Disaggregated Impact of Non-Renewable Energy Consumption on the Environmental Sustainability of the United States: A Novel Dynamic ARDL Approach
Abstract
1. Introduction
2. Literature Review
3. Materials and Methods
3.1. Data and Variables
3.2. Model Specification
4. Results
4.1. Results of Linear ARDL Model
4.2. Cointegration Test Result
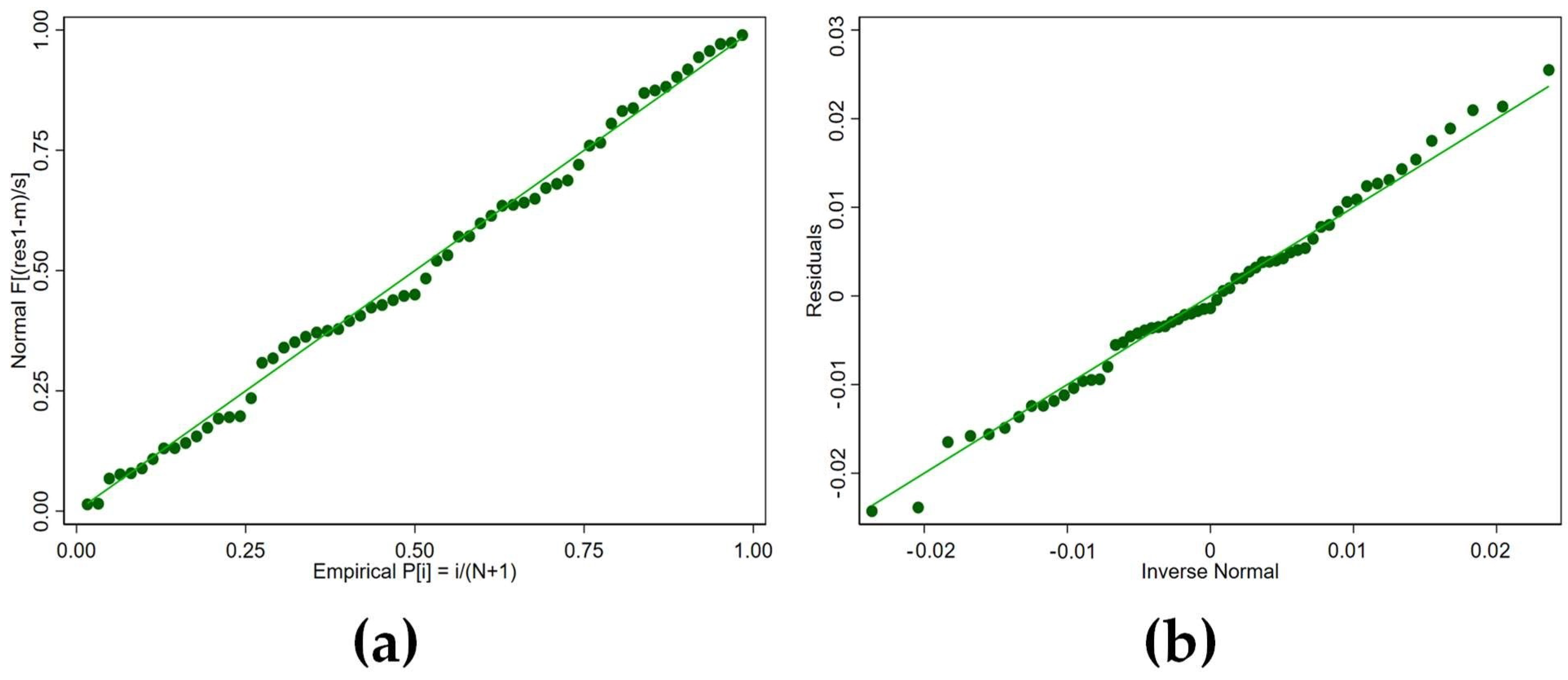
4.3. Residual Diagnostic Test Results
4.4. Dynamic Autoregressive Distributed Lag Results
4.5. Kernel-Based Regularized Least Squares-Based Causality Test Result
5. Discussion
6. Conclusions and Policy Recommendations
Author Contributions
Funding
Institutional Review Board Statement
Informed Consent Statement
Data Availability Statement
Conflicts of Interest
References
- Asif, M.; Muneer, T. Energy Supply, Its Demand and Security Issues for Developed and Emerging Economies. Renew. Sustain. Energy Rev. 2007, 11, 1388–1413. [Google Scholar] [CrossRef]
- He, J.; Zhuang, T.; Xie, X. Energy Consumption, Economic Development and Environmental Improvement in China. Energy Environ. 2014, 25, 1345–1357. [Google Scholar] [CrossRef]
- United Nations Framework Convention on Climate Change (UNFCC). The Paris Agreement. Available online: https://unfccc.int/process-and-meetings/the-paris-agreement (accessed on 8 August 2024).
- Panwar, N.L.; Kaushik, S.C.; Kothari, S. Role of Renewable Energy Sources in Environmental Protection: A Review. Renew. Sustain. Energy Rev. 2011, 15, 1513–1524. [Google Scholar] [CrossRef]
- Statista. Energy Consumption in the U.S. Available online: https://www.statista.com/topics/833/energy-consumption/#topicOverview (accessed on 17 August 2024).
- Statista. GHG Emissions in the U.S. Available online: https://www.statista.com/topics/3185/us-greenhouse-gas-emissions/#topicOverview (accessed on 17 August 2024).
- The White House. The Long-Term Strategy of the United States: Pathways to Net-Zero Greenhouse Gas Emissions by 2050. Available online: https://www.whitehouse.gov/wp-content/uploads/2021/10/us-long-term-strategy.pdf (accessed on 11 August 2024).
- U.S. Energy Information Administration. Primary Energy Consumption by Energy Source. Available online: https://www.eia.gov/energyexplained/us-energy-facts/ (accessed on 9 August 2024).
- U.S. Energy Information Administration. What Is Energy? Sources of Energy. Available online: https://www.eia.gov/energyexplained/what-is-energy/sources-of-energy.php (accessed on 9 August 2024).
- U.S. Energy Information Administration. U.S. Energy Facts Explained. 2023. Available online: https://www.eia.gov/energyexplained/us-energy-facts/ (accessed on 9 August 2024).
- Chien, F. How Renewable Energy and Non-renewable Energy Affect Environmental Excellence in N-11 Economies? Renew. Energy 2022, 196, 526–534. [Google Scholar] [CrossRef]
- Miller, B.G.M.S. Clean Coal Engineering Technology; Butterworth-Heinemann: Burlington, MA, USA, 2011. [Google Scholar] [CrossRef]
- MacKinnon, M.A.; Brouwer, J.; Samuelsen, S. The Role of Natural Gas and Its Infrastructure in Mitigating Greenhouse Gas Emissions, Improving Regional Air Quality, and Renewable Resource Integration. Prog. Energy Combust. Sci. 2018, 64, 62–92. [Google Scholar] [CrossRef]
- Alola, A.A.; Adebayo, T.S. Are Green Resource Productivity and Environmental Technologies the Face of Environmental Sustainability in the Nordic Region? Sustain. Dev. 2022, 31, 760–772. [Google Scholar] [CrossRef]
- Bekun, F.V.; Alola, A.A.; Sarkodie, S.A. Toward a Sustainable Environment: Nexus Between CO2 Emissions, Resource Rent, Renewable and Nonrenewable Energy in 16-EU Countries. Sci. Total Environ. 2019, 657, 1023–1029. [Google Scholar] [CrossRef]
- Etokakpan, M.U.; Akadiri, S.S.; Alola, A.A. Natural Gas Consumption-Economic Output and Environmental Sustainability Target in China: An N-Shaped Hypothesis Inference. Environ. Sci. Pollut. Res. 2021, 28, 37741–37753. [Google Scholar] [CrossRef]
- Wang, Q.; Sun, Z.; Guo, J.; Li, R. The More Effective Option to Combat Environmental Degradation: Energy Efficiency vs. Renewable Energy vs. Natural Gas? Energy 2023, 283, 128512. [Google Scholar] [CrossRef]
- Onifade, S.T. Environmental Impacts of Energy Indicators on Ecological Footprints of Oil-Exporting African Countries: Perspectives on Fossil Resources Abundance Amidst Sustainable Development Quests. Resour. Policy 2023, 82, 103481. [Google Scholar] [CrossRef]
- Çamkaya, S.; Karaaslan, A. Do Renewable Energy and Human Capital Facilitate the Improvement of Environmental Quality in the United States? A New Perspective on Environmental Issues with the Load Capacity Factor. Environ. Sci. Pollut. Res. 2024, 31, 17140–17155. [Google Scholar] [CrossRef] [PubMed]
- Siche, R.; Pereira, L.; Agostinho, F.; Ortega, E. Convergence of Ecological Footprint and Emergy Analysis as a Sustainability Indicator of Countries: Peru as Case Study. Commun. Nonlinear Sci. Numer. Simul. 2010, 15, 3182–3192. [Google Scholar] [CrossRef]
- Hossain, M.R.; Rana, M.J.; Saha, S.M.; Haseeb, M.; Islam, M.S.; Amin, M.R.; Hossain, M.E. Role of Energy Mix and Eco-Innovation in Achieving Environmental Sustainability in the USA Using the Dynamic ARDL Approach: Accounting the Supply Side of the Ecosystem. Renew. Energy 2023, 215, 118925. [Google Scholar] [CrossRef]
- Pata, U.K. Do Renewable Energy and Health Expenditures Improve Load Capacity Factor in the USA and Japan? A New Approach to Environmental Issues. Eur. J. Health Econ. 2021, 22, 1427–1439. [Google Scholar] [CrossRef]
- Global Footprint Network. Available online: https://data.footprintnetwork.org/#/countryTrends?type=BCtot,EFCtot&cn=231 (accessed on 9 August 2024).
- Chen, H.; Liu, K.; Shi, T.; Wang, L. Coal Consumption and Economic Growth: A Chinese City-Level Study. Energy Econ. 2022, 109, 105940. [Google Scholar] [CrossRef]
- Jin, T.; Kim, J. Coal Consumption and Economic Growth: Panel Cointegration and Causality Evidence from OECD and Non-OECD Countries. Sustainability 2018, 10, 660. [Google Scholar] [CrossRef]
- World Nuclear Association. Carbon Dioxide Emissions From Electricity. Available online: https://world-nuclear.org/information-library/energy-and-the-environment/carbon-dioxide-emissions-from-electricity#:~:text=Worldwide%20emissions%20of%20carbon%20dioxide,and%20about%2020%25%20from%20gas (accessed on 12 August 2024).
- Alhassan, A.; Ozturk, I.; Al-Zyoud, M.F.; Bekun, F.V. Coal Consumption-Environmental Sustainability Nexus in Developed and Developing Major Coal-Consuming Economies. Heliyon 2024, 10, e25619. [Google Scholar] [CrossRef]
- Adebayo, T.S. Trade-off between Environmental Sustainability and Economic Growth Through Coal Consumption and Natural Resources Exploitation in China: New Policy Insights From Wavelet Local Multiple Correlation. Geol. J. 2022, 58, 1384–1400. [Google Scholar] [CrossRef]
- Adebayo, T.S.; Ozturk, I.; Ağa, M.; Uhunamure, S.E.; Kirikkaleli, D.; Shale, K. Role of natural gas and nuclear energy consumption in fostering environmental sustainability in India. Sci. Rep. 2023, 13, 11030. [Google Scholar] [CrossRef]
- Alam, M.S.; Paramati, S.R. Do Oil Consumption and Economic Growth Intensify Environmental Degradation? Evidence from Developing Economies. Appl. Econ. 2015, 47, 5186–5203. [Google Scholar] [CrossRef]
- Saboori, B.; Rasoulinezhad, E.; Sung, J. The Nexus of Oil Consumption, CO2 Emissions and Economic Growth in China, Japan and South Korea. Environ. Sci. Pollut. Res. 2017, 24, 7436–7455. [Google Scholar] [CrossRef] [PubMed]
- Zakari, A.; Khan, I.; Tawiah, V.; Alvarado, R.; Li, G. The Production and Consumption of Oil in Africa: The Environmental Implications. Resour. Policy 2022, 78, 102795. [Google Scholar] [CrossRef]
- Ullah, S.; Lin, B. Green Energy Dynamics: Analyzing the Environmental Impacts of Renewable, Hydro, and Nuclear Energy Consumption in Pakistan. Renew. Energy 2024, 232, 121025. [Google Scholar] [CrossRef]
- Apergis, N.; Payne, J.E.; Menyah, K.; Wolde-Rufael, Y. On the Causal Dynamics between Emissions, Nuclear Energy, Renewable Energy, and Economic Growth. Ecol. Econ. 2010, 69, 2255–2260. [Google Scholar] [CrossRef]
- Baek, J.; Pride, D. On the income–nuclear energy–CO2 emissions nexus revisited. Energy Econ. 2014, 43, 6–10. [Google Scholar] [CrossRef]
- Nam, L.P.; Hang, N.T.B.; Song, N.V.; Eluriagac, L.M.T. Examining the Non-linear Impact of Fossil and Renewable Energy Consumption on Vietnam’s Ecological Footprint: Insights from the Asymmetric ARDL Approach. Discov. Energy 2024, 4, 10. [Google Scholar] [CrossRef]
- Saidi, K.; Omri, A. Reducing CO2 Emissions in OECD Countries: Do Renewable and Nuclear Energy Matter? Prog. Nucl. Energy 2020, 126, 103425. [Google Scholar] [CrossRef]
- Bandyopadhyay, A.; Rej, S.; Villanthenkodath, M.A.; Mahalik, M.K. The Role of Nuclear Energy Consumption in Abatement of Ecological Footprint: Novel Insights from Quantile-on-Quantile Regression. J. Clean. Prod. 2022, 358, 132052. [Google Scholar] [CrossRef]
- Pata, U.K.; Caglar, A.E. Investigating the EKC Hypothesis With Renewable Energy Consumption, Human Capital, Globalization and Trade Openness for China: Evidence from Augmented ARDL Approach with a Structural Break. Energy 2021, 216, 119220. [Google Scholar] [CrossRef]
- Dam, M.M.; Sarkodie, S.A. Renewable Energy Consumption, Real Income, Trade Openness, and Inverted Load Capacity Factor Nexus in Turkiye: Revisiting the EKC Hypothesis with Environmental Sustainability. Sustain. Horiz. 2023, 8, 100063. [Google Scholar] [CrossRef]
- Adedoyin, F.F.; Ozturk, I.; Bekun, F.V.; Agboola, P.O.; Agboola, M.O. Renewable and non-renewable energy policy simulations for abating emissions in a complex economy: Evidence from the novel dynamic ARDL. Renew. Energy 2021, 177, 1408–1420. [Google Scholar] [CrossRef]
- Jordan, S.; Philips, A.Q. Cointegration Testing and Dynamic Simulations of Autoregressive Distributed Lag Models. Stata J. 2018, 18, 902–923. [Google Scholar] [CrossRef]
- Dickey, D.A.; Fuller, W.A. Distribution of the Estimators for Autoregressive Time Series with a Unit Root. J. Am. Stat. Assoc. 1979, 74, 427–431. [Google Scholar] [CrossRef]
- Phillips, P.C.B.; Perron, P. Testing for a Unit Root in Time Series Regression. Biometrika 1988, 75, 335–346. [Google Scholar] [CrossRef]
- Zivot, E.; Andrews, D.W.K. Further Evidence on the Great Crash, the Oil-Price Shock, and the Unit-Root Hypothesis. J. Bus. Econ. Stat. 2002, 20, 25–44. [Google Scholar] [CrossRef]
- Kripfganz, S.; Schneider, D.C. Response Surface Regressions for Critical Value Bounds and Approximate p-Values in Equilibrium Correction Models. Oxf. Bull. Econ. Stat. 2020, 82, 1456–1481. [Google Scholar] [CrossRef]
- Pesaran, M.H.; Shin, Y.; Smith, R.J. Bounds Testing Approaches to the Analysis of Level Relationships. J. Appl. Econom. 2001, 16, 289–326. [Google Scholar] [CrossRef]
- Sarkodie, S.A.; Owusu, P.A. How to Apply the Novel Dynamic ARDL Simulations (DynARDL) and Kernel-Based Regularized Least Squares (KRLS). MethodsX 2020, 7, 101160. [Google Scholar] [CrossRef]
- Hainmueller, J.; Hazlett, C. Kernel Regularized Least Squares: Reducing Misspecification Bias with a Flexible and Interpretable Machine Learning Approach. Polit. Anal. 2014, 22, 143–168. [Google Scholar] [CrossRef]
- Kanat, O.; Yan, Z.; Asghar, M.M.; Ahmed, Z.; Mahmood, H.; Kirikkaleli, D.; Murshed, M. Do Natural Gas, Oil, and Coal Consumption Ameliorate Environmental Quality? Empirical Evidence from Russia. Environ. Sci. Pollut. Res. 2021, 29, 4540–4556. [Google Scholar] [CrossRef]
- Aruga, K.; Islam, M.M.; Jannat, A. Assessing the CO2 Emissions and Energy Source Consumption Nexus in Japan. Sustainability 2024, 16, 5742. [Google Scholar] [CrossRef]
- Bello, M.O.; Jimoh, S.O.; Ch’ng, K.S.; Oyerinola, D.S. Environmental Sustainability in ASEAN: What Roles Do Energy Consumption, Economic Growth, and Foreign Direct Investment Play? Environ. Dev. Sustain. 2024. [Google Scholar] [CrossRef]
- Apergis, N.; Degirmenci, T.; Aydin, M. Renewable and Non-renewable Energy Consumption, Energy Technology Investment, Green Technological Innovation, and Environmental Sustainability in the United States: Testing the EKC and LCC Hypotheses with Novel Fourier Estimation. Environ. Sci. Pollut. Res. 2023, 30, 125570–125584. [Google Scholar] [CrossRef]
- Kadioglu, I.; Gurbuz, I.B. Formulating Eco-Friendly Strategies: Transition to Green Economy. Sustainability 2024, 16, 4492. [Google Scholar] [CrossRef]
- Acheampong, A.O. Economic growth, CO2 emissions and energy consumption: What causes what and where? Energy Econ. 2018, 74, 677–692. [Google Scholar] [CrossRef]
- Lin, B.; Ullah, S. Modeling the Impacts of Changes in Nuclear Energy, Natural Gas, and Coal in the Environment through the Novel DARDL Approach. Energy 2024, 287, 129572. [Google Scholar] [CrossRef]
- Khan, I.; Tan, D.; Hassan, S.T.; Bilal, N. Role of Alternative and Nuclear Energy in Stimulating Environmental Sustainability: Impact of Government Expenditures. Environ. Sci. Pollut. Res. 2022, 29, 37894–37905. [Google Scholar] [CrossRef]
- Sovacool, B.K. Valuing the Greenhouse Gas Emissions from Nuclear Power: A Critical Survey. Energy Policy 2008, 36, 2950–2963. [Google Scholar] [CrossRef]
- Krall, L.M.; Macfarlane, A.M.; Ewing, R.C. Nuclear Waste from Small Modular Reactors. Proc. Natl. Acad. Sci. USA 2022, 119, 1. [Google Scholar] [CrossRef]
- Böse, F.; Wimmers, A.; Steigerwald, B.; Von Hirschhausen, C. Questioning Nuclear Scale-Up Propositions: Availability and Economic Prospects of Light Water, Small Modular and Advanced Reactor Technologies. Energy Res. Soc. Sci. 2024, 110, 103448. [Google Scholar] [CrossRef]
- Sarkodie, S.A.; Adams, S. Renewable energy, nuclear energy, and environmental pollution: Accounting for political institutional quality in South Africa. Sci. Total Environ. 2018, 643, 1590–1601. [Google Scholar] [CrossRef] [PubMed]
- Mahmood, H.; Alkhateeb, T.T.Y.; Furqan, M. Oil and Water Consumption Nexus in Saudi Arabia: New Evidence From a Wavelet Coherence Approach. Water 2020, 12, 2349. [Google Scholar] [CrossRef]
- The White House. Fact Sheet: Biden-Harris Administration Announces New Steps to Bolster Domestic Nuclear Industry and Advance America’s Clean Energy Future. Available online: https://www.whitehouse.gov/briefing-room/statements-releases/2024/05/29/fact-sheet-biden-harris-administration-announces-new-steps-to-bolster-domestic-nuclear-industry-and-advance-americas-clean-energy-future/ (accessed on 24 August 2024).
- Harvard Magazine. Preparing for the Energy Transition. Available online: https://www.harvardmagazine.com/2023/10/right-now-energy-job-transition (accessed on 26 August 2024).
- Pew Research Center. What Americans Think About an Energy Transition From Fossil Fuels to Renewables. Available online: https://www.pewresearch.org/science/2023/06/28/what-americans-think-about-an-energy-transition-from-fossil-fuels-to-renewables/ (accessed on 26 August 2024).
- Lennon, B.; Dunphy, N.P.; Sanvicente, E. Community Acceptability and the Energy Transition: A Citizens’ Perspective. Energy Sustain. Soc. 2019, 9, 35. [Google Scholar] [CrossRef]
- Carley, S.; Konisky, D.M. The Justice and Equity Implications of the Clean Energy Transition. Nat. Energy 2020, 5, 569–577. [Google Scholar] [CrossRef]
- Hao, Y.; Chen, P.; Li, X. Testing the Environmental Kuznets Curve Hypothesis: The Dynamic Impact of Nuclear Energy on Environmental Sustainability in the Context of Economic Globalization. Energy Strategy Rev. 2022, 44, 100970. [Google Scholar] [CrossRef]
- Gillingham, K.; Stock, J.H. The Cost of Reducing Greenhouse Gas Emissions. J. Econ. Perspect. 2018, 32, 53–72. [Google Scholar] [CrossRef]
- Burke, A.; Fishel, S. A Coal Elimination Treaty 2030: Fast Tracking Climate Change Mitigation, Global Health and Security. Earth Syst. Gov. 2020, 3, 100046. [Google Scholar] [CrossRef]
- Thombs, R.P. The Asymmetric Effects of Fossil Fuel Dependency on the Carbon Intensity of Well-Being: A U.S. State-Level Analysis, 1999–2017. Glob. Environ. Change 2022, 77, 102605. [Google Scholar] [CrossRef]
- Heffron, R.J.; McCauley, D. The Concept of Energy Justice across the Disciplines. Energy Policy 2017, 105, 658–667. [Google Scholar] [CrossRef]



| Statistic | LCF | COAL | NG | PETRO | NUCLEAR |
|---|---|---|---|---|---|
| Mean | 0.468 | 16.418 | 22.051 | 33.299 | 5.062 |
| Median | 0.461 | 16.49 | 22.017 | 34.37 | 6.416 |
| Maximum | 0.64 | 22.797 | 33.347 | 40.217 | 8.459 |
| Minimum | 0.379 | 9.181 | 12.926 | 20.169 | 0.02 |
| Std. Dev. | 0.065 | 4.245 | 4.512 | 4.797 | 3.24 |
| Skewness | 1.083 | −0.016 | 0.521 | −1.146 | −0.423 |
| Kurtosis | 3.959 | 1.643 | 3.216 | 3.838 | 1.568 |
| Jarque–Bera | 14.498 | 4.761 | 2.923 | 15.391 | 7.152 |
| Probability | 0.001 | 0.092 | 0.232 | 0 | 0.028 |
| Sum | 29.038 | 1017.89 | 1367.17 | 2064.55 | 313.823 |
| Sum Sq. Dev. | 0.258 | 1099 | 1241.93 | 1403.94 | 640.348 |
| Observations | 62 | 62 | 62 | 62 | 62 |
| Variable(s) | ADF | PP | ZA | |||||
|---|---|---|---|---|---|---|---|---|
| I(0) | I(1) | I(0) | I(1) | I(0) | Break Point | I(1) | Break Point | |
| LCF | −2.154 | −6.556 *** | −2.511 | −6.557 *** | −2.792 | 1968 | −7.13 *** | 1967 |
| COAL | −0.885 | −6.713 *** | −1.046 | −6.801 *** | −4.772 ** | 2006 | −5.412 *** | 1998 |
| NG | −0.021 | −6.163 *** | −0.275 | −6.219 *** | −2.708 | 2007 | −4.428 *** | 1976 |
| PETRO | −2.97 ** | −5.878 *** | −2.859 * | −5.880 *** | −3.203 | 1972 | −6.298 *** | 1981 |
| NUC | −1.701 | −5.577 *** | −1.478 | −5.615 *** | −3.857 | 2000 | −4.187 * | 1976 |
| Lag | LL | LR | Df | p-Value | FPE | AIC | HQIC | SBIC |
|---|---|---|---|---|---|---|---|---|
| 0 | −397.589 | NA | NA | NA | 0.463135 | 13.4196 | 13.4879 | 13.5942 |
| 1 | −23.2904 | 748.6 | 25 | 0.000 | 4.1 × 10−6 * | 1.77635 * | 2.18595 * | 2.82352 * |
| 2 | −0.17058 | 46.24 * | 25 | 0.006 | 4.4 × 10−6 | 1.83902 | 2.58996 | 3.75884 |
| Variable | Coefficient | Std. Err. |
|---|---|---|
| ECT | −0.559 *** | 0.094 |
| Long Run | ||
| COAL | −0.012 *** | 0.002 |
| NG | −0.007 *** | 0.002 |
| PETRO | −0.008 *** | 0.001 |
| NUC | 0.014 *** | 0.002 |
| Short Run | ||
| PETRO | −0.004 *** | 0.001 |
| NG | −0.019 ** | 0.008 |
| Constant | 0.584 | 0.095 |
| R-squared | 0.722 | |
| Observation | 61 |
| K | 10% | 5% | 1% | p-Value | |||||
|---|---|---|---|---|---|---|---|---|---|
| I(0) | I(1) | I(0) | I(1) | I(0) | I(1) | I(0) | I(1) | ||
| F | 9.159 | 2.562 | 3.711 | 3.057 | 4.323 | 4.185 | 5.692 | 0.000 | 0.000 |
| t | −5.935 | −2.552 | −3.658 | −2.88 | −4.029 | −3.531 | −4.753 | 0.000 | 0.000 |
| a. Breusch–Godfrey LM Test for Autocorrelation | ||||||
| lags(p) | F | df | Prob > F | |||
| 1 | 0.767 | 52 | 0.3852 | |||
| 2 | 1.474 | 51 | 0.2387 | |||
| 3 | 1.569 | 50 | 0.2085 | |||
| b. Cameron and Trivedi’s Decomposition of IM Test | ||||||
| Source | chi2 | df | P | |||
| Heteroskedasticity | 37.42 | 35 | 0.3584 | |||
| Skewness | 3.14 | 7 | 0.8715 | |||
| Kurtosis | 0.73 | 1 | 0.3938 | |||
| Total | 41.29 | 43 | 0.5455 | |||
| c. Skewness and Kurtosis Tests for Normality | ||||||
| Variable | Obs | Pr(skewness) | Pr(kurtosis) | Adj chi2(2) | Prob > chi2 | |
| res1 | 61 | 0.7311 | 0.7751 | 0.2 | 0.905 | |
| Variable(s) | Coefficient | Std. Err. |
|---|---|---|
| COAL | −0.007 *** | 0.0024 |
| COAL | −0.006 *** | 0.0013 |
| NG | −0.006 *** | 0.0021 |
| NG | −0.004 *** | 0.0011 |
| PETRO | −0.008 *** | 0.0016 |
| PETRO | −0.005 *** | 0.0014 |
| NUC | −0.011 | 0.0075 |
| NUC | 0.007 *** | 0.0018 |
| ECT(−1) | −0.521 *** | 0.1101 |
| Constant | 0.546 | 0.1122 |
| R-squared | 0.7275 |
| Variable | Avg. | SE | t | P > |t| | P25 | P50 | P75 |
|---|---|---|---|---|---|---|---|
| COAL | −0.004 | 0.001 | −3.992 | 0.000 | −0.008 | −0.004 | −0.001 |
| NATURAL GAS | −0.001 | 0.001 | −1.334 | 0.187 | −0.002 | 0.000 | 0.001 |
| PETROLEUM | −0.008 | 0.001 | −13.071 | 0.000 | −0.012 | −0.009 | −0.006 |
| NUCLEAR | 0.004 | 0.001 | 2.588 | 0.012 | 0.002 | 0.004 | 0.005 |
| Lamda | 0.086 | Sigma | 4 | R-square | 0.977 | Tolerance | 0.062 |
| Eff. df. | 4 | Looloss | 0.17 |
Disclaimer/Publisher’s Note: The statements, opinions and data contained in all publications are solely those of the individual author(s) and contributor(s) and not of MDPI and/or the editor(s). MDPI and/or the editor(s) disclaim responsibility for any injury to people or property resulting from any ideas, methods, instructions or products referred to in the content. |
© 2024 by the authors. Licensee MDPI, Basel, Switzerland. This article is an open access article distributed under the terms and conditions of the Creative Commons Attribution (CC BY) license (https://creativecommons.org/licenses/by/4.0/).
Share and Cite
Ghose, T.K.; Islam, M.R.; Aruga, K.; Jannat, A.; Islam, M.M. Disaggregated Impact of Non-Renewable Energy Consumption on the Environmental Sustainability of the United States: A Novel Dynamic ARDL Approach. Sustainability 2024, 16, 8434. https://doi.org/10.3390/su16198434
Ghose TK, Islam MR, Aruga K, Jannat A, Islam MM. Disaggregated Impact of Non-Renewable Energy Consumption on the Environmental Sustainability of the United States: A Novel Dynamic ARDL Approach. Sustainability. 2024; 16(19):8434. https://doi.org/10.3390/su16198434
Chicago/Turabian StyleGhose, Tanmoy Kumar, Md Rezanual Islam, Kentaka Aruga, Arifa Jannat, and Md. Monirul Islam. 2024. "Disaggregated Impact of Non-Renewable Energy Consumption on the Environmental Sustainability of the United States: A Novel Dynamic ARDL Approach" Sustainability 16, no. 19: 8434. https://doi.org/10.3390/su16198434
APA StyleGhose, T. K., Islam, M. R., Aruga, K., Jannat, A., & Islam, M. M. (2024). Disaggregated Impact of Non-Renewable Energy Consumption on the Environmental Sustainability of the United States: A Novel Dynamic ARDL Approach. Sustainability, 16(19), 8434. https://doi.org/10.3390/su16198434

