Evolution and Projection of Carbon Storage in Important Ecological Functional Areas of the Minjiang River Basin, 1985–2050
Abstract
1. Introduction
2. Materials and Methods
2.1. Study Area
2.2. Data Sources and Preprocessing
2.3. Methods
2.3.1. LULC Analysis and Prediction Methods
2.3.2. LULC Dynamic Degree
2.3.3. LandScape Pattern Index
2.3.4. Spatial Heterogeneity Analysis
2.3.5. Sustainable Development Scenario Setting
2.3.6. Carbon Storage Estimation Method
2.3.7. Modified Coupled Coordination Degree Models
3. Results
3.1. Model Accuracy Verification
3.2. MJRB LULC Changed in 1985–2000
3.2.1. Spatial and Temporal Changes in LULC
3.2.2. LULC Types Transfer
3.2.3. Land Use Dynamic Degree
3.2.4. LULC Type Spatiotemporal Divergence Drivers
3.3. MJRB Multi-Scenario LULC Simulation from 2020 to 2050
3.4. Characteristics of Ecological Landscape Pattern Changes
3.4.1. Characterization of Spatial and Temporal Variations in LERI
3.4.2. LERI Spatial Autocorrelation Analysis
3.5. CS Change from 1985 to 2050
3.5.1. CS Change in MJRB from 1985 to 2020
3.5.2. MJRB CS Changes from 2020 to 2050
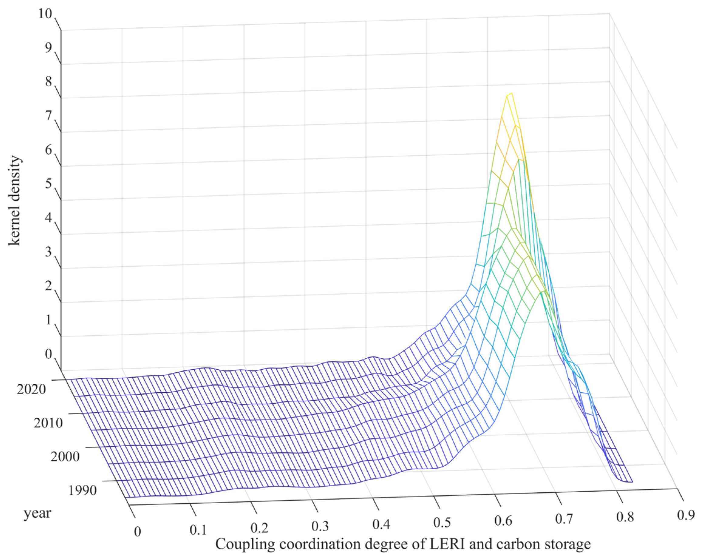
3.6. Degree of Harmonization of LERI and Carbon Storage Coupling
4. Discussion
4.1. Impacts of LULC Changes on CS
4.1.1. Analysis of LULC Changes
4.1.2. CS Response Changes Caused by LULC Dynamics
4.2. Impact of LERI on Carbon Storage
4.3. Limitations and Future Work
5. Conclusions
Supplementary Materials
Author Contributions
Funding
Institutional Review Board Statement
Informed Consent Statement
Data Availability Statement
Conflicts of Interest
Abbreviations
| LULC | Land use/land cover; |
| MJRB | Minjiang River Basin; |
| NDS | Natural Development Scenario; |
| EPS | Ecological Preservation Scenario; |
| FPS | Farmland Preservation Scenario; |
| UCS | Urban Construction Scenario; |
| CS | Carbon Storage; |
| InVEST | Integrated Valuation of Ecosystem Services and Tradeoffs; |
| PLUS | Patch-generating Land-Use Simulation Model; |
| LER(I) | Landscape Ecological Risk (Index); |
| LEAS | Land Expansion Analysis Strategy; |
| CARS | Cellular Automata model based on the multi-type Random Seeds mechanism. |
References
- Chen, C.; Lui, H.; Hsieh, C.; Yanagi, T.; Kosugi, N.; Ishii, M.; Gong, G. Deep oceans may acidify faster than anticipated due to global warming. Nat. Clim. Chang. 2017, 7, 890–894. [Google Scholar] [CrossRef]
- Samset, B.H.; Zhou, C.; Fuglestvedt, J.S.; Lund, M.T.; Marotzke, J.; Zelinka, M.D. Steady global surface warming from 1973 to 2022 but increased warming rate after 1990. Commun. Earth Environ. 2023, 4, 400. [Google Scholar] [CrossRef]
- Crowther, T.W.; Todd-Brown, K.E.O.; Rowe, C.W.; Wieder, W.R.; Carey, J.C.; Machmuller, M.B.; Snoek, B.L.; Fang, S.; Zhou, G.; Allison, S.D.; et al. Quantifying global soil carbon losses in response to warming. Nature 2016, 540, 104–108. [Google Scholar] [CrossRef]
- Doetterl, S.; Stevens, A.; Six, J.; Merckx, R.; Van Oost, K.; Casanova Pinto, M.; Casanova-Katny, A.; Munoz, C.; Boudin, M.; Zagal Venegas, E.; et al. Soil carbon storage controlled by interactions between geochemistry and climate. Nat. Geosci. 2015, 8, 780–783. [Google Scholar] [CrossRef]
- He, C.; Zhang, D.; Huang, Q.; Zhao, Y. Assessing the potential impacts of urban expansion on regional carbon storage by linking the LUSD-urban and InVEST models. Environ. Model. Softw. 2016, 75, 44–58. [Google Scholar] [CrossRef]
- Mengist, W.; Soromessa, T.; Feyisa, G.L. Responses of carbon sequestration service for landscape dynamics in the Kaffa biosphere reserve, southwest Ethiopia. Environ. Impact Assess. Rev. 2023, 98, 106960. [Google Scholar] [CrossRef]
- Liu, Q.; Yang, D.; Cao, L.; Anderson, B. Assessment and Prediction of Carbon Storage Based on Land Use/Land Cover Dynamics in the Tropics: A Case Study of Hainan Island, China. Land 2022, 11, 244. [Google Scholar] [CrossRef]
- Chowdhury, P.K.R.; Brown, D.G. Modeling the effects of carbon payments and forest owner cooperatives on carbon storage and revenue in Pacific Northwest forestlands. Land Use Policy 2023, 131, 106725. [Google Scholar] [CrossRef]
- Stewart, A.J.; Halabisky, M.; Babcock, C.; Butman, D.E.; D’Amore, D.V.; Moskal, L.M. Revealing the hidden carbon in forested wetland soils. Nat. Commun. 2024, 15, 726. [Google Scholar] [CrossRef]
- Xia, L.; Lam, S.K.; Wolf, B.; Kiese, R.; Chen, D.; Butterbach-Bahl, K. Trade-offs between soil carbon sequestration and reactive nitrogen losses under straw return in global agroecosystems. Glob. Chang. Biol. 2018, 24, 5919–5932. [Google Scholar] [CrossRef]
- Ariluoma, M.; Ottelin, J.; Hautamäki, R.; Tuhkanen, E.-M.; Mänttäri, M. Carbon sequestration and storage potential of urban green in residential yards: A case study from Helsinki. Urban For. Urban Green. 2021, 57, 126939. [Google Scholar] [CrossRef]
- Xu, D.; Sun, H.; Wang, J.; Wang, N.; Zuo, Y.; Mosa, A.A.; Yin, X. Global trends and current advances regarding greenhouse gases in constructed wetlands: A bibliometric-based quantitative review over the last 40 years. Ecol. Eng. 2023, 193, 107018. [Google Scholar] [CrossRef]
- Houghton, R.A.; Skole, D.L.; Nobre, C.A.; Hackler, J.L.; Lawrence, K.T.; Chomentowski, W.H. Annual fluxes of carbon from deforestation and regrowth in the Brazilian Amazon. Nature 2000, 403, 301–304. [Google Scholar] [CrossRef]
- Levy, P.E.; Friend, A.D.; White, A.; Cannell, M.G.R. The Influence of Land Use Change On Global-Scale Fluxes of Carbon from Terrestrial Ecosystems. Clim. Chang. 2004, 67, 185–209. [Google Scholar] [CrossRef]
- Li, Y.; Cao, Z.; Long, H.; Liu, Y.; Li, W. Dynamic analysis of ecological environment combined with land cover and NDVI changes and implications for sustainable urban–rural development: The case of Mu Us Sandy Land, China. J. Clean. Prod. 2017, 142, 697–715. [Google Scholar] [CrossRef]
- Wang, C.; Jiang, Q.; Shao, Y.; Sun, S.; Xiao, L.; Guo, J. Ecological environment assessment based on land use simulation: A case study in the Heihe River Basin. Sci. Total Environ. 2019, 697, 133928. [Google Scholar] [CrossRef] [PubMed]
- Kuittinen, M.; Moinel, C.; Adalgeirsdottir, K. Carbon sequestration through urban ecosystem services: A case study from Finland. Sci. Total Environ. 2016, 563–564, 623–632. [Google Scholar] [CrossRef]
- Yang, D.; Zhu, C.; Li, J.; Li, Y.; Zhang, X.; Yang, C.; Chu, S. Exploring the supply and demand imbalance of carbon and carbon-related ecosystem services for dual-carbon goal ecological management in the Huaihe River Ecological Economic Belt. Sci. Total Environ. 2024, 912, 169169. [Google Scholar] [CrossRef]
- Waleed, M.; Sajjad, M.; Shazil, M.S. Urbanization-led land cover change impacts terrestrial carbon storage capacity: A high-resolution remote sensing-based nation-wide assessment in Pakistan (1990–2020). Environ. Impact Assess. Rev. 2024, 105, 107396. [Google Scholar] [CrossRef]
- Liang, X.; Guan, Q.; Clarke, K.C.; Liu, S.; Wang, B.; Yao, Y. Understanding the drivers of sustainable land expansion using a patch-generating land use simulation (PLUS) model: A case study in Wuhan, China. Comput. Environ. Urban Syst. 2021, 85, 101569. [Google Scholar] [CrossRef]
- Nichols, J.E.; Peteet, D.M. Rapid expansion of northern peatlands and doubled estimate of carbon storage. Nat. Geosci. 2019, 12, 917–921. [Google Scholar] [CrossRef]
- De Vos, B.; Cools, N.; Ilvesniemi, H.; Vesterdal, L.; Vanguelova, E.; Carnicelli, S. Benchmark values for forest soil carbon stocks in Europe: Results from a large scale forest soil survey. Geoderma 2015, 251–252, 33–46. [Google Scholar] [CrossRef]
- Wu, F.; Wang, Z. Assessing the impact of urban land expansion on ecosystem carbon storage: A case study of the Changzhutan metropolitan area, China. Ecol. Indic. 2023, 154, 110688. [Google Scholar] [CrossRef]
- Gao, L.; Tao, F.; Liu, R.; Wang, Z.; Leng, H.; Zhou, T. Multi-scenario simulation and ecological risk analysis of land use based on the PLUS model: A case study of Nanjing. Sustain. Cities Soc. 2022, 85, 104055. [Google Scholar] [CrossRef]
- Wang, Z.; Zeng, J.; Chen, W. Impact of urban expansion on carbon storage under multi-scenario simulations in Wuhan, China. Environ. Sci. Pollut. Res. 2022, 29, 45507–45526. [Google Scholar] [CrossRef] [PubMed]
- Halmy, M.W.A.; Gessler, P.E.; Hicke, J.A.; Salem, B.B. Land use/land cover change detection and prediction in the north-western coastal desert of Egypt using Markov-CA. Appl. Geogr. 2015, 63, 101–112. [Google Scholar] [CrossRef]
- Cao, M.; Tian, Y.; Wu, K.; Chen, M.; Chen, Y.; Hu, X.; Sun, Z.; Zuo, L.; Lin, J.; Luo, L.; et al. Future land-use change and its impact on terrestrial ecosystem carbon pool evolution along the Silk Road under SDG scenarios. Sci. Bull. 2023, 68, 740–749. [Google Scholar] [CrossRef]
- Zhao, M.; He, Z.; Du, J.; Chen, L.; Lin, P.; Fang, S. Assessing the effects of ecological engineering on carbon storage by linking the CA-Markov and InVEST models. Ecol. Indic. 2019, 98, 29–38. [Google Scholar] [CrossRef]
- Gao, Z.; Liu, J.; Cao, M.; Li, K.; Tao, B. Impacts of land-use and climate changes on ecosystem productivity and carbon cycle in the cropping-grazing transitional zone in China. Sci. China Ser. D Earth Sci. 2005, 48, 1479–1491. [Google Scholar] [CrossRef]
- Liu, X.; Li, S.; Wang, S.; Bian, Z.; Zhou, W.; Wang, C. Effects of farmland landscape pattern on spatial distribution of soil organic carbon in Lower Liaohe Plain of northeastern China. Ecol. Indic. 2022, 145, 109652. [Google Scholar] [CrossRef]
- Shi, N.; Yu, Y.; Liang, S.; Ren, Y.; Liu, M. Effects of urban green spaces landscape pattern on carbon sink among urban ecological function areas at the appropriate scale: A case study in Xi’an. Ecol. Indic. 2024, 158, 111427. [Google Scholar] [CrossRef]
- Jiang, Y.; Ouyang, B.; Yan, Z. The Response of Carbon Storage to Multi-Objective Land Use/Cover Spatial Optimization and Vulnerability Assessment. Sustainability 2024, 16, 2235. [Google Scholar] [CrossRef]
- Shu, H.; Xiong, P.-P. Reallocation planning of urban industrial land for structure optimization and emission reduction: A practical analysis of urban agglomeration in China’s Yangtze River Delta. Land Use Policy 2019, 81, 604–623. [Google Scholar] [CrossRef]
- Shi, K.; Xu, T.; Li, Y.; Chen, Z.; Gong, W.; Wu, J.; Yu, B. Effects of urban forms on CO2 emissions in China from a multi-perspective analysis. J. Environ. Manag. 2020, 262, 110300. [Google Scholar] [CrossRef] [PubMed]
- Cui, L.; Zhao, Y.; Liu, J.; Han, L.; Ao, Y.; Yin, S. Landscape ecological risk assessment in Qinling Mountain. Geol. J. 2018, 53, 342–351. [Google Scholar] [CrossRef]
- Qu, C.; Li, W.; Xu, J.; Shi, S. Blackland Conservation and Utilization, Carbon Storage and Ecological Risk in Green Space: A Case Study from Heilongjiang Province in China. Int. J. Environ. Res. Public Health 2023, 20, 3154. [Google Scholar] [CrossRef] [PubMed]
- Zhang, J.; Zhang, P.; Wang, R.; Liu, Y.; Lu, S. Identifying the coupling coordination relationship between urbanization and forest ecological security and its impact mechanism: Case study of the Yangtze River Economic Belt, China. J. Environ. Manag. 2023, 342, 118327. [Google Scholar] [CrossRef] [PubMed]
- Pan, Z.; Gao, G.; Fu, B. Spatiotemporal changes and driving forces of ecosystem vulnerability in the Yangtze River Basin, China: Quantification using habitat-structure-function framework. Sci. Total Environ. 2022, 835, 155494. [Google Scholar] [CrossRef]
- Zhang, S.; Yang, P.; Xia, J.; Qi, K.; Wang, W.; Cai, W.; Chen, N. Research and Analysis of Ecological Environment Quality in the Middle Reaches of the Yangtze River Basin between 2000 and 2019. Remote Sens. 2021, 13, 4475. [Google Scholar] [CrossRef]
- Yang, J.; Huang, X. The 30 m annual land cover dataset and its dynamics in China from 1990 to 2019. Earth Syst. Sci. Data 2021, 13, 3907–3925. [Google Scholar] [CrossRef]
- Huang, D.; Huang, J.; Liu, T. Delimiting urban growth boundaries using the CLUE-S model with village administrative boundaries. Land Use Policy 2019, 82, 422–435. [Google Scholar] [CrossRef]
- Li, L.; Huang, X.; Yang, H. A new framework for identifying ecological conservation and restoration areas to enhance carbon storage. Ecol. Indic. 2023, 154, 110523. [Google Scholar] [CrossRef]
- Lin, W.; Sun, Y.; Nijhuis, S.; Wang, Z. Scenario-based flood risk assessment for urbanizing deltas using future land-use simulation (FLUS): Guangzhou Metropolitan Area as a case study. Sci. Total Environ. 2020, 739, 139899. [Google Scholar] [CrossRef] [PubMed]
- Perica, S.; Foufoula Georgiou, E. Model for multiscale disaggregation of spatial rainfall based on coupling meteorological and scaling descriptions. J. Geophys. Res. Atmos. 1996, 101, 26347–26361. [Google Scholar] [CrossRef]
- Pontius, R.G.; Boersma, W.; Castella, J.-C.; Clarke, K.; de Nijs, T.; Dietzel, C.; Duan, Z.; Fotsing, E.; Goldstein, N.; Kok, K.; et al. Comparing the input, output, and validation maps for several models of land change. Ann. Reg. Sci. 2008, 42, 11–37. [Google Scholar] [CrossRef]
- Huang, C.; Zhao, D.; Deng, L. Landscape pattern simulation for ecosystem service value regulation of Three Gorges Reservoir Area, China. Environ. Impact Assess. Rev. 2022, 95, 106798. [Google Scholar] [CrossRef]
- Zhang, Z.; Gong, J.; Plaza, A.; Yang, J.; Li, J.; Tao, X.; Wu, Z.; Li, S. Long-term assessment of ecological risk dynamics in Wuhan, China: Multi-perspective spatiotemporal variation analysis. Environ. Impact Assess. Rev. 2024, 105, 107372. [Google Scholar] [CrossRef]
- Zhang, W.; Chang, W.J.; Zhu, Z.C.; Hui, Z. Landscape ecological risk assessment of Chinese coastal cities based on land use change. Appl. Geogr. 2020, 117, 102174. [Google Scholar] [CrossRef]
- Wang, J.; Zhang, T.; Fu, B. A measure of spatial stratified heterogeneity. Ecol. Indic. 2016, 67, 250–256. [Google Scholar] [CrossRef]
- Jin, F.; Lee, L. On the bootstrap for Moran’s I test for spatial dependence. J. Econom. 2015, 184, 295–314. [Google Scholar] [CrossRef]
- Lai, L.; Huang, X.; Yang, H.; Chuai, X.; Zhang, M.; Zhong, T.; Chen, Z.; Chen, Y.; Wang, X.; Thompson, J.R. Carbon emissions from land-use change and management in China between 1990 and 2010. Sci. Adv. 2016, 2, e1601063. [Google Scholar] [CrossRef]
- Zhou, J.; Zhao, Y.; Huang, P.; Zhao, X.; Feng, W.; Li, Q.; Xue, D.; Dou, J.; Shi, W.; Wei, W.; et al. Impacts of ecological restoration projects on the ecosystem carbon storage of inland river basin in arid area, China. Ecol. Indic. 2020, 118, 106803. [Google Scholar] [CrossRef]
- Giardina, C.P.; Ryan, M.G. Evidence that decomposition rates of organic carbon in mineral soil do not vary with temperature. Nature 2000, 404, 858–861. [Google Scholar] [CrossRef]
- Raich, J.W.; Nadelhoffer, K.J. Belowground Carbon Allocation in Forest Ecosystems: Global Trends. Ecology 1989, 70, 1346–1354. [Google Scholar] [CrossRef]
- Alam, S.A.; Starr, M.; Clark, B.J.F. Tree biomass and soil organic carbon densities across the Sudanese woodland savannah: A regional carbon sequestration study. J. Arid. Environ. 2013, 89, 67–76. [Google Scholar] [CrossRef]
- Wang, S.; Kong, W.; Ren, L.; Zhi, D.; Dai, B. Research on misuses and modification of coupling coordination degree model in China. J. Nat. Resour. 2021, 36, 793–810. [Google Scholar] [CrossRef]
- Da Cunha, E.; Walter, F.; Smail, I.; Swinbank, A.; Simpson, J.; Decarli, R.; Hodge, J.; Weiss, A.; van der Werf, P.; Bertoldi, F.; et al. An alma survey of sub-millimeter galaxies in the extended chandra deep field south: Physical properties derived from ultraviolet-to-radio modeling. Astrophys. J. 2015, 806, 110. [Google Scholar] [CrossRef]
- Mansour, S.; Al-Belushi, M.; Al-Awadhi, T. Monitoring land use and land cover changes in the mountainous cities of Oman using GIS and CA-Markov modelling techniques. Land Use Policy 2020, 91, 104414. [Google Scholar] [CrossRef]
- Han, J.; Hu, Z.; Wang, P.; Yan, Z.; Li, G.; Zhang, Y.; Zhou, T. Spatio-temporal evolution and optimization analysis of ecosystem service value—A case study of coal resource-based city group in Shandong, China. J. Clean. Prod. 2022, 363, 132602. [Google Scholar] [CrossRef]
- Wang, Q.; Guan, Q.; Sun, Y.; Du, Q.; Xiao, X.; Luo, H.; Zhang, J.; Mi, J. Simulation of future land use/cover change (LUCC) in typical watersheds of arid regions under multiple scenarios. J. Environ. Manag. 2023, 335, 117543. [Google Scholar] [CrossRef]
- Wang, Z.; Ou, L.; Chen, M. Evolution characteristics, drivers and trends of rural residential land in mountainous economic circle: A case study of Chengdu-Chongqing area, China. Ecol. Indic. 2023, 154, 110585. [Google Scholar] [CrossRef]
- Li, W.; Xiang, M.; Duan, L.; Liu, Y.; Yang, X.; Mei, H.; Wei, Y.; Zhang, J.; Deng, L. Simulation of land utilization change and ecosystem service value evolution in Tibetan area of Sichuan Province. Alex. Eng. J. 2023, 70, 13–23. [Google Scholar] [CrossRef]
- Li, Q.; Shi, X.; Wu, Q. Effects of protection and restoration on reducing ecological vulnerability. Sci. Total Environ. 2021, 761, 143180. [Google Scholar] [CrossRef]
- Troupin, D.; Carmel, Y. Landscape patterns of development under two alternative scenarios: Implications for conservation. Land Use Policy 2016, 54, 221–234. [Google Scholar] [CrossRef]
- Carter Berry, Z.; Jones, K.W.; Gomez Aguilar, L.R.; Congalton, R.G.; Holwerda, F.; Kolka, R.; Looker, N.; Lopez Ramirez, S.M.; Manson, R.; Mayer, A.; et al. Evaluating ecosystem service trade-offs along a land-use intensification gradient in central Veracruz, Mexico. Ecosyst. Serv. 2020, 45, 101181. [Google Scholar] [CrossRef]
- Sahle, M.; Saito, O.; Fürst, C.; Yeshitela, K. Quantification and mapping of the supply of and demand for carbon storage and sequestration service in woody biomass and soil to mitigate climate change in the socio-ecological environment. Sci. Total Environ. 2018, 624, 342–354. [Google Scholar] [CrossRef]
- Koh, N.S.; Hahn, T.; Ituarte-Lima, C. Safeguards for enhancing ecological compensation in Sweden. Land Use Policy 2017, 64, 186–199. [Google Scholar] [CrossRef]
- Zhu, L.; Song, R.; Sun, S.; Li, Y.; Hu, K. Land use/land cover change and its impact on ecosystem carbon storage in coastal areas of China from 1980 to 2050. Ecol. Indic. 2022, 142, 109178. [Google Scholar] [CrossRef]
- Fang, J.; Liu, G.; Xu, S. Biomass and net production of forest vegetation in China. Acta Ecol. Sin. 1996, 16, 497. [Google Scholar]
- Li, K.; Wang, S.; Cao, M. Vegetation and soil carbon storage in China. Sci. China (Earth Sci.) 2004, 47, 49–57. [Google Scholar] [CrossRef]
- Xie, X.; Sun, B.; Zhou, H. Estimation and spatial distribution of soil organic carbon density and storage in China. Acta Pedol. Sin. 2004, 41, 35–43. [Google Scholar]
- Zhang, G.; Liu, S.; Zhang, Y.; Miao, N.; Wang, H. Aboveground biomass dynamics of subalpine old-growth forest in the upper reach of the Minjiang River. Acta Ecol. Sin. 2008, 28, 3176–3184. [Google Scholar] [CrossRef]
- Xu, L.; Yu, G.; He, N.; Wang, Q.; Gao, Y.; Wen, D.; Li, S.; Niu, S.; Ge, J. Carbon storage in China’s terrestrial ecosystems: A synthesis. Sci. Rep. 2018, 8, 2806. [Google Scholar] [CrossRef]
- Xu, L.; He, N.; Yu, G. A Dataset of Carbon Density in Chinese Terrestrial Ecosystems (2010s). 2018. Available online: https://www.scidb.cn/en/detail?dataSetId=633694461066477570 (accessed on 22 June 2024).














| Type | Impact Factor | Code | Classification |
|---|---|---|---|
| Topographic and climatic data | DEM | X1 | 5 |
| Slop | X2 | 5 | |
| Precipitation | X3 | 5 | |
| Temperature | X4 | 5 | |
| Socioeconomic data | Population | X5 | 5 |
| GDP | X6 | 5 | |
| River | X7 | 5 | |
| Railway | X8 | 5 | |
| Highway | X9 | 5 | |
| Roads | X10 | 5 |
| LULC Type | Cabove | Cbelow | Csoil |
|---|---|---|---|
| Farmland | 19.41 | 229.33 | 122.61 |
| Forest | 135.71 | 329.36 | 73.09 |
| Grassland | 100.31 | 245.81 | 113.00 |
| Water | 8.53 | 0.00 | 0.00 |
| Artificial surface | 7.10 | 0.00 | 0.00 |
| Unused land | 3.69 | 0.00 | 17.76 |
| Factors | T1 | T2 | T3 | T4 | T5 | T6 | T7 | T1–T3 | T3–T5 | T5–T7 | |||
|---|---|---|---|---|---|---|---|---|---|---|---|---|---|
| q Statistic | Difference Variation | ||||||||||||
| X1 | 0.014 | 0.202 | 0.24 | 0.232 | 0.252 | 0.274 | 0.284 | 0.226 | ↑ | 0.012 | ↑ | 0.032 | ↑ |
| X2 | 0.038 | 0.016 | 0.016 | 0.019 | 0.02 | 0.024 | 0.028 | −0.022 | ↓ | 0.004 | ↑ | 0.008 | ↑ |
| X3 | 0.036 | 0.225 | 0.228 | 0.202 | 0.232 | 0.255 | 0.255 | 0.192 | ↑ | 0.004 | ↑ | 0.023 | ↑ |
| X4 | 0.014 | 0.199 | 0.247 | 0.238 | 0.248 | 0.273 | 0.289 | 0.233 | ↑ | 0.001 | ↑ | 0.041 | ↑ |
| X5 | 0.019 | 0.062 | 0.085 | 0.091 | 0.106 | 0.122 | 0.12 | 0.066 | ↑ | 0.021 | ↑ | 0.014 | ↑ |
| X6 | 0.028 | 0.049 | 0.065 | 0.07 | 0.086 | 0.112 | 0.088 | 0.037 | ↑ | 0.021 | ↑ | 0.002 | ↑ |
| X7 | 0.014 | 0.024 | 0.031 | 0.024 | 0.038 | 0.046 | 0.026 | 0.017 | ↑ | 0.007 | ↑ | −0.012 | ↓ |
| X8 | 0.042 | 0.156 | 0.168 | 0.157 | 0.196 | 0.209 | 0.191 | 0.126 | ↑ | 0.028 | ↑ | −0.005 | ↓ |
| X9 | 0.03 | 0.13 | 0.146 | 0.127 | 0.164 | 0.181 | 0.163 | 0.116 | ↑ | 0.018 | ↑ | −0.001 | ↓ |
| X10 | 0.036 | 0.137 | 0.161 | 0.138 | 0.18 | 0.196 | 0.177 | 0.125 | ↑ | 0.019 | ↑ | −0.003 | ↓ |
Disclaimer/Publisher’s Note: The statements, opinions and data contained in all publications are solely those of the individual author(s) and contributor(s) and not of MDPI and/or the editor(s). MDPI and/or the editor(s) disclaim responsibility for any injury to people or property resulting from any ideas, methods, instructions or products referred to in the content. |
© 2024 by the authors. Licensee MDPI, Basel, Switzerland. This article is an open access article distributed under the terms and conditions of the Creative Commons Attribution (CC BY) license (https://creativecommons.org/licenses/by/4.0/).
Share and Cite
Huang, X.; Liu, X.; Chen, Y.; Jin, Y.; Gao, X.; Abbasi, R. Evolution and Projection of Carbon Storage in Important Ecological Functional Areas of the Minjiang River Basin, 1985–2050. Sustainability 2024, 16, 6552. https://doi.org/10.3390/su16156552
Huang X, Liu X, Chen Y, Jin Y, Gao X, Abbasi R. Evolution and Projection of Carbon Storage in Important Ecological Functional Areas of the Minjiang River Basin, 1985–2050. Sustainability. 2024; 16(15):6552. https://doi.org/10.3390/su16156552
Chicago/Turabian StyleHuang, Xiaobin, Xiaosheng Liu, Youliang Chen, Yuanhang Jin, Xue Gao, and Raihana Abbasi. 2024. "Evolution and Projection of Carbon Storage in Important Ecological Functional Areas of the Minjiang River Basin, 1985–2050" Sustainability 16, no. 15: 6552. https://doi.org/10.3390/su16156552
APA StyleHuang, X., Liu, X., Chen, Y., Jin, Y., Gao, X., & Abbasi, R. (2024). Evolution and Projection of Carbon Storage in Important Ecological Functional Areas of the Minjiang River Basin, 1985–2050. Sustainability, 16(15), 6552. https://doi.org/10.3390/su16156552

