How to Choose Recycling Mode between Monopoly and Competition by Considering Blockchain Technology?
Abstract
1. Introduction
- (1)
- How does BT adoption affect CLSC firms’ decisions regarding pricing and recycling rate? What is the optimal BT adoption strategy?
- (2)
- How do enterprises choose between monopolistic and competitive recycling modes by considering BT? What is the optimal recycling mode in the CLSC?
- (3)
- What is the effect of BT adoption and recycling mode selection on the performances of CLSC? Do enterprises have a consistent choice, and how does this choice affect consumers and society?
2. Literature Review
2.1. Recycling Modes in CLSCs
2.2. BT Adoption in Supply Chains
3. Problem Description and Model Assumptions
4. Model
4.1. Model N
4.2. Model B
4.3. Model CN
4.4. Model CB
5. Equilibrium Results Analysis
5.1. Sensitivity Analysis
5.2. Comparison Analysis
5.3. Choice of CLSC Members
- (1)
- If , then (); otherwise, ().
- (2)
- If , then (); otherwise, ().
- (1)
- If , then ; otherwise, .
- (2)
- If and or , and , then ; otherwise, .
- (3)
- If , then , ; otherwise, , .
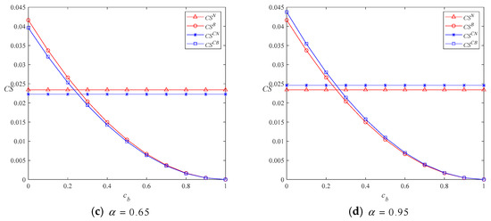
6. Impact of BT and Recycling Mode on Consumers, the Environment and Society
7. Conclusions
7.1. Main Findings
7.2. Managerial Implications
7.3. Limitations and Future Research
Author Contributions
Funding
Institutional Review Board Statement
Informed Consent Statement
Data Availability Statement
Conflicts of Interest
Appendix A
Appendix B
Appendix C
Appendix D
Appendix E
Appendix F
Appendix G
Appendix H
Appendix I
Appendix J
References
- Ranjbar, Y.; Sahebi, H.; Ashayeri, J.; Teymouri, A. A competitive dual recycling channel in a three-level closed loop supply chain under different power structures: Pricing and collecting decisions. J. Clean. Prod. 2020, 272, 122623. [Google Scholar] [CrossRef]
- Xuan, V.N.; Hoa, P.X.; Thu, N.T.P.; Huong, L.M. Factors affecting environmental pollution for green economy: The case of ASEAN countries. Environ. Chall. 2024, 14, 100827. [Google Scholar] [CrossRef]
- IEA. The 2023 Global Carbon Emissions Report. Available online: https://www.sohu.com/a/762199347_121123868 (accessed on 6 March 2024).
- Moussa, T.; Allam, A.; Elmarzouky, M. Global modern slavery and sustainable development goals: Does institutional environment quality matter? Bus. Strateg. Environ. 2022, 31, 2230–2244. [Google Scholar] [CrossRef]
- Chai, Q.; Sun, M.; Lai, K.H.; Xiao, Z. The effects of government subsidies and environmental regulation on remanufacturing. Comput. Ind. Eng. 2023, 178, 109126. [Google Scholar] [CrossRef]
- Choi, T.M.; Chen, Y. Circular supply chain management with large scale group decision making in the big data era: The macro-micro model. Technol. Forecast. Soc. Change 2021, 169, 120791. [Google Scholar] [CrossRef]
- Wang, Y.; Jiang, Q.; Guan, X.; Guan, X. Recycling channel design and coordination in a reverse supply chain with customer green preference. Transp. Res. E Logist. Transp. Rev. 2023, 179, 103329. [Google Scholar] [CrossRef]
- Chen, J.H.; Tian, Y.; Chan, F.T.S.; Tang, H.J.; Che, P.H. Pricing, greening, and recycling decisions of capital-constrained closed-loop supply chain with government subsidies under financing strategies. J. Clean. Prod. 2024, 438, 140797. [Google Scholar] [CrossRef]
- Liu, L.; Wang, Z.; Xu, L.; Hong, X.; Govindan, K. Collection effort and reverse channel choices in a closed-loop supply chain. J. Clean. Prod. 2017, 144, 492–500. [Google Scholar] [CrossRef]
- Wang, N.; He, Q.; Jiang, B. Hybrid closed-loop supply chains with competition in recycling and product markets. Int. J. Prod. Econ. 2019, 217, 246–258. [Google Scholar] [CrossRef]
- Moussa, A.S.; Elmarzouky, M. Does Capital Expenditure Matter for ESG Disclosure? A UK Perspective. J. Risk Financ. Manag. 2023, 16, 429. [Google Scholar] [CrossRef]
- Wang, Q.; Chen, K.; Wang, S.; Liu, W. Channel structures and information value in a closed-loop supply chain with corporate social responsibility based on the third-party collection. Appl. Math. Modell. 2022, 106, 482–506. [Google Scholar] [CrossRef]
- Tencent. Blockchain Technology Helps the Cascade Utilization of Lithium Batteries, and the Battery Recycling Price Is Up to 3 Times. Available online: https://new.qq.com/rain/a/20230817A08VGT00 (accessed on 17 August 2023).
- Ding, Y.K.; Shen, C.; Feng, D.Z. Pricing and collection for printer cartridge recycling under retailers’ ordering and collection. J. Clean. Prod. 2020, 276, 122814. [Google Scholar] [CrossRef]
- Hong, X.; Xu, L.; Du, P.; Wang, W. Joint advertising, pricing and collection decisions in a closed-loop supply chain. Int. J. Prod. Econ. 2015, 167, 12–22. [Google Scholar] [CrossRef]
- Zhou, Y.; Zhang, Y.; Wahab, M.I.M.; Goh, M. Channel leadership and performance for a closed-loop supply chain considering competition. Transp. Res. E Logist. Transp. Rev. 2023, 175, 103151. [Google Scholar] [CrossRef]
- Savaskan, R.C.; Bhattacharya, S.; Van Wassenhove, L.N. Closed-loop supply chain models with product remanufacturing. Manag. Sci. 2004, 50, 239–252. [Google Scholar] [CrossRef]
- Huang, M.; Song, M.; Lee, L.H.; Ching, W.K. Analysis for strategy of closed-loop supply chain with dual recycling channel. Int. J. Prod. Econ. 2013, 144, 510–520. [Google Scholar] [CrossRef]
- Chang, S.H.; Ma, H.T.; Hou, P.W.; Cao, L. Who should adopt blockchain? The interplay between blockchain adoption and online channel under competition. Electron. Commer. Res. Appl. 2023, 62, 101316. [Google Scholar] [CrossRef]
- Appelhanz, S.; Osburg, V.S.; Toporowski, W.; Schumann, M. Traceability system for capturing, processing and providing consumer-relevant information about wood products: System solution and its economic feasibility. J. Clean. Prod. 2016, 110, 132–148. [Google Scholar] [CrossRef]
- Zhang, X.M.; Zheng, H.D.; Zheng, X.X. Impact of government fund policy and blockchain technology on closed-loop supply chains in textile and apparel industry. J. Clean. Prod. 2024, 434, 140037. [Google Scholar] [CrossRef]
- Kang, Y.W.; Dong, P.W.; Ju, Y.B.; Zhang, T.Y. Differential game theoretic analysis of the blockchain technology investment and carbon reduction strategy in digital supply chain with government intervention. Comput. Ind. Eng. 2024, 189, 109953. [Google Scholar] [CrossRef]
- Ji, G.; Zhou, S.; Lai, K.H.; Tan, K.H.; Kumar, A. Timing of blockchain adoption in a supply chain with competing manufacturers. Int. J. Prod. Econ. 2022, 247, 108430. [Google Scholar] [CrossRef]
- Yang, L.; Gao, M.; Feng, L. Competition versus cooperation? Which is better in a remanufacturing supply chain considering blockchain. Transp. Res. E Logist. Transp. Rev. 2022, 165, 102855. [Google Scholar] [CrossRef]
- Choi, T.M.; Feng, L.; Li, R. Information disclosure structure in supply chains with rental service platforms in the blockchain technology era. Int. J. Prod. Econ. 2020, 221, 107473. [Google Scholar] [CrossRef]
- Fan, X.; Guo, X.; Wang, S. Optimal collection delegation strategies in a retail-/dual-channel supply chain with trade-in programs. Eur. J. Oper. Res. 2022, 303, 633–649. [Google Scholar] [CrossRef]
- Han, J.L.; Wang, N.M.; He, Z.W.; Jiang, B. Product pricing and recycling mode considering competition under used product error classification. Comput. Ind. Eng. 2023, 186, 109735. [Google Scholar] [CrossRef]
- Hong, X.; Wang, Z.; Wang, D.; Zhang, H. Decision models of closed-loop supply chain with remanufacturing under hybrid dual-channel collection. Int. J. Adv. Manuf. Technol. 2013, 68, 1851–1865. [Google Scholar] [CrossRef]
- Wan, N.; Hong, D. The impacts of subsidy policies and transfer pricing policies on the closed-loop supply chain with dual collection channels. J. Clean. Prod. 2019, 224, 881–891. [Google Scholar] [CrossRef]
- Wang, Y.Y.; Chen, Y.L.; Cheng, W.; Wang, J.C.; Tao, F. Equilibrium analysis of transaction modes and recycling channels in a closed-loop supply chain with an online platform. Comput. Ind. Eng. 2023, 177, 109090. [Google Scholar] [CrossRef]
- Zhang, C.; Tian, Y.X.; Han, M.H. Recycling mode selection and carbon emission reduction decisions for a multi-channel closed-loop supply chain of electric vehicle power battery under cap-an-trade policy. J. Clean. Prod. 2022, 375, 134060. [Google Scholar] [CrossRef]
- Zheng, B.; Chu, J.; Jin, L. Recycling channel selection and coordination in dual sales channel closed-loop supply chains. Appl. Math. Modell. 2021, 95, 484–502. [Google Scholar] [CrossRef]
- Guo, Y.; Wang, M.M.; Yang, F. Joint emission reduction strategy considering channel inconvenience under different recycling structures. Comput. Ind. Eng. 2022, 169, 108159. [Google Scholar] [CrossRef]
- Hong, X.; Govindan, K.; Xu, L.; Du, P. Quantity and collection decisions in a closed-loop supply chain with technology licensing. Eur. J. Oper. Res. 2017, 256, 820–829. [Google Scholar] [CrossRef]
- Suvadarshini, P.; Biswas, I.; Srivastava, S.K. Impact of reverse channel competition, individual rationality, and information asymmetry on multi-channel closed-loop supply chain design. Int. J. Prod. Econ. 2023, 259, 108818. [Google Scholar] [CrossRef]
- Shekarian, E.; Marandi, A.; Majava, J. Dual-channel remanufacturing closed-loop supply chains under carbon footprint and collection competition. Sustain. Prod. Consum. 2021, 28, 1050–1075. [Google Scholar] [CrossRef]
- Zhang, C.; Chen, Y.X.; Tian, Y.X. Collection and recycling decisions for electric vehicle end-of-life power batteries in the context of carbon emissions reduction. Comput. Ind. Eng. 2023, 175, 108869. [Google Scholar] [CrossRef]
- Liu, S.; Hua, G.; Kang, Y.; Cheng, T.E.; Xu, Y. What value does blockchain bring to the imported fresh food supply chain? Transp. Res. E Logist. Transp. Rev. 2022, 165, 102859. [Google Scholar] [CrossRef]
- Zhang, Y.; Chen, L.; Battino, M.; Farag, M.A.; Xiao, J.; Simal-Gandara, J.; Gao, H.; Jiang, W. Blockchain: An emerging novel technology to upgrade the current fresh fruit supply chain. Trends Food Sci. Technol. 2022, 124, 1–12. [Google Scholar] [CrossRef]
- Cao, Y.; Yi, C.; Wan, G.; Hu, H.; Li, Q.; Wang, S. An analysis on the role of blockchain-based platforms in agricultural supply chains. Transp. Res. E Logist. Transp. Rev. 2022, 163, 102731. [Google Scholar] [CrossRef]
- Köhler, S.; Bager, S.; Pizzol, M. Sustainability standards and blockchain in agro-food supply chains: Synergies and conflicts. Technol. Forecast. Soc. Change 2022, 185, 122094. [Google Scholar] [CrossRef]
- Niu, B.; Dong, J.; Liu, Y. Incentive alignment for blockchain adoption in medicine supply chains. Transp. Res. E Logist. Transp. Rev. 2021, 152, 102276. [Google Scholar] [CrossRef]
- Choi, T.M. Blockchain-technology-supported platforms for diamond authentication and certification in luxury supply chains. Transp. Res. E Logist. Transp. Rev. 2019, 128, 17–29. [Google Scholar] [CrossRef]
- Liu, R.H.; Zhao, C.W.; Tan, C.Q. Vaccine supply chain decision and coordination with manufacturers competition under blockchain technology. Comput. Ind. Eng. 2024, 190, 110031. [Google Scholar] [CrossRef]
- Biswas, D.; Jalali, H.; Ansaripoor, A.H.; De Giovanni, P. Traceability vs. sustainability in supply chains: The implications of blockchain. Eur. J. Oper. Res. 2023, 305, 128–147. [Google Scholar] [CrossRef]
- Fan, Z.P.; Wu, X.Y.; Cao, B.B. Considering the traceability awareness of consumers: Should the supply chain adopt the blockchain technology? Ann. Oper. Res. 2022, 309, 837–860. [Google Scholar] [CrossRef]
- Akram, M.W.; Akram, N.; Shahzad, F.; Rehman, K.U.; Andleed, S. Blockchain technology in a crisis: Advantages, challenges, and lessons learned for enhancing fool supply chains during the COVIN-19 pandemic. J. Clean. Prod. 2024, 434, 140034. [Google Scholar] [CrossRef]
- Modak, N.M.; Senapati, T.; Simic, V.; Pamucar, D.; Saha, A.; Cárdenas-Barrón, L.E. Managing a sustainable dual-channel supply chain for fresh agricultural products using blockchain technology. Expert Syst. Appl. 2024, 244, 122929. [Google Scholar] [CrossRef]
- Wang, Y.Y.; Gao, J.H.; Cheng, T.C.E.; Gong, Y.; Wu, T.H. Does blockchain technology need to be introduced in the closed-loop supply chain based on product lifecycle management? Comput. Ind. Eng. 2024, 188, 109881. [Google Scholar] [CrossRef]
- Zhang, Q.; Jiang, X.; Zheng, Y. Blockchain adoption and gray markets in a global supply chain. Omega 2023, 115, 102785. [Google Scholar] [CrossRef]
- Li, Q.; Ma, M.; Shi, T.; Zhu, C. Green investment in a sustainable supply chain: The role of blockchain and fairness. Transp. Res. E Logist. Transp. Rev. 2022, 167, 102908. [Google Scholar] [CrossRef]
- Kshetri, N. 1 Blockchain’s roles in meeting key supply chain management objectives. Int. J. Inf. Manag. 2018, 39, 80–89. [Google Scholar] [CrossRef]
- Tönnissen, S.; Teuteberg, F. Analysing the impact of blockchain-technology for operations and supply chain management: An explanatory model drawn from multiple case studies. Int. J. Inf. Manag. 2020, 52, 101953. [Google Scholar] [CrossRef]
- Kamble, S.S.; Gunasekaran, A.; Sharma, R. Modeling the blockchain enabled traceability in agriculture supply chain. Int. J. Inf. Manag. 2020, 52, 101967. [Google Scholar] [CrossRef]
- Prajapati, D.; Jauhar, S.K.; Gunasekaran, A.; Kamble, S.S.; Pratap, S. Blockchain and IoT embedded sustainable virtual closed-loop supply chain in E-commerce towards the circular economy. Comput. Ind. Eng. 2022, 172, 108530. [Google Scholar] [CrossRef]
- Liu, S.S.; Hua, G.W.; Ma, B.J.; Cheng, T.C.E. Competition between green and non-green products in the blockchain ear. Int. J. Prod. Econ. 2023, 264, 108970. [Google Scholar] [CrossRef]
- Zhu, X.X.; Qi, Z.F.; Chiong, R.M.; Zhang, P.L.; Ren, M.L. The dilemma of introducing blockchain technology into an assembly supply chain: A double-edged sword of profit and upstream invasion. Comput. Ind. Eng. 2024, 188, 109830. [Google Scholar] [CrossRef]
- Matsui, K. Dual-recycling channel reverse supply chain design of recycling platforms under acquisition price competition. Int. J. Prod. Econ. 2023, 259, 108769. [Google Scholar] [CrossRef]
- Zhang, X.M.; Li, Q.W.; Liu, Z.; Chang, C.T. Optimal pricing and remanufacturing mode in a closed-loop supply chain of WEEE under government fund policy. Comput. Ind. Eng. 2021, 151, 106951. [Google Scholar] [CrossRef]
- Zhang, Z.X.; Xu, H.Y.; Chen, K.B. Operational decisions and financing strategies in a capital-constrained closed-loop supply chain. Int. J. Prod. Res. 2021, 59, 4690–4710. [Google Scholar] [CrossRef]
- Tang, J.; Li, B.; Li, K.W.; Liu, Z.; Huang, J. Pricing and warranty decisions in a two-period closed-loop supply chain. Int. J. Prod. Res. 2020, 58, 1688–1704. [Google Scholar] [CrossRef]
- Nageswaran, L.; Cho, S.H.; Scheller-wolf, A. Consumer return policies in omnichannel operations. Manag. Sci. 2020, 66, 5484–6064. [Google Scholar] [CrossRef]
- Gong, B.; Zhang, H.; Gao, Y.; Liu, Z. Blockchain adoption and channel selection strategies in a competitive remanufacturing supply chain. Comput. Ind. Eng. 2023, 175, 108829. [Google Scholar] [CrossRef]
- Jia, D.F.; Li, S.J. Optimal decisions and distribution channel choice of closed-loop supply chain when e-retailer offers online marketplace. J. Clean. Prod. 2020, 265, 121767. [Google Scholar] [CrossRef]
- Zheng, X.X.; Liu, Z.; Li, K.W.; Huang, J.; Chen, J. Cooperative game approaches to coordinating a three-echelon closed-loop supply chain with fairness concerns. Int. J. Prod. Econ. 2019, 212, 92–110. [Google Scholar] [CrossRef]
- Zhao, J.J.; Wang, C.X.; Xu, L. Decision for pricing, service, and recycling of closed-loop supply chains considering different remanufacturing roles and technology authorizations. Comput. Ind. Eng. 2019, 132, 59–73. [Google Scholar] [CrossRef]
- Cao, K.; He, P.; Liu, Z. Production and pricing decisions in a dual-channel supply chain under remanufacturing subsidy policy and carbon tax policy. J. Oper. Res. Soc. 2020, 71, 1199–1215. [Google Scholar] [CrossRef]
- Yenipazarli, A. Managing new and remanufactured products to mitigate environmental damage under emissions regulation. Eur. J. Oper. Res. 2016, 249, 117–130. [Google Scholar] [CrossRef]
- Gautam, P.; Maheshwari, S.; Jaggi, C.K. Sustainable production inventory model with greening degree and dual determinants of defective items. J. Clean. Prod. 2022, 367, 132879. [Google Scholar] [CrossRef]
- Xu, X.; He, P.; Zhou, L.; Cheng, T.C.E. Coordination of a platform-based supply chain in the marketplace or reselling mode considering cross-channel effect and blockchain technology. Eur. J. Oper. Res. 2023, 309, 170–187. [Google Scholar] [CrossRef]
- Qiao, H.K.; Zhang, Z.J.; Su, Q. Blockchain technology adoption of the manufacturers with product recycling considering green consumers. Comput. Ind. Eng. 2023, 177, 109021. [Google Scholar] [CrossRef]
- He, Q.D.; Wang, N.M.; Browning, T.R.; Jiang, B. Competitive collection with convenience-perceived customers. Eur. J. Oper. Res. 2022, 303, 239–254. [Google Scholar] [CrossRef]
- Liu, Y.; Ma, D.Q.; Hu, J.S. Reseller or market? E-platform strategy under blockchain-enabled recycling. Expert Syst. Appl. 2024, 243, 122811. [Google Scholar] [CrossRef]
- Circularise. Circularise Joins Audi’s Material Loop Project to Test the Circular Economy Potential of End-of-Life Vehicles. Available online: https://www.circularise.com/press-releases/audi-materialloop-project (accessed on 3 March 2023).
- Cointelegraph. Bosch Partners with AI firm for $100M Fund to Empower Web3 Development. Available online: https://cointelegraph.com/news/bosch-partners-in-100-million-web3-development-foundation (accessed on 21 February 2023).
- Ma, D.Q.; Qin, H.Q.; Hu, J.S. Achieving triple sustainability in closed-loop supply chain: The optimal combination of online platform sales format and blockchain-enabled recycling. Comput. Ind. Eng. 2022, 174, 108763. [Google Scholar] [CrossRef]
- Dwivedi, Y.K.; Balakrishnan, J.; Dad, R.; Dutot, V. Resistance to innovation: A dynamic capability model based enquiry into retailers’ resistance to blockchain adaptation. J. Bus. Res. 2023, 157, 113632. [Google Scholar] [CrossRef]
- Krish Compusoft Services. How Blockchain Steals the Show of e-Commerce Industry. Available online: https://www.kcsitglobal.com/blogs/detail-blog/how-blockchain-steals-the-show-of-e-commerce-industry (accessed on 5 December 2019).
- Ding, J.; Chen, W.; Wang, W. Production and carbon emission reduction decisions for remanufacturing firms under carbon tax and take-back legislation. Comput. Ind. Eng. 2020, 143, 106419. [Google Scholar] [CrossRef]
- Li, Z.W.; Xu, X.H.; Ba, Q.G.; Chen, C.; Wang, H.W.; Xia, P. Implications of information sharing on blockchain adoption in reducing carbon emissions: A mean-variance analysis. Transp. Res. E Logist. Transp. Rev. 2023, 178, 103254. [Google Scholar] [CrossRef]
- Niu, B.; Ruan, Y.; Zeng, F. Promoting remanufacturing through subsidy and environment tax: Channel co-opetition, incentive alignment and regulation optimization. Transp. Res. E Logist. Transp. Rev. 2022, 166, 102880. [Google Scholar] [CrossRef]
- Government of Canada. Executive Summary of the Socio-Economic and Environmental Study of the Canadian Remanufacturing Sector and Other Value-Retention Processes in the Context of a Circular Economy. Available online: https://www.canada.ca/en/services/environment/conservation/sustainability/circular-economy/summary-study-remanufacturing-sector-value-retention-processes.html (accessed on 11 February 2022).
- Xu, J.; Duan, Y.R. Pricing and greenness investment for green products with government subsidies: When to apply blockchain technology? Electron. Commer. Res. Appl. 2022, 51, 101108. [Google Scholar] [CrossRef]
- Zhou, Y.; Yan, S.; Li, G.; Xiong, Y.; Lin, Z. The impact of consumer skepticism on blockchain-enabled sustainability disclosure in a supply chain. Transp. Res. E Logist. Transp. Rev. 2023, 179, 103323. [Google Scholar] [CrossRef]
- Jiemian. The Global Waste Battery Reuse Market Will Reach Trillions, What Is the Layout of Domestic Enterprises? Available online: https://www.jiemian.com/article/10715082.html (accessed on 23 January 2024).
- BYD. BYD Corporate Social Responsibility Report. Available online: http://www.szse.cn/disclosure/listed/bulletinDetail/index.html?1dddf5f2-53e2-4554-b471-d426dfde64a1 (accessed on 27 March 2024).
- Zhong, Y.; Yang, T.; Yu, H.; Zhong, S.; Xie, W. Impacts of blockchain technology with government subsidies on a dual-channel supply chain for tracing product information. Transp. Res. E Logist. Transp. Rev. 2023, 171, 103032. [Google Scholar] [CrossRef]
- Yang, L.; Hu, Y.; Huang, L. Collecting mode selection in a remanufacturing supply chain under cap-and-trade regulation. Eur. J. Oper. Res. 2020, 287, 480–496. [Google Scholar] [CrossRef]









| Notations | Definitions |
|---|---|
| Consumers’ willingness to pay for new products | |
| Consumers’ value discount for remanufactured products | |
| Transparency of information on new and remanufactured products | |
| Effect coefficient of information transparency on consumer utility | |
| Consumers’ utility of purchasing new/remanufactured products | |
| / | Unit cost of new/remanufactured products |
| Unit BT usage cost | |
| Unit recycling price | |
| Unit transfer price | |
| Investment cost coefficient of recycling | |
| Investment cost of member in recycling of used products, | |
| Competitive intensity between the retailer and TPR | |
| / | Unit wholesale price of new/remanufactured products |
| Unit retail price of new/remanufactured products | |
| / | Recycling rate of the retailer/TPR |
| / | Demand for new/remanufactured products |
| Member ’ profit in the model , , | |
| Consumer surplus in the model , | |
| Environmental impact in the model , | |
| Social welfare in the model , |
| Notations | Equilibrium Results | Notations | Equilibrium Results |
|---|---|---|---|
| Notations | Equilibrium Results | Notations | Equilibrium Results |
|---|---|---|---|
| Notations | Equilibrium Results | Notations | Equilibrium Results |
|---|---|---|---|
| Notations | Equilibrium Results |
|---|---|
| () | |
| , , , | |
| , , , | |
| (), (), () | |
| (), () |
| () | () | |
| (), (), (), () | (), () (), () | |
| , | ||
| (), () |
Disclaimer/Publisher’s Note: The statements, opinions and data contained in all publications are solely those of the individual author(s) and contributor(s) and not of MDPI and/or the editor(s). MDPI and/or the editor(s) disclaim responsibility for any injury to people or property resulting from any ideas, methods, instructions or products referred to in the content. |
© 2024 by the authors. Licensee MDPI, Basel, Switzerland. This article is an open access article distributed under the terms and conditions of the Creative Commons Attribution (CC BY) license (https://creativecommons.org/licenses/by/4.0/).
Share and Cite
Zhang, X.; Zheng, H.; Hang, T.; Meng, Q. How to Choose Recycling Mode between Monopoly and Competition by Considering Blockchain Technology? Sustainability 2024, 16, 6296. https://doi.org/10.3390/su16156296
Zhang X, Zheng H, Hang T, Meng Q. How to Choose Recycling Mode between Monopoly and Competition by Considering Blockchain Technology? Sustainability. 2024; 16(15):6296. https://doi.org/10.3390/su16156296
Chicago/Turabian StyleZhang, Xuemei, Haodong Zheng, Tao Hang, and Qiang Meng. 2024. "How to Choose Recycling Mode between Monopoly and Competition by Considering Blockchain Technology?" Sustainability 16, no. 15: 6296. https://doi.org/10.3390/su16156296
APA StyleZhang, X., Zheng, H., Hang, T., & Meng, Q. (2024). How to Choose Recycling Mode between Monopoly and Competition by Considering Blockchain Technology? Sustainability, 16(15), 6296. https://doi.org/10.3390/su16156296

