Effects of Extreme Rainfall Change on Sediment Load in the Huangfuchuan Watershed, Loess Plateau, China
Abstract
1. Introduction
2. Materials and Methods
2.1. Study Area
2.2. Data
2.3. Methods
2.3.1. Mann–Kendall Non-Parametric Test
2.3.2. Pettitt Test
2.3.3. Double Mass Curve Analysis
3. Results
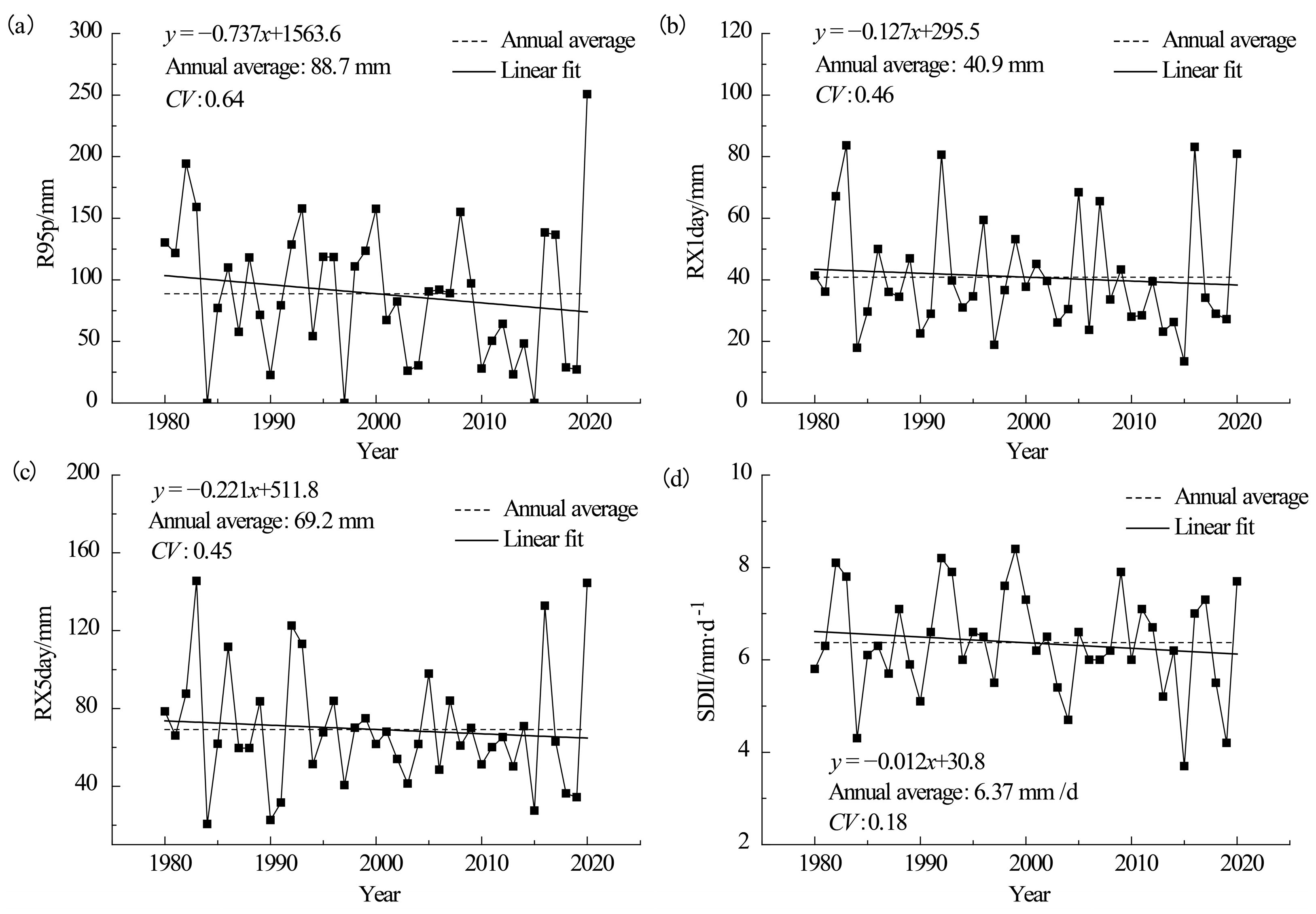
3.1. Spatiotemporal Variations of Extreme Rainfall Indexes
3.2. Change Points of Extreme Rainfall Indexes
3.3. Trends and Change Points of Sediment Load
3.4. Impact of Extreme Rainfall on Sediment Load
3.4.1. Correlation between Extreme Rainfall Indexes and Sediment Load
3.4.2. Contribution of Extreme Rainfall to Sediment Load
4. Discussion
5. Conclusions
Funding
Institutional Review Board Statement
Informed Consent Statement
Data Availability Statement
Acknowledgments
Conflicts of Interest
References
- O’Gorman, P.A. Precipitation Extremes Under Climate Change. Curr. Clim. Chang. Rep. 2015, 1, 49–59. [Google Scholar] [CrossRef] [PubMed]
- Donat, M.G.; Lowry, A.L.; Alexander, L.V.; O’Gorman, P.A.; Maher, N. More extreme precipitation in the world’s dry and wet regions. Nat. Clim. Chang. 2016, 6, 508–513. [Google Scholar] [CrossRef]
- Gu, X.; Zhang, Q.; Kong, D. Spatiotemporal patterns of extreme precipitation with their responses to summer temperature. Acta Geogr. Sin. 2016, 71, 718–730. (In Chinese) [Google Scholar]
- Flanagan, P.X.; Mahmood, R.; Umphlett, N.A.; Haacker, E.; Ray, C.; Sorensen, W.; Shulski, M.; Stiles, C.J.; Pearson, D.; Fajman, P. A Hydrometeorological Assessment of the Historic 2019 Flood of Nebraska, Iowa, and South Dakota. Bull. Am. Meteorol. Soc. 2020, 101, E817–E829. [Google Scholar] [CrossRef]
- Vu, T.M.; Mishra, A.K. Nonstationary frequency analysis of the recent extreme precipitation events in the United States. J. Hydrol. 2019, 575, 999–1010. [Google Scholar] [CrossRef]
- Fekete, A.; Sandholz, S. Here Comes the Flood, but Not Failure? Lessons to Learn after the Heavy Rain and Pluvial Floods in Germany 2021. Water 2021, 13, 3016. [Google Scholar] [CrossRef]
- Guo, X.; Cheng, J.; Yin, C.; Li, Q.; Chen, R.; Fang, J. The extraordinary Zhengzhou flood of 7/20, 2021: How extreme weather and human response compounding to the disaster. Cities 2023, 134, 104168. [Google Scholar] [CrossRef]
- Tabari, H. Climate change impact on flood and extreme precipitation increases with water availability. Sci. Rep. 2020, 10, 13768. [Google Scholar] [CrossRef]
- Sun, Q.H.; Zhang, X.B.; Zwiers, F.; Westra, S.; Alexander, L. A Global, Continental, and Regional Analysis of Changes in Extreme Precipitation. J. Clim. 2021, 34, 243–258. [Google Scholar] [CrossRef]
- Chaubey, P.K.; Mall, R.K.; Srivastava, P.K. Changes in Extremes Rainfall Events in Present and Future Climate Scenarios over the Teesta River Basin, India. Sustainability 2023, 15, 4668. [Google Scholar] [CrossRef]
- King, A.D.; Reid, K.J.; Saunders, K.R. Communicating the link between climate change and extreme rain events. Nat. Geosci. 2023, 16, 552–554. [Google Scholar] [CrossRef]
- Chen, W.; Liu, J.; Peng, W.; Zhao, Y.; Luo, S.; Wan, W.; Wu, Q.; Wang, Y.; Li, S.; Tang, X.; et al. Aging deterioration of mechanical properties on coal-rock combinations considering hydro-chemical corrosion. Energy 2023, 282, 128770. [Google Scholar] [CrossRef]
- Duan, J.; Liu, Y.-J.; Yang, J.; Tang, C.-J.; Shi, Z.-H. Role of groundcover management in controlling soil erosion under extreme rainfall in citrus orchards of southern China. J. Hydrol. 2019, 582, 124290. [Google Scholar] [CrossRef]
- Bian, Z.; Sun, G.; McNulty, S.; Pan, S.; Tian, H. Understanding the Shift of Drivers of Soil Erosion and Sedimentation Based on Regional Process-Based Modeling in the Mississippi River Basin during the Past Century. Water Resour. Res. 2023, 59, e2023WR035377. [Google Scholar] [CrossRef]
- Makhtoumi, Y.; Abbasi, A.; Seyedmakhtoom, B.; Ibeanusi, V.; Chen, G. Evaluating soil loss under land use management and extreme rainfall. J. Contam. Hydrol. 2023, 256, 104181. [Google Scholar] [CrossRef] [PubMed]
- Chen, W.; Wan, W.; Zhao, Y.; He, H.; Wu, Q.; Zhou, Y.; Xie, S. Mechanical damage evolution and mechanism of sandstone with prefabricated parallel double fissures under high-humidity condition. Bull. Eng. Geol. Environ. 2022, 81, 245. [Google Scholar] [CrossRef]
- Zhang, T.; Li, D.; East, A.E.; Kettner, A.J.; Best, J.; Ni, J.; Lu, X. Shifted sediment-transport regimes by climate change and amplified hydrological variability in cryosphere-fed rivers. Sci. Adv. 2023, 9, eadi5019. [Google Scholar] [CrossRef]
- Osterkamp, W.R.; Friedman, J.M.J.H.P. The disparity between extreme rainfall events and rare floods-with emphasis on the semi-arid American West. Hydrol. Process. 2000, 14, 2817–2829. [Google Scholar] [CrossRef]
- Jian, S.; Yin, C.; Wang, Y.; Yu, X.; Li, Y. The Possible Incoming Runoff under Extreme Rainfall Event in the Fenhe River Basin. Front. Environ. Sci. 2022, 10, 812351. [Google Scholar] [CrossRef]
- Zhong, K.; Zheng, F.; Liu, G.; Zhang, X.; Qin, C.; Xu, X. Effects of variations in precipitation extremes on sediment load in the Second Songhua River Basin, Northeast China. J. Soils Sediments 2023, 23, 1971–1984. [Google Scholar] [CrossRef]
- Xu, Z.; Zhang, S.; Yang, X. Water and sediment yield response to extreme rainfall events in a complex large river basin: A case study of the Yellow River Basin, China. J. Hydrol. 2021, 597, 126183. [Google Scholar] [CrossRef]
- Chen, W.; Liu, J.; Liu, W.; Peng, W.; Zhao, Y.; Wu, Q.; Wang, Y.; Wan, W.; Li, S.; Peng, H.; et al. Lateral deformation and acoustic emission characteristics of dam bedrock under various river flow scouring rates. J. Mater. Res. Technol. 2023, 26, 3245–3271. [Google Scholar] [CrossRef]
- Zhang, J.; Gao, G.; Fu, B.; Gupta, H.V. Investigation of the relationship between precipitation extremes and sediment discharge production under extensive land cover change in the Chinese Loess Plateau. Geomorphology 2020, 361, 107176. [Google Scholar] [CrossRef]
- Zhong, K.; Zheng, F.; Wu, H.; Qin, C. Effects of Precipitation Extremes Change on Sediment Load in Songhua River Basin. Trans. Chin. Soc. Agric. Mach. 2017, 48, 245–252. (In Chinese) [Google Scholar]
- Zhang, Y.; Tian, P.; Yang, L.; Zhao, G.; Mu, X.; Wang, B.; Du, P.; Gao, P.; Sun, W. Relationship between sediment load and climate extremes in the major Chinese rivers. J. Hydrol. 2023, 617, 128962. [Google Scholar] [CrossRef]
- Zhao, Y.; Cao, W.; Hu, C.; Wang, Y.; Wang, Z.; Zhang, X.; Zhu, B.; Cheng, C.; Yin, X.; Liu, B.; et al. Analysis of changes in characteristics of flood and sediment yield in typical basins of the Yellow River under extreme rainfall events. CATENA 2019, 177, 31–40. [Google Scholar] [CrossRef]
- Hu, C. The change mechanism and trend prediction of water and sediment in Yellow River Basin. Chin. J. Environ. Manag. 2018, 10, 97–98. (In Chinese) [Google Scholar]
- Kong, D.; Miao, C.; Gou, J.; Zhang, Q.; Su, T. Sediment reduction in the middle Yellow River basin over the past six decades: Attribution, sustainability, and implications. Sci. Total Environ. 2023, 882, 163475. [Google Scholar] [CrossRef]
- Ren, D.; Liu, S.; Wu, Y.; Xiao, F.; Patil, S.D.; Dallison, R.J.H.; Feng, S.; Zhao, F.; Qiu, L.; Wang, S.; et al. Quantifying natural and anthropogenic impacts on streamflow and sediment load reduction in the upper to middle Yellow River Basin. J. Hydrol. Reg. Stud. 2024, 53, 101788. [Google Scholar] [CrossRef]
- Li, H.; Ping, J.; Liu, C.; Zhang, M.; Liu, J. Changes in sediment load in the Lower Yellow River and its driving factors from 1919 to 2021. Sci. Total Environ. 2024, 946, 174012. [Google Scholar] [CrossRef]
- Yao, J.; Li, Z.; Yao, W.; Xiao, P.; Zhang, P.; Xie, M.; Wang, J.; Mei, S. The Compound Response Relationship between Hydro-Sedimentary Variations and Dominant Driving Factors: A Case Study of the Huangfuchuan basin. Sustainability 2023, 15, 13632. [Google Scholar] [CrossRef]
- Zhang, Y.; He, Y.; Song, J. Effects of climate change and land use on runoff in the Huangfuchuan Basin, China. J. Hydrol. 2023, 626, 130195. [Google Scholar] [CrossRef]
- Li, E.; Mu, X.; Zhao, G.; Gao, P.; Sun, W. Effects of check dams on runoff and sediment load in a semi-arid river basin of the Yellow River. Stochastic Environ. Res. Risk Assess. 2017, 31, 1791–1803. [Google Scholar] [CrossRef]
- Huang, X.; Qiu, L. Characteristic Analysis and Uncertainty Assessment of the Joint Distribution of Runoff and Sediment: A Case Study of the Huangfuchuan River Basin, China. Water 2023, 15, 2644. [Google Scholar] [CrossRef]
- Xie, M.Y.; Ren, Z.P.; Li, Z.B.; Li, P.; Shi, P.; Zhang, X.M. Changes in runoff and sediment load of the Huangfuchuan River following a water and soil conservation project. J. Soil Water Conserv. 2020, 75, 590–600. [Google Scholar] [CrossRef]
- Liu, Q.; Yu, F.; Chang, K.; Wang, R.; Jing, Y.; Mu, X. Characteristics of water and sediment variation in the Huangfuchuan basin and its influencing factors. Arid Zone Res. 2021, 38, 1506–1513. (In Chinese) [Google Scholar]
- Cao, Z.; Li, Y.; Liu, Y.; Chen, Y.; Wang, Y. When and where did the Loess Plateau turn “green”? Analysis of the tendency and breakpoints of the normalized difference vegetation index. Land Degrad. Dev. 2018, 29, 162–175. [Google Scholar] [CrossRef]
- Liu, Y.; Wang, F.; Lin, Y.; Cao, L.; Zhang, S.; Ge, W.; Han, J.; Chen, H.; Shi, S. Assessing the contributions of human activities to runoff and sediment transport change: A method for break point identification in double mass curves based on model fitting. J. Hydrol. Reg. Stud. 2023, 50, 101589. [Google Scholar] [CrossRef]
- Chu, H.; Wei, J.; Qiu, J.; Li, Q.; Wang, G. Identification of the impact of climate change and human activities on rainfall-runoff relationship variation in the Three-River Headwaters region. Ecol. Indic. 2019, 106, 105516. [Google Scholar] [CrossRef]
- Seenu, P.Z.; Jayakumar, K.V. Comparative study of innovative trend analysis technique with Mann-Kendall tests for extreme rainfall. Arabian J. Geosci. 2021, 14, 536. [Google Scholar] [CrossRef]
- Agbo, E.P.; Nkajoe, U.; Edet, C.O. Comparison of Mann–Kendall and Şen’s innovative trend method for climatic parameters over Nigeria’s climatic zones. Clim. Dyn. 2023, 60, 3385–3401. [Google Scholar] [CrossRef]
- Gumus, V.; Avsaroglu, Y.; Simsek, O. Streamflow trends in the Tigris river basin using Mann−Kendall and innovative trend analysis methods. J. Earth Syst. Sci. 2022, 131, 34. [Google Scholar] [CrossRef]
- Ryberg, K.R.; Hodgkins, G.A.; Dudley, R.W. Change points in annual peak streamflows: Method comparisons and historical change points in the United States. J. Hydrol. 2020, 583, 124307. [Google Scholar] [CrossRef]
- Yacoub, E.; Tayfur, G. Trend analysis of temperature and precipitation in Trarza region of Mauritania. J. Water Clim. Chang. 2019, 10, 484–493. [Google Scholar] [CrossRef]
- Pettitt, A.N. A Non-Parametric Approach to the Change-Point Problem. J. R. Stat. Soc. C 1979, 28, 126–135. [Google Scholar] [CrossRef]
- Mallakpour, I.; Villarini, G. A simulation study to examine the sensitivity of the Pettitt test to detect abrupt changes in mean. Hydrol. Sci. J. 2016, 61, 245–254. [Google Scholar] [CrossRef]
- Wu, Y.; Fang, H.; Huang, L.; Ouyang, W. Changing runoff due to temperature and precipitation variations in the dammed Jinsha River. J. Hydrol. 2020, 582, 124500. [Google Scholar] [CrossRef]
- Wang, X.; He, K.; Li, Y.; Wang, H. Estimation of the effects of climate change and human activities on runoff in different time scales in the Beichuan River Basin, China. Hum. Ecol. Risk Assess. Int. J. 2020, 26, 103–119. [Google Scholar] [CrossRef]
- Shao, Y.; Mu, X.; He, Y.; Chen, K.-m. Variations in runoff, sediment load, and their relationship for a major sediment source area of the Jialing River basin, southern China. Hydrol. Process. 2021, 35, e14297. [Google Scholar] [CrossRef]
- Mu, X.; Zhang, X.; Shao, H.; Gao, P.; Wang, F.; Jiao, J.; Zhu, J. Dynamic Changes of Sediment Discharge and the Influencing Factors in the Yellow River, China, for the Recent 90 Years. CLEAN Soil Air Water 2012, 40, 303–309. [Google Scholar] [CrossRef]
- Huang, X.; Qiu, L. Analysis of runoff variation and driving mechanism in Huangfuchuan River Basin in the middle reaches of the Yellow River, China. Appl. Water Sci. 2022, 12, 234. [Google Scholar] [CrossRef]
- Zhao, H.; Yang, S.; Yang, B.; Huang, Y. Quantifying anthropogenic and climatic impacts on sediment load in the sediment-rich region of the Chinese Loess Plateau by coupling a hydrological model and ANN. Stoch. Environ. Res. Risk Assess. 2017, 31, 2057–2073. [Google Scholar] [CrossRef]
- Boix-Fayos, C.; Barberá, G.G.; López-Bermúdez, F.; Castillo, V.M. Effects of check dams, reforestation and land-use changes on river channel morphology: Case study of the Rogativa catchment (Murcia, Spain). Geomorphology 2007, 91, 103–123. [Google Scholar] [CrossRef]
- Chen, W.; Wan, W.; He, H.; Liao, D.; Liu, J. Temperature Field Distribution and Numerical Simulation of Improved Freezing Scheme for Shafts in Loose and Soft Stratum. Rock Mech. Rock Eng. 2024, 57, 2695–2725. [Google Scholar] [CrossRef]
- Lucas-Borja, M.E.; Piton, G.; Yu, Y.; Castillo, C.; Antonio Zema, D. Check dams worldwide: Objectives, functions, effectiveness and undesired effects. CATENA 2021, 204, 105390. [Google Scholar] [CrossRef]
- Shi, P.; Zhang, Y.; Ren, Z.; Yu, Y.; Li, P.; Gong, J. Land-use changes and check dams reducing runoff and sediment yield on the Loess Plateau of China. Sci. Total Environ. 2019, 664, 984–994. [Google Scholar] [CrossRef]
- Zhao, G.; Kondolf, G.M.; Mu, X.; Han, M.; He, Z.; Rubin, Z.; Wang, F.; Gao, P.; Sun, W. Sediment yield reduction associated with land use changes and check dams in a catchment of the Loess Plateau, China. CATENA 2017, 148, 126–137. [Google Scholar] [CrossRef]
- Ren, Z.; Ma, X.; Wang, K.; Li, Z. Effects of Extreme Precipitation on Runoff and Sediment Yield in the Middle Reaches of the Yellow River. Atmosphere 2023, 14, 1415. [Google Scholar] [CrossRef]
- Zhao, G.; Yue, X.; Tian, P.; Mu, X.; Xu, W.; Wang, F.; Gao, P.; Sun, W. Comparison of the Suspended Sediment Dynamics in Two Loess Plateau Catchments, China. Land Degrad. Dev. 2017, 28, 1398–1411. [Google Scholar] [CrossRef]
- Shang, H.; Hu, C.; Xia, J.; Zhou, M. Contributions of Rainfall and Soil and Water Conservation to the Variation in Sediment Discharge of the Huangfuchuan River Basin. J. Soil Water Conserv. 2023, 37, 199–207. (In Chinese) [Google Scholar] [CrossRef]










| Extreme Rainfall Indexes | Units | Definition |
|---|---|---|
| Extreme rainfall amount (R95p) | mm | Annual total rainfall when daily rainfall > 95th Percentile |
| Max 1-day rainfall amount (RX1day) | mm | Monthly maximum 1-day rainfall |
| Max 5-day rainfall amount (RX5day) | mm | Monthly maximum consecutive 5-day rainfall |
| Simple rainfall intensity index (SDII) | mm/d | Annual total rainfall divided by the number of wet days (daily rainfall ≥ 1 mm) in the year |
| Extreme Rainfall Indexes | 1980–2020 | 1980–1998 | 1999–2020 |
|---|---|---|---|
| R95p | 0.504 ** | 0.674 ** | 0.247 |
| Rx1day | 0.548 ** | 0.763 ** | 0.576 * |
| Rx5day | 0.570 ** | 0.779 ** | 0.462 |
| SDII | 0.477 ** | 0.576 ** | 0.152 |
Disclaimer/Publisher’s Note: The statements, opinions and data contained in all publications are solely those of the individual author(s) and contributor(s) and not of MDPI and/or the editor(s). MDPI and/or the editor(s) disclaim responsibility for any injury to people or property resulting from any ideas, methods, instructions or products referred to in the content. |
© 2024 by the author. Licensee MDPI, Basel, Switzerland. This article is an open access article distributed under the terms and conditions of the Creative Commons Attribution (CC BY) license (https://creativecommons.org/licenses/by/4.0/).
Share and Cite
Li, E. Effects of Extreme Rainfall Change on Sediment Load in the Huangfuchuan Watershed, Loess Plateau, China. Sustainability 2024, 16, 7457. https://doi.org/10.3390/su16177457
Li E. Effects of Extreme Rainfall Change on Sediment Load in the Huangfuchuan Watershed, Loess Plateau, China. Sustainability. 2024; 16(17):7457. https://doi.org/10.3390/su16177457
Chicago/Turabian StyleLi, Erhui. 2024. "Effects of Extreme Rainfall Change on Sediment Load in the Huangfuchuan Watershed, Loess Plateau, China" Sustainability 16, no. 17: 7457. https://doi.org/10.3390/su16177457
APA StyleLi, E. (2024). Effects of Extreme Rainfall Change on Sediment Load in the Huangfuchuan Watershed, Loess Plateau, China. Sustainability, 16(17), 7457. https://doi.org/10.3390/su16177457
