The Integration of Phosphorus-Solubilizing Rhizobacteria, Eisenia fetida and Phosphorus Rock Improves the Availability of Assimilable Phosphorus in the Vermicompost
Abstract
1. Introduction
2. Materials and Methods
2.1. Experiment Preparation
2.2. Experimental Design
2.3. Sampling
2.4. Physicochemical Analysis
2.5. E. fetida Egg and Worm Count
2.6. Statistical Analysis
3. Results and Discussion
3.1. Vermicompost Physicochemical Characteristics
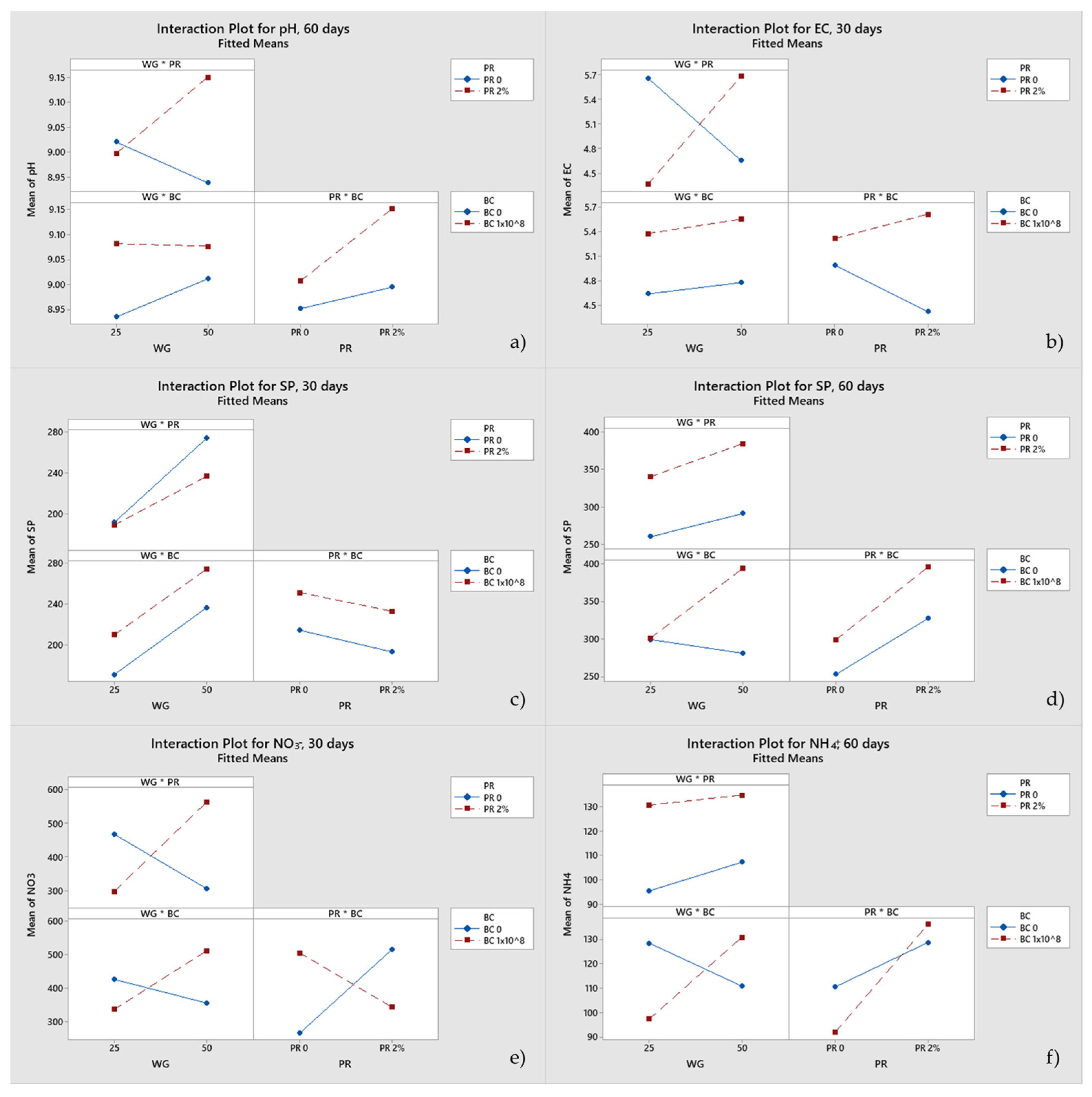
3.1.1. pH
3.1.2. Electric Conductivity (EC)
3.1.3. Total Nitrogen, NO3− and NH4+
3.1.4. Total Phosphorus and Assimilable Soluble Phosphorus
3.1.5. E. fetida Earthworm Biomass and Number of Eggs
4. Conclusions
Author Contributions
Funding
Institutional Review Board Statement
Informed Consent Statement
Data Availability Statement
Acknowledgments
Conflicts of Interest
References
- Sarfraz, S.; Alí, F.; Hameed, A.; Ahmad, Z.; Riaz, K. Sustainable Agriculture Through Technological Innovations. In Sustainable Agriculture in the Era of the OMICs Revolution; Prakash, C.S., Fiaz, S., Nadeem, M.A., Baloch, F.S., Qayyum, A., Eds.; Springer: Cham, Switzerland, 2023; pp. 223–239. [Google Scholar] [CrossRef]
- Mesmar, A.K.; Albedwawi, S.T.; Alsalami, A.K.; Alshemeili, A.R.; Abu-Elsaoud, A.M.; El-Tarabily, K.A.; Al Raish, S.M. The Effect of Recycled Spent Coffee Grounds Fertilizer, Vermicompost, and Chemical Fertilizers on the Growth and Soil Quality of Red Radish (Raphanus sativus) in the United Arab Emirates: A Sustainability Perspective. Foods 2024, 13, 1997. [Google Scholar] [CrossRef]
- Savci, S. Investigation of the Effect of Chemical Fertilizers on Environment. APCBEE Procedia 2012, 1, 287–292. [Google Scholar] [CrossRef]
- Ajibade, S.; Mupambwa, H.A.; Manyevere, A.; Mnkeni, P.N.S. Influence of Microbial Inoculation of Igneous Rock Phosphate-Amended Cow and Pig Manures on Vermidegradation and Nutrient Release. Agronomy 2020, 10, 1587. [Google Scholar] [CrossRef]
- Backer, R.; Rokem, J.S.; Ilangumaran, G.; Lamont, J.; Praslickova, D.; Ricci, E.; Subramanian, S.; Smith, D.L. Plant Growth- Promotion Rhizobacteria: Contex, Mechanisms of Action, and Roadmap to Commercialization of Biostimulants for Sustainable Agriculture. Front. Plant Sci. 2018, 9, 1473. [Google Scholar] [CrossRef]
- Timofeeva, T.A.; Chebotar, V.K.; Demidov, D.V.; Gaidukova, S.E.; Yakovleva, I.V.; Kamionskaya, A.M. Effects of Apatite Concentrate in Combination with Phosphate-Solubilizing Microorganisms on the Yield of Ryegrass Cultivar Izorskiy. Agronomy 2023, 13, 1568. [Google Scholar] [CrossRef]
- Alori, E.T.; Glick, B.R.; Babalola, O.O. Microbial Phosphorus Solubilization and Its Potential for Use in Sustainable Agriculture. Front. Microbiol. 2017, 8, 971. [Google Scholar] [CrossRef]
- Majeed, A.; Farooq, M.; Naveed, M.; Hussain, M. Combined Application of Inorganic and Organic Phosphorous with Inoculation of Phosphorus Solubilizing Bacteria Improved Productivity, Grain Quality and Net Economic Returns of Pearl Millet (Pennisetum glaucum [L.] R. Br.). Agronomy 2022, 12, 2412. [Google Scholar] [CrossRef]
- Wahid, F.; Sharif, M.; Steinkellner, S.; Khan, M.A.; Marwat, K.B.; Khan, S.A. Inoculation of arbuscular mycorrhizal fungi and phosphate solubilizing bacteria in the presence of rock phosphate improves phosphorus uptake and growth of maize. Pak. J. Bot. 2016, 48, 739–747. [Google Scholar]
- Khoshru, B.; Sarikhani, M.R. Inoculation Effect of Phosphatic Microbial Fertilizers Containing Temperature Resistant Phosphate Solubilizing Bacteria on Nutritional Indices of Zea mays L. J. Crop Prod. 2019, 12, 107–122. [Google Scholar] [CrossRef]
- Armandeh, M.; Mahmoudi, N.; Fallah Nosratabad, A.R. Screening and evaluation of phosphate-solubilizing bacteria isolated from aquaculture ponds in a step-by-step strategy as potential biofertilizer. J. Appl. Microbiol. 2022, 133, 1581–1596. [Google Scholar] [CrossRef]
- Khoshru, B.; Mitra, D.; Khoshmanzar, E.; Myo, E.M.; Uniyal, N.; Mahakur, B.; Das Mohapatra, P.K.; Panneerselvam, P.; Boutaj, H.; Alizadeh, M.; et al. Current Scenario and Future Prospects of Plant Growth-Promoting Rhizobacteria: A Valuable Economic Resource for the Revival of Agriculture under Stress Conditions. J. Plant Nutr. 2020, 43, 3062–3092. [Google Scholar] [CrossRef]
- Villalobos-Maldonado, J.J.; Meza-Gordillo, R.; Mancilla-Margalli, N.A. Removal of decachlorobiphenyl in vermicomposting process amended with rabbit manure and peat moss. Water Air Soil Pollut. 2015, 226, 159. [Google Scholar] [CrossRef]
- Katiyar, R.B.; Sundaramurthy, S.; Sharma, A.K.; Arisutha, S.; Pratap-Singh, A.; Mishra, S.; Ayub, R.; Jeon, B.-H.; Khan, M.A. Vermicompost: An Eco-Friendly and Cost-Effective Alternative for Sustainable Agriculture. Sustainability 2023, 15, 14701. [Google Scholar] [CrossRef]
- Unuofin, F.O.; Mnkeni, P.N.S. Optimization of Eisenia fetida stocking density for the bioconversion of rock phosphate enriched cow dung–waste paper mixtures. Waste Manag. 2014, 34, 2000–2006. [Google Scholar] [CrossRef] [PubMed]
- By ADigital®. Grow Depot México© 2023. Roca Fosfórica—Grow Depot México. Available online: https://growdepotmexico.com/producto/roca-fosforica/ (accessed on 1 August 2024).
- Adhami, E.; Hosseini, S.; Owliaie, H. Forms of phosphorus of vermicompost produced from leaf compost and sheep dung enriched with rock phosphate. Int. J. Recycl. Org. Waste Agric. 2014, 3, 1–6. [Google Scholar] [CrossRef]
- Singh, S.; Singh, J.; Vig, A.P. Earthworm as ecological engineers to change the physico-chemical properties of soil: Soil vs. vermicast. Ecol. Eng. 2016, 90, 1–5. [Google Scholar] [CrossRef]
- Ndegwa, P.M.; Thompson, S.A.; Das, K.C. Effects of stocking density and feeding rate on vermicomposting of biosolids. Bioresour. Technol. 2000, 71, 5–12. [Google Scholar] [CrossRef]
- Tandon, H.L.S. Methods of Analysis of Soils, Plants, Waters, Fertilizers & Organic Manures; Fertilizer Development and Consultation Organization: New Delhi, India, 2005. [Google Scholar]
- Tiessen, H.; Moir, O. Caracterización del P disponible por extracción secuencial. In Toma de Muestras de Suelos y Métodos de Análisis; Carter, M.R., Ed.; Lewis Pub: Boca Raton, FL, USA, 1993. [Google Scholar]
- Hedley, M.J.; Steward, J.W.B.; Chauhan, B.S. Changes in Inorganic and Organic Soil Phosphorus Fractions Induced by Cultivation Practices and by Laboratory Incubations. Soil Sci. Soc. Am. J. 1982, 46, 970–976. [Google Scholar] [CrossRef]
- Pigatin, L.B.F.; Atoloye, I.A.; Obikoya, O.A.; Borsato, A.V.; Rezende, M.O.O. Chemical study of vermicomposted agro-industrial waste. Int. J. Recycl. Org. Waste Agric. 2016, 5, 55–63. [Google Scholar] [CrossRef]
- Fernández-Gómez, M.J.; Nogales, R.; Insam, H.; Romero, E.; Goberna, M. Continuous-feeding vermicomposting as a recycling management method to revalue tomato-fruit wastes from greenhouse crops. Waste Manag. 2010, 30, 2461–2468. [Google Scholar] [CrossRef]
- USDA. Compost and Vermicompost in the Production of Organic Crops. USDA. NOP 7 CFR 205. 203. Available online: https://www.ams.usda.gov/rules-regulations/organic/handbook/5021 (accessed on 2 July 2024).
- van den Berg, M.; Hoskin, S.O.; Rogers, C.W.; Grinberg, A. Fecal pH and microbial populations in thoroughbred horses during the transition from grass-fed to concentrated feeding. J. Equine Vet. Sci. 2013, 33, 215–222. [Google Scholar] [CrossRef]
- Karmegam, N.; Jayakumar, M.; Govarthanan, M.; Kumar, P.; Ravindran, B.; Biruntha, M. Precomposting and green manure amendment for effective vermitransformation of hazardous coir industrial waste into enriched vermicompost. Bioresour. Technol. 2021, 319, 124136. [Google Scholar] [CrossRef]
- Ramnarain, Y.I.; Ansari, A.A.; Ori, L. Vermicomposting of different organic materials using the epigeic earthworm Eisenia foetida. Int. J. Recycl. Org. Waste Agric. 2019, 8, 23–36. [Google Scholar] [CrossRef]
- Desie, E.; Van Meerbeek, K.; De Wandeler, H.; Bruelheide, H.; Domisch, T.; Jaroszewicz, B.; Joly, F.; Vancampenhout, K.; Vesterdal, L.; Muys, B. Positive feedback loop between earthworms, humus form and soil pH reinforces earthworm abundance in European forests. Funct. Ecol. 2020, 34, 2598–2610. [Google Scholar] [CrossRef]
- Satyaprakash, M.; Nikitha, T.; Reddi, E.U.B.; Sadhana, B.; Vani, S.S. Phosphorus and phosphate solubilizing bacteria and their role in plant nutrition. Int. J. Curr. Microbiol. Appl. Sci. 2017, 6, 2133–2144. [Google Scholar] [CrossRef]
- Khoshru, B.; Nosratabad, A.F.; Mitra, D.; Chaithra, M.; Danesh, Y.R.; Boyno, G.; Chattaraj, S.; Priyadarshini, A.; Anđelković, S.; Pellegrini, M.; et al. Rock Phosphate Solubilizing Potential of Soil Microorganisms: Advances in Sustainable Crop Production. Bacteria 2023, 2, 98–115. [Google Scholar] [CrossRef]
- Rastogi, M.; Nandal, M.; Khosla, B. Microbes as vital additives for solid waste composting. Heliyon 2020, 6, e03343. [Google Scholar] [CrossRef]
- Katiyar, R.B.; Sundaramurthy, S.; Sharma, A.K.; Arisutha, S.; Khan, M.A.; Sillanpää, M. Optimization of Engineering and Process Parameters for Vermicomposting. Sustainability 2023, 15, 8090. [Google Scholar] [CrossRef]
- Ministry of Urban Development, Government of India. Municipal Solid Waste Management Manual. 2016. Available online: http://swachhbharaturban.gov.in/writereaddata/Manual.pdf (accessed on 2 February 2024).
- Lahbouki, S.; Hashem, A.; Kumar, A.; Abd_Allah, E.F.; Meddich, A. Integration of Horse Manure Vermicompost Doses and Arbuscular Mycorrhizal Fungi to Improve Fruit Quality, and Soil Fertility in Tomato Field Facing Drought Stress. Plants 2024, 13, 1449. [Google Scholar] [CrossRef]
- Das, D.; Bhattacharyya, P.; Ghosh, B.C.; Banik, P. Bioconversion and biodynamics of Eisenia foetida in different organic wastes through microbially enriched vermiconversion technologies. Ecol. Eng. 2016, 86, 154–161. [Google Scholar] [CrossRef]
- Singh, C.K.; Kumar, A. Vermicomposting of terrestrial weeds Lantana camara L. and Parthenium hysterophorus L. agriculture solid waste. Ecol. Quest. 2017, 28, 63–69. [Google Scholar] [CrossRef]
- Gusain, R.; Suthar, S. Vermicomposting of invasive weed Ageratum conyzoids: Assessment of nutrient mineralization, enzymatic activities, and microbial properties. Bioresour. Technol. 2020, 312, 123537. [Google Scholar] [CrossRef] [PubMed]
- Balachandar, R.; Biruntha, M.; Yuvaraj, A.; Thangaraj, R.; Subbaiya, R.; Govarthanan, M.; Karmegam, N. Earthworm intervened nutrient recovery and greener production of vermicompost from Ipomoea staphylina–An invasive weed with emerging environmental challenges. Chemosphere 2021, 263, 128080. [Google Scholar] [CrossRef] [PubMed]
- Devi, C.; Khwairakpam, M. Management of invasive weed Parthenium hysterophorus through vermicomposting using a polyculture of Eisenia fetida and Eudrilus eugeniae. Environ. Sci. Pollut. Res. 2021, 28, 29710–29719. [Google Scholar] [CrossRef]
- Cicek, H.; Bhullar, G.S.; Mandloi, L.S.; Andres, C.; Riar, A.S. Partial Acidulation of Rock Phosphate for Increased Productivity in Organic and Smallholder Farming. Sustainability 2020, 12, 607. [Google Scholar] [CrossRef]
- Suthar, S.; Singh, S. Comparison of some novel polyculture and traditional monoculture vermicomposting reactors to decompose organic wastes. Ecol. Eng. 2008, 33, 210–219. [Google Scholar] [CrossRef]
- Dominguez, J.; Edwards, C.A.; Webster, M. Vermicomposting of sewage sludge: Effect of bulking materials on the growth and reproduction of the earthworm Eisenia andrei. Pedobiologia 2000, 44, 24–32. [Google Scholar] [CrossRef]
- Aira, M.; Monroy, F.; Domínguez, J. Earthworms strongly modify microbial biomass and activity triggering enzymatic activities during vermicomposting independently of the application rates of pig slurry. Sci. Total Environ. 2007, 385, 252–261. [Google Scholar] [CrossRef]
- Domínguez, J.; Aira, M.; Gómez-Brandón, M. El papel de las lombrices de tierra en la descomposición de la materia orgánica y el ciclo de nutrientes. Ecosistemas 2009, 18, 20–31. Available online: https://www.revistaecosistemas.net/index.php/ecosistemas/article/view/61 (accessed on 5 May 2024).
- Cedeño Saltos, K.A. Productive, Reproductive Behavior and Morphometry of the Californian Red Worm in Organic Waste Vermicomposting Systems, Patricia Pilar 2021. Zootechnical Engineer Thesis, Universidad Técnica Estatal de Quevedo, Quevedo, Ecuador, 2021; 72p. Available online: https://repositorio.uteq.edu.ec/server/api/core/bitstreams/4d1da33a-c18b-471c-a7df-8032f836a2e2/content (accessed on 25 July 2024).



| Treatments | FACTOR 1. Phosphorus Rock (PR) | FACTOR 2. Biomass E. fetida | FACTOR 3. Cell Density of Bacterial Consortia |
|---|---|---|---|
| (%) | g Worms per kg−1 Manure | CFU mL−1 | |
| T1 | 2 | 25 | 1 × 108 |
| T2 | 2 | 25 | 0 |
| T3 | 0 | 25 | 1 × 108 |
| T4 | 0 | 25 | 0 |
| T5 | 2 | 50 | 1 × 108 |
| T6 | 2 | 50 | 0 |
| T7 | 0 | 50 | 1 × 108 |
| T8 | 0 | 50 | 0 |
| pH | EC | TN | NO3− | NH4+ | TP | SP | |
|---|---|---|---|---|---|---|---|
| (dS m−1) | % | ppm | ppm | % | ppm | ||
| Initial Manure Values | 10 | 2.8 | 0.65 | Nd | Nd | 0.31 | Nd |
| T1 (2% + 25 g + 1 × 108) | 9.10 ± 0.04 a | 4.2 ± 0.06 c | 1.22 ± 0.08 a | 481.66 ± 53.30 a | 112.12 ± 25.41 ba | 1.59 ± 0.08 a | 350.26 ± 28.37 b |
| T2 (2% + 25 g) | 8.83 ± 0.04 a | 4.8 ± 0.69 b | 1.43 ± 0.08 a | 427.33 ± 48.78 a | 148.61 ± 47.76 ba | 1.95 ± 0.08 a | 329.99 ± 35.34 cb |
| T3 (25 g + 1 × 108) | 9.00 ± 0.19 a | 8.3 ± 0.80 a | 1.34 ± 0.05 a | 390.33 ± 38.37 a | 82.39 ± 15.85 b | 0.51 ± 0.01 b | 252.31 ± 11.66 d |
| T4 (25 g) | 9.03 ± 0.22 a | 8.0 ± 0.60 a | 1.32 ± 0.14 a | 397.00 ± 110.26 a | 108.28 ± 15.01 ba | 0.53 ± 0.04 b | 269.12 ± 28.37 cd |
| T5 (2% + 50 g + 1 × 108) | 9.14 ± 0.04 a | 6.6 ± 1.02 bc | 1.21 ± 0.07 a | 472.66 ± 75.19 a | 160.27 ± 30.29 a | 1.62 ± 0.09 a | 442.44 ± 17.29 a |
| T6 (2% + 50 g) | 9.15 ± 0.03 a | 4.1 ± 0.76 c | 1.22 ± 0.07 a | 481.00 ± 79.68 a | 108.87 ± 31.73 ba | 1.47 ± 0.06 a | 325.70 ± 20.27 cb |
| T7 (50 g + 1 × 108) | 9.00 ± 0.21 a | 7.1 ± 0.65 a | 1.19 ± 0.18 a | 435.33 ± 115.31 a | 101.51 ± 16.35 ba | 0.55 ± 0.07 b | 346.21 ± 24.32 b |
| T8 (50 g) | 8.87 ± 0.04 a | 7.5 ± 0.00 a | 1.21 ± 0.13 a | 368.33 ± 112.26 a | 112.69 ± 13.96 ba | 0.56 ± 0.04 b | 236.73 ± 28.38 d |
| Factor | pH | EC | TN | NO3− | NH4+ | TP | SP | |||||||
|---|---|---|---|---|---|---|---|---|---|---|---|---|---|---|
| (dS m−1) | % | ppm | ppm | % | ppm | |||||||||
| Worm grams (WG) | ||||||||||||||
| 30 days | 60 days | 30 days | 60 days | 30 days | 60 days | 30 days | 60 days | 30 days | 60 days | 30 days | 60 days | 30 days | 60 days | |
| 25 g | 9.72 ± 0.04 a | 9.0 ± 0.0 a | 5.09 ± 0.04 b | 6.3 ± 0.0 a | 1.2 ± 0.05 a | 1.3 ± 0.05 a | 381 ± 26 b | 439 ± 7.5 a | 77 ± 11 b | 121 ± 4.0 a | 0.84 ± 0.0 a | 1.2 ± 0.1 a | 190 ± 33 b | 300 ± 15 b |
| 50 g | 9.64 ± 2.96 a | 9.0 ± 0.0 a | 5.16 ± 0.09 a | 6.3 ± 0.0 a | 1.1 ± 0.05 a | 1.2 ± 0.00 b | 434 ± 27 a | 424 ± 7.5 a | 99 ± 11 a | 113 ± 4.0 a | 0.81 ± 0.0 a | 1.0 ± 0.1 a | 255 ± 33 a | 308 ± 16 a |
| Phosphorus rock (PR) | ||||||||||||||
| 30 days | 60 days | 30 days | 60 days | 30 days | 60 days | 30 days | 60 days | 30 days | 60 days | 30 days | 60 days | 30 days | 60 days | |
| 0% | 9.58 ± 0.0 b | 8.9 ± 0.0 a | 5.15 ± 0.0 a | 5.9 ± 0.4 a | 1.1 ± 0.0 a | 1.3 ± 0.0 a | 386 ± 22 b | 397 ± 34 a | 106 ± 18 a | 101 ± 15 b | 0.46 ± 0.4 b | 0.5 ± 0.6 b | 232 ± 9.5 a | 276 ± 43 b |
| 2% | 9.79 ± 0.0 a | 9.0 ± 0.0 a | 5.02 ± 0.0 a | 6.7 ± 0.4 a | 1.2 ± 0.0 a | 1.3 ± 0.0 a | 430 ± 22 a | 465 ± 34 a | 70 ± 18 b | 132 ± 15 a | 1.19 ± 0.4 a | 1.7 ± 0.6 a | 213 ± 9.5 a | 362 ± 43 a |
| Bacterial consortia (BC) | ||||||||||||||
| 30 days | 60 days | 30 days | 60 days | 30 days | 60 days | 30 days | 60 days | 30 days | 60 days | 30 days | 60 days | 30 days | 60 days | |
| 0 CFU | 9.62 ± 0.0 b | 8.9 ± 0.0 a | 4.71 ± 0.3 b | 6.1 ± 0.2 a | 1.2 ±0.0 a | 1.2 ± 0.0 a | 391 ± 17 b | 418 ± 13 a | 74 ± 14 b | 114 ± 2.5 a | 0.83 ± 0.0 a | 1.0 ± 0.1 a | 203 ± 19 b | 290 ± 28 b |
| 1 × 108 CFU | 9.70 ± 0.0 a | 9.0 ± 0.0 a | 5.46 ± 0.3 a | 6.5 ± 0.2 a | 1.1 ± 0.0 a | 1.3 ± 0.0 a | 425 ± 17 a | 445 ± 13 a | 102 ±14 a | 119 ± 2.5 a | 0.81 ± 0.0 a | 1.1 ± 0.1 a | 242 ± 19 a | 348 ± 29 a |
| WG × PR × BC | ||||||||||||||
| ns | * | * | ns | * | ns | * | ns | ns | * | * | * | * | ns | |
| Worm Biomass H-Value = 18.05 p = 0.012 | Egg Capsules H-Value = 21.26 p = 0.003 | |||||||
|---|---|---|---|---|---|---|---|---|
| Treatment | Mean (g) | Median | Mean Rank | Z-Value | Mean | Median | Mean Rank | Z-Value |
| T1 (2% + 25 g + 1 × 108) | 0.23 ± 0.06 | 0.23529 | 2.0 | −2.75 | 160 ± 37.70 | 156 | 14.5 | −1.87 |
| T2 (2% + 25 g) | 0.83 ± 0.08 | 0.83333 | 20.3 | 2.05 | 216 ± 53.70 | 216 | 27.2 | 0.5 |
| T3 (25 g + 1 × 108) | 0.52 ± 0.11 | 0.58333 | 10.3 | −0.57 | 168 ± 77.40 | 144 | 16.5 | −1.5 |
| T4 (25 g) | 0.51 ± 0.12 | 0.43750 | 10.7 | −0.48 | 221.33 ± 26.85 | 220 | 27.8 | 0.62 |
| T5 (2% + 50 g + 1 × 108) | 0.47 ± 0.13 | 0.38462 | 8.8 | −0.96 | 180 ± 103.51 | 132 | 17.2 | −1.37 |
| T6 (2% + 50 g) | 1.03 ± 0.3 * | 1.00000 | 22.7 * | 2.66 | 192 ± 42.93 | 192 | 20.8 | −0.69 |
| T7 (50 g + 1 × 108) | 0.54 ± 0.13 | 0.54000 | 11.2 | −0.35 | 214 ± 43.04 | 210 | 26.5 | 0.37 |
| T8 (50 g) | 0.62 ± 0.08 | 0.58974 | 14.0 | 0.39 | 384 ± 65.29 | 348 | 45.5 * | 3.93 |
| Overall | 12.5 | 24.5 | ||||||
Disclaimer/Publisher’s Note: The statements, opinions and data contained in all publications are solely those of the individual author(s) and contributor(s) and not of MDPI and/or the editor(s). MDPI and/or the editor(s) disclaim responsibility for any injury to people or property resulting from any ideas, methods, instructions or products referred to in the content. |
© 2024 by the authors. Licensee MDPI, Basel, Switzerland. This article is an open access article distributed under the terms and conditions of the Creative Commons Attribution (CC BY) license (https://creativecommons.org/licenses/by/4.0/).
Share and Cite
Andrade-Sifuentes, A.; Peña-Uribe, G.d.J.; Sáenz-Mata, J.; Quezada-Rivera, J.J.; Palacio-Rodríguez, R.; Muro-Pérez, G. The Integration of Phosphorus-Solubilizing Rhizobacteria, Eisenia fetida and Phosphorus Rock Improves the Availability of Assimilable Phosphorus in the Vermicompost. Sustainability 2024, 16, 7576. https://doi.org/10.3390/su16177576
Andrade-Sifuentes A, Peña-Uribe GdJ, Sáenz-Mata J, Quezada-Rivera JJ, Palacio-Rodríguez R, Muro-Pérez G. The Integration of Phosphorus-Solubilizing Rhizobacteria, Eisenia fetida and Phosphorus Rock Improves the Availability of Assimilable Phosphorus in the Vermicompost. Sustainability. 2024; 16(17):7576. https://doi.org/10.3390/su16177576
Chicago/Turabian StyleAndrade-Sifuentes, Alfonso, Gabriel de Jesús Peña-Uribe, Jorge Sáenz-Mata, Jesús Josafath Quezada-Rivera, Rubén Palacio-Rodríguez, and Gisela Muro-Pérez. 2024. "The Integration of Phosphorus-Solubilizing Rhizobacteria, Eisenia fetida and Phosphorus Rock Improves the Availability of Assimilable Phosphorus in the Vermicompost" Sustainability 16, no. 17: 7576. https://doi.org/10.3390/su16177576
APA StyleAndrade-Sifuentes, A., Peña-Uribe, G. d. J., Sáenz-Mata, J., Quezada-Rivera, J. J., Palacio-Rodríguez, R., & Muro-Pérez, G. (2024). The Integration of Phosphorus-Solubilizing Rhizobacteria, Eisenia fetida and Phosphorus Rock Improves the Availability of Assimilable Phosphorus in the Vermicompost. Sustainability, 16(17), 7576. https://doi.org/10.3390/su16177576

