Next Article in Journal
Sustainable Paddy Farming in Edirne: Evaluating the Impacts of Excessive Fertilizer and Pesticide Use
Previous Article in Journal
Impact of Spatial Layout Design on Energy Consumption of Ice Rinks in Cold Regions
 
 
Retraction published on 7 July 2025, see Sustainability 2025, 17(13), 6209.
Font Type:
Arial Georgia Verdana
Font Size:
Aa Aa Aa
Line Spacing:
Column Width:
Background:
Article

RETRACTED: Research on Sustainable Form Design of NEV Vehicle Based on Particle Swarm Algorithm Optimized Support Vector Regression

1
School of Design and Art, Shaanxi University of Science and Technology, Xi’an 710016, China
2
School of Packaging Design and Art, Hunan University of Technology, Zhuzhou 412007, China
3
School of Architecture and Design, Nanchang University, Nanchang 330031, China
*
Author to whom correspondence should be addressed.
Sustainability 2024, 16(17), 7812; https://doi.org/10.3390/su16177812
Submission received: 19 July 2024 / Revised: 2 September 2024 / Accepted: 4 September 2024 / Published: 7 September 2024 / Retracted: 7 July 2025

Abstract

With the growing emphasis on eco-friendly and sustainable development concepts, new energy vehicles (NEVs) have emerged as a popular alternative to traditional fuel vehicles (FVs). Due to the absence of an internal combustion engine, electric vehicles (EVs) do not require a front air intake grille, allowing for a more minimalist and flexible design. Consequently, aligning EV styling with users’ visual cognition and emotional perception is a critical objective for automakers and designers. In this study, we establish the mapping relationship between users’ emotional cognition and NEV styling design based on experimental data. We introduce Particle Swarm Optimization Support Vector Regression (PSO-SVR) into the perceptual engineering (KE) research process to predict user emotions using Support Vector Regression (SVR). To optimize the three hyperparameters (penalty coefficient C, RBF kernel function parameter γ, and insensitivity loss coefficient ε) of the SVR model, we utilize the Particle Swarm Optimization (PSO) algorithm. The results indicate that the proposed PSO-SVR model outperforms traditional SVR and BPNN models in predicting NEV user emotions. This model effectively captures the nonlinear relationship between battery electric vehicle (BEV) morphological features and users’ emotional cognition, providing a novel method for enhancing NEV design. The results of this research are expected to drive design innovation and technological advancement in the new energy vehicle industry, contributing to the achievement of the ambitious goal of global eco-friendliness and sustainable development.

1. Introduction

Conventional fuel vehicles (FVs) use internal combustion engines to burn fossil fuels (e.g., gasoline and diesel), generating tailpipe emissions that include carbon dioxide (CO2), nitrogen oxides (NOx), and particulate matter. These emissions negatively impact both air quality and the climate. As a result, many countries, such as Japan and the United Kingdom, have announced plans to ban the sale of internal combustion engine vehicles within the next 20 years. These nations have introduced policies to support the development of new energy vehicles (NEVs) aimed at reducing air pollution and greenhouse gas emissions to combat climate change and improve air quality. Although hybrid vehicles use relatively less fuel, they still produce tailpipe emissions, which have a certain degree of environmental impact. In contrast, battery electric vehicles (BEVs) do not use an internal combustion engine, thereby significantly reducing air pollution and greenhouse gas emissions and helping to slow global climate change. Additionally, BEVs are typically more efficient than conventional fuel vehicles and hybrids, converting electricity into power more effectively and reducing energy waste. The proliferation of electric vehicles has fostered continued improvements in battery technology, electric drive technology, and charging infrastructure. These advancements have, in turn, driven the development of a broader range of clean energy and energy storage technologies.
New energy power is not only a technological change but also redefines the possibilities and boundaries of automotive styling. With the continuous development of new energy vehicles (NEVs), more scholars have begun to pay attention to the morphological design of NEVs. Among the existing studies, Chen et al. [1] utilized digital twin technology to study the overall development of patent applications, NEV design, and sales, focusing on the key technical problems encountered in the development of NEVs. Yuan et al. [2] pointed out that electric vehicles have become the top priority for the future development of China’s automobile industry. Policy guidance and planning play a crucial role in the development of the new energy vehicle industry. However, they also noted that electric vehicle technology, the industrial chain, and social factors face significant challenges. Tan et al. [3] analyzed new energy vehicles, summarized the current development status of China’s new energy vehicles in different contexts, and proposed a research path to overcome the development bottleneck. Most existing studies focus primarily on the technical development, industrial layout, and social acceptance of NEVs. However, designing an NEV appearance that resonates with users’ emotions is equally crucial. Cars are often regarded as products that reflect users’ personalities and values; therefore, they need to establish an emotional connection with users and fulfill their emotional needs. An attractive vehicle not only provides user pleasure and a quality driving experience but also strengthens the emotional connection between the user and the vehicle, which, in turn, promotes the marketing and user acceptance of NEVs [4].
In the study of user perception, perceptual engineering (KE) is a translation technique that translates user emotions and imagery into design specifications [5,6]. In the past, the first perceptual productions started in the automotive industry with great success. Since then, KE has been widely used in product design and development, such as furniture design [7], service design [8], and mechatronics, etc. [9]. KE can effectively help organizations identify user needs. By deeply studying the relationship between user needs and image features [10], enterprises can be more accurately informed of user preferences [11] and thus design a combination of product features that is closer to the user’s psychology [12,13]. Therefore, the main implementation steps of KE are (1) determining product design feature priorities and (2) establishing a mapping model between user perceptual evaluation and design features. On the one hand, prioritizing product design features can effectively improve the efficiency of product design and development. Jin et al. [14] used Kansei engineering combined with Kano models for online review sentiment mining to optimize customer satisfaction and provide personalized optimization directions for product design. Finally, the effectiveness of innovative product design is evaluated through actual data experiments by Wang et al. [15]. To fully understand the consumers’ emotional preferences and reactions to the product form, they calculated the index weights based on the entropy weighting method and used the fuzzy TOPSIS method to explore the prioritization of the product design solutions for users’ needs. In ZUO et al. [16], the combined application of perceptual engineering and hierarchical analysis is used to establish a subjective product evaluation system to improve the scientificity of product design decisions and user satisfaction. In comparison, the entropy weight method determines the weight of each attribute by calculating its information entropy, thus reflecting the degree of contribution of each attribute to the decision-making result. This approach results in more accurate calculations. On the other hand, establishing the mapping relationship between users’ emotions and design features through methodological assistance is the core of KE. However, users’ emotions are random and fuzzy, and traditional linear regression algorithms cannot accurately capture the nonlinear relationship between users’ emotions and design features. Consequently, more scholars have started to adopt nonlinear techniques to capture users’ emotions. To connect NEV morphological features and user emotions, Kang [17] used support vector machine regression to construct the mapping relationship between NEV styling features and user emotions. Lai [18] et al. proposed a hybrid Apriori+structural equation modeling (SEM) to develop an NEV appearance design assistance system. Current research mainly utilizes SVR, SEM, and BPNN for classification and regression tasks. In comparison, the PSO-SVR [13] model offers unique advantages by optimizing SVR model parameters and enhancing the model’s accuracy and generalization ability. PSO-SVR effectively addresses the local optimal solution problem [19], enabling the model to converge to the global optimal solution more quickly by iterating and updating particle positions.
Therefore, this paper introduces entropy weight-TOPSIS and PSO-SVR into the research process of perceptual engineering (KE). The entropy weight-TOPSIS method is used to prioritize NEV design features, while SVR is applied to predict users’ emotional needs in KE. The aim is to design an NEV form that meets consumers’ emotional requirements. According to the literature review, no research on NEV morphological design exists from the perspective of PSO-SVR. On the one hand, the NEV form design based on PSO-SVR can effectively optimize design parameters to align with consumers’ emotional aesthetics. On the other hand, it helps vehicle designers accurately understand users’ perceptual needs, thereby improving design efficiency and accuracy. This approach enhances the market competitiveness of NEVs by meeting consumer demands and improving the driving experience. The main contributions of this paper are summarized as follows:
(1) PSO-SVR was introduced into the KE design to verify the correlation between user perceptual evaluation and NEV morphology and to improve the accuracy of the algorithm.
(2) The entropy weight-TOPSIS method is used to calculate NEV morphological design feature weights to improve design efficiency.
(3) The PSO-SVR model is used instead of traditional SVR and BPNN models to establish a mapping between perceptual needs and design features, improving the accuracy of recognizing user emotions.
The structure of the paper is as follows: In Section 2, the authors briefly describe the concepts of the research-related methods, including the concepts of perceptual engineering (KE), the entropy weight-TOPSIS method, and the basic principles and application background of the PSO-SVR model. In Section 3, the authors describe in detail the proposed research framework for NEV vehicle morphological design based on PSO-SVR. The framework includes design features, levy weight calculation, user emotional demand prediction, and the mapping relationship between design features and user emotions. In Section 4, the authors mainly provide an in-depth analysis and discussion of the research results. The effectiveness and superiority of PSO-SVR’s NEV morphology design methodology are determined by comparing experimental data and case studies. Finally, in Section 5, we summarize the main conclusions of this study and put forward some relevant suggestions for the limitations of the current study and the direction of future development.

2. Related Methods

2.1. Entropy Weight-TOPSIS

The entropy weight-TOPSIS method is a widely used multi-attribute decision analysis approach employed to evaluate and select among multiple alternatives or objects. In the realm of multi-attribute decision-making, the significance of each attribute may vary. When compared to the traditional method of expert scoring, the entropy weight method offers a more objective assessment of user demand indicators, thereby effectively mitigating subjective judgment errors. By calculating the information entropy of each attribute, the entropy weight method determines the weight of each attribute, thus revealing its contribution to the decision-making outcome. The subsequent discussion briefly elucidates the fundamental principle and computational procedure of the entropy weight-TOPSIS method:
Definition 1. 
Construct the decision matrix. Assuming that there are m samples and n expert decision scoring, the evaluation decision matrix is as follows:
X i j = x 11 x 12 x 1 n x 21 x 22 x 2 n x m 1 x m 2 x m i n m × n
Definition 2. 
Calculate the normalization matrix by normalizing the original matrix by dividing each element of the normalization matrix by the sum of the elements of the corresponding columns to obtain the normalization matrix. The formula is as follows:
x i j = x i j m i n x i j m a x x i j m i n x i j , j = 1 , 2 , n  
Q = ( q i j ) m × n , i = 1 , 2 , , m , j = 1 , 2 , , n
where  q i j = x i j / i = 1 m x ij 2 . x i j  denotes the element of the i row and j column of the normalized matrix, n denotes the number of columns of the matrix, and m denotes the number of rows of the matrix.
Definition 3. 
Calculate the information entropy of the indicator, according to the normalization matrix Q = ( q i j )   m × n using the information entropy H j of the indicator j in Equation (3), where k is the adjustment coefficient, and K = 1 / l n n .
H j = K i = 1 n   p i j l n p i j , j = 1 , 2 , , n
Definition 4. 
Determine the indicator weight value. According to the information entropy of the indicator, the weight value wj of indicator j is obtained by applying Formula (5).
ω j = 1 H j m i = 1 m   H j , j = 1 , 2 , n
Definition 5. 
Determine the weighted decision matrix B = ( b i j ) m × n based on the weights of the indicators, calculated as follows:
b i j = ω j q i j
Definition 6. 
Calculate the positive ideal solution U + and the negative ideal solution U for each column of the weighted normalized matrix. The positive ideal solution is the best value taken for each metric and the negative ideal solution is the worst value taken for each metric.
U + = { max 1 i m { b i j } | j = 1 , 2 , , n } = { U 1 + , U 2 + , , U n + }
U = { min 1 i m { b i j } | j = 1 , 2 , , n } = { U 1 , U 2 , , U n }
Definition 7. 
Calculate the weighted Euclidean distance of each decision object to the positive and negative ideal solutions based on the positive ideal solution U + and the negative ideal solution U .
D i + = j = 1 n   ( b i j U j + ) 2 , i = 1 , 2 , m
D i = j = 1 n   b i j U j 2 , i = 1 , 2 , m
Definition 8. 
Calculate the relative closeness value of each target, and the ratio of the distance of each object to the positive ideal solution to the distance to the negative ideal solution is calculated to obtain the comprehensive evaluation index.
υ i = D i D i + D i + , 0 υ i 1 , i = 1 , 2 , m
Sort the υ i values in order of size; the larger the υ i , the higher the importance of the evaluation index (perceptual needs). Sort the values according to the size of the combined evaluation index and select the decision object with the largest combined evaluation index as the best option.

2.2. PSO-SVR

2.2.1. Support Vector Regression

Support Vector Regression (SVR) aims to identify a hyperplane that effectively fits all samples, thereby resolving regression problems [20]. In this paper, SVR serves as an exploratory method for establishing an implicit projection model between NEV styling design and users’ perceptual imagery. The experimental procedure entails utilizing the average subjective perceptual evaluation score of the test subjects as the output variable (Y), while the morphological features of the NEV modeling samples serve as the input variables (X1, X2, X3, ...). The relationships between the input and output variables are expressed as follows:
f = ( X 1 , X 2 , X 3 , , X n )
That is, given the training sample D = { ( X 1 n , Y 1 ) , ( X 2 n , Y 2 ) , ( X 3 n , Y 3 ) , ( X m n , Y m ) } , the regression model is constructed as shown in Equation (13), where w is the weight coefficient, and b is the bias term.
f ( x ) = w T x + b
Figure 1 shows the schematic diagram of Support Vector Regression. Support Vector Regression artificially sets an interval band “ε” on both sides of f ( x ) = w T x + b and considers that no loss is counted when the data fall within the interval band.
By introducing a loss function (Equation (14)) for SVR, the Support Vector Regression problem can be formalized as Equation (15) with constraints (16):
l ε ( Z ) = { 0 ,                   i f | z | ε | z | ε ,   otherwise
min w , b 1 2 w 2 + C i = 1 m l ε ( f ( x i ) y i )
s . t { y i f ( x i ) ε f ( x i ) y i ε   i = 1 , 2 , m
However, in practical applications, it is often difficult to find a suitable interval band “ε”, while Support Vector Regression expects that the left and right data can fall within the interval band, so the slack variables ξ i and ξ ^ i are introduced; that is, some data can be allowed to fall outside the interval band. The optimization problem under constraints is shown in Equation (17), and the constraints are shown in Equation (18):
min w , b , ξ i , ξ ^ i 1 2 w 2 + C i = 1 m ( ξ i + ξ ^ i )
s . t { f ( x i ) y i ε + ξ i ^ y i f ( x i ) ε + ξ i   i = 1 , 2 , 3 m
By introducing the Lagrange multipliers, Equation (19) is obtained:
L ( w , ξ i , ξ i ^ ) = 1 2 w 2 + C i = 1 m ( ξ i + ξ i ^ ) i = 1 m α i ( ( ε + ξ i ) y i + f ( x i ) ) i = 1 m α i * ( ( ε + ξ ^ i ) + y i f ( x i ) ) i = 1 m ( μ i ξ i + μ i * ξ i ^ )
In the above Equation (8), respectively, w, b, ξ i , ξ ^ i , with the partial derivatives equal to 0, the results obtained with the substitution of Equation (8) will support the pairwise problem of vector regression and the final regression function under the condition of KKT, as shown in Equation (20):
f ( x ) = i m ( α i * α i ) K ( x i , x ) + b
where K ( x i , x ) is the kernel function. The performance of the support vector machine, to a certain extent, is affected by the choice of the kernel function. The Gaussian radial basis kernel function has fewer hyperparameters, nonlinear characteristics of the advantages of the strong [21], and high accuracy of different sizes of the data; thus, it has a good predictive effect, and its application is very wide, so this paper selects the Gaussian radial basis function as the kernel function, as shown in Equation (21):
K ( x i , x ) = exp ( x i x 2 σ 2 )

2.2.2. Particle Swarm Optimization Algorithm

As one of the intelligent algorithms, the PSO algorithm simulates the foraging behavior of birds in nature and is widely used to solve multi-objective optimization problems [22]. In the population scale of PSO, the initialization produces each legal particle x i , t , and the position of the parameter ( C , ε , σ ) corresponds to velocity v i , t . The particles are updated with velocity and position according to the following two formulas, respectively [23]:
v i , t k + 1 = w v i , t k + c 1 ξ ( p i , t k x i , t k ) + c 2 μ ( p g , t k x i , t k )
x i , t k = x i , t k + φ v i , t k + 1
where p i , t k is the individual optimal position of the kth generation of the particle swarm at time t; p g , t k is the global optimal position of the kth generation of the particle swarm at time t; w is the adaptive weight; c 1 and c 2 are the cognitive coefficients; ξ , μ is the uniformly distributed random number in the interval [ 0 , 1 ] ; and φ is the constraint factor. The adaptive weight w balances the global and local optimization-seeking ability of the particles [24]:
w = w max w max w min 1 + exp | f i f ¯ f g f ¯ |
where w max , w min are the maximum and minimum weights; f i is the fitness of the ith particle; f ¯ is the average fitness of the population; and f g is the best fitness of the population.

2.2.3. Particle Swarm Optimization Support Vector Regression Modeling Steps

In Support Vector Regression, the penalty coefficient C primarily serves to enhance the generalization ability of the prediction model [25,26] and adjust the error between measured and predicted data. A smaller error signifies a better predictive performance of the model. Additionally, the choice of kernel function can significantly influence the SVR model, making the selection of kernel function width crucial [27].
In this paper, the PSO-SVR prediction model is implemented as follows for the parameters:
1. Initialization: This involves defining parameters, such as the number of particles (m), inertia weight (w), iteration number (N), learning factor, etc., and setting the particle search range.
2. Optimization: The process entails selecting an appropriate fitness function, comparing the fitness value with that of individual particles and the overall optimal position, and continually adjusting to update the optimal position.
3. Termination: The algorithm halts either when the fitness value reaches the desired state or when the maximum number of iterations is reached. The algorithmic breakdown of PSO-SVR is illustrated in Figure 2.

3. The Proposed Research Process

3.1. NEV Sample and Perceptual Vocabulary Collection

Given the time-consuming and inefficient nature of manual image search and download processes, we employ web crawler technology to systematically gather a diverse array of NEV styling images. This automated approach enables the collection of a significant volume of vehicle styling images from various online sources [28,29], including official websites, automotive forums, and social media platforms. This method provides designers with a rich data resource for analyzing and comparing different automotive designs, resulting in substantial time and resource savings.
Following data collection, image samples exhibiting similar styling and low clarity were filtered out. Subsequently, two-thirds of view images were selected for testing subjects, with backgrounds removed and sizes standardized. The resulting 120 NEV styling samples were arranged in the same plane, as depicted in Figure 3.
Simultaneously, we conducted an extensive collection of NEV user emotions, cataloging them in the form of vocabularies. Initially, a total of 70 social robot Kansei vocabularies were gathered from literature, books, and car forums. Subsequently, a focus group was convened to refine these vocabularies. Through deliberation, vocabularies lacking emotional significance (e.g., magical, good-looking, ugly) were eliminated, along with those exhibiting redundant or closely related meanings (e.g., futuristic, advanced, and sci-fi). This iterative process led to the retention of the 12 most representative emotional vocabularies of NEV users, as outlined in Table 1.

3.2. NEV Perceptual Vocabulary Extraction

The re-selected affective vocabulary was distributed to 100 people in the form of a 5-point Likert scale, the 120 NEV styling models were scored in correlation with the affective vocabulary, and a matrix of NEV users’ affective evaluations was constructed in the form of mean values (Table 2). We used factor analysis to downscale the perceptual vocabulary. Factor analysis identifies the statistical correlations between different perceptual vocabularies and extracts a small number of major factors, which represent the main dimensions of change in the data [30]. It can help designers understand and simplify a large amount of complex perceptual data, improve the efficiency of data processing, and more clearly understand and focus on the core perceptual needs of consumers to design products that are more in line with the expectations of the market and consumers [31]. The reliability test yielded the KMO of 0.727 > 0.5 value and the significance p = 0.001 < 0.05 , and the result shows that the data are suitable for factor analysis (Table 3).
The re-selected affective vocabulary was administered to 100 individuals in the form of a 5-point Likert scale to assess the correlation between 120 NEV styling and perceptual vocabulary. This process aimed to construct a matrix of NEV user perceptual evaluations represented as mean values (Table 2). Perceptual vocabulary typically encompasses subjective descriptors reflecting individuals’ feelings toward a product’s appearance [32]. Utilizing factor analysis (FA) on this data matrix enabled the identification of statistical correlations among different perceptual vocabulary items, thereby extracting a concise set of major factors representing the principal dimensions of variation in the data.
We conducted factor dimensionality reduction analysis using SPSS20 software, importing both the perceptual vocabulary and NEV sample user evaluation data. Through examination of the factor fragmentation plot (refer to Figure 4) and interpretation of total variance in the user perceptual evaluation data (Table 4), we observed four factors with eigenvalues exceeding 1. Moreover, the cumulative contribution rate of these four components surpassed 50%, indicating that the evaluation matrix of the user perceptual vocabulary could be dimensionally reduced to four distinct dimensions.
The extracted factors represent abstract statistical constructs that require interpretation and naming based on the commonality of the perceptual terms they encapsulate [33]. Analysis of the rotated component matrix (Table 5) and component score matrix (Table 6) revealed that certain descriptors, such as streamlined, energized, and technological, share common attributes. Streamlined sensibility, often associated with efficiency and advanced technology, embodies futuristic design principles. Energized sensibility reflects emerging trends and dynamism, while technological sensibility represents advancements in science and technology. We consolidate these attributes under the term “futuristic sensibility”, encapsulating high technology, avant-garde design, and emerging trends, thereby reflecting streamlined design, vitality, and technological integration. Descriptors such as lightweight, powerful, comfortable, safe, and sophisticated collectively describe products with advanced features, excellent user experience, and safety. We summarize these sensory attributes as “sophisticated”, reflecting a refined and feature-rich user experience.
Additionally, the descriptors eco-friendly, colorful, and fashionable converge into a single category. Products or designs embodying these traits evoke an “organic feel”, blending modernity with natural elements and vibrant, environmentally conscious aesthetics. The category “simple” is replaced by “minimalism”, representing a streamlined and uncomplicated design ethos. In summary, we streamline the initial 12 sensory terms into 4 distinct categories: futuristic, sophisticated, organic, and minimalism.

3.3. NEV Sample Morphology Deconstruction

Morphological deconstruction stands as a pivotal method within perceptual engineering, dedicated to thoroughly analyzing and dissecting the structure and form of a product or system. Its objective is to unveil intrinsic perceptual characteristics and design principles [34,35]. This method underscores the significance of commencing, from the user’s sensations and experiences, to comprehensively understand how design elements influence user perceptions and emotions. The fundamental premise of the Morphological Deconstruction Method involves breaking down a product or system into its constituent parts and thoroughly examining the form, structure, and function of each element [36]. This decomposition encompasses not only the analysis of the physical structure but also delves into symbols, shapes, and materials [37]. Through such comprehensive deconstruction, designers can attain a deeper understanding of the internal logic and perceptual attributes of the product or system.
In our study, we assembled a team of five industrial designers with expertise in automotive exterior design to conduct the morphological deconstruction of 120 NEV styling samples. The deconstruction process entailed categorizing NEV components into eight distinct categories, including wheel hubs, side windows, headlights, air intake grilles, side profiles, reflectors, car doors, and fog lights. Subsequently, we identified and summarized ten different morphological features for each category (Figure 5).
In order to calculate the importance of each feature category of the NEV styling samples and, at the same time, to perform parameter approximation, we introduce the entropy weight-TOPSIS method to quantitatively analyze the NEV styling component categories [38]. The entropy-weight TOPSIS model is a widely used comprehensive evaluation method that integrates the entropy-weight method and the multi-objective decision-making TOPSIS analysis [39]. The model aims to overcome the influence of subjective factors on the assignment of evaluation indexes, and at the same time, it can reflect the changes in the weights of evaluation indexes [40] and thus has strong objectivity and operability. First, we invited ten designers with a background in automotive form design to score the influence of eight components of NEV form features on the four user emotions calculated by the factor analysis analytical method and to establish a seven-level Likert scale mean value matrix (Table 7 and Table 8).
According to Table 9, the NEV styling feature category scores are as follows: side profile > wheel hub > side windows > air intake grilles > headlight > car door > fog lights > reflector. We simplify the component parts whose combined score coefficients are less than 0.5, namely the car door, fog lights, and reflector. We keep the component parts whose combined score coefficients are greater than 0.5, i.e., side profile, wheel hub, side windows, air intake grilles, and headlight.

3.4. PSO-SVR to Establish the Mapping between NEV Modeling Features and User Emotions

At this stage, we distributed the dimensionalized perceptual vocabulary to 100 people again to evaluate the 120 NEV samples perceptually. At the same time, morphological coding was performed on the 120 NEV samples, and the approximated morphological categories were used together with the dimensionality-reduced 4-medium perceptual vocabulary to build a mapping matrix between VEN styling features and user emotions (Table 10).
The 120 coded sample morphologies serve as input eigenvalues for the PSO-SVR model, while the mean values of perceptual evaluations from four user types constitute the target output values. This framework aims to establish a mapping model between NEV styling features and users’ emotions [41]. MATLAB 2022b software is utilized for modeling and computation. Initially, we utilize the “Future Sense” dataset as an example. The data are normalized, and the adaptation model is transposed. The parameters of the PSO algorithm are configured to find the optimal penalty factor and kernel function. Specifically, we set the population size of PSO to 20, the maximum number of iterations to 30, and both C1 (individual cognitive factor) and C2 (social factor) to 2. Figure 6 illustrates the parameter optimization process of PSO, with two curves representing the best and average fit, respectively. The optimized parameters are then employed to train the SVR model.
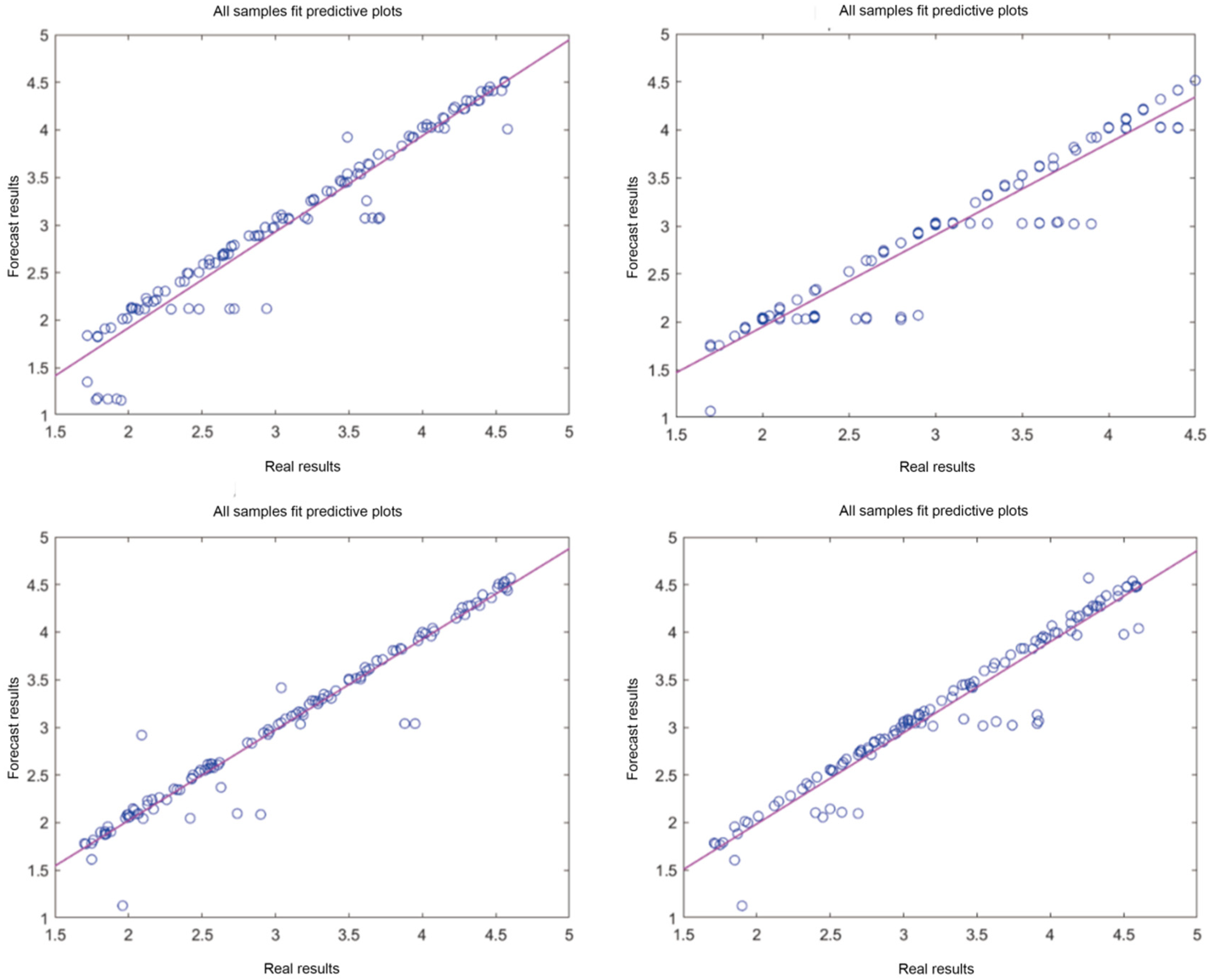
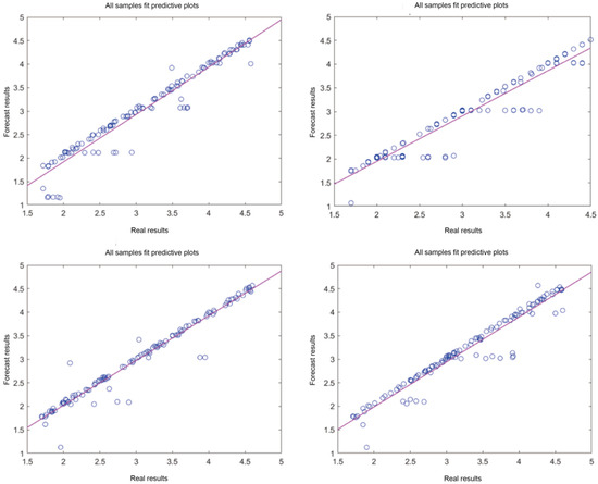
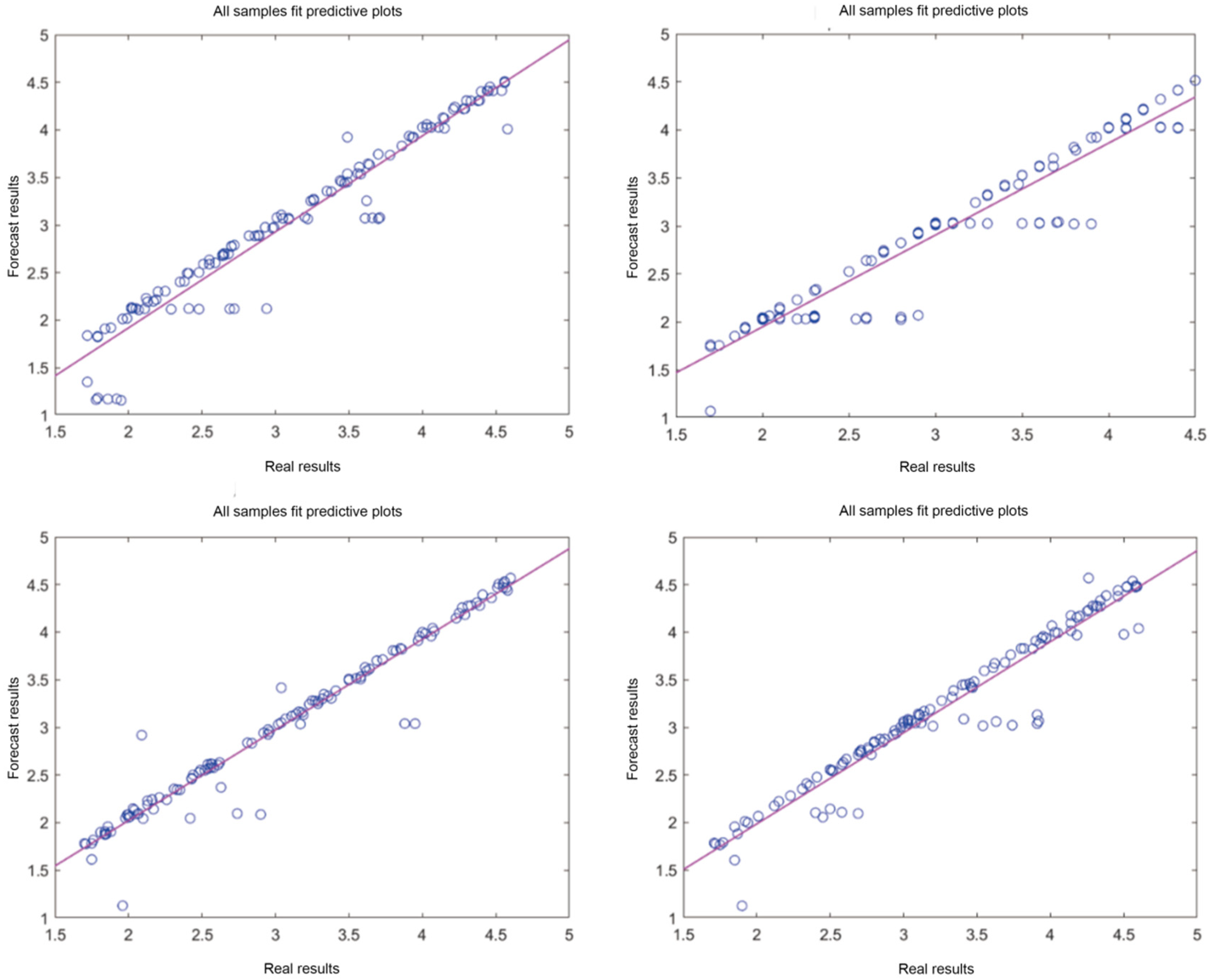
Subsequently, the SVR model is trained using the best parameters obtained from the optimization search. The evaluation of the SVR model performance is conducted using test and training sets of emotion data for the four user types (see Figure 7). The total linear fit graph (Figure 8) demonstrates that the optimized SVR model better fits the user emotion data and design feature data. Five combinations of component features are imported into the constructed PSO-SVR model for prediction. This results in obtaining sentiment values for 100,000 combinations of NEV morphology design features, with the maximum value recorded as 4.65, corresponding to 74,569 combinations of design elements. This result not only provides a valuable reference for NEV styling design but also verifies the validity of the PSO-SVR model in emotional design and engineering applications.
In the PSO parameter optimization process, the fitness plot shows the stability of the iterative process. In the first ten iterations, the fluctuation of the fitness value is large, showing the instability of the parameter optimization process. However, after the tenth iteration, the fitness value gradually tends to be stable, indicating that the optimization process gradually converges to a better solution. Meanwhile, the coefficient of determination R² of the model generally stays above 0.9 during the optimization process, indicating that the fit is good and has high explanatory power and reliability. These results indicate that the PSO algorithm performs stably in parameter optimization and can effectively improve the accuracy of the model.

3.5. NEV Morphological Design Practices

We apply the prediction results obtained from PSO-SVR to actual design case development [19], drawing inspiration from specific elements in the morphological deconstruction table. Specifically, we select wheel hub 7, side window 4, headlight 5, air intake grille 6, and side profile 9 as the sources of inspiration for the NEV vehicle morphological design scheme. Operations such as creative sketching, color scheme design, and effect rendering are carried out to refine these elements. The culmination of this process results in the creation of a refined NEV vehicle morphological scheme design (refer to Figure 9). The exterior design of the NEV aims to embody a futuristic sense, emphasizing technology and innovation. This is achieved through the incorporation of simple and bold front grilles, extremely narrow headlights, and dynamic LED running lights. The streamlined exterior design not only enhances the vehicle’s energy utilization efficiency by reducing air resistance but also underscores its technological prowess.
Refinement in design is crucial, with a focus on using high-quality materials and exquisite craftsmanship to ensure every aspect of the body, interior, and exterior details exude sophistication and refinement. An organic sense is imparted to the design through the use of smooth curves and natural forms, with soft and rhythmic curves contributing to an overall sense of organic cohesion. Simplicity in design is emphasized through the use of uniform colors and materials to enhance the vehicle’s sleek appearance. Simple and bright colors are chosen, avoiding excessive color combinations to maintain a unified and straightforward aesthetic. Similarly, the use of simple lights and air intake grilles, coupled with minimal decoration and intricate details, creates a refreshing and concise appearance.

4. Analysis and Discussion of Results

4.1. Design Results

Perceptual engineering plays a pivotal role in the design of NEVs, focusing on stimulating sensory experiences and emotional responses through design to enhance product attractiveness, comfort, and user satisfaction. The exterior design, serving as the first impression of the NEV, should prioritize form beauty, line smoothness, and overall proportion to create a distinctive visual impact and foster brand recognition.
Historically, NEV form design heavily relied on qualitative analysis to evaluate design aesthetics, lacking a comprehensive quantitative analysis method. Adjusting design parameters to determine product composition profoundly influences downstream product lifecycle activities. Currently, there is a dearth of systematic studies addressing product structure issues from a green design perspective. In response, this paper integrates the entropy weight-TOPSIS and PSO-SVR methods [42] at the early stage of new product development to determine the optimal product design portfolio based on key emotions (KEs). By taking NEVs as the research subject, dimensionality reduction in factor analysis (FA) yields four representative perceptual words: modern, green, energetic, and elegant. To establish the relationship between these perceptual words and product design features, eight design features and 80 corresponding types of design features of HEVs are obtained through morphological analysis. However, due to the diverse features, the subject burden increases [43]. Thus, the entropy weight-TOPSIS method is applied to identify key product features influencing user satisfaction, namely wheels, side windows, air intake grille, front doors, and headlights. By utilizing modern emotions as an example, we map them into the SVR space to propose new automobile design ideas, predicting and suggesting the best green technology automobile form design. The analysis reveals that wheels, side windows, air intake grille, front doors, and headlights of types 7, 6, 3, 3, and 8, respectively, best satisfy users’ emotional needs and their NEV experience.
This paper utilizes PSO-SVR to accurately calculate mapping models aligned with user perceptual intentions. Consequently, designers can refer directly to these optimal combinations in the pre-design stage to enhance design efficiency, meet users’ perceptual needs, and bolster enterprise competitiveness.

4.2. Discussion

In KE, determining the weights of design feature indicators is the initial step aimed at simplifying design features to enhance calculation efficiency and provide guidance for constructing mapping models. Traditional methods for measuring indicator weights, such as hierarchical analysis [44], the Kano model [45], and expert commentary [46], tend to be subjective and lack robust data and technical support. To address this, our study opts for simpler operational methods like the entropy weight-TOPSIS method, which offers a more objective and data-driven approach compared to hierarchical analysis.
The core of KE lies in constructing a mapping model between customers’ affective preferences and product design features. While linear statistical methods like Quantitative Theory of Type I (QT-I) [47] or Principal Component Analysis (PCA) [48] have been employed in the past, they may struggle to accurately capture the subjective and nuanced information inherent in customer sentiment. In response, the advancement of artificial intelligence techniques, including neural networks [49], ARM [50], GST [51], and genetic algorithms, has enabled the measurement of fuzzy perceptual knowledge from customers. These techniques offer greater flexibility and adaptability in capturing and analyzing complex customer sentiments, thereby enhancing the effectiveness of KE in product design and development. However, the main difficulty with neural networks is that the modeling process requires human intervention to select control parameters, such as the number of layers and neurons per layer. ARM is a rule-based approach but is limited to dealing with discrete variables (Wang & Chin, 2017) [52]. GST usually uses first-order linear differential equations to establish mapping relationships. It is suitable for handling fuzzy input data, but it is difficult to accurately establish the relationship between perceptual vocabulary and product parameters (Wang, 2011) [53]. Although genetic algorithms have been widely and successfully applied to engineering optimization problems, they can only compute a small number of optimal solutions. Compared with traditional parametric statistics and neural network methods, SVR has the advantages of small sample, nonlinear, and high-dimensional data pattern recognition, as well as the ability to overcome local minima and over-learning problems. Table 11 shows the comparison between SVR and other methods in terms of perceptual mapping. Combined with the research vehicle NEV styling design in this paper, multiple design types exist for the shape. Therefore, this paper introduces SVR into KE research, and compared with the traditional SVR and BPNN model, the coefficient of determination and mean square error (MSE) of NEV user emotion prediction of the PSO-SVR model proposed in this paper are improved, respectively, which indicates that the PSO-SVR model can be used as a new method to fit the nonlinear relationship between the BEV morphological features and the user’s emotional perception. This study solves the problem of complicated calculation processes in the traditional KE method and improves the accuracy of predicting users’ perceptual needs, which can provide fast and accurate data results.
The four perceptual vocabulary coefficient of determination R2 mean values are all higher than 0.85, and three of them are higher than 0.9. Asteris [54] proved that the R2 is 0.8031, the MSE is 0.103, and the SVR mean squared error and coefficient of determination are both poorly behaved; Zhu [55] got the MSE evaluation criterion for the BPNN training set to be 0.043, and in the PSO-SVR model of this time, the predicted value of MSE is 0.054, and R2 is 0.94, which indicates that after the particle swarm algorithm to find the optimal solution, the prediction accuracy of the SVR model is effectively improved. This is more consistent with the evaluation results in this paper, so the results obtained by using different algorithms are similar to the results of this optimization, thus proving the effectiveness of the training set of this optimization algorithm.

5. Conclusions

The exterior design of a vehicle serves as a vital symbol of an automobile brand, embodying the brand’s design philosophy, stylistic characteristics, and product positioning. It shapes the brand image, bolsters market competitiveness, and enhances consumer awareness and trust in the brand. In the case of NEVs, the exterior design assumes additional significance in fostering societal development and mitigating industrial pollution. By designing environmentally friendly and efficient vehicles, NEVs propel society toward a cleaner, greener, and more sustainable future. Their potential to replace fuel cars as more efficient and less polluting vehicles underscores their transformative impact on transportation and environmental sustainability.
Furthermore, consumers’ emotional responses play a pivotal role in product design and sales. To elicit purchasing desires and produce appealing hybrid vehicles, automobile designers must grasp customers’ emotional reactions. However, user emotions are highly nonlinear and influenced by diverse factors such as personal experiences, cultural backgrounds, and emotional states. Linear regression models, with their inherent linear assumptions, often fail to capture such complex relationships accurately, leading to suboptimal predictions of user emotions. Nonlinear regression models, on the other hand, offer greater flexibility and adaptability in predicting user sentiment. They excel in capturing intricate nonlinear relationships and multidimensional sentiment spaces, making them advantageous for complex sentiment analysis tasks.
In this study, machine learning techniques are employed to capture the nonlinear relationship between NEV form design features and user sentiment. Factor analysis is leveraged to extract key sentiment terms, while entropy weight-TOPSIS filters important NEV form categories. Finally, PSO-SVR is utilized to establish the nonlinear relationship between user emotions and design features, facilitating the design of optimal morphology combinations aligned with user sentiment. This comprehensive approach enhances our understanding of user emotions and enables the creation of NEVs that resonate with consumers on an emotional level, driving innovation and sustainability in the automotive industry.
The innovations of this paper are noteworthy and contribute significantly to the field of NEV form design. Here is a summary of the key innovations:
1. Utilization of Factor Analysis: The adoption of factor analysis enables the extraction of key emotion words, enhancing the accuracy of emotion analysis by providing more precise data support.
2. Implementation of Entropy Weight-TOPSIS Method: The application of the entropy weight-TOPSIS method ensures the screening of important NEV morphological categories, thereby guaranteeing the relevance and effectiveness of design optimization efforts.
3. Establishment of Nonlinear Relationship and PSO-SVR Model: By establishing a nonlinear relationship between user emotions and design features and utilizing the PSO-SVR model for accurate prediction, the study offers scientific and efficient decision support for NEV form design.
While these methodologies and approaches hold promise for extending sustainability prediction to related product design and enhancing design capabilities, certain limitations necessitate further exploration and improvement:
1. Aesthetic Evaluation Challenges: Aesthetic evaluation entails ambiguity and timeliness, making figurative evaluation difficult to express verbally accurately. The definition of aesthetic quality should evolve with the times. Additionally, the KE theory may not fully address perceptual bias resulting from the simplistic use of adjectives to describe complex emotions. It is recommended to explore the use of physiological signals, such as perceptual devices, to measure individuals’ intuitive feelings about products.
2. Sample Selection Limitations: The inclusion of insufficient samples, particularly in the side profile depiction of NEVs, may not fully capture the figurative form. Future studies should consider using a more extensive range of samples to enhance design evaluation.
3. Lack of Market Validation: The product was not validated in the market, highlighting the need for further validation to assess real-world applicability and consumer acceptance. Addressing these limitations through continued research and refinement will enhance the robustness and applicability of the proposed methodologies, ultimately advancing the field of NEV form design.

Author Contributions

Z.L.: proposed a specific thesis framework and research path; X.C.: completed the specific application of ideas, methods, and software according to specific implementation advice and wrote this paper; X.L.: checked the data and proof of concept; Y.Z.: proofread the paper and edited the grammar; S.H.: helped to process the data. All authors have read and agreed to the published version of the manuscript.

Funding

This work was supported by the Research on Chinese Contemporary Design Methodology (22BG136) and partially supported by the Research on the Generative Logic and Innovative Development of Chinese Yao Embroidery Skills under the Perspective of Multiple Integration (23BG131) of the Art Program of the National Social Science Foundation of China (NSFC).

Institutional Review Board Statement

The study does not require ethical approval.

Informed Consent Statement

The study does not involve humans.

Data Availability Statement

The data used to support the results of this study are included in the article.

Acknowledgments

The authors would also like to thank the anonymous referees for their constructive comments.

Conflicts of Interest

The authors declare no conflicts of interest.

References

  1. Chen, Y. Research on collaborative innovation of key common technologies in new energy vehicle industry based on digital twin technology. Energy Rep. 2022, 8, 15399–15407. [Google Scholar] [CrossRef]
  2. Yuan, X.; Liu, X.; Zuo, J. The development of new energy vehicles for a sustainable future: A review. Renew. Sustain. Energy Rev. 2015, 42, 298–305. [Google Scholar] [CrossRef]
  3. Tan, Q.; Wang, Z.; Fan, W.; Li, X.; Li, X.; Li, F.; Zhao, Z. Development path and model design of a new energy vehicle in China. Energies 2023, 16, 220. [Google Scholar] [CrossRef]
  4. Winkelhake, U.; Winkelhake, U. ROADMAP, PRACTICE 2022. Vision digitised automotive industry 2030. Digit. Transform. Automot. Ind. Catal. Roadmap Pract. 2022, 36, 85–145. [Google Scholar]
  5. Nagamachi, M. Kansei engineering: A new ergonomic consumer-oriented technology for product development. Int. J. Ind. Ergon. 1995, 15, 3–11. [Google Scholar] [CrossRef]
  6. Nagamachi, M. Kansei/Affective Engineering; CRC Press: Boca Raton, FL, USA, 2016. [Google Scholar]
  7. Zuo, W.; Wang, N.; Zhang, Z. Study on the design of imagery of Ming-style chair shape based on Kansei Engineering. J. For. Eng. 2023, 8, 190–197. [Google Scholar]
  8. Hartono, M. The modified Kansei Engineering-based application for sustainable service design. Int. J. Ind. Ergon. 2020, 79, 102985. [Google Scholar] [CrossRef]
  9. Wang, N.; Kang, X.; Wang, Q.; Shi, C. Using grey-quality function deployment to construct an aesthetic product design matrix. Concurr. Eng. 2023, 31, 49–63. [Google Scholar] [CrossRef]
  10. Reyn, V.; Chiara; Koval, P.; Bastian, B. Sensory Processing Sensitivity and Reactivity to Daily Events. Soc. Psychol. Personal. Sci. 2023, 14, 772–783. [Google Scholar] [CrossRef]
  11. Zhu, D.; Chen, J.; Shen, X.; Li, X.; Elhoseiny, M. Minigpt-4: Enhancing vision-language understanding with advanced large language models. arXiv 2023, arXiv:2304.10592. [Google Scholar]
  12. Heng, L.; Xu, Y.; Chen, F. Sketch2Photo: Synthesizing photo-realistic images from sketches via global contexts. Eng. Appl. Artif. Intell. 2023, 117, 105608. [Google Scholar]
  13. Wu, W.; Chen, K.; Tsotsas, E. Prediction of particle mixing in rotary drums by a DEM data-driven PSO-SVR model. Powder Technol. 2024, 434, 119365. [Google Scholar] [CrossRef]
  14. Jin, J.; Jia, D.P.; Chen, K.J. Mining online reviews with a Kansei-integrated Kano model for innovative product design. Int. J. Prod. Res. 2022, 60, 6708–6727. [Google Scholar] [CrossRef]
  15. Wang, T.X. A Novel Approach of Integrating Natural Language Processing Techniques with Fuzzy TOPSIS for Product Evaluation. Symmetry 2022, 14, 120. [Google Scholar] [CrossRef]
  16. Zuo, Y.X.; Wang, Z.Y. Subjective Product Evaluation System Based on Kansei Engineering and Analytic Hierarchy Process. Symmetry 2020, 12, 1340. [Google Scholar] [CrossRef]
  17. Kang, X. Combining rough set theory and support vector regression to the sustainable form design of hybrid electric vehicle. J. Clean. Prod. 2021, 304, 127137. [Google Scholar] [CrossRef]
  18. Lai, X.; Zhang, S.; Mao, N.; Liu, J.; Chen, Q. Kansei engineering for new energy vehicle exterior design: An internet big data mining approach. Comput. Ind. Eng. 2022, 165, 107913. [Google Scholar] [CrossRef]
  19. Açıkkar, M.; Altunkol, Y. A novel hybrid PSO-and GS-based hyperparameter optimization algorithm for support vector regression. Neural Comput. Appl. 2023, 35, 19961–19977. [Google Scholar] [CrossRef]
  20. Zhang, F.; O’Donnell, L.J. Support vector regression. In Machine Learning; Academic Press: Cambridge, MA, USA, 2020; pp. 123–140. [Google Scholar]
  21. Samantaray, S.; Sahoo, A.; Baliarsingh, F. Groundwater level prediction using an improved SVR model integrated with hybrid particle swarm optimization and firefly algorithm. Clean. Water 2024, 1, 100003. [Google Scholar] [CrossRef]
  22. Wang, D.; Tan, D.; Liu, L. Particle swarm optimization algorithm: An overview. Soft Comput. 2018, 22, 387–408. [Google Scholar] [CrossRef]
  23. Jain, M.; Saihjpal, V.; Singh, N.; Singh, S.B. An overview of variants and advancements of PSO algorithm. Appl. Sci. 2022, 12, 8392. [Google Scholar] [CrossRef]
  24. Ovat, F.A.; Anyandi, A.J. The particle swarm optimization (PSO) algorithm application–A review. Glob. J. Eng. Technol. Adv. 2020, 3, 001–006. [Google Scholar] [CrossRef]
  25. Aich, U.; Banerjee, S. Modeling of EDM responses by support vector machine regression with parameters selected by particle swarm optimization. Appl. Math. Model. 2014, 38, 2800–2818. [Google Scholar] [CrossRef]
  26. Jibril, A.U.; Haruna, K.; Jiangsheng, Z. Feature Selection and Parameter Optimization of Support Vector Machine (Svm) and Logistic Regression (Lr) Algorithms Using Particle Swarm Optimization (Pso) In Prediction of Diabetes. J. Comput. Sci. 2023, 11, 21–47. [Google Scholar]
  27. Wang, B.; Gao, S.; Ge, H.; Wang, W. A variable step size for maximum correntropy criterion algorithm with improved variable kernel width. IEEJ Trans. Electr. Electron. Eng. 2020, 15, 1465–1474. [Google Scholar] [CrossRef]
  28. Khder, M.A. Web scraping or web crawling: State of art, techniques, approaches and application. Int. J. Adv. Soft Comput. Its Appl. 2021, 13, 145–168. [Google Scholar] [CrossRef]
  29. Neelakandan, S.; Arun, A.; Bhukya, R.R.; Hardas, B.M.; Kumar TC, A.; Ashok, M. An automated word embedding with parameter tuned model for web crawling. Intell. Autom. Soft Comput. 2022, 32, 1617–1632. [Google Scholar] [CrossRef]
  30. Gou, Y.; Ye, J. Study on Youthful Electric Two-Wheeled Vehicle Modeling Based on Perceptual Imagery. In International Conference on Human-Computer Interaction; Springer International Publishing: Cham, Switzerland, 2022. [Google Scholar]
  31. Yates, A. Multivariate Exploratory Data Analysis: A Perspective on Exploratory Factor Analysis; Suny Press: Albany, NY, USA, 1987. [Google Scholar]
  32. Min, B. Interplay of consumer expectation and processing fluency in perception of product innovativeness and product evaluation. Eur. J. Mark. 2023, 57, 283–324. [Google Scholar] [CrossRef]
  33. Du, Y.; Jin, X.; Yan, R.; Yan, J. Sentiment enhanced answer generation and information fusing for product-related question answering. Inf. Sci. 2023, 627, 205–219. [Google Scholar] [CrossRef]
  34. Scholtz, G. Deconstructing morphology. Acta Zool. 2010, 91, 44–63. [Google Scholar] [CrossRef]
  35. Wu, Y. Product form evolutionary design system construction based on neural network model and multi-objective optimization. J. Intell. Fuzzy Syst. 2020, 39, 7977–7991. [Google Scholar] [CrossRef]
  36. Chen, Z. An Elderly-Oriented Design of HMI in Autonomous Driving Cars Based on Rough Set Theory and Backpropagation Neural Network. IEEE Access 2024, 12, 26800–26818. [Google Scholar] [CrossRef]
  37. Li, D.; Tao, T. Fusion of Midjourney and Morphological Matrix Methods for Driverless Vehicle Styling Research; Research Square: Durham, NC, USA, 2024. [Google Scholar]
  38. Amirian, H. A Review of Electric and Hybrid Vehicles: Market, Technology, and Future Prospects. Int. J. Electr. Hybrid Veh. 2012, 4, 327–340. [Google Scholar] [CrossRef]
  39. Wood, D.A. Supplier selection for development of petroleum industry facilities, applying multi-criteria decision making techniques including fuzzy and intuitionistic fuzzy TOPSIS with flexible entropy weighting. J. Nat. Gas Sci. Eng. 2016, 28, 594–612. [Google Scholar] [CrossRef]
  40. Xinyuan, L.; Qing, C.; Kun, G. Influencing factors of Intelligent manufacturing: Empirical analysis based on SVR model. Procedia Comput. Sci. 2017, 122, 1024–1030. [Google Scholar] [CrossRef]
  41. Sun, Y.; Ding, S.; Zhang, Z.; Jia, W. An improved grid search algorithm to optimize SVR for prediction. Soft Comput. 2021, 25, 5633–5644. [Google Scholar] [CrossRef]
  42. Kuo, T. A modified TOPSIS with a different ranking index. Eur. J. Oper. Res. 2017, 260, 152–160. [Google Scholar] [CrossRef]
  43. Dymova, L.; Sevastjanov, P.; Tikhonenko, A. An approach to generalization of fuzzy TOPSIS method. Inf. Sci. 2013, 238, 149–162. [Google Scholar] [CrossRef]
  44. Ma, Y.; Shi, T.; Zhang, W.; Hao, Y.; Huang, J.; Lin, Y. Comprehensive policy evaluation of NEV development in China, Japan, the United States, and Germany based on the AHP-EW model. J. Clean. Prod. 2019, 214, 389–402. [Google Scholar] [CrossRef]
  45. Yang, T.; Dang, Y.; Wu, J. Asymmetric effects of perceived quality on overall evaluation and moderating effect of sentiment: Evidence from automobile reviews. J. Syst. Sci. Syst. Eng. 2023, 32, 16–33. [Google Scholar] [CrossRef]
  46. Carroll, A.B. Social issues in management research: Experts’ views, analysis, and commentary. Bus. Soc. 1994, 33, 5–29. [Google Scholar] [CrossRef]
  47. Pueyo, E.; Smetana, P.; Laguna, P.; Malik, M. Estimation of the QT/RR hysteresis lag. J. Electrocardiol. 2003, 36, 187–190. [Google Scholar] [CrossRef]
  48. Kurita, T. Principal component analysis (PCA). Comput. Vis. A Ref. Guide 2019, 67, 1–4. [Google Scholar]
  49. Li, D.; Zhang, Z.; Liu, P.; Wang, Z.; Zhang, L. Battery fault diagnosis for electric vehicles based on voltage abnormality by combining the long short-term memory neural network and the equivalent circuit model. IEEE Trans. Power Electron. 2020, 36, 1303–1315. [Google Scholar] [CrossRef]
  50. Shao, Y.; Liu, B.; Wang, S.; Li, G. Software defect prediction based on correlation weighted class association rule mining. Knowl. Based Syst. 2020, 196, 105742. [Google Scholar] [CrossRef]
  51. Pu, Z.; Wang, H.; Liu, Z.; Yi, J.; Wu, S. Attention enhanced reinforcement learning for multi agent cooperation. IEEE Trans. Neural Netw. Learn. Syst. 2022, 34, 8235–8249. [Google Scholar] [CrossRef]
  52. Zhang, J.; Ndou, W.S.; Ng, N.; Gaston, P.; Simpson, P.M.; Macpherson, G.J.; Patton, J.T.; Clement, N.D. Robotic-arm assisted total knee arthroplasty is associated with improved accuracy and patient reported outcomes: A systematic review and meta-analysis. Knee Surg. Sports Traumatol. Arthrosc. 2022, 30, 2677–2695. [Google Scholar] [CrossRef]
  53. Wang, T.-H.; Shih, M.-Y. Quality-of-Service in Wireless Personal Area Networks. In Security-Enriched Urban Computing and Smart Grid; Springer: New York, NY, USA, 2011; pp. 307–316. [Google Scholar]
  54. Asteris, P.G.; Gandomi, A.H.; Armaghani, D.J.; Tsoukalas, M.Z.; Gavriilaki, E.; Gerber, G.; Konstantakatos, G.; Skentou, A.D.; Triantafyllidis, L.; Kotsiou, N.; et al. Genetic justification of COVID-19 patient outcomes using DERGA, a novel data ensemble refinement greedy algorithm. J. Cell. Mol. Med. 2024, 28, e18105. [Google Scholar] [CrossRef]
  55. Zhu, Q.; Li, J.; Lin, X.; Lu, F.; Jang, J. A BP Neural Network Product Design Optimization Model Based on Emotional Design and Sustainable Product Design. Appl. Sci. 2024, 14, 6225. [Google Scholar] [CrossRef]
Figure 1. SVR schematic diagram (The blue dots represent support vectors and the gray area represents the “margin” around the decision boundary).
Figure 1. SVR schematic diagram (The blue dots represent support vectors and the gray area represents the “margin” around the decision boundary).
Sustainability 16 07812 g001
Figure 2. PSO-SVR model structure.
Figure 2. PSO-SVR model structure.
Sustainability 16 07812 g002
Figure 3. 120 NEV styling samples.
Figure 3. 120 NEV styling samples.
Sustainability 16 07812 g003
Figure 4. Factor gravel map (The blue circles represent the eigenvalues of each principal component).
Figure 4. Factor gravel map (The blue circles represent the eigenvalues of each principal component).
Sustainability 16 07812 g004
Figure 5. Morphological deconstruction diagram.
Figure 5. Morphological deconstruction diagram.
Sustainability 16 07812 g005
Figure 6. Parameter optimization process of PSO.
Figure 6. Parameter optimization process of PSO.
Sustainability 16 07812 g006
Figure 7. Test set and training set of sense data.
Figure 7. Test set and training set of sense data.
Sustainability 16 07812 g007
Figure 8. Plot of total linear fit.
Figure 8. Plot of total linear fit.
Sustainability 16 07812 g008
Figure 9. NEV vehicle morphology design scheme.
Figure 9. NEV vehicle morphology design scheme.
Sustainability 16 07812 g009
Table 1. NEV sensibility vocabulary collection.
Table 1. NEV sensibility vocabulary collection.
1. Streamlined2. Dynamic3. Technological4. Simple5. Speedy6. Environmentally Friendly
7. Bright8. Light9. Powerful10. Comfortable11. Safe12. Stylish
Table 2. NEV user perceptual evaluation matrix.
Table 2. NEV user perceptual evaluation matrix.
SampleSleekEnergeticTechnologicalSimpleSpeedEco-FriendlyVibrantLightweightPowerfulComfortableSafe Stylish
13.324.023.373.652.784.214.233.672.783.473.173.82
22.282.052.182.873.032.361.772.053.273.553.072.62
33.824.033.413.733.693.054.163.823.073.723.254.06
1183.743.743.493.112.922.962.933.053.214.053.943.27
1193.663.382.963.483.973.173.454.054.063.024.063.65
1203.423.753.443.373.823.093.53.813.833.433.573.2
Table 3. Data reliability and validity analysis.
Table 3. Data reliability and validity analysis.
KMO0.727
Bartlett sphericity testApproximate chi-square value246.793
Freedom66
Significance<0.001
Table 4. Total variance explained.
Table 4. Total variance explained.
Initial EigenvalueExtract the Sum of SquaresRotational Load Sum of Squares
IngredientTotalPercentage of VarianceCumulative%TotalPercentage of VarianceCumulative%TotalPercentage of VarianceCumulative%
12.86523.87323.8732.86523.87323.8732.10117.51117.511
21.93816.14640.0191.93816.14640.0191.95316.27633.787
31.22810.23050.2491.22810.23050.2491.77814.81548.601
41.0238.52858.7771.0238.52858.7771.22110.17558.777
50.8927.43166.208
60.8006.66872.875
70.6885.73678.611
80.6025.01483.626
90.5634.68888.313
100.5354.45592.769
110.4834.02996.798
120.3843.202100.000
Table 5. Component matrix after rotation.
Table 5. Component matrix after rotation.
1234
Streamlined0.809
Energetic0.693
Technological0.540
Simple 0.827
Speed
Eco-friendly 0.753
Bright 0.664
Lightweight −0.623
Powerful 0.692
Comfortable 0.633
Safe 0.556
Stylish 0.649
Table 6. Matrix of component score coefficients.
Table 6. Matrix of component score coefficients.
1234
Streamlined0.491−0.091−0.2580.185
Energetic0.314−0.0790.0860.041
Technological0.2300.1320.017−0.193
Simple0.067−0.055−0.0460.673
Speed0.1960.193−0.046−0.116
Eco-friendly−0.2960.0360.5510.205
Bright0.008−0.0140.372−0.244
Lightweight0.219−0.3690.0740.026
Powerful−0.0120.3580.029−0.136
Comfortable0.0280.316−0.0400.101
Safe−0.1780.3290.1910.388
Stylish0.0620.0420.339−0.020
Table 7. NEV smart cockpit component evaluation mean value matrix.
Table 7. NEV smart cockpit component evaluation mean value matrix.
Component CategoryFuturisticSophisticatedOrganicMinimalist
Wheel hub5.654.873.564.76
Side windows3.275.285.174.81
Headlight5.324.934.823.38
Air intake grilles4.874.582.585.23
Side profile5.174.765.924.73
Reflector2.542.682.933.05
Car door2.873.044.233.25
Fog lights3.122.822.043.37
Table 8. Entropy and utility values of information for evaluation of NEV smart cockpit components.
Table 8. Entropy and utility values of information for evaluation of NEV smart cockpit components.
Component CategoryInformation Entropy ValueInformation Utility ValueWeighting Value (%)
Wheel hub0.770.239.855
Side windows0.7880.2129.063
Headlight0.7870.2139.127
Air intake grilles0.7880.2129.075
Side profile0.4790.52122.289
Reflector0.7130.28712.285
Car door0.5620.43818.738
Fog lights0.7760.2249.57
Table 9. NEV smart cockpit component evaluation mean value matrix.
Table 9. NEV smart cockpit component evaluation mean value matrix.
Index ValuePositive Ideal Solution Distance (D+)Negative Ideal Solution Distance (D−)Combined Score IndexOrdering
Wheel hub0.310612470.800670340.720491972
Side windows0.410583040.764635030.650632473
Headlight0.481332420.709496320.595800465
Air intake grilles0.433749150.753820250.63475894
Side profile0.176531340.848959660.827856771
Reflector0.95676560.104598950.098551398
Car door0.815866870.276225330.252932246
Fog lights0.899349790.125869640.122773377
Table 10. Mapping matrix of NEV styling features and user perceptual evaluation.
Table 10. Mapping matrix of NEV styling features and user perceptual evaluation.
BrochureWheel HubSide WindowsHeadlightAir Intake GrilleSide ProfileFuturisticSophisticatedOrganicMinimalist
1719752.223.743.82.8
2856414.223.483.961.81
3178222.354.153.134.43
44761102.122.962.053.07
554101084.243.333.952.98
6719752.223.743.82.8
1155384102.532.642.692.34
116847813.762.592.682.85
1173571092.562.154.384.57
118628151.824.313.423.61
119885493.784.472.594.41
1202711063.762.163.113.62
Table 11. Comparison of algorithms.
Table 11. Comparison of algorithms.
Sports EventSVRBPNNARMGBT
Algorithm typeSupervised LearningSupervised LearningUnsupervised LearningIntegrated Learning
Scope of applicationLinear and nonlinearNonlinear dataData miningNonlinear data
Data requirementsSmall number of samplesLarge number of samplesLarge amount of dataMedium to large amount of data
Adjustable parametersKernel function type, penalty parameterLearning rate, number of neuronsMinimum support, minimum confidenceLearning rate, number of trees
Training speedMediumSlowerFastMedium to slow
Prediction speedFastFastFastFast
Memory consumptionLowHighLowHigh
Algorithm principleSupport vector interval maximization basedBackpropagation algorithmAssociation rule miningDecision tree integration
Disclaimer/Publisher’s Note: The statements, opinions and data contained in all publications are solely those of the individual author(s) and contributor(s) and not of MDPI and/or the editor(s). MDPI and/or the editor(s) disclaim responsibility for any injury to people or property resulting from any ideas, methods, instructions or products referred to in the content.

Share and Cite

MDPI and ACS Style

Liu, Z.; Chen, X.; Liang, X.; Huang, S.; Zhao, Y. RETRACTED: Research on Sustainable Form Design of NEV Vehicle Based on Particle Swarm Algorithm Optimized Support Vector Regression. Sustainability 2024, 16, 7812. https://doi.org/10.3390/su16177812

AMA Style

Liu Z, Chen X, Liang X, Huang S, Zhao Y. RETRACTED: Research on Sustainable Form Design of NEV Vehicle Based on Particle Swarm Algorithm Optimized Support Vector Regression. Sustainability. 2024; 16(17):7812. https://doi.org/10.3390/su16177812

Chicago/Turabian Style

Liu, Zongming, Xuhui Chen, Xinan Liang, Shiwen Huang, and Yang Zhao. 2024. "RETRACTED: Research on Sustainable Form Design of NEV Vehicle Based on Particle Swarm Algorithm Optimized Support Vector Regression" Sustainability 16, no. 17: 7812. https://doi.org/10.3390/su16177812

APA Style

Liu, Z., Chen, X., Liang, X., Huang, S., & Zhao, Y. (2024). RETRACTED: Research on Sustainable Form Design of NEV Vehicle Based on Particle Swarm Algorithm Optimized Support Vector Regression. Sustainability, 16(17), 7812. https://doi.org/10.3390/su16177812

Note that from the first issue of 2016, this journal uses article numbers instead of page numbers. See further details here.

Article Metrics

Back to TopTop