Next Article in Journal
Understanding Consumers’ Willingness to Pay More and Choice Behavior for Organic Food Products Considering the Influence of Skepticism
Next Article in Special Issue
Thraustochytrids and Algae as Sustainable Sources of Long-Chain Omega-3 Fatty Acids for Aquafeeds
Previous Article in Journal
IPR Protection and Sustainable Economic Growth: Domestic R&D Level and International R&D Trade Cooperation Perspective
Previous Article in Special Issue
Sustainability Activities in a Hard-to-Abate Industry—A Real-Life Example
 
 
Font Type:
Arial Georgia Verdana
Font Size:
Aa Aa Aa
Line Spacing:
Column Width:
Background:
Article

Hydrolysis Optimization of Thraustochytrid (Heterotrophic Protist) Biomass for the Production of a New and Sustainable Ingredient for the Aquafeed Industry

by
Mariana Ventura
1,*,
Cloé Oroy
2,
Natalia Llopis Monferrer
3,
Fabienne Le Grand
3,
Marc Long
3,
Valentin Foulon
4,
Luc Chauchat
3,
Denis de la Broise
3,
Fabienne Guerard
3 and
Philippe Soudant
3,*
1
Discovery & Front-End Innovation, Lesaffre Institute of Science & Technology, Lesaffre International, 59700 Marcq-en-Barœul, France
2
Symrise Pet Food, Z.A. du Gohelis, 56250 Elven, France
3
Univ Brest, CNRS, IRD, Ifremer, LEMAR, 9280 Plouzané, France
4
ENIB, UMR CNRS 6285 LabSTICC, 29238 Brest, France
*
Authors to whom correspondence should be addressed.
Sustainability 2024, 16(14), 6052; https://doi.org/10.3390/su16146052
Submission received: 13 April 2024 / Revised: 26 May 2024 / Accepted: 20 June 2024 / Published: 16 July 2024

Abstract

Thraustochytrids biomass, rich in docosahexaenoic acid (DHA), could be a sustainable ingredient for the aquafeed industry. However, its production cost renders it less competitive than fishmeal and fish oil from wild-caught fish. This study proposes optimizing the hydrolysis conditions of thraustochytrid biomass to generate an ingredient with improved properties thanks to the production of peptides with different biological activities. The improved nutritional value of the biomass could justify its use to decrease the amount of wild-caught fish in aquafeed, which would enhance the sustainability of fish aquaculture. First, two commercial proteases, Papain and Alcalase 2.4L, were compared for their capacity to hydrolyze the biomass. The best degree of hydrolysis (19 ± 1%) was obtained with Alcalase 2.4L, which was then used for the optimization of the pH, enzyme concentration and reaction time using response surface methodology. The results showed that the highest concentration of peptides and DHA in the aqueous phase was obtained with a pH, enzyme concentration and reaction time of 7.5, 2.7% and 205 min, respectively. If thraustochytrid hydrolysates prove to improve fish fitness, this mild and free-solvent process protocol could be used to produce a sustainable ingredient for aquafeed.

1. Introduction

n−3 long-chain polyunsaturated fatty acids (n−3 LC PUFAs) such as docosahexaenoic acid (C22:6n−3, DHA) are an important component of aquafeed formulations for aquaculture due to the important role they play in the regulation and protection of the cardiovascular and nervous systems in humans [1], the final consumers of fish. To date, the main sources of DHA for the aquafeed industry have come from wild pelagic fish resources [2]. However, the production of aquaculture is expected to double by 2050, having a negative impact on wild fish stocks [2]. Therefore, new sustainable alternatives to these limited resources are needed to cope with the growing demand from the aquafeed industry.
Thraustochytrids are heterotrophic protists present in marine food webs [3] which have received considerable attention for their capacity to produce DHA [4,5]. These oleaginous microorganisms are one of the potential alternatives to fish oil. However, one of the main obstacles to the use of thraustochytrid biomass in animal nutrition is its production cost, which is primarily attributed to the cost of the substrate used for cultivation [6]. To make the production of this biomass more profitable, several strategies are presented in the literature, including the use of low-cost substrates such as industrial by-products [7]. Another strategy is to increase the nutritional quality of the biomass. While the processes used for this may make the biomass more expensive than fishmeal or fish oil, the improved nutritional quality will justify its use in aquaculture and decrease the amount of wild-caught fish in aquafeed, making the aquaculture industry more sustainable. In this study, we explored the valorization of the protein fraction of thraustochytrids, which is rarely exploited in scientific studies or industrial processes.
The nutritional value of thraustochytrid proteins could be increased through enzymatic hydrolysis, a mild and solvent-free process. In this process, proteolytic enzymes bind to proteins and break the peptide bonds, resulting in the formation of peptides of different sizes. Protein hydrolysates have already been proven to improve the fishmeal of sea bass (Dicentrarchus labrax) larvae, allowing for better growth rates and survival and reducing malformations [8,9]. Moreover, enzymatic hydrolysis ameliorated the digestibility of Nannochloropsis oceanica in the diets of sea bass juveniles [10]. This process may not only improve the digestibility of the biomass but may also result in the production of bioactive peptides. These short amino acid (AA) chains, usually composed of 2–20 AAs (or in the range of 200 to 2000 Daltons), can have different nutritional (and health) benefits, including anti-thrombotic, mineral binding, antioxidant, antihypertensive, anti-microbial, anti-cancer and/or immuno-modulatory properties, among others [11,12,13].
Although enzymatic hydrolysis is a complex bioprocess, by selecting the best hydrolysis conditions and the degree of hydrolysis (DH), it is possible to control the molecular weight of the produced peptides and thus design the properties of the final product [14,15]. Controlling the DH is important, as it determines the extent to which the native protein is broken down into peptides. If the DH is too low, the quantity of the desired peptides will be low. However, a too high DH or a complete hydrolysis of the biomass can lead to the destruction of the peptides and their activity, as well as a production of free AAs, which are absorbed more slowly than peptides [16]. Thus, the process may become inefficient or economically irrelevant.
Several factors can affect the DH, such as the type of protease, enzyme-to-substrate ratio (E/S), pH, temperature, time of reaction, agitation or the presence of endogenous enzymes [17]. The choice of the protease is one of the key steps in the proteolysis process. Some studies have already practiced enzymatic hydrolysis on thraustochytrid biomass, and many of them have used Alcalase [18,19]. This protease is a serine endopeptidase produced by the fermentation of a selected strain of Bacillus licheniformis, and it has been widely used for the production of bioactive peptides from different substrates [17]. It has a broad working pH and temperature range; however, it has an optimal activity at a pH between 7 and 9 and at a temperature between 30 and 65 °C. Other studies also used Papain, a cysteine endopeptidase derived from papaya (Carica papaya). This enzyme has been extensively used for the production of antioxidant peptides from different substrates, such as fish residues or microalgae [20,21]. Compared to Alcalase, Papain has a lower optimum pH but a similar temperature range.
The objective of this study was to optimize the enzymatic hydrolysis conditions of thraustochytrid biomass in order to obtain a hydrolysate with a high content of peptides between 200 and 2000 Da and DHA in the same aqueous phase (AP) and a DH between 10% and 20%.

2. Materials and Methods

2.1. Chemicals

The chemicals and reagents used in this study were of analytical grade. Potassium phosphate monobasic, potassium phosphate dibasic, (±)-6-Hydroxy-2,5,7,8-tetramethylchromane-2-carboxylic acid (Trolox), fluorescein sodium salt, 2,2′-azobis 2-amidinopropane dihydrochloride (AAPH) and acetonitrile were purchased from Sigma-Aldrich (St. Louis, MO, USA). Trifluoroacetic acid was purchased from Fischer Scientific (Waltham, MA, USA). For SEC-HPLC analysis, ten molecular standards were used for the column calibration (Sigma-Aldrich, St. Louis, MO, USA): Glycine (75 Da; G7126), L-threonine (119 Da; T8625), L-asparagine (132 Da; A0884), Leupeptin (463 Da; L9783), Substance P F1–7 (900 Da; S6272), Luteinizing Hormone-Releasing Hormone (LH-RH) (1182 Da; L7134), Substance P acetate (1347 Da; S6883), Neurotensin (1672 Da; N6383), Insulin (3495 Da; I6383) and Cytochrome C (12,327 Da; C2037).

2.2. Biological Material

The substrate used in this study was the commercial thraustochytrid biomass sold under the name of DHA Gold by the company DSM (Heerlen, the Netherlands). DHA Gold is the dried biomass of the whole cells of Schyzochytrium sp. (ATCC PTA 9695) used in animal nutrition products and complemented with natural antioxidants (lecithin, rosemary extract, mono- and diglycerides and citric acid). This biomass containing a high DHA percentage can be easily purchased in large quantities and stored at 4 °C until use. The protocol performed with this biomass could be easily applied to any other thraustochytrid biomass.

2.3. Comparison of the Effect of Two Proteases for the Digestion of Thraustochytrid Biomass

Two commercial enzymes, Papain and Alcalase 2.4L, were first compared for their capacity to hydrolyze the thraustochytrid biomass. As mentioned in the introduction, these two enzymes have been used for thraustochytrid biomass hydrolysis, but it is not clear which one is the best for peptide production. The DH (measured using the pH-Stat method) and the molecular weight of the peptides released with both proteases and the control condition (SEC-HPLC) were compared in order to decide which enzyme would be used for hydrolysis optimization. Papain (EC 3.4.22.2, Sigma-Aldrich, St. Louis, MO, USA) has optimal activity at 65 °C and in a pH range of 6–7. The batch used had a proteolytic activity of 17.7 U · mg−1 and a concentration of 19.9 mg · mL−1. Alcalase 2.4L (EC 3.4.21.62, Sigma-Aldrich, St. Louis, MO, USA) has an optimal pH and temperature of 7–9 and 30–65 °C, respectively, and a density of 1.25 g · mL−1, and its declared proteolytic activity is 2.4 U · g−1.
For these experiments, the working pH was set at 6.8. This pH condition is not in the optimal pH range for Alcalase 2.4L; however, since the thraustochytrid biomass used in this study has a pH of 4, this allowed us to compare Alcalase 2.4L acidic hydrolysis with that of Papain (which has a more acidic optimal pH range than Alcalase 2.4L). The enzymes were used at a concentration of 0.8 U · L−1. All the experiments were performed in a 500 mL double-walled glass reactor (Pyrex) with a biomass concentration of 100 g · L−1 in distilled water. The temperature was set at 50 °C, and the biomass was stirred with a 3-bladed propeller (Janke & Kunkel, IKA-Labortechnik, Staufen im Breisgau, Germany). The hydrolysis was conducted for 2 h. Control conditions without enzymes was performed with the same hydrolysis conditions. The experiments were conducted in triplicate for each protease tested and the control conditions. At the end of the hydrolysis, the enzymes were inactivated in a water bath at 80 °C for 20 min. The hydrolysate was cooled to room temperature and freeze-dried for 96 h (freeze-drier Christ Alpha 1–4 LD plus, Bioblock Scientific, Illkirch, France) before storage at −20 °C until further analysis.

2.4. Optimization of Enzymatic Hydrolysis Conditions of Thraustochytrid Biomass by RSM

Based on the comparison of the two enzymes, the study was pursued using Alcalase 2.4L. Hydrolysis were conducted in a 500 mL double-walled reactor with a biomass concentration of 100 g · L−1 in distilled water at 50 °C and terminated through the inactivation of the enzyme, as described above (80 °C, 20 min). The different experimental conditions were analyzed using RSM and CCD. This type of design comprises a two-level factorial design with central points that are repeated three times to improve the predictive capability of the model. Axial points were added to the experimental design to permit the estimation of the curvature of the response surface. The factors evaluated to optimize the hydrolysis were E/S (from 0.6% to 3%), where the substrate is the content of protein in the biomass, the pH of the reaction (between 7 and 8) and the reaction time (60 min to 180 min). The ranges proposed for each variable were determined based on preliminary experiments. A plan of 17 experiments was designed (Table 1), and the results were analyzed in order to optimize 3 criteria. The first one was to maximize the peptide area (mAU · min) in the range of 2000–200 Da in the AP. This variable will be referred to as PEP concentration. In this study, it was assumed that the peptide area measured in mAU · min is an indicator of peptide concentration, and therefore a higher area means a higher concentration. This concept is valid in the case of injection at the same volume (which is the case in this study). The second criterion was to maximize the DHA percentage in the total lipids of the AP (TL-DHA) with the objective of obtaining a product rich in both bioactive peptides and DHA, giving an added value to the hydrolysate. Finally, the third criterion was to obtain a DH (pH-Stat) between 10% and 20%. These values were chosen based on preliminary tests, which showed that these DH values allowed an optimal production of peptides at the desired molecular weight range without creating too many free AAs.
The Statgraphics software (Statgraphics 18, FRANCESTAT, Neuilly-sur-Seine, France) was used to create the CCD and determine the optimum conditions to maximize the response variables. The ANOVA test, the F test and the determination coefficient R2 were used to analyze the adequacy of the model and the statistical significance. For each criterion, the model proposes a second-order polynomial equation to calculate the predicted values considering the quadratic effects of each factor, the interactions between different factors and the linear relationships between them.

2.5. Model Validation

The model was validated by performing hydrolysis with a combination of factors that were convenient in view of industrial, economic and sustainability criteria. The hydrolysis for validation was conducted in triplicate, and the observed values were compared to the values predicted by the model equations. A control without enzymes was also performed in triplicate. After enzyme inactivation, as described above, the biomass was separated in aliquots to analyze the different components of the hydrolysate. One aliquot was freeze-dried without any other manipulation (whole hydrolysate, WH). A second aliquot was centrifugated at 15,000× g during 30 min (Centrifuge 5810R, Eppendorf, Germany) to obtain a sample composed of the AP and an emulsion (AP + E), a sample composed of the AP alone and a sample of the non-hydrolyzed biomass (bottom phase, BP). Finally, a sample of the AP was centrifuged at 10,000× g for 30 min using an 10,000 NMWL Amicon Centrifugal Filter Unit (Merck KGaA, Darmstadt, Germany) to discard molecules larger than 10 kDa (AP 10 kDa).

2.6. Monitoring of Enzymatic Hydrolysis with the pH-Stat Method

The DH was determined using the pH-Stat method. The DH is measured by the sodium hydroxide titration of the amino groups liberated during hydrolysis in an alkaline medium and calculated according to Equation (1) [22]:
D H % = B × N b α × M p × h t o t × 100
where B is the volume of the titrant (mL), Nb its normality (meq · mL−1), α is the mean degree of dissociation of α-amino groups (Table 2), Mp is the protein mass (g) and htot is the number of peptide bonds per gram of proteins. The value for htot (6.41) was calculated from the characterization of the total AA profile. The pH of the hydrolysis was maintained with NaOH 0.5 N using a high-end potentiometric titrator (902 Titrando, Metrohm Ltd., Herisau, Switzerland).

2.7. Size Exclusion HPLC (SEC-HPLC)

Freeze-dried samples were diluted at 10% (W/W) in MilliQ Water, agitated for 15 min at 100 rpm and centrifuged at 10,000× g for 30 min using an 10,000 NMWL Amicon centrifugal filter unit (Merck KGaA, Darmstadt, Germany) to discard molecules larger than 10 kDa (AP 10 kDa). The molecular weight profile of the samples was then analyzed by SEC-HPLC using a Superdex 30 Increase 10/300 GL column with a fractionation range from 100 to 7000 Da (10 × 300–310 nm, Cytiva, Marlborough, MA, USA). A UHPLC Dionex Ultimate 3000 Series system (Thermo Fisher Scientific, MA, USA) equipped with a photo-diode array detector (DAD-3000, Thermo Fisher Scientific, MA, USA) was used. The mobile phase was composed of water with 0.1% trifluoroacetic acid and 30% acetonitrile, the flow rate was set at 0.5 mL · min−1 and the absorbance was measured at 214 nm. For this analysis, 50 μL of the samples was injected, and the elution time was 60 min. After each analysis, the data were processed using Chromeleon 0.7 software (Thermo Fisher Scientific, MA, USA).

2.8. Biochemical Analysis of the Biomass

Analyses of AAs and proteins were performed by a subcontractor (Upscience, Saint-Nolff, France).

2.9. Lipid Extraction and Fatty Acid (FA) Analysis

Lipids were extracted from the freeze-dried biomass (20 mg for the biomass before hydrolysis and the WH and 50 mg for the AP of the hydrolyzed thraustochytrid biomass) as described in [23], using chloroform instead of dichloromethane. After gravimetric determination of the total lipids, the neutral and polar lipids were separated from the total lipid extract (TL) by solid-phase extraction as described in [24] with slight modifications. Briefly, 0.25 μL of TL was evaporated to dryness under nitrogen, recovered with 3 washes of 0.5 mL of CHCl3:MeOH (98:2 v/v; final volume 1.5 mL) and spotted at the top of a silica gel column. The neutral lipid fraction was eluted with 10 mL of CHCl3:MeOH (98:2, v/v) and the polar fraction with 20 mL of MeOH. After the addition of an internal standard (23:0, in free FA form), both lipid fractions were dried in an EZ-2 evaporator (Genevac, Ipswich, UK) and hydrolyzed in 1 mL of KOH-MeOH (0.5 M) for 30 min at 80 °C. The samples were then transesterified with 1.6 mL of MeOH:H2SO4 (3.4%; v/v) for 10 min at 100 °C. The FA methyl ester (FAME) were recovered in hexane and analyzed by gas chromatography coupled to a flame ionization detector (GC-FID; Varian CP8400 gas chromatograph, Agilent, CA, USA). FAME were identified by comparing their retention time to those of external commercial standard mixtures (S37 FAME Mix, PUFA No.1, and PUFA No.3, Supelco, PA, USA) using the software Galaxie 1.9.3.2 (Agilent). FAME peak area was converted into μg of FA based on the peak area of the internal standard C23:0, and the FAs contents were expressed in mg · 100 g−1 DW and as a percentage (%) of total FAs.

2.10. Determination of Antioxidant Activity

The AP + E, BP and AP 10 kDa fractions of the hydrolysate and the control without enzymes in validation conditions were tested for their antioxidant activity using the oxygen absorbance capacity (ORAC) assay. This method is based on the oxidation of a fluorescent probe, fluorescein, through the addition of a free radical generator (2,2′-azobis 2-amidinopropane dihydrochloride, AAPH) that quenches the fluorescein over time. The antioxidant molecules present in the sample block the generation of free radicals until the antioxidant activity of the sample is depleted. Briefly, 25 μL of the sample and 150 μL of fluorescein (4 · 10−9 M) diluted in phosphate buffer (75 mM, pH 7.4) were placed in the well of a plate (black 96-well plates—FLUOTRAC 200; Greiner Bio-One, Kremsmünster, Austria). The plates were incubated at 37 °C for 10 min. After 10 min of incubation, the oxidation of the fluorescein was initiated through the addition of 25 μL of 153 mM AAPH diluted in phosphate buffer (pH 7.4). The fluorescence decay was monitored every minute for 150 min using a fluorescence plate reader (Infinite M Plex, TECAN, Männedorf, Switzerland) at excitation and emission wavelengths set at 485 nm and 520 nm, respectively. The plate was automatically shaken for 10 s before each reading. Each extract was tested in triplicate. Trolox, a water-soluble vitamin E analog, diluted in phosphate buffer, was used to establish a calibration curve with 6 concentrations (200, 100, 50, 25, 12.5, 6.25 μM). The area under the curve (AUC) was calculated for each sample by integrating the relative fluorescence curve. The net AUC of the sample was calculated by subtracting the AUC of the blank. The regression equation between the net AUC and Trolox concentration was determined. The results are expressed as Trolox equivalents (μmol TE · g−1 of sample).

3. Results and Discussion

3.1. Biochemical Characterization of Thraustochytrid Biomass

The biomass used in this study contained a high fat content (42.2 g · 100 g−1) and a low protein content (12 g · 100 g−1). The major FAs were the saturated FA 16:0 (25.6% of total FAs) and the PUFAs 22:6n−3 (DHA, 42% of total FAs) and 22:5n−6 (17% of total FAs) (Table 3). The main AAs were glutamic acid (19.2% of total AAs) and aspartic acid (11.2% of total AAs), followed by arginine (7.6% of total AAs) and leucine (8.3% of total AAs) (Table 3). The composition of the biomass used in this study coincided with the data reported in other studies using Schizochytrium spp. [25,26,27,28], which indicates that the protocol developed in this study could be easily adapted to other thraustochytrid biomass. However, the protein content of the biomass was low compared to that of other species of microalgae such as Chlorella spp. (up to 58% protein/DW) and Scenedesmus spp. (up to 56% protein/DW) [29]. The low protein content in thraustochytrid biomass will result in a concomitant low concentration of peptides. To overcome this limitation, the protein can be separated from the rest of the biomass in order to only hydrolyze that fraction [18]. This approach would result in a higher concentration of peptides, leading to increased biological activity due to such fraction. However, this method needs an additional extraction step, increasing the overall cost of the process. In this study, we opted to hydrolyze the whole biomass without pre-treatment in order to obtain a product rich in PUFAs and peptides at the same time with potential enhanced bioactivity.

3.2. Comparison of the Effect of Alcalase 2.4L and Papain for the Digestion of Thraustochytrid Biomass

Several commercial enzymes are now available and can be used to break down the proteins of thraustochytrids. In this study, we decided to use Alcalase 2.4L, which has already been proven to be efficient in producing bioactive peptides from various substrates [17], and Papain, which is an enzyme that can work at a more acidic pH than Alcalase 2.4L and is therefore closer to the natural pH of the thraustochytrid biomass.
To determine the efficiency of the enzymes, the DH and peptide molecular weight of the hydrolysate produced were evaluated. With an enzyme concentration of 0.8 U · L−1, a pH of 6.8 and 2 h of reaction time, a DH of 19 ± 1% was obtained with Alcalase 2.4L, while with Papain, the biomass was almost not hydrolyzed (DH 0.2 ± 1%). This was confirmed by the SEC-HPLC results. Figure 1 shows the chromatographic profiles of the Alcalase 2.4L and Papain hydrolysates and the control. No increase in peptide concentration was observed with the addition of Papain, as its chromatogram profile is identical to that of the control without enzymes. There is evidence that Papain can successfully extract the oil from Schizochytrium spp. lipid droplets after cell disintegration by ultrasound [30] and that it can also hydrolyze Aurantiochytrium limacinum protein residue after oil extraction [18]. However, it seems that without pre-treatment of the biomass, this enzyme does not work as well as Alcalase 2.4L. Although Alcalase 2.4L is an enzyme whose optimum is in the pH range of 7 to 8, this study demonstrates that even at a low pH, this enzyme is more efficient than other enzymes whose pH optimum is more acidic. However, even if the DH obtained with Alcalase 2.4L is within the values targeted by this study, it is important to optimize the hydrolysis conditions in order to maximize the results with a minimal enzyme concentration (3% of the protein content in this experiment) due to economic (since this is the most expensive factor in this kind of process) and sustainability issues.

3.3. Optimization of the Hydrolysis Conditions with Alcalase 2.4L Using Response Surface Methodology

The optimization of (A) pH, (B) reaction time and (C) E/S for the enzymatic hydrolysis using Alcalase 2.4L was performed using a CCD. The PEP and TL-DHA concentrations in the AP, and the DH were the three criteria chosen to evaluate the optimal hydrolysis conditions.
The analysis of the variance of the model was carried out with the centered reduced values of the variables (Table 4) to obtain a better assessment of the model’s significance. The p-value of the three factors studied was significant (p-value < 0.01), indicating that the models had high significance levels. Moreover, the adjusted R-squared (R2) indicates that the model explains 93.6% of the variability in the DH and 98.7% of the variability in PEP concentration, meaning that the model has a good capacity to predict the response for new observations when changing these factors. The adjusted R-squared of the TL-DHA concentration was lower (77.1%), meaning that the model has a lower predictive power for this response. This is because the concentration of TL-DHA in the AP did not vary substantially with the different hydrolysis conditions and was around 11 ± 2% considering all the experiments performed.
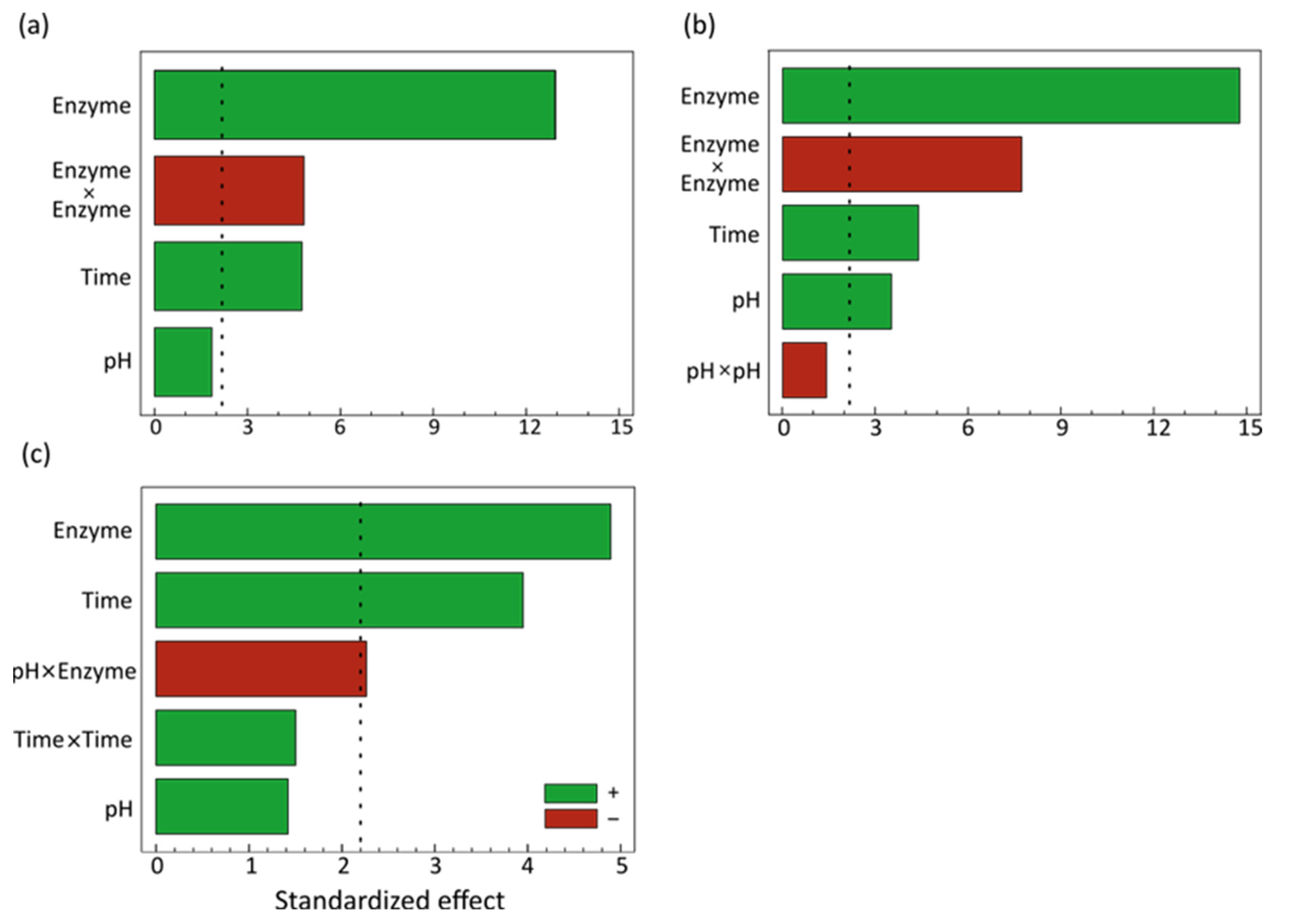
To obtain a DH between 10 and 20% and to maximize PEP and TL-DHA concentrations in the AP, the factors were optimized, taking into account their real values. Moreover, some of the terms that did not have a significant effect on the response were removed from the equation to simplify the model without affecting its accuracy or predictive power. The analysis of variance of the terms that were used to predict the response of DH, PEP and DHA is shown in Table S1. Pareto charts (Figure 2) show factors with the highest effect on each response and whether their effect is positive or negative. E/S (Enzyme) is the term that has the strongest positive effect on the three responses. However, the quadratic term Enzyme × Enzyme has a significant negative effect on the DH and PEP concentration, meaning that this factor has a maximum value at which the DH and PEP concentration start to decrease. The time of reaction (Time) also has a significant positive effect for the three responses, while pH has a significant positive effect only for PEP concentration, and it is the term with the weakest effect on the response. Finally, the interaction term pH × Enzyme has a significant negative effect on the TL-DHA concentration; this indicates that when the pH is increased, the E/S should be decreased (and the other way around) to maximize the TL-DHA concentration in the AP.
The response surfaces (Figure 3) show that increasing the hydrolysis time leads to an increase in the response; however, it should be noted that the maximum hydrolysis time evaluated in this study was 205 min and is not possible to conclude that longer hydrolysis would be advantageous. Longer reaction times could lead to an excessively high DH, causing the enzymes to begin attacking the peptides formed and increasing the concentration of free AAs in the AP. Given that free AAs have a lower nutritional quality, it is necessary to find a balance between producing as many peptides of the desired size as possible while limiting the increase in the free AA concentration [16,31]. Regarding E/S, the optimal value is approximately 3%. Increasing E/S beyond this value when the hydrolysis time is at its maximum and the pH is 7.5 can negatively impact the PEP concentration and the DH. Furthermore, the pH also has a positive effect on the PEP concentration; however, its effect is quadratic, and values higher than 8.0 may lead to a decrease in the PEP concentration. This can be explained by the fact that changes in pH can alter the charge distribution and conformation of the substrate and the enzymes used, resulting in different interactions between the two [22].
As shown in Table 5, the optimal time of reaction and E/S conditions are similar for the three responses. However, the pH values are slightly different due to the quadratic effect on the PEP concentration. Since multi-response optimization is not possible with this type of design, several aspects had to be taken into consideration to choose the conditions for model validation.
The optimum TL-DHA concentration is obtained with a neutral-acid pH, while a more basic pH is needed to optimize the DH. It was decided to continue the validation of the model using a pH of 7.5 since this diminution of the reaction pH will only decrease the PEP concentration by 1.5% (11,573 mAU · min), but less NaOH would be added during the reaction, which is preferable for industrial transposition (scale-up). Regarding E/S, the optimal value for model validation was set at 2.7%. Although the model suggests a higher E/S to increase the DH and TL-DHA concentration, the enzyme quadratic effect may negatively affect the PEP concentration. Finally, the time was set at 205 min, which is the value proposed for the optimization of the three responses.

3.4. Validation of the Model for the Prediction of DH, PEP Concentration and TL-DHA of Thraustochytrid Hydrolysate

The validation was performed using a pH of 7.5, a reaction time of 205 min and an E/S of 2.7%. With these conditions, the predicted values were 15.3% for the DH, 11,573 mAU · min for the PEP concentration and 14.1% for the TL-DHA concentration in the AP. The chromatogram obtained using SEC-HPLC (Figure 4) reveals a significant production of peptides due to the addition of Alcalase 2.4L. The analysis of the area of each peptide fraction (Table 6) demonstrated a significant increase in the molecular weight fractions between 2000 and 200 Da in the Alcalase 2.4L-treated samples, which is the fraction that was targeted for maximization in the RSM.
Within this range, the 2000–1500 Da fraction displayed the highest percentage variation (170% increase), followed by the 1500–1000 Da (154% increase) and 1000–500 Da (108% increase) fractions. Moreover, the 9000–6000 Da fraction shows a reduction of 38%, which provides evidence that larger molecules were effectively digested by Alcalase 2.4L, leading to the generation of smaller and potentially bioactive compounds within the desired molecular weight range.
With the validation conditions, the observed PEP concentration was 11,228 mAU · min. Although the observed value is 3% lower than the predicted value, the validation experiment confirmed the performance of the model for PEP concentration prediction. Moreover, a TL-DHA concentration of 23 ± 1% was obtained, which is higher than the predicted value (+8%), indicating that we managed to optimize the TL-DHA concentration in the AP. Finally, a DH of 18.3 ± 0.25% was obtained. This value was also higher than the predicted value (+3%) but in the range of what we were expecting.

3.5. Lipid Composition of the Hydrolysate

The commercial value of thraustochytrid biomass lies in its lipid content and composition. Those parameters were studied in depth for the hydrolyzed biomass to see whether the process could have a negative impact on its PUFA content and profile. In the WH, the lipid content was conserved after hydrolysis (40.0 ± 2.4% of DW), and the FA profile was not affected by the hydrolysis conditions used as compared with the biomass before hydrolysis (Table 3). The major FAs were DHA and 16:0, and their contents were not modified by hydrolysis (Figure 5). In the AP, the total lipid content was 14 ± 0.3% of DW.
The AP was enriched in polar lipids (44 ± 5% of total lipids; 6.2 g · 100 g−1 DW), while the WH contained only 6 ± 0.3% of these lipids as polar lipids (2.4 g · 100 g−1 DW). Moreover, from the 22.7 ± 0.8% TL-DHA found in the AP, 9 ± 3.6% of the DHA was in the form of polar lipids. In Schizochytrium spp., the main polar lipids are the phospholipids (PLs) phosphatidylcholine, phosphatidylethanolamine and phosphatidylinositol [32,33,34,35]. Even if lipids are generally hydrophobic molecules, PLs have a polar head that renders them amphiphilic, making them soluble in an aqueous medium. A study with sardine viscera showed that Alcalase or Protamex were better at extracting PLs compared to other enzymes, such as Flavourzyme. In the same study, 74% of the PLs were found in the AP of the hydrolysate, while the oily fraction and sludge contained less than 20% each [36]. These results are interesting since there is evidence that PL ingestion is more efficient in the protection of brain activity than the ingestion of triglycerides [37]. Several studies have also demonstrated that marine fish and larvae assimilate PLs better than triglycerides [38,39,40,41]. A study by Cahu et al. (2003) [38] examined the impact of diets with different PL concentrations and PL/neutral lipid (NL) values on the development of sea bass larvae. The results indicated that larvae fed diets with higher levels of PLs and higher PL/NL values showed better growth rates and survival rates and less malformations than those fed diets with lower levels of PLs and lower PL/NL values. These beneficial effects of PLs are partly associated with better transport of FAs to the rest of the organs by lipoproteins, which are vesicles formed by PLs. These results indicate that the AP of the hydrolyzed thraustochytrid biomass could be an ingredient of great interest for the aquafeed industry due to its high content of DHA in the form of PLs (DHA-PLs) and its high PL/NL value. This enrichment in DHA-PLs was not an objective at the time the experiment was designed, so it is possible that the extraction yield could be improved by modifying the unitary operations of the process.

3.6. Determination of Antioxidant Activity with ORAC Assay

Antioxidant activity has already been demonstrated for thraustochytrid biomass and has been attributed to its high content of unsaturated FAs, tocopherols, phenolic compounds, flavonoids, carotenoids and sterols [42,43,44,45]. In addition, some studies have demonstrated the production of antioxidant peptides by enzymatic hydrolysis of thraustochytrid biomass [18,46]. Incorporated into fish feed, these antioxidant peptides could promote the antioxidant defense system of fish and improve their survival, resulting in a reduction in or the elimination of synthetic antioxidants in fishmeal [47,48].
In this study, the in vitro antioxidant activity was determined on the hydrolysate fractions AP + E, BP and AP 10 kDa produced under the model validation conditions. The AP + E fraction contains all the hydrolyzed soluble molecules and lipids extracted from the biomass. The BP fraction contains the non-hydrolyzed proteins and other insoluble molecules, and the AP 10 kDa fraction only contains dissolved molecules smaller than 10 kDa, including peptides produced through hydrolysis. The WH and the AP 10 kDa fraction produced without enzymes (AP 10 kDa—no enzymes) were also analyzed. All the fractions analyzed had high antioxidant activity and presented no significant differences (Figure 6), meaning that the peptides produced through hydrolysis do not bring additional antioxidant activity or are not concentrated enough to reveal their antioxidant effect. Moreover, it must be noted that the biomass used in this study contains added natural antioxidants, so they might also contribute to the total antioxidant capacity of the biomass. However, for all the fractions, the activity was measured for the fraction containing molecules smaller than 10 kDa. It is possible that with further fractionation (for example, of the 2000–200 Da fraction), the antioxidant activity of the produced peptides would be more evident. Moreover, in this study, the antioxidant activity was determined using the ORAC method since it is the most widely used method in the food industry. However, this method only measures peroxyl radicals, so it is important to study the activity of other potential antioxidant compounds that could be found in thraustochytrid hydrolysates by means of other methods (DPPH and hydroxyl radical scavenging ability, ABTS assay, FRAP assay, etc.). Finally, it is interesting to note that hydrolysis does not seem to destroy the molecules with antioxidant activity already present in thraustochytrid commercial biomass.

4. Conclusions

This study demonstrated that Alcalase 2.4L was more efficient than Papain for the hydrolysis of thraustochytrid commercial biomass, even at a low pH. A CCD was performed to optimize the pH, the E/S and the time of reaction of the hydrolysis using Alcalase 2.4L. The validation of the model was performed using a pH of 7.5, a reaction time of 205 min and an E/S of 2.7%. With these conditions, the PEP concentration and the TL-DHA content in the AP were maximized (11,228 mAU · min and 23%, respectively), and a DH of 18% was obtained. These results confirmed the predictive capacity of the CCD model.
The hydrolysis conditions proposed in this study did not affect the FA profile or the lipid content of the biomass and promoted an enrichment of the AP with PLs. Because of its high content of peptides and promising DHA-PL content, the AP produced from thraustochytrid biomass could be a sustainable ingredient in the aquafeed industry. A tendency to increase the antioxidant activity was observed for the hydrolysis carried out with Alcalase 2.4L, but more conclusive results could be obtained by analyzing the antioxidant activity with other methods and with better fractionation (by molecular weight) of the newly produced peptides. Moreover, this hydrolysate could have more interesting nutritional properties than non-hydrolyzed biomass.
In conclusion, if the hydrolysate produced in this study could provide an advantage for fish fitness when incorporated into aquafeed and help to reduce the amount of fishmeal and fish oil used, then the treated biomass could be sold at a higher price to obtain better profitability and sustainability of aquafeed. In that case, this study offers a protocol that could be easily adapted to most thraustochytrid biomass.

Supplementary Materials

The following supporting information can be downloaded at https://www.mdpi.com/article/10.3390/su16146052/s1. Table S1: Analysis of variance for the factors affecting the degree of hydrolysis (DH), peptide (PEP) concentration and total lipid DHA (TL-DHA) of thraustochytrid hydrolysate.

Author Contributions

Conceptualization, M.V., C.O., L.C., D.d.l.B., F.G. and P.S.; methodology, M.V., C.O., N.L.M., F.L.G., M.L., V.F. and P.S.; formal analysis, M.V., C.O., N.L.M., F.L.G., M.L., V.F. and P.S.; investigation, M.V., N.L.M., F.L.G., M.L. and P.S.; writing—original draft preparation, M.V.; writing—review and editing, M.V., C.O., N.L.M., F.L.G., M.L., V.F., L.C. and P.S.; supervision, D.d.l.B., F.G. and P.S.; project administration, P.S.; funding acquisition, P.S. All authors have read and agreed to the published version of the manuscript.

Funding

This study was funded by the Interreg North-West Europe regional development fund, project NWE520 ALG-AD.

Institutional Review Board Statement

Not applicable.

Informed Consent Statement

Not applicable.

Data Availability Statement

The data presented in this study are available on request from the corresponding author.

Acknowledgments

The authors thank Nelly Le Goïc, Christophe Lambert, Adeline Bidault and Antoine Bideau for their technical contributions to the project and Barbara Clément-Larosière for the material support.

Conflicts of Interest

Author Cloé Oroy was employed by the company Symrise Pet Food. The remaining authors declare that the research was conducted in the absence of any commercial or financial relationships that could be construed as a potential conflict of interest.

References

  1. Djuricic, I.; Calder, P.C. Beneficial Outcomes of Omega-6 and Omega-3 Polyunsaturated Fatty Acids on Human Health: An Update for 2021. Nutrients 2021, 13, 2421. [Google Scholar] [CrossRef] [PubMed]
  2. FAO. The State of World Fisheries and Aquaculture 2022. Towards Blue Transformation; FAO: Rome, Italy, 2022. [Google Scholar]
  3. Fossier Marchan, L.; Lee Chang, K.J.; Nichols, P.D.; Mitchell, W.J.; Polglase, J.L.; Gutierrez, T. Taxonomy, Ecology and Biotechnological Applications of Thraustochytrids: A Review. Biotechnol. Adv. 2018, 36, 26–46. [Google Scholar] [CrossRef]
  4. Du, F.; Wang, Y.-Z.; Xu, Y.-S.; Shi, T.-Q.; Liu, W.-Z.; Sun, X.-M.; Huang, H. Biotechnological Production of Lipid and Terpenoid from Thraustochytrids. Biotechnol. Adv. 2021, 48, 107725. [Google Scholar] [CrossRef] [PubMed]
  5. Lewis, T.E.; Nichols, P.D.; McMeekin, T.A. The Biotechnological Potential of Thraustochytrids. Mar. Biotechnol. 1999, 1, 580–587. [Google Scholar] [CrossRef] [PubMed]
  6. Chi, G.; Xu, Y.; Cao, X.; Li, Z.; Cao, M.; Chisti, Y.; He, N. Production of Polyunsaturated Fatty Acids by Schizochytrium (Aurantiochytrium) Spp. Biotechnol. Adv. 2022, 55, 107897. [Google Scholar] [CrossRef] [PubMed]
  7. de la Broise, D.; Ventura, M.; Chauchat, L.; Guerreiro, M.; Michez, T.; Vinet, T.; Gautron, N.; Le Grand, F.; Bideau, A.; Goïc, N.L.; et al. Scale-Up to Pilot of a Non-Axenic Culture of Thraustochytrids Using Digestate from Methanization as Nitrogen Source. Mar. Drugs 2022, 20, 499. [Google Scholar] [CrossRef]
  8. Cahu, C.L.; Zambonino Infante, J.L.; Quazuguel, P.; Le Gall, M.M. Protein Hydrolysate vs. Fish Meal in Compound Diets for 10-Day Old Sea Bass Dicentrarchus Labrax Larvae. Aquaculture 1999, 171, 109–119. [Google Scholar] [CrossRef]
  9. Zambonino Infante, J.L.; Cahu, C.L.; Peres, A. Partial Substitution of Di- and Tripeptides for Native Proteins in Sea Bass Diet Improves Dicentrarchus Labrax Larval Development. J. Nutr. 1997, 127, 608–614. [Google Scholar] [CrossRef]
  10. Batista, S.; Pintado, M.; Marques, A.; Abreu, H.; Silva, J.L.; Jessen, F.; Tulli, F.; Valente, L.M.P. Use of Technological Processing of Seaweed and Microalgae as Strategy to Improve Their Apparent Digestibility Coefficients in European Seabass (Dicentrarchus Labrax) Juveniles. J. Appl. Phycol. 2020, 32, 3429–3446. [Google Scholar] [CrossRef]
  11. Lucakova, S.; Branyikova, I.; Hayes, M. Microalgal Proteins and Bioactives for Food, Feed, and Other Applications. Appl. Sci. 2022, 12, 4402. [Google Scholar] [CrossRef]
  12. Skjånes, K.; Aesoy, R.; Herfindal, L.; Skomedal, H. Bioactive Peptides from Microalgae: Focus on Anti-Cancer and Immunomodulating Activity. Physiol. Plant. 2021, 173, 612–623. [Google Scholar] [CrossRef]
  13. Stack, J.; Le Gouic, A.V.; FitzGerald, R.J. Bioactive Proteins and Peptides from Microalgae. In Encyclopedia of Marine Biotechnology; John Wiley & Sons, Ltd.: Hoboken, NJ, USA, 2020; pp. 1443–1474. ISBN 978-1-119-14380-2. [Google Scholar]
  14. Adler-Nissen, J.; Eriksen, S.; Olsen, H.S. Improvement of the Functionality of Vegetable Proteins by Controlled Enzymatic Hydrolysis. Plant Food Hum. Nutr. 1983, 32, 411–423. [Google Scholar] [CrossRef]
  15. Guérard, F. Enzymatic Extraction Methods for By-Product Recovery. In Maximising the Value of Marine by-Products. Part 2: By-Products Recovery and Processing; Shahidi, F., Ed.; Woodhead Publishing Limited: Sawston, UK, 2007. [Google Scholar]
  16. Matthews, D.M.; Adibi, S.A. Peptide Absorption. Gastroenterology 1976, 71, 151–161. [Google Scholar] [CrossRef]
  17. Tacias-Pascacio, V.G.; Morellon-Sterling, R.; Siar, E.-H.; Tavano, O.; Berenguer-Murcia, Á.; Fernandez-Lafuente, R. Use of Alcalase in the Production of Bioactive Peptides: A Review. Int. J. Biol. Macromol. 2020, 165, 2143–2196. [Google Scholar] [CrossRef]
  18. Hu, X.; Yang, X.; Wu, Q.; Li, L.; Wu, Y.; Chen, S.; Li, R.; Ren, J. Purification and Identification of Antioxidant Peptides from Schizochytrium Limacinum Hydrolysates by Consecutive Chromatography and Electrospray Ionization-Mass Spectrometry. Molecules 2019, 24, 3004. [Google Scholar] [CrossRef] [PubMed]
  19. Lin, J.; Cai, X.; Tang, M.; Wang, S. Preparation and Evaluation of the Chelating Nanocomposite Fabricated with Marine Algae Schizochytrium Sp. Protein Hydrolysate and Calcium. J. Agric. Food Chem. 2015, 63, 9704–9714. [Google Scholar] [CrossRef]
  20. Barkia, I.; Al-Haj, L.; Abdul Hamid, A.; Zakaria, M.; Saari, N.; Zadjali, F. Indigenous Marine Diatoms as Novel Sources of Bioactive Peptides with Antihypertensive and Antioxidant Properties. Int. J. Food Sci. Technol. 2019, 54, 1514–1522. [Google Scholar] [CrossRef]
  21. Tacias-Pascacio, V.G.; Castañeda-Valbuena, D.; Morellon-Sterling, R.; Tavano, O.; Berenguer-Murcia, Á.; Vela-Gutiérrez, G.; Rather, I.A.; Fernandez-Lafuente, R. Bioactive Peptides from Fisheries Residues: A Review of Use of Papain in Proteolysis Reactions. Int. J. Biol. Macromol. 2021, 184, 415–428. [Google Scholar] [CrossRef]
  22. Adler-Nissen, J. Enzymic Hydrolysis of Food Protein; Elsevier Applied Science Publishers: Barking, UK, 1986; Volume 8, ISBN 978-0-85334-386-8. [Google Scholar]
  23. Conde, T.A.; Neves, B.F.; Couto, D.; Melo, T.; Neves, B.; Costa, M.; Silva, J.; Domingues, P.; Domingues, M.R. Microalgae as Sustainable Bio-Factories of Healthy Lipids: Evaluating Fatty Acid Content and Antioxidant Activity. Mar. Drugs 2021, 19, 357. [Google Scholar] [CrossRef]
  24. Mathieu-Resuge, M.; Le Grand, F.; Schaal, G.; Lluch-Cota, S.E.; Racotta, I.S.; Kraffe, E. Specific Regulations of Gill Membrane Fatty Acids in Response to Environmental Variability Reveal Fitness Differences between Two Suspension-Feeding Bivalves (Nodipecten Subnodosus and Spondylus Crassisquama). Conserv. Physiol. 2020, 8, coaa079. [Google Scholar] [CrossRef]
  25. Hart, B.; Schurr, R.; Narendranath, N.; Kuehnle, A.; Colombo, S.M. Digestibility of Schizochytrium Sp. Whole Cell Biomass by Atlantic Salmon (Salmo Salar). Aquaculture 2021, 533, 736156. [Google Scholar] [CrossRef]
  26. Sun, L.; Ren, L.; Zhuang, X.; Ji, X.; Yan, J.; Huang, H. Differential Effects of Nutrient Limitations on Biochemical Constituents and Docosahexaenoic Acid Production of Schizochytrium Sp. Bioresour. Technol. 2014, 159, 199–206. [Google Scholar] [CrossRef] [PubMed]
  27. Huang, T.Y.; Lu, W.C.; Chu, I.M. A Fermentation Strategy for Producing Docosahexaenoic Acid in Aurantiochytrium Limacinum SR21 and Increasing C22:6 Proportions in Total Fatty Acid. Bioresour. Technol. 2012, 123, 8–14. [Google Scholar] [CrossRef]
  28. Manikan, V.; Nazir, M.Y.M.; Kalil, M.S.; Isa, M.H.M.; Kader, A.J.A.; Yusoff, W.M.W.; Hamid, A.A. A New Strain of Docosahexaenoic Acid Producing Microalga from Malaysian Coastal Waters. Algal Res. 2015, 9, 40–47. [Google Scholar] [CrossRef]
  29. Becker, E.W. Micro-Algae as a Source of Protein. Biotechnol. Adv. 2007, 25, 207–210. [Google Scholar] [CrossRef]
  30. Xue, Z.; Wan, F.; Gao, X.; Yu, W.; Zhang, Z.; Liu, J.; Kou, X. Extraction and Evaluation of Edible Oil from Schizochytrium Sp. Using an Aqueous Enzymatic Method. Front. Agr. Sci. Eng. 2021, 8, 623–634. [Google Scholar] [CrossRef]
  31. Agyei, D.; Ongkudon, C.M.; Wei, C.Y.; Chan, A.S.; Danquah, M.K. Bioprocess Challenges to the Isolation and Purification of Bioactive Peptides. Food Bioprod. Process. 2016, 98, 244–256. [Google Scholar] [CrossRef]
  32. Fan, K.-W.; Jiang, Y.; Faan, Y.-W.; Chen, F. Lipid Characterization of Mangrove Thraustochytrid—Schizochytrium Mangrovei. J. Agric. Food Chem. 2007, 55, 2906–2910. [Google Scholar] [CrossRef]
  33. Li, L.; Chang, M.; Tao, G.; Wang, X.; Liu, Y.; Liu, R.; Jin, Q.; Wang, X. Analysis of Phospholipids in Schizochytrium Sp. S31 by Using UPLC-Q-TOF-MS. Anal. Methods 2016, 8, 763–770. [Google Scholar] [CrossRef]
  34. Morita, E.; Kumon, Y.; Nakahara, T.; Kagiwada, S.; Noguchi, T. Docosahexaenoic Acid Production and Lipid-Body Formation in Schizochytrium Limacinum SR21. Mar. Biotechnol. 2006, 8, 319–327. [Google Scholar] [CrossRef]
  35. Yaguchi, T.; Tanaka, S.; Yokochi, T.; Nakahara, T.; Higashihara, T. Production of High Yields of Docosahexaenoic Acid by Schizochytrium Sp. Strain SR21. J. Am. Oil Chem. Soc. 1997, 74, 1431–1434. [Google Scholar] [CrossRef]
  36. Dumay, J.; Donnay-Moreno, C.; Barnathan, G.; Jaouen, P.; Bergé, J.P. Improvement of Lipid and Phospholipid Recoveries from Sardine (Sardina Pilchardus) Viscera Using Industrial Proteases. Process Biochem. 2006, 41, 2327–2332. [Google Scholar] [CrossRef]
  37. Sugasini, D.; Yalagala, P.C.R.; Goggin, A.; Tai, L.M.; Subbaiah, P.V. Enrichment of Brain Docosahexaenoic Acid (DHA) Is Highly Dependent upon the Molecular Carrier of Dietary DHA: Lysophosphatidylcholine Is More Efficient than Either Phosphatidylcholine or Triacylglycerol. J. Nutr. Biochem. 2019, 74, 108231. [Google Scholar] [CrossRef] [PubMed]
  38. Cahu, C.L.; Infante, J.L.Z.; Barbosa, V. Effect of Dietary Phospholipid Level and Phospholipid:Neutral Lipid Value on the Development of Sea Bass (Dicentrarchus Labrax) Larvae Fed a Compound Diet. Br. J. Nutr. 2003, 90, 21–28. [Google Scholar] [CrossRef] [PubMed]
  39. Coutteau, P.; Geurden, I.; Camara, M.R.; Bergot, P.; Sorgeloos, P. Review on the Dietary Effects of Phospholipids in Fish and Crustacean Larviculture. Aquaculture 1997, 155, 149–164. [Google Scholar] [CrossRef]
  40. Gisbert, E.; Villeneuve, L.; Zambonino-Infante, J.L.; Quazuguel, P.; Cahu, C.L. Dietary Phospholipids Are More Efficient than Neutral Lipids for Long-Chain Polyunsaturated Fatty Acid Supply in European Sea Bass Dicentrarchus Labrax Larval Development. Lipids 2005, 40, 609–618. [Google Scholar] [CrossRef] [PubMed]
  41. Jaxion-Harm, J. Effects of Dietary Phospholipids on Early Stage Atlantic Salmon (Salmo Salar) Performance: A Comparison among Phospholipid Sources. Aquaculture 2021, 544, 737055. [Google Scholar] [CrossRef]
  42. Kalidasan, K.; Dufossé, L.; Manivel, G.; Senthilraja, P.; Kathiresan, K. Antioxidant and Anti-Colorectal Cancer Properties in Methanolic Extract of Mangrove-Derived Schizochytrium Sp. J. Mar. Sci. Eng. 2022, 10, 431. [Google Scholar] [CrossRef]
  43. Lv, J.; Yang, X.; Ma, H.; Hu, X.; Wei, Y.; Zhou, W.; Li, L. The Oxidative Stability of Microalgae Oil (Schizochytrium Aggregatum) and Its Antioxidant Activity after Simulated Gastrointestinal Digestion: Relationship with Constituents. Eur. J. Lipid Sci. Technol. 2015, 117, 1928–1939. [Google Scholar] [CrossRef]
  44. Reboleira, J.; Félix, R.; Vicente, T.F.L.; Januário, A.P.; Félix, C.; de Melo, M.M.R.; Silva, C.M.; Ribeiro, A.C.; Saraiva, J.A.; Bandarra, N.M.; et al. Uncovering the Bioactivity of Aurantiochytrium Sp.: A Comparison of Extraction Methodologies. Mar. Biotechnol. 2022, 24, 40–54. [Google Scholar] [CrossRef]
  45. Yu, J.; Wang, Y.; Sun, J.; Bian, F.; Chen, G.; Zhang, Y.; Bi, Y.; Wu, Y. Antioxidant Activity of Alcohol Aqueous Extracts of Crypthecodinium Cohnii and Schizochytrium Sp. J. Zhejiang Univ. Sci. B 2017, 18, 797–806. [Google Scholar] [CrossRef]
  46. Moaveni, S.; Salami, M.; Khodadadi, M.; McDougall, M.; Emam-Djomeh, Z. Investigation of S.Limacinum Microalgae Digestibility and Production of Antioxidant Bioactive Peptides. LWT 2022, 154, 112468. [Google Scholar] [CrossRef]
  47. Aklakur, M. Natural Antioxidants from Sea: A Potential Industrial Perspective in Aquafeed Formulation. Rev. Aquacult. 2018, 10, 385–399. [Google Scholar] [CrossRef]
  48. Uczay, J.; Battisti, E.K.; Lazzari, R.; Pessatti, M.L.; Schneider, T.L.S.; Hermes, L.B.; Peixoto, N.C.; Fabregat, T.E.H.P. Fish Meal Replaced by Hydrolysed Soybean Meal in Diets Increases Growth and Improves the Antioxidant Defense System of Silver Catfish (Rhamdia Quelen). Aquacult. Res. 2019, 50, 1438–1447. [Google Scholar] [CrossRef]
Figure 1. SEC-HPLC chromatogram of thraustochytrid hydrolysate with Alcalase 2.4L (orange dashed line), Papain (blue dot-dashed line) and the control without enzyme (green solid line). 50 μL of sample (10 kDa fraction of the hydrolysate) were injected.
Figure 1. SEC-HPLC chromatogram of thraustochytrid hydrolysate with Alcalase 2.4L (orange dashed line), Papain (blue dot-dashed line) and the control without enzyme (green solid line). 50 μL of sample (10 kDa fraction of the hydrolysate) were injected.
Sustainability 16 06052 g001
Figure 2. Pareto charts showing the effect of the different factors (enzyme-to-substrate ratio (Enzyme), time and pH of hydrolysis) and the interactions and quadratic effects on (a) degree of hydrolysis (DH), (b) peptide (PEP) concentration and (c) total lipid DHA (TL-DHA) of thraustochytrid hydrolysate. The vertical-dashed lines represent the significance level (p = 0.05). The green bars show a positive effect, while the red bars show a negative effect.
Figure 2. Pareto charts showing the effect of the different factors (enzyme-to-substrate ratio (Enzyme), time and pH of hydrolysis) and the interactions and quadratic effects on (a) degree of hydrolysis (DH), (b) peptide (PEP) concentration and (c) total lipid DHA (TL-DHA) of thraustochytrid hydrolysate. The vertical-dashed lines represent the significance level (p = 0.05). The green bars show a positive effect, while the red bars show a negative effect.
Sustainability 16 06052 g002
Figure 3. Estimated response surface contours showing the effect of the interaction between two independent variables (enzyme-to-substrate (E/S) ratio and hydrolysis reaction time) on the degree of hydrolysis (DH), peptide (PEP) concentration and total lipid DHA (TL-DHA) of thraustochytrid hydrolysate when the third variable is kept at the intermediate level. In this case, the pH was kept at 7.5.
Figure 3. Estimated response surface contours showing the effect of the interaction between two independent variables (enzyme-to-substrate (E/S) ratio and hydrolysis reaction time) on the degree of hydrolysis (DH), peptide (PEP) concentration and total lipid DHA (TL-DHA) of thraustochytrid hydrolysate when the third variable is kept at the intermediate level. In this case, the pH was kept at 7.5.
Sustainability 16 06052 g003
Figure 4. SEC-HPLC chromatogram of thraustochytrid hydrolysate in validation conditions (pH: 7.5; reaction time: 205 min; E/S: 2.7%) with Alcalase 2.4L (orange dashed line) and the control without enzyme (green solid line). A total of 50 μL of sample was injected.
Figure 4. SEC-HPLC chromatogram of thraustochytrid hydrolysate in validation conditions (pH: 7.5; reaction time: 205 min; E/S: 2.7%) with Alcalase 2.4L (orange dashed line) and the control without enzyme (green solid line). A total of 50 μL of sample was injected.
Sustainability 16 06052 g004
Figure 5. Fatty acid composition of thraustochytrid hydrolysate in validation conditions (pH: 7.5; reaction time: 205 min; E/S: 2.7%) with Alcalase 2.4L and the control without enzyme. Mean ± S.D.
Figure 5. Fatty acid composition of thraustochytrid hydrolysate in validation conditions (pH: 7.5; reaction time: 205 min; E/S: 2.7%) with Alcalase 2.4L and the control without enzyme. Mean ± S.D.
Sustainability 16 06052 g005
Figure 6. Antioxidant activity (ORAC) of the whole hydrolysate (WH) and its different fractions: aqueous phase + emulsion (AP + E); bottom phase (BP); aqueous phase filtered at 10 kDa (AP 10 kDa). The values of the aqueous phase filtered at 10 kDa of the control are also represented (AP 10 kDa—no enzymes). Mean ± S.D.
Figure 6. Antioxidant activity (ORAC) of the whole hydrolysate (WH) and its different fractions: aqueous phase + emulsion (AP + E); bottom phase (BP); aqueous phase filtered at 10 kDa (AP 10 kDa). The values of the aqueous phase filtered at 10 kDa of the control are also represented (AP 10 kDa—no enzymes). Mean ± S.D.
Sustainability 16 06052 g006
Table 1. Experimental matrix of thraustochytrid biomass hydrolysis by Alcalase 2.4L with real and centered reduced values.
Table 1. Experimental matrix of thraustochytrid biomass hydrolysis by Alcalase 2.4L with real and centered reduced values.
ExperimentpHTime (min)E/S (%)
Real ValueCentered Reduced ValuesReal ValueCentered Reduced ValuesReal ValueCentered Reduced Values
17.0−160−10.6−1
27.5012000.1−1.68
37.0−160−13.01
47.502051.681.80
57.5012003.51.68
67.0−118013.01
77.5035−1.681.80
88.0118010.6−1
98.0118013.01
107.0−118010.6−1
117.5012001.80
127.5012001.80
136.8−1.6812001.80
147.5012001.80
158.21.6812001.80
168.0160−10.6−1
178.0160−13.01
Table 2. α values for each pH condition.
Table 2. α values for each pH condition.
pHα
6.50.20
6.80.33
70.44
7.50.72
80.89
8.20.93
Table 3. Total amino acid (AA) and fatty acid (FA) profiles of thraustochytrid biomass.
Table 3. Total amino acid (AA) and fatty acid (FA) profiles of thraustochytrid biomass.
AATotal AAs %FAsTotal FAs %
Mean ±
S.D
Mean ±
S.D
aspartic acid11.2 ± 0.92C14:07.3 ± 0.6
threonine4.9 ± 0.41C15:0 0.3 ± 0.5
serine5.1 ± 0.41C16:025.6 ± 2.0
glutamic acid19.2 ± 1.54C17:00.1 ± 0.5
proline4.1 ± 0.31C18:0 0.6 ± 0.5
glycine5.4 ± 0.41C16:1 0.3 ± 0.5
alanine7.0 ± 0.51C18:10.9 ± 0.5
cysteine1.6 ± 0.31C18:2n−60.4 ± 0.5
valine5.4 ± 0.41C18:3n−60.2 ± 0.5
methionine2.5 ± 0.31C18:4n−30.3 ± 0.5
isoleucine4.3 ± 0.31C20:3n−60.4 ± 0.5
leucine8.3 ± 0.61C20:4n−30.8 ± 0.5
tyrosine3.4 ± 0.31C20:4n−60.4 ± 0.5
phenylalanine4.4 ± 0.31C20:5n−31.1 ± 0.5
histidine1.8 ± 0.31C22:5n−30.3 ± 0.5
lysine4.3 ± 0.31C22:5n−616.6 ± 1.3
arginine7.6 ± 0.61C22:6n−341.9 ± 3.4
Total (g · 100 g−1)9.76Total (g · 100 g−1)37.3
Table 4. Analysis of variance of the central composite design to optimize the degree of hydrolysis (DH), the peptide (PEP) concentration and the total lipid DHA (TL-DHA) of thraustochytrid hydrolysate.
Table 4. Analysis of variance of the central composite design to optimize the degree of hydrolysis (DH), the peptide (PEP) concentration and the total lipid DHA (TL-DHA) of thraustochytrid hydrolysate.
FactorF-Ratiop-ValueR2Adjusted R2
DH27.00.000197.293.6
PEP135.6<0.000199.498.7
TL-DHA7.00.008990.077.1
Table 5. Calculated values of pH, time of hydrolysis and enzyme-to-substrate ratio (Enzyme) to optimize the degree of hydrolysis (DH), the peptide (PEP) concentration and the total lipid DHA (TL-DHA) of thraustochytrid hydrolysate and the equations used to predict the responses with the response surface methodology.
Table 5. Calculated values of pH, time of hydrolysis and enzyme-to-substrate ratio (Enzyme) to optimize the degree of hydrolysis (DH), the peptide (PEP) concentration and the total lipid DHA (TL-DHA) of thraustochytrid hydrolysate and the equations used to predict the responses with the response surface methodology.
pHTime (min)E/S (%)Optimum ValueEquation
DH8.2204.83.116%DH = −11.8 + 1.2 × pH + 0.02 × Time + 8.5 × Enzyme − 1.4 × Enzyme2
PEP8.0204.82.711,749 mAU · minPEP = −41,657.4 + 11,704.8 × pH + 7.5 × Time + 3766.1 × Enzyme − 732.3 × pH2 − 695.4 × Enzyme2
TL-DHA6.8204.83.515%TL-DHA = −0.1 + 0.03 × pH − 0.0001 × Time + 0.09 × Enzyme − 0.01 × pH × Enzyme + 0.000001 × Time2
Table 6. Area (mAU · min) and variation (%) of peptide fractions of thraustochytrid hydrolysate produced using a pH of 7.5, a reaction time of 205 min and an E/S of 2.7% with Alcalase 2.4L and the control without enzyme.
Table 6. Area (mAU · min) and variation (%) of peptide fractions of thraustochytrid hydrolysate produced using a pH of 7.5, a reaction time of 205 min and an E/S of 2.7% with Alcalase 2.4L and the control without enzyme.
Molecular Weight
(Da)
No Enzyme (mAU · min)Alcalase 2.4L
(mAU · min)
Increase/Decrease
(Expressed as %)
9000–600016.310.2−38%
6000–3000244.8462.489%
3000–2000372.8875.0135%
2000–1500360.2970.9170%
1500–1000626.21591.9154%
1000–5001998.54151.8108%
500–2002459.24513.884%
200–100802.41274.359%
<100264.6448.169%
Disclaimer/Publisher’s Note: The statements, opinions and data contained in all publications are solely those of the individual author(s) and contributor(s) and not of MDPI and/or the editor(s). MDPI and/or the editor(s) disclaim responsibility for any injury to people or property resulting from any ideas, methods, instructions or products referred to in the content.

Share and Cite

MDPI and ACS Style

Ventura, M.; Oroy, C.; Llopis Monferrer, N.; Le Grand, F.; Long, M.; Foulon, V.; Chauchat, L.; de la Broise, D.; Guerard, F.; Soudant, P. Hydrolysis Optimization of Thraustochytrid (Heterotrophic Protist) Biomass for the Production of a New and Sustainable Ingredient for the Aquafeed Industry. Sustainability 2024, 16, 6052. https://doi.org/10.3390/su16146052

AMA Style

Ventura M, Oroy C, Llopis Monferrer N, Le Grand F, Long M, Foulon V, Chauchat L, de la Broise D, Guerard F, Soudant P. Hydrolysis Optimization of Thraustochytrid (Heterotrophic Protist) Biomass for the Production of a New and Sustainable Ingredient for the Aquafeed Industry. Sustainability. 2024; 16(14):6052. https://doi.org/10.3390/su16146052

Chicago/Turabian Style

Ventura, Mariana, Cloé Oroy, Natalia Llopis Monferrer, Fabienne Le Grand, Marc Long, Valentin Foulon, Luc Chauchat, Denis de la Broise, Fabienne Guerard, and Philippe Soudant. 2024. "Hydrolysis Optimization of Thraustochytrid (Heterotrophic Protist) Biomass for the Production of a New and Sustainable Ingredient for the Aquafeed Industry" Sustainability 16, no. 14: 6052. https://doi.org/10.3390/su16146052

APA Style

Ventura, M., Oroy, C., Llopis Monferrer, N., Le Grand, F., Long, M., Foulon, V., Chauchat, L., de la Broise, D., Guerard, F., & Soudant, P. (2024). Hydrolysis Optimization of Thraustochytrid (Heterotrophic Protist) Biomass for the Production of a New and Sustainable Ingredient for the Aquafeed Industry. Sustainability, 16(14), 6052. https://doi.org/10.3390/su16146052

Note that from the first issue of 2016, this journal uses article numbers instead of page numbers. See further details here.

Article Metrics

Back to TopTop