Exploring the Supporting Role of Finance in the Development of Clean Energy in China Based on the Panel Vector Autoregressive Model
Abstract
1. Introduction
1.1. Research Background
1.2. Research Significance
1.3. Literature Review
1.3.1. Studies on Financial Support for the Development of the Clean Energy Industry
1.3.2. Research on the Impact of Financial Scale and Financial Efficiency on the Development of the Clean Energy Industry
1.3.3. Studies on the Impact of Green Finance on the Development of Clean Energy Industry
1.3.4. Summative Evaluation
1.4. Innovation Points
- (1)
- In previous studies, most scholars mainly utilized financial scale or financial efficiency as indicators to express the degree of financial development when analyzing the financial promotion of new energy or exploring the relationship between green finance and clean energy. Therefore, this paper takes a more comprehensive approach by measuring financial development using three key indicators: financial scale, financial efficiency, and green finance, and through empirical analysis, it aims to uncover the specific role of financial development in promoting China’s clean energy industry.
- (2)
- The existing literature has primarily focused on assessing the impact of financial development on the clean energy industry at the national level or within particular provinces or cities. However, there has been limited empirical study regarding the impact of variables such as financial development, technological progress, and financial expenditure on the development of the clean energy industry across different regions based on energy distribution. As a result, regional differences remain less apparent. This paper aims to enrich our understanding by examining the impact of financial development on the clean energy industry at the national level and in the eastern, central, and western regions.
- (3)
- Upon reviewing the existing literature, it becomes evident that scholars may not have thoroughly tested the specific influence mechanisms while studying the relationship between financial development and clean energy. Consequently, this paper analyzes the mechanism of the influence of financial development on the clean energy industry. The analysis reveals that financial development directly and indirectly influences the development of the clean energy industry through the mediating variable of clean energy investment, with a pronounced mediating effect.
2. Model, Variables, and Data
2.1. Model
2.1.1. PVAR
2.1.2. PVAR Model Identification
2.1.3. PVAR Model Parameter Estimation
2.1.4. Panel Granger Causality Test
2.1.5. Impulse Response and Variance Decomposition
2.2. Variables, Data
3. Results
3.1. Stationary Test
3.2. Estimation Results of PVAR Model
- (1)
- The relationship between financial scale and clean energy industry development
- (2)
- The correlation between industrial structure and clean energy industry development
- (3)
- The relationship between technological progress and clean energy industry development
- (4)
- The relationship between fiscal expenditure and clean energy industry development
- (5)
- The relationship between the relative price of energy and clean energy industry development
| Explanatory Variable | Whole Country | Eastern Region | Central Region | Western Region |
|---|---|---|---|---|
| L.h_dCE | −0.2156 ** | −0.1088 | −0.4082 ** | −0.1144 |
| L.h_dFIR | −1.0407 | 2.2143 * | −2.1605 | 4.9715 ** |
| L.h_dFE | −2.4855 | 7.1959 | −33.7673 | 32.4142 |
| L.h_dGCL | 6.6051 * | 4.0802 | −1.3670 | 19.7367 ** |
| L.h_dIS | −0.7542 *** | −0.3497 | −0.7792 * | −1.0060 * |
| L.h_dTI | 10.5479 * | −3.3286 | 57.9755 | 83.9756 |
| L.h_dPFE | −0.1222 | 0.2295 | −0.0449 | 0.3098 *** |
| L.h_dPCE | 0.0045 | 0.0541 | −0.0284 | −0.0048 |
| L2.h_dCE | −0.1194 | −0.0928 | −0.0422 | −0.1652 * |
| L2.h_dFIR | 2.8019 ** | 1.1112 | 3.3673 | 3.3943 |
| L2.h_dFE | −36.3244 | −23.1487 | 62.0592 | −144.1532 ** |
| L2.h_dGCL | 6.3226 * | 4.1794 | −0.9055 | 17.0915 * |
| L2.h_dIS | 0.1068 | −0.0127 | −0.1121 | 1.1438 * |
| L2.h_dTI | 0.4980 | 9.9946 * | −43.5916 | −98.9376 |
| L2.h_dPFE | 0.2364 ** | −0.0887 | −0.2090 | −0.0453 |
| L2.h_dPCE | 0.0562 * | 0.1121 ** | 0.0330 | 0.0300 |
| L3.h_dCE | −0.0455 | 0.1216 | 0.0975 | −0.2675 *** |
| L3.h_dFIR | −2.2503 * | −0.0300 | −0.7967 | −5.2357 * |
| L3.h_dFE | −41.0763 | −53.3339 | −41.4995 | −46.1671 |
| L3.h_dGCL | 12.5604 *** | 9.6776 ** | 0.1399 | 18.0902 * |
| L3.h_dIS | −0.3267 * | −0.0415 | −0.4600 | −0.7337 |
| L3.h_dTI | 1.8403 | 1.6199 | −26.3017 | 66.6797 |
| L3.h_dPFE | −0.1277 | −0.3871 | −0.2141 | −0.1747 |
| L3.h_dPCE | −0.0079 | 0.0271 | −0.0024 | −0.0668 * |
| L4.h_dCE | −0.0174 | 0.1847 ** | −0.0240 | −0.0806 |
| L4.h_dFIR | 2.8017 *** | 2.1810 ** | 3.8453 ** | 4.1834 * |
| L4.h_dFE | 18.0852 | 28.4388 | 32.2997 | −32.0841 |
| L4.h_dGCL | −2.7015 | −4.2336 | 2.5200 | 10.9307 |
| L4.h_dIS | 0.2951 ** | 0.3193 | 0.5368 ** | 0.5820 |
| L4.h_dTI | 6.8792 * | −2.3467 | 56.8265 * | 5.2269 |
| L4.h_dPFE | 0.1037 | 0.5875 ** | 0.2692 | 0.1085 |
| L4.h_dPCE | −0.0153 | 0.0128 | 0.0202 | −0.0688 * |
3.3. Panel Granger Causality Test
- (1)
- At the national level, the financial scale is a Granger cause of clean energy development at a significance level of 5%, and green finance is also a Granger cause of clean energy industry development at a significance level of 10%. Therefore, financial scale and green finance have a considerable impact on the clean energy industry. However, the test results indicate that the clean energy industry development is not a Granger cause of financial scale and green finance, and it is accepted that financial efficiency is not the Granger cause of clean energy industry development. Furthermore, at a significant level of 5%, the clean energy industry development is a Granger cause of financial efficiency. Therefore, there is only a one-way causal relationship between three financial variables and clean energy industry development. In addition to this, green finance in the eastern region is the Granger reason for the clean energy industry development there, financial scale in the central region plays a pivotal role as the Granger cause for clean energy industry development, and both financial scale and financial efficiency in the western region act as the Granger causes for clean energy industry development.
- (2)
- Among the control variables, we observe Granger effects for clean energy industry development including the industrial structure across the entire nation as well as in the eastern, central, and western regions. Fiscal expenditure impacts clean energy development in the entire country, as well as in the eastern and western regions. The relative price of energy influences clean energy development in the whole country, particularly in the central and western regions. Lastly, technological progress plays a significant role in clean energy development across the entire nation and in the eastern, central, and western regions. Furthermore, clean energy industry development in the eastern and central regions is also a Granger cause for technological progress. Therefore, we observe a two-way causal correlation between technological advancement and clean energy industry development in the eastern and central regions.
3.4. Impulse Response and Variance Decomposition
3.4.1. Impulse Response
- (1)
- The impact of the clean energy industry on itself

- (2)
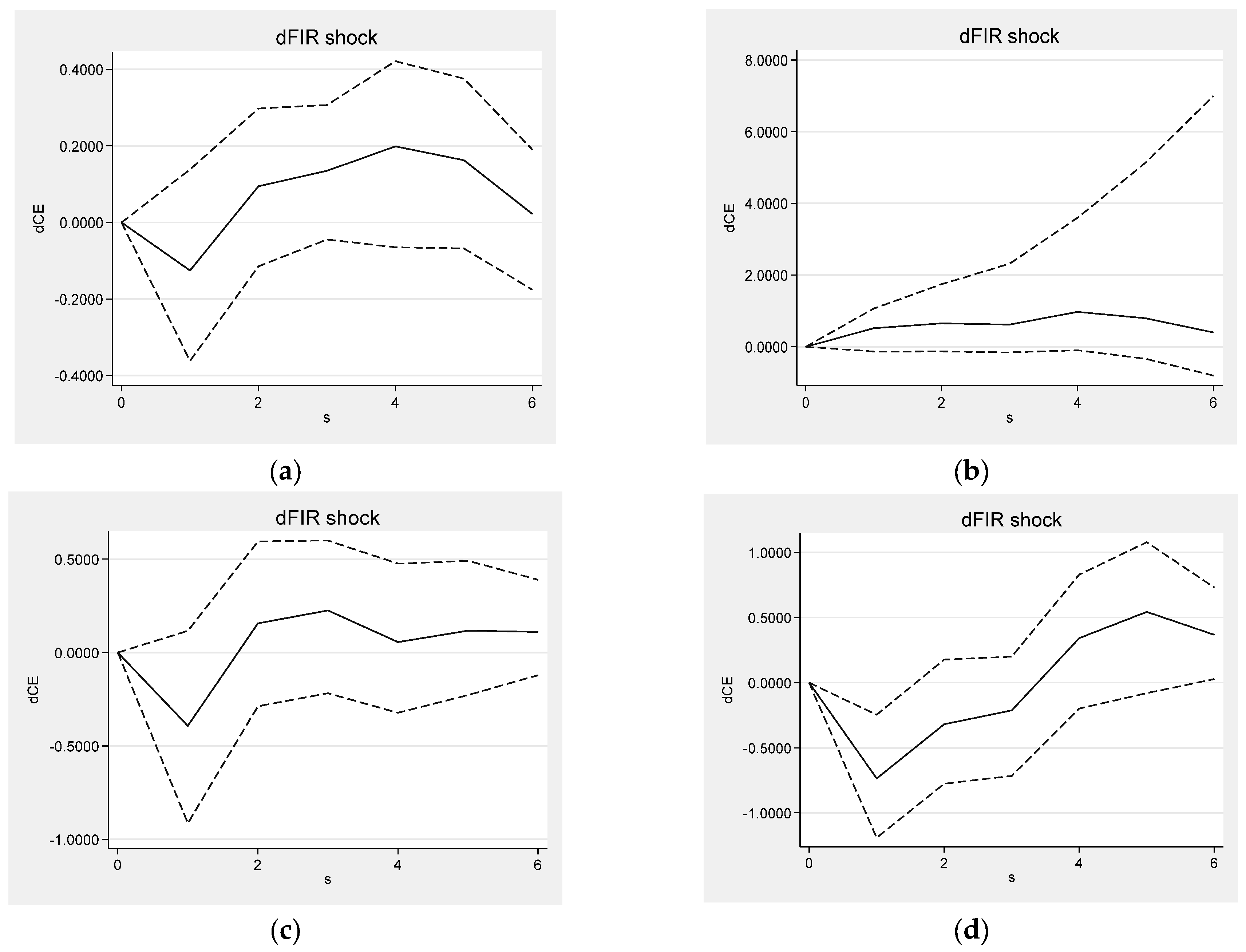
- The impact of financial scale on the clean energy industry

- (3)
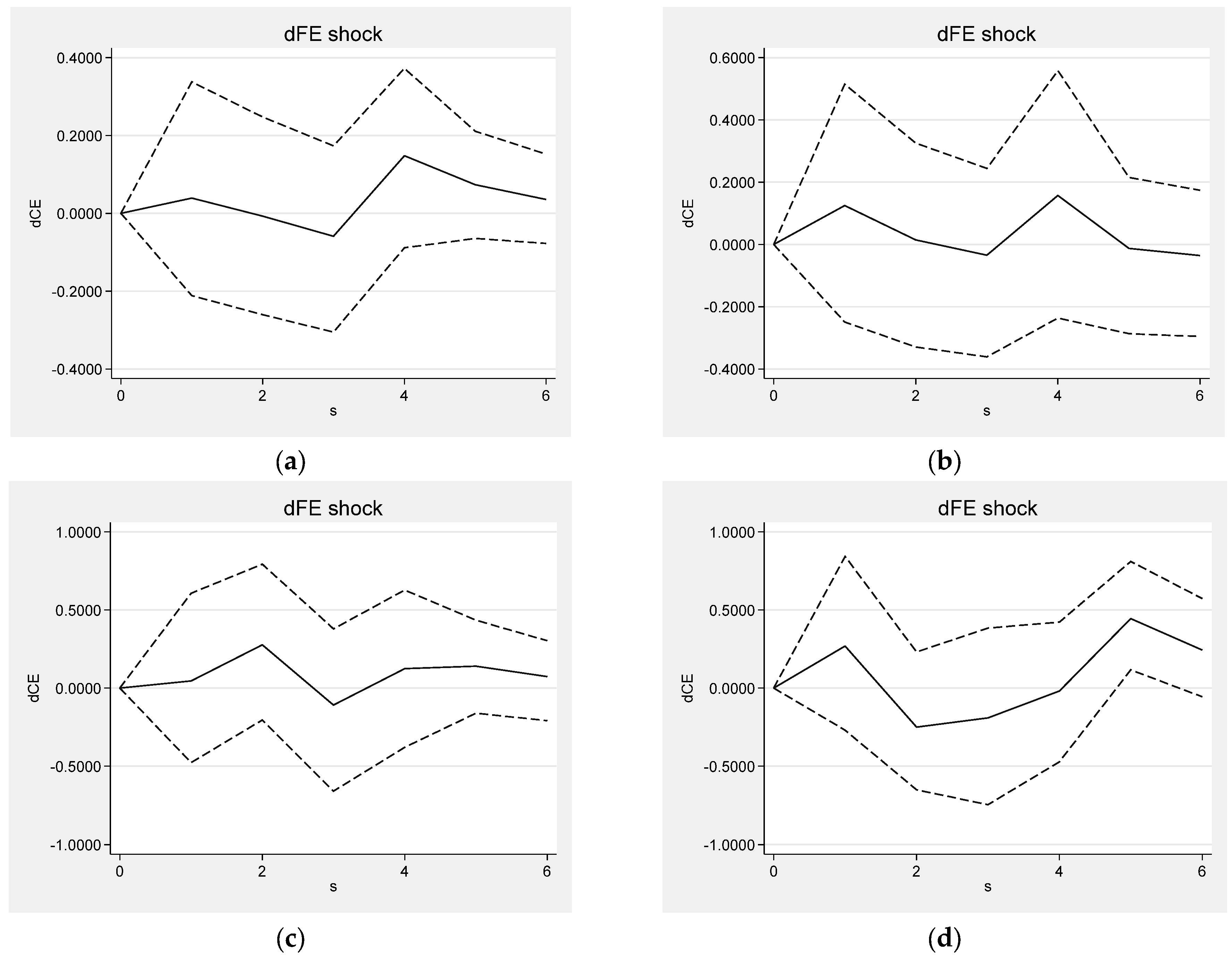
- The impact of financial efficiency on the clean energy industry

- (4)
- The impact of green finance on clean energy industry

- (5)
- The impact of industrial structure on clean energy industry

- (6)
- The impact of technological progress on clean energy industry

- (7)
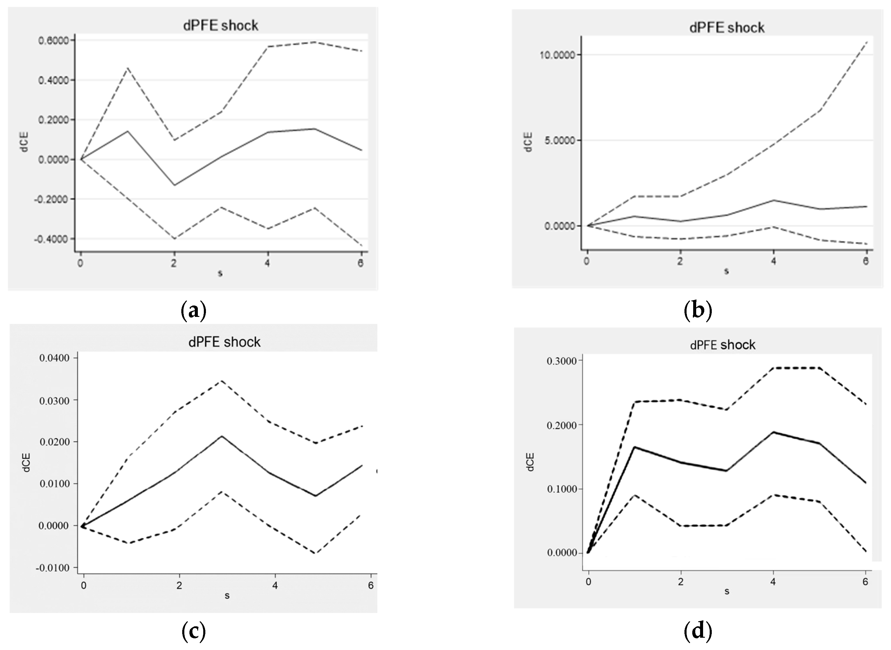
- Impact of fiscal expenditure on clean energy industry
- (8)
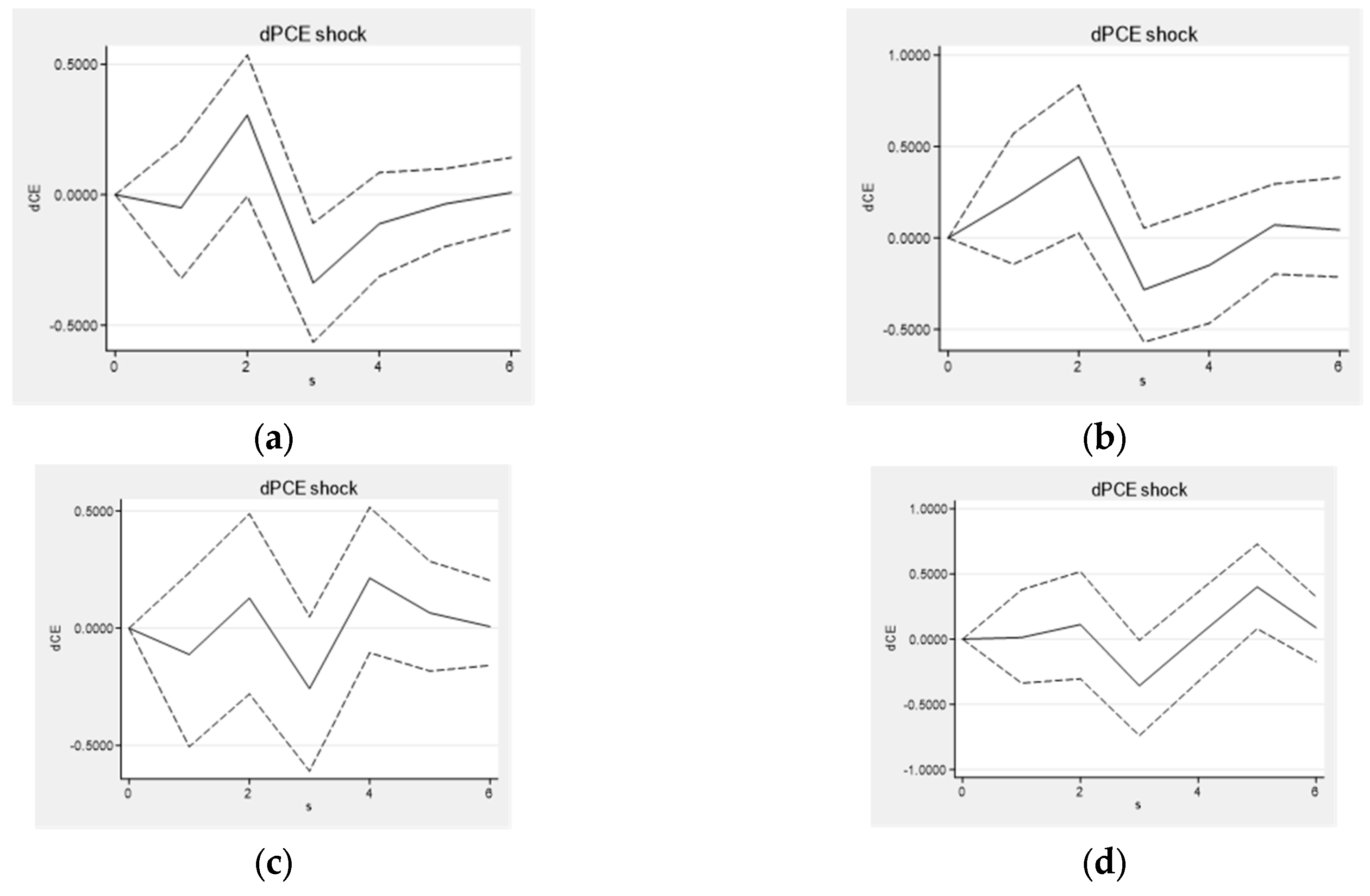
- The impact of relative energy prices on the clean energy industry
3.4.2. Variance Decomposition
4. Conclusions, Policy Recommendations and Future Research
4.1. Conclusions
- (1)
- Financial development has significantly promoted the development level of the clean energy industry in China. There are substantial positive correlations between clean energy industry development and both financial scale and green finance. These factors contribute significantly to improving the overall development level of the clean energy industry. This finding aligns with prior research by Fan and Liu [36] and Zhang et al. [37], who also observed a positive impact of green finance on the clean energy industry. However, it is essential to note that their studies were limited to specific economic regions whereas this, our analysis, has explored these effects at a national level. Conversely, the effect of financial efficiency on the clean energy industry is insufficient. From the perspective of China’s broader economic context, financial efficiency does not emerge as a leading factor in the development of the clean energy industry. The variance decomposition results reinforce this perspective: the expansion of financial scale contributes most significantly to supporting clean energy industry growth, followed by green finance. In contrast, the impact of financial efficiency remains relatively weak.
- (2)
- In contrast to previous studies, this paper has investigated the impact of finance on the clean energy industry at a regional level. From this regional perspective, both financial scale and green finance at the national level serve as Granger causes for clean energy industry development. This means that financial institutions have effectively implemented relevant national policies, providing crucial financial support for the development of clean energy initiatives and meeting the imperative of sustainable energy development. In addition, it is important to recognize that the influence of financial development on the clean energy industry exhibits significant regional disparities. The energy storage capacities in the western and central regions surpass that of the eastern region. Despite increased government support in recent years, certain necessary resources are utilized due to geographical constraints, environment factors, and other natural conditions.
- (3)
- Regarding the control variables, industrial structure, technological progress, and fiscal expenditure have played positive roles in clean energy industry development. However, it is essential to recognize that the impact of technological progress has waned over time due to the increasing complexity of clean energy research and development (R&D). As for the relative price variable related to energy, it falls short in accurately representing the true cost of clean energy, so its effect on clean energy remains somewhat unstable.
4.2. Policy Recommendations
4.2.1. Expand Financial Scale and Increase Bank Support for the Clean Energy Industry
4.2.2. Improve Financial Efficiency and Rationally Allocate Financial Resources
4.2.3. Improve the Preferential Policies for Green Finance and Accelerate Innovation of Green Credit Finance
4.3. Future Research
Author Contributions
Funding
Institutional Review Board Statement
Informed Consent Statement
Data Availability Statement
Acknowledgments
Conflicts of Interest
References
- Ozkan, O.; Coban, N.M.; Destek, A.M. Navigating the winds of change: Assessing the impact of wind energy innovations and fossil energy efficiency on carbon emissions in China. Renew. Energy 2024, 228, 120623. [Google Scholar] [CrossRef]
- Olmos, L.; Ruester, S.; Liong, S. On the selection of financing instruments to push the development of new technologies: Application to clean energy technologies. Energy Policy 2012, 43, 252–266. [Google Scholar] [CrossRef]
- Polzin, F.; Sanders, M. How to finance the transition to low-carbon energy in Europe? Energy Policy 2020, 147, 111863. [Google Scholar] [CrossRef]
- Temmes, A.; Heiskanen, E.; Matschoss, K.; Lovio, R. Mobilising mainstream finance for a future clean energy transition: The case of Finland. J. Clean. Prod. 2021, 319, 128797. [Google Scholar] [CrossRef]
- Acheampong, O. Economic growth, CO2 emissions and energy consumption: What causes what and where? Energy Econ. 2018, 74, 677–692. [Google Scholar] [CrossRef]
- Charfeddine, L.; Kahia, M. Impact of renewable energy consumption and financial development on CO2 emissions and economic growth in the MENA region: A panel vector autoregressive (PVAR) analysis. Renew. Energy 2019, 139, 198–213. [Google Scholar] [CrossRef]
- Alsedrah, T.I. Fintech and green finance revolutionizing carbon emission reduction through green energy projects in mineral-rich countries. Resour. Policy 2024, 94, 105064. [Google Scholar] [CrossRef]
- Wiser, R.H.; Pickle, S.J. Financing investments in renewable energy: The impacts of policy design. Renew. Sustain. Energy Rev. 1998, 2, 361–386. [Google Scholar] [CrossRef]
- Lipp, J. Lessons for effective renewable electricity policy from Denmark, Germany and the United Kingdom. Energy Policy 2007, 35, 5481–5495. [Google Scholar] [CrossRef]
- Labatt, S.; White, R.R. Carbon Finance: The Financial Implications of Climate Change; John Wiley & Sons: Hoboken, NJ, USA, 2011. [Google Scholar]
- Joshi, J. Renewable Energy Finance and Securitization. J. Struct. Financ. 2012, 17, 174–183. [Google Scholar] [CrossRef]
- MacGillivray, A.; Jeffrey, H.; Winskel, M.; Bryden, I. Innovation and cost reduction for marine renewable energy: A learning investment sensitivity analysis. Technol. Forecast. Soc. Change 2014, 87, 108–124. [Google Scholar] [CrossRef]
- Mamun, M.A.; Sohag, K.; Shahbaz, M.; Hammoudeh, S. Financial markets, innovations and cleaner energy production in OECD countries. Energy Econ. 2018, 72, 236–254. [Google Scholar] [CrossRef]
- Ji, Q.; Zhang, D. How much does financial development contribute to renewable energy growth and upgrading of energy structure in China? Energy Policy 2019, 128, 114–124. [Google Scholar] [CrossRef]
- Mu, X.Z.; Kong, L.; Yu, S.S. Research on the relationship between urban clean energy consumption, energy intensity and financial credit—Based on the empirical data of Beijing. Ecol. Econ. 2019, 35, 146–152. (In Chinese) [Google Scholar]
- Le, T.H.; Nguyen, C.P.; Park, D. Financing renewable energy development: Insights from 55 countries. Energy Res. Soc. Sci. 2020, 68, 101537. [Google Scholar] [CrossRef]
- Luo, A.M. Exploration of financial support path for clean energy development. Southwest Financ. 2021, 1, 61–72. (In Chinese) [Google Scholar]
- Yang, F.; Wang, C. Clean energy, financial development, and economic growth: Evidence from spatial spillover effects and quasi-natural experiments. J. Clean. Prod. 2021, 322, 129045. [Google Scholar] [CrossRef]
- Xu, G.Y.; Zang, L.M.; Peter, S.; Yang, H.L. Achieving China’s carbon neutrality goal by economic growth rate adjustment and low-carbon energy structure. Energy Policy 2023, 183, 113817. [Google Scholar] [CrossRef]
- Khan, A.; Yang, C.; Hussain, J.; Zhou, K. Impact of technological innovation, financial development and foreign direct investment on renewable energy, non-renewable energy and the environment in belt & Road Initiative countries. Renew. Energy 2021, 171, 479–491. [Google Scholar] [CrossRef]
- Chen, P. Is the digital economy driving clean energy development? -New evidence from 276 cities in China. J. Clean. Prod. 2022, 372, 133783. [Google Scholar] [CrossRef]
- Yin, X.N.; Wang, G.H.; Feng, X.H. Empirical study on influencing factors of financial support for new energy industry. J. Ind. Technol. Econ. 2015, 11, 12–18. Available online: http://dx.chinadoi.cn/10.3969/j.issn.1004-910X.2015.11.002 (accessed on 1 December 2015). (In Chinese).
- Cao, N.N.; Niu, X.G.; Hu, X.G. Empirical study on financial support for the agglomeration development of new energy industry. Contemp. Econ. Manag. 2021, 43, 89–97. Available online: http://dx.chinadoi.cn/10.13253/j.cnki.ddjjgl.2021.04.012 (accessed on 1 May 2021). (In Chinese).
- Wei, L.; Yang, Y. The threshold effect of clean energy development on employment-Based on the perspective of financial scale. Econ. Theory Bus. Manag. 2021, 41, 99. Available online: https://kns.cnki.net/kcms/detail/detail.aspx?dbcode=CJFD&dbname=CJFDLAST2021&filename=JJLL202109008&uniplatform=NZKPT&v=FoEG5kodZeV3kygLzKcSmehBT57xiWBO4uQSvkeAEsspWJMqol75eFrNVxbreWeI (accessed on 1 October 2021). (In Chinese).
- Nie, P.Y.; Chen, Y.H.; Yang, Y.C.; Wang, X.H. Subsidies in carbon finance for promoting renewable energy development. J. Clean. Prod. 2016, 139, 677–684. [Google Scholar] [CrossRef]
- Li, Z.; Liao, G.; Wang, Z.; Huang, Z. Green loan and subsidy for promoting clean production innovation. J. Clean. Prod. 2018, 187, 421–431. [Google Scholar] [CrossRef]
- Peng, H.; Liu, Y. How government subsidies promote the growth of entrepreneurial companies in clean energy industry: An empirical study in China. J. Clean. Prod. 2018, 188, 508–520. [Google Scholar] [CrossRef]
- Anton, S.G.; Nucu, A.E.A. The effect of financial development on renewable energy consumption. A panel data approach. Renew. Energy 2020, 147, 330–338. [Google Scholar] [CrossRef]
- Tian, H. Financial support for clean energy development. China Financ. 2018, 3, 89–90. [Google Scholar]
- He, L.; Liu, R.; Zhong, Z.; Wang, D.; Xia, Y. Can green financial development promote renewable energy investment efficiency? A consideration of bank credit. Renew. Energy 2019, 143, 974–984. [Google Scholar] [CrossRef]
- Wei, B.P.; Ma, R.T.; Lu, W.Q. Research on green finance supporting the development of new energy industry in Beijing. Energy China 2020, 42, 40–44. Available online: http://dx.chinadoi.cn/10.3969/j.issn.1003-2355.2020.12.009 (accessed on 1 January 2021). (In Chinese).
- Lei, H.Y.; Wang, X.X. Environmental pollution, green finance and high-quality economic development. Stat. Decis. Mak. 2020, 36, 18–22. (In Chinese) [Google Scholar]
- Xu, G.; Yang, M.; Li, S.; Jiang, M.Q.; Rehman, H. Evaluating the effect of renewable energy investment on renewable energy development in China with panel threshold model. Energy Policy 2024, 187, 114029. [Google Scholar] [CrossRef]
- Arellano, M.; Bover, O. Another look at the instrumental variable estimation of error-components model. J. Econom. 1995, 68, 29–51. [Google Scholar] [CrossRef]
- Xu, F.; Chen, Z.H. Empirical research on financial support for the development of new energy industry. Macroeconomics 2013, 8, 78–85+93. (In Chinese) [Google Scholar]
- Fan, Q.F.; Liu, Z. Research on the Relationship between the Inclusive and Interactive Development of China’s Provincial Green Finance and Clean Energy Industry. New Financ. 2021, 10, 36–46. (In Chinese) [Google Scholar]
- Zhang, Y.X.; Bi, S.C.; Li, J. Research on the Mechanism of Financial Markets’ Impact on Clean Energy Production: Empirical Evidence from the Yangtze River Economic Belt. Wuhan Financ. 2021, 12, 50–58. (In Chinese) [Google Scholar]



| Variable Category | Variable | Variable Code | Calculation Method and Source | Unit |
|---|---|---|---|---|
| Dependent variable | Development of clean energy industry | CE | Clean energy production/total energy production *100% | % |
| Independent variable | Financial scale | FIR | (0.5*(deposits and loans at the end of a year + deposits and loans at the end of last year))/GDP*100% | % |
| Financial efficiency | FE | Calculated by constructing the index system | % | |
| Green finance | GCL | One-interest expense of six high-energy-consuming industries/interest expense of industrial enterprises above designated size | % | |
| Control variable | Industrial structure | IS | Added value of secondary industry/GDP*100% | % |
| Technical progress | TI | Technology market turnover/GDP*100% | % | |
| Fiscal expenditure | PFE | National fiscal expenditure/GDP*100% | % | |
| Relative price of energy | PCE | Purchase prices of raw materials, fuels and electricity in different regions | % |
| Methods | Variable | |||||||
|---|---|---|---|---|---|---|---|---|
| CE | FIR | FE | GCL | IS | TI | PFE | PCE | |
| LLC | 11.558 | 3.463 | −7.796 *** | −3.978 *** | −4.039 *** | −20.448 *** | 3.598 | −9.723 *** |
| IPS | 12.940 | 8.177 | −5.931 *** | −1.331 * | 1.228 | −9.848 *** | 8.131 | −7.217 *** |
| Fisher ADF | 20.579 | 12.796 | 155.319 *** | 62.535 | 46.615 | 270.448 *** | 6.907 | 154.944 *** |
| Fisher PP | 20.133 | 4.576 | 78.883 * | 68.612 | 81.745 ** | 22.547 *** | 4.475 | 192.653 *** |
| Methods | Variable | |||||||
|---|---|---|---|---|---|---|---|---|
| dCE | dFIR | dFE | dGCL | dIS | dTI | dPFE | dPCE | |
| LLC | 10.362 *** | −8.479 *** | 11.5293 *** | 10.2820 *** | −6.126 *** | 1.789 | −7.465 *** | −26.061 *** |
| IPS | −11.118 *** | −8.235 *** | 12.5945 *** | 12.2214 *** | −6.591 *** | −5.673 *** | 10.233 *** | −26.341 *** |
| Fisher ADF | 322.225 *** | 187.612 *** | 276.410 *** | 269.556 *** | 150.492 *** | 143.667 *** | 220.216 *** | 593.915 *** |
| Fisher PP | 376.837 *** | 159.462 *** | 344.306 *** | 450.742 *** | 164.123 *** | 143.667 *** | 440.017 *** | 809.693 *** |
| Variable | Eastern Region | Central Region | Western Region | |||
|---|---|---|---|---|---|---|
| LLC | IPS | LLC | IPS | LLC | IPS | |
| CE | 4.434 | 6.008 | 7.316 | 7.373 | 2.956 | 4.248 |
| FIR | 0.605 | 4.265 | 1.923 | 4.773 | −0.230 | 3.498 |
| FE | −6.885 *** | −6.808 *** | −3.300 *** | −1.239 | −3.952 *** | −1.943 ** |
| GCL | −2.274 ** | −1.386 * | −1.469 * | −0.665 | −3.174 *** | −0.197 |
| IS | −2.699 *** | −0.094 | −2.154 ** | 0.852 | −2.125 ** | 1.384 |
| TI | −1.729 ** | 2.290 | −1.187 | 2.351 | −1.050 | 1.878 |
| PFE | 2.840 | 5.732 | 2.649 | 5.162 | 0.555 | 3.066 |
| PCE | −8.477 *** | −5.757 *** | −4.111 *** | −3.518 *** | −3.614 *** | −3.103 *** |
| dCE | −0.918 | −3.917 *** | −2.787 *** | −3.736 *** | −5.552 ** | −6.063 *** |
| dFIR | −10.247 *** | −9.148 *** | −8.484 *** | −6.564 *** | −5.963 *** | −6.411 *** |
| dFE | −8.060 *** | −8.987 *** | −5.258 *** | −6.101 *** | −6.543 *** | −6.622 *** |
| dGCL | −7.656 *** | −8.430 *** | −3.778 *** | −5.093 *** | −6.712 *** | −7.625 *** |
| dIS | −5.321 *** | −5.064 *** | −1.513 * | −2.277 ** | −1.376 * | −2.233 ** |
| dTI | −4.771 *** | −8.142 *** | −6.064 *** | −7.198 *** | −3.758 *** | −5.226 *** |
| dPFE | −4.161 *** | −7.030 *** | −4.325 *** | −5.446 *** | −4.484 *** | −5.169 *** |
| dPCE | −12.491 *** | −14.451 *** | −16.897 *** | −15.907 *** | −16.073 *** | −15.348 *** |
| Original Hypothesis | Whole Country | Eastern Region | Central Region | Western Region | ||||
|---|---|---|---|---|---|---|---|---|
| Fisher Joint Trace Statistics | Fisher Joint Eigenvalue Statistics | Fisher Joint Trace Statistics | Fisher Joint Eigenvalue Statistics | Fisher Joint Trace Statistics | Fisher Joint Eigenvalue Statistics | Fisher Joint Trace Statistics | Fisher Joint Eigenvalue Statistics | |
| None | 3461 *** | 994.3 *** | 1333 *** | 363.1 *** | 1114 *** | 312.6 *** | 1013 *** | 318.5 *** |
| At most 1 | 1337 *** | 974.9 *** | 517.0 *** | 363.9 *** | 432.1 *** | 342.8 *** | 387.7 *** | 268.2 *** |
| At most 2 | 744.4 *** | 421.2 *** | 302.6 *** | 181.0 *** | 225.7 *** | 123.5 *** | 216.1 *** | 116.6 *** |
| At most 3 | 391.2 *** | 235.5 *** | 153.9 *** | 86.14 *** | 120.1 *** | 60.66 *** | 117.2 *** | 88.73 *** |
| At most 4 | 203.8 *** | 132.7 *** | 82.10 *** | 51.85 *** | 72.67 *** | 41.17 *** | 49.00 *** | 39.72 *** |
| At most 5 | 110.9 *** | 81.65 ** | 44.51 *** | 29.71 | 42.66 *** | 35.62 ** | 23.70 | 16.32 |
| At most 6 | 72.02 | 52.62 | 31.24 * | 25.19 | 22.80 | 15.56 | 17.98 | 11.86 |
| At most 7 | 97.48 *** | 97.48 *** | 35.04 ** | 35.04 ** | 33.01 ** | 33.01 ** | 29.43 ** | 29.43 ** |
| Causal Relationship | Whole Country | Eastern Region | Central Region | Western Region |
|---|---|---|---|---|
| DFIR does not Granger-Cause DCE | 2.40511 ** | 0.29353 | 2.11952 * | 2.76571 ** |
| DCE does not Granger-Cause DFIR | 0.57985 | 0.16651 | 0.26806 | 0.88117 |
| DFE does not Granger-Cause DCE | 0.45630 | 0.23063 | 0.57874 | 2.35747 ** |
| DCE does not Granger-Cause DFE | 2.85197 ** | 0.57625 | 2.37085 * | 3.49746 *** |
| DGCL does not Granger-Cause DCE | 1.99875 * | 2.29428 * | 0.58916 | 1.06009 |
| DCE does not Granger-Cause DGCL | 0.37138 | 0.68928 | 1.43874 | 0.71572 |
| DIS does not Granger-Cause DCE | 4.11083 *** | 3.31518 ** | 2.44465 ** | 2.67825 ** |
| DCE does not Granger-Cause DIS | 0.20734 | 0.72962 | 0.20180 | 0.28657 |
| DTI does not Granger-Cause DCE | 2.10157 * | 2.14703 * | 1.71213 * | 2.71378 * |
| DCE does not Granger-Cause DTI | 0.92303 | 3.08413 ** | 2.22979 ** | 3.13659 |
| DPFE does not Granger-Cause DCE | 2.21411 * | 2.68133 * | 0.43817 | 3.21205 *** |
| DCE does not Granger-Cause DPFE | 1.71857 | 0.60056 | 0.80529 | 1.02880 |
| DPCE does not Granger-Cause DCE | 2.02123 * | 0.79355 | 2.36527 * | 1.96295 * |
| DCE does not Granger-Cause DPCE | 1.63217 | 1.09926 | 0.55624 | 1.70772 |
| Variables | Periods | Whole Country | Eastern Region | Central Region | Western Region |
|---|---|---|---|---|---|
| dCE | 5 | 97.13255 | 94.79161 | 95.90262 | 90.84486 |
| dFIR | 5 | 0.605383 | 0.134431 | 1.640744 | 1.3632 |
| dFE | 5 | 0.397961 | 2.071669 | 0.258463 | 0.835489 |
| dGCL | 5 | 0.427737 | 0.835189 | 0.35289 | 1.13151 |
| dIS | 5 | 0.538387 | 0.158457 | 1.044773 | 3.298526 |
| dTI | 5 | 0.169874 | 0.373197 | 0.457487 | 0.439469 |
| dPFE | 5 | 0.438242 | 0.903897 | 0.169858 | 1.872908 |
| dPCE | 5 | 0.289863 | 0.731551 | 0.173165 | 0.214037 |
| dCE | 10 | 97.03813 | 94.57334 | 95.39566 | 90.35776 |
| dFIR | 10 | 0.615191 | 0.237785 | 1.674518 | 1.357125 |
| dFE | 10 | 0.42061 | 2.0708 | 0.319465 | 0.85255 |
| dGCL | 10 | 0.434198 | 0.852151 | 0.42015 | 1.154205 |
| dIS | 10 | 0.546291 | 0.159246 | 1.040869 | 3.597552 |
| dTI | 10 | 0.203845 | 0.460871 | 0.64892 | 0.482699 |
| dPFE | 10 | 0.448374 | 0.902825 | 0.295523 | 1.972252 |
| dPCE | 10 | 0.293359 | 0.74298 | 0.204895 | 0.225853 |
| dCE | 15 | 97.03627 | 94.56798 | 95.37184 | 90.30537 |
| dFIR | 15 | 0.616138 | 0.238919 | 1.675175 | 1.359388 |
| dFE | 15 | 0.420779 | 2.070752 | 0.320049 | 0.870366 |
| dGCL | 15 | 0.434194 | 0.852362 | 0.42031 | 1.157017 |
| dIS | 15 | 0.546321 | 0.160618 | 1.041093 | 3.601576 |
| dTI | 15 | 0.204445 | 0.463577 | 0.651093 | 0.508061 |
| dPFE | 15 | 0.448484 | 0.902799 | 0.314931 | 1.972359 |
| dPCE | 15 | 0.293365 | 0.742998 | 0.205508 | 0.225866 |
| dCE | 20 | 97.03625 | 94.56798 | 95.37117 | 90.30308 |
| dFIR | 20 | 0.616141 | 0.238919 | 1.675236 | 1.359586 |
| dFE | 20 | 0.42078 | 2.070752 | 0.320084 | 0.870862 |
| dGCL | 20 | 0.434194 | 0.852362 | 0.420321 | 1.157385 |
| dIS | 20 | 0.546333 | 0.160618 | 1.041111 | 3.602583 |
| dTI | 20 | 0.204449 | 0.463577 | 0.651243 | 0.508295 |
| dPFE | 20 | 0.448484 | 0.902799 | 0.315291 | 1.972333 |
| dPCE | 20 | 0.293365 | 0.742998 | 0.205541 | 0.22588 |
Disclaimer/Publisher’s Note: The statements, opinions and data contained in all publications are solely those of the individual author(s) and contributor(s) and not of MDPI and/or the editor(s). MDPI and/or the editor(s) disclaim responsibility for any injury to people or property resulting from any ideas, methods, instructions or products referred to in the content. |
© 2024 by the authors. Licensee MDPI, Basel, Switzerland. This article is an open access article distributed under the terms and conditions of the Creative Commons Attribution (CC BY) license (https://creativecommons.org/licenses/by/4.0/).
Share and Cite
Xu, G.; Zhang, L.; Li, Z.; Huang, Z.; Jiang, H.; Marma, K.J.S. Exploring the Supporting Role of Finance in the Development of Clean Energy in China Based on the Panel Vector Autoregressive Model. Sustainability 2024, 16, 6258. https://doi.org/10.3390/su16146258
Xu G, Zhang L, Li Z, Huang Z, Jiang H, Marma KJS. Exploring the Supporting Role of Finance in the Development of Clean Energy in China Based on the Panel Vector Autoregressive Model. Sustainability. 2024; 16(14):6258. https://doi.org/10.3390/su16146258
Chicago/Turabian StyleXu, Guangyue, Lulu Zhang, Zhongzhou Li, Zili Huang, Hongyu Jiang, and Kyaw Jaw Sine Marma. 2024. "Exploring the Supporting Role of Finance in the Development of Clean Energy in China Based on the Panel Vector Autoregressive Model" Sustainability 16, no. 14: 6258. https://doi.org/10.3390/su16146258
APA StyleXu, G., Zhang, L., Li, Z., Huang, Z., Jiang, H., & Marma, K. J. S. (2024). Exploring the Supporting Role of Finance in the Development of Clean Energy in China Based on the Panel Vector Autoregressive Model. Sustainability, 16(14), 6258. https://doi.org/10.3390/su16146258

