Feasibility Study and Results from a Baseline Multi-Tool Active Seismic Acquisition for CO2 Monitoring at the Hellisheiði Geothermal Field
Abstract
1. Introduction
2. Materials and Methods
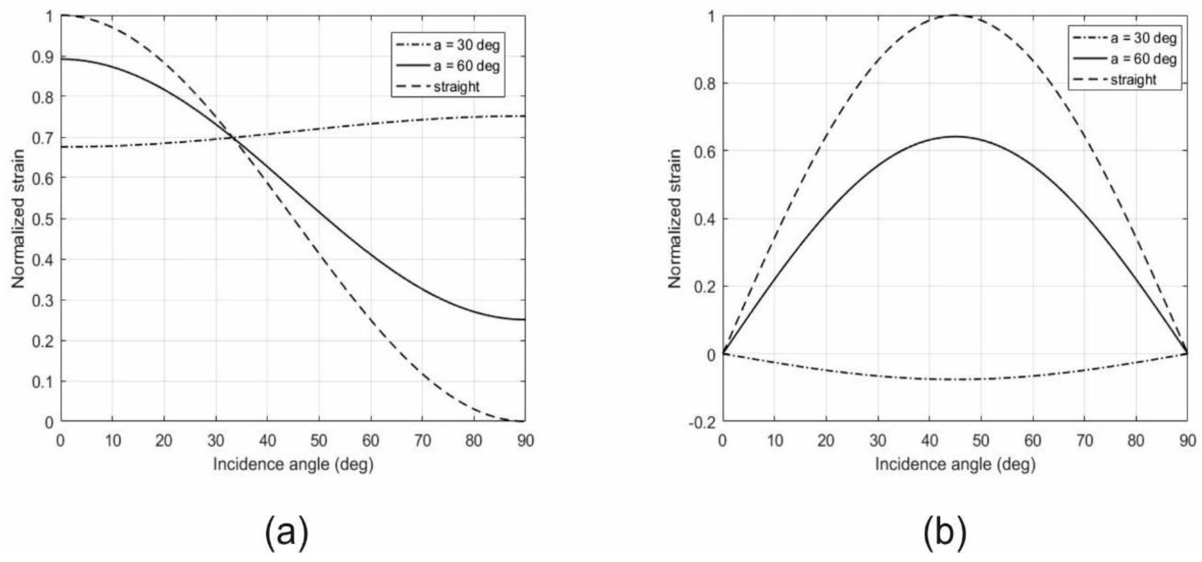
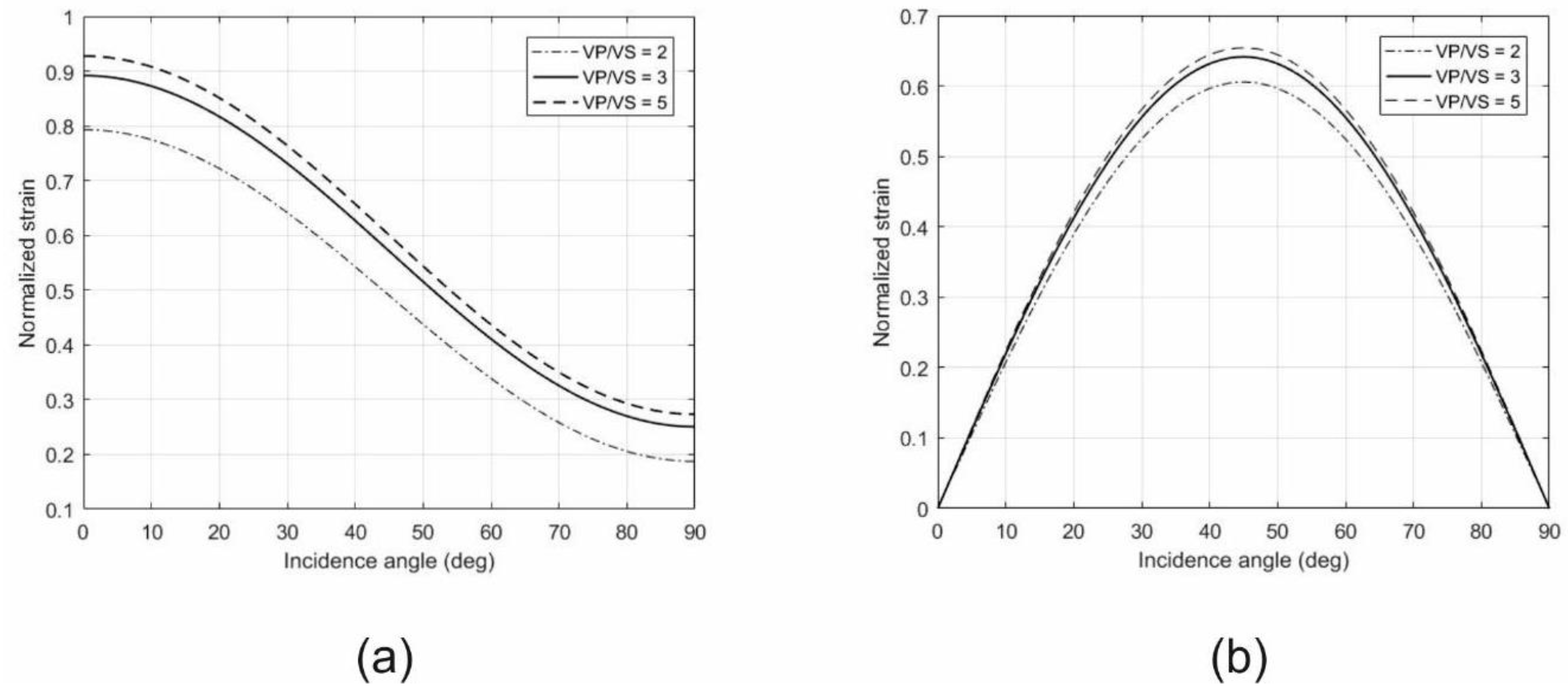
2.1. DAS Fibers Sensitivity
2.2. Feasibility Study
2.3. Synthetic Seismograms
2.4. Seismic Acquisition at Hellisheiði Geothermal Field
2.5. Receiver Line Configuration and Data Merging

2.6. Vibrator-Source Parameters with Focus on the Pilot Signal
3. Results and Discussion
3.1. In-Field and Remote QC from Headquarters
3.2. Post-Acquisition Signal Analysis
3.3. S/N Improvement in the Optical Signals

3.4. Tuning of the Synthetic Model by Field Results
3.5. Analysis of HWC DAS and Multi-Component Geophone Signals
3.6. Source Penetration
3.7. Considerations on Mathematical Optimization Frameworks for Survey Design
4. Conclusions
Author Contributions
Funding
Institutional Review Board Statement
Informed Consent Statement
Data Availability Statement
Acknowledgments
Conflicts of Interest
References
- Tomassi, A.; Caforio, A.; Romano, E.; Lamponi, E.; Pollini, A. The development of a Competence Framework for Environmental Education complying with the European Qualifications Framework and the European Green Deal. J. Environ. Educ. 2024, 55, 153–179. [Google Scholar] [CrossRef]
- Lindsey, N.J.; Martin, E.R.; Dreger, D.S.; Freifeld, B.; Cole, S.; James, S.R.; Biondi, B.L.; Ajo-Franklin, J.B. Fiber-Optic Network Observations of Earthquake Wavefields. Geophys. Res. Lett. 2017, 44, 11792–11799. [Google Scholar] [CrossRef]
- Walter, F.; Gräff, D.; Lindner, F.; Paitz, P.; Köpfli, M.; Chmiel, M.; Fichtner, A. Distributed acoustic sensing of microseismic sources and wave propagation in glaciated terrain. Nat. Commun. 2020, 11, 2436. [Google Scholar] [CrossRef] [PubMed]
- Lellouch, A.; Schultz, R.; Lindsey, N.J.; Biondi, B.L.; Ellsworth, W.L. Low-Magnitude Seismicity With a Downhole Distributed Acoustic Sensing Array—Examples From the FORGE Geothermal Experiment. J. Geophys. Res. Solid Earth 2021, 126, e2020JB020462. [Google Scholar] [CrossRef]
- Sladen, A.; Rivet, D.; Ampuero, J.P.; De Barros, L.; Hello, Y.; Calbris, G.; Lamare, P. Distributed sensing of earthquakes and ocean-solid Earth interactions on seafloor telecom cables. Nat. Commun. 2019, 10, 5777. [Google Scholar] [CrossRef]
- Lellouch, A.; Yuan, S.; Spica, Z.; Biondi, B.; Ellsworth, W.L. Seismic Velocity Estimation Using Passive Downhole Distributed Acoustic Sensing Records: Examples From the San Andreas Fault Observatory at Depth. J. Geophys. Res. Solid Earth 2019, 124, 6931–6948. [Google Scholar] [CrossRef]
- Jousset, P.; Reinsch, T.; Ryberg, T.; Blanck, H.; Clarke, A.; Aghayev, R.; Hersir, G.P.; Henninges, J.; Weber, M.; Krawczyk, C.M. Dynamic strain determination using fibre-optic cables allows imaging of seismological and structural features. Nat. Commun. 2018, 9, 2509. [Google Scholar] [CrossRef]
- Cheng, F.; Chi, B.; Lindsey, N.J.; Dawe, T.C.; Ajo-Franklin, J.B. Utilizing distributed acoustic sensing and ocean bottom fiber optic cables for submarine structural characterization. Sci. Rep. 2021, 11, 5613. [Google Scholar] [CrossRef] [PubMed]
- Williams, E.F.; Fernández-Ruiz, M.R.; Magalhaes, R.; Vanthillo, R.; Zhan, Z.; González-Herráez, M.; Martins, H.F. Distributed sensing of microseisms and teleseisms with submarine dark fibers. Nat. Commun. 2019, 10, 5778. [Google Scholar] [CrossRef]
- Zhu, T.; Stensrud, D.J. Characterizing Thunder-Induced Ground Motions Using Fiber-Optic Distributed Acoustic Sensing Array. J. Geophys. Res. Atmos. 2019, 124, 12810–12823. [Google Scholar] [CrossRef]
- Lellouch, A.; Biondi, B.L. Seismic Applications of Downhole DAS. Sensors 2021, 21, 2897. [Google Scholar] [CrossRef] [PubMed]
- Foulger, G. Geothermal exploration and reservoir monitoring using earthquakes and the passive seismic method. Geothermics 1982, 11, 259–268. [Google Scholar] [CrossRef]
- Edwards, B.; Kraft, T.; Cauzzi, C.; Kastli, P.; Wiemer, S. Seismic monitoring and analysis of deep geothermal projects in St Gallen and Basel, Switzerland. Geophys. J. Int. 2015, 201, 1022–1039. [Google Scholar] [CrossRef]
- Kasahara, J.; Hasada, Y.; Kuzume, H.; Fujise, Y.; Yamaguchi, T.; Mikada, H. Seismic Time-lapse Approach to Monitor Temporal Changes in the Supercritical Water Reservoir. In Proceedings of the 43rd Workshop on Geothermal Reservoir Engineering, Stanford, CA, USA, 11–13 February 2019. [Google Scholar]
- Rossi, C.; Grigoli, F.; Cesca, S.; Heimann, S.; Gasperini, P.; Hjörleifsdóttir, V.; Dahm, T.; Bean, C.J.; Wiemer, S.; Scarabello, L.; et al. Full-Waveform based methods for Microseismic Monitoring Operations: An Application to Natural and Induced Seismicity in the Hengill Geothermal Area, Iceland. Adv. Geosci. 2020, 54, 129–136. [Google Scholar] [CrossRef]
- Verdon, J.P.; Kendall, J.-M.; White, D.J.; Angus, D.A.; Fisher, Q.J.; Urbancic, T. Passive seismic monitoring of carbon dioxide storage at Weyburn. Lead. Edge 2010, 29, 200–206. [Google Scholar] [CrossRef]
- Ajayi, T.; Gomes, J.S.; Bera, A. A review of CO2 storage in geological formations emphasizing modeling, monitoring and capacity estimation approaches. Pet. Sci. 2019, 16, 1028–1063. [Google Scholar] [CrossRef]
- Tsuji, T.; Ikeda, T.; Matsuura, R.; Mukumoto, K.; Hutapea, F.L.; Kimura, T.; Yamaoka, K.; Shinohara, M. Continuous monitoring system for safe managements of CO2 storage and geothermal reservoirs. Sci. Rep. 2021, 11, 19120. [Google Scholar] [CrossRef]
- Durucan, S.; Korre, A.; Parlaktuna, M.; Senturk, E.; Wolf, K.-H.; Chalari, A.; Stork, A.; Nikolov, S.; De Kunder, R.; Sigfusson, B.; et al. SUCCEED: A CO2 storage and utilisation project aimed at mitigating against greenhouse gas emissions from geothermal power production. In Proceedings of the 15th Greenhouse Gas Control Technologies Conference, Abu Dhabi, United Arab Emirates, 15–18 March 2021. [Google Scholar] [CrossRef]
- Stork, A.L.; Chalari, A.; Durucan, S.; Korre, A.; Nikolov, S. Fibre-optic monitoring for high-temperature Carbon Capture, Utilization and Storage (CCUS) projects at geothermal energy sites. First Break. 2020, 38, 61–67. [Google Scholar] [CrossRef]
- Parlaktuna, M.; Durucan, Ş.; Parlaktuna, B.; Sinayuç, Ç.; Janssen, M.T.G.; Şentürk, E.; Tonguç, E.; DemïRcïOğlu, Ö.; Poletto, F.; Böhm, G.; et al. Seismic velocity characterisation and survey design to assess CO2 injection performance at Kızıldere geothermal field. Turk. J. Earth Sci. 2021, 30, 1061–1075. [Google Scholar] [CrossRef]
- Janssen, M.; Draganov, D.; Bos, J.; Farina, B.; Barnhoorn, A.; Poletto, F.; Otten, G.V.; Wolf, K.; Durucan, S. Monitoring CO2 Injection into Basaltic Reservoir Formations at the HellisheiÐi Geothermal Site in Iceland: Laboratory Experiments. In Proceedings of the 83rd EAGE Annual Conference & Exhibition, Madrid, Spain, 6–9 June 2022; Volume 2022, pp. 1–5. [Google Scholar] [CrossRef]
- Bellezza, C.; Barison, E.; Farina, B.; Poletto, F.; Meneghini, F.; Böhm, G.; Draganov, D.; Janssen, M.T.G.; Van Otten, G.; Stork, A.L.; et al. Multi-Sensor Seismic Processing Approach Using Geophones and HWC DAS in the Monitoring of CO2 Storage at the Hellisheiði Geothermal Field in Iceland. Sustainability 2024, 16, 877. [Google Scholar] [CrossRef]
- Stork, A.; Poletto, F.; Draganov, D.; Janssen, M.; Hassing, S.; Meneghini, F.; Böhm, G.; David, A.; Farina, B.; Schleifer, A.; et al. Monitoring CO2 injection with passive and active seismic surveys: Case study from the Hellisheiði geothermal field, Iceland. In Proceedings of the 16th Greenhouse Gas Control Technologies Conference (GHGT-16), Lyon, France, 23–24 October 2022. [Google Scholar] [CrossRef]
- Hassing, S.H.W.; Draganov, D.; Janssen, M.; Barnhoorn, A.; Wolf, K.-H.A.A.; Van Den Berg, J.; Friebel, M.; Van Otten, G.; Poletto, F.; Bellezza, C.; et al. Imaging CO2 reinjection into basalts at the CarbFix2 reinjection reservoir (Hellisheiði, Iceland) with body-wave seismic interferometry. Geophys. Prospect. 2024, 72, 1919–1933. [Google Scholar] [CrossRef]
- Dell’Aversana, P.; Ceragioli, E.; Morandi, S.; Zollo, A. A simultaneous acquisition test of high density “global offset” seismic in complex geological settings. First Break. 2000, 18, 87–96. [Google Scholar] [CrossRef]
- Willis, M.E. Distributed Acoustic Sensing for Seismic Measurements—What Geophysicists and Engineers Need to Know; Society of Exploration Geophysicists: Houston, TX, USA, 2022; ISBN 978-1-56080-384-3. [Google Scholar]
- Kuvshinov, B.N. Interaction of helically wound fibre-optic cables with plane seismic waves. Geophys. Prospect. 2016, 64, 671–688. [Google Scholar] [CrossRef]
- Poletto, F.; Finfer, D.; Corubolo, P. Broadside wavefields in horizontal helically-wound optical fiber and hydrophone streamer. In SEG Technical Program Expanded Abstracts 2015; SEG: Houston, TX, USA, 2015; pp. 95–99. [Google Scholar]
- Dean, T.; Cuny, T.; Hartog, A.H. The effect of gauge length on axially incident P-waves measured using fibre optic distributed vibration sensing. Geophys. Prospect. 2017, 65, 184–193. [Google Scholar] [CrossRef]
- Hornman, J.C. Field trial of seismic recording using distributed acoustic sensing with broadside sensitive fibre-optic cables. Geophys. Prospect. 2017, 65, 35–46. [Google Scholar] [CrossRef]
- Gunnarsson, G. Temperature dependent injectivity and induced seismicity—Managing reinjection in the Hellisheidi Field, SW-Iceland. Geotherm. Resour. Counc. Trans. 2013, 37, 1019–1025. [Google Scholar]
- Bjarnason, I.T.; Menke, W.; Flóvenz, Ó.G.; Caress, D. Tomographic image of the Mid-Atlantic Plate Boundary in southwestern Iceland. J. Geophys. Res. Solid Earth 1993, 98, 6607–6622. [Google Scholar] [CrossRef]
- Stefánsson, R.; Böđvarsson, R.; Slunga, R.; Einarsson, P.; Jakobsdóttir, S.; Bungum, H.; Gregersen, S.; Havskov, J.; Hjelme, J.; Korhonen, H. Earthquake prediction research in the South Iceland seismic zone and the SIL project. Bull. Seismol. Soc. Am. 1993, 83, 696–716. [Google Scholar] [CrossRef]
- Tryggvason, A.; Rognvaldsson, S.T.; Flovenz, O.G. Three-dimensional imaging of the P- and S-wave velocity structure and earthquake locations beneath Southwest Iceland. Geophys. J. Int. 2002, 151, 848–866. [Google Scholar] [CrossRef]
- Sallas, J.J. Seismic vibrator control and the downgoing P-wave. Geophysics 1984, 49, 732–740. [Google Scholar] [CrossRef]
- Poletto, F.; Schleifer, A.; Zgauc, F.; Meneghini, F.; Petronio, L. Acquisition and deconvolution of seismic signals by different methods to perform direct ground-force measurements. J. Appl. Geophys. 2016, 135, 191–203. [Google Scholar] [CrossRef]
- Levander, A. Fourth-order finite-difference P-S. Geophysics 1988, 53, 1425–1436. [Google Scholar] [CrossRef]
- Gardner, G.H.F.; Gardner, L.W.; Gregory, A.R. Formation velocity and density—The disgnostic basics for stratigraphic traps. Geophysics 1974, 39, 770–780. [Google Scholar] [CrossRef]
- Zhang, Y.; Yin, Z.; López, O.; Siahkoohi, A.; Louboutin, M.; Kumar, R.; Herrmann, F.J. Optimized time-lapse acquisition design via spectral gap ratio minimization. Geophysics 2023, 88, A19–A23. [Google Scholar] [CrossRef]
- Guo, Y.; Lin, R.; Sacchi, M.D. Optimal Seismic Sensor Placement Based on Reinforcement Learning Approach: An Example of OBN Acquisition Design. IEEE Trans. Geosci. Remote Sens. 2023, 61, 1–12. [Google Scholar] [CrossRef]
- Kumar, R.; Vassallo, M.; Zarkhidze, A.; Diagon, F.L.; Poole, G.; Allen, T.; Bloor, R.; Salinas, L.A. Generalised Survey Optimisation with Constraints. First Break. 2024, 42, 35–40. [Google Scholar] [CrossRef]

















Disclaimer/Publisher’s Note: The statements, opinions and data contained in all publications are solely those of the individual author(s) and contributor(s) and not of MDPI and/or the editor(s). MDPI and/or the editor(s) disclaim responsibility for any injury to people or property resulting from any ideas, methods, instructions or products referred to in the content. |
© 2024 by the authors. Licensee MDPI, Basel, Switzerland. This article is an open access article distributed under the terms and conditions of the Creative Commons Attribution (CC BY) license (https://creativecommons.org/licenses/by/4.0/).
Share and Cite
Meneghini, F.; Poletto, F.; Bellezza, C.; Farina, B.; Draganov, D.; Van Otten, G.; Stork, A.L.; Böhm, G.; Schleifer, A.; Janssen, M.; et al. Feasibility Study and Results from a Baseline Multi-Tool Active Seismic Acquisition for CO2 Monitoring at the Hellisheiði Geothermal Field. Sustainability 2024, 16, 7640. https://doi.org/10.3390/su16177640
Meneghini F, Poletto F, Bellezza C, Farina B, Draganov D, Van Otten G, Stork AL, Böhm G, Schleifer A, Janssen M, et al. Feasibility Study and Results from a Baseline Multi-Tool Active Seismic Acquisition for CO2 Monitoring at the Hellisheiði Geothermal Field. Sustainability. 2024; 16(17):7640. https://doi.org/10.3390/su16177640
Chicago/Turabian StyleMeneghini, Fabio, Flavio Poletto, Cinzia Bellezza, Biancamaria Farina, Deyan Draganov, Gijs Van Otten, Anna L. Stork, Gualtiero Böhm, Andrea Schleifer, Martijn Janssen, and et al. 2024. "Feasibility Study and Results from a Baseline Multi-Tool Active Seismic Acquisition for CO2 Monitoring at the Hellisheiði Geothermal Field" Sustainability 16, no. 17: 7640. https://doi.org/10.3390/su16177640
APA StyleMeneghini, F., Poletto, F., Bellezza, C., Farina, B., Draganov, D., Van Otten, G., Stork, A. L., Böhm, G., Schleifer, A., Janssen, M., Travan, A., Zgauc, F., & Durucan, S. (2024). Feasibility Study and Results from a Baseline Multi-Tool Active Seismic Acquisition for CO2 Monitoring at the Hellisheiði Geothermal Field. Sustainability, 16(17), 7640. https://doi.org/10.3390/su16177640

