Next Article in Journal
Sustainable Technological Incorporation in Aquaculture: Attitudinal and Motivational Perceptions of Entrepreneurs in the Northwest Region of Mexico
Next Article in Special Issue
Geographical Variation in Pasturelands and Their Impact on the Physicochemical Characterization and Fatty Acid Composition of Cheese in Caraș-Severin County, Romania
Previous Article in Journal
The Role of Digital Transformation and Digital Competencies in Organizational Sustainability: A Study of SMEs in Lima, Peru
Previous Article in Special Issue
Conservation and Promotion of Neglected and Underutilized Crop Species in West Africa: Policy and Governance
 
 
Font Type:
Arial Georgia Verdana
Font Size:
Aa Aa Aa
Line Spacing:
Column Width:
Background:
Article

Effect of Reduced Tillage and Residue Incorporation as Sustainable Agricultural Practices on the Yield and Nutrient Uptake of Rice

by
Tahsina Sharmin Hoque
1,*,
Jannatul Ferdous
1,
Nusrat Jahan Mim
1,
Sayful Islam
1,
Md. Anamul Hoque
1,
Mohamed M. Hassan
2 and
Mohammad Anwar Hossain
3,*
1
Department of Soil Science, Bangladesh Agricultural University, Mymensingh 2202, Bangladesh
2
Department of Biology, College of Science, Taif University, P.O. Box 11099, Taif 21944, Saudi Arabia
3
Department of Genetics and Plant Breeding, Bangladesh Agricultural University, Mymensingh 2202, Bangladesh
*
Authors to whom correspondence should be addressed.
Sustainability 2024, 16(16), 6994; https://doi.org/10.3390/su16166994
Submission received: 21 June 2024 / Revised: 8 August 2024 / Accepted: 10 August 2024 / Published: 15 August 2024
(This article belongs to the Special Issue Sustainable Agriculture and Food Security)

Abstract

In cereal-based farming, there is significant influence of tillage and residue incorporation as sustainable practices, although their role in crop production is still unclear. Two field trials were executed during winter seasons to evaluate the best-performing crop residue and tillage system for the nutrition and yield of rice at the Soil Science Field Laboratory of Bangladesh Agricultural University. In the first trial, residues from soybean, black gram, and rice were incorporated into the soil with 75% recommended fertilizer doses (RFD). The grain yields were 5.97, 6.21, and 6.10 t ha−1, respectively in rice, soybean, and black gram residue-treated plots, which were increased by 77.15, 84.27, and 81.01%, respectively, over the control. In the second trial, the residues from black gram and rice were incorporated with 100% RFD under conventional tillage (CT) and minimum tillage (MT) for two years, where CT with black gram residue plus 100% fertilizer (CT-I2) exhibited the highest grain yield of 6.69 and 6.88 t ha−1, increasing by 7.61% and 8% over 100% RFD. Both CT and MT performed similarly, and their combination with legume residue strongly influenced crop performance and nutrient uptake. Therefore, incorporating legume residue under minimum tillage can be a sustainable approach for better rice yield and nutritional uptake.

1. Introduction

In Bangladesh, rice (Oryza sativa L.) is the leading crop, which is intensively cultivated, covering about 78% of agricultural land, contributing 4.5% to the GDP, and constituting 97% of the consumable grain production to feed more than 165 million people [1,2]. Bangladesh ranks third in growing areas and holds the fourth position considering production of rice all over the globe [2]. To ensure the food security and livelihood of the farming community, a rice-based cropping system is fundamental to agriculture, and therefore, the sustainability of the system is crucial. A gradual raise in the demand to produce more cereals to support the ever-teeming population in this country is prominent. From 1971 to 2020, the rice production increased from 10.59 to 37.4 million tons [2], and the remarkable increase in rice yield was due to the adaption of high-yielding varieties, increased use of fertilizers, and water management facilities. However, the traditional rice cultivation practices such as puddling (wet tillage), residue removal, high-rate chemical fertilization, and rice mono-culturing contribute to the main problems of soil quality and ecology deterioration [3,4]. Fertilizer usage can increase crop yields, but fertilizer abuse, such as excessive fertilization, causes groundwater pollution and eutrophication, even resulting in pest outbreak. Tillage as a farm management practice can also result in deterioration of soil, water, and air quality [5]. It is obvious that, similar to fertilizers, conventional tillage (CT) exerts a large impact on the physicochemical and biological characteristics of soils, which are relevant to crop production. The conventional tillage practice destroys soil aggregates, forming a hard plough pan [6]. As a result, this tillage method has given rise to negative impacts such as land degradation, soil erosion, and nutrient depletion problems [7]. Residue removal during puddling by continuous tillage operations can threaten soil health and hamper essential ecosystem functions [8]. Indiscriminate harvesting of crop residues for biofuel can also decrease crop yield and reduce the input of organic binding agents necessary for the generation and stability of aggregates [9]. Moreover, residue burn in open places can cause a severe threat to the environment, and it has become a notable concern for global climate change mitigation attempts [10].
To reduce the physicochemical degradation of soils, it is crucial to boost the structural stability of soil by enhancing the organic matter status because soil organic matter makes a significant contribution to the regeneration and stabilization of poor soil structure, thereby, rejuvenating soil health. Due to growing costs, rapid nutrient mining, and the environmentally unfriendly impacts of synthetic fertilizers, the addition of organic sources of nutrients such as crop residues has gained much popularity in the last few years. Proper handling and management of crop residues have become an indispensable component of sustainable agriculture [11]. Crop residues can be considered as invaluable resources for agriculture, as they have the ability to reduce run off and soil erosion and to increase water retention, which is necessary for crop development [9,12]. Incorporating crop residues in soil can influence microbial activities [13], affecting nutrient mineralization and crop production. Crop residue incorporation in soils enhances soil microbial biomass, carbon (C) storage, enzyme like dehydrogenase activity, and microbial respiration activities, which eventually improve soil fertility [14]. Residues from cereal and legume crops can be used as a source of nutrients to maintain soil quality. Particularly, legumes are a crucial source of robust N supply in soil and increase soil N by ensuring higher fertilizer-use efficiency and agricultural productivity [15,16]. Cover-crop retention through green manuring practice may provide the significant benefit of prolonged soil fertility, but small-scale farmers tend to grow crops that give greater yields in a short period [17]. So, crop residue application or retention from the previous crop is the most common practice that is well accepted.
To avoid excess manipulation of soil, minimum tillage (MT) is a kind of conservation practice where tillage frequency is reduced to a certain level that is required for crop production. MT can be a substitute to CT, as this technique for land preparation can reduce the requirement of tillage and water for the succeeding crop, thereby saving money and resources at a time [18]. In contrast with CT, reduced tillage practice can significantly decrease run off and evaporation of surface water and can control soil erosion [19,20]. By increasing soil water storage, conservation of tillage can enhance soil water infiltration, water-use efficiency, and yields of crops [21,22]. Through minimal disturbance, this system can increase soil nutrients such as C and N by enhanced microbial activity [23]. In a nutshell, long-term agricultural conservation practices like minimum tillage and residue incorporation can offer immediate benefit to small-scale famers by functioning as sustainable approaches for nutrient cycling and management, soil aeration, moisture retention, energy transfer, and enzymatic activities in soils [24] that ultimately improve soil health and assure sustainable agricultural development [25].
In Bangladesh, agricultural conservation practices are often neglected due to the lack of knowledge and information. As a matter of fact, few research works have been conducted in this country based on conservational agricultural practices like residue incorporation and minimum tillage, and the data regarding the impact of residues under reduced tillage on crop production are still insufficient. The present study was designed with the aim of investigating the impact of various crop residues on rice production and nutrient uptake with response to different tillage operations to maintain sustainability in agriculture.

2. Materials and Methods

2.1. Exprimental Site and Soil

Two trials were carried out at the field laboratory of the Department of Soil Science, Bangladesh Agricultural University, during the winter rice growing periods (Rabi) of 2021–2022, 2022–2023, and 2023–2024. The land type of the testing site was medium-high, which is made up of non-calcareous, dark-gray floodplain soils of the Sonatala series belonging to Old Brahmaputra Floodplain (Agro-ecological zone 9). The site is at 18 m sea-level elevation, and latitude and longitude are 24°75′ N and 90°50′ E, respectively. The experimental area experiences a subtropical climate characterized by elevated temperature, substantial humidity, and considerable rainfall, occasionally accompanied by gusty winds during the Kharif season (March to September). Conversely, the Rabi season (October to February) is marked by reduced rainfall along with moderately low temperature. The land was moderately well drained above the flood level with a silty loam texture (sand 23%, silt 60%, and clay 17%), and plentiful sunshine was available throughout the study period. The land was divided into two portions for the two field trials. The soil had pH 6.51, soil organic matter (SOM) 1.81%, total nitrogen (N) 0.117%, available phosphorus (P) 4.36 ppm, exchangeable potassium (K) 0.07 me%, and available sulfur (S) 12.27 ppm. The mechanical analysis of soil was performed by hydrometer method, as suggested by Black [26], and the textural class was determined using USDA protocol by organizing the percentages of sand, silt, and clay in the Marshall’s Triangular Coordinate. Using a glass electrode pH meter, soil pH was measured, and organic matter status was evaluated by wet oxidation procedure, as suggested by Walkley and Black [27]. The total N and available P were measured by semi-micro Kjeldahl method [28] and Olsen method [29], respectively. The exchangeable K and available S were determined by flame photometer and spectrophotometer, respectively, using the extractant NH4OAc (1 N; pH 7) [30] and CaCl2 solution (0.15%) [31], respectively.

2.2. Experimental Details

In the first year (2021–2022), the first field trial (experiment 1) was set up in the Rabi winter season using a randomized complete block design (RCBD) and replicated thrice. The treatments were T1 = control, T2 = 100% RFD (recommended fertilizer dose, RFD), T3 = 75% RFD, T4 = 75% RFD + rice residue (5 t ha−1), T5 = 75% RFD + soybean residue (5 t ha−1), and T6 = 75% RFD + black gram residue (5 t ha−1), and the test crop was rice cv. BRRI dhan28. For the second experiment, the remaining portion of the land was used, which had more or less similar soil properties and climatic conditions compared to the first experiment. A split plot experiment with two factors was carried out for 2 consecutive years (2022–2023 and 2023–2024) using BRRI dhan29 as the test crop, which has better yielding capacity compared to BRRI dhan28. The factor 1 (tillage; CT = conventional tillage; MT = minimum tillage) and factor 2 (residue; I0 = 100% RFD, I1 = 100% RFD + rice residue 5 t ha−1, and I2 = 100% RFD + black gram residue 5 t ha−1) were replicated thrice. The entire experimental field was divided into two large plots where the factor 1 treatments were assigned as the main plots, and the main plots were subdivided into the remaining three subplots assigned to the factor 2 treatments. In the first study, the land of the experimental plots was prepared by repeated ploughing (four times) using a power tiller and harrowing by a ladder. For the second study, the same practice was followed for conventional tillage, but in case of minimum tillage, single ploughing was carried out, followed by laddering. For all the studies, there were 18 plots in total, with each unit plot measuring 4 m × 2.5 m. Bunds of 0.5 m were prepared to separate the plots, while the blocks or the large plots were segregated by 1 m drains. The residues of rice, soybean, and black gram were collected from farmers’ fields, dried for a week, cut into 10–12 cm pieces, and then incorporated into the soil 10 days before seedling transplanting, as per the treatment during final land preparation. The seedlings were transplanted in the plots at the age of 35 days by keeping a space of 20 cm × 20 cm. According to the FRG [32], the rates of N, P, K, S, and Zn for both the test crops were 144, 12, 60, 4, and 1.5 kg ha−1, respectively, and the full amount of all the inorganic fertilizers excluding urea was added before seedling transplantation. In three installments, urea was applied in soil 15 days after transplanting (DAT) as the first split, 30 DAT as the second split, and 45 DAT as the last split. Subsequently, three irrigations were provided, and weeding was carried out at three times, namely 15, 30, and 50 DAT to remove the unwanted plants. Rice was harvested when the crop had attained the full maturity.

2.3. Data Record and Analysis of Samples

In all trials, yield-contributing characteristics, viz., no. of effective tillers hill−1, panicle length, no. of filled and unfilled grains panicle−1, and weight of 1000 grains, were recorded, and yields of grain as well as straw were calculated. After harvest, one thousand clean, dried grains with 14% moisture content were randomly selected and weighed using an electronic balance (Fuzhou KD/UBED 029, China), and the weight was expressed in grams. The yields (both grain and straw) were estimated based on 14% moisture and indicated by t ha−1. The representative residue and plant samples (grain and straw) were dried using an oven at 65 °C temperature for 72 h and were ground into fine powder with help of a ball mill grinder (RETSCH PM400, Haan, Germany). After sieving through a 20-mesh sieve, the samples were placed in paper bags and finally stored in a desiccator until the analysis of the nutrients. Following Kjeldahl digestion technique, the total nitrogen was estimated as suggested by Nelson and Sommers [28]. To estimate the total P, K, and S content, the samples were digested with HNO3-HClO4 (3:1) di-acid mixture [33]. The colorimetric and turbidimetric procedures were followed for total P and S measurements, respectively, using a spectrophotometer (JENWAY 6300, Cambridgeshire, UK). Total K was measured by a flame photometer (JENWAY PFP 7, Cambridgeshire, UK) according to the protocol as suggested by Knudsen et al. [30]. The nutrient composition in various crop residues is shown in Table 1. The following equation was used to compute the nutrient uptake by plant parts.
Nutrient   uptake   kg   ha 1 = Yield   t   ha 1 ×   Nutrient   content   % × 1000 100

2.4. Statistical Analyses

Using ANOVA, the data from the RCBD were analyzed, and the LSD (least significant difference) test was performed for comparing the treatment means with the help of Minitab 17 software. The F-test was carried out to examine the data of the treatment effects found from split plot design, and Duncan’s new multiple range test (DMRT) was used to adjudge the mean differences [34] with the help of STATISTIC 10 software.

3. Results

3.1. Yield Parameters of Rice

A significant effect on the yield parameters of rice was found after the application of crop residues with chemical fertilizers (Table 2) and their use under different tillage practices (Table 3). In BRRI dhan28, a maximum plant height of 95.16 cm was recorded in T6 (75% RFD + black gram residue 5 t ha−1), as shown in Table 2, although the highest number of effective tillers hill−1 (15.75) and that of filled grains panicle−1 (114.20) was found in T5 (75% RFD + soybean residue 5 t ha−1). Statistically, all the treatments were equivalent except the control in the case of plant height, but the treatments T2, T4, T5, and T6 were similar in producing tillers and filled grains. In BRRI dhan28, T1 and T5 treatments produced the maximum (10.76) and minimum (8.03) number of unfilled grains panicle−1, respectively. Both 100% RFD and 75% RFD plus residue groups were identical to each other for improving the yield parameters of rice. The minimum values of all the yield parameters (except the no. of unfilled grains panicle−1) were recorded in control.
In BRRI dhan29, the effect of tillage as well as the interaction of tillage and year was significant only for plant height and number of filled grains panicle−1 (Table 3). However, the effect of residue as well as tillage and residue interaction and year and residue interaction were significant for all the yield parameters except 1000-grain weight. On the other hand, the effect of year was non-significant for all the yield components except plant height. The interaction effect of tillage, residue, and year was significant for all the yield components except panicle length and 1000-grain weight. The yield parameters were comparatively better in the year 2023–2024 (Y2) compared to those in 2022–2023 (Y1). Likewise, CT showed better performance over MT, and black gram residue (I2) exerted superior impact over other residues. The highest values of plant height (96.67 cm), number of effective tillers hill−1 (15.88), and number of filled grains panicle−1 (114.29) were found in the CT-I2-Y2 combination, while the lowest values of plant height (90.33 cm) and number of filled grains panicle−1 (111.36) were observed in the MT-I0-Y1 combination. The minimum number of effective tillers hill−1 (14.80) was observed in the CT-I0-Y1 combination. Notably, I0 showed poor performance in 2022–2023 (Y1) on yield parameters of BRRI dhan29 compared to residue incorporation (I1 and I2) with either MT or CT practices. The number of unfilled grains was the highest (10.06) in the no-residue application condition, i.e., I0, under both tillage systems in both years. Again, both BRRI dhan28 and BRRI dhan29 showed no significant treatment variations for weight of 1000 grains (Table 2 and Table 3).

3.2. Grain and Straw Yield of Rice

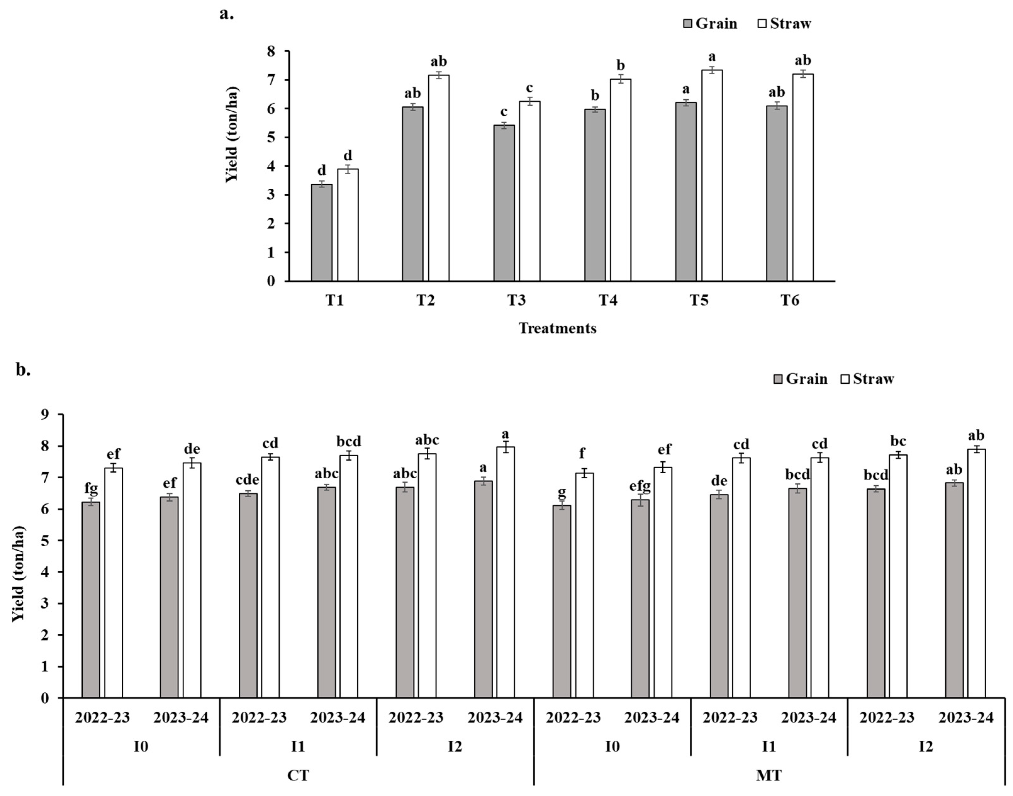
The grain yield and straw yield of BRRI dhan28 were influenced significantly due to the application of crop residues with chemical fertilizers (Figure 1a). The rice yield varied from 3.37 to 6.21 t ha−1 for grain and ranged from 3.89 to 7.34 t ha−1 for straw for the year 2021–22. The highest yields for both grain and straw were observed in the T5 treatment (75% RFD + soybean residue 5 t ha−1), which was statistically comparable to the treatments T2 (100% RFD) and T6 (75% RFD + black gram residue 5 t ha−1). The lowest yields for grain and straw were noted in the control (T1). For both grain and straw yields, the treatments can be arranged as T5 > T6 > T2 > T4 > T3 > T1.
In the case of BRRI dhan29, a significant effect of crop residues with inorganic fertilizers under different tillage practices was found for both grain yield and straw yield for the years 2022–2023 and 2023–2024 (Figure 1b). For yields, residue as well as year individually had a significant impact, although tillage showed a non-significant effect (Supplementary Table S1). Moreover, the interaction of tillage and residue, tillage and year, residue and year, as well as the combination of tillage, residue, and year had a significant effect on both the grain and straw yields of rice. The data shown in Figure 1b reveal that the treatments caused a 6.12 to 6.88 t ha−1 grain yield and a 7.13 to 7.96 t ha−1 straw yield of rice, respectively, in the two years. The highest yields (both for grain and straw) were found in CT-I2 (combination of conventional tillage and 100% recommended chemical fertilizers with black gram residue 5 t ha−1) in the year 2023–2024, whereas the lowest yields were observed in MT-I0 (combination of minimum tillage and 100% recommended chemical fertilizers) in 2022–2023. Though there was no statistical variation, CT had a higher grain yield than MT under same residue management approach in both the years. Again, under same tillage and residue application, the yields were higher in the year 2023–2024 compared to those in 2022–2023, although no statistical difference was found between them. The treatments ranked in order of CT-I2 > MT-I2 > CT-I1 > MT-I1 > CT-I0 > MT-I0 in both years regarding yields of grain and straw. In first year, the CT-I2 had a 7.61% and 6.20% higher grain yield and straw yield, whereas in the second year, it had a 8% and 6.75% higher grain and straw yield, respectively, over CT-I0.

3.3. Nutrient Content in Rice

Crop residue application showed significant effects on nutrient content (except P content in grain and S content in straw) in BRRI dhan28 (Table 4). The maximum contents of N (1.18% in grain and 0.47% in straw), P (0.22% in grain and 0.13% in straw), S (0.14% in grain and 0.09% in straw), and grain K (0.25%) were recorded in treatment T5, containing 75% RFD plus soybean residue (5 t/ha). The highest grain P, straw S, and straw K contents were found in treatment T6 with 75% RFD plus black gram residue (5 t ha−1). The minimum contents of N (0.97% in grain and 0.33% in straw), P (0.20% in grain and 0.10% in straw), K (0.21% in grain and 0.99% in straw), and S (0.11% in grain and 0.07% in straw) were recorded in the control, where no fertilizer or residues were applied.
On the other hand, residue application with tillage variation in two years showed significant influence on the nutrient content in BRRI dhan29 (Table 5). The content of N, P, K, and S varied from 1.07 to 1.41%, 0.21 to 0.26%, 0.30 to 0.36%, and 0.08 to 0.13%, respectively, in grain and 0.41 to 0.57%, 0.06 to 0.09%, 0.97 to 1.24%, and 0.05 to 0.10%, respectively, in straw for all years. Tillage showed a significant effect for N and S content in grain and K content in straw, whereas the effect of year was significant only for N and S content in grain. In contrast, residue had a significant strong influence on all the nutrient content in grain and straw (except straw S content). A significant effect on nutrient content was found for the interaction between tillage and residue (except grain K and straw S content), tillage and year (except straw N, grain K, and straw S content), residue and year (except straw S), as well as the combination of tillage, residue, and year.
The highest content of N (1.41% in grain and 0.57% in straw), P (0.26% in grain and 0.09% in straw), K (0.36% in grain and 1.24% in straw), and S (0.13% in grain and 0.10% in straw) in rice was found in the CT-I2-Y2 combination, where 100% RFD with black gram residue (5 t ha−1) under CT was utilized. Moreover, the maximum straw P as well as grain K was also recorded in the MT-I2-Y2 combination, where 100% RFD with black gram residue (5 t ha−1) under MT was utilized in 2023–2024. The minimum content of N (1.07% in grain and 0.41% in straw), P (0.21% in grain and 0.06% in straw), K (0.30% in grain and 0.97% in straw), and S (0.08% in grain and 0.04% in straw) was noted in the MT-I0-Y1 combination in BRRI dhan29, where no residue was applied with 100% RFD in 2022–2023.

3.4. Nutrient Uptake by Rice

A significant effect of different treatments was found on the uptake of nutrients in both BRRI dhan28 and BRRI dhan29 (Figure 2 and Figure 3). In BRRI dhan28, N uptake differed from 33.91 to 74.79 kg ha−1 for grain, 13.50 to 35.57 kg ha−1 for straw, and 47.41 to 110.36 kg ha−1 for total (Figure 2a), while P uptake in grain, straw, and total ranged from 6.88 to 13.83, 3.89 to 9.62, and 10.77 to 23.45 kg ha−1, respectively (Figure 2b). In the same rice variety, K uptake fluctuated from 7.23 to 15.73 kg ha−1 for grain, 41.09 to 90.50 kg ha−1 for straw, and 48.32 to 106.23 kg ha−1 for total (Figure 2c), while S uptake by grain, straw, and total differed from 3.72 to 8.75, 2.64 to 6.58, and 6.36 to 15.33 kg ha−1, respectively (Figure 2d). The highest uptake of all four nutrients was found in treatment T5 (75% RFD + soybean residue 5 t ha−1), which was not statistically dissimilar to T2 (100% RFD) and T6 (75% RFD + black gram residue 5 t ha−1) treatments. The lowest uptake of all the nutrients was recorded in treatment T1.
In BRRI dhan29, tillage had a significant influence on nutrient uptake except for grain, straw, total S uptake, and straw P uptake (Supplementary Table S1). A significant strong influence was found for both residue and year in the case of all nutrient uptake by rice. Again, a significant effect on the nutrients uptake in rice plant parts was observed for the interaction of tillage and residue, tillage and year, residue and year, as well as the combination of tillage, residue, and year. Figure 3a showed that in BRRI dhan29, grain, straw, and total N uptake ranged from 66.39 to 97.56, 29.32 to 48.23, and 95.71 to 145.79 kg ha−1, respectively, from 2022–23 to 2023–24. P uptake by grain, straw, and total varied from 12.39 to 21.76, 4.17 to 10.64, and 16.56 to 32.41 kg ha−1, respectively, for the same period (Figure 3b). Again, K uptake varied from 18.47 to 27.23 kg ha−1 for grain, 70.74 to 102.65 kg ha−1 for straw, and 89.21 to 129.88 kg ha−1 for total (Figure 3c), whereas grain, straw, and total S-uptake ranged from 4.86 to 12.39, 3.09 to 10.85, and 7.95 to 23.25 kg ha−1, respectively, for the two years (Figure 3d). The maximum uptake of N, P, K, and S by grain, straw, as well as total uptake was recorded in the treatment combination CT-I2-Y2 (100% RFD + black gram residue 5 t ha−1 in conventional tillage in 2023–2024), which was statistically on par with MT-I2-Y2 (100% RFD + black gram residue 5 t ha−1 in minimum tillage for the same year). Similar to yield data, the minimum values of nutrient uptake were noted in MT-I0-Y1 (100% RFD without residue application under minimum tillage in the year 2022–2023). For same tillage and residue application, the total uptakes of nutrients were significantly higher in the year 2023–2024 in comparison to those in the year 2022–2023.

4. Discussion

4.1. Experiment 1

Agricultural residues can be used as a nutrient resource for crop production, and through their soil incorporation, they can significantly affect crop yield and soil properties, as found in a number of reports [35,36,37]. For growing winter Rabi crops, the use of residues from previously grown common Kharif crops can be a good choice for farmers. As rice is extensively cultivated in most of the regions of Bangladesh, residues from Kharif rice are highly available. Among the Kharif legume crops, soybean is grown in some regions, whereas black gram is cultivated in many areas of the country. In the present study, a preliminary one-year exploratory experiment was conducted in which the best residues were selected for testing, followed by a definitive two-year experiment that included the comparison between minimum tillage and traditional tillage. In cereal crops, the enhancement of yield-contributing characteristics such as increased plant height, number of effective tillers hill−1, length of panicle, number of grains panicle−1, 1000-grain weight, etc., from use of crop residues combined with inorganic fertilizers was observed by some investigators [38,39,40], which is comparable to the findings of the present study, where the combination of legume or rice residues with chemical fertilizers produced more height, panicle, tillers, and grain weight of rice. This research reveals that 75% RFD plus soybean residue 5 t ha−1 (treatment T5) had the greatest yield and yield parameters of BRRI dhan28 (Table 2 and Figure 1a). Next to soybean residue, black gram residue performed well for improving rice yield and yield attributes. The increased rice yield owing to crop residue application was mostly caused by higher nutrient availability from residues, which act as a source of nutrients. Use of crop residues and fertilizers can enhance the biomass and production of cereals like rice and wheat, as suggested by many researchers [39,41,42,43], which is attributed to the accelerated breakdown and accessibility of nutrients from soil to the plant system. Thus, residue addition can help lower dependency on fertilizer [44] and improve the crop yield [45,46]. This may help in nutrient recycling, supplying nutrients like C and organic matter status in soil [47] and enhancing soil microbial community [48]. The benefits depend on the kinds of crop species from which residues are obtained and also on the management practices and the environmental situations [49,50]. According to [22,49,51], residues of 2–4 ton ha−1 are necessary for enhancing soil water status and crop production and decreasing top soil compactness and crust development. The present study reported that legume residues (soybean and black gram) enhanced rice production more than the rice residue (Figure 1a). Legume residues have a low C-to-N ratio that causes fast and greater mineralization, and on the contrary, rice residue having a high C-to-N ratio brings about slow and low mineralization and release of N [52,53]. Aligned with the findings of Sakala et al. [54], a greater C-to-N ratio may result in N immobilization, and residue with a smaller C-to-N ratio undergoes rapid decomposition. The current study revealed that due to fast decomposition, legume residues promptly released nutrients that were readily up-taken by rice plants, and thus, more yield and yield components were found. The performance of black gram residue was more or less similar to the soybean residues, and both of them gave higher yield components, grain yield, straw yield, and uptake of nutrients in BRRI dhan28 in comparison with rice residue. Based on performance and local availability, black gram residue was selected for experiment 2.
In the first trial, the highest uptakes of macronutrients, viz., N, P, K, and S, by rice grain, straw, and total were found in T5 (75% RFD + soybean residue 5 t ha−1) and were statistically equivalent to T6, in which 5 t ha−1 black-gram residue @ 5 t ha−1 was used with three-fourths of the recommended synthetic fertilizers. In accordance with this finding, Dotaniya [42] also showed better N uptake (123.6 kg ha−1) and K uptake (179.5 kg ha−1) by rice with incorporation of residues and chemical fertilizers. Arshadullah et al. [38] also demonstrated the remarkable influence of crop residues in association with fertilizers on the nutritional improvement of rice. The considerable influence of residue management practices on production and nutritional quality of rice was demonstrated by the study of Kaewpradit et al. [55], who suggested that combining residues of rice and groundnut may cause slow release of N at the pre-rice lag phase, which creates a concurrence in the demand and supply of N, preventing loss of the nutrient from the soil–plant system.

4.2. Experiment 2

Rice yields and its parameters, especially plant height and tiller and grain number, were strongly altered by the interaction of tillage and residue, residue and year, as well as the interaction of tillage, residue, and year (Table 3, Supplementary Table S1, and Figure 1b). For increasing rice yields, tillage alone showed no considerable impact. Pittelkow et al. [24] reported that the yield will not be higher under a conservation tillage system in the first year in comparison to traditional tillage practice. Ardell et al. [56] mentioned that the grain yields of rice due to tillage systems were in the order of conventional tillage (CT) > minimum tillage (MT) > no tillage, where tillage depth had significant effects on rice yield. Nevertheless, some studies reported that crop production may be declined by MT and inadequate residue addition in contrast to CT [57,58]; because in MT, the incorporated residues were not mixed thoroughly with the soil, the microbial activity and required oxygen might be in limited condition. In our trial, reduced tillage was statistically on par with conventional tillage irrespective of residue incorporation for most of the yield parameters and the yield of BRRI dhan29 for both years (Table 3 and Figure 1b). The practice of reduced tillage did not show any substantial impact on rice production, as described by a number of researchers [59,60].
When CT or MT was practiced in combination with black gram or rice residues with 100% RFD, the yield parameters and yields were generally more preferable than 100% RFD alone. Similar to the result of experiment 1, black gram residue had a higher yield than rice residue irrespective of the tillage system in both 2022–2023 and 2023–2024. In the present study, the interaction of year with treatments like tillage or residue incorporation or both tillage and residue addition significantly altered rice yield and its nutrient content, suggesting that agricultural conservation practices for consecutive years can improve rice production and its nutritional quality. According to Fu et al. [61], the characteristics of residues including chemical constitution; C-to-N ratio; environment such as temperature, moisture status, soil properties like pH, and moisture level; as well as application method regulate the liberation and content of nutrients in the soil. In this study, the CT with legume residue had the maximum rice yield over any other treatment combination for both years because in CT, 3–4 ploughings facilitated the rapid decomposition of residues with a small C-to-N ratio. CT broke aggregates and formed micro-aggregates, which banded together to form pseudo macro-aggregates, and oxygen within these pseudo macro-aggregates might facilitate the organic matter decomposition. The leguminous residues, having a lower C-to-N ratio, might have triggered the decomposition. Conversely, rice residue might cause immobilization of N, reducing the amount of soil N compared to black gram residue.
The chemical fertilizers along with crop residues in both CT and MT significantly increased the content and uptake of nutrients in the plant parts of rice. Irrespective of tillage, higher nutrient accumulation was observed for residue-incorporated plots than for chemical fertilizer-only-treated plots in both years. The highest nutrient uptakes in rice plant parts as well as total uptakes were found in CT-I2 (100% RFD plus 5 t ha−1 black gram residue under conventional tillage practice), and no considerable difference was noted between CT and MT for the nutrient uptakes in 2022–2023 and 2023–2024. The increased nutrient uptake as well as nutrient build up was found with time as a consequence of application of residues. Conservational agriculture-based crop management technologies are proven to be more resource-efficient than conventional practices. Therefore, crop residues should be used with a conservation tillage system for a long time to ensure food security, to produce better-quality crops, and to make agriculture more sustainable.

5. Conclusions

For maintaining soil fertility, modern farming now heavily relies on the management of crop leftovers. Applying crop residue with fertilizers can significantly improve rice yield and its nutrient uptake. Regardless of tillage, legume residue has a greater potential in boosting rice yield and its nutritional status. Both legume residue and rice residue can compensate about 25% of RFD when applied with 75% RFD, and also, yield improvement was even found with residue and 100% RFD. Although minimum tillage did not perform better than conventional tillage, its performance was statistically equivalent to traditional tillage in most of the cases of yield improvement and nutrient uptake of rice, suggesting that minimum tillage might perform better in the future. The lack of differences between minimum tillage and conventional tillage favors the use of minimum tillage for rice cultivation, which requires less energy and maintains soil moisture and organic matter. However, thorough and long-term further research with different crop residues is necessary for building the most suitable approach that will enhance rice yield and quality with profitability based on farm needs in a sustainable manner.

Supplementary Materials

The following supporting information can be downloaded at: https://www.mdpi.com/article/10.3390/su16166994/s1, Table S1: Statistical analysis of treatment combinations for yield and nutrient uptake of BRRI dhan29 in 2022–2023 and 2023–2024.

Author Contributions

Conceptualization and methodology, T.S.H. and M.A.H. (Md. Anamul Hoque); research and data collection, S.I.; data analysis, N.J.M. and J.F.; writing—original draft, T.S.H., J.F. and N.J.M., writing—reviewing and editing, T.S.H., M.A.H. (Md. Anamul Hoque), M.A.H. (Mohammad Anwar Hossain), and M.M.H.; supervision, T.S.H. and M.A.H. (Md. Anamul Hoque). All authors have read and agreed to the published version of the manuscript.

Funding

This research was funded by Taif University (Project No. TU-DSPP-2024-68), Saudi Arabia. The current research was also partially funded by the Ministry of Science and Technology of Bangladesh.

Institutional Review Board Statement

Not applicable.

Informed Consent Statement

Not applicable.

Data Availability Statement

The data presented in this study are available on request from the corresponding author.

Acknowledgments

This research was funded by Taif University (Project No. TU-DSPP-2024-68), Saudi Arabia. The current research was also partially funded by the Ministry of Science and Technology of Bangladesh.

Conflicts of Interest

The authors declare no conflicts of interest.

References

  1. Kabir, M.S.; Salam, M.U.; Chowdhury, A.; Rahman, N.M.F.; Iftekharuddaula, K.M.; Rahman, M.S.; Rashid, M.H.; Dipti, S.S.; Islam, A.; Latif, M.A.; et al. Rice vision for Bangladesh: 2050 and beyond. Bangladesh Rice J. 2015, 19, 1–18. [Google Scholar] [CrossRef]
  2. BBS—Bangladesh Bureau of Statistics. Statistical Yearbook of Bangladesh; Bangladesh Bureau of Statistics, Statistic Division, Ministry of Planning, Government of Peoples Republic of Bangladesh: Dhaka, Bangladesh, 2021. [Google Scholar]
  3. Ladha, J.K.; Pathak, H.; Krupnick, T.J.; Six, J.; van Kessel, C. Efficiency of fertilizer nitrogen in cereal production: Retrospects and prospects. Adv. Agron. 2005, 87, 85–156. [Google Scholar] [CrossRef]
  4. Venkatesh, M.S.; Hazra, K.K.; Ghosh, P.K.; Praharaj, C.S.; Kumar, N. Long–term effect of pulses and nutrient management on soil carbon sequestration in Indo-Gangetic plains of India. Can. J. Soil Sci. 2013, 93, 127–136. [Google Scholar] [CrossRef]
  5. Lobb, D.A.; Huffman, E.; Reicosky, D.C. Importance of information on tillage practices in the modelling of environmental processes and in the use of environmental indicators. J. Environ. Manag. 2007, 82, 377–387. [Google Scholar] [CrossRef] [PubMed]
  6. Das, T.K.; Nath, C.P.; Das, S.; Biswas, S.; Bhattacharyya, R.; Sudhishri, S.; Raj, R.; Singh, B.; Kakralia, S.K.; Rathi, N.; et al. Conservation agriculture in rice-mustard cropping system for five years: Impacts on crop productivity, profitability, water-use efficiency, and soil properties. Field Crops Res. 2020, 250, 107781. [Google Scholar] [CrossRef]
  7. Peng, Q.; Liu, B.; Hu, Y.; Wang, A.; Guo, Q.; Yin, B.; Cao, Q.; He, L. The role of conventional tillage in agricultural soil erosion. Agric. Ecosyst. Environ. 2023, 348, 108407. [Google Scholar] [CrossRef]
  8. Gupta Choudhury, S.; Srivastava, S.; Singh, R.; Chaudhari, S.K.; Sharma, D.K.; Singh, S.K.; Sarkar, D. Tillage and residue management effects on soil aggregation, organic carbon dynamics and yield attribute in rice-wheat cropping system under reclaimed sodic soil. Soil Till. Res. 2014, 136, 76–83. [Google Scholar] [CrossRef]
  9. Blanco-Canqui, H.; Lal, R. Crop residue removal impacts on soil productivity and environmental quality. Crit. Rev. Plant Sci. 2009, 28, 139–163. [Google Scholar] [CrossRef]
  10. Raza, M.H.; Abid, M.; Faisal, M.; Yan, T.; Akhtar, S.; Adnan, K.M.M. Environmental and Health Impacts of Crop Residue burning: Scope of sustainable crop residue management practices. Int. J. Environ. Res. Public Health 2022, 19, 4753. [Google Scholar] [CrossRef] [PubMed]
  11. Agrawal, S.; Saikanth, D.R.K.; Mangaraj, A.; Jena, L.; Boruah, A.; Talukdar, N.; Bahadur, R.; Ashraf, S. Impact of crop residue management on crop productivity and soil health: A review. Int. J. Stat. Appl. Math. 2023, SP-8, 599–605. [Google Scholar]
  12. He, Y.; Yang, K.; Zhuang, W.; Liu, C.; Li, L.; Zhang, C.; Li, M. Crop residue removal effects on soil erosion and phosphorus loss in purple soils region, southwestern China. Agronomy 2023, 3, 1137. [Google Scholar] [CrossRef]
  13. Kumar, N.; Chaudhary, A.; Ahlawat, O.P.; Naorem, A.; Upadhyay, G.; Chhokar, R.S.; Gill, S.C.; Khippal, A.; Tripathi, S.C.; Singh, G.P. Crop residue management challenges, opportunities and way forward for sustainable food-energy security in India: A review. Soil Till. Res. 2023, 228, 105641. [Google Scholar] [CrossRef]
  14. Huang, S.; Zeng, Y.; Wu, J.; Shi, Q.; Pan, X. Effect of crop residue retention on rice yield in China: A meta-analysis. Field Crops Res. 2013, 154, 188–194. [Google Scholar] [CrossRef]
  15. Franke, A.C.; van den Brand, G.J.; Giller, K.E. Which farmers benefit most from sustainable intensification? An ex-ante impact assessment of expanding legume production in Malawi. Eur. J. Agron. 2014, 58, 28–38. [Google Scholar] [CrossRef]
  16. Snapp, S.S.; Blackie, M.J.; Gilbert, R.A.; Bezner-Kerr, R.; Kanyama-Phiri, G.Y. Biodiversity can support a greener revolution in Africa. Proc. Natl. Acad. Sci. USA 2010, 107, 20840–20845. [Google Scholar] [CrossRef] [PubMed]
  17. Bremner, R.; Snapp, S.S.; Chirwa, M.; Shumba, L.; Msachi, R. Participatory research on legume diversification with Malawian smallholder farmers for improved human nutrition and soil fertility. Exp. Agric. 2007, 43, 437–453. [Google Scholar] [CrossRef]
  18. Sayed, A.; Sarker, A.; Kim, J.E.; Rahman, M.; Mahmud, M.G.A. Environmental sustainability and water productivity on conservation tillage of irrigated maize in red brown terrace soil of Bangladesh. J. Saudi Soc. Agric. Sci. 2020, 19, 276–284. [Google Scholar] [CrossRef]
  19. Carretta, L.; Tarolli, P.; Cardinali, A.; Nasta, P.; Romano, N.; Masin, R. Evaluation of runoff and soil erosion under conventional tillage and no-till management: A case study in northeast Italy. Catena 2021, 197, 104972. [Google Scholar] [CrossRef]
  20. Singh, D.; Mishra, A.K.; Patra, S.; Dwivedi, A.K.; Ojha, C.S.P.; Singh, V.P.; Mariappan, S.; Babu, S.; Singh, N.; Yadav, D.; et al. Effect of long-term tillage practices on runoff and soil erosion in sloping croplands of Himalaya, India. Sustainability 2023, 15, 8285. [Google Scholar] [CrossRef]
  21. Adil, M.; Lu, S.; Yao, Z.; Zhang, C.; Lu, H.; Bashir, S.; Maitah, M.; Gul, I.; Razzaq, S.; Qiu, L. No-tillage enhances soil water storage, grain yield and water use efficiency in dryland wheat (Triticum aestivum) and maize (Zea mays) cropping systems: A global meta-analysis. Funct. Plant Biol. 2024, 51, FP23267. [Google Scholar] [CrossRef]
  22. Gicheru, P.T.; Gachene, C.K.K.; Mbuvi, J.P. Effects of soil management practices and tillage systems on soil moisture conservation and maize yield on a sandy loam in semiarid Kenya. J. Sustain. Agric. 2006, 27, 77–92. [Google Scholar] [CrossRef]
  23. Fiorini, A.; Boselli, R.; Maris, S.C.; Santelli, S.; Ardenti, F.; Capra, F.; Tabaglio, V. May conservation tillage enhance soil C and N accumulation without decreasing yield in intensive irrigated croplands? Results from an eight-year maize monoculture. Agric. Ecosyst. Environ. 2020, 296, 106926. [Google Scholar] [CrossRef]
  24. Pittelkow, C.M.; Liang, X.; Linquist, B.A.; van Groenigen, K.J.; Lee, J.; Lundy, M.E.; vanGestel, N.; Six, J.; Venterea, R.T.; van Kessel, C. Productivity limits and potentials of the principles of conservation agriculture. Nature 2014, 517, 365–368. [Google Scholar] [CrossRef]
  25. Sadiq, M.; Li, G.; Rahim, N.; Tahir, M.M. Sustainable conservation tillage technique for improving soil health by enhancing soil physicochemical quality indicators under wheat mono-cropping system conditions. Sustainability 2021, 13, 8177. [Google Scholar] [CrossRef]
  26. Black, C.A. Methods of Soil Analysis: Part 1; American Society of Agronomy, Inc.: Madison, WI, USA, 1965. [Google Scholar]
  27. Walkey, A.J.; Black, A.I. Estimation of organic carbon by chromic acid titration method. J. Soil Sci. 1934, 25, 259–260. [Google Scholar]
  28. Nelson, D.W.; Sommer, L.E. Total carbon, organic carbon and organic matter. In Methods of Soil Analysis: Part 2, Chemical and Microbiological Properties, 2nd ed.; Page, A.L., Keeney, D.R., Baker, D.E., Miller, R.H., Ellis, R.J., Rhoades, J.D., Eds.; Soil Science Society of America, American Society of Agronomy: Madison, WI, USA, 1982; pp. 539–579. [Google Scholar]
  29. Olsen, S.R.; Cole, C.U.; Watanabe, F.S.; Dean, L.A. Estimation of Available Phosphorus in Soil by Extraction with Sodium Bicarbonate; Circular No. 939; U.S. Department of Agriculture: Washington, DC, USA, 1954. [Google Scholar]
  30. Knudsen, D.; Peterson, G.A.; Pratt, P.F. Lithium, sodium and potassium. In Methods of Soil Analysis: Part 2; Page, A.L., Miller, R.H., Keeney, D.R., Eds.; American Society of Agronomy, Inc.: Madison, WI, USA, 1982; pp. 225–245. [Google Scholar]
  31. Fox, R.L.; Olson, R.A.; Rhoades, H.F. Evaluating the sulfur status of soils by plants and soil tests. Soil Sci. Soc. Am. J. 1964, 28, 243–246. [Google Scholar] [CrossRef]
  32. FRG. Fertilizer Recommendation Guide-2018; Bangladesh Agricultural Research Council: Farmgate, Dhaka, 2018. [Google Scholar]
  33. Piper, C.S. Soil and Plant Analysis: A Laboratory Manual of Methods for the Examination of Soils and the Determination of the Inorganic Constituents of Plants; Hans Publishers: Bombay, India, 1966. [Google Scholar]
  34. Gomez, K.A.; Gomez, A.A. Statistical Procedures for Agricultural Research; John Wiley & Sons: New York, NY, USA, 1984. [Google Scholar]
  35. Choudhary, V.K.; Gurjar, D.S.; Meena, R.S. Crop residue and weed biomass incorporation with microbial inoculation improve the crop and soil productivity in the rice (Oryza sativa L.) toria (Brassica rapa L.) cropping system. Environ. Dev. Sustain. 2020, 7, 10048. [Google Scholar] [CrossRef]
  36. Coulibaly, S.; Touré, M.; Kouamé, A.; Kambou, I.; Soro, S.; Yéo, K.; Koné, S. Incorporation of crop residues into soil: Apractice to improve soil chemical properties. Agric. Sci. 2020, 11, 1186–1198. [Google Scholar] [CrossRef]
  37. Dai, J.; Hu, J.; Zhu, A.; Lin, X. No-tillage with half-amount residue retention enhances microbial functional diversity, enzyme activity and glomalin-related soil protein content within soil aggregates. Soil Use Manag. 2017, 33, 153–162. [Google Scholar] [CrossRef]
  38. Arshadullah, M.; Ali, A.; Hyder, S.I.; Khan, A.M. Effect of wheat residue incorporation along with N starter dose on rice yield and soil health under saline sodic soil: Effect of wheat straw with N on rice production. Pak. J. Sci. Ind. Res. 2012, 22, 753–757. [Google Scholar] [CrossRef]
  39. Khatri, N.; Rawal, N.; Chalise, D.; Bista, M.; Pandey, B.P. Effect of crop residue and nitrogen level in yield and yield attributing traits of rice under rice-wheat cropping system. Int. J. Adv. Biol. Biomed. Res. 2020, 8, 146–152. [Google Scholar] [CrossRef][Green Version]
  40. Singh, G.; Dhillon, B.S. Growth and productivity of rice crop as influenced by crop residue incorporation under rice-wheat cropping system. Pharma Innov. J. 2022, SP-11, 582–584. [Google Scholar]
  41. Sarwar, G.; Hussain, N.; Schmeisky, H.; Muhammad, S. Efficiency of various organic residues for enhancing rice-wheat production under normal soil conditions. Pak. J. Bot. 2008, 40, 2107–2113. [Google Scholar]
  42. Dotaniya, M.L. Impact of crop residue management practices on yield and nutrient uptake in rice-wheat system. Curr. Advan. Agric. Sci. 2013, 5, 269–271. [Google Scholar]
  43. Sharma, S.; Dhaliwal, S.S. Rice residue incorporation and nitrogen application: Effects on yield and micronutrient transformations under rice–wheat cropping system. J. Plant Nutr. 2020, 43, 2697–2711. [Google Scholar] [CrossRef]
  44. Bird, J.A.; Horwath, W.R.; Eagle, A.J.; van Kessel, C. Immobilization of fertilizer nitrogen in rice: Effects of straw management practices. Soil Sci. Soc. Am. J. 2001, 65, 1143–1152. [Google Scholar] [CrossRef]
  45. Mandal, K.G.; Misra, A.K.; Hati, K.M.; Bandyopadhyay, K.K.; Ghosh, P.K.; Mohanty, M. Rice residue-management options and effects on soil properties and crop productivity. J. Food Agric. Environ. 2004, 2, 224–231. [Google Scholar]
  46. Badarinath, K.V.S.; Chand, T.R.K.; Prasad, V.K. Agricultural crop residue burning in the Indo-Gangetic plains a study using IRS-P6 AWiFS satellite data. Curr. Sci. 2006, 91, 1085–1089. [Google Scholar]
  47. Chivenge, P.; Rubianes, F.; Chin, D.V.; Thach, T.V.; Khang, V.T.; Romasanta, R.R.; Hung, N.V. Rice straw incorporation influences nutrient cycling and soil organic Matter. In Sustainable Rice Straw Management; Gummert, M., Hung, N., Chivenge, P., Douthwaite, B., Eds.; Springer: Cham, Switzerland, 2020. [Google Scholar] [CrossRef]
  48. Palm, C.; Blanco-Canqui, H.; DeClerck, F.; Gatere, L.; Grace, P. Conservation agriculture and ecosystems services: An overview. Agric. Ecosyst. Environ. 2013, 187, 87–105. [Google Scholar] [CrossRef]
  49. Mupangwa, W.; Twomlow, S.; Walker, S.; Hove, L. Effect of minimum tillage and mulch on maize (Zea mays L.) yield and water content of clayey and sandy soils. J. Phys. Chem. Earth 2007, 32, 1127–1134. [Google Scholar] [CrossRef]
  50. Rusinamhodzi, L.; Corbeels, M.; van Wijk, M.T.; Rufino, M.C.; Nyamangara, J.; Giller, K.E. A meta-analysis of long-term effects of conservation agriculture on maize grain yield under rain-fed conditions. Agron. Sustain. Dev. 2011, 31, 657–673. [Google Scholar] [CrossRef]
  51. Mupangwa, W.; Twomlow, S.; Walker, S. Reduced tillage, mulching, and rotational effects on maize (Zea mays L.), cowpea (Vigna unguiculata (Walp) L.) and sorghum (Sorghum bicolour L. (Moench)) yields under semi-arid conditions. Field Crops Res. 2012, 132, 139–148. [Google Scholar] [CrossRef]
  52. Li, R.; Gao, Y.; Chen, Q.; Li, Z.; Gao, F.; Meng, Q.; Li, T.; Liu, A.; Wang, Q.; Wu, L.; et al. Blended controlled-release nitrogen fertilizer with straw returning improved soil nitrogen availability, soil microbial community, and root morphology of wheat. Soil Till. Res. 2021, 212, 105045. [Google Scholar] [CrossRef]
  53. Zhou, G.; Cao, W.; Bai, J.; Xu, C.; Zeng, N.; Gao, S.; Rees, R.M. Non-additive responses of soil C and N to rice straw and hairy vetch (Viciavillosa roth L.) mixtures in a paddy soil. Plant Soil 2019, 436, 229–244. [Google Scholar] [CrossRef]
  54. Sakala, W.D.; Cadisch, G.; Giller, K.E. Interactions between residues of maize and pigeonpea and mineral N fertilizers during decomposition and N mineralization. Soil Biol. Biochem. 2000, 32, 679–688. [Google Scholar] [CrossRef]
  55. Kaewpradit, W.; Toomsan, B.; Cadisch, G.; Vityakon, P.; Limpinuntana, V.; Saenjan, P.; Jogloy, S.; Patanothai, A. Mixing groundnut residues and rice straw to improve rice yield and N use efficiency. Field Crops Res. 2009, 110, 130–138. [Google Scholar] [CrossRef]
  56. Ardell, D.; Halvorson, A.L.; Black, J.M.; Krupingley, S.D.; Merril, B.J.; Tonaka, D.L. Spring wheat response to tillage system and nitrogen fertilization within a crop fallow system. J. Agron. 2000, 92, 151. [Google Scholar] [CrossRef]
  57. Ngwira, A.; Johnsen, F.H.; Aune, J.B.; Mekuria, M.; Thierfelder, C. Adoption and extent of conservation agriculture practices among smallholder farmers in Malawi. J. Soil Water Conserv. 2014, 69, 107–119. [Google Scholar] [CrossRef]
  58. Thierfelder, C.; Mombeyarara, T.; Mango, N.; Rusinamhodzi, L. Integration of conservation agriculture in smallholder farming systems of southern Africa: Identification of key entry points. Int. J. Agric. Sustain. 2013, 11, 317–330. [Google Scholar] [CrossRef]
  59. Alkhafaji, A.J. Effect of minimum and conventional tillage on growth and yield of two rice variety (Anbar 33 and Forat). Al-Kufa J. Biol. 2010, 2, 1–8. [Google Scholar]
  60. Linquist, B.; Fischer, A.; Godfrey, L.; Greer, C.; Hill, J.; Koffler, K.; Moeching, M.; Mutters, R.; van Kesse, C. Minimum tillage could benefit California rice farmers. Calif. Agric. 2008, 62, 24–29. [Google Scholar] [CrossRef]
  61. Fu, B.; Chen, L.; Huang, H.Q.P.; Wei, Z. Impacts of crop residues on soil health: A review. Environ. Pollut. Bioavailab. 2021, 33, 164–173. [Google Scholar] [CrossRef]
Figure 1. Effect of treatments on the grain yield and straw yield of BRRI dhan28 (a) and BRRI dhan29 (b). Different lowercase letter(s) on top of each bar represent significant difference among treatments at 5% level of probability according to DMRT. Error bars represent standard error means. T1 = control, T2 = 100% RFD, T3 = 75% RFD, T4 = 75% RFD + rice residue 5 t ha−1, T5 = 75% RFD + soybean residue 5 t ha−1 and T6 = 75% RFD + black gram residue 5 t ha−1, CT = conventional tillage, MT = minimum tillage, I0 = 100% RFD, I1 = 100% RFD + rice residue 5 t ha−1 and I2 = 100% RFD + black gram residue 5 t ha−1.
Figure 1. Effect of treatments on the grain yield and straw yield of BRRI dhan28 (a) and BRRI dhan29 (b). Different lowercase letter(s) on top of each bar represent significant difference among treatments at 5% level of probability according to DMRT. Error bars represent standard error means. T1 = control, T2 = 100% RFD, T3 = 75% RFD, T4 = 75% RFD + rice residue 5 t ha−1, T5 = 75% RFD + soybean residue 5 t ha−1 and T6 = 75% RFD + black gram residue 5 t ha−1, CT = conventional tillage, MT = minimum tillage, I0 = 100% RFD, I1 = 100% RFD + rice residue 5 t ha−1 and I2 = 100% RFD + black gram residue 5 t ha−1.
Sustainability 16 06994 g001
Figure 2. Effect of treatments on (a) nitrogen, (b) phosphorus, (c) potassium, and (d) sulfur uptake by BRRI dhan28 in experiment 1. Different lowercase letter(s) on top of each bar represent significant difference among treatments at 5% level of probability according to DMRT. Error bars represent standard error means. T1 = control, T2 = 100% RFD, T3 = 75% RFD, T4 = 75% RFD + rice residue 5 t ha−1, T5 = 75% RFD + soybean residue 5 t ha−1 and T6 = 75% RFD + black gram residue 5 t ha−1.
Figure 2. Effect of treatments on (a) nitrogen, (b) phosphorus, (c) potassium, and (d) sulfur uptake by BRRI dhan28 in experiment 1. Different lowercase letter(s) on top of each bar represent significant difference among treatments at 5% level of probability according to DMRT. Error bars represent standard error means. T1 = control, T2 = 100% RFD, T3 = 75% RFD, T4 = 75% RFD + rice residue 5 t ha−1, T5 = 75% RFD + soybean residue 5 t ha−1 and T6 = 75% RFD + black gram residue 5 t ha−1.
Sustainability 16 06994 g002
Figure 3. Effect of treatments on (a) nitrogen, (b) phosphorus, (c) potassium, and (d) sulfur uptake by BRRI dhan29 in experiment 2. Different lowercase letter(s) on top of each bar represent significant difference among treatments at 5% level of probability according to DMRT. Error bars represent standard error means. CT = conventional tillage, MT = minimum tillage, I0 = 100% RFD, I1 = 100% RFD + rice residue 5 t ha−1 and I2 = 100% RFD + black gram residue 5 t ha−1.
Figure 3. Effect of treatments on (a) nitrogen, (b) phosphorus, (c) potassium, and (d) sulfur uptake by BRRI dhan29 in experiment 2. Different lowercase letter(s) on top of each bar represent significant difference among treatments at 5% level of probability according to DMRT. Error bars represent standard error means. CT = conventional tillage, MT = minimum tillage, I0 = 100% RFD, I1 = 100% RFD + rice residue 5 t ha−1 and I2 = 100% RFD + black gram residue 5 t ha−1.
Sustainability 16 06994 g003
Table 1. Nutrient composition of crop residues.
Table 1. Nutrient composition of crop residues.
ResidueMoisture (%)N (%)P (%)K (%)S (%)
Soybean residue68%0.780.161.070.30
Black gram residue70%0.810.220.460.28
Rice straw residue35%0.400.131.310.09
Table 2. Effect of treatments on the yield parameters of BRRI dhan28 in 2021–2022.
Table 2. Effect of treatments on the yield parameters of BRRI dhan28 in 2021–2022.
TreatmentsPlant Height (cm)Number of Effective Tillers Hill−1Panicle Length (cm)Number of Filled Grains Panicle−1Number of
Unfilled Grains
Panicle−1
1000-Grain Weight
(g)
T173.42 b8.67 c21.1478.05 c10.76 a21.89
T291.12 a15.46 a23.01112.26 a9.89 ab22.90
T381.80 ab12.33 b22.73108.60 b10.04 ab22.40
T493.08 a14.69 a23.03111.15 ab9.23 b22.70
T594.55 a15.75 a23.40114.20 a8.03 c22.97
T695.16 a15.64 a23.70112.44 a8.80 bc22.68
CV (%)1.921.030.190.660.520.08
SE (±)2.080.631.303.260.230.23
LOS**NS**NS
In a column, same letter(s) indicate statistic similarity, and different letter(s) indicate significant difference at 5% level of probability. CV (%) = coefficient of variation; SE (±) = standard error of means; LOS = level of significance; NS = non-significant; * = significant at 5% level of probability; T1 = control; T2 = 100% RFD; T3 = 75% RFD; T4 = 75% RFD + rice residue 5 t ha−1; T5 = 75% RFD + soybean residue 5 t ha−1; T6 = 75% RFD + black gram residue 5 t ha−1.
Table 3. Effect of treatments on the yield parameters of BRRI dhan29 in 2022–2023 and 2023–2024.
Table 3. Effect of treatments on the yield parameters of BRRI dhan29 in 2022–2023 and 2023–2024.
Treatment CombinationPlant Height (cm)Number of Effective Tillers Hill−1Panicle Length (cm)Number of Filled Grains Panicle−1Number of Unfilled Grains
Panicle−1
1000-Grain Weight (g)
Tillage (T)
CT94.23 a15.4123.50113.02 a8.9622.66
MT93.09 b15.2923.20112.57 b8.9622.7
Residue (R)
I091.09 c14.95 b22.901 b111.86 c10.06 a22.57
I194.44 b15.39 a23.39 ab112.35 b8.69 b22.67
I295.45 a15.71 a23.76 a114.17 a8.13 C22.79
Year (Y)
Y193.32 b15.2923.27112.748.9522.64
Y294.01 a15.4123.44112.848.9622.72
Tillage (T) × Residue (R)
CT × I091.63 c14.82 c23.17 ab112.34 b10.06 a22.47
CT × I194.74 b15.59 ab23.58 a112.47 b8.62 bc22.69
CT × I296.31 a15.81 a23.76 a114.25 a8.21 cd22.83
MT × I090.57 d15.08 bc22.66 b111.38 c10.05 a22.68
MT × I194.13 b15.19 bc23.2 ab112.23 b8.76 b22.66
MT × I294.6 b15.61 ab23.75 a114.09 a8.06 d22.76
Tillage (T) × Year (Y)
CT × Y193.88 ab15.3323.4112.97 a8.9622.59
CT × Y294.58 a15.4823.61113.07 a8.9722.73
MT × Y192.76 c15.2423.13112.51 b8.9522.68
MT × Y293.44 bc15.3423.28112.62 b8.9622.71
Residue (R) × Year (Y)
I0 × Y190.73 d14.90 b22.82 c111.81 c10.05 a22.43
I0 × Y291.47 d15.01 b23.01 bc111.91 c10.06 a22.72
I1 × Y194.09 c15.31 ab23.28 abc112.31 b8.78 b22.65
I1 × Y294.78 bc15.47 ab23.5 abc112.39 b8.59 bc22.70
I2 × Y195.14 ab15.65 a23.7 ab114.11 a8.03 d22.85
I2 × Y295.78 a15.77 a23.81 a114.23 a8.24 cd22.74
Tillage (T) × Residue (R) × Year (Y)
CT × I0 × Y191.12 de14.80 c23.00112.26 b10.06 a22.18
CT × I0 × Y292.14 d14.84 c23.33112.41 b10.06 a22.76
CT × I1 × Y194.55 c15.46 abc23.49112.44 b8.8 b22.70
CT × I1 × Y294.93 bc15.72 ab23.67112.5 b8.43 bc22.68
CT × I2 × Y195.96 ab15.74 ab23.70114.2 a8.01 c22.9
CT × I2 × Y296.67 a15.88 a23.83114.29 a8.40 bc22.76
MT × I0 × Y190.33 e14.99 bc22.63111.36 c10.04 a22.67
MT × I0 × Y290.80 e15.17 abc22.69111.40 c10.06 a22.68
MT × I1 × Y193.63 c15.16 abc23.07112.17 b8.76 b22.59
MT × I1 × Y294.63 c15.22 abc23.33112.29 b8.75 b22.72
MT × I2 × Y194.32 c15.56 abc23.70114.01 a8.05 c22.79
MT × I2 × Y294.89 bc15.65 abc23.80114.17 a8.08 c22.72
T***NSNS***NSNS
R*************NS
Y*NSNSNSNSNS
T × R*****NS
T × Y*NSNS*NSNS
R × Y*****NS
T × R × Y**NS**NS
In a column, same letter(s) indicate statistic similarity, and different letter(s) indicate significant difference at 5% level of probability. * = significant at 5% level of probability; ** = significant at 1% level of probability; *** = significant at 0.1% level of probability; NS = non-significant; CT = conventional tillage; MT = minimum tillage; I0 = 100% RFD; I1 = 100% RFD + rice residue 5 t ha−1; I2 = 100% RFD + black gram residue 5 t ha−1; Y1 = year 2022–2023; Y2 = year 2023–2024.
Table 4. Effect of treatments on nutrient content of BRRI dhan28 in 2021–2022.
Table 4. Effect of treatments on nutrient content of BRRI dhan28 in 2021–2022.
TreatmentsN Content (%)P Content (%)K Content (%)S Content (%)
GrainStrawGrainStrawGrainStrawGrainStraw
T10.97 e0.33 c0.200.1 b0.21 c0.99 c0.11 b0.07
T21.14 bc0.46 a0.220.12 ab0.24 ab1.19 a0.13 ab0.09
T31.09 d0.41 b0.210.11 ab0.22 bc1.16 b0.12 ab0.07
T41.12 c0.45 a0.210.12 ab0.24 ab1.18 ab0.12 ab0.08
T51.18 a0.47 a0.220.13 a0.25 a1.19 a0.14 a0.09
T61.15 b0.46 a0.220.12 ab0.24 ab1.20 a0.13 ab0.09
CV (%)0.681.753.536.453.230.656.029.22
SE (±)0.020.0260.0020.0280.0440.0280.0260.027
LOS**NS****NS
In a column, same letter(s) indicate statistic similarity, and different letter(s) indicate significant difference at 5% level of probability. CV (%) = coefficient of variation; SE (±) = standard error of means; LOS = level of significance; NS = non-significant; * = significant at 5% level of probability; T1 = control; T2 = 100% RFD; T3 = 75% RFD; T4 = 75% RFD + rice residue 5 t ha−1; T5 = 75% RFD + soybean residue 5 t ha−1; T6 = 75% RFD + black gram residue 5 t ha−1.
Table 5. Effect of treatments on nutrient content of BRRI dhan29 in 2022–2023 and 2023–2024.
Table 5. Effect of treatments on nutrient content of BRRI dhan29 in 2022–2023 and 2023–2024.
Treatment Combination%N%P%K%S
GrainStrawGrainStrawGrainStrawGrainStraw
Tillage (T)
CT1.29 a0.520.25 a0.080.331.14 a0.110.08
MT1.27 b0.500.23 b0.070.331.12 b0.110.09
Residue (R)
I01.08 b0.42 b0.22 b0.06 b0.31 c0.98 c0.09 c0.09
I11.37 a0.55 a0.24 a0.08 a0.33 b1.19 bc0.11 a0.08
I21.39 a0.56 a0.25 a0.08 a0.35 a1.23 ab0.12 b0.09
Year (Y)
Y11.27 b0.510.240.070.331.120.10 b0.09
Y21.29 a0.510.240.080.331.140.11 a0.08
Tillage (T) × Residue (R)
CT × I01.09 c0.42 b0.22 cd0.06 b0.30 c0.99 c0.10 b0.06
CT × I11.38 ab0.56 a0.25 ab0.08 a0.34 a1.20 b0.11 a0.08
CT × I21.40 a0.57 a0.26 a0.09 a0.35 a1.24 a0.12 a0.09
MT × I01.08 c0.41 b0.21 d0.06 b0.30 c0.98 c0.09 c0.11
MT × I11.37 b0.54 a0.23 bcd0.08 a0.32 b1.19 b0.11 a0.08
MT × I21.38 ab0.55 a0.24 abc0.08 a0.35 a1.20 b0.12 a0.09
Tillage (T) × Year (Y)
CT × Y11.28 ab0.510.24 abc0.07 b0.331.13 ab0.11 ab0.08
CT × Y21.30 a0.520.25 a0.08 a0.341.15 a0.12 a0.08
MT × Y11.27 b0.50.23 bcd0.07 b0.321.11 b0.1 b0.11
MT × Y21.28 ab0.510.23 abc0.08 ab0.331.13 ab0.11 ab0.07
Residue (R) × Year (Y)
I0 × Y11.08 c0.42 b0.22 c0.06 b0.3 d0.98 c0.09 c0.12
I0 × Y21.09 c0.42 b0.22 bc0.07 b0.31 d0.99 c0.10 c0.06
I1 × Y11.37 b0.55 a0.24 abc0.08 a0.33 c1.19 b0.11 b0.08
I1 × Y21.38 ab0.56 a0.25 a0.08 a0.34 bc1.20 ab0.12 ab0.09
I2 × Y11.38 ab0.56 a0.25 a0.08 a0.35 ab1.21 ab0.12 ab0.09
I2 × Y21.40 a0.56 a0.25 a0.09 a0.36 a1.22 a0.13 a0.09
Tillage (T) × Residue (R) × Year (Y)
CT × I0 × Y11.08 c0.42 b0.22 de0.06 b0.30 e0.98 d0.10 de0.06 b
CT × I0 × Y21.09 c0.43 b0.225 cde0.07 b0.31 de0.99 d0.103 cde0.07 b
CT × I1 × Y11.37 b0.56 a0.25 abc0.08 a0.34 abc1.19 bc0.11 bcd0.08 ab
CT × I1 × Y21.39 ab0.56 a0.255 ab0.09 a0.34 abc1.21 abc0.117 abc0.09 ab
CT × I2 × Y11.39 ab0.56 a0.26 a0.08 a0.35 ab1.23 ab0.12 ab0.09 ab
CT × I2 × Y21.41 a0.57 a0.263 a0.09 a0.36 a1.24 a0.13 a0.1 ab
MT × I0 × Y11.07 c0.41 b0.21 e0.06 b0.30 e0.97 d0.08 f0.17 a
MT × I0 × Y21.08 c0.41 b0.215 de0.06 b0.31 de0.98 d0.093 ef0.05 b
MT × I1 × Y11.36 b0.54 a0.23 bcde0.08 a0.32 cde1.18 c0.11 bcd0.08 ab
MT × I1 × Y21.37 b0.55 a0.237 abcde0.08 a0.33 bcd1.19 bc0.118 abc0.09 ab
MT × I2 × Y11.37 b0.55 a0.24 abcd0.08 a0.35 ab1.19 bc0.12 ab0.09 ab
MT × I2 × Y21.38 ab0.56 a0.243 abcd0.08 a0.36 a1.21 abc0.123 ab0.09 ab
T*NS*NSNS*NSNS
R*********************NS
Y*NSNSNSNSNS*NS
T × R****NS**NS
T × Y*NS**NS**NS
R × Y*******NS
T × R × Y********
In a column, same letter(s) indicate statistic similarity, and different letter(s) indicate significant difference at 5% level of probability. NS = non-significant; * = significant at 5% level of probability; *** = significant at 0.1% level of probability; CT = conventional tillage; MT = minimum tillage; I0 = 100% RFD; I1 = 100%RFD + rice residue 5 t ha−1; I2 = 100% RFD + black gram residue 5 t ha−1; Y1 = 2022–2023; Y2 = 2023–2024.
Disclaimer/Publisher’s Note: The statements, opinions and data contained in all publications are solely those of the individual author(s) and contributor(s) and not of MDPI and/or the editor(s). MDPI and/or the editor(s) disclaim responsibility for any injury to people or property resulting from any ideas, methods, instructions or products referred to in the content.

Share and Cite

MDPI and ACS Style

Hoque, T.S.; Ferdous, J.; Mim, N.J.; Islam, S.; Hoque, M.A.; Hassan, M.M.; Hossain, M.A. Effect of Reduced Tillage and Residue Incorporation as Sustainable Agricultural Practices on the Yield and Nutrient Uptake of Rice. Sustainability 2024, 16, 6994. https://doi.org/10.3390/su16166994

AMA Style

Hoque TS, Ferdous J, Mim NJ, Islam S, Hoque MA, Hassan MM, Hossain MA. Effect of Reduced Tillage and Residue Incorporation as Sustainable Agricultural Practices on the Yield and Nutrient Uptake of Rice. Sustainability. 2024; 16(16):6994. https://doi.org/10.3390/su16166994

Chicago/Turabian Style

Hoque, Tahsina Sharmin, Jannatul Ferdous, Nusrat Jahan Mim, Sayful Islam, Md. Anamul Hoque, Mohamed M. Hassan, and Mohammad Anwar Hossain. 2024. "Effect of Reduced Tillage and Residue Incorporation as Sustainable Agricultural Practices on the Yield and Nutrient Uptake of Rice" Sustainability 16, no. 16: 6994. https://doi.org/10.3390/su16166994

APA Style

Hoque, T. S., Ferdous, J., Mim, N. J., Islam, S., Hoque, M. A., Hassan, M. M., & Hossain, M. A. (2024). Effect of Reduced Tillage and Residue Incorporation as Sustainable Agricultural Practices on the Yield and Nutrient Uptake of Rice. Sustainability, 16(16), 6994. https://doi.org/10.3390/su16166994

Note that from the first issue of 2016, this journal uses article numbers instead of page numbers. See further details here.

Article Metrics

Back to TopTop