Next Article in Journal
Identification of Harbin Ecological Function Degradation Areas Based on Ecological Importance Assessment and Ecological Sensitivity
Next Article in Special Issue
Evolutionary Game Analysis of Government Regulation on Green Innovation Behavior Decision-Making of Energy Enterprises
Previous Article in Journal
Voltage Hierarchical Control Strategy for Distribution Networks Based on Regional Autonomy and Photovoltaic-Storage Coordination
Previous Article in Special Issue
Can Participation in the Green Standard-Setting Process Promote Green Innovation in Heavy-Pollution Firms? Evidence from China
 
 
Font Type:
Arial Georgia Verdana
Font Size:
Aa Aa Aa
Line Spacing:
Column Width:
Background:
Article

Digital Policy, Green Innovation, and Digital-Intelligent Transformation of Companies

School of Economics and Management, Qingdao University of Science and Technology, 99 Songling Road, Qingdao 266061, China
*
Author to whom correspondence should be addressed.
These authors contributed equally to this work.
Sustainability 2024, 16(16), 6760; https://doi.org/10.3390/su16166760
Submission received: 1 July 2024 / Revised: 2 August 2024 / Accepted: 4 August 2024 / Published: 7 August 2024

Abstract

In the midst of rigorous market rivalry, enhancing a company’s competitiveness and operational efficiency in an era of rapid IT advancement is a pressing concern for business leaders. The National Big Data Comprehensive Zone (BDCZ) pilot scheme, instituted by the Chinese government, systematically addresses seven core objectives, encompassing data resource management, sharing and disclosure, data center consolidation, application of data resources, and the circulation of data elements. This policy initiative aims to bolster the establishment of information infrastructure through big data applications, facilitate the influx and movement of talent, and propel corporate sustainable growth. Utilizing a quasi-natural experiment approach, we assess the pilot policy’s influence on the digital-intelligent transformation (DIT) of manufacturing companies from a green innovation ecosystem perspective, employing datasets from 2010 to 2022, and methodologies such as Difference-in-Differences (DID), Synthetic Differences-in-Differences (SDID), and Propensity Score Matching-DID (PSM-DID). The findings indicate that the BDCZ initiative significantly fosters DIT in manufacturing companies. The policy’s establishment confers benefits, including access to increased government support and innovation capital, thereby enhancing the sustainability of green innovation efforts. It also strengthens corporate collaboration, engendering synergistic benefits that improve regional economic progression and establish a conducive environment for digital development, ultimately enhancing the regional innovation ecosystem. The pilot policy’s impact varies across entities, with more profound effects observed in developed financial markets compared to underdeveloped ones. Additionally, non-state-owned companies exhibit a greater response to BDCZ policy interventions than their state-owned counterparts. Moreover, manufacturing bussiness with a higher proportion of executive shareholding are more substantially influenced by the BDCZ. This article fills the research gap by using the quasi-natural experiment of BDCZ to test the impact on DIT of companies and provides inspiration for local governments to mobilize the enthusiasm of manufacturing companies for DIT.

1. Introduction

The deepening of economic globalization had led to increasingly fierce competition in international markets, and countries were seeking new development models to boost national discourse power and gain sustained economic growth. Germany has formulated the “Germany Industry 4.0” strategy to promote digital skills and digital education, upgrade the digital framework, and promote the balanced expansion of the digital economy. In its Digital Japan Initiative, the Japanese government accentuated the need to expedite government–industry–academia research cooperation to advance the research, development, and practical deployment of digital technologies. Concurrently, it is necessary to improve the business ecosystem through digital means and promote the development of digital economic models, including e-commerce and online services. The Chinese government highlighted in the Report of the 20th National Congress the imperative of fostering high-quality growth in the digital economy, reinforcing the development of digital infrastructure, boosting the innovative prowess of digital technologies, and advancing the profound integration of the digital economy with the traditional economy [1]. Amid the new normal of China’s economy, the conventional development model is no longer adequate to satisfy the demands of high-quality growth. As information and communication technology (ICT) continues to innovate, particularly with the swift progress of 5G, big data, AI, and other cutting-edge technologies, the trend toward digitalization, networking, and intelligent automation is becoming increasingly pronounced. These technologies, now widely applied, have driven the rise of the digital economy [2]. An essential driver of economic expansion and creative progress, the digital economy is a cornerstone of contemporary growth [3]. With its status as one of the most populous nations on Earth, China boasts vast data resources that span diverse fields and sectors, encompassing economic, social, and environmental domains [4]. Fully utilizing and applying these data resources can contribute to government decision-making [5], company innovation [6], and social development [7] and social development. Accelerating the growth of the digital economy and fostering industrial restructuring and advancement [8] are crucial to enhancing the quality and efficiency of China’s economic expansion.
BDCZ is precisely an important strategic initiative of the Chinese government to expedite the expansion of the digital economy and data governance. The State Council approved the list of BDCZ and pilot cities in batches from 2015 onwards, and the construction of BDCZ in Guizhou province was officially launched in October 2015. The pilot zones in Beijing, Tianjin, Hebei, Pearl River Delta, Shanghai, Chongqing, Shenyang, and Inner Mongolia were approved in October 2016, and BDCZ set up involved prefectural-level cities, autonomous prefectures, and special administrative regions, with a list of small, medium and large cities to ensure the randomness of the first batch of pilot cities [9]. BDZ is the driving force behind China’s high-quality economic development. Implementing relevant policies, such as government subsidies and tax incentives in pilot areas, promotes the construction and improvement of the big data industry chain and promotes industrial synergy between pilot areas and other regions. Realize the sharing of industrial resources and complementary advantages, strengthen talent cultivation and technological innovation [10], and carry out key technology research and industrialization. At the same time, establish and improve the big data regulatory mechanism, standardize the market order, and jointly help the healthy and rapid development of the national big data industry.
Compared with the existing literature, we make these contributions: First, regarding the research on the digital-intelligent transformation of companies, few studies evaluated the impact on company DIT from the quasi-natural experiment of digital policy. Second, innovatively exploring the DIT path of companies from the perspective of green innovation ecology. Third, in the context of Digital Policy, a high level of green innovation can serve as an intrinsic motivator for company DIT, spurring companies to utilize digital technologies such as big data for efficient resource utilization and environmentally friendly production. Finally, scalability analysis delves into the influence of financial market conditions, corporate ownership structures, and executive stockholding on the efficacy of policy. The practical contribution of this study is that it provides important references for the implementation of BDCZ and empirical-based digital strategy recommendations for manufacturing companies, which helps them make more effective decisions in high-quality development.

2. Literature Review

2.1. Economic Impact of the Digital Economy

The development of the digital economy as an emerging industrial form can be traced back to the rise of digital technology and the Internet [11], and its potential for economic and social impact has been recognized since the early Internet era. Nowadays, scholars, governments, and international organizations are paying more attention to the study of the digital economy. The digital economy’s marked impact on economic growth [12], job market [13], company development [14], income distribution [15], and social change [16] and other aspects, what is easily discernible.
From a macro perspective, economic growth has gained a new lease of life thanks to the rise of the digital economy [17]. As noted by McKinsey Global Research, the digital economy contributes 1.3–1.7% to global economic growth. It has been found that countries that are more digitized have faster economic growth rates [18]. In China, the contribution of the digital economy to economic growth has also become increasingly prominent. Statistics from the National Institute of Information and Communication Research (NICR) show that with its share in China’s economic growth continuously on the rise, the digital economy has stepped into a leading role as an important driver [19]. The rapid development of the digital economy has also brought about changes in the economic system and lifestyle [20,21]. People’s lives have become increasingly digitalized, and the rise of social media has changed the way people socialize and access information [22]. Alongside these changes, the digital economy has altered the landscape of healthcare [23] environment [24] and environment, which has led to innovation and improvement in social services and improved the quality of life of people [25]. The digital economy has had a significant impact on the structure of the job market and on the quality of life. On the one hand, traditional industries are gradually being digitized, leading to the replacement of some jobs by automation technology [26]; on the other hand, the booming development of emerging industries and innovative entrepreneurship has created a large number of jobs. For example, e-commerce platforms, webcasting, the sharing economy, and other emerging industries have absorbed many workers [18,27]. The digital economy has concurrently enhanced flexibility across the labor market, such as telecommuting, part-time work, and other diversified forms of work [28].
From a micro perspective, the digital economy can elevate productivity [29], enhance innovation [30], reduce costs [31], and improve market access [32]. Traditional business models have been disrupted by the digital economy. The internet‘s proliferation and the ascendancy of digital platforms have revolutionized how businesses interact with their consumers, prompting the advent of fresh models and formats like the sharing economy, e-commerce, and online payments [33]. These new models provide companies with more diversified services. These new modes provide more diversified marketing channels for companies to realize the dissemination of their brands and products and bring more business opportunities [34]. They also change consumers’ shopping habits and lifestyles [35]. The digital economy has paved the way for digital technology to flourish, enabling companies to introduce new products and services promptly by utilizing technology for risk assessment and identification in line with consumers’ personalized demands [36]. The wide adoption of digital technology lowers information asymmetry, improves the efficiency of resource allocation, and allows traditional industries to upgrade and transform [37]. Traditional industries can be upgraded and transformed [38], and new industries flourish [39]. Moreover, businesses can tap into digital technology to either refine or mechanize key processes, which leads to better operational efficiency [40]. The digital economy has also provided a platform for innovators to optimize and automate key business processes. Simultaneously, a digital economy also provides more opportunities for innovators, lowers market entry barriers, and promotes the development of entrepreneurial activities [41].
The development of the digital economy is not only an important driving force for national progress but also an important lever for enterprise development. It serves as a catalyst for economic development and a means to refine industrial frameworks [42,43]. Beyond economic green growth [44], the digital economy holds the promise of enhancing the urban experience through environmental pollution mitigation [45,46]. Moreover, it fosters a culture of innovation within companies, facilitating their upgrade and transformation, thus working toward the overarching goal of high-quality development.

2.2. Influencing Factors of Digital Intelligence Transformation

Digital Intellectualization refers to the tight integration of 5G, AI, IOT, and others with business to achieve intelligent transformation of company operation and management through data-driven decision-making and intelligent business process optimization [47]. Compared with digitization, digital intelligence not only focuses on the production of information but also on how to improve the value of information and automated and productized applications through technical means, which is a higher level of competence. Digitization, in the narrow sense, is the transformation of information to the physical form of data and, after this transformation, is used to do data analysis, data mining, and data products to support business insights and promote business development [48]. The narrow sense of digitalization is the transformation of information to the physical form of data, which is then used to do data analysis, data mining, and data products to support business insight and advance business development. Digital intelligence, as an invisible hand, emphasizes the usage of intelligent technologies to deeply mine and apply data to achieve more efficient and accurate business decisions and operations. At this stage, the proportion of Chinese companies in DIT is about 25%, far lower than that in Europe and the US [49]. Concurrently, more than 55% of companies have not completed DIT of their infrastructure [50]. At the same time, more than 55% of companies have not completed DIT of their infrastructure, and the high technical threshold, long payback period, and high investment of resources are all difficult issues that companies need to consider in DIT [51,52,53] DIT of companies has many factors that affect DIT of companies. There are many factors affecting DIT of companies, and scholars mostly focus on three driving factors: technological innovation, market demand, and government policies.
The emergence and rapid development of emerging technologies is one of the indispensable factors driving DIT of companies. AI, intelligent analytics, IOT, cloud computing, and blockchain provide more digital tools and platforms for firms. With the unceasing advance of emerging technologies, companies can use 5G, AI, and other technologies to optimize management processes [54], reduce transaction costs [55], etc. When companies shape their core competitiveness, they often need to focus on resource integration. Now more than ever, with the advent of the digital economy, attention must be given to the reasonable restructuring of resources to motivate corporate innovation and development [56,57,58]. Therefore, technological innovation is both a driving force and a favorable tool for company DIT, which will inevitably contribute to the further development of the company under the full use of managers [59]. The following are some examples of the ways in which technological innovation can be utilized in companies’ DITs.
Market Demand Aspect: As the expense of alternatives goes down, consumer interest in digital products and services is escalating, and in order to gain consumer loyalty and satisfaction, companies need to continuously better the quality of what they provide through DIT to meet consumer demand for convenience, personalization, immediacy, and interactivity [60]. From the perspective of market competition, companies must make quick, scientific, and accurate decisions in order to improve market responsiveness and seize development opportunities [61]. In the increasingly competitive environment, companies must make scientific and precise decisions quickly. In an increasingly competitive environment, companies are prompted to act swiftly in boosting efficiency, minimizing costs, and optimizing the customer experience, all facilitated by the adoption of DIT [62]. The market uncertainty is also forcing companies to transform their businesses through digitalization. Market uncertainty is also forcing companies to seek diversified sales channels and supply chain flexibility to enhance their risk tolerance. As a result, companies are forced to accelerate the pace of DIT through technological innovation and business model change.
Both steering and supporting companies through their DIT journey, government policies and regulations are indispensable [49]. As an outcome of the profound integration of intelligent technologies with real-world commerce practices, DIT exhibits characteristics of cross-regional, cross-sector, and cross-industry engagement. Governments can harness these policies to encourage companies to embrace DIT more proactively [63]. Robust regulations and well-crafted policies not only mitigate the upfront costs associated with DIT but also bolster companies’ confidence in navigating this process, thereby enhancing their policy engagement [64]. Moreover, tax incentives provided by the government can serve as a catalyst, expediting the pace of DIT [65]. Companies must take into account the varying regulatory landscapes of different countries and regions, which may either facilitate or constrain the adoption of digital technologies. Adapting to these regulatory frameworks is crucial for companies seeking to optimize their DIT strategies.
Additionally, the competency of corporate management [66] and the performance of companies [67] are critical factors that influence companies’ DIT. These factors are not static; they exhibit variability across industries, regions, and organizational specifics. Digital intelligence, as a sophisticated expression of digitalization, is influenced by a broader and more varied set of factors. Notably, R&D outlays and the availability of capital have a marked effect on the success of DIT initiatives.

2.3. Mechanisms of the Digital Economy’s Influence on the Transformation of Companies’ Digital Intelligence

The government plays a pivotal role in guiding and advancing the development of the green innovation ecosystem. The advancement of a green innovation ecosystem is in direct proportion to the level of support provided by the government. By crafting pertinent policies, allocating funds, and refining the regulatory framework, the government ensures a robust foundation for digital ecosystem growth. Companies are the bedrock of this ecosystem, and their capacity for sustainable innovation is intrinsically linked to the vibrancy and competitive edge of the entire green innovation ecosystem. The level of green innovation within companies holds paramount importance in driving ecological-environmental protection, bolstering enterprise competitiveness, and fostering a holistic green transformation of the social economy. The triad of government support, company innovation sustainability, and green innovation level operates in a symbiotic relationship, each facilitating the others’ growth and collectively driving green innovation ecosystem advancement. Governmental support creates a conducive policy environment and resource pool for company innovation. Sustainable company innovation spurs regional economic development, enhances government support, and bolsters the overall competitiveness of the green innovation ecosystem. Simultaneously, a maturing green innovation level fosters closer government-company cooperation, perpetuating a positive cycle. The establishment of the BDCZ as China’s inaugural digital economy pilot zone signifies the government’s profound commitment to nurturing the big data industry. Businesses within the Pilot Zone benefit from the policy, incentivizing them to intensify digitalization efforts, elevate their innovation capabilities, and expedite regional collaboration. This collaborative synergy creates an optimal green innovation ecosystem for company digitalization and transformation. This paper is grounded in the characteristics of the BDCZ initiative, examining the impact of three aspects—degree of government support, corporate innovation sustainability, and green innovation level—on the DIT of manufacturing companies within the zone.
(1) Government support. The robust support of the government is indispensable to the progress of the digital economy. These supports are manifested in various forms, including the establishment of policies and regulations that foster digital economic growth, the increase of investments in digital infrastructure, the establishment of innovation funds, and the provision of financial assistance to digital economy companies. Such measures create an enabling environment for businesses’ DIT [68]. Government subsidies are a direct reflection of this support and play a crucial role in underpinning the financial aspects of DIT. These subsidies alleviate the financial burden on companies by offsetting the costs associated with adopting new technologies, platforms, systems, and employee training, as well as infrastructure upgrades [69]. As a guiding force, government subsidies enable businesses to amplify their market reach and enhance their competitive edge. Subsidy initiatives can bolster enterprises in conducting comprehensive market research, executing promotional campaigns, and engaging in marketing efforts. These measures not only enhance the competitiveness of their digitally transformed products or services but also facilitate a significant expansion of their market presence [70]. Furthermore, policy guidance and regulation are vital to shaping the smart economy’s trajectory. Governments can incentivize the adoption of emerging technologies and promote informatization through well-crafted policies and targeted subsidies. These provide companies with clear strategic direction and goals. Collectively, these government-led initiatives offer a comprehensive framework that supports and guides the integration of digital intelligence within companies.
The following hypotheses are proposed:
H1. 
BDCZ helps promote the DIT of manufacturing companies.
H2. 
BDCZ promotes the DIT of manufacturing companies by enhancing government support.
(2) Sustainability of green innovation. The digital economy offers a wealth of innovation drivers, compelling businesses to consistently develop and refine their product, service, and business model offerings. The swift progress and extensive implementation of digital technologies serve as a catalyst, providing more opportunities and tools for company innovation. With the strategic deployment of these digital advancements, businesses cannot only enhance their existing product or service but also conceptualize and introduce new offerings to the market. Additionally, digital technologies facilitate the acceleration of product iteration cycles, allowing companies to stay agile and meet the ever-evolving consumer demands [71]. Through digital platforms and networks, companies can access a large amount of information and data to help them understand market demand, consumer behavior, and competitive dynamics, as well as improve the efficiency of communication with suppliers, partners, and customers, accelerate collaboration, and promote resource sharing [72]. Robust partnerships not only accelerate the pace of green innovation but also contribute to its long-term sustainability. The ongoing advancement of a company’s innovation capabilities has a profound influence on its organizational structure and management approach. To effectively navigate DIT, companies must adopt a flexible organizational structure equipped with an agile decision-making process. Establishing mechanisms for cross-sectoral collaboration is essential to breaking down information barriers, encouraging knowledge sharing, and facilitating innovative cooperation [68]. The success of DIT depends on the integration of cutting-edge technologies such as AI, 5G, and intelligent analysis. These emerging technologies drive innovation and enable businesses to stay ahead in a rapidly evolving digital landscape. To ensure a continuous cycle of innovation, companies must continuously commit to technological updates and applications [73]. In addition to these hard conditions, the innovation culture as the core of the fusion company can stimulate the creativity and enthusiasm of employees and promote the smooth progress of DIT.
Therefore, it is assumed that:
H3. 
BDCZ promotes the DIT of manufacturing firms by improving the sustainability of green innovation.
(3) Green innovation level. The policy of BDCZ focuses on promoting the integration and application of green and low-carbon technologies, supporting the construction of green and low-carbon technology promotion platforms, and accelerating the popularization and promotion of green and low-carbon technologies. This helps to improve the green technology level and innovation ability of companies and promote their transformation toward green and low-carbon technologies. The improvement of innovation level and capability will inevitably promote the updating and iteration of technology. The utilization of emerging technologies helps to reduce production costs, improve resource utilization efficiency, and reduce environmental pollution and risks. These cost-effectiveness improvements can provide financial support and motivation for companies’ DIT, enabling them to invest more in new technologies, equipment, and processes. In addition, as consumer attention to environmental protection and sustainability continues to increase, companies with high levels of green innovation are more likely to gain consumer recognition and preferences. Therefore, the improvement of green innovation level plays an important role in companies’ DIT.
The hypothesis put forth is as follows:
H4. 
BDCZ promotes DIT of manufacturing companies by improving green innovation levels.
In accordance with this logical thinking, the article constructs a diagram for the pilot policy mechanism of BDCZ based on the three components: green innovation perspectives of government support, green innovation sustainability, and green innovation level, as shown in Figure 1.

3. Data and Methodology

3.1. Sample Selection and Data Sources

This study employs a sample of Chinese A-share manufacturing companies listed on the Shanghai and Shenzhen stock exchanges for the period spanning 2010 to 2022, in which the listed companies in the Chinese manufacturing company industry are divided into two categories, namely, the experimental group of companies belonging to the cities of BDCZ, and the control group of companies belonging to the non-pilot cities. The study period of 2010–2022 is based on the following two reasons. First, the first batch of pilots of BDCZ will start in 2015, and the ending period of 2022 can be a more complete measure of the pilot policy’s effects. Limited by the availability of data, the observation sample will end in 2022. Second, the financial crisis of 2008 will be reflected in the data of the companies, and the year 2010 is selected as the initial period of the sample to minimize the impact of the crisis.
In addition, firms labeled as S, ST, and *ST are removed from the initial sample in this paper. Firms listed after 2010 are excluded to ensure that the selected sample is listed from 2010 to 2022. Firms with serious data discontinuity or missing data from 2010 to 2022 are also removed, resulting in 6604 firm-year observations. Among all the sample firms, 193 firms are in the experimental group, and the remaining 315 firms belong to the control group. To exclude the interference caused by outliers, the initial data of each variable are indented at the upper and lower 1% quartiles. All microdata are from the CSMAR database, and macrodata are from the WIND database.

3.2. Definition of Variables

3.2.1. Explained Variable

The explanatory variable of this study is the digital-intelligent transformation (DIT) of companies. The digital economy tends to force micro-companies to innovate and transform for their own development, and this change will alter the overall operation of the company. The annual report, as the company’s operation report in the past year, can reflect the behavioral changes of the company, which is a representative and reasonable way to identify the behavior of the company’s DIT. Considering this, this paper is based on the Python tool to download the annual reports of all listed manufacturing companies in Shanghai and Shenzhen A-shares from Juchao Information Network. Then extract all text information from the annual reports based on the keyword word spectrum of company digital intelligent transformation (detailed word frequency mapping can be found in Table 1), and then summarize the results of the summarized information with the keywords of company DIT to compare and match with the frequency measurement, and compare the total number of word frequencies of each keyword with the total number of keywords of the company DIT. Each keyword’s total word frequency is paired with company data to establish the foundational index system for digital intelligence. Based on the right-skewed distribution of the indicators, this paper further legalizes the indicators to form the final indicators.

3.2.2. Key Explanatory Variables

The explanatory variables in this paper are the interaction terms of spatial dummy variables (Treat) and temporal dummy variables (Post), which are represented by Treat*Post [74]. The spatial dummy variable (Treat) refers to the grouping of companies in the pilot area into a processing group with a value of 1; otherwise, it is assigned a value of 0. Post is a time dummy variable. This paper approves the establishment of the pilot area of BDCZ in 2015 and 2016 as a policy shock, and thus, the companies in the city from the year of its first approval and the following years were assigned a value of 1; the remaining values are 0, and interaction term is the product of the previous two. If the regression coefficient is positive, it means that the relationship of BDCZ has a positive impact on DIT, and vice versa.

3.2.3. Control Variables

Referring to the extant literature, this paper takes company scale (Size), asset-liability ratio (LEV), dual (Dual), capital intensity (Tang), firm growth (Growth), shareholding concentration (Coo), and management expense ratio (Mfr) as control variables from the dimensions of firm finance and equity [75,76]. See Table 1 for specific variable definitions.

3.2.4. Mediating Variables

In this paper, government subsidies (Sub), sustainability of green innovation (Sgi), and green innovation level (Gil) are selected as mediating variables [77]. See Table 2 for specific variable definitions.

3.3. Modeling Setting

BDCZ serves as an exogenous policy shock that exhibits differential effects on companies based on their unique environmental attributes, which can meet the basic assumptions of the DID method. Since the establishment of BDCZ is divided into two batches from 2015–2016, different companies are affected by the policy at different points in time. So, we construct a multi-period DID model to examine the effects of the establishment of BDCZ on the DIT of manufacturing companies. The specific model is as follows:
D I T i t = α + β 1 T r e a t i t * P o s t i t + β 2 X i t + γ i + μ t + ε i t
where DIT denotes the degree of DIT of companies, Treat*Post is the product of spatial dummy variables and temporal dummy variables; β is the policy effect studied herein, and X denotes the control variables. This paper also adds industry-fixed effects γ and year fixed effects μ. i denotes firms, t denotes years, and ε is a randomized disturbance term.

4. Empirical Analysis

4.1. Descriptive Statistics

Table 3 shows the results of descriptive statistics. The data indicate that the average DIT for manufacturing companies is 1.154, with a standard deviation of 1.233, which shows significant variation in DIT among companies. The mean value of Treat is 0.38, which indicates that 38% of the observations are from the experimental group of companies.

4.2. Benchmark Regression Analysis

Table 4 shows the regression results of the establishment of BDCZ on the DIT of manufacturing companies. Column (1) shows the effect of the establishment of BDCZ on the DIT of manufacturing companies without adding control variables and fixed effects. The results are significant at the 1% level. Column (2) is the case with industry and year effects fixed and no control variables added. Column (3) is the case where control variables were added, but fixed effects were not considered. The case where both control variables and fixed effects are considered in column (4). The regression coefficients of the impact of BDCZ on the DIT of manufacturing companies in different cases are 0.311, 0.319, 0.287, and 0.277, all of which are significant at the 1% level. The results all verify that the establishment of BDCZ accelerates the process of companies’ DIT and has a positive and active effect on it.

4.3. Robustness Test

4.3.1. Parallel Trend Test

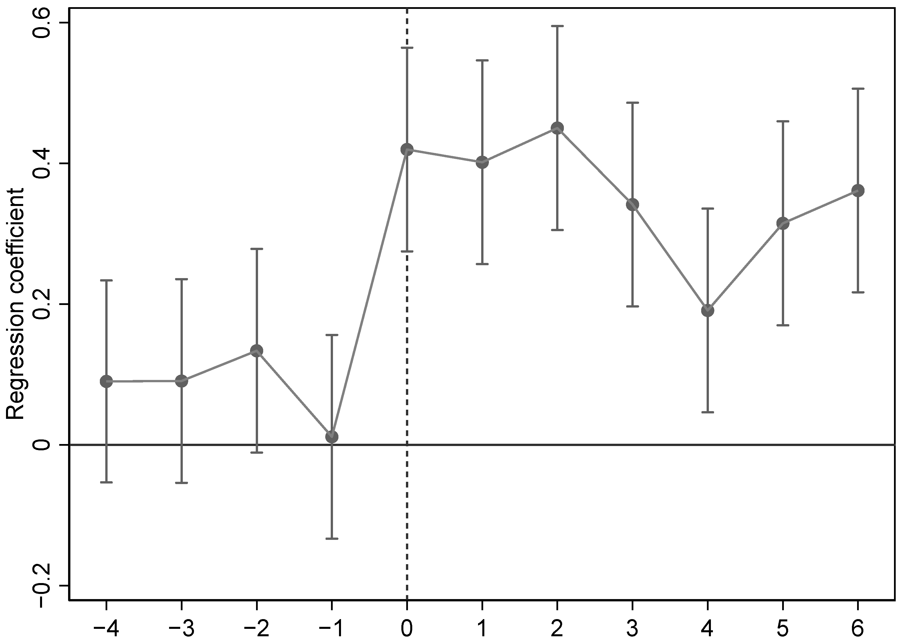
Although the selection of samples in this paper takes into account the selection of homogeneous listed manufacturing companies, to further ensure the accuracy of the results obtained in the article, the ex-ante development trends of the experimental group and the control group are examined to ensure that they meet the prerequisites for the use of DID method. The event study method is used to analyze the dynamic effect of the establishment of BDCZ on the DIT of manufacturing companies, and the following model is constructed:
D I T i t = α + m = 4 m = 6 β m T r e a t * P i m + λ X i t + γ i + μ t + ε i t
where P i m is a dummy variable indicating whether the sample year is the year in which the establishment of BDCZ impacted i companies in the m-th year; the value of m represents the m-th year of the implementation of BDCZ, and a negative value is the year before the implementation of the policy. The year before the establishment of BDCZ is chosen as the base year, and the value of β m is the difference between the treatment group and the control group of manufacturing firms in the m-th year after the implementation of the policy.
Figure 2 shows the estimated results of the regression coefficient β m at the 95% confidence interval, which shows that the degree of DIT in the treatment and control groups of manufacturing firms remained stable before the implementation of BDCZ. The estimated coefficient fluctuates around 0, which is consistent with the premise of using the parallel trend hypothesis. In addition, the level of company DIT significantly deviates from the original trend after the establishment of BDCZ, indicating that the establishment of BDCZ brings a positive impact on DIT. The figure shows that the impact effect is persistent and good; its promotion of the DIT of manufacturing companies has changed over time, but it is still a positive result. It may be that the establishment of BDCZ acts as a catalyst in propelling the DIT of manufacturing companies and influencing the DIT of companies through the digital economy.

4.3.2. Synthesizing Double Differences

The synthetic double difference is an organic combination of synthetic control and double-difference methods with more robust coefficients. It can take into account the heterogeneity of policy implementation in each pilot area and find a corresponding treatment group for each experimental group based on individual and time dimensions [78]. The methodology is more robust. Since there are only eight companies in the first batch of pilot cities, which makes the persuasiveness of the pilot policy of BDCZ on firms’ DIT unconvincing, here we further validate the promotion effect of BDCZ on the DIT of manufacturing businesses by using SDID for the companies in the second batch of pilot cities. First, a control group is constructed for each listed company using synthetic double differencing, which is “unaffected” by the policy. Then, companies in the pilot city are regarded as processing groups, and companies not in the pilot city are regarded as control groups. Finally, the DT difference between the processing and control groups is calculated to identify the extent of policy impact on firms’ DIT T s d i d ^ . Figure 3 plots the dynamic trends based on synthetic double differences, and the trends of the treatment and control groups are roughly the same before the establishment of BDCZ, which also provides support for the parallel trend assumption. The test results of the SDID Using the knife-cut method and bootstrap method for statistical inference are shown in Table 5. The significance of the positive regression coefficient for Treat*Post implies BDCZ is a driving force behind the DIT of manufacturing companies.

4.3.3. Placebo Test

To safeguard against the effects of unobserved elements and to elucidate the policy’s impact on the DIT of the manufacturing industry, this study employs a randomized controlled trial approach. From a sample of 508 entities, 193 were randomly assigned as experimental cases, while the remainder served as controls. Model (2) was utilized to analyze the foundational data. Additionally, the policy’s implementation timing was randomly determined, and this process was repeated 1000 times to bolster statistical robustness. Figure 4 displays the probability density distribution of the regression coefficients, p-value scatter plots, and the outcomes of the benchmark regression, which account for other variables, industry diversity, and temporal effects. The findings indicate that the randomly assigned coefficient estimates are centered around zero, with the majority being statistically insignificant at the 10% confidence level. The true policy effects distinctly differ from those of the placebo test, suggesting that the BDCZ program’s facilitation of DIT in the manufacturing sector is not significantly impacted by unobserved confounding variables, thus reinforcing the validity and resilience of the study’s conclusions.

4.3.4. PSM-DID

Previous empirical findings have elucidated the influence of pilot policies on companies’ DIT. However, the current approach of categorizing businesses into treatment and control groups based on their inclusion in pilot regions is not randomized. This introduces a potential for selection bias, as there are inherent differences in the fundamental characteristics of companies. To address this, our research employs the propensity score matching technique, a method that helps to adjust for this bias. The technique involves several steps: initially, we separate samples from BDCZ into experimental and control groups, consisting of 193 and 315 samples, respectively. Subsequently, we select a range of firm characteristics, including financial health and equity structure, as covariates to randomize the data. We then use a logit regression model to estimate propensity scores, with the assignment to the national zone status serving as the dependent variable and the covariates as independent variables. The nearest neighbor matching method is applied to distribute suitable matches for each company in experimental groups within the control groups. Our balance test results, listed in Table 6, disclose that P-values for all variables post-matching exceed 10%, suggesting a successful match with no discernible systematic disparities between the groups. Building on this, we re-apply DID to the matched data, with the empirical outcomes detailed in the first column of Table 6. The analysis indicates that even after matching, the establishment of BDCZ continues to exert an impact on companies’ DIT.

4.3.5. Single-Period DID

BDCZ is divided into two batches, 2015 and 2016, for gradual promotion, but only Guizhou province is a pilot zone in the 2015 batch, which involves a small number of samples, and 2016 is the peak of the pilot policy promotion. Here, the sample companies involved in the pilot zones in the first batch are deleted; 2016 is taken as the starting year of the policy, and the effects of the establishment of BDCZ on the DIT of manufacturing companies are tested again employing a single-period DID [79]. Column (2) of Table 7 lists the results, and they obtained from the estimation again are still in line with the previous section, indicating that BDCZ will indeed speed up the DIT of manufacturing companies.

4.3.6. Control of Simultaneous Strategies

To ensure the net effect of BDCZ on DIT of companies, this article summarizes the policies that may interfere with the results during the same period. The National Energy Administration has been carrying out the construction of new energy demonstration cities since January 2014 [80], which may also have an impact on companies’ DIT. To prevent the policy from affecting the results of this investigation and further increase the stability of the conclusions, this paper added a control variable on whether the city was included as a new energy demonstration city in year t based on the benchmark regression model. Table 7, specifically column (3), displays the regression outcomes, revealing that the new energy policy has failed to produce a significant effect on the analysis. Excluding the interference of competitive policies, BDCZ remains a contributing factor in enhancing the DIT of manufacturing sectors.

4.3.7. Control of Simultaneous Strategies

BDCZ was carried out in batches in September 2015 and October 2016, respectively, and the observation time chosen in this paper is 2010–2022. To ensure the test of the effect of BDCZ is not interfered with by the sample time, this paper replaces sample time with 2011–2021 and re-examines its effect on the companies’ DIT, as shown in column (4) of Table 7, Treat*post coefficient is still significantly positive and shows that the time window selected in this paper can correctly estimate the extent of the impact of BDCZ on companies’ DIT.

4.3.8. Adjustment of Sample Size

Relative to general prefecture-level cities, the four nationally focused municipalities of Beijing, Tianjin, Chongqing, and Shanghai tend to have an advantage in terms of access to resources, with better economic scale and talent elements than general prefecture-level cities. The unadjusted sample capacity may overestimate the impact of BDCZ due to the presence of companies in special cities. Therefore, this paper further deletes the samples of the four municipalities of Beijing, Tianjin, Chongqing, and Shanghai and reuses model (1) for estimation. The results are listed in Table 7’ column (5), which shows that, after the deletion of the four municipalities, the DIT of the companies is still growing due to the implementation of the policy. It further validates the positive influence of BDCZ on DIT.

4.4. Heterogeneous Analysis

4.4.1. Test Based on the Heterogeneity of Financial Market Environment

To fully utilize the establishment of BDCZ for the promotion of DIT, companies need not only external driving force, such as government support but also internal scheduling and constant optimization of the allocation of resources to the market level. However, due to the differences in market processualization, as well as the differences in talent resources and economic resources across the region, resulting in different financial market environments between different regions, so does the variability of financial market environments leads to the heterogeneous impact of BDCZ on the degree of DIT of companies? Columns (1) and (2) of Table 8 show the influence of BDCZ on the DIT of companies under different financial market environments, and it can be found that the influence of BDCZ on the DIT of companies is more significant under the environment of the developed financial market. The explanation is that within a developed financial market environment, companies can obtain more funds, which provides a solid financial foundation for company R&D. Compared with the less developed financial market, the developed financial market has a more perfect market supervision mechanism and a better financial environment, which makes companies more inclined to benign competition, jointly pursue long-term interests, and play a synergistic effect, which is conducive to DIT.

4.4.2. Tests Based on the Heterogeneity of the Nature of the Firm’s Property Rights

Employing DID empirical analysis reveals that the establishment of BDCZ can significantly enhance the extent of companies’ DIT, but the nature of property rights between companies will be different in terms of their business models and management styles, so the establishment of BDCZ may have a heterogeneous impact on the degree of DIT. Thus, the nature of company ownership is categorized according to state-owned and non-state-owned as a way to plumb the heterogeneous impact of BDCZ on businesses with different natures of ownership. As shown in columns (1) and (2) of Table 9, although the degree of DIT of two types of companies is affected by BDCZ, the coefficient of Treat*post in the regression test for non-state-owned companies is significantly positive at the 1% level. This means that compared to state-owned companies, the degree of DIT of non-state-owned companies is more affected by the establishment of BDCZ. The possible reasons for this are: state-owned firms have the state’s credibility as their foundation, and both investment and financing will be more convenient, and under the condition of sufficient funds, state-owned companies have more room to carry out company rectification and accelerate the process of company transformation. The resource pool available to non-state-owned businesses in a fierce market rivalry is much less extensive than that of state-owned businesses, and thus, the establishment of BDCZ has provided non-state-owned companies with sufficient impetus for transformation.

4.4.3. Test for Heterogeneity Based on Executive Ownership Ratio

This study investigates the varying effects of the BDCZ program on the degree of DIT across manufacturing companies, categorizing them based on their executive shareholding ratios relative to the average. Those with ratios above the average are grouped separately from those below. Regression results, as presented in columns (3) and (4) of Table 9, reveal that BDCZ exerts a more pronounced influence on the DIT degree of companies with above-average executive shareholding. The analysis indicates that the BDCZ program is more significantly associated with companies’ DIT, where executive shareholding exceeds the average. This can be attributed to the fact that executive shareholding serves as a potent incentive mechanism, which mitigates principal-agent costs, curtails managerial moral hazard, and aligns managerial decisions with stakeholder interests. Consequently, in the sphere of BDCZ implementation, companies with a higher concentration of executive shareholding often face greater pressures to ensure corporate survival and managerial credibility, prompting them to undertake more substantial initiatives to advance the DIT of their businesses.

5. Mechanism of Action Test

5.1. Model Setting

Constructing a mediation effect model to prove the mechanism by which the establishment of BDCZ affects the DIT of manufacturing firms.
I n t e r = ϖ + ϖ 1 T re a t i t * P o s t i t + ϖ 2 X i t + γ i + μ i + ε i t
D I T i t = υ + υ 1 Treat i t * P o s t i t + υ 2 X i t + υ 3 I n t e r + γ i + μ t + ε i t
Among them is the mediating variable, which reflects the effect of the establishment of BDCZ on the mediating variable and represents the degree to which the mediating variable affects DIT. Using stepwise regression, if both are significant, this indicates that the selected variable bears intermediary responsibility.

5.2. Mechanism Test

Columns (1) and (2) in Table 10 give the regression results of BDCZ on government subsidies and the results of government subsidies on companies’ DIT, respectively. Among them, column (1) shows that the effect of BDCZ on government subsidies is significantly positive, implying that BDCZ does increase government subsidies. In column (2), the effect of government subsidies on companies’ DIT remains significant, indicating that the degree of companies’ DIT changes because of government subsidies. Therefore, government subsidies act as an intermediary in the process of BDCZ affecting companies’ DIT. The government plays a bottoming-out role for companies through subsidies to help them tide over the pain of DIT and reduce the costs required by companies.
Columns (3) and (4) in Table 10 present the regression results of BDCZ on company green innovation sustainability and the results of business green innovation sustainability on DIT, respectively. Both regression results are significantly positive at the 1% level, indicating that BDCZ can improve companies’ green innovation sustainability, and the improvement of companies’ green innovation sustainability will deepen the degree of DIT. So, green innovation sustainability plays a mediating role in the process of BDCZ affecting DIT of manufacturing companies. When a company’s green innovation sustainability increases, more expenditure is made on DIT, and the probability of abandonment decreases due to the consideration of sunk costs [81] and thus the higher the firm’s green innovation sustainability, the deeper the degree of DIT.
Column (5) in Table 10 shows that the regression result of BDCZ on green innovation level is significantly positive, which implies that the pilot policy will bring about a promotion effect on the green innovation level. Column (6) shows that the regression result of the green innovation level on DIT is significantly positive, which proves that DIT will be positively influenced by the green innovation level. Green innovation level appears to mediate the relationship between pilot policies and companies’ DIT. The economic development status can reflect the local business environment, which can send different signals to the market. When a company is in an environment that encourages innovation and tolerates failure, it receives positive market signals and is more inclined to invest in R&D activities, thus promoting industrial upgrading and technological progress [82].

6. Discussion

Companies’ digital-intelligent transformation(DIT) requires substantial financial investment and technological innovation, which poses a significant challenge for many companies. Government support, through the provision of financial subsidies and interest subsidies on loans, helps to reduce the transformation costs and mitigate the risks faced by businesses, thereby incentivizing and bolstering their confidence in pursuing DIT [83]. Additionally, the advancement of the National Big Data Comprehensive Zone (BDCZ) necessitates governmental guidance. By establishing specific policy objectives and detailed implementation measures, the government steers companies towards technological upgrades and business innovation in line with policy directives, thereby promoting DIT.
The awareness of green innovation within companies is a crucial driver of DIT. Companies with a strong sense of green innovation are more inclined to adopt digital technologies [84], achieving a greener and more intelligent production process. The level of corporate green innovation reflects a company’s commitment to environmental protection and sustainable development. An increase in the level of green innovation can be seen as a response to policy guidance and market signals [85]. In the context of BDCZ, a high level of green innovation can serve as an intrinsic motivator for enterprise DIT, spurring companies to utilize digital technologies such as big data for efficient resource utilization and environmentally friendly production.
There is also a synergistic effect between government support and the level of corporate green innovation. On the one hand, government support provides a favorable external environment for enterprise green innovation; on the other hand, the enhancement of a company’s green innovation level contributes to the achievement of government policy objectives. These two factors reinforce each other, jointly propelling a company’s DIT.

7. Conclusions

Amidst burgeoning information technologies advancement and widespread data adoption, the Chinese government is deeply committed to nurturing the advancement of the digital economy, viewing it as an essential component of its national strategic framework. Within this context, this paper employs a quasi-natural experiment, leveraging digital policy to examine its influence on the digital-intelligent transformation of companies of manufacturing companies. Utilizing data from 2010 to 2022 for cities, the analysis employs DID, PSM-DID, and other methodologies to delineate the pilot policy’s effect. The study posits the mechanisms through which digital policy facilitates the digital-intelligent transformation of companies within the manufacturing sector, focusing on the green innovation ecology perspective: government backing [65], sustainable green innovation, and green innovation level [86]. The empirical findings corroborate that the rollout of digital policy significantly catalyzes the digital-intelligent transformation of companies. The policy’s influence is primarily channeled through enhanced company green innovation sustainability and elevated green innovation level, thereby effectively enhancing the regional economic ecosystem. Notably, the implementation effects of digital policy on the digital-intelligent transformation of companies exhibit significant heterogeneity, with non-state-owned companies experiencing a more substantial impact. Furthermore, companies operating within a developed financial market environment are more responsive to digital policy than those in underdeveloped financial markets. Additionally, the proportion of executive shareholding influences the degree of company digital-intelligent transformation of companies affected by digital policy, with high executive shareholding companies experiencing a more pronounced positive impact [87].
As an important pillar of China’s national economy, the development of manufacturing directly affects the prosperity of the national economy. Nations boasting a robust manufacturing industry often exhibit a higher capacity for international competition and greater overall strength. In order to foster continued, robust economic expansion, it is imperative to prioritize the manufacturing industry’s advancement and to champion high-quality advancement [88]. Transformation toward digital intelligence, an essential driver of high-quality manufacturing industry development, warrants comprehensive support and investment.
(1) From a governmental standpoint, scientific planning is essential for development. Government support and the financial environment influence the DIT of companies. To this end, the government can boost investment in digital technology research and innovation, support scientific research institutions and enterprises in technological innovation, and enhance coordination with various departments and institutions to create a synergistic policy environment that facilitates enterprise digital transformation. To enhance the financial environment, the government may formulate and revise financial laws and regulations to ensure the legal framework evolves with the times and aligns with financial market changes. Legal sanctions against financial violations should be strengthened to increase the law’s deterrent effect.
(2) From the enterprise’s perspective, it is essential to capitalize on its unique strengths and seize developmental opportunities. The analysis in this article reveals inherent differences in property rights and the percentage of executive ownership among enterprises [89]. Consequently, enterprises should develop practical digital transformation strategies tailored to their industry-specific features, developmental strategies, and resource endowments. They must also focus on enhancing organizational capabilities and employee training to elevate the digital literacy of their workforce and cultivate high-quality teams with a spirit of innovation and strong execution, thereby ensuring the successful implementation and ongoing advancement of their digital transformation initiatives. Moreover, companies can collaborate with other businesses, industry associations, and research institutions to engage in joint technological R&D and market expansion [90], thus collectively addressing market competition and industry transformation. This collaborative innovation approach can foster the sustainable development of both individual enterprises and the broader urban ecosystem [91].
The paper still has certain shortcomings. On the one hand, non-listed companies are also important participants in the market economy, and the future can intensively explore the influence of digital policy on non-listed companies; on the other hand, there are fewer studies on the digital-intelligent transformation of companies, and the measurement indexes of digital-intelligent transformation of companies of companies can be further explored in the future.

Author Contributions

Conceptualization, M.J.; Software, X.T.; Validation, J.J. and M.C.; Formal analysis, X.T.; Investigation, M.C. and W.W.; Resources, J.J.; Data curation, W.W.; Writing—original draft, X.T.; Writing—review & editing, W.W. and Y.S.; Visualization, M.C.; Supervision, J.J. and Y.S.; Project administration, M.J.; Funding acquisition, M.J. All authors have read and agreed to the published version of the manuscript.

Funding

This research was funded by the Shandong Province Social Science Planning Research Project (18CSJJ37); Guangxi Philosophy and Social Sciences Research Project (2023FGL025).

Institutional Review Board Statement

Not applicable.

Informed Consent Statement

Not applicable.

Data Availability Statement

The data used to support the findings of this study are available from the corresponding author upon request.

Conflicts of Interest

The authors declare no competing interests.

References

  1. Schroeder, W. Germany’s Industry 4.0 Strategy; Friedrich Ebert Stiftung: London, UK, 2016. [Google Scholar]
  2. Irkinovich, N.R. The Digital Economy Today. Acad. Globe Indersci. Res. 2022, 3, 198–203. [Google Scholar]
  3. Curran, D. Risk, innovation, and democracy in the digital economy. Eur. J. Soc. Theory 2018, 21, 207–226. [Google Scholar] [CrossRef]
  4. Aho, B.; Duffield, R. Beyond surveillance capitalism: Privacy, regulation and big data in Europe and China. Econ. Soc. 2020, 49, 187–212. [Google Scholar] [CrossRef]
  5. Löfgren, K.; Webster, C.W.R. The value of Big Data in government: The case of ‘smart cities’. Big Data Soc. 2020, 7, 2053951720912775. [Google Scholar] [CrossRef]
  6. Ghasemaghaei, M.; Calic, G. Assessing the impact of big data on firm innovation performance: Big data is not always better data. J. Bus. Res. 2020, 108, 147–162. [Google Scholar] [CrossRef]
  7. Xing, Z.; Huang, J.; Wang, J. Unleashing the potential: Exploring the nexus between low-carbon digital economy and regional economic-social development in China. J. Clean. Prod. 2023, 413, 137552. [Google Scholar] [CrossRef]
  8. Wu, F.; He, J.; Cai, L.; Du, M.; Huang, M. Accurate multi-objective prediction of CO2 emission performance indexes and industrial structure optimization using multihead attention-based convolutional neural network. J. Environ. Manag. 2023, 337, 117759. [Google Scholar] [CrossRef] [PubMed]
  9. Qin, Z.X.; Zhou, Y.H. Development of digital economy and regional total factor productivity: An analysis based on national big data comprehensive pilot zone. J. Financ. Econ. 2021, 47, 4–17. [Google Scholar]
  10. Gao, H.; Xu, S.; Wang, M. Will the National Big Data Comprehensive Pilot Zone improve total factor productivity of enterprises? Energy Environ. 2024, 0958305X241241027. [Google Scholar] [CrossRef]
  11. Popkova, E.G. Digital Economy: Complexity and Variety vs. Rationality; Springer: Cham, Switzerland, 2020. [Google Scholar]
  12. Li, C.; Zhang, X.; Dong, X.; Yan, Q.; Zeng, L.; Wang, Z. The impact of smart cities on entrepreneurial activity: Evidence from a quasi-natural experiment in China. Resour. Policy 2023, 81, 103333. [Google Scholar] [CrossRef]
  13. Luo, Q.; Hu, H.; Feng, D.; He, X. How does broadband infrastructure promote entrepreneurship in China: Evidence from a quasi-natural experiment. Telecommun. Policy 2022, 46, 102440. [Google Scholar] [CrossRef]
  14. Wang, F.; Wang, Z. The impact of the digital economy on occupational health: A quasi-experiment based on “Broadband China” pilot. Front. Public Health 2023, 10, 1007528. [Google Scholar] [CrossRef] [PubMed]
  15. Zhang, C.; Weng, X. Can broadband infrastructure construction promote equality of opportunity? Evidence from a quasi-natural experiment in China. J. Asian Econ. 2024, 93, 101759. [Google Scholar] [CrossRef]
  16. Gong, Q.; Wang, X.; Tang, X. How Can the Development of Digital Economy Empower Green Transformation and Upgrading of the Manufacturing Industry?—A Quasi-Natural Experiment Based on the National Big Data Comprehensive Pilot Zone in China. Sustainability 2023, 15, 8577. [Google Scholar] [CrossRef]
  17. Feng, Y.; Chen, Z.; Nie, C. The effect of broadband infrastructure construction on urban green innovation: Evidence from a quasi-natural experiment in China. Econ. Anal. Policy 2023, 77, 581–598. [Google Scholar] [CrossRef]
  18. Bughin, J.; Mingay, C.; Roisin, C. The Digital Economy: Promise and Peril in the Age of Networked Intelligence; MIT Press: Cambridge, MA, USA, 2016. [Google Scholar]
  19. Zhang, C.; Liu, B.; Yang, Y. Digital economy and urban innovation level: A quasi-natural experiment from the strategy of “Digital China”. Humanit. Soc. Sci. Commun. 2024, 11, 574. [Google Scholar] [CrossRef]
  20. Sun, J.; Zhai, C.; Dong, X.; Li, C.; Wang, Z.; Li, D.; Sun, Y. How does digital infrastructure break the resource curse of cities? Evidence from a quasi-natural experiment in China. Resour. Policy 2023, 86, 104302. [Google Scholar] [CrossRef]
  21. Liu, Y.; Liu, K.; Zhang, X.; Guo, Q. Does digital infrastructure improve public Health? A quasi-natural experiment based on China’s Broadband policy. Soc. Sci. Med. 2024, 344, 116624. [Google Scholar] [CrossRef] [PubMed]
  22. Lyons, G.; Mokhtarian, P.; Dijst, M.; Böcker, L. The dynamics of urban metabolism in the face of digitalization and changing lifestyles: Understanding and influencing our cities. Resour. Conserv. Recycl. 2018, 132, 246–257. [Google Scholar] [CrossRef]
  23. Kraus, S.; Schiavone, F.; Pluzhnikova, A.; Invernizzi, A.C. Digital transformation in healthcare: Analyzing the current state-of-research. J. Bus. Res. 2021, 123, 557–567. [Google Scholar] [CrossRef]
  24. Li, G.; Zhou, X.; Bao, Z. A win–win opportunity: The industrial pollution reduction effect of digital economy development—A quasi-natural experiment based on the “broadband China” strategy. Sustainability 2022, 14, 5583. [Google Scholar] [CrossRef]
  25. Ma, Y.; Shui, J.; Li, Y. Digital infrastructure and quality of life: A quasi-natural experimental study based on the ‘Broadband China’pilot policy. Technol. Anal. Strateg. Manag. 2023, 1–14. [Google Scholar] [CrossRef]
  26. Autor, D.H. The Second Machine Age: Work, Progress, and Prosperity in a Time of Brilliant Technologies; W. W. Norton & Company: New York, NY, USA, 2015. [Google Scholar]
  27. Hsee, C.K.; Li, S.; Zhang, Y. The sharing economy: Trust, privacy, and policy. Manag. Sci. 2015, 61, 384–394. [Google Scholar]
  28. Wu, B.; Yang, W. Empirical test of the impact of the digital economy on China’s employment structure. Financ. Res. Lett. 2022, 49, 103047. [Google Scholar] [CrossRef]
  29. Wang, L.; Shao, J. Can digitalization improve the high-quality development of manufacturing? An analysis based on Chinese provincial panel data. J. Knowl. Econ. 2024, 15, 2010–2036. [Google Scholar] [CrossRef]
  30. Zhang, Q.; Yang, M.; Lv, S. Corporate digital transformation and green innovation: A quasi-natural experiment from integration of informatization and industrialization in China. Int. J. Environ. Res. Public Health 2022, 19, 13606. [Google Scholar] [CrossRef] [PubMed]
  31. Huang, J.; Shen, Y.; Chen, J.; Zhou, Y. Regional Digital Economy Development and Enterprise Productivity: A Study of the Chinese Yangtze River Delta. Reg. Sci. Policy Pract. 2022, 14, 118–137. [Google Scholar] [CrossRef]
  32. Tapscott, D.; Tapscott, A. Blockchain Revolution: How the Technology behind Bitcoin Is Changing Money, Business, and the World; Penguin: New York, NY, USA, 2016. [Google Scholar]
  33. Palmaccio, M.; Dicuonzo, G.; Belyaeva, Z.S. The internet of things and corporate business models: A systematic literature review. J. Bus. Res. 2021, 131, 610–618. [Google Scholar] [CrossRef]
  34. Zimmermann, H.D. Understanding the Digital Economy: Challenges for New Business Models. AMCIS 2000 Proceedings. Paper 402. Available online: https://ssrn.com/abstract=2566095 (accessed on 1 June 2024).
  35. Zhou, Q. Research on the impact of digital economy on rural consumption upgrading: Evidence from China family panel studies. Technol. Econ. Dev. Econ. 2023, 29, 1461–1476. [Google Scholar] [CrossRef]
  36. Zhang, Q.; Yang, M. Digital Transformation, Top Management Team Heterogeneity, and Corporate Innovation: Evidence from A Quasi-Natural Experiment in China. Sustainability 2023, 15, 1780. [Google Scholar] [CrossRef]
  37. Chen, P. Relationship between the digital economy, resource allocation and corporate carbon emission intensity: New evidence from listed Chinese companies. Environ. Res. Commun. 2022, 4, 075005. [Google Scholar] [CrossRef]
  38. Wei, J.; Zhang, X. The role of big data in promoting green development: Based on the quasi-natural experiment of the big data experimental zone. Int. J. Environ. Res. Public Health 2023, 20, 4097. [Google Scholar] [CrossRef] [PubMed]
  39. Ma, D.; Zhu, Q. Innovation in emerging economies: Research on the digital economy driving high-quality green development. J. Bus. Res. 2022, 145, 801–813. [Google Scholar] [CrossRef]
  40. Chen, G.; Han, J.; Yuan, H. Urban digital economy development, enterprise innovation, and ESG performance in China. Front. Environ. Sci. 2022, 10, 955055. [Google Scholar] [CrossRef]
  41. Gu, X.; Wang, Y. Green credit policy and digital transformation of polluting firms: A quasi-natural experiment from China. Front. Environ. Sci. 2023, 11, 1281165. [Google Scholar] [CrossRef]
  42. Zhang, J.; Zhao, W.; Cheng, B.; Li, A.; Wang, Y.; Yang, N.; Tian, Y. The impact of digital economy on the economic growth and the development strategies in the post-COVID-19 era: Evidence from countries along the “Belt and Road”. Front. Public Health 2022, 10, 856142. [Google Scholar] [CrossRef] [PubMed]
  43. Pan, W.; Xie, T.; Wang, Z.; Ma, L. Digital economy: An innovation driver for total factor productivity. J. Bus. Res. 2022, 139, 303–311. [Google Scholar] [CrossRef]
  44. Qiu, L.; Xia, W.; Wei, S.; Hu, H.; Yang, L.; Chen, Y.; Zhou, H.; Hu, F. Collaborative management of environmental pollution and carbon emissions drives local green growth: An analysis based on spatial effects. Environ. Res. 2024, 259, 119546. [Google Scholar] [CrossRef] [PubMed]
  45. Zhang, J.; Lyu, Y.; Li, Y.; Geng, Y. Digital economy: An innovation driving factor for low-carbon development. Environ. Impact Assess. Rev. 2022, 96, 106821. [Google Scholar] [CrossRef]
  46. Zhang, W.; Zhao, S.; Wan, X.; Yao, Y. Study on the effect of digital economy on high-quality economic development in China. PLoS ONE 2021, 16, e0257365. [Google Scholar] [CrossRef]
  47. Adams, N.B. Digital intelligence fostered by technology. J. Technol. Stud. 2024, 30, 93–97. [Google Scholar] [CrossRef]
  48. Verhoef, P.C.; Broekhuizen, T.; Bart, Y.; Bhattacharya, A.; Dong, J.Q.; Fabian, N.; Haenlein, M. Digital transformation: A multidisciplinary reflection and research agenda. J. Bus. Res. 2021, 122, 889–901. [Google Scholar] [CrossRef]
  49. Kraus, S.; Jones, P.; Kailer, N.; Weinmann, A.; Chaparro-Banegas, N.; Roig-Tierno, N. Digital transformation: An overview of the current state of the art of research. Sage Open 2021, 11, 21582440211047576. [Google Scholar] [CrossRef]
  50. Bican, P.M.; Brem, A. Digital business model, digital transformation, digital entrepreneurship: Is there a sustainable “digital”? Sustainability 2020, 12, 5239. [Google Scholar] [CrossRef]
  51. Mugge, P.; Abbu, H.; Michaelis, T.L.; Kwiatkowski, A.; Gudergan, G. Patterns of digitization: A practical guide to digital transformation. Res.-Technol. Manag. 2020, 63, 27–35. [Google Scholar] [CrossRef]
  52. Wessel, L.; Baiyere, A.; Ologeanu-Taddei, R.; Cha, J.; Blegind-Jensen, T. Unpacking the difference between digital transformation and IT-enabled organizational transformation. J. Assoc. Inf. Syst. 2021, 22, 102–129. [Google Scholar] [CrossRef]
  53. Nadkarni, S.; Prügl, R. Digital transformation: A review, synthesis and opportunities for future research. Manag. Rev. Q. 2021, 71, 233–341. [Google Scholar] [CrossRef]
  54. Van Veldhoven, Z.; Vanthienen, J. Digital transformation as an interaction-driven perspective between business, society, and technology. Electron. Mark. 2022, 32, 629–644. [Google Scholar] [CrossRef] [PubMed]
  55. Fletcher, G.; Griffiths, M. Digital transformation during a lockdown. Int. J. Inf. Manag. 2020, 55, 102185. [Google Scholar] [CrossRef]
  56. Shaulska, L.; Kovalenko, S.; Allayarov, S.; Sydorenko, O.; Sukhanova, A. Strategic enterprise competitiveness management under global challenges. Acad. Strateg. Manag. J. 2021, 20, 1–7. [Google Scholar]
  57. Sirmon, D.G.; Hitt, M.A.; Ireland, R.D. Managing Firm Resources in Dynamic Environments to Create Value: Looking inside the Black Box. Acad. Manag. Rev. 2007, 32, 273–292. [Google Scholar] [CrossRef]
  58. Appio, F.P.; Frattini, F.; Petruzzelli, A.M.; Neirotti, P. Digital transformation and innovation management: A synthesis of existing research and an agenda for future studies. J. Prod. Innov. Manag. 2021, 38, 4–20. [Google Scholar] [CrossRef]
  59. Dery, K.; Sebastian, I.M.; van der Meulen, N. The Digital Workplace is Key to Digital Innovation. MIS Q. Exec. 2017, 16, 135–152. [Google Scholar]
  60. Kraus, S.; Durst, S.; Ferreira, J.J.; Veiga, P.; Kailer, N.; Weinmann, A. Digital transformation in business and management research: An overview of the current status quo. Int. J. Inf. Manag. 2022, 63, 102466. [Google Scholar] [CrossRef]
  61. Zu, Y.; Zhang, R. Supplier change, market competition and enterprise innovation. Eur. J. Innov. Manag. 2023, 26, 1034–1053. [Google Scholar] [CrossRef]
  62. Jones, M.D.; Hutcheson, S.; Camba, J.D. Past, present, and future barriers to digital transformation in manufacturing: A review. J. Manuf. Syst. 2021, 60, 936–948. [Google Scholar] [CrossRef]
  63. Chen, C.L.; Lin, Y.C.; Chen, W.H.; Chao, C.F.; Pandia, H. Role of government to enhance digital transformation in small service business. Sustainability 2021, 13, 1028. [Google Scholar] [CrossRef]
  64. Wang, S.; Li, X.; Li, Z.; Ye, Y. The effects of government support on enterprises’ digital transformation: Evidence from China. Manag. Decis. Econ. 2023, 44, 2520–2539. [Google Scholar] [CrossRef]
  65. Jin, X.J.; Pan, X. Government attention, market competition and firm digital transformation. Sustainability 2023, 15, 9057. [Google Scholar] [CrossRef]
  66. Margiono, A. Digital transformation: Setting the pace. J. Bus. Strategy 2021, 42, 315–322. [Google Scholar] [CrossRef]
  67. Teng, X.; Wu, Z.; Yang, F. Research on the relationship between digital transformation and performance of SMEs. Sustainability 2022, 14, 6012. [Google Scholar] [CrossRef]
  68. Shahbaz, M.; Wang, J.; Dong, K.; Zhao, J. The impact of digital economy on energy transition across the globe: The mediating role of government governance. Renew. Sustain. Energy Rev. 2022, 166, 112620. [Google Scholar] [CrossRef]
  69. Howell, S.T. Financing Innovation: Evidence from R&D Grants. Am. Econ. Rev. 2017, 107, 1136–1164. [Google Scholar]
  70. Liang, H.; Li, G.; Zhang, W.; Chen, Z. The impact of green innovation on enterprise performance: The regulatory role of government grants. Sustainability 2022, 14, 13550. [Google Scholar] [CrossRef]
  71. Yu, F.; Chen, J. The impact of industrial internet platform on green innovation: Evidence from a quasi-natural experiment. J. Clean. Prod. 2023, 414, 137645. [Google Scholar] [CrossRef]
  72. Li, M.; Li, Z.; Huang, X.; Qu, T. Blockchain-based digital twin sharing platform for reconfigurable socialized manufacturing resource integration. Int. J. Prod. Econ. 2021, 240, 108223. [Google Scholar] [CrossRef]
  73. Ding, C.; Liu, C.; Zheng, C.; Li, F. Digital economy, technological innovation and high-quality economic development: Based on spatial effect and mediation effect. Sustainability 2021, 14, 216. [Google Scholar] [CrossRef]
  74. Callaway, B. Difference-in-differences for policy evaluation. In Handbook of Labor, Human Resources and Population Economics; Springer: Cham, Switzerland, 2023; pp. 1–61. [Google Scholar]
  75. Tsou, H.T.; Chen, J.S. How does digital technology usage benefit firm performance? Digital transformation strategy and organisational innovation as mediators. Technol. Anal. Strateg. Manag. 2023, 35, 1114–1127. [Google Scholar] [CrossRef]
  76. Liu, M.; Li, C.; Wang, S.; Li, Q. Digital transformation, risk-taking, and innovation: Evidence from data on listed enterprises in China. J. Innov. Knowl. 2023, 8, 100332. [Google Scholar] [CrossRef]
  77. Xue, L.; Zhang, Q.; Zhang, X.; Li, C. Can digital transformation promote green technology innovation? Sustainability 2022, 14, 7497. [Google Scholar] [CrossRef]
  78. Arkhangelsky, D.; Athey, S.; Hirshberg, D.A.; Imbens, G.W.; Wager, S. Synthetic difference-in-differences. Am. Econ. Rev. 2021, 111, 4088–4118. [Google Scholar] [CrossRef]
  79. Lyu, Y.; Xiao, X.; Zhang, J. Does the digital economy enhance green total factor productivity in China? The evidence from a national big data comprehensive pilot zone. Struct. Change Econ. Dyn. 2024, 69, 183–196. [Google Scholar] [CrossRef]
  80. National Energy Administration. Notice of the National Energy Administration on Announcing the List of New Energy Demonstration Cities (Industrial Parks) (First Batch). [EB/OL]. Available online: http://zfxxgk.nea.gov.cn/auto87/201402/t20140212_1762.htm (accessed on 1 June 2024).
  81. Pasqualino, R.; Demartini, M.; Bagheri, F. Digital transformation and sustainable oriented innovation: A system transition model for socio-economic scenario analysis. Sustainability 2021, 13, 11564. [Google Scholar] [CrossRef]
  82. Qi, X.F.; Zhou, L. How does domestic market fragmentation affect enterprise innovation performance? Empirical evidence from China. Int. J. Emerg. Mark. 2024, 19, 1007–1025. [Google Scholar] [CrossRef]
  83. Yu, C.H.; Wu, X.; Zhang, D.; Chen, S.; Zhao, J. Demand for green finance: Resolving financing constraints on green innovation in China. Energy Policy 2021, 153, 112255. [Google Scholar] [CrossRef]
  84. Luo, S.; Yimamu, N.; Li, Y.; Wu, H.; Irfan, M.; Hao, Y. Digitalization and sustainable development: How could digital economy development improve green innovation in China? Bus. Strategy Environ. 2023, 32, 1847–1871. [Google Scholar] [CrossRef]
  85. Wang, Q.J.; Wang, H.J.; Chang, C.P. Environmental performance, green finance and green innovation: What’s the long-run relationships among variables? Energy Econ. 2022, 110, 106004. [Google Scholar] [CrossRef]
  86. Liu, X.; Liu, F.; Ren, X. Firms’ digitalization in manufacturing and the structure and direction of green innovation. J. Environ. Manag. 2023, 335, 117525. [Google Scholar] [CrossRef] [PubMed]
  87. Li, S.; Wang, Q. Green finance policy and digital transformation of heavily polluting firms: Evidence from China. Financ. Res. Lett. 2023, 55, 103876. [Google Scholar] [CrossRef]
  88. Wang, L.; Shao, J. Digital economy and urban green development: A quasi-natural experiment based on national big data comprehensive pilot zone. Energy Environ. 2024, 0958305X241238348. [Google Scholar] [CrossRef]
  89. Porfírio, J.A.; Carrilho, T.; Felício, J.A.; Jardim, J. Leadership characteristics and digital transformation. J. Bus. Res. 2021, 124, 610–619. [Google Scholar] [CrossRef]
  90. Tolstykh, T.; Shmeleva, N.; Gamidullaeva, L.; Krasnobaeva, V. The role of collaboration in the development of industrial enterprises integration. Sustainability 2023, 15, 7180. [Google Scholar] [CrossRef]
  91. Hu, W.; Li, Z.; Chen, D.; Zhu, Z.; Peng, X.; Liu, Y.; Liao, D.; Zhao, K. Unlocking the potential of collaborative innovation to narrow the inter-city urban land green use efficiency gap: Empirical study on 19 urban agglomerations in China. Environ. Impact Assess. Rev. 2024, 104, 107341. [Google Scholar] [CrossRef]
Figure 1. Mechanism diagram.
Figure 1. Mechanism diagram.
Sustainability 16 06760 g001
Figure 2. Parallel trend hypothesis test.
Figure 2. Parallel trend hypothesis test.
Sustainability 16 06760 g002
Figure 3. Dynamic trend based on SDID.
Figure 3. Dynamic trend based on SDID.
Sustainability 16 06760 g003
Figure 4. Placebo test.
Figure 4. Placebo test.
Sustainability 16 06760 g004
Table 1. Key text words for DIT.
Table 1. Key text words for DIT.
DimensionKeywords
Artificial intelligence technologyAI, VR, 3D, face recognition, biometrics, voice recognition, identity verification, intellectualization, networking, e-commerce, online to offline, offline to online, online and offline, intelligent energy, intelligent transportation, intelligent networking, intelligent agriculture, intelligent terminals, intelligent logistics, intelligent factories, intelligent environmental protection, intelligent production, intelligent equipment, intelligent systems, intelligent control, mobile Internet, Internet mode, Internet ecology, Internet platform.
Big data technologybig data, data management, data platform, data synchronization, digital terminal, data security, virtual background, virtual manufacturing, automatic download, automatic analysis, system switching, automatic detection, automatic monitoring, automatic production, informatization, information center, information system, information network, information sharing, information management, information integration.
Cloud computing technologycloud computing, cloud IT, cloud services, cloud documents, cloud conferences, cloud platforms, industrial clouds, cloud synchronization.
Blockchain technologymobile payment, third-party payment, fingerprint payment, Apple Pay, Air Play, apple pencil, Apple Watch, digital currency, open banking, keys, CNC, digital space, hybrid reality, unmanned shelves, integration.
Table 2. Variable Definition Table.
Table 2. Variable Definition Table.
Variable TypeVariable SymbolsVariable NameMeasurement Method
Dependent variableDITDigital-intelligence transformationAnnual reports
Core explanatory variableTreat × PostBig data comprehensive zone1 for companies in the experimental zone, and 0 for companies in the nonexperimental zone
Control variablesLevAsset liability ratioLiabilities/Total Assets
SizeCompany scaleThe logarithmic value of total assets
TangCapital intensityNet value of fixed assets of the company/average number of employees of the company
AgeCompany ageCurrent year − year of business opening + 1 logarithm
GrowthCompany growth potentialMarket value/asset replacement cost
CooEquity concentrationTotal shareholding ratio of the top 10 shareholders
DualIntegration of two positions1 for a dual-role company, and 0 otherwise
MfrManagement expense rateManagement expenses/business income
Mediating variablesGreen innovation ecosystemSubGovernment subsidiesCompany government subsidy amount/total assets
SgiSustainability of green innovationComparison of before and after green patent applications
GilGreen innovation levelNumber of applications for green patents
Table 3. Descriptive Analysis Results.
Table 3. Descriptive Analysis Results.
VariablesObservationMinimum ValueMaximum ValueMean ValueStandard Value
treat66040.0001.0000.3800.485
post66040.0001.0000.5400.498
DIT66040.0004.4071.1481.214
lev66040.0560.8280.4330.189
size660420.1926.4122.461.273
tang660410.5714.9212.660.865
age66042.7733.6383.2580.189
tbQ66040.8898.1702.1101.273
coo66040.2220.9180.5400.151
dual66040.0001.0000.2400.427
mfr66040.0120.2510.0770.047
Table 4. Benchmark Regression Analysis Results.
Table 4. Benchmark Regression Analysis Results.
(1)(2)(3)(4)
Model 1Model 2Model 3Model 4
treatpost0.311 ***0.319 ***0.287 ***0.277 ***
(5.58)(4.73)(5.70)(4.23)
Lev 0.1230.050
(1.55)(0.29)
Size 0.242 ***0.262 ***
(15.56)(5.30)
Tang −0.401 ***−0.169 ***
(−26.23)(−4.28)
Age −0.646 ***−6.532 ***
(−9.59)(−10.61)
TbQ 0.035 ***0.051 ***
(3.27)(3.97)
Coo −0.595 ***−0.398 *
(−6.84)(−1.69)
Dual 0.181 ***0.035
(6.24)(0.74)
Mfr 0.316−0.136
(1.07)(−0.26)
_cons0.559 ***0.617 ***−0.4297.081 **
(22.14)(33.37)(−0.93)(2.45)
Industry FENoYesNoYes
Year FENoYesNoYes
N6604660466046604
R20.1830.3530.3360.429
***, **, and * indicate significance at the 1%, 5%, and 10% statistical levels, respectively.
Table 5. SDID method test results.
Table 5. SDID method test results.
Knife Cutting MethodBootstrap Method
ATTT ValueATTT Value
treatpost0.318 ***4.140.318 ***5.03
N65006500
*** indicate significance at the 1% statistical levels.
Table 6. PSM results results.
Table 6. PSM results results.
VariablesMean ValueReductt-Test
TreatControlBias (%)|Bias| (%)T Value p > |T|
LevUnmatched0.4330.433−0.2 −0.090.926
Matched0.4330.4320.3−11.40.090.927
SizeUnmatched22.66922.34124.4 9.930.000
Matched22.66922.634 2.788.90.920.359
TangUnmatched12.58612.703−13.2 −5.240.000
Matched12.58212.5325.657.41.990.046
AgeUnmatched3.2593.260−0.3 −0.110.915
Matched3.2583.2570.7−173.70.260.795
TbQUnmatched2.1882.0106.2 2.470.013
Matched2.1892.254−4.626.5−1.470.141
CooUnmatched0.5530.53213.3 5.290.000
Matched0.5530.5530.497.10.140.890
DualUnmatched0.2670.22410.1 4.010.000
Matched0.2670.274−1.585.3−0.510.611
Table 7. Results of robustness test analysis.
Table 7. Results of robustness test analysis.
(1)(2)(3)(4)(5)
PSM-DIDSingle-Term DIDControl Synchronization StrategyChange Sample Time IntervalAdjusting Sample Size
Treat*post0.318 ***0.322 ***0.315 ***0.298 ***0.329 ***
(4.15)(4.62)(4.57)(4.45)(3.95)
_cons−5.961 ***17.599 ***18.604 ***−7.325 ***17.691 ***
(−5.10)(7.10)(7.43)(−6.91)(6.65)
ControlYESYESYESYESYES
Industry FEYESYESYESYESYSE
Year FEYESYESYESYESYSE
N32706500660455885476
R20.4060.4000.4010.3710.378
*** indicate significance at the 1% statistical levels.
Table 8. The estimation results for different financial market environment.
Table 8. The estimation results for different financial market environment.
(1)
Developed Financial Markets
(2)
Underdeveloped Financial Markets
Treat*post0.306 ***0.453 **
(4.15)(2.35)
_cons17.793 ***−7.870 ***
(6.78)(−3.04)
ControlYESYES
Industry FEYESYES
Year FEYESYES
N5917687
R20.4070.360
*** and ** indicate significance at the 1%, and 5% statistical levels, respectively.
Table 9. Based on the heterogeneity test results of property rights and executive shareholding ratios.
Table 9. Based on the heterogeneity test results of property rights and executive shareholding ratios.
(1)
State Owned
(2)
Non-State-Owned
(3)
Low Shareholding Ratio of Executives
(4)
High Shareholding Ratio of Executives
Treat*post0.428 **0.276 ***0.201 **0.427 ***
(2.60)(3.69)(2.02)(4.54)
_cons10.996 **−6.241 ***14.921 ***−6.655 ***
(2.11)(−5.32)(4.77)(−4.56)
ControlYESYESYESYES
Industry FEYESYESYESYES
Year FEYESYESYESYES
N1430517433413263
R20.4440.3910.4270.373
*** and ** indicate significance at the 1%, and 5% statistical levels, respectively.
Table 10. Mechanism verification analysis results.
Table 10. Mechanism verification analysis results.
VariablesSubDITSgi DITGilDIT
(1)(2)(3)(4)(5)(6)
DID0.039 ***0.948 ***31.293 ***0.913 ***13.789 ***0.928 ***
(3.08)(26.58)(9.03)(25.29)(9.59)(25.87)
Sub 0.794 **
(0.54)
Sgi 0.001 ***
(5.51)
Gil 0.001 ***
(4.78)
ControlYESYESYESYESYESYES
Industry FEYESYESYESYESYESYES
Year FEYESYESYESYESYESYES
N660466046604660466046604
R20.3570.3090.5420.5380.3950.490
*** and ** indicate significance at the 1%, and 5% statistical levels, respectively.
Disclaimer/Publisher’s Note: The statements, opinions and data contained in all publications are solely those of the individual author(s) and contributor(s) and not of MDPI and/or the editor(s). MDPI and/or the editor(s) disclaim responsibility for any injury to people or property resulting from any ideas, methods, instructions or products referred to in the content.

Share and Cite

MDPI and ACS Style

Tan, X.; Jiao, J.; Jiang, M.; Chen, M.; Wang, W.; Sun, Y. Digital Policy, Green Innovation, and Digital-Intelligent Transformation of Companies. Sustainability 2024, 16, 6760. https://doi.org/10.3390/su16166760

AMA Style

Tan X, Jiao J, Jiang M, Chen M, Wang W, Sun Y. Digital Policy, Green Innovation, and Digital-Intelligent Transformation of Companies. Sustainability. 2024; 16(16):6760. https://doi.org/10.3390/su16166760

Chicago/Turabian Style

Tan, Xin, Jinfang Jiao, Ming Jiang, Ming Chen, Wenpeng Wang, and Yijun Sun. 2024. "Digital Policy, Green Innovation, and Digital-Intelligent Transformation of Companies" Sustainability 16, no. 16: 6760. https://doi.org/10.3390/su16166760

APA Style

Tan, X., Jiao, J., Jiang, M., Chen, M., Wang, W., & Sun, Y. (2024). Digital Policy, Green Innovation, and Digital-Intelligent Transformation of Companies. Sustainability, 16(16), 6760. https://doi.org/10.3390/su16166760

Note that from the first issue of 2016, this journal uses article numbers instead of page numbers. See further details here.

Article Metrics

Back to TopTop