EU) 2022/2464 of the European Parliament and of the Council of 14 December 2022 Amending Regulation (EU) No 537/2014, Directive 2004/109/EC, Directive 2006/43/EC and Directive 2013/34/EU, as Regards Corporate Sustainability Reporting. Available online: https://eur-lex.europa.eu/legal-content/EN/TXT/?uri=CELEX:32022L2464 (accessed on 12 September 2023).
- Allal-Chérif, O.; Climent, J.C.; Berenguer, K.J.U. Born to be sustainable: How to combine strategic disruption, open innovation, and process digitization to create a sustainable business. J. Bus. Res. 2023, 154, 113379. [Google Scholar] [CrossRef]
- Manninen, K.; Huiskonen, J. Factors influencing the implementation of an integrated corporate sustainability and business strategy. J. Clean. Prod. 2022, 343, 131036. [Google Scholar] [CrossRef]
- Fogoros, T.E.; Maier, D.; Iordache, A.; Bițan, G.E. A study on factors influencing sustainable entrepreneurship in European Union countries. In Proceedings of the 6th BASIQ International Conference on New Trends in Sustainable Business and Consumption, Messina, Italy, 4–6 June 2020; pp. 950–957. [Google Scholar]
- Sołtysik, M.; Urbaniec, M.; Wojnarowska, M. Innovation for Sustainable Entrepreneurship: Empirical Evidence from the Bioeconomy Sector in Poland. Adm. Sci. 2019, 9, 50. [Google Scholar] [CrossRef]
- Nhemachena, C.; Murimbika, M. Motivations of sustainable entrepreneurship and their impact of enterprise performance in Gauteng Province, South Africa. Bus. Strategy Dev. 2018, 1, 115–127. [Google Scholar] [CrossRef]
- Kanayo, O.; Agholor, I.; Olamide, E. Impact of sustainable entrepreneurship indicators on SMEs business success in South Africa. Acad. Entrep. J. 2021, 27, 1–17. [Google Scholar]
- Kukurba, M.; Salwin, M.; Waszkiewicz, A.E. Model of Value Transfer in Crowdfunding and Sustainable Development of Small and Medium-Sized Enterprises in Poland—Based on Survey Research. Sustainability 2023, 15, 12594. [Google Scholar] [CrossRef]
- Pallapu, A.V.; Kate, A. Investigating Sustainable Strategies for Small and Medium Enterprises in the USA. Sustain. Dev. Plan. 2022, 258, 177. [Google Scholar] [CrossRef]
- Soenarto, S.; Rahmawati, R.; Suprapti, A.R.; Handayani, R.; Sudira, P. Green entrepreneurship development strategy based on local characteristic to support eco-tourism continuous. J. Manaj. 2019, 23, 257–273. [Google Scholar] [CrossRef]
- Stadnyk, V.; Krasovska, G.; Pchelianska, G.; Holovchuk, Y. Determinants of “green entrepreneurship” competitive strategies implementation in the agro-industrial sector of Ukraine. In Proceedings of the 8th International Scientific Conference on Sustainability in Energy and Environmental Science, Ivano-Frankivsk, Ukraine, 21–22 October 2020. [Google Scholar]
- Fischer, D.; Brettel, M.; Mauer, R. The three dimensions of sustainability: A delicate balancing act for entrepreneurs made more complex by stakeholder expectations. J. Bus. Ethics 2020, 163, 87–106. [Google Scholar] [CrossRef]
- Al-Qahtani, M.; Zguir, M.F.; Ari, I.; Koç, M. Female Entrepreneurship for Sustainable Economy and Development—Challenges, Drivers, and Suggested Policies for Resource-Rich Countries. Sustainability 2022, 14, 13412. [Google Scholar] [CrossRef]
- Al-Qahtani, M.; Fekih Zguir, M.; Al-Fagih, L.; Koç, M. Women Entrepreneurship for Sustainability: Investigations on Status, Challenges, Drivers, and Potentials in Qatar. Sustainability 2022, 14, 4091. [Google Scholar] [CrossRef]
- Gao, H.; Liu, Z.; Yang, C.C. Individual investors’ trading behavior and gender difference in tolerance of sex crimes: Evidence from a natural experiment. J. Empir. Financ. 2023, 73, 349–368. [Google Scholar] [CrossRef]
- Rosati, F.; Rodrigues, V.P.; Cosenz, F.; Li-Ying, J. Business model innovation for the Sustainable Development Goals. Bus. Strategy Environ. 2023, 32, 3752–3765. [Google Scholar] [CrossRef]
- Lüdeke-Freund, F.; Dembek, K. Sustainable business model research and practice: Emerging field or passing fancy? J. Clean. Prod. 2017, 168, 1668–1678. [Google Scholar] [CrossRef]
- Esteves, A.M.; Genus, A.; Henfrey, T.; Penha-Lopes, G.; East, M. Sustainable entrepreneurship and the Sustainable Development Goals: Community-led initiatives, the social solidarity economy and commons ecologies. Bus. Strategy Environ. 2021, 30, 1423–1435. [Google Scholar] [CrossRef]
- Diaz-Sarachaga, J.M.; Ariza-Montes, A. The role of social entrepreneurship in the attainment of the sustainable development goals. J. Bus. Res. 2022, 152, 242–250. [Google Scholar] [CrossRef]
- Crecente, F.; Sarabia, M.; del Val, M.T. Sustainable Entrepreneurship in the 2030 Horizon. Sustainability 2021, 13, 909. [Google Scholar] [CrossRef]
- Carera, L. Corporate social responsibility. A strategy for social and territorial sustainability. Int. J. Corp. Soc. Responsib. 2022, 7, 7. [Google Scholar] [CrossRef]
- Abubakar, A.; Belwal, S.; Mohammed, N.; Mohammed, U.D. Sustainable competitive advantage through corporate social responsibility (CSR) and green behavior strategies. Discret. Dyn. Nat. Soc. 2022, 2022, 3734707. [Google Scholar] [CrossRef]
- Camilleri, M.A. Strategic attributions of corporate social responsibility and environmental management: The business case for doing well by doing good! Sustain. Dev. 2022, 30, 409–422. [Google Scholar] [CrossRef]
- Banca Națională a României. Available online: https://www.bnr.ro/PublicationDocuments.aspx?icid=15748 (accessed on 22 December 2023).
- Wellalage, N.H.; Reddy, K. Determinants of profit reinvestment undertaken by SMEs in the small island countries. Glob. Financ. J. 2020, 43, 100394. [Google Scholar] [CrossRef]
- Ivashina, V.; Laeven, L.; Moral-Benito, E. Loan types and the bank lending channel. J. Monet. Econ. 2022, 126, 171–187. [Google Scholar] [CrossRef]
- Liu, Z.; Shang, J.; Wu, S.; Chen, P. Social collateral, soft information and onlinepeer-to-peer lending: A theoretical model. Eur. J. Oper. Res. 2020, 281, 428–438. [Google Scholar] [CrossRef]
- Metawa, N.; Hassan, M.K.; Elhoseny, M. Genetic algorithm based model for optimizing bank lending decisions. Expert Syst. Appl. 2017, 80, 75–82. [Google Scholar] [CrossRef]
- Zhong, W.; Jiang, T. Can internet finance alleviate the exclusiveness of traditional finance? Evidence from Chinese P2P lending markets. Financ. Res. Lett. 2021, 40, 101731. [Google Scholar] [CrossRef]
- Fang, J.; Zhu, J. The impact of open banking on traditional lending in the BRICS. Financ. Res. Lett. 2023, 58, 104300. [Google Scholar] [CrossRef]
- Junarsin, E.; Pelawi, R.Y.; Kristanto, J.; Marcelin, I.; Pelawi, J.B. Does fintech lending expansion disturb financial system stability? Evidence from Indonesia. Heliyon 2023, 9, e18384. [Google Scholar] [CrossRef]
- Lee, I.; Shin, Y.J. Fintech: Ecosystem, Business Models, Investment Decisions, and Challenges. Bus. Horiz. 2018, 61, 35–46. [Google Scholar] [CrossRef]
- Wang, K.; Yang Hu, Y.; Zhou, J.; Hu, F. Fintech, Financial Constraints and OFDI: Evidence from China. Glob. Econ. Rev. 2023, 52, 326–345. [Google Scholar] [CrossRef]
- Tang, H. Peer-to-Peer Lenders Versus Banks: Substitutes or Complements? Rev. Financ. Stud. 2019, 32, 1900–1938. [Google Scholar] [CrossRef]
- Mencken, F.C.; Mencken, K.D. Small business lending and socioeconomic development in U.S. counties during the Great Recession. J. Rural. Community Dev. 2020, 15, 81–99. [Google Scholar]
- Prša, D.; Milun, T.; Orsag, S. Short-term financing and the impact of trade credit on the profitability of small and medium enterprises in the Republic of Croatia. Ekon. Vjesn. Econviews Rev. Contemp. Bus. Entrep. Econ. Issues 2022, 35, 17–30. [Google Scholar] [CrossRef]
- Cao, Y.; Zhang, J.H.; Ma, X.Y. Optimal Financing and Production Decisions for a Supply Chain With Buyer-Backed Purchase Order Financing Contract. IEEE Access 2019, 7, 119384–119392. [Google Scholar] [CrossRef]
- Sahm, M. Advance-Purchase Financing of Projects with Few Buyers. Rev. Ind. Organ. 2020, 57, 909–933. [Google Scholar] [CrossRef]
- Wu, Y.; Wang, Z.; Yao, J.; Guo, H. Joint decision of order allocation and lending in the multi-supplier scenario purchase order financing. Int. J. Prod. Econ. 2023, 255, 108710. [Google Scholar] [CrossRef]
- Pattnaik, D.; Baker, H.K. Factors affecting trade credit in India. Int. Rev. Econ. Financ. 2023, 88, 634–649. [Google Scholar] [CrossRef]
- Tingbani, I.; Afrifa, G.A.; Tauringana, V.; Ntim, C. Trade credit and corporate growth. Int. J. Financ. Econ. 2022. [Google Scholar] [CrossRef]
- Choi, M.J.; Hwang, S.; Im, H. Cross-border trade credit and trade flows during the global financial crisis. Int. Rev. Econ. Financ. 2022, 82, 497–510. [Google Scholar] [CrossRef]
- Hasan, M.M.; Alam, N. Asset redeployability and trade credit. Int. Rev. Financ. Anal. 2022, 80, 102024. [Google Scholar] [CrossRef]
- Arca, P.; Atzeni, G.; Deidda, L. The signaling role of trade credit: Evidence from a counterfactual analysis. J. Corp. Financ. 2023, 80, 102414. [Google Scholar] [CrossRef]
- Bostan, I.; Morosan, A.A.; Hapenciuc, C.V.; Stanciu, P.; Condratov, I. Are Structural Funds a Real Solution for Regional Development in the European Union? A Study on the Northeast Region of Romania. J. Risk Financ. Manag. 2022, 15, 232. [Google Scholar] [CrossRef]
- Marcu, L.; Kandzija, T.; Dorotic, J. EU Funds Absorption: Case of Romania. Postmod. Open. 2020, 11, 41–63. [Google Scholar] [CrossRef]
- Staehr, K.; Urke, K. The European structural and investment funds and public investment in the EU countries. Empirica 2022, 49, 1031–1062. [Google Scholar] [CrossRef]
- Eckel, C.; Han, Y.; Hynes, K.; Zhang, J. Structural fund, endogenous move and commitment. Int. Tax Public Financ. 2021, 28, 465–482. [Google Scholar] [CrossRef]
- Zhang, Y.; Li, J.; Yang, X.; Wang, W. Lease or financial lease? Deterministic strategies for on-line financial lease problem with the second-hand transaction. J. Comb. Optim. 2022, 44, 1248–1264. [Google Scholar] [CrossRef]
- Chandrakar, P.; Das, S.; Bhalla, M. Lease Auctions with Retention Options. J. Quant. Econ. 2022, 20, 97–136. [Google Scholar] [CrossRef]
- Li, S.; Markarian, C.; Meyer auf der Heide, F. Towards Flexible Demands in Online Leasing Problems. Algorithmica 2018, 80, 1556–1574. [Google Scholar] [CrossRef]
- Bohusova, H.; Svoboda, P.; Veverkova, A. Impact of New Lease Reporting on Retailing and Wholesale Companies Montenegrin. J. Econ. 2022, 18, 89–98. [Google Scholar]
- Bourjade, S.; Huc, R.; Muller-Vibes, C. Leasing and profitability: Empirical evidence from the airline industry. Transp. Res. 2017, 97, 30–46. [Google Scholar] [CrossRef]
- Kokot-Stępień, P. The importance of external financing in management of innovative processes in the SME sector. Ekon. I Prawo. Econ. Law 2022, 21, 145–163. [Google Scholar] [CrossRef]
- Moise, D.F. The Influence of the Company Size, Financing Structure and Assets Efficiency on the Positive Net Result in the Agri-Business Sector. In Proceedings of the 17th International Conference on Business Excellence, Bucharest, Romania, 23–25 March 2023; pp. 524–536. [Google Scholar] [CrossRef]
- Mundi, H.S.; Kaur, P. CEO Overconfidence and Capital Structure Decisions: Evidence from India. VIKALPA J. Decis. Mak. 2022, 47, 19–37. [Google Scholar] [CrossRef]
- Gao, C.; Tsusaka, T.W. Economic Uncertainty and Firms’ Capital Structure: Evidence from China. Risks 2023, 11, 66. [Google Scholar] [CrossRef]
- Zahid, R.M.A.; Saleem, A.; Maqsood, U.S. ESG performance, capital financing decisions, and audit quality: Empirical evidence from Chinese state-owned enterprises. Environ. Sci. Pollut. Res. 2023, 30, 44086–44099. [Google Scholar] [CrossRef]
- Mason, C.; Botelho, T.; Duggett, J. Promoting cross-border investing by business angels in the European Union. Reg. Stud. 2022, 56, 1391–1403. [Google Scholar] [CrossRef]
- Ali, S.; Berger, M.; Botelho, T.; Duvy, J.N.; Frencia, C.; Gluntz, P.; Delater, A.; Licht, G.; Losso, J.; Pellens, M. Angel source co-investment scheme. In Understanding the Nature and Impact of the Business Angels in Funding Research and Innovation: Final Report; ZEW-Gutachten und Forschungsberichte, Zentrum für Europäische Wirtschaftsforschung (ZEW): Mannheim, Germany, 2017; p. 29. Available online: http://hdl.handle.net/10419/181907 (accessed on 10 June 2023).
- Mansi, J.; Gagandeep, S.; Mrinalini, S. Crowdfunding for Entrepreneurs: A Review, Critique and Research Agenda. In Proceedings of the BAM2019 Conference Proceedings, Birmingham, UK, 3–5 September 2019. [Google Scholar]
- Majewski, P. Crowdfunding—Cechy i typologia. Gospod. Nar. 2020, 1, 139–152. [Google Scholar] [CrossRef]
- Appiah-Otoo, I.; Chen, X. Is crowdfunding the solution? Appraising the environmental contributions of crowdfunding. Environ. Dev. Sustain. 2023. [Google Scholar] [CrossRef]
- Vismara, S. Expanding corporate finance perspectives to equity crowdfunding. J. Technol. Transf. 2022, 47, 1629–1639. [Google Scholar] [CrossRef]
- Mazzuca, M.; Panzera, E.; Ruberto, S. The investor’s participation in social impact bonds. Int. Rev. Econ. Financ. 2023, 86, 349–363. [Google Scholar] [CrossRef]
- Rania, F.; Trotta, A.; Carè, R.; Migliazza, M.C.; Kabli, A. Social Uncertainty Evaluation of Social Impact Bonds: A Model and Practical Application. Sustainability 2020, 12, 3854. [Google Scholar] [CrossRef]
- Nordin, N.; Zainudin, Z. A Review of A Fintech Financing Platform: Potential and Challenges of Islamic Crowd-funding To Entrepreneurs. Int. J. Islam. Bus. 2023, 8, 79–90. [Google Scholar] [CrossRef]
- Alvarado, M.; Mora-Esquivel, L. Financial Bootstrapping among Costa Rican Small Businesses: An Exploratory Study. Tec Empres. 2020, 14, 4951. [Google Scholar] [CrossRef]
- Fitzsimons, M.; Hogan, T.; Hayden, M.T. Tying the knot—Linking bootstrapping and working capital management in established enterprises. J. Appl. Account. Res. 2023. [Google Scholar] [CrossRef]
- Block, J.H.; Fisch, C.; Hirschmann, M. The determinants of bootstrap financing in crises: Evidence from entrepre-neurial ventures in the COVID-19 pandemic. Small Bus. Econ. 2022, 58, 867–885. [Google Scholar] [CrossRef]
- Liu, Y.L.; Peng, X.B.; Huang, J. The impact of entrepreneurs’ social identity and the mediation effect of the deci-sion-making logic on the bootstrapping behavior of nascent ventures. Rev. Bras. De Gestão De Negócios 2022, 24, 617–637. [Google Scholar] [CrossRef]
- Gompers, P.A.; Gornall, W.; Kaplan, S.N.; Strebulaev, I.A. How do venture capitalists make decisions? J. Financ. Econ. 2020, 135, 169–190. [Google Scholar] [CrossRef]
- Riepe, J.; Uhl, K. Startups’ demand for non-financial resources: Descriptive evidence from an international corporate venture capitalist. Financ. Res. Lett. 2020, 36, 101321. [Google Scholar] [CrossRef]
- Yang, H.; Zhang, L.; Wu, Y.J.; Shi, H.; Xie, S. Influence of Entrepreneurial Orientation on Venture Capitalists’ Initial Trust. Front. Psychol. 2021, 12, 633771. [Google Scholar] [CrossRef]
- Morawczy´nski, R. Venture Capitalists’ Investment Criteria in Poland: Entrepreneurial Opportunities, Entrepre-neurs, and Founding Teams. Adm. Sci 2020, 10, 77. [Google Scholar] [CrossRef]
- Salisu, J.B. Entrepreneurial training effectiveness, government entrepreneurial supports and venturing of TVET students into IT related entrepreneurship—An indirect-path effects analysis. Heliyon 2020, 6, e05504. [Google Scholar] [CrossRef]
- Duong, C.D.; Wach, K.; Vu, N.X.; Ha, S.T.; Nguyen, B.N. Entrepreneurial education, government policies and programmes, and entrepreneurial behaviour: A serial moderated mediation model. Entrep. Bus. Econ. Rev. 2022, 10, 37–54. [Google Scholar] [CrossRef]
- Amara, A.B.H.; Albastaki, N.K. The Role of Entrepreneurship Ecosystem in Fostering Startups Growth: Insight From Bahrain Entrepreneurship Ecosystem. In Proceedings of the 16th European Conference on Innovation and Entrepreneurship, Online, 16–17 September 2021; p. 123. [Google Scholar] [CrossRef]
- Parekh, S. Vendor Financing. Available online: https://www.dripcapital.com/en-us/resources/finance-guides/vendor-financing (accessed on 16 November 2023).
- Abdul-Jalbar, B.; Dorta-Guerra, R.; Gutiérrez, J.M.; Sicilia, J. Production/Inventory Policies for a Two-Echelon System with Credit Period Incentives. Mathematics 2021, 9, 1725. [Google Scholar] [CrossRef]
- Emtehani, F.; Nahavandi, N.; Mokhatab Rafiei, F. A joint inventory–finance model for coordinating a capi-tal-altaA joint inventory–finance model for coordinating. Financ. Innov. 2021, 7, 6. [Google Scholar] [CrossRef]
- Ding, Y.; Jiang, Y.; Wu, L.; Zhou, Z. Two-echelon supply chain network design with trade credit. Comput. Oper. Res. 2021, 131, 105270. [Google Scholar] [CrossRef]
- Zapata-Guerrero, F.T.; Ayup, J.; Mayer-Granados, E.L.; Charles-Coll, J. Incubator efficiency vs survival of start-ups. RAUSP Manag. J. 2020, 55, 511–530. [Google Scholar] [CrossRef]
- Michele, M.; Bellomo, S.; Nosella, A.; Agostini, L. Attributes of Business Incubators: A Conjoint Analysis of Ven-ture Capitalist’s Decision Making. J. Risk Financ. Manag. 2022, 15, 213. [Google Scholar] [CrossRef]
- Reit, T. Knowledge Transfer in Virtual Business Incubators. Probl. Zarządzania 2022, 20, 173–190. [Google Scholar] [CrossRef]
- Tang, M.; Huang, H.; Walsh, G.; Guerrero, M. The impact of entrepreneurial overconfidence on incubator effectiveness. J. Technol. Transf. 2023, 48, 416–440. [Google Scholar] [CrossRef]
- Hellmann, T.; Schure, P.; Vo, D.H. Angels and venture capitalists: Substitutes or complements? J. Financ. Econ. 2021, 141, 454–478. [Google Scholar] [CrossRef]
- Cipollone, A.; Giordani, P.E. Entrepreneurs meet financiers: Evidence from the business angel market. J. Bus. Ventur. 2019, 34, 105913. [Google Scholar] [CrossRef]
- Solodoha, E.; Rosenzweig, S.; Harel, S. Incentivizing angels to invest in start-ups: Evidence from a natural experiment. Res. Policy 2023, 52, 104634. [Google Scholar] [CrossRef]
- BBVA. Available online: https://www.bbva.com/en/sustainability/what-is-sustainable-financing/ (accessed on 16 November 2023).
- Chatzistamoulou, N.; Tyllianakis, E. Green growth & sustainability transition through information. Are the greener better informed? Evidence from European SMEs. J. Environ. Manag. 2022, 306, 114457. [Google Scholar] [CrossRef]
- Streimikiene, D.; Mikalauskiene, A.; Burbaite, G. The role of sustainable finance in achieving sustainable devel-opment goals. Econ. Sociol. 2023, 16, 271–298. [Google Scholar] [CrossRef]
- Edmans, A.; Kacperczyk, M. Sustainable Finance. Rev. Financ. 2022, 26, 1309–1313. [Google Scholar] [CrossRef]
- Ozili, K.P. Making sustainable finance sustainable. Financ. Internet Q. 2021, 17, 64–70. [Google Scholar] [CrossRef]
- Zetzsche, D.A.; Anker-Sørensen, L. Regulating Sustainable Finance in the Dark. Eur. Bus. Organ. Law Rev. 2022, 23, 47–85. [Google Scholar] [CrossRef]
- Lee, J.W. Green Finance and Sustainable Development Goals: The Case of China. J. Asian Financ. Econ. Bus. 2020, 7, 577–586. [Google Scholar] [CrossRef]
- Greg, L. Qualitative and Quantitative Research: How to Choose the Best Design. In Proceedings of the Academic Business World International Conference, Nashville, TN, USA, 28 May 2007. [Google Scholar]
- Chelcea, S. Chestionarul în cercetarea sociologică. In Tehnici de Cercetare Sociologica SNSPA; București, Facultatea de Comunicare si Relatii Publice: Bucharest, Romania, 2001; pp. 69–120. [Google Scholar]
- Parlamentul României. Legea Nr. 315/2004 Privind Dezvoltarea Regională în România. 2004. Available online: https://lege5.ro/Gratuit/gu3domrv/legea-nr-315-2004-privind-dezvoltarea-regionala-in-romania?pid=25135758#p-25135758 (accessed on 10 January 2023).
- Guvernul României. Ordonanța De Urgență Nr. 122 Din 29 Iulie 2020 Privind Unele Măsuri Pentru Asigurarea Eficientizării Procesului Decizional Al Fondurilor Externe Nerambursabile Destinate Dezvoltării Regionale În România 2020a. Available online: https://legislatie.just.ro/Public/DetaliiDocumentAfis/228570 (accessed on 10 January 2023).
- Guvernul României. Notă De fundamentare La Ordonanța De Urgență a Guvernului Nr. 88/2022 Pentru Modificarea Și Completarea Unor Acte Normative În Vederea Gestionării Fondurilor Europene Nerambursabile Destinate Dezvoltării Regionale. 2022. Available online: https://gov.ro/fisiere/subpagini_fisiere/NF_OUG_88-2022.pdf (accessed on 10 January 2023).
- ADR Centru Prezentare Regiunea Centru 2021. Available online: http://www.adrcentru.ro/prezentare-regiunea-centru/ (accessed on 12 February 2023).
- INSSE. Site-Urile Direcțiilor Regionale Și Județene De Statistică. 2020. Available online: https://insse.ro/cms/ro/content/site-urile-direc%C8%9Biilor-regionale-%C8%99i-jude%C8%9Bene-de-statistic%C4%83 (accessed on 10 January 2023).
- Chirescu, A.D.; Pătărlăgeanu, S.R. The Analysis of the SMEs Situation in Romania. Romanian Statistical Review 2022. Supplement 6. Available online: https://www.revistadestatistica.ro/supliment/wp-content/uploads/2022/07/rrss06_2022_06_en.pdf (accessed on 15 February 2023).
- Ziarul Financiar. Available online: https://www.zf.ro/companii/unde-s-multi-puterea-creste-imm-urile-reprezinta-99-7-din-companiile-din-economie-si-angajeaza-66-din-salariati-18662141 (accessed on 20 February 2023).
- Romanian Companies. Available online: https://www.listafirme.ro/ (accessed on 23 March 2023).
- Datculescu, P. Incursiuni în fundamentele și metodele de eșantionare. In Cercetarea De Marketing, Cum Pătrunzi în Mintea Consumatorului, Cum Măsori Și Cum Analizezi Informația; Editura Brandbilders Grup: Bucharest, Romania, 2006; pp. 580–598. [Google Scholar]
- Start-Up-Centru. Available online: http://start-up-centru.ro/dezvoltarea-socio-economica-la-nivelul-regiunii-de-dezvoltare-centru-in-contextual-sustinerii-si-dezvoltarii-antreprenoriatului-puncte-tari-si-puncte-slabe/ (accessed on 10 March 2023).
- André, O.; Dias, A.; Patuleia, M.; Pereira, L. Financial Objectives and Satisfaction with Life: A Mixed-Method Study in Surf Lifestyle Entrepreneurs. Soc. Sci. 2022, 11, 555. [Google Scholar] [CrossRef]
- Zahid, E.R.M.A.; Taran, A.; Khan, M.K.; Chersan, I.C. ESG, dividend payout policy and the moderating role of audit quality: Empirical evidence from Western Europe. Borsa Istanb. Rev. 2023, 23, 350–367. [Google Scholar] [CrossRef]
- Howitt, D.; Cramer, D. Introducere in SPSS Pentru Psihologie; Popescu, A.; Popa, C., Translators; Polirom: Iași, Romania, 2006. [Google Scholar]
- Malhotra, N. Marketing Research, An Applied Orientation, 4th ed.; Pearson Education LTD: Harlow, UK, 2004; Chapter 19; pp. 558–582. [Google Scholar]
- Constantin, C. Sisteme informatice de marketing. In Analiza Si Prelucrarea Datelor De Marketing; Aplicatii in SPSS, Ed.; Informaket: Brasov, Romania, 2006. [Google Scholar]
- Jaba, E.; Grama, A. Analiza Statistică Cu SPSS Sub Windows; Polirom: Iași, Romania, 2004. [Google Scholar]
- Hayes, A.F. Introduction to Mediation, Moderation, and Conditional Process Analysis: A Regression-Based Approach; Guilford Press: New York, NY, USA, 2022. [Google Scholar]
- Hayes, A.F. Partial, Conditional, and Moderated Moderated Mediation: Quantification, Inference, and Interpretation. Commun. Monogr. 2017, 85, 4–40. [Google Scholar] [CrossRef]
- Kuś, A.; Grego-Planer, D. A Model of Innovation Activity in Small Enterprises in the Context of Selected Financial Factors: The Example of the Renewable Energy Sector. Energies 2021, 14, 2926. [Google Scholar] [CrossRef]
- Ramos dos Santos, J.A.; Lunelli, M.; Brito Teles, N.E.; Mussi Szabo Cherobim, A.P. Sustainable Projects in Micro and Small Enterprises: Characteristics and Financing. Teor. E Prática Em Adm. 2021, 11, 103–114. [Google Scholar] [CrossRef]
- Abdulsaleh, A.M.; Worthington, A.C. Small and Medium-Sized Enterprises Financing: A Review of Literature. Int. J. Bus. Manag. 2013, 8, 36. [Google Scholar] [CrossRef]
- Badulescu, A. Start-Up Financing Sources: Does Gender Matter? Some Evidence for EU and Romania. Ann. Univ. Oradea: Econ. Sci. Rom. 2011, 1, 207–213. Available online: http://anale.steconomiceuoradea.ro/volume/2011/special/014.pdf (accessed on 4 April 2023).
- Schlüter, L.; Kørnøv, L.; Mortensen, L.; Løkke, S.; Storrs, K.; Lyhne, I.; Nors, B. Sustainable business model innovation: Design guidelines for integrating systems thinking principles in tools for early-stage sustainability assessment. J. Clean. Prod. 2023, 387, 135776. [Google Scholar] [CrossRef]
- Bashir, M.; Alfalih, A.; Pradhan, S. Managerial ties, business model innovation & SME performance: Moderating role of environmental turbulence. J. Innov. Knowl. 2023, 8, 100329. [Google Scholar] [CrossRef]
- Uritu, D.; Popa, A.E. Financing Sources for Romanian SMEs in the Context of Knowledge Based Economy. In Proceedings of the 9th International Management Conference Management and Innovation for Competitive Advantage, Bucharest, Romania, 5–6 November 2015; Available online: http://conferinta.management.ase.ro/archives/2015/pdf/64.pdf (accessed on 10 February 2023).
- Huang, H.; Chau, K.Y.; Iqbal, W.; Fatima, A. Assessing the role of financing in sustainable business environment. Environ. Sci. Pollut. Res. 2022, 29, 7889–7906. [Google Scholar] [CrossRef]
- Bijańska, J.; Wodarski, K.; Aleksander, A. Analysis of the Financing Options for Pro-Ecological Projects. Energies 2022, 15, 2143. [Google Scholar] [CrossRef]
- Golić, Z. Advantages of Crowdfunding as an Alternative Source of Financing of Small and Medium—Sized Enterprises. Proc. Fac. Econ. East Sarajevo 2014, 3, 39–48. [Google Scholar] [CrossRef]
- Pepur, S.; Kovač, D.; Ćurak, M. Factor Behind Trade Credit Financing of SMEs in Croatia. J. Polytech. Rij. 2020, 8, 59–76. [Google Scholar] [CrossRef]
- Ivanovic, S.; Baresa, S.; Sinisa, B. Factoring: Alternative Model of Financing. UTMS J. Econ. 2011, 2, 189–206. [Google Scholar]
- Klapper, L. The Role of Factoring for Financing Small and Medium Enterprises. Dev. Res. Group World Bank 2005, 202, 473–8738. [Google Scholar]
- Auboin, M.; Smythe, H.; Teh, R. Supply Chain Finance and SMEs: Evidence from International Factoring Data; CESifo Working Paper No. 6039; Center for Economic Studies and ifo Institute (CESifo): Munich, Germany, 2016. [Google Scholar]
- Niculescu, M. Diagnostic Global Strategic; Editura Economică: București, Romania, 2003; Volume 2, pp. 75–78. [Google Scholar]
- Business Angels Romania Finanțare. Available online: http://businessangelsromania.ro/finantarea-prin-business-angels/ (accessed on 30 May 2023).
- Dibrova, A. Business angel investments: Risks and opportunities. Procedia-Soc. Behav. Sci. 2015, 207, 280–289. [Google Scholar] [CrossRef]
- Dibrova, A. Business Angels—Possibility for European SMES. In Proceedings of the 2015 International Conference “Economic Science For Rural Development” No 37 Jelgava, LLU ESAF, Jelgava, Latvia, 23–24 April 2015; pp. 258–267. [Google Scholar]
- Guvernul României. Available online: https://lege5.ro/gratuit/gm4dcmbqgizq/microgranturi-acordate-din-fonduri-externe-nerambursabile-ordonanta-de-urgenta-130-2020?dp=gmzdcmrqgq2toni (accessed on 15 May 2023).
- Kim, H.S.; Cho, K.S. Financing Resources of SMEs and Firm Performance: Evidence from Korea. Asian J. Bus. Account. 2020, 13, 1–26. [Google Scholar] [CrossRef]
- Zubair, S.; Kabir, R.; Huang, X. Does the financial crisis change the effect of financing on investment? Evidence from private SMEs. J. Bus. Res. 2020, 110, 456–463. [Google Scholar] [CrossRef]
- Yang, Y.; Yuan, S.; Feng, L. Research on SPSS’ Application in Probability and Statistics Course with Principal Components Analysis. In Information Computing and Applications; Liu, C., Chang, J., Yang, A., Eds.; Springer: Berlin/Heidelberg, Germany, 2011. [Google Scholar] [CrossRef]
- Pokorná, P.; Šebestová, J. Profit reinvestment: Main motives supporting financial decisions. e-Finanse Financ. Internet Q. 2019, 15, 34–43. [Google Scholar] [CrossRef][Green Version]
- Stojanovic, S.; Guzovski, M. The Significance and Role of Leasing in Corporate Financing in Republic of Croatia. In Interdisciplinary Management Research; Bacher, U., Barkovic, D., Dernoscheg, K.H., Lamza Maronic, M., Matic, B., Runzheimer, B., Eds.; Josip Juraj Strossmayer University of Osijek: Osijek, Croatia, 2013; Volume 9, pp. 539–549. Available online: http://www.efos.unios.hr/repec/osi/journl/PDF/InterdisciplinaryManagementResearchIX/IMR9a45 (accessed on 20 May 2023).
- Herciu, M.; Ogrean, C. Business Sustainable Competitiveness a Synergistic, Long-Run Approach of a Company’s Resources and Results. Stud. Bus. Econ. 2018, 13, 26–44. [Google Scholar] [CrossRef]
- Diabate, A.; Allate, B.M.; Wei, D.; Yu, L. Do Firm and Entrepreneur Characteristics Play a Role in SMEs’ Sustainable Growth in a Middle-Income Economy like Côte d’Ivoire? Sustainability 2019, 11, 1557. [Google Scholar] [CrossRef]
- Staicu, D. Financial sustainability of social enterprise in Central and Eastern Europe. In Proceedings of the International Conference On Business Excellence, Bucharest, Romania, 22–23 March 2018; Volume 12, pp. 907–917. [Google Scholar] [CrossRef]
- Preacher, K.J.; Rucker, D.D.; Hayes, A.F. Assessing moderated mediation hypotheses: Theory, methods, and prescriptions. Multivar. Behav. Res. 2007, 42, 185–227. [Google Scholar] [CrossRef]
- Baker, H.K.; Kumar, S.; Rao, P. Financing preferences and practices of Indian SME. Glob. Financ. J. 2020, 43, 100388. [Google Scholar] [CrossRef]
Disclaimer/Publisher’s Note: The statements, opinions and data contained in all publications are solely those of the individual author(s) and contributor(s) and not of MDPI and/or the editor(s). MDPI and/or the editor(s) disclaim responsibility for any injury to people or property resulting from any ideas, methods, instructions or products referred to in the content. |
© 2024 by the authors. Licensee MDPI, Basel, Switzerland. This article is an open access article distributed under the terms and conditions of the Creative Commons Attribution (CC BY) license (https://creativecommons.org/licenses/by/4.0/).




