Next Article in Journal
The Integration of Phosphorus-Solubilizing Rhizobacteria, Eisenia fetida and Phosphorus Rock Improves the Availability of Assimilable Phosphorus in the Vermicompost
Next Article in Special Issue
The Path Driving China’s Energy Structure Transformation from the Perspective of Policy Tools
Previous Article in Journal
Toward Understanding Research Evolution on Indirect Drivers of Ecosystem Change along the Interface of Protected and Non-Protected Lands
Previous Article in Special Issue
Geopolitical Risk and Ownership Decision in Green Overseas Investment: Dual Moderation of Corporate Green Technology Capability and Host Green Governance
 
 
Font Type:
Arial Georgia Verdana
Font Size:
Aa Aa Aa
Line Spacing:
Column Width:
Background:
Article

Research on Carbon Cap Regulation, Retailer Altruistic Preferences, and Green Decision-Making of Manufacturing Enterprises

1
School of Economics and Management, Shihezi University, Shihezi 832061, China
2
School of Urban and Regional Sciences, Shanghai University of Finance and Economics, Shanghai 200433, China
*
Author to whom correspondence should be addressed.
Sustainability 2024, 16(17), 7575; https://doi.org/10.3390/su16177575
Submission received: 16 July 2024 / Revised: 24 August 2024 / Accepted: 29 August 2024 / Published: 1 September 2024

Abstract

As manufacturing advances swiftly and public consciousness about low-carbon practices rises, eco-friendly supply chains have seen significant expansion. This study investigates a government-driven green supply chain in two phases, involving a producer and a seller. Four scenario game models are established to determine whether the manufacturer engages in green technology innovation or whether the retailer has altruistic preferences. The Stackelberg game was used to analyze changes in government carbon quota regulations, retail prices of retailers, and manufacturers’ carbon reduction efforts in the context of carbon market trading. Research shows that the government will set looser carbon emission limits for manufacturers when retailers have no altruistic preferences. When carbon prices in the market are low, encouraging manufacturers to invest in green technology innovation enhances social welfare. This study offers essential theoretical backing for the government in crafting carbon quota regulations and aids businesses in making prompt technological innovation choices.

1. Introduction

As global climate change intensifies, cutting carbon emissions and attaining sustainable growth have emerged as vital concerns for governments and corporations around the globe. The manufacturing industry, being a major consumer of energy and emitter of carbon [1], has a particularly significant impact on the environment through its manufacturing processes and logistics. Over the past few years, Green Supply Chain Management (GSCM) has rapidly developed as a new model of supply chain management. GSCM aims to integrate environmental management into every stage of the supply chain, from raw material procurement, production, and transportation to waste disposal, in order to achieve efficient resource use and minimize environmental impact [2].
The government is instrumental in advancing the growth of green supply chains. By establishing environmental regulations, setting carbon emission limits, and promoting the development of carbon trading markets, the government can effectively guide companies to adopt green production and management measures. For instance, in its 13th Five-Year Plan, the Chinese government explicitly called for vigorous promotion of green manufacturing and the green transformation and upgrading of traditional industries [3]. Additionally, the European Union’s Emissions Trading System (ETS) has emerged as the largest carbon market globally, offering companies a market-based approach that efficiently curbs carbon emissions [4]. Driven by government policies and market demand, manufacturing companies worldwide are adopting green production measures and actively participating in carbon trading markets, thus advancing green supply chain management [5,6]. As a leading global industrial manufacturing company, Siemens extensively applies green technologies in its production processes, such as energy management systems and clean production technologies. Through these measures, Siemens has not only significantly reduced carbon emissions during production but also improved resource utilization efficiency. Siemens revealed a EUR 2 billion worldwide investment strategy in 2023, encompassing the establishment of new manufacturing plants, R&D hubs, and training facilities globally. Siemens’ products sold in 2023 are projected to help customers avoid approximately 190 million tons of CO2 emissions, a 24% increase over the previous year. Toyota, through the implementation of a comprehensive environmental management system, promotes green manufacturing across its global production network. Toyota adopts low-carbon technologies in its production processes and actively participates in carbon trading markets, further reducing its carbon footprint by purchasing carbon credits.
As an important link along the supply chain, retailers significantly impact the functioning of green supply chains. Research indicates that when retailers consider the interests of other supply chain members alongside their own, their altruistic preferences positively influence the stability and overall performance of the supply chain [7]. Retailers’ altruistic preferences can enhance manufacturing companies’ motivation for green technology innovation. In traditional supply chain models, members typically make decisions with a focus on maximizing their own benefits, which can lead to shortsighted behavior and resource waste [8,9]. Additionally, retailers’ altruistic preferences help share the costs of green initiatives, enhancing the economic advantages of the supply chain. Green supply chain management often involves higher initial investments and operating costs, such as purchasing carbon credits and implementing clean production technologies [10]. If retailers are willing to make some concessions on price or share the green costs with manufacturing companies, the financial pressure on manufacturers will be greatly reduced, allowing them to focus more on green production and innovation. This benefit-sharing mechanism boosts the economic efficiency of the supply chain and its members, forming long-term, stable partnerships [11]. For example, Nike collaborates with its footwear suppliers to promote adopting environmentally friendly materials as well as clean production technologies. Through the Sustainable Manufacturing and Sourcing Index (SMSI), Nike assesses the environmental performance of its suppliers and rewards those who perform well with incentives and collaboration opportunities. Nike provides support not only in terms of pricing but also through technical assistance, helping suppliers improve their production processes to reduce waste and carbon emissions. Nike’s altruistic actions have not only enhanced the environmental capabilities of its suppliers but also increased the overall competitiveness of the supply chain [12]. Lastly, retailers’ altruistic preferences help enhance the social responsibility image of the supply chain. Modern consumers are placing growing importance on corporate social responsibility and environmental performance [13]. When retailers and manufacturers jointly commit to sustainable development and transparently showcase their environmental efforts and achievements, they can not only build consumer trust and loyalty but also enhance their brand value and market competitiveness. In summary, retailers’ altruistic preferences towards manufacturers play a significant positive role in green supply chain management. These preferences, by fostering green technology innovation, distributing green costs, optimizing resource allocation, and strengthening the social responsibility image, can greatly enhance the supply chain’s overall performance and long-term sustainability. However, whether retailers’ altruistic preferences influence carbon reduction decisions, market prices, and social welfare in green supply chains requires further study.
To sum up, most of their studies did not consider influence of varying carbon emission caps and carbon prices on green technology innovation in manufacturing enterprises and retailers’ altruistic preferences. This study investigates the following key research questions: What impact do changes in carbon prices and product carbon emissions have on the government’s establishment of carbon emission limits?
This article examines the impact of changes in emission limits and carbon prices on the implementation of green technology innovation activities by enterprises. It also investigates which model best supports the maximization of social welfare. Additionally, the study explores how retailers’ altruistic preferences and carbon pricing influence the profits of different stakeholders within the supply chain. By thoroughly analyzing the interaction between retailers’ altruistic preferences and manufacturers’ strategic choices, the article provides a theoretical framework for selecting government carbon reduction policies and promoting timely green technology innovations by enterprises.

2. Literature Review

The role of carbon quotas, green technology innovation, and altruistic preferences in supply chain management has been widely studied. This section reviews and synthesizes the literature concerning the application of these three aspects in green supply chain.

2.1. Carbon Cap Regulation

Carbon cap regulation refers to the setting of carbon emission limits by governments or relevant agencies for businesses. It allows for the trading of carbon emission quotas among enterprises through market mechanisms, thereby controlling total carbon emissions. The primary objective of carbon cap regulation is to incentivize businesses to optimize production processes and adopt low-carbon technologies through economic incentives, thus reducing carbon emissions. Carbon cap regulation, as a significant policy tool, is essential for reducing emissions. Recently, its application within green supply chains has been a major focus of academic research.
In carbon emission quota trading markets, enterprises act as players in a game, buying and selling carbon emission quotas based on appropriate carbon prices to maximize their benefits while conducting their production operations [14,15,16]. Xu et al. utilized game theory to investigate price mechanisms in carbon emission quota trading, analyzing optimal trading strategies under different market structures. The research indicates that in competitive markets, enterprises make decisions based on market prices of carbon emission quotas and their own marginal abatement costs, thereby achieving optimal allocation of carbon emissions [17]. In green supply chains, the cooperation and competition relationships among supply chain members have significant implications for carbon emission control. Wang et al. consider carbon reduction and the reputation for corporate social responsibility as internal factors in the collaborative emission reduction efforts within supply chain networks. They employ a stochastic differential game model to assess joint emission reduction strategies over the long term within a three-tier supply chain system. The results indicate that a Stackelberg leader–follower game, where manufacturers take the lead, can achieve Pareto improvements in profits for suppliers, manufacturers, retailers, and the entire supply chain [18]. Zhao and Hou developed a game theory model to analyze manufacturer encroachment in the context of carbon reduction and asymmetric information. Their findings reveal that, in the absence of manufacturer encroachment, carbon emission reductions benefit the entire supply chain [19]. As the regulator of carbon cap policies, the government directly influences corporate behavior through its regulations. Zhang et al. designed a game theory model to examine the effects of various policy instruments, such as carbon taxes and carbon trading, on corporate emission reduction actions. Their study suggests that well-designed policies can motivate enterprises to adopt low-carbon technologies and improve the effectiveness of emission reductions [20]. In summary, research on the application of carbon cap regulation in green supply chain management has produced significant insights, offering valuable guidance for policy development and corporate decision-making.

2.2. Green Technological Innovation

Eco-friendly supply chain management integrates environmental considerations into all chain activities, with the goal of minimizing ecological impacts and improving resource utilization. In recent years, researchers have increasingly focused on technological innovation within green supply chains, viewing it as a critical pathway to achieving environmental sustainability. For instance, Liu et al. pointed out that green technological innovation is crucial for enhancing corporate competitiveness [21]. Factors influencing motives and efficiency of green technological innovation in manufacturing firms include policy pressures, market demands, corporate social responsibility, and competitive pressures [22]. Government environmental regulations and incentive policies play a significant role in driving corporate technological innovation. For example, China’s carbon quota policies and the EU’s Emissions Trading System (ETS) have incentivized increased research and development investments in environmental technologies [23]. Furthermore, growing consumer awareness of environmental issues and demand for green products have also spurred corporate technological innovation [24]. Despite the crucial role of green technological innovation in environmental management, businesses face numerous challenges in implementation. High research and development costs, uncertain market returns, and technological uncertainties are major barriers. Additionally, the complexity of green supply chains and difficulties in coordination among businesses increase the challenges of implementing green technological innovation [25]. Research demonstrates that implementing technological innovation in green supply chains significantly improves environmental performance [26]. For example, adopting clean production technologies and circular economy models can effectively reduce waste emissions and resource consumption. Green technological innovation not only positively impacts environmental performance but also enhances economic performance for businesses. By improving resource efficiency and reducing energy consumption, companies can lower production costs and thereby increase profit margins. Moreover, increasing market demand for green products presents new growth opportunities for businesses. Supply chain collaboration plays a critical role in driving green technological innovation. Studies indicates that collaborative initiatives between upstream and downstream enterprises within the supply chain significantly enhance the adoption and spread of technological innovation [27]. For instance, collaboration between manufacturers and suppliers in developing green materials and processes helps enhance the overall environmental performance of the supply chain. Additionally, government regulations (examples include carbon taxes, green subsidies, and cap regulations) stimulate green technological innovation activities in manufacturing within green supply chains. As research advances, Eghbali et al. formulated a tripartite evolutionary game model that includes technology firms, startups, and accelerators to investigate how both static and dynamic government interventions influence the development of green innovation chains. The study found that with government support extending throughout the chain, collaborative effects among all participants increase, leading to higher levels of cooperation and the formation of more comprehensive and systematic green innovation chains [28].

2.3. Altruistic Preference

Over the past few years, an increasing amount of research has focused on the altruistic preferences of companies in green supply chains, particularly those analyzing corporate behavior using game theory. Altruistic preference describes a company’s approach of taking into account their own interests along with the welfare of other companies in the supply chain, social welfare, and environmental protection [29,30,31]. In green supply chain management, altruistic preferences manifest as behaviors such as voluntarily reducing pollution, adopting environmentally friendly technologies, and supporting sustainable development. These preferences can be based on various factors, including a company’s sense of social responsibility, enhancement of brand image, and consumer preference for green products. Corporate altruistic behavior can enhance the overall performance of the supply chain through various means. Research shows that when supply chain members exhibit altruistic preferences, they can cooperatively achieve optimal resource allocation, enhancing overall supply chain efficiency. For example, Liu et al. explored the influence of altruistic companies within the supply chain, discovering that through voluntary emissions reductions and environmental investments, these companies reduce environmental costs across the supply chain and boost its sustainability. Several factors influence corporate altruistic behavior, including government policies, market pressures, social opinion, and corporate culture. Studies indicate that government environmental policies and incentives (such as tax breaks and subsidies) can effectively motivate companies to adopt altruistic behavior [32]. Additionally, consumer preference for green products and societal recognition of corporate environmental actions also drive altruistic behavior. In green supply chains with altruistic preferences, the cooperative relationships among supply chain members are particularly important. Wang et al. analyzed the cooperative strategies of supply chain members driven by altruistic preferences by constructing centralized and decentralized game models [33]. Their study revealed that altruistic retail companies foster friendly, harmonious, and cooperative relationships with manufacturers, leading to greater environmental and economic benefits and enhancing the supply chain’s overall effectiveness. In a competitive market environment, corporate altruistic preferences significantly impact the competitive landscape. Yu et al. analyzed the competitive strategies between altruistic and self-interested companies. The study found that altruistic companies often gain a competitive advantage by offering green products and services that appeal to consumers [34]. The government is pivotal in promoting corporate green behavior. In summary, the study of altruistic preferences in companies within green supply chains provides an important perspective for understanding the role of businesses in environmental protection.
A review of the relevant literature reveals that the effectiveness of green low-carbon policies, beyond the policies’ inherent rationality, also depends on the behavioral preferences and social responsibility perceptions of various supply chain participants [7,35]. Lin et al. focused on the nonlinear impact of retailers’ social responsibility perceptions and green preferences on pricing decisions, carbon reduction strategies, and supply chain coordination. While these studies have explored the impact of behavioral preferences on green supply chain decisions, they have not addressed the integration of government carbon caps and the coordination between them [35]. The distinctions between this work and prior studies are outlined across dimensions in Table 1.
An examination of current studies uncovers a significant gap in understanding how government carbon cap policies interact with the behavioral preferences of supply chain participants and influence their environmentally focused decisions. Therefore, this study aims to establish a game model involving the government, manufacturers, and retailers. The model will analyze four scenarios based on two strategies for manufacturers (green technology innovation and full purchase of carbon credits) and two preferences for retailers (with altruistic preferences and without altruistic preferences) using Stackelberg game theory. It will explore the interdependencies between the government’s carbon cap setting, retailers’ pricing or profit setting, and manufacturers’ carbon reduction levels or product wholesale prices.
The study makes the following key contributions:
(1)
It explores the dynamics between the government and supply chain members in establishing carbon caps and making green decisions.
(2)
It considers the consequences of retailers’ altruistic preferences on manufacturers’ green technology innovation and purchase of carbon credits.
(3)
It examines the influence of reduction rates and market carbon prices on government carbon cap policies.

3. Problem Outline and Approach

3.1. Overview of the Problem

Consider a secondary supply chain with one manufacturer (or supplier) and one retailer, where the retailer exhibits favorable preferences.
To maintain stability and coordination within the supply chain, the retailer takes into account the interests of manufacturing enterprises alongside their own profits and may even sacrifice some of their own profits. This situation often occurs in reality, for example, during the epidemic, JD.com used its platform advantages to launch the Industrial Belt Factory Direct Quality Plan for its manufacturing enterprises, helping manufacturing and foreign trade merchants build online sales systems and help them get out of the haze [36].
To encourage green production and reduce carbon emissions among enterprises, the government has established a carbon emission cap per unit of product, denoted as θ. Manufacturing firms within the supply chain incur no carbon emission charges if their emissions per product unit stay within the government-imposed limit. However, if their emissions exceed the cap θ, the manufacturer is required to purchase carbon credits. Carbon cap-and-trade mechanisms are widely implemented in countries like Finland, Poland, Denmark, and the United States. China began piloting these mechanisms in 2011, leading to the creation of a unified national carbon emissions trading market in 2021.
This article assumes that the government, retailers, and suppliers participate in a game with the following structure: First, the government determines the upper limit of unit product emissions θ. Next, retailers set the optimal retail price per unit of product, denoted as p, which is based on the emission cap p (p = w + u ). Finally, the manufacturer sets the wholesale price w and the emission reduction level e according to the retail price to maximize its profit. The structural features of this model are illustrated in Figure 1.

3.2. Stankelberg Game Theory

Stackelberg game is a dynamic game with complete information, and its game process is sequential. The core idea of this game involves players devising their own tactics by considering the potential moves of their rivals to optimize their benefits and reach a Nash equilibrium. In this process, participants have different positions and receive information in different orders. Usually, one party with stronger power is called a leader, while the other weaker party is called a follower, and their order of action is different. Specifically, market leaders first choose action plans, and then followers observe and make decisions based on this. Then, the leader adjusts their strategy based on follower responses, repeating the process until Nash equilibrium is achieved. This study employs the Stackelberg game model in model construction, assuming that the government makes choices according to maximizing social welfare first, followed by manufacturers, and retailers as followers make decisions last, as shown in Figure 1.

3.3. Basic Assumptions and Symbol Explanations

This paper studies the phenomenon of retailer-led enterprises within green supply chains. In this context, manufacturing companies may bear significant carbon emission costs, resulting in profits that are substantially lower than those of retailers. This imbalance in profits can negatively impact supply chain activities and might even cause partnerships to collapse. For instance, in March 2013, China’s low-carbon home appliance manufacturer Gree stopped supplying home appliances to China’s retail giant Gome due to Gome’s low-price purchasing strategy. Therefore, leading retailers must consider the profits of manufacturers to ensure their willingness to continue participating in the supply chain collaboration. In light of the above factors, this study assumes that retailers have altruistic preferences λ and makes the following assumptions.
Assumption 1. 
According to the relevant literature [37], to avoid a shortage of carbon credits, this study assumes that carbon credits in the carbon market are sufficiently available for trading.
Assumption 2. 
Let the market demand function be a linear function. An increase in the retail price of the product negatively affects demand. Consumers are unaware of the carbon emissions during the production process, so the product demand function is q = α n w + u , a comparable demand function has been utilized in the literature [17,38,39]. α represents the market potential, and n represents the consumers’ price sensitivity factor. To ensure non-negative market demand, it is required that α c n > 0 .
Assumption 3. 
The retailer is the leading enterprise, and its significant market power results in relatively higher profit margins. To maintain the stability of the supply chain, the leading retailer needs to consider the profitability of the manufacturer and exhibit altruistic preferences to prevent excessive profit disparity that could lead to the breakdown of the partnership [30].
Under Assumption 3, let the utility function of the altruistic retailer be as shown in Equation (1) [7]. At this juncture, we examine the optimal profit outcomes for both the profits of the manufacturer and the retailer. When the retailer’s altruistic preference coefficient satisfies 0 < λ < 1 / 3 , it can both increase the manufacturer’s willingness to cooperate and ensure that the retailer’s profit does not fall below that of the manufacturer due to altruistic preferences. Therefore, the following model assumes 0 < λ < 1 / 3 .
π m π r π r = 1 λ u q + λ π m
Assumption 4. 
The harm caused by manufacturers’ production activities to the environment is represented by function f T = Φ T 2 [15], where Φ represents the environmental damage index, and T represents the carbon emissions during the production phase.
Assumption 5. 
The manufacturer’s profit is πm, the retailer’s profit is πr, with the government’s aim being social welfare, as indicated by Zhang et al. [15] and Krass et al. [40], which can be expressed by the utility function π g = π r + π m + q b s e θ s Φ T 2 .
Assumption 6. 
The investment function k(e) for green technology innovation is a convex function of the emission reduction level e, denoted as k(e) = ke2/2, a similar profit function was adopted by the literature works [24,41]. Table 2 lists the symbols and their definitions used in this model.

4. Model Construction and Solution

This part examines the manufacturer’s operational choices and government carbon emission cap regulatory strategies under the influence of whether retailers have altruistic preferences and compares the social welfare across various scenarios, carbon emission caps, and optimal operational decisions. It can be divided into the following situations: ① When retailers have no altruistic preferences, carbon-emitting manufacturers purchase carbon credits while investing in green technology innovation and emission reduction (NT); ② Retailers without altruistic preferences, carbon-emitting manufacturers fully purchase carbon credits (NN); ③ Under the altruistic preference of retailers, carbon-emitting manufacturers purchase carbon credits while investing in green technology innovation to reduce emissions (CT) Under the altruistic preference of retailers, manufacturers fully purchase carbon credits (CN).

4.1. Decision Scenario NT

In the NT decision-making scenario, retailer slack altruistic preferences and focus solely on maximizing their own profits. Manufacturing companies reduce carbon emissions through green technology innovation based on purchasing carbon credits. The effect functions of the three game participants are shown in Equation (2):
π m N T = w c q q b s e θ s k e 2 / 2 π r N T = u × q π g N T = π r N T + π m N T + q b s e θ s Φ T 2
Proof. 
Firstly, obtain the Hessian matrix H = 2 n b n b n k of π m N T with respect to w and e. When k > b 2 n 2 , H is a negative definite matrix, and there exists an optimal solution w N T , e N T that maximizes the manufacturer’s profits. At this point, according to the reverse induction method, let π m N T e = π m N T w = 0 obtain w N T , e N T as shown in Equation (3).
w N T = α k b 2 n n u + α + k n c u + b s b s θ 2 k b 2 n e N T = α b b n b s + c + u b s θ 2 k b 2 n
Substitute Equation (3) into Equation (2), let π r N T u = 0 , and obtain the optimal unit product profit u N T and selling price p as shown in Equation (4).
u N T = α / 2 n c + b s b s θ / 2 p N T = w N T + α / 2 n c + b s b s θ / 2
Substitute Equations (3) and (4) into Equation (2), let π g N T θ = 0 , and obtain the optimal carbon emission upper limit θ N T as shown in Equation (5).
θ N T = α c n 2 k 2 3 b 2 k n 2 Φ b 2 n + b s n k 2 k + b 2 n 2 Φ b 2 n 4 k b n s b 2 n k + 2 b 2 n Φ + 2 k 2
Substitute Equation (5) into Equations (2)–(4) to obtain the optimal solution eNT, pNT, and θNT, as well as the profits π g N T , π m N T , and π r N T of the three game participants, as shown in Table 3. □

4.2. Other Decision-Making Contexts

In the NN scenario, retailers have no altruistic preferences and only focus exclusively on maximizing their own financial gains, while manufacturers fully purchase carbon credits to arrange product production. At this point, the effect functions of the three game participants can be expressed by Equation (6).
π m N N = w c q q b s θ s π r N N = u q π g N N = π r N N + π r N N + q b s θ s Φ T 2
In the CT scenario, when retailers have altruistic preferences, they will consider both upstream manufacturers and their own profits in the supply chain, and focus exclusively on maximizing the overall utility of the supply chain. This approach is informed by the relevant literature [37], the utility function of reciprocal altruistic retailers can be represented as \varPi r C T . In this scenario, manufacturers carry out green technology innovation to reduce carbon emissions on the basis of purchasing carbon credits. At this point, the effect functions of the three game participants can be expressed using Equation (7).
π m C T = w c q q b s θ s e k e 2 / 2 π r C T = 1 λ u q + λ π m C T π g C T = π r C T + π m C T + q b s θ s Φ T 2
In the CN scenario, retailers have altruistic preferences, and their utility function expression is the same as above, which is \varPi r C N = \varPi r C T . Manufacturers arrange the production of products by purchasing carbon credits. At this time, the effect functions of the three game participants can be expressed by Equation (8).
π m C N = w c q q b s θ s π r C N = 1 λ u q + λ π m C N π g C N = π r C N + π m C N + q b s θ s Φ T 2
In the context of NN, CT, and CN, the process of solving the optimal utility function for each decision variable and participating subject is the same as in the NT model and will not be repeated here. Table 2 presents the optimal solutions for each mode.

5. Evaluation of Model Findings

Based on the optimal solutions obtained from the four scenarios in Table 2, this section makes the following analysis: (1) The consequences of carbon prices on the government utility function (social welfare); (2) The consequences of carbon prices, manufacturers’ emission reduction levels, and retailers’ altruistic preferences on government decisions regarding carbon emission limits; (3) Influence of carbon prices on product pricing and output; (4) Influence of carbon prices on the profits of retailers and manufacturers.

5.1. The Impact of Carbon Prices on Social Welfare

Proposition 1. 
After providing the decision-making context for customized manufacturers, the government’s focus on social welfare πg is not influenced by downstream retailers’ altruistic preference λ but is only determined by the manufacturer’s decision behavior of choosing green technology innovation or fully purchasing carbon credits.
Table 2 is easy to directly see, π g N T = π g C T , π g N N = π g C N , therefore Proposition 1 holds.
Proposition 2. 
When the carbon price b in the market is low and drops below a particular threshold b*, and manufacturers choose to reduce carbon emissions through green innovation based on purchasing carbon credits, the government can achieve higher social welfare; When the carbon price b in the market exceeds the threshold b* and manufacturers complete product production by fully purchasing carbon credits, the government can achieve higher social welfare.
Proof. 
According to Table 2, it is easy to calculate π g N T π g N N = b k + 2 Φ α c n 2 8 s 2 Φ 2 n 8 k s Φ α c n 4 b 2 n k + 2 b 2 n Φ + 2 k 2 , π g N T π g N N = π g C T π g C N , when b > b * = 8 k s Φ α c n k + 2 Φ α c n 2 8 s 2 Φ 2 n , π g N T = π g C T > π g N N = π g C N , and vice versa π g N T = π g C T < π g N N = π g C N ; therefore, Proposition 2 is proven. □
Proposition 2 states that when carbon prices are low in the market, the cost of purchasing carbon credits for manufacturing enterprises is low. Therefore, the government’s carbon quota and carbon trading policies will reduce the carbon constraints on manufacturing enterprises. At this time, manufacturing enterprises will tend to purchase carbon credits to arrange production, which cannot achieve the expected effect of the government. If there are other mechanism designs that encourage manufacturing enterprises to be willing to reduce carbon emissions through green technology innovation, this will result in increased social welfare. However, when carbon prices in the market are elevated, the cost of purchasing carbon credits for manufacturing companies is high. At this time, manufacturing companies tend to reduce carbon emission costs through green technology innovation. Although manufacturing companies’ technological innovation improves the environment, it reduces product output and increases product prices, which is not conducive to social welfare. If there are other mechanism designs that encourage manufacturing companies to purchase carbon credits to arrange production, it will increase social welfare.
Combining Proposition 1, it can be explained that when the government’s carbon reduction policies are too strict, although the environment is improved, the higher carbon emission costs increase the production costs of manufacturers. At this time, retailers will offset the reduced profits from higher production costs by engaging in behavior. Ultimately, the positive impact of the environment compensates for the loss of profits of retailers in the supply chain, and the overall social welfare remains unchanged to achieve system balance. After the government implements loose carbon emission policies, the profit gains realized by supply chain businesses counterbalance the environmental drawbacks, resulting in an overall social welfare that remains unchanged to achieve system balance.

5.2. The Impact of Carbon Prices and Carbon Emissions on the Upper Limit of Carbon Emissions

Proposition 3. 
Regardless of whether retailers engage in altruistic behavior or not, the government-mandated carbon emission limit θ will decrease as the manufacturer’s carbon emissions per unit of product s or carbon emission price b increase.
Proof. 
According to Table 2, it is easy to prove that the following inequalities all satisfy: θ N T s < 0 , θ N N s < 0 , θ C T s < 0 , θ C N s < 0 , θ N T b < 0 θ N N b < 0 , θ C T b < 0 , θ C N b < 0 ; therefore, Proposition 3 holds. □
Proposition 4. 
Regardless of the decision-making behavior of manufacturing enterprises, when retailers have no altruistic preferences, the carbon emission limit provided by the government to manufacturers is higher than the carbon emission limit when retailers have favorable preferences, that is, θ N T > θ C T , θ N N > θ C N .
Proof. 
According to the settlement results in Table 2, θ N T θ C T = λ 2 k b 2 n α k c n k + 2 b n Φ s b n s 1 λ b 2 n k + 2 b 2 n Φ + 2 k 2 can be inferred, based on the assumed conditions 2 k b 2 n > 0 , α c n > 0 , 1 λ > 0 , and it is easy to conclude that θ N T θ C T > 0 , and the same can be proven θ N N θ C N > 0 . Therefore, Proposition 4 holds true. □
Proposition 5. 
When the carbon emissions per unit of product fall below a specified threshold s* or the carbon price b* is lower than a certain threshold b*, if the manufacturing enterprise opts to purchase carbon credits, the government will increase the carbon emission limit. Conversely, if the manufacturing enterprise chooses to pursue green technology innovation, the government will lower the carbon emission limit. However, when the carbon emissions per unit of product s exceed the threshold s* or the carbon price b is higher than the threshold b*, if the manufacturing enterprise chooses to purchase carbon credits, the government will lower the carbon emission limit. On the other hand, if the manufacturing enterprise selects green technology innovation, the government will increase the carbon emission limit.
Proof. 
Let b * = A 2 + 8 n k s 2 Φ 2 A / 2 n s Φ , s * = b k + Φ α c n / Φ 2 k b 2 n , A = k + ϕ α c n . According to the calculation results in Table 2, it is easy to conclude that θ N T θ N N = 4 Φ s 2 k b 2 n b k + Φ α c n s b 2 n k + 2 b 2 n Φ + 2 k 2 , θ C T θ C N = 2 2 3 λ Φ s 2 k b 2 n b k + Φ α c n s 1 λ b 2 n k + 2 b 2 n Φ + 2 k 2 , if it is s < s * or b < b * , it is easy to obtain θ N T θ N N < 0 , θ C T θ C N < 0 . Conversely, if it is s > s * or b > b * , there is θ N T θ N N > 0 , θ C T θ C N > 0 . □
Proposition 5 states that since the government cannot directly regulate carbon emissions from production, when facing polluting manufacturers, the government can only set lower carbon emission limits compared to clean manufacturers to indirectly encourage such manufacturers to upgrade their green technologies and reduce the carbon emissions per unit product. In addition, green innovation has the characteristics of high cost and high risk. Retailers with altruistic preferences can increase market demand by adjusting prices, thereby increasing manufacturers’ profits and indirectly providing them with certain market support. When retailers have no altruistic bias, the government will impose higher carbon emission limits on manufacturers to alleviate the pressure of green technology innovation. In addition, in order to reduce environmental pollution caused by production, the government will provide higher carbon emission limits to manufacturers engaged in green technology innovation when production costs are high (due to high product carbon emissions and expensive market carbon prices), compared to manufacturing enterprises that fully purchase carbon credits, in order to alleviate the financial pressure of technological upgrades on enterprises and promote green technology innovation to reduce emissions.

5.3. The Impact of Altruistic Preferences on Carbon Emission Limits

Proposition 6. 
When retailers have a favorable preference for others, as the degree of altruistic preference increases, the government will lower the carbon emission reduction limit for manufacturers when producing products.
Proof. 
Calculate the partial derivative of θ C T ¡¢ θ N T with respect to altruistic preference λ, and obtain θ C T λ = 2 k b 2 n α k c k n + 2 b n s Φ / b n s 1 λ 2 b 2 n k + 2 b 2 n Φ + 2 k 2 , θ N T λ = α c n / b n s 1 λ 2 . According to the assumptions of the model, since 2 k b 2 n > 0 , α c n > 0 , θ C T λ < 0 , θ N T λ < 0 can be proven. Proposition 6 is proven. □
Proposition 6 indicates that when retailers have favorable preferences, the carbon emission limit set by the government is inversely proportional to the altruistic preferences of retailers. It also suggests that retailers’ concern for the interests of manufacturers has a synergistic effect with the government’s carbon reduction incentives, especially green innovation incentives, for manufacturing enterprises. When retailers have favorable preferences, it to some extent reduces the cost pressure faced by manufacturing enterprises when facing strict carbon reduction policies (whether it is purchasing carbon credits or engaging in green technology innovation), thus enabling the implementation of relatively strict carbon reduction policies by the government and improving the overall social environment.

5.4. The Impact of Carbon Prices on Pricing and Demand

Proposition 7. 
After manufacturers make carbon reduction decisions, regardless of whether downstream retailers have altruistic preferences, they will not change the market demand and sales prices of their products.
This can be easily seen from Table 2; it exists q N T = q C T ¡¢ q N N = q C N , p N T = p C T ¡¢ p N N = p C N .
Proposition 8. 
If the carbon price b in the carbon market is below a certain threshold b o , regardless of whether retailers have altruistic preferences or not, manufacturing companies engaging in green technology innovation can help increase market demand and reduce commodity prices; If the carbon price b in the market exceeds the set threshold b o , manufacturers can fully purchase carbon credits, which is more conducive to increasing market demand and reducing product prices.
Proof. 
Let b o = 4 k s Φ 2 Φ + k α c n . According to Table 2, it can be seen that q N T q N N = q C T q C N = b n 4 Φ s k b k + 2 Φ α c n . When b < b o , q N T = q C T > q N N = q C N , due to the negative correlation between market demand and product prices, p N T = p C T < p N N = p C N is obtained. Conversely, when b > b o is obtained, the opposite result is obtained. Therefore, Proposition 8 holds. □
Proposition 8 states that because manufacturing enterprises can reduce their expenditure on purchasing carbon credits through green technology innovation, they can gain competitive advantages through low production costs and wholesale prices, thereby increasing production to meet market demand. As the government’s carbon emission policies continue to tighten and market carbon prices continue to rise, the government gradually relies on carbon trading revenue to maintain social welfare. In addition, as the marginal cost of green technology innovation increases, manufacturers and retailers have to raise their respective prices to counteract the cost increase, ultimately leading to a continuous decrease in market demand. At this point, due to insufficient demand, manufacturers consider that the benefits of green technology innovation are not significant, and fully purchasing carbon credits is a good strategy at this time.

5.5. The Impact of Carbon Prices on the Profits of Various Entities

Proposition 9. 
After manufacturers make any carbon reduction decision, retailers’ altruistic preferences will reduce their own profits in order to maintain supply chain stability.
This can be seen from Table 2, where π r N T > π r C T , π r N N > π r C N .
This is because, in the context of altruistic preferences, retailers will consider the impact of strict carbon emission policies imposed by the government on manufacturers’ production costs. Therefore, a portion of the profits will be given to the manufacturer to achieve system stability and coordination. In reality, if retailers have no altruistic preferences, although they can obtain higher profits temporarily, they may face greater losses when a supply chain crisis occurs. In order to preserve the stability of the supply chain system, strategically minded retailers opt for altruistic decisions.
Proposition 10. 
When manufacturers fully purchase carbon credits, retailers’ profits are not affected by carbon prices; When manufacturers engage in green technology innovation, as carbon prices continue to rise, retailers’ profits first increase and then decrease.
Proof. 
By taking the second-order partial derivative of π r N T = k 2 k b 2 n α k c k n + 2 b n s Φ 2 n b 2 n k + 2 b 2 n Φ + 2 k 2 2 with respect to carbon price b, it is easy to obtain 2 π r N T 2 b < 0 . This indicates that the retailer’s profit π r N T is a concave function with respect to carbon price b. Similarly, because of π r C T = 1 2 λ π r N T 1 λ , 2 π r C T 2 b < 0 , the retailer’s profit π r C T , is a concave function of the carbon price b. Therefore, the profits of retailers first increase and then decrease with the rise in carbon prices. □
Proposition 10 states that when the market carbon price is low, manufacturers are more likely to invest in green technology innovation as the carbon price begins to rise. In the early stages of green technology innovation, the costs of research and development are relatively low, leading to lower production costs and selling prices. This, in turn, increases market demand and boosts profits for both manufacturers and retailers. However, when the carbon price exceeds a certain threshold, the government tends to focus on stabilizing social welfare by increasing carbon trading revenue. At this point, the carbon emission limit for production units will be reduced, diminishing the benefits of green technology innovation for manufacturers. Additionally, the marginal effect of green technology innovation decreases. As carbon prices continue to rise, manufacturers may ultimately choose to fully purchase carbon credits to lower production costs and prices, thereby stabilizing profits for both manufacturing and retail entities.
Proposition 11. 
When manufacturers make carbon reduction decisions, their profits will not be changed regardless of whether downstream retailers have altruistic preferences.
This can be easily seen from Table 2, which satisfies π m N T = π m C T , π m N N = π m C N .
Proposition 12. 
When manufacturers fully purchase carbon credits, their profits are not affected by carbon prices; When manufacturers engage in green technology innovation, as carbon prices continue to rise, their profits first increase and then decrease.
Proof. 
By taking the second-order partial derivative of π m N T = π m C T = k 2 k b 2 n α k c k n + 2 b n s Φ 2 2 n b 2 n k + 2 b 2 n Φ + 2 k 2 2 with respect to carbon prices b, 2 π m N T 2 b = 2 π m C T 2 b < 0 can be easily obtained. This indicates that the manufacturer’s profits π m N T and π m C T are concave functions with respect to carbon price b. Therefore, as carbon prices rise, the manufacturer’s profits initially grow but eventually decline. □

6. Numerical Analysis

This section employs numerical simulation methods to analyze the impact of carbon prices and unit product carbon emissions on government carbon emission cap regulation, the profits of supply chain members, and social welfare within the carbon trading market. The analysis focuses on the following aspects: (1) The impact of carbon prices on social welfare; (2) The influence of unit product carbon emissions, carbon pricing, and altruistic preferences on government decisions regarding carbon emission caps; (3) The impact of carbon prices on market demand and pricing; (4) Evaluation of the effect of carbon pricing on the profitability of manufacturers and retailers. Under the assumption conditions of the model, without loss of generality, select parameters according to the constraints. Referring to reference [15], the parameter assignment concept that is as explanatory and applicable as possible to the actual situation is adopted, and the simulation parameter values are set as shown in Table 4.

6.1. Analysis of Optimal Social Welfare

Figure 2 illustrates the changing trend of social welfare influenced by market carbon prices and compares the social welfare of retailers with and without altruistic preferences. The following results can be obtained from Figure 2: (1) As manufacturers invest in green technology innovation, social welfare initially rises but subsequently declines with the ongoing increase in carbon prices. (2) When manufacturers fully purchase carbon credits, social welfare is not affected by the decline in market carbon prices. (3) When the carbon market price is low, (b < 0.462), and carbon-emitting manufacturers engage in green technology innovation, the government can obtain higher social welfare; When carbon prices in the market are elevated (b > 0.462), and manufacturers fully purchase carbon credits, the government can receive higher social welfare.

6.2. Analysis of Optimal Carbon Emission Cap

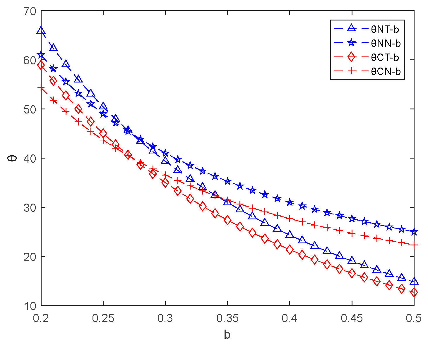
Figure 3, Figure 4 and Figure 5 illustrate the trends in government-mandated carbon emission limits for products, influenced by product carbon emissions and carbon prices, as well as a comparison of the impact of retailers’ altruistic preferences on carbon emission limits and manufacturers’ carbon emission strategies. The following results can be observed: (1) In all scenarios, the carbon emission limit set by the government decreases as carbon emissions per unit of production increase, with this downward trend being more pronounced when manufacturers fully purchase carbon credits. (2) The government is more likely to provide manufacturers with higher carbon emission limits when retailers do not exhibit altruistic preferences. (3) In scenarios where carbon emissions per unit of production are minimal (s < 0.960), the government grants higher carbon emission limits to manufacturers who fully purchase carbon credits. Conversely, when carbon emissions per unit of production are elevated, the government provides higher carbon emission limits to manufacturing enterprises engaged in green technology innovation. (4) Regardless of whether retailers have altruistic preferences, the carbon emission limit decreases with rising product carbon emissions and carbon prices. In other words, the government enforces stricter carbon limit policies as emissions and prices increase.

6.3. Analysis of the Impact of Altruistic Preference on Carbon Emission Cap

Figure 6 demonstrates how the government’s carbon emission limit per unit product changes in relation to the level of altruistic preference and the influence of manufacturers’ carbon emission policies. The key findings from Figure 6 are as follows: As retailers’ altruistic preferences increase, the government’s carbon emission limit per unit product steadily decreases. Additionally, Proposition 5 is reaffirmed. Specifically, when carbon emissions per unit product are high, the government sets a higher carbon emission ceiling for manufacturers engaged in green technology innovation compared to those who fully purchase carbon credits.

6.4. Analysis of Product Market Demand and Price

The following results can be obtained from Figure 7 and Figure 8: (1) When manufacturers engage in green technology innovation, market demand initially increases and then decreases as carbon prices continue to rise, while product prices first decrease and then increase. (2) When manufacturers fully purchase carbon credits, market demand and prices remain unaffected by fluctuations in carbon market prices. (3) When the carbon market price is low, (b < 0.317), manufacturers can achieve higher market demand by implementing digital emission reduction technologies. Conversely, when the carbon market price is high, (b > 0.317), manufacturers can achieve higher market demand by fully purchasing carbon credits. (4) When manufacturers engage in green technology innovation, the selling price of their products is significantly higher compared to when they fully purchase carbon credits.

6.5. OPTIMAL Profit Analysis for Retailers and Manufacturers

Figure 9 illustrates the changing trend of retailer profits under the influence of carbon market prices and whether retailers have altruistic preferences. The following results can be obtained from Figure 9: (1) When manufacturers engage in green technology innovation, as market carbon prices continue to increase, retailer profits first increase and then decrease; (2) No matter what decisions manufacturers make, retailers always make more profits when there is no altruistic preference; (3) When carbon prices are low, (b < 0.305), and manufacturers engage in green technology innovation, retailers benefit more; When carbon prices are high, (b > 0.305), and manufacturers fully purchase carbon credits, retailers profit more.
Figure 10 illustrates the changing trend of manufacturer profits under the influence of carbon market prices and retailers’ altruistic preferences. The following results can be obtained from Figure 10: (1) When manufacturers engage in green technology innovation, with the continuous increase in market carbon prices, their profits first increase and then decrease; (2) When the carbon price is lower (b < 0.305), manufacturers benefit more from green technology innovation; When the carbon price is high (b > 0.305), manufacturers benefit more by fully purchasing carbon credits.

7. Discussion

In the modern economic environment, the consequences of carbon emission policies and carbon market mechanisms on enterprise management is becoming increasingly significant. Analyzing the government’s carbon emission limits alongside fluctuations in carbon market prices, considering retailers’ altruistic preferences, yields valuable management insights and strategic recommendations.
(1) Firstly, enterprises should closely monitor the dynamic changes in carbon emission policies and carbon market prices. The government’s carbon emission cap policy will decrease as the carbon emissions per unit of production or carbon prices of enterprises increase. Especially for polluting manufacturing enterprises, during periods of high carbon market prices, the government usually adopts stricter carbon emission policies. Xia et al. similarly observed that under conditions of lenient regulation or elevated emission reduction costs, both governmental bodies and businesses are likely to employ strategies that hinder emission reductions, thereby reducing the financial strain on businesses and enhancing the initial incentives for both parties. Only under these conditions are high-energy-consuming enterprises more likely to successfully transition to low-carbon transformation [42]. Therefore, enterprises need to monitor the fluctuations of the carbon market in real time and adjust their production and business strategies in a timely manner to adapt to policy changes, ensure compliance and sustainable development.
Secondly, when facing different carbon market prices, enterprises should adopt differentiated response strategies. This approach contributes to reducing carbon emissions while simultaneously boosting the market competitiveness and brand image of enterprises. In addition, enterprises should actively promote the transformation and innovation of green technologies and continuously improve their environmental protection level. In the era of low-carbon prices, reducing carbon emissions through technological innovation can bring long-term competitive advantages and sustainable development potential to enterprises.
In summary, business managers need to flexibly respond to changes in carbon emission policies and carbon market prices and adopt adaptive management strategies. Amid low-carbon pricing, enterprises ought to expedite the shift toward green technology innovation; During periods of high carbon prices, consideration should be given to reducing production or responding to emission restrictions by purchasing carbon credits. Through scientific and rational management strategies, enterprises can promote environmental protection and social welfare while achieving economic benefits.
(2) In the current economic and environmental context, manufacturers need to have a deep understanding of the consequences of carbon market prices on market demand and product prices when engaging in green technology innovation. Research has shown that carbon prices exhibit an inverted U-shaped correlation with market demand and a positive U-shaped correlation with product prices. This means that as carbon market prices rise, manufacturing costs increase and are ultimately passed on to consumers, resulting in higher product prices and a decrease in market demand. However, relevant studies have found that consumers’ high green preferences can alleviate the negative impact of a series of manufacturer emission reduction strategies caused by the increase in carbon prices [43].
This phenomenon reveals the actual impact and original intention of the government’s carbon quota policy. The government increases carbon prices to force manufacturing companies to bear higher production costs, thereby encouraging them to reduce carbon emissions through green technology innovation. This not only encourages energy conservation and emission reduction within the manufacturing sector but also fosters the advancement of environmentally friendly products.
Managers should recognize that changes in carbon market prices have a profound impact on business operational strategies and market performance. When carbon prices are high, companies should increase their investment in green technologies, optimize production processes, and enhance the environmental performance of products to cope with the challenges of rising costs. At the same time, enterprises should actively explore market demand and develop high-quality products that meet consumers’ environmental protection needs, in order to maintain a competitive advantage under increasingly strict environmental policies.
In short, manufacturing enterprises must adapt their strategies dynamically in response to the combined pressures of government carbon quota policies and market demand, achieve sustainable development through green technology innovation, while meeting market demand and environmental protection requirements.
(3) After manufacturers make carbon reduction decisions, changes in social welfare, product demand, and sales prices are not affected by retailers’ altruistic preferences. This conclusion provides important management insights for businesses and policymakers. Although manufacturers’ profits are not affected by retailers’ altruistic preferences under such decisions, retailers’ profits are damaged by their altruistic preferences. Retailers often choose to give profits to manufacturers when considering the overall stability of the supply chain, to sustain the continuity and stability of production [44].
Managers should be aware that retailers’ altruistic preferences are crucial for the stability and long-term cooperation of the supply chain. In this situation, retailers may sacrifice some profits to support manufacturers’ carbon reduction decisions in order to maintain stable supply chain operations. This behavior not only fosters the sustainable growth of the entire supply chain, but also bolsters the enterprise’s social reputation and market competitiveness.
From the government’s perspective, when retailers do not have altruistic preferences, they often offer more lenient carbon emission policies to support manufacturing companies’ carbon reduction efforts. However, when retailers have favorable preferences, the government should provide appropriate policy support through tax incentives, subsidies, and other means. This can not only motivate retailers to continue supporting manufacturers’ carbon reduction decisions but also promote the long-term stable operation and sustainable development of the supply chain.
In summary, manufacturing companies should work closely with retailers to collaboratively address the challenges posed by carbon reduction decisions. At the same time, the government should implement flexible support mechanisms that consider the behavioral characteristics of retailers to ensure the stability and sustainable development of the supply chain. Through this multi-party collaborative approach, enterprises and society can achieve a balance between environmental protection and economic benefits, thereby jointly promoting the development of a green economy.

8. Conclusions and Prospect

This article investigates a two-stage green supply chain, led by government initiatives and involving both a manufacturer and a retailer. The study focuses on the effects of retailers’ altruistic preferences on social welfare and the government’s determination of carbon emission limits. It specifically evaluates how product carbon emissions and carbon pricing influence these outcomes. The primary conclusions are as follows:
(1)
Contrary to conventional wisdom, in all scenarios, the carbon emission limit set by the government decreases as carbon emissions per unit of production or carbon prices increase. This downward trend is more pronounced when manufacturing enterprises fully purchase carbon credits. When carbon prices are low in the market, manufacturers’ green technology innovation can achieve greater social welfare. Conversely, when carbon prices are high, manufacturers can attain higher social welfare by fully purchasing carbon credits from the government. This indicates that the government will enforce stricter carbon emission policies on highly polluting manufacturing enterprises or in response to rising carbon market prices. This finding differs from previous studies that have reached different conclusions [45,46]. Therefore, accelerating green technology innovation when carbon prices are not high, or reducing production when carbon prices are high, is a viable strategy.
(2)
When manufacturers engage in green technology innovation, carbon prices exhibit an inverted U-shaped relationship with market demand and a positive U-shaped relationship with product prices. This indicates that the increase in carbon market prices ultimately results in cost increases being passed on to consumers themselves, resulting in higher product prices and lower market demand. This aligns with the government’s original objective of implementing carbon limit policies to encourage energy conservation and emission reduction within manufacturing enterprises. In reality, as environmental pollution from fuel vehicles escalates, the government will enforce stringent carbon emission policies, compelling manufacturing enterprises to produce more eco-friendly new energy vehicles to achieve energy-saving and emission-reduction targets.
(3)
After manufacturers make carbon reduction decisions, changes in social welfare, product demand, and sales prices are not affected by retailers’ altruistic preferences; Similarly, when manufacturers make carbon reduction decisions, their profits are not affected by whether retailers have altruistic preferences, but retailers’ profits will be damaged by altruistic preferences. It is not difficult to understand that when retailers consider the overall stability of the supply chain, it favors manufacturers responsible for production. At the same time, when retailers do not have altruistic preferences, the government will also provide more lenient carbon emission policies for manufacturing companies. Therefore, when retailers have favorable preferences, the government can provide appropriate policy support such as tax incentives, subsidies, etc., to achieve long-term stable operation of the supply chain.
The study has enriched the theoretical foundation of green supply chain management, especially regarding the consequences of carbon market trading and carbon quota regulation on supply chain dynamics. Through the application of the Stackelberg game model, this article offers fresh perspectives on the interaction and decision-making dynamics between manufacturers and retailers, serving as a valuable academic reference for the theoretical exploration of green supply chain management.
Furthermore, the findings of this study offer significant practical guidance for policymakers and business leaders. The research conclusion not only lays the foundation for the government to formulate environmental policies but also provides practical strategies for enterprises to balance interests in supply chain cooperation. However, this study also has certain limitations. Firstly, the research model assumes that downstream retailers are the dominant players and upstream manufacturers are followers. However, in reality, there may be an opposite or even equal relationship between the two, and these relationships may have more interactions, so further exploration is needed. In addition, this article only considers that market demand is determined by price, and further consideration can be given to the consequences of product greenness on demand. Finally, this study only analyzed different scenarios and decisions and did not consider introducing appropriate contract mechanisms to optimize the overall profit and social welfare of the supply chain. Further research is warranted in this domain.

Author Contributions

Conceptualization, X.S.; Software, X.S. and G.M.; Validation, G.M.; Formal analysis, X.S. and G.M.; Data curation, G.M.; Writing—original draft, X.S.; Writing—review & editing, G.M. All authors have read and agreed to the published version of the manuscript.

Funding

This research received no external funding.

Institutional Review Board Statement

Not applicable.

Informed Consent Statement

Not applicable.

Data Availability Statement

The original contributions presented in the study are included in the article, further inquiries can be directed to the corresponding author.

Conflicts of Interest

The authors declare no conflicts of interest.

References

  1. Sharma, M.; Vadalkar, S.; Antony, R.; Chavan, G.; Tsagarakis, K.P. Can Industry 4.0-enabled smart manufacturing help firms in emerging economies move toward carbon-neutrality? Comput. Ind. Eng. 2024, 192, 110238. [Google Scholar] [CrossRef]
  2. Merino-Saum, A.; Baldi, M.G.; Gunderson, I.; Oberle, B. Articulating natural resources and sustainable development goals through green economy indicators: A systematic analysis. Resour. Conserv. Recycl. 2018, 139, 90–103. [Google Scholar] [CrossRef]
  3. Liu, Y.; Wang, Q.; Huang, B.; Zhang, X.; Wang, X.; Long, Y. Status and challenges of green manufacturing: Comparative analysis of China and other countries. Resour. Conserv. Recycl. 2023, 197, 107051. [Google Scholar] [CrossRef]
  4. Dechezleprêtre, A.; Nachtigall, D.; Venmans, F. The joint impact of the European Union emissions trading system on carbon emissions and economic performance. J. Environ. Econ. Manag. 2023, 118, 102758. [Google Scholar] [CrossRef]
  5. Wang, M.; Wang, X.; Liu, Z.; Han, Z. How can carbon trading promote the green innovation efficiency of manufacturing enterprises? Energy Strat. Rev. 2024, 53, 101420. [Google Scholar] [CrossRef]
  6. Changsong, M.; Bo, H.; Tiantong, Y. Low-carbon manufacturing decisions considering carbon emission trading and green technology investment. Environ. Eng. Manag. J. (EEMJ) 2020, 19, 5721. [Google Scholar]
  7. Wang, Y.; Yu, Z.; Jin, M.; Mao, J. Decisions and coordination of retailer-led low-carbon supply chain under altruistic preference. Eur. J. Oper. Res. 2021, 293, 910–925. [Google Scholar] [CrossRef]
  8. Fehr, E.; Schmidt, K.M. A theory of fairness, competition, and cooperation. Q. J. Econ. 1999, 114, 817–868. [Google Scholar] [CrossRef]
  9. Fehr, E.; Schmidt, K.M. The economics of fairness, reciprocity and altruism–experimental evidence and new theories. Handbook Econ. Giv. Altruism Reciprocity 2006, 1, 615–691. [Google Scholar]
  10. Zhang, L.; Xue, B.; Liu, X. Carbon emission reduction with regard to retailer’s fairness concern and subsidies. Sustainability 2018, 10, 1209. [Google Scholar] [CrossRef]
  11. Zissis, D.; Saharidis, G.K.D.; Aktas, E.; Ioannou, G. Emission reduction via supply chain coordination. Transp. Res. Part D Transp. Environ. 2018, 62, 36–46. [Google Scholar] [CrossRef]
  12. Epstein, M.J.; Buhovac, A.R.; Yuthas, K. Why Nike kicks butt in sustainability. Organ. Dyn. 2010, 39, 353–356. [Google Scholar] [CrossRef]
  13. Li, X.; Song, H.; Zhang, Z.; Guo, Y. Dynamic decision in a retailer-led closed-loop supply chain under altruistic preference. Procedia Comput. Sci. 2023, 221, 1147–1154. [Google Scholar] [CrossRef]
  14. Zhang, G.; Xu, J.; Zhang, Z.; Chen, W. Optimal decision-making and coordination of the shipping logistics service supply chain cooperation mode under the carbon quota and trading mechanism. Ocean Coast. Manag. 2024, 255, 107240. [Google Scholar] [CrossRef]
  15. Zhang, S.; Wang, C.; Yu, C.; Ren, Y. Governmental cap regulation and manufacturer’s low carbon strategy in a supply chain with different power structures. Comput. Ind. Eng. 2019, 134, 27–36. [Google Scholar] [CrossRef]
  16. Cai, J.; Jiang, F. Decision models of pricing and carbon emission reduction for low-carbon supply chain under cap-and-trade regulation. Int. J. Prod. Econ. 2023, 264, 108964. [Google Scholar] [CrossRef]
  17. Xu, J.; Chen, Y.; Bai, Q. A two-echelon sustainable supply chain coordination under cap-and-trade regulation. J. Clean. Prod. 2016, 135, 42–56. [Google Scholar] [CrossRef]
  18. Wang, K.; Wu, P.; Zhang, W. Stochastic differential game of joint emission reduction in the supply chain based on CSR and carbon cap-and-trade mechanism. J. Frankl. Inst. 2024, 361, 106719. [Google Scholar] [CrossRef]
  19. Zhao, Y.; Hou, R. Manufacturer encroachment with carbon cap-and-trade policy under asymmetric information. J. Clean. Prod. 2024, 438, 140816. [Google Scholar] [CrossRef]
  20. Zhang, L.; Ren, J.; Zhang, G. Optimal dynamic strategy for emission reduction and operation considering hybrid carbon policy with carbon tax and cap-and-trade. Comput. Ind. Eng. 2024, 187, 109820. [Google Scholar] [CrossRef]
  21. Liu, J.; Liu, X. Effects of carbon emission trading schemes on green technological innovation by industrial enterprises: Evidence from a quasi-natural experiment in China. J. Innov. Knowl. 2023, 8, 100410. [Google Scholar] [CrossRef]
  22. Zhao, N.; Ma, D.; Xiao, Y.; An, B.; Zhang, J. What drives equipment manufacturing enterprises green technology innovation in the Yangtze River Economic Belt? A configuration analysis based on DEA-fsQCA model. Process Saf. Environ. Prot. 2024, 188, 422–438. [Google Scholar] [CrossRef]
  23. Jia, L.; Zhang, X.; Wang, X.; Chen, X.; Xu, X.; Song, M. Impact of carbon emission trading system on green technology innovation of energy enterprises in China. J. Environ. Manag. 2024, 360, 121229. [Google Scholar] [CrossRef] [PubMed]
  24. Song, J.; Yan, X. Impact of Government Subsidies, Competition, and Blockchain on Green Supply Chain Decisions. Sustainability 2023, 15, 3633. [Google Scholar] [CrossRef]
  25. Liu, P.; Huang, T.; Shao, Y.; Jia, B. Environmental regulation, technology density, and green technology innovation efficiency. Heliyon 2024, 10, e23809. [Google Scholar] [CrossRef]
  26. Cheng, M.; Wang, J.; Yang, S.; Li, Q. The driving effect of technological innovation on green development: From the perspective of efficiency. Energy Policy 2024, 188, 114089. [Google Scholar] [CrossRef]
  27. Yuan, N.; Li, M. Research on collaborative innovation behavior of enterprise innovation ecosystem under evolutionary game. Technol. Forecast. Soc. Chang. 2024, 206, 123508. [Google Scholar] [CrossRef]
  28. Eghbali, M.-A.; Rasti-Barzoki, M.; Altmann, J. An evolutionary game-theoretic approach to analysis the green innovation chain dynamics under government policies. Technol. Soc. 2024, 77, 102568. [Google Scholar] [CrossRef]
  29. Meng, L.; Lv, W.; Yuan, G.X.; Wang, H. The dynamic risk profiles and management strategies in supply chain coopetition under altruistic preference. Int. Rev. Financ. Anal. 2023, 90, 102895. [Google Scholar] [CrossRef]
  30. Wang, Y.; Fan, R.; Shen, L.; Miller, W. Recycling decisions of low-carbon e-commerce closed-loop supply chain under government subsidy mechanism and altruistic preference. J. Clean. Prod. 2020, 259, 120883. [Google Scholar] [CrossRef]
  31. Ge, Z.; Zhang, Z.-K.; Lü, L.; Zhou, T.; Xi, N. How altruism works: An evolutionary model of supply networks. Phys. A Stat. Mech. Its Appl. 2012, 391, 647–655. [Google Scholar] [CrossRef]
  32. Liu, G.; Chen, J.; Li, Z.; Zhu, H. Green supply chain innovation strategies, considering government subsidy and altruistic preference. Math. Probl. Eng. 2022, 2022, 5495374. [Google Scholar] [CrossRef]
  33. Wang, Y.; Yu, Z.; Shen, L.; Dong, W. E-commerce supply chain models under altruistic preference. Mathematics. 2021, 9, 632. [Google Scholar] [CrossRef]
  34. Yu, T.; Guan, Z.; Zhang, J.; Dong, J. Blockchain adoption and contract coordination of poverty alleviation supply chain considering altruistic preference. Comput. Ind. Eng. 2024, 188, 109879. [Google Scholar] [CrossRef]
  35. Lin, J.; Fan, R.; Tan, X.; Zhu, K. Dynamic decision and coordination in a low-carbon supply chain considering the retailer′s social preference. Socio-Econ. Plan. Sci. 2021, 77, 101010. [Google Scholar] [CrossRef]
  36. JD Group Launches ‘Direct-to-Factory’ Initiative to Build an Efficient Retail System for Over 100,000 Manufacturing Enterprises Nationwide. Available online: http://www.banyuetan.org/ywdt/detail/20190524/1000200033137541558703591766742799_1.html (accessed on 24 May 2019).
  37. Li, G.; Zheng, H.; Ji, X.; Li, H. Game theoretical analysis of firms’ operational low-carbon strategy under various cap-and-trade mechanisms. J. Clean. Prod. 2018, 197, 124–133. [Google Scholar] [CrossRef]
  38. Ji, J.; Zhang, Z.; Yang, L. Carbon emission reduction decisions in the retail-/dual-channel supply chain with consumers′ preference. J. Clean. Prod. 2017, 141, 852–867. [Google Scholar] [CrossRef]
  39. Grech, P.D.; Nax, H.H. Rational altruism? On preference estimation and dictator game experiments. Games Econ. Behav. 2020, 119, 309–338. [Google Scholar] [CrossRef]
  40. Krass, D.; Nedorezov, T.; Ovchinnikov, A. Environmental taxes and the choice of green technology. Prod. Oper. Manag. 2013, 22, 1035–1055. [Google Scholar] [CrossRef]
  41. Nair, A.; Narasimhan, R. Dynamics of competing with quality- and advertising-based goodwill. Eur. J. Oper. Res. 2006, 175, 462–474. [Google Scholar] [CrossRef]
  42. Xia, X.; Zeng, X.; Wang, W.; Liu, C.; Li, X. Carbon constraints and carbon emission reduction: An evolutionary game model within the energy-intensive sector. Expert Syst. Appl. 2024, 244, 122916. [Google Scholar] [CrossRef]
  43. Zhou, H.; Liu, M.; Tan, Y. Long-term emission reduction strategy in a three-echelon supply chain considering government intervention and Consumers’ low-carbon preferences. Comput. Ind. Eng. 2023, 186, 109697. [Google Scholar] [CrossRef]
  44. Pan, Y.; Hussain, J.; Liang, X.; Ma, J. A duopoly game model for pricing and green technology selection under cap-and-trade scheme. Comput. Ind. Eng. 2020, 153, 107030. [Google Scholar] [CrossRef]
  45. Fan, R.; Lin, J.; Zhu, K. Study of game models and the complex dynamics of a low-carbon supply chain with an altruistic retailer under consumers’ low-carbon preference. Phys. A Stat. Mech. Its Appl. 2019, 528, 121460. [Google Scholar] [CrossRef]
  46. Ji, J.; Li, T.; Yang, L. Pricing and carbon reduction strategies for vertically differentiated firms under Cap-and-Trade regulation. Transp. Res. Part E Logist. Transp. Rev. 2023, 171, 103064. [Google Scholar] [CrossRef]
Figure 1. Model Structure.
Figure 1. Model Structure.
Sustainability 16 07575 g001
Figure 2. Impact of Carbon Prices on Social Welfare.
Figure 2. Impact of Carbon Prices on Social Welfare.
Sustainability 16 07575 g002
Figure 3. Impact of Product Carbon Emissions on Carbon Cap.
Figure 3. Impact of Product Carbon Emissions on Carbon Cap.
Sustainability 16 07575 g003
Figure 4. The impact of carbon prices on carbon emission limits.
Figure 4. The impact of carbon prices on carbon emission limits.
Sustainability 16 07575 g004
Figure 5. The impact of product carbon emissions and carbon prices on carbon emission limits.
Figure 5. The impact of product carbon emissions and carbon prices on carbon emission limits.
Sustainability 16 07575 g005
Figure 6. The Impact of Altruistic Preference on Carbon Emission Cap.
Figure 6. The Impact of Altruistic Preference on Carbon Emission Cap.
Sustainability 16 07575 g006
Figure 7. The Impact of Carbon Price on Production.
Figure 7. The Impact of Carbon Price on Production.
Sustainability 16 07575 g007
Figure 8. The Impact of Carbon Prices on Product Prices.
Figure 8. The Impact of Carbon Prices on Product Prices.
Sustainability 16 07575 g008
Figure 9. The Impact of Carbon Prices on Retailer Profits.
Figure 9. The Impact of Carbon Prices on Retailer Profits.
Sustainability 16 07575 g009
Figure 10. The Impact of Carbon Prices on Manufacturers’ Profits.
Figure 10. The Impact of Carbon Prices on Manufacturers’ Profits.
Sustainability 16 07575 g010
Table 1. Comparison Analysis of This Study and Prior Research.
Table 1. Comparison Analysis of This Study and Prior Research.
LiteratureGreen Product Supply ChainCarbon Cap RegulationAltruistic PreferenceTechnological Innovation
Zhang et al. (2019) [15]
Cai and Jiang (2023) [16]
Zhang et al. (2024) [20]
Song and Yan (2023) [24]
Wang et al. (2020) [30]
Yu et al. (2024) [34]
Lin et al. (2021) [35]
Wang et al. (2021) [7]
This study
Table 2. Model Parameters.
Table 2. Model Parameters.
SymbolMeaningSymbolMeaning
αMarket sizeTTotal carbon emissions
cProduction costsπmManufacturer’s profit
nPrice-sensitive coefficientπrRetailer profit
bCarbon (equity) priceπgSocial welfare
qMarket demandwWholesale price of products
pProduct priceuUnit product profit
sCarbon emissions of production Unit productseUnit product carbon emission reduction
kR&D coefficientθUpper limit of carbon emissions per unit product
λAltruistic preference coefficientΦEnvironmental damage index
Table 3. Comparative analysis of the results of four scenario games.
Table 3. Comparative analysis of the results of four scenario games.
ManufacturerGreen Technological InnovationFully Purchase Carbon Credits
Retailer
No altruistic preference π m N T = k 2 k b 2 n α k c k n + 2 b n s Φ 2 2 n b 2 n k + 2 b 2 n Φ + 2 k 2 2
π r N T = k 2 k b 2 n α k c k n + 2 b n s Φ 2 n b 2 n k + 2 b 2 n Φ + 2 k 2 2
π g N T = k k α c n 2 + 2 b n s Φ 2 α 2 c n b n s 4 s 2 k n Φ 2 n b 2 n k + 2 b 2 n Φ + 2 k 2
e N T = b α k c k n + 2 b n s Φ b 2 n k + 2 Φ + 2 k 2
p N T = k α k c k n + 2 b n s Φ b 2 n k + 2 Φ + 2 k 2
θ N T = α c n 2 k 2 3 b 2 k n 2 Φ b 2 n + b s n k 2 k + b 2 n 2 Φ b 2 n 4 k b n s b 2 n k + 2 b 2 n Φ + 2 k 2
π m N N = α c n 2 4 n
π r N N = α c n 2 2 n
π g N N = α 2 2 α c n + c 2 n 2 4 Φ s 2 n 4 n
p N N = α c n 2
θ N N = α c n + b n s b s n
Altruistic preference π m C T = k 2 k b 2 n α k c k n + 2 b n s Φ 2 2 n b 2 n k + 2 b 2 n Φ + 2 k 2 2
π r C T = k 1 2 λ 2 k b 2 n α k c k n + 2 b n s Φ 2 n 1 λ b 2 n k + 2 b 2 n Φ + 2 k 2 2
π g C T = k k α c n 2 + 2 b n s Φ 2 α 2 c n b n s 4 s 2 k n Φ 2 n b 2 n k + 2 b 2 n Φ + 2 k 2
e C T = b α k c k n + 2 b n s Φ b 2 n k + 2 Φ + 2 k 2
p C T = k α k c k n + 2 b n s Φ b 2 n k + 2 Φ + 2 k 2
θ C T = θ N T 1 λ + λ 1 λ
× α c n 2 Φ b 2 n 4 k 2 + 4 b 2 k n b s n k 2 k + b 2 n 4 Φ b 2 n 3 k b n s b 2 n k + 2 b 2 n Φ + 2 k 2
π m C N = α c n 2 4 n
π r C N = 1 2 λ α c n 2 2 n 1 λ
π g C N = α 2 2 α c n + c 2 n 2 4 Φ s 2 n 4 n
p C N = α c n 2
θ C N = α c n + b n s λ 2 α 2 c n + b n s b s n 1 λ
Table 4. Reference Values.
Table 4. Reference Values.
ParameterαcsbkλnΦ
numerical value540.50.510.10.55
Disclaimer/Publisher’s Note: The statements, opinions and data contained in all publications are solely those of the individual author(s) and contributor(s) and not of MDPI and/or the editor(s). MDPI and/or the editor(s) disclaim responsibility for any injury to people or property resulting from any ideas, methods, instructions or products referred to in the content.

Share and Cite

MDPI and ACS Style

Sun, X.; Ma, G. Research on Carbon Cap Regulation, Retailer Altruistic Preferences, and Green Decision-Making of Manufacturing Enterprises. Sustainability 2024, 16, 7575. https://doi.org/10.3390/su16177575

AMA Style

Sun X, Ma G. Research on Carbon Cap Regulation, Retailer Altruistic Preferences, and Green Decision-Making of Manufacturing Enterprises. Sustainability. 2024; 16(17):7575. https://doi.org/10.3390/su16177575

Chicago/Turabian Style

Sun, Xiaoxuan, and Guangcheng Ma. 2024. "Research on Carbon Cap Regulation, Retailer Altruistic Preferences, and Green Decision-Making of Manufacturing Enterprises" Sustainability 16, no. 17: 7575. https://doi.org/10.3390/su16177575

APA Style

Sun, X., & Ma, G. (2024). Research on Carbon Cap Regulation, Retailer Altruistic Preferences, and Green Decision-Making of Manufacturing Enterprises. Sustainability, 16(17), 7575. https://doi.org/10.3390/su16177575

Note that from the first issue of 2016, this journal uses article numbers instead of page numbers. See further details here.

Article Metrics

Back to TopTop