Assessing the Role of Air Nanobubble-Saturated Water in Enhancing Soil Moisture, Nutrient Retention, and Plant Growth
Abstract
1. Introduction
2. Materials and Methods
2.1. Experimental Design and Treatments
2.2. Soil Moisture
2.3. Nutrient and Other Substances Losses
2.4. Plant Chlorophyll and Stomatal Conductance
2.5. Statistical Analysis
3. Results
3.1. Soil Moisture
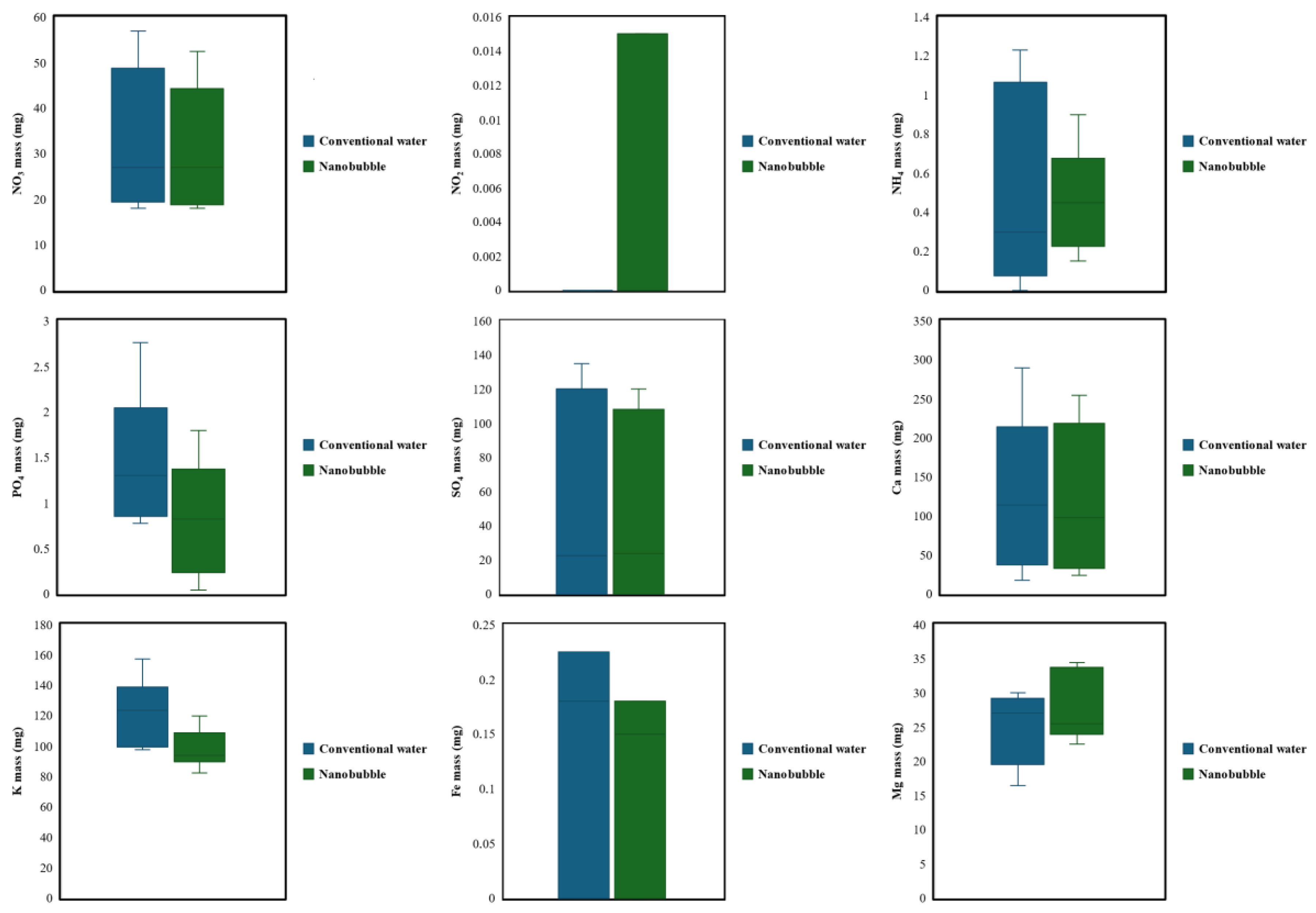
3.2. Nutrients and Other Substances
3.3. Plant Growth
3.3.1. Chlorophyll Concentration
3.3.2. Stomatal Conductance
4. Discussion
4.1. Soil Moisture
4.2. Nutrient and Other Substance Losses
4.3. Plant Growth
5. Conclusions
Author Contributions
Funding
Institutional Review Board Statement
Informed Consent Statement
Data Availability Statement
Acknowledgments
Conflicts of Interest
References
- Afshar, A.; Khosravi, M.; Molajou, A. Assessing Adaptability of Cyclic and Non-Cyclic Approach to Conjunctive Use of Groundwater and Surface Water for Sustainable Management Plans under Climate Change. Water Resour. Manag. 2021, 35, 3463–3479. [Google Scholar] [CrossRef]
- Hanjra, M.A.; Qureshi, M.E. Global Water Crisis and Future Food Security in an Era of Climate Change. Food Policy 2010, 35, 365–377. [Google Scholar] [CrossRef]
- Oki, T.; Quiocho, R.E. Economically Challenged and Water Scarce: Identification of Global Populations Most Vulnerable to Water Crises. Int. J. Water Resour. Dev. 2020, 36, 416–428. [Google Scholar] [CrossRef]
- White, I.; Howe, J. The mismanagement of surface water. Appl. Geogr. 2004, 24, 261–280. [Google Scholar] [CrossRef]
- Agarwal, A.; Ng, W.J.; Liu, Y. Principle and Applications of Microbubble and Nanobubble Technology for Water Treatment. Chemosphere 2011, 84, 1175–1180. [Google Scholar] [CrossRef]
- Nirmalkar, N.; Pacek, A.W.; Barigou, M. Interpreting the interfacial and colloidal stability of bulk nanobubbles. Soft Matter 2018, 14, 9643–9656. [Google Scholar] [CrossRef]
- Takahashi, M.; Kawamura, T.; Yamamoto, Y.; Ohnari, H.; Himuro, S.; Shakutsui, H. Effect of Shrinking Microbubble on Gas Hydrate Formation. J. Phys. Chem. B 2003, 107, 2171–2173. [Google Scholar] [CrossRef]
- Xiong, Y.L.Y.; Yang, X.L.; Song, H.L. Review on application of micro-nano bubble in water treatment and its generator. Environ. Eng. 2016, 34, 23–27. [Google Scholar] [CrossRef]
- Singh, E.; Kumar, A.; Lo, S. Advancing Nanobubble Technology for Carbon-Neutral Water Treatment and Enhanced Environmental Sustainability. Environ. Res. 2024, 252, 118980. [Google Scholar] [CrossRef]
- Xiao, W.; Xu, G.; Li, G. Effect of nanobubble application on performance and structural characteristics of microbial aggregates. Sci. Total Environ. 2021, 765, 142725. [Google Scholar] [CrossRef]
- Serizawa, A. Fundamentals and Applications of Micro/Nano Bubbles. In Proceedings of the 1st International Symposium on Application of High Voltage, Plasmas & Micro/Nano Bubbles to Agriculture and Aquaculture (ISHPMNB 2017), Rajamangala University of Technology, Lanna Chiang Mai, Thailand, 5–7 January 2017. [Google Scholar]
- Park, J.S.; Kurata, K. Application of Microbubbles to Hydroponics Solution Promotes Lettuce Growth. HortTechnology 2009, 19, 212–215. [Google Scholar] [CrossRef]
- Ebina, K.; Shi, K.; Hirao, M.; Hashimoto, J.; Kawato, Y.; Kaneshiro, S.; Morimoto, T.; Koizumi, K.; Yoshikawa, H. Oxygen and Air Nanobubble Water Solution Promotes the Growth of Plants, Fishes, and Mice. PLoS ONE 2013, 8, e65339. [Google Scholar] [CrossRef] [PubMed]
- Han, Z.; Kurokawa, H.; Matsui, H.; He, C.; Wang, K.; Wei, Y.; Dodbiba, G.; Otsuki, A.; Fujita, T. Stability and Free Radical Production for CO2 and H2 in Air Nanobubbles in Ethanol Aqueous Solution. Nanomaterials 2022, 12, 237. [Google Scholar] [CrossRef] [PubMed]
- Ramiro, B.O.; Wasielesky, W., Jr.; Pimentel, O.A.L.F.; Poersch, L.H.S.; Advent, B.; Gonçalves Júnior, G.F.; Krummenauer, D. The Effect of Using Nano and Microbubbles as Aeration Strategies on the Nitrification Process, Microbial Community Composition, and Growth of Penaeus vannamei in a Super-Intensive Biofloc System. Aquaculture 2024, 587, 740842. [Google Scholar] [CrossRef]
- Du, Y.D.; Niu, W.Q.; Zhang, Q.; Cui, B.; Gu, X.; Guo, L.; Liang, B. Effects of Nitrogen on Soil Microbial Abundance, Enzyme Activity, and Nitrogen Use Efficiency in Greenhouse Celery under Aerated Irrigation. Soil Sci. Soc. Am. J. 2018, 82, 606–613. [Google Scholar] [CrossRef]
- Wang, J.; He, Q.; Cao, K.; Zhou, B.; Niu, X.; Wang, D.; Chen, R.; Zheng, Z. Micro-nano bubble water with potassium fertigation improves strawberry yield and quality by changing soil bacterial community. Rhizosphere 2023, 28, 100783. [Google Scholar] [CrossRef]
- Lyu, T.; Wu, Y.; Zhang, Y.; Fan, W.; Wu, S.; Mortimer, R.J.G.; Pan, G. Nanobubble Aeration Enhanced Wastewater Treatment and Bioenergy Generation in Constructed Wetlands Coupled with Microbial Fuel Cells. Sci. Total Environ. 2023, 895, 165131. [Google Scholar] [CrossRef]
- Wu, J.; Zhang, K.; Cen, C.; Wu, X.; Mao, R.; Zheng, Y. Role of bulk nanobubbles in removing organic pollutants in wastewater treatment. AMB Express 2021, 11, 96. [Google Scholar] [CrossRef]
- Wang, Y.; Wang, T. Preparation Method and Application of Nanobubbles: A Review. Coatings 2023, 13, 1510. [Google Scholar] [CrossRef]
- Zhou, Y.; Han, Z.; He, C.; Feng, Q.; Wang, K.; Wang, Y.; Luo, N.; Dodbiba, G.; Wei, Y.; Otsuki, A.; et al. Long-Term Stability of Different Kinds of Gas Nanobubbles in Deionized and Salt Water. Materials 2021, 14, 1808. [Google Scholar] [CrossRef]
- Khan, P.; Zhu, W.; Huang, F.; Gao, W.; Khan, N.A. Micro-Nanobubble Technology and Water-Related Application. Water Sci. Technol. Water Supply 2020, 20, 2021–2035. [Google Scholar] [CrossRef]
- Tsai, J.-C.; Kumar, M.; Chen, S.-Y.; Lin, J.-G. Nano-Bubble Flotation Technology with Coagulation Process for the Cost-Effective Treatment of Chemical Mechanical Polishing Wastewater. Sep. Purif. Technol. 2007, 58, 61–67. [Google Scholar] [CrossRef]
- Naseerahamed, P.R.; Dechakka, M.P.; Suman, H.M. Nano Bubble Technology for Sustainable Agriculture and Water Treatment Using Solar Energy. Int. J. Res. Publ. Rev. 2023, 4, 2967–2970. [Google Scholar]
- Baram, S.; Weinstein, M.; Evans, J.F.; Berezkin, A.; Sade, Y.; Ben-Hur, M.; Bernstein, N.; Mamane, H. Drip Irrigation with Nanobubble Oxygenated Treated Wastewater Improves Soil Aeration. Sci. Hortic. 2022, 291, 110550. [Google Scholar] [CrossRef]
- Ahmed, A.K.A.; Sun, C.; Hua, L.; Zhang, Z.; Zhang, Y.; Zhang, W.; Marhaba, T. Generation of Nanobubbles by Ceramic Membrane Filters: The Dependence of Bubble Size and Zeta Potential on Surface Coating, Pore Size and Injected Gas Pressure. Chemosphere 2018, 203, 327–335. [Google Scholar] [CrossRef] [PubMed]
- Jin, N.; Zhang, F.; Cui, Y.; Sun, L.; Gao, H.; Pu, Z.; Yang, W. Environment-Friendly Surface Cleaning Using Micro-Nano Bubbles. Particuology 2022, 66, 1–9. [Google Scholar] [CrossRef]
- Kalogerakis, N.; Kalogerakis, G.C.; Botha, Q.P. Environmental Applications of Nanobubble Technology: Field Testing at Industrial Scale. Can. J. Chem. Eng. 2021, 99, 2345–2354. [Google Scholar] [CrossRef]
- Li, X.; Peng, B.; Liu, Q.; Liu, J.; Shang, L. Micro and Nanobubbles Technologies as a New Horizon for CO2-EOR and CO2 Geological Storage Techniques: A Review. Fuel 2023, 341, 127661. [Google Scholar] [CrossRef]
- Hu, L.; Xia, Z. Application of Ozone Micro-Nano-Bubbles to Groundwater Remediation. J. Hazard. Mater. 2018, 342, 446–453. [Google Scholar] [CrossRef]
- Kim, D.; Han, J. Remediation of Copper Contaminated Soils Using Water Containing Hydrogen Nanobubbles. Appl. Sci. 2020, 10, 2185. [Google Scholar] [CrossRef]
- Zhu, J.; Tremblay, T.; Liang, Y. Comparing SPAD and at LEAF values for chlorophyll assessment in crop species. Can. J. Soil Sci. 2012, 92, 645–648. [Google Scholar] [CrossRef]
- Basyouni, R.; Dunn, B. Use of Reflectance Sensors to Monitor Plant Nitrogen Status in Horticultural Plants. 2017. Available online: http://factsheets.okstate.edu/documents/hla-6719-use-of-optical-sensors-to-monitor-plant-nitrogen-status-in-horticultural-plants/ (accessed on 2 March 2019).
- Gomboš, M. The Impact of Clay Minerals on Soil Hydrological Processes; IntechOpen: London, UK, 2012. [Google Scholar] [CrossRef][Green Version]
- Wei, X.; Fan, W.; Deng, L.; Yu, N.; He, C.; Tian, W.; Nan, Y. Exploring the Effect of Volume Change on Capillary Soil Water Retention in an Undisturbed Silty Clay: An Experimental and Modeling Approach. Acta Geotech. 2024. advance online publication. [Google Scholar] [CrossRef]
- Githinji, L. Effect of Biochar Application Rate on Soil Physical and Hydraulic Properties of a Sandy Loam. Arch. Agron. Soil Sci. 2013, 60, 457–470. [Google Scholar] [CrossRef]
- Tryon, E.H. Effect of Charcoal on Certain Physical, Chemical, and Biological Properties of Forest Soils. Ecol. Monogr. 1948, 18, 81–115. [Google Scholar] [CrossRef]
- Liu, C.; Wang, H.; Tang, X.; Guan, Z.; Reid, B.J.; Rajapaksha, A.U.; Ok, Y.I.; Sun, H. Biochar Increased Water Holding Capacity but Accelerated Organic Carbon Leaching from a Sloping Farmland Soil in China. Environ. Sci. Pollut. Res. 2016, 23, 995–1006. [Google Scholar] [CrossRef] [PubMed]
- Weil, R.R.; Brady, N.C. The Nature and Properties of Soils, 15th ed.; Pearson Press: Upper Saddle River, NJ, USA, 2017; 1086p, ISBN 0-13-325448-8; 978-0-13-325448-8. [Google Scholar]
- Takahashi, M.; Chiba, K.; Pan, L. Free-Radical Generation from Collapsing Microbubbles in the Absence of a Dynamic Stimulus. J. Phys. Chem. B 2007, 111, 1343–1347. [Google Scholar] [CrossRef] [PubMed]
- Tsuge, H. Micro and Nanobubbles-Fundamentals and Applications; CRC Press: Boca Raton, FL, USA, 2014; pp. 3–18. [Google Scholar]
- Downie, A.; Crosky, A.; Munroe, P. Physical Properties of Biochar. In Biochar for Environmental Management: Science and Technology; Lehmann, J., Joseph, S., Eds.; Earthscan: London, UK, 2009; pp. 13–32. [Google Scholar]
- Glaser, B.; Lehmann, J.; Zech, W. Ameliorating Physical and Chemical Properties of Highly Weathered Soils in the Tropics with Charcoal—A Review. Biol. Fertil. Soils 2002, 35, 219–230. [Google Scholar] [CrossRef]
- Carvalho, M.L.; de Moraes, M.T.; Cerri, C.E.P.; Cherubin, M.R. Biochar Amendment Enhances Water Retention in a Tropical Sandy Soil. Agriculture 2020, 10, 62. [Google Scholar] [CrossRef]
- Ouyang, L.; Wang, F.; Tang, J.; Yu, L.; Zhang, R. Effects of Biochar Amendment on Soil Aggregates and Hydraulic Properties. J. Soil Sci. Plant Nutr. 2013, 13, 991–1002. [Google Scholar] [CrossRef]
- Obia, A.; Mulder, J.; Martinsen, V.; Cornelissen, G.; Borresen, T. In situ effects of biochar on aggregation, water retention and porosity in light-textured tropical soils. Soil Tillage Res. 2016, 155, 35–44. [Google Scholar] [CrossRef]
- Verheijen, F.G.A.; Zhuravel, A.; Silva, F.C.; Amaro, A.; Ben-Hur, M.; Keizer, J.J. The Influence of Biochar Particle Size and Concentration on Bulk Density and Maximum Water Holding Capacity of Sandy vs Sandy Loam Soil in a Column Experiment. Geoderma 2019, 347, 194–202. [Google Scholar] [CrossRef]
- Ahmed, A.K.A.; Sun, C.Z.; Hua, L.K.; Zhang, Z.B.; Zhang, Y.H.; Marhaba, T.; Zhang, W. Colloidal Properties of Air, Oxygen, and Nitrogen Nanobubbles in Water: Effects of Ionic Strength, Natural Organic Matters, and Surfactants. Environ. Eng. Sci. 2018, 35, 720–727. [Google Scholar] [CrossRef]
- Shi, X.; Xue, S.; Marhaba, T.; Zhang, W. Probing Internal Pressures and Long-Term Stability of Nanobubbles in Water. Langmuir 2021, 37, 2514–2522. [Google Scholar] [CrossRef] [PubMed]
- Yasui, K.; Tuziuti, T.; Kanematsu, W. Mysteries of Bulk Nanobubbles (Ultrafine Bubbles); Stability and Radical Formation. Ultrason. Sonochem. 2018, 48, 259–266. [Google Scholar] [CrossRef]
- Wang, S.; Liu, M.; Dong, Y. Understanding the Stability of Surface Nanobubbles. J. Phys. Condens. Matter 2013, 25, 184007. [Google Scholar] [CrossRef]
- Ahmed, N.; Deng, L.; Wang, C.; Shah, Z.-u.-H.; Deng, L.; Li, Y.; Li, J.; Chachar, S.; Chachar, Z.; Hayat, F.; et al. Advancements in Biochar Modification for Enhanced Phosphorus Utilization in Agriculture. Land 2024, 13, 644. [Google Scholar] [CrossRef]
- Peake, L.R.; Reid, B.J.; Tang, X. Quantifying the Influence of Biochar on the Physical and Hydrological Properties of Dissimilar Soils. Geoderma 2014, 235–236, 182–190. [Google Scholar] [CrossRef]
- Hossain, Z.; Bahar, M.M.; Sarkar, B.; Bolan, N. Biochar and Its Importance on Nutrient Dynamics in Soil and Plant. Biochar 2020, 2, 421–447. [Google Scholar] [CrossRef]
- Hagemann, N.; Joseph, S.; Schmidt, H.-P.; Kammann, C.I.; Harter, J.; Borch, T.; Young, R.B.; Varga, K.; Taherymoosavi, S.; Elliott, K.W.; et al. Organic Coating on Biochar Explains Its Nutrient Retention and Stimulation of Soil Fertility. Nat. Commun. 2017, 8, 1089. [Google Scholar] [CrossRef] [PubMed]
- Nepal, J.; Ahmad, W.; Munsif, F.; Khan, A.; Zou, Z. Advances and Prospects of Biochar in Improving Soil Fertility, Biochemical Quality, and Environmental Applications. Front. Environ. Sci. 2023, 11, 1114752. [Google Scholar] [CrossRef]
- Yang, B.B.; Xu, K.; Zhang, Z. Mitigating evaporation and desiccation cracks in soil with the sustainable material biochar. Soil Sci. Soc. Am. J. 2020, 84, 461–471. [Google Scholar] [CrossRef]
- Kabir, E.; Kim, K.-H.; Kwon, E.E. Biochar as a Tool for the Improvement of Soil and Environment. Front. Environ. Sci. 2023, 11, 1324533. [Google Scholar] [CrossRef]
- Bhat, S.A.; Kuriqi, A.; Dar, M.U.D.; Bhat, O.; Sammen, S.S.; Islam, A.R.M.T.; Elbeltagi, A.; Shah, O.; Ai-Ansari, N.; Ali, R.; et al. Application of Biochar for Improving Physical, Chemical, and Hydrological Soil Properties: A Systematic Review. Sustainability 2022, 14, 11104. [Google Scholar] [CrossRef]
- Feng, W.; Wang, T.; Yang, F.; Cen, R.; Liao, H.; Qu, Z. Effects of Biochar on Soil Evaporation and Moisture Content and the Associated Mechanisms. Environ. Sci. Eur. 2023, 35, 66. [Google Scholar] [CrossRef]
- Akhtar, S.S.; Li, G.; Andersen, M.N.; Liu, F.L. Biochar Enhances Yield and Quality of Tomato under Reduced Irrigation. Agric. Water Manag. 2014, 138, 37–44. [Google Scholar] [CrossRef]
- Ding, C.C.; Gan, Y.H.; Luo, J.; Cui, Y.B. Wheat Straw Biochar and Its Performance in Treatment of Phenanthrene Containing Water and Microbial Remediation of Phenanthrene Contaminated Soil. Front Environ. Sci. 2022, 10, 1039603. [Google Scholar] [CrossRef]
- Liu, X.H.; Han, F.P.; Zhang, X.C. Effect of Biochar on Soil Aggregates in the Loess Plateau: Results from Incubation Experiments. Int. J. Agric. Biol. 2012, 14, 975–979. [Google Scholar]
- Libutti, A.; Francavilla, M.; Monteleone, M. Hydrological Properties of a Clay Loam Soil as Affected by Biochar Application in a Pot Experiment. Agronomy 2021, 11, 489. [Google Scholar] [CrossRef]
- Li, L.; Zhang, Y.-J.; Novak, A.; Yang, Y.; Wang, J. Role of Biochar in Improving Sandy Soil Water Retention and Resilience to Drought. Water 2021, 13, 407. [Google Scholar] [CrossRef]
- Vennam, R.R.; Ramamoorthy, P.; Poudel, S.; Reddy, K.R.; Henry, W.B.; Bheemanahalli, R. Developing Functional Relationships between Soil Moisture Content and Corn Early-Season Physiology, Growth, and Development. Plants 2023, 12, 2471. [Google Scholar] [CrossRef] [PubMed]
- Yan, W.; Zhong, Y.; Shangguan, Z. A meta-analysis of leaf gas exchange and water status responses to drought. Sci. Rep. 2016, 6, 20917. [Google Scholar] [CrossRef]
- Alkharabsheh, H.M.; Seleiman, M.F.; Battaglia, M.L.; Shami, A.; Jalal, R.S.; Alhammad, B.A.; Almutairi, K.F.; Al-Saif, A.M. Biochar and Its Broad Impacts in Soil Quality and Fertility, Nutrient Leaching and Crop Productivity: A Review. Agronomy 2021, 11, 993. [Google Scholar] [CrossRef]
- Borchard, N.; Siemens, J.; Ladd, B.; Moller, A.; Amelung, W. Application of Biochars to Sandy and Silty Soil Failed to Increase Maize Yield under Common Agricultural Practice. Soil Tillage Res. 2014, 144, 184–194. [Google Scholar] [CrossRef]
- Nelissen, V.; Ruysschaert, G.; Manka Abusi, D.; Dhose, T.; De Beuf, K.; Al-Barri, B.; Cornelis, W.; Boeckx, P. Impact of a Woody Biochar on Properties of a Sandy Loam Soil and Spring Barley during a Two-Year Field Experiment. Eur. J. Agron. 2015, 62, 65–78. [Google Scholar] [CrossRef]










| Group | Scenario No. | Soil Type | Watering Type | Soil Composition | Biochar Composition | Biochar Mass Fraction | Total Nitrogen (N) (%) | Total Phosphorus (P) (mg/kg) | Total Potassium (K) (mg/kg) |
|---|---|---|---|---|---|---|---|---|---|
| E1-A | 1 | Silty loam with higher clay content | Conventional water | clay: 13.95% silt: 64.25% sand: 21.8% | No | 0.202 | 464 | 2893 | |
| E1-B | 2 | Silty loam with higher clay content | Air nanobubble water | No | |||||
| E1-C | 3 | Silty loam with higher clay content (amended with biochar) | Air nanobubble water | Made by FLUID S.A., Poland (5% of dry soil weight) 80.6% C, 0.96% H, 0.33% N, 0.03% S, 0.10% P, 664.8 mg/kg P2O5, 957.6 mg/kg Fe, 0.27% K, 0.52% Ca, 0.13% Mg | >2 µm (0.301%) 2–63 µm (47.11%) 63–2000 µm (52.58%) | ||||
| E2-A | 4 | Silty loam | Conventional water | clay: 1.84% silt: 68.44% sand: 29.71% | No | 0.306 | 499 | 3101 | |
| E2-B | 5 | Silty loam | Air nanobubble water | No | |||||
| E2-C | 6 | Silty loam (amended with biochar) | Air nanobubble water | Made by FLUID S.A. * | Refer to ** | ||||
| E3-A | 7 | Sandy loam | Conventional water | clay: 0.60% silt: 27.96% sand: 71.45% | No | 0.350 | 580 | 2955 | |
| E3-B | 8 | Sandy loam | Air nanobubble water | No | |||||
| E3-C | 9 | Sandy loam (amended with biochar) | Air nanobubble water | Made by FLUID S.A. * | Refer to ** |
| Experiment | Scenario | SO42− | COD | Fe3+ | Mg2+ | Ca2+ | K+ |
|---|---|---|---|---|---|---|---|
| E1 | 1 | 77 to 100 | 0 | 0 | 26 to 61 | 158 to 334 | 70 to 200 |
| E1 | 2 | 80 to 100 | 0 | 0 | 18 to 71 | 134 to 353 | 80 to 95 |
| E1 | 3 | close to zero | 0 | 0 | close to zero | around zero | around zero |
| E2 | 4 | 5 to 100 | 0 to 95 | 0 | 19 to 25 | 215 | 95 to 200 |
| E2 | 5 | 5 to 100 | 0 to 121 | 0 | 20 to 46 | 168 to 261 | 105 to 195 |
| E2 | 6 | 38 to 100 | 0 to 527 | 0 | 16 to 28 | 132 to 225 | 150 to 200 |
| E3 | 7 | 100 | 70 to 496 | 0 | 0 to 47 | 400 | 100 to 125 |
| E3 | 8 | 100 | 382 to 688 | 0 | 0 to 64 | 400 | 100 to 165 |
| E3 | 9 | 100 | 283 to 405 | 0 | 28 to 43 | 227 to 400 | 200 |
Disclaimer/Publisher’s Note: The statements, opinions and data contained in all publications are solely those of the individual author(s) and contributor(s) and not of MDPI and/or the editor(s). MDPI and/or the editor(s) disclaim responsibility for any injury to people or property resulting from any ideas, methods, instructions or products referred to in the content. |
© 2024 by the authors. Licensee MDPI, Basel, Switzerland. This article is an open access article distributed under the terms and conditions of the Creative Commons Attribution (CC BY) license (https://creativecommons.org/licenses/by/4.0/).
Share and Cite
Arablousabet, Y.; Povilaitis, A. Assessing the Role of Air Nanobubble-Saturated Water in Enhancing Soil Moisture, Nutrient Retention, and Plant Growth. Sustainability 2024, 16, 5727. https://doi.org/10.3390/su16135727
Arablousabet Y, Povilaitis A. Assessing the Role of Air Nanobubble-Saturated Water in Enhancing Soil Moisture, Nutrient Retention, and Plant Growth. Sustainability. 2024; 16(13):5727. https://doi.org/10.3390/su16135727
Chicago/Turabian StyleArablousabet, Yeganeh, and Arvydas Povilaitis. 2024. "Assessing the Role of Air Nanobubble-Saturated Water in Enhancing Soil Moisture, Nutrient Retention, and Plant Growth" Sustainability 16, no. 13: 5727. https://doi.org/10.3390/su16135727
APA StyleArablousabet, Y., & Povilaitis, A. (2024). Assessing the Role of Air Nanobubble-Saturated Water in Enhancing Soil Moisture, Nutrient Retention, and Plant Growth. Sustainability, 16(13), 5727. https://doi.org/10.3390/su16135727

