Spatiotemporal Variations in MODIS EVI and MODIS LAI and the Responses to Meteorological Drought across Different Slope Conditions in Karst Mountain Regions
Abstract
1. Introduction
2. Materials and Methods
2.1. Study Area
2.2. Data Sources and Processing
2.3. Methods
2.3.1. SPEI
2.3.2. Pixel-Based EVI and LAI Trend Analysis
2.3.3. Pixel-Based Hurst Index Analysis
2.3.4. Correlation Analysis Based on Pixel
2.3.5. Spatial Statistical Analysis
3. Results
3.1. Analysis of Spatiotemporal Variations in Vegetation during the Growing Season
3.1.1. Temporal Variation Characteristics of EVI and LAI
3.1.2. Spatial Variation Characteristics of EVI and LAI
3.2. Analysis of the Trend of Vegetation Types under Different Slopes
3.2.1. Analysis of EVI and LAI Variations in Different Vegetation Types
3.2.2. Analysis of Future Trends in Different Vegetation Types
3.3. Analysis of Spatial and Temporal Variations in Meteorological Drought at Different Time Scales
3.4. Response Analysis of Vegetation to Different Time Scales of SPEI under Different Slopes
4. Discussion
5. Conclusions
- (1)
- From 2001 to 2020, both the EVI and LAI of vegetation during the growing season in Guizhou Province showed significant upward trends, with linear growth rates of 0.3% per year (p < 0.01) and 1.5% per year (p < 0.05), respectively. This indicates an overall improvement in vegetation growth across the study area, with the primary regions of improvement located in western Guizhou and the main areas of degradation concentrated in the central and eastern parts of the province.
- (2)
- Hurst index analysis reveals that the areas of sustained improvement in EVI and LAI account for 15.27% and 11.94% of the total area, respectively, while areas of sustained degradation account for only 2.43% and 3.20%. This suggests that the future trend in vegetation cover across Guizhou Province is likely to continue improving.
- (3)
- Under different slope categories, EVI for various vegetation types primarily exhibits slight improvement, while LAI shows significant improvement. As slope increases, the proportion of vegetation improvement area decreases, with the largest improvement observed in regions with slopes less than 5°.
- (4)
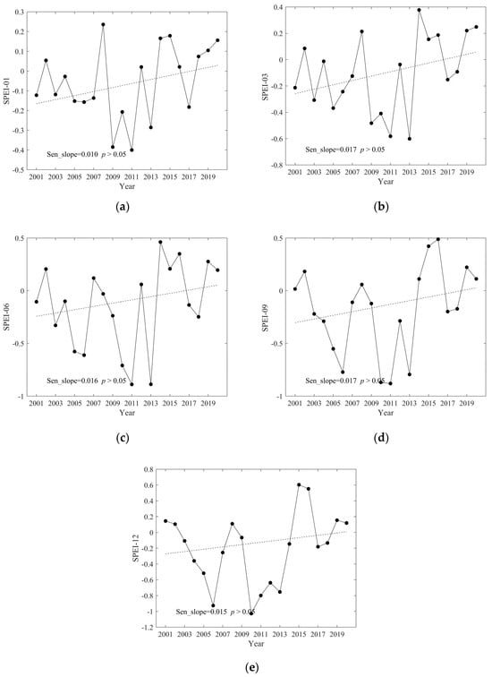
- The mean values of SPEI across different time scales show a gradual increasing trend, indicating a significant shift towards more humid conditions in Guizhou Province. The humidification trend is most pronounced in the southern and central–eastern regions, while areas of increasing aridity are mainly located in the northern and southwestern parts of the province. Across different slope categories, the positive correlations between vegetation indices (EVI and LAI) and SPEI are stronger than the negative correlations, and these correlations weaken as slope increases. This suggests that slope exerts a threshold effect on the relationship between vegetation and drought response. When slopes exceed 35°, the response of vegetation to drought becomes almost independent of slope.
Author Contributions
Funding
Institutional Review Board Statement
Informed Consent Statement
Data Availability Statement
Conflicts of Interest
References
- Wilhite, D.A. Drought as a natural hazard: Concepts and definitions. In Drought: A Global Assessment; Wilhite, D.A., Ed.; Routledge: London, UK, 2000; Volume 1, pp. 3–18. [Google Scholar]
- IPCC. Climate Change 2021: The Physical Science Basis [M/OL]. 2021. Available online: https://archive.ipcc.ch/ (accessed on 3 September 2024).
- Zhou, B.T.; Qian, J. Changes of weather and climate extremes in the IPCC AR6. Clim. Change Res. 2021, 17, 713–718. [Google Scholar]
- Wang, J.; Wang, K.L.; Zhang, M.Y.; Zhang, C.H. Impacts of climate change and human activities on vegetation cover in hilly southern China. Ecol. Eng. 2015, 81, 451–461. [Google Scholar] [CrossRef]
- Liu, J.; Wen, Z.M.; Gang, C.C. Normalized difference vegetation index of different vegetation cover types and its responses to climate change in the Loess Plateau. Acta Ecol. Sin. 2020, 40, 678–691. [Google Scholar]
- Zhang, Q.Y.; Wu, S.H.; Zhao, D.S. Responses of growing season vegetation changes to climatic factors in Inner Mongolia grassland. J. Nat. Resour. 2013, 28, 754–764. [Google Scholar]
- Guo, J.; Li, M.C.; Liu, D.Y. Temporal variation of vegetation NDVI and its relations to climate factors in Tianjin area. Chin. J. Ecol. 2009, 28, 1055–1059. [Google Scholar]
- Knapp, A.K.; Smith, M.D. Variation among biomes in temporal dynamics of aboveground primary production. Science 2001, 291, 481–484. [Google Scholar] [CrossRef]
- Yan, X.Y.; Zhang, Q.; Yan, X.M.; Wang, S.; Ren, X.Y.; Zhao, F. An overview of distribution characteristics and formation mechanisms in Global Arid Areas. Adv. Earth Sci. 2019, 34, 826–841. [Google Scholar]
- Yi, L.; Ren, Z.; Zhang, C.; Liu, W. Vegetation cover, climate and human activities on the Loess Plateau. Resour. Sci. 2014, 36, 166–174. [Google Scholar]
- Jiang, T.L.; Su, X.L.; Guo, S.M.; Wu, H.J. Spatiotemporal variation of vegetation water consumption and its response to meteorological drought in Northwest China. J. Hydraul. Eng. 2021, 52, 229–240. [Google Scholar] [CrossRef]
- Ding, Y.B.; Xu, J.T.; Wang, X.W.; Peng, X.B.; Cai, H.J. Spatial and temporal effects of drought on Chinese vegetation under different coverage levels. Sci. Total Environ. 2020, 716, 137166. [Google Scholar] [CrossRef]
- Ding, Y.B.; Lu, Z.H.; Wu, L.L.; Zhou, L.; Ao, T.Q.; Xu, J.T.; Wei, R.J. Evaluating the spatiotemporal dynamics of driving factors for multiple drought types in different climate regions of China. J. Hydrol. 2024, 640, 13710. [Google Scholar] [CrossRef]
- Dai, A. Drought under global warming: A review. Wiley Interdiscip. Rev. Clim. Chang. 2011, 2, 45–65. [Google Scholar] [CrossRef]
- Vicente-Serrano, S.M.; Beguería, S.; López-Moreno, J.I. Response of vegetation to drought time-scales across global land biomes. Proc. Natl. Acad. Sci. USA 2013, 110, 52–57. [Google Scholar] [CrossRef]
- Chen, Y.; Long, B.; Pan, X.; Zhong, S.; Mo, W. Differences between MODIS NDVI and AVHRR NDVI in monitoring grasslands change. J. Remote Sens. 2011, 15, 831–845. [Google Scholar]
- Nan, Y.; Liu, Z.F.; Dong, Y.H.; Li, X.X.; Ji, Z. The responses of vegetation cover to climate change in the Changbai Mountain area from 2000 to 2008. Sci. Geogr. Sin. 2010, 30, 921–928. [Google Scholar]
- Zhang, S.W.; Zhang, R.; Liu, T.X.; Xu, R.; Zhang, P. Dynamics of fractional vegetation cover and its influence factors in Xilingol Steppe. Trans. Chin. Soc. Agric. Mach. 2017, 48, 253–260. [Google Scholar]
- Wu, H.B.; Wu, M.T.; Yang, S.Q.; Fan, W.; Ren, H.Z. A method for determining suitable scales for vegetation remote sensing based on the spatial distribution of leaves. Remote Sens. Nat. Resour. 2022, 34, 72–79. [Google Scholar]
- Li, H.J.; Zheng, L.; Lei, Y.P.; Li, C.Q.; Zhou, K. Comparison of NDVI and EVI based on EOS/MODIS data. Prog. Geogr. 2007, 26, 26–32. [Google Scholar]
- Ye, Q.; Zhao, P.; Sun, J. Comparative analysis of vegetation coverage along the Yangtze River in Anhui Province based on MODIS/NDVI and EVI. Resour. Environ. Yangtze Basin 2012, 21, 361–368. [Google Scholar]
- Huete, A.; Didan, K.; Miura, T.; Rodriguez, E.P.; Gao, X.; Ferreira, L.G. Overview of the radiometric and biophysical performance of the MODIS vegetation indices. Remote Sens. Environ. 2002, 83, 195–213. [Google Scholar] [CrossRef]
- Bai, Y.; Gao, J.; Zhang, B. Monitoring of crops growth based on NDVI and EVI. Trans. Chin. Soc. Agric. Mach. 2019, 50, 153–161. [Google Scholar]
- Han, S.; Ma, Z.; Zhuang, W.; Lu, H.; Liu, T.; Shen, J. Spatial-temporal change of leaf area index (LAI) in the source region of the Yellow River during 2000–2018. J. Irrig. Drain. 2019, 38, 57–62. [Google Scholar]
- Yuan, M.; Zhao, L.; Li, X.; Lin, A. Diverse responses of end of growing season to extreme climate events in different grasslands in temperate China during 1982–2015. Acta Ecol. Sin. 2023, 43, 6015–6032. [Google Scholar]
- Cao, Y.; Si, W.; Du, Z.; Liang, H.; Lei, T.; Sun, B.; Wu, Z. Changes in GPP of China during the typical drought years from 1982 to 2017. Arid Land Geogr. 2023, 46, 1577–1590. [Google Scholar]
- Vicente-Serrano, S.M.; Beguería, S.; López-Moreno, J.I. A Multiscalar Drought Index Sensitive to Global Warming: The Standardized Precipitation Evapotranspiration Index. J. Clim. 2010, 23, 1696–1718. [Google Scholar] [CrossRef]
- Chen, F.; Yang, S.B.; Wang, C.L.; Wang, R.Y.; Wang, H.L.; Qi, Y. Spatial and Temporal Distribution of Spring Drought in Northwest China Based on Standardized Precipitation Evapotranspiration Index. J. Arid. 2016, 34, 34–42. [Google Scholar]
- Feng, X.; Zeng, Z. Natural Driving Forces of Vegetation Cover Characteristics and Change Trends in the Guangdong-Hong Kong-Macao Greater Bay Area. Ecol. Environ. Sci. 2022, 31, 1713–1724. [Google Scholar]
- Wang, J.; Zhao, J.; Li, C.; Zhu, Y.; Kang, C.; Gao, C. The spatial-temporal patterns of the impact of human activities on vegetation coverage in China from 2001 to 2015. Acta Geogr. Sin. 2019, 74, 504–519. [Google Scholar]
- Fang, C.; Zhu, R.; Lu, R.; Cheng, Z.; Wang, L.; Shang, J.; Yin, Z. Analysis of vegetation cover change characteristics and influencing factors in the Shiyang River basin based on GEE. Remote Sens. Technol. Appl. 2023, 38, 1167–1179. [Google Scholar]
- Zhang, S.; Zhou, Z.; Sun, X.; Feng, Q.; Cheng, Q. Based on the Slope Grade of Rocky Desertification and Water and Soil Loss Correlation Study in Karst Mountain Area: A Case in Panxian County, Guizhou. J. Soil Water Conserv. 2017, 31, 79–86. [Google Scholar]
- Zhang, B.; Cai, H.; Tian, P.; Huang, L.; Liao, Y.; Liao, S.; Li, Y. Spatiotemporal Variation of the Vegetation Coverage in Guizhou from 2000 to 2017 and Its Response to the Climate Change. Earth Environ. 2020, 48, 461–470. [Google Scholar]
- Dai, R.; Zhong, J.; He, Z.; He, X.; Lin, S. Synergistic Effects of Climate Factors on Vegetation Coverage in Guizhou Province. Acta Ecol. Sin. 2022, 29, 262–268. [Google Scholar]
- Liu, Y.; Zhou, Z.; Yan, L. Spatiotemporal Variation in NDVI and Its Response to Climate Change and Human Activities in Guizhou Province During 2001–2018. Bull. Soil Water Conserv. 2021, 41, 327–336. [Google Scholar]
- Li, X.; Yang, S.; Luo, Y.; Li, C.; Zhou, B.; Lou, H.; Zhang, J.; Zhang, J. Coordinated development of economic growth and vegetation restoration in the national ecological civilization pilot zone (Guizhou). China Environ. Sci. 2022, 42, 4333–4342. [Google Scholar]
- Xiong, K.; Chen, Q. Discussion on karst rocky desert evolution trend based on ecologically comprehensive treatment. Carsologica Sin. 2010, 29, 267–273. [Google Scholar]
- Yang, S.; An, Y. Spatial and Temporal Variations of Vegetation Coverage in Karst Areas under the Background of Ecological Recovery: A Case Study in the Central Area of Guizhou Province. Earth Environ. 2014, 42, 404–412. [Google Scholar]
- Zhang, J.; Zhou, X.; Jiang, X.; Yang, J.; Niu, Q. Analysis of Vegetation Variation and Its Influencing Factors in Guizhou Plateau Under the Background of Ecological Engineering Construction. Resour. Environ. Yangtze Basin 2019, 28, 1623–1633. [Google Scholar]
- Zhang, M.; Gu, X.; Liao, L.; Tian, P. Effects of Climate Change and Human Activities on Vegetation Cover Change in Rocky Desertification Area of Guizhou Province. Earth Environ. 2023, 51, 76–86. [Google Scholar]
- Liu, Y.; Guo, K.; Wang, S.; Liu, Y. Vegetation dynamics, climate, and topography in the karst region of southwest China. Plant Ecol. 2010, 209, 3–19. [Google Scholar]
- Wang, Y.; Guo, Y. Analysis of Spatial Correlation Between Vegetation Coverage and Terrain Factors in Karst Landform—Taking Puding Area in Guizhou for Example. Resour. Environ. Yangtze Basin 2018, 27, 157–167. [Google Scholar]
- Wei, X.C.; Zhou, Q.W.; Zhang, J.; Tang, X.; Peng, Z.; Lin, L.; Yang, J.Z. Spatial-Temporal Changes of NDVI and Its Influence Factors in Guangxi, China During 1982-2016. Mt. Res. 2020, 38, 520–531. [Google Scholar] [CrossRef]
- Pabst, H.; Kühnel, A.; Kuzyakov, Y. Effect of land-use and elevation on microbial biomass and water extractable carbon in soils of Mt Kilimanjaro ecosystems. Appl. Soil Ecol. 2013, 67, 10–19. [Google Scholar] [CrossRef]
- Wang, G.; Wenkai, L.; Zhang, J. The influence of topography on vegetation dynamics in a hilly region: A case study in the Chinese Loess Plateau. Ecol. Res. 2007, 22, 634–642. [Google Scholar]
- Yao, Y.; Suonan, D.; Zhang, J.; Hu, Y.F.; Kou, Z.X. Spatiotemporal characteristics of karst rocky desertification and the impact of human activities from 2010 to 2015 in Guanling County, Guizhou Province. Prog. Geogr. 2019, 38, 1759–1769. [Google Scholar] [CrossRef]
- Qian, L.; He, Z.; Liang, H.; Yang, Z.H.; Zeng, X.B. Spatial-temporal evolution characteristics of agricultural drought based on precipitation Z index in Guizhou. J. Guizhou Norm. Univ. 2019, 37, 10–14. [Google Scholar]
- Liu, Z.; Li, Q.; Zhang, M.; Zhao, X.; Liang, S. Effects of drought on vegetation growth in the karst region of Guizhou Province, Southwest China. J. Geogr. Sci. 2016, 26, 157–172. [Google Scholar]
- Yuan, D.; Zhang, C. Karst Ecosystems in Southwest China: Fragility and Responses to Human Disturbance. Environ. Geol. 2002, 42, 1–10. [Google Scholar]
- Jiang, Z.; Lian, Y.; Qin, X. Rocky desertification in Southwest China: Impacts, causes, and restoration. Earth-Sci. Rev. 2014, 132, 1–12. [Google Scholar] [CrossRef]
- Zhang, C.; Shao, M.; Jia, X.; Wei, X. Relationships between vegetation and climate on the Loess Plateau in China. Adv. Atmos. Sci. 2016, 33, 315–328. [Google Scholar] [CrossRef]
- Cai, Y.; Tan, W. Spatiotemporal Evolution of Vegetation Cover NDVI and Its Response to SPEI in Guizhou Province in 2001-2015. Agric. Eng. 2019, 9, 30–39. [Google Scholar]













| Vegetation Type | Vegetation Index | Slope Gradient Classification | |||||
|---|---|---|---|---|---|---|---|
| 1 (<5°) | 2 (5–8°) | 3 (8–15°) | 4 (15–25°) | 5 (25–35°) | 6 (>30°) | ||
| grass | EVI LAI | Slight improvement (5.48%) Significant improvement (5.28%) | Slight improvement (3.41%) Significant improvement (3.53%) | Slight improvement (4.05%) Significant improvement (4.39%) | Slight improvement (1.12%) Significant improvement (1.28%) | Slight improvement (0.10%) Significant improvement (0.11%) | — — |
| evergreen broad-leaf forest | EVI LAI | Slight improvement (4.18%) Significant improvement (4.22%) | Slight improvement (2.73%) Significant improvement (2.85%) | Slight improvement (3.29%) Significant improvement (3.56%) | Slight improvement (1.14%) Significant improvement (1.22%) | Slight improvement (0.12%) Significant improvement (0.12%) | Slight improvement (0.01%) Significant improvement (0.01%) |
| evergreen needle-leaved forest | EVI LAI | Slight improvement (6.58%) Significant improvement (5.92%) | Slight improvement (4.06%) Significant improvement (3.81%) | Slight improvement (4.46%) Significant improvement (4.37%) | Slight improvement (0.95%) Significant improvement (0.95%) | Slight improvement (0.03%) Significant improvement (0.03%) | — — |
| broad-leaved deciduous forest | EVI LAI | Slight improvement (3.48%) Significant improvement (3.31%) | Slight improvement (2.43%) Significant improvement (2.43%) | Slight improvement (3.20%) Significant improvement (3.26%) | Slight improvement (1.02%) Significant improvement (1.08%) | Slight improvement (0.09%) Significant improvement (0.10%) | — — |
| arid lands | EVI LAI | Slight improvement (7.49%) Significant improvement (6.97%) | Slight improvement (3.41%) Significant improvement (3.61%) | Slight improvement (3.64%) Significant improvement (4.05%) | Slight improvement (0.80%) Significant improvement (0.93%) | Slight improvement (0.04%) Significant improvement (0.05%) | — — |
| paddy-field | EVI LAI | Slight improvement (2.43%) Significant improvement (1.99%) | Slight improvement (0.80%) Significant improvement (0.76%) | Slight improvement (0.59%) Significant improvement (0.61%) | Slight improvement (0.10%) Significant improvement (0.10%) | Slight improvement (0.01%) Significant improvement (0.01%) | — — |
Disclaimer/Publisher’s Note: The statements, opinions and data contained in all publications are solely those of the individual author(s) and contributor(s) and not of MDPI and/or the editor(s). MDPI and/or the editor(s) disclaim responsibility for any injury to people or property resulting from any ideas, methods, instructions or products referred to in the content. |
© 2024 by the authors. Licensee MDPI, Basel, Switzerland. This article is an open access article distributed under the terms and conditions of the Creative Commons Attribution (CC BY) license (https://creativecommons.org/licenses/by/4.0/).
Share and Cite
Yang, M.; He, Z.; Pi, G.; You, M. Spatiotemporal Variations in MODIS EVI and MODIS LAI and the Responses to Meteorological Drought across Different Slope Conditions in Karst Mountain Regions. Sustainability 2024, 16, 7870. https://doi.org/10.3390/su16177870
Yang M, He Z, Pi G, You M. Spatiotemporal Variations in MODIS EVI and MODIS LAI and the Responses to Meteorological Drought across Different Slope Conditions in Karst Mountain Regions. Sustainability. 2024; 16(17):7870. https://doi.org/10.3390/su16177870
Chicago/Turabian StyleYang, Mei, Zhonghua He, Guining Pi, and Man You. 2024. "Spatiotemporal Variations in MODIS EVI and MODIS LAI and the Responses to Meteorological Drought across Different Slope Conditions in Karst Mountain Regions" Sustainability 16, no. 17: 7870. https://doi.org/10.3390/su16177870
APA StyleYang, M., He, Z., Pi, G., & You, M. (2024). Spatiotemporal Variations in MODIS EVI and MODIS LAI and the Responses to Meteorological Drought across Different Slope Conditions in Karst Mountain Regions. Sustainability, 16(17), 7870. https://doi.org/10.3390/su16177870
