From Bibliometric Analysis to Experimental Validation: Bibliometric and Literature Review of Four Cementing Agents in Soil Stabilization with Experimental Focus on Xanthan Gum
Abstract
1. Introduction
2. Methodology
3. Bibliometric Analysis
4. Bibliographic Review
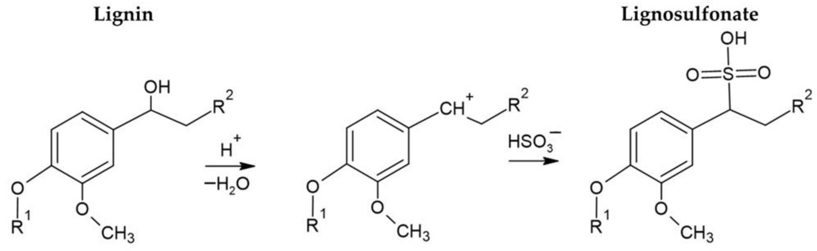
4.1. The Process Involves Obtaining Lignosulphonate, Natural Rubber, Xanthan Gum, and Eggshell Lime


4.2. Lignosulphonate Use in Soil Stabilization
4.3. Natural Rubber Latex (NRL) Properties and Its Use in Soil Stabilization
4.4. Xanthan Gum Properties and Its Impact on Soil Stabilization
4.5. The Use of Eggshell Lime in Soil Stabilization
5. Experimental Study of Xanthan Gum Use in Clay Stabilization
5.1. Materials and Methods
5.2. Results and Discussions
6. Future Implications
7. Conclusions
- The bibliometric analysis reveals a clear trend in scientific production, with XG emerging as the most extensively studied binder, followed by eggshell lime. Despite their relatively recent adoption since 2015, these alternatives have garnered substantial attention within the research community. Conversely, although studied since 2013, lignosulphonate has exhibited lower productivity, potentially due to its limited geographical production scope, primarily concentrated in Asia. A notable development is the recent utilization of NBL for soil improvement, with its first documented use in 2020 and a notable increase in research output by 2023, surpassing that of LS despite its more extended application history. This underscores a shifting focus toward novel materials in soil stabilization research, with NRL emerging as a promising candidate warranting further investigation.
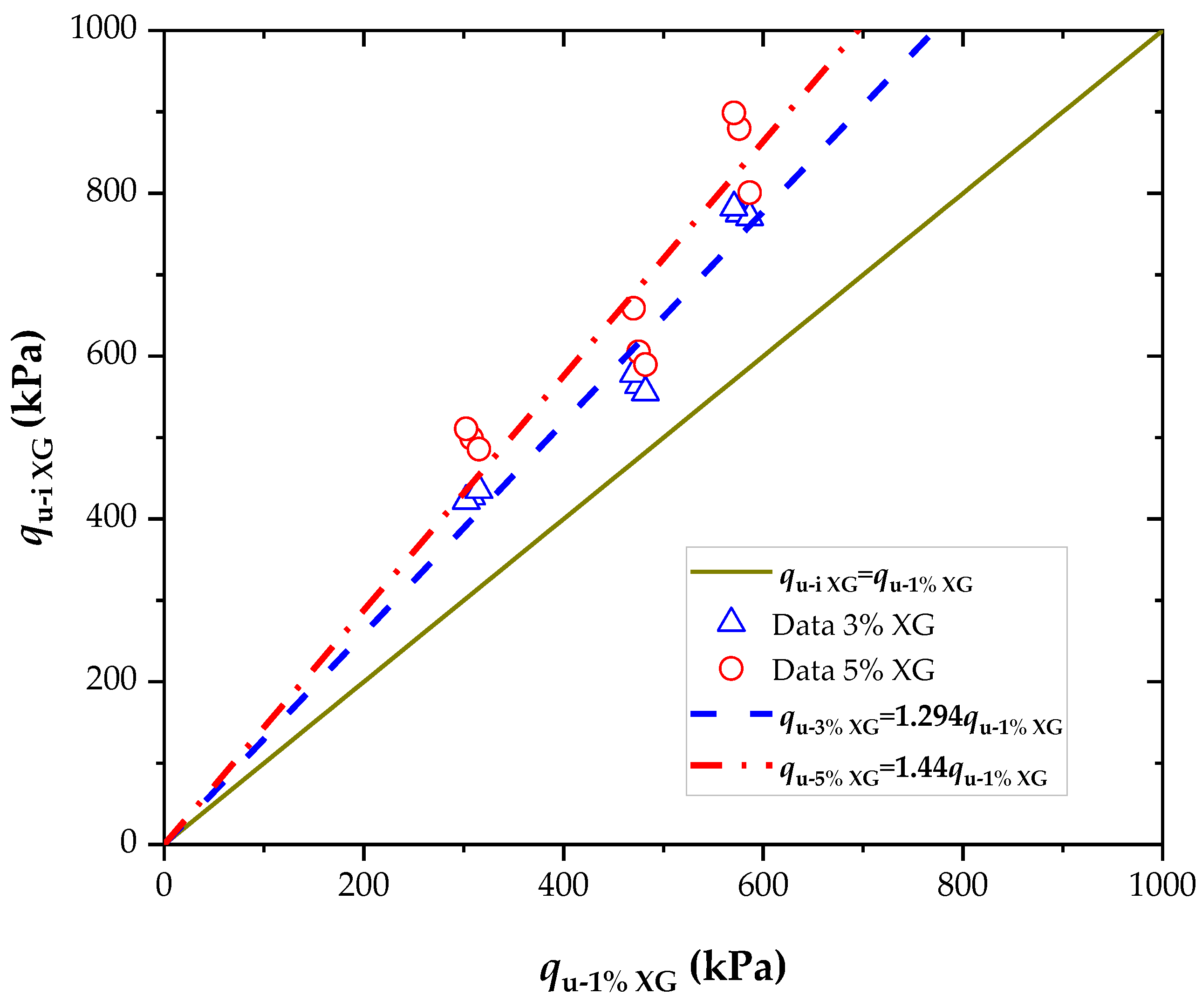
- The experimental study presented on the influence of xanthan gum (XG) on the strength and stiffness of biostabilized clay demonstrates that with XG percentages ranging from 1 to 3%, a substantial increase in soil strength can be achieved, up to 44% and 55% for the parameters qu and Go, respectively. Moreover, given the limited global production of XG, small percentages close to or less than 1% are recommended in the literature. In the study, the increases in strength and stiffness can reach up to 20%. This aligns with existing literature where similar strengths to those found with the clay studied here have been reported.
- In the biostabilized soil, the SEM images depict the formation of bonds attributed to the presence of the biopolymer xanthan. These bonds play a crucial role in enhancing the cohesion and stability of the soil matrix. Additionally, the SEM-EDX results indicate a notable increase in the concentration of carbon and oxygen within the biostabilized soil compared with the non-stabilized soil. The elevated carbon and oxygen levels can be attributed to the incorporation of xanthan, which is rich in these elements, during the biostabilization process. This increase in carbon and oxygen content further corroborates the successful integration of xanthan into the soil matrix.
- In concordance with the bibliografic review, the novelty exploration of materials for soil improvement, such as natural latex, lignosulfonate, xanthan gum, and eggshell lime, underscores the ongoing pursuit within civil engineering to enhance the mechanical strength of geomaterials. The comprehensive literature review and analysis conducted in this study shed light on the potential of these materials yet also highlight areas for further exploration, particularly in understanding underlying mechanisms and conducting thorough cost-benefit and environmental impact assessments. By addressing these imperatives, future research endeavors are poised to enhance our understanding and elevate the efficacy and sustainability of soil enhancement methodologies within civil engineering.
Author Contributions
Funding
Institutional Review Board Statement
Informed Consent Statement
Data Availability Statement
Acknowledgments
Conflicts of Interest
Appendix A. Bibliographic Review of the Effects of LS, Xanthan Gum, Natural Rubber Latex, and Eggshell Limes in the Geotechnical Properties of Treated Soils
| Material | Addition (%) | OMC (%) | MDD (gm/cc) | CBR (%) | UCS 28 Days MPa | ΔUCS (%) | Shear Tests | ΔTs | Microstructure | Petrography | Observations | Ref. |
| Lignosulphonate | 0.0 | 19.0 | 1.7 | 2.3 | 0.3 | – | – | SEM | – | The results showed that the untreated soil had a CBR of 2.27%, while the soil with 45% additives achieved a CBR of 5.05%. Introducing 50% additives resulted in performance levels of 30.21%, 17.42%, and 12.82% for (a) liquid limit, (b) plastic limit, and (c) plasticity index, respectively. Additionally, the inclusion of the stabilizers significantly enhanced the mechanical properties of the soil. | [82] | |
| 5.0 | 18.0 | 1.7 | 3.7 | 0.3 | 10.7 | – | – | – | ||||
| 5.0 | 17.7 | 1.8 | 3.9 | 0.4 | 32.1 | – | – | – | ||||
| 10.0 | 17.0 | 1.8 | 4.4 | 0.4 | 35.7 | – | – | – | ||||
| 20.0 | 16.4 | 1.8 | 4.9 | 0.4 | 35.7 | – | – | – | ||||
| 30.0 | 15.3 | 1.9 | 5.2 | 0.4 | 42.9 | – | – | – | ||||
| 40.0 | 14.2 | 2.0 | 5.1 | 0.4 | 42.9 | – | – | – | ||||
| 45.0 | 12.5 | 2.0 | 5.1 | 0.4 | 46.4 | – | – | – | ||||
| 50.0 | 10.8 | 2.1 | 6.7 | 0.4 | 46.4 | – | – | – | ||||
| 0.0 | 22.2 | 1.6 | – | 0.2 | – | – | SEM + XRD | – | Limitations of lignosulphonate as a stabilizer for expansive soil were identified. An extensive experimental investigation was conducted on a proposed composite binary admixture (CBA) with hydrated lime aimed at improving the geotechnical characteristics of expansive soil. The optimal binary admixture (OBA) was identified based on the plasticity index. | [12] | ||
| 0.4 | 22.2 | 1.6 | – | 0.2 | 7.8 | – | – | – | ||||
| 0.9 | 22.2 | 1.6 | – | 0.2 | 10.4 | – | – | – | ||||
| 2.0 | 22.2 | 1.6 | – | 0.2 | 14.3 | – | – | – | ||||
| 0.8 | 22.5 | 1.6 | 4.5 | N/A | N/A | – | – | SEM + XRD | – | The CBR values of both untreated and LS-treated soil samples decreased significantly by 86% and 75.6%, respectively, when soaked, compared with their unsoaked states. The LS treatment was determined to be chemically inert, with stabilization primarily reliant on intermolecular interactions. Analysis of pavement thickness revealed that both untreated and LS-treated soils were unsuitable for pavement construction and would necessitate the addition of an extra sand cushion layer. | [83] | |
| 0.0 | 21.3 | 1.6 | – | 0.3 | – | 0.2 | – | SEM | – | As compaction moisture content increased, strength parameters decreased for both treated and untreated soils. LS stabilization resulted in a decrease in both swell percentage and swell pressure of the expansive clay. Additionally, the stabilization led to a reduction in the soil's plasticity index, thereby changing the soil expansivity category from high to moderate. These enhancements in soil properties can be attributed to the electrostatic reaction between the LS–water mixture and soil particles, promoting soil aggregation. | [84] | |
| 0.5 | 21.4 | 1.6 | – | 0.4 | 33.9 | 0.3 | 13.2 | – | ||||
| 0.8 | 21.5 | 1.6 | – | 0.4 | 42.9 | – | – | – | ||||
| 1.0 | 21.6 | 1.6 | – | 0.4 | 25.0 | – | – | – | ||||
| 2.0 | 21.9 | 1.6 | – | 0.3 | 21.4 | – | – | – | ||||
| 3.0 | 22.1 | 1.6 | – | 0.3 | 14.3 | – | – | – | ||||
| 4.0 | 22.3 | 1.6 | – | 0.3 | 5.4 | – | – | – | ||||
| 0.0 | 22.9 | 1.6 | – | 0.2 | – | – | – | SEM + XRD | – | The treated soil demonstrates an average strength improvement of approximately two times when an optimal LS content of 1.5% is applied. Moreover, the treated soil exhibits a notable reduction in both swell potential and swell pressure compared with the untreated soil. This manuscript predominantly explores the behavior of expansive soil amended with LS concerning strength and swelling characteristics, as well as the method to enhance the interaction mechanism between LS and soil composites. | [9] | |
| 0.5 | 22.9 | 1.6 | – | 0.5 | 104.5 | – | – | – | ||||
| 1.5 | 22.9 | 1.6 | – | 0.5 | 122.7 | – | – | – | ||||
| 3.0 | 22.9 | 1.6 | – | 0.4 | 86.4 | – | – | – | ||||
| 6.0 | 22.9 | 1.6 | – | 0.4 | 93.2 | – | – | – | ||||
| 0.0 | 18.0 | 1.4 | – | 0.2 | – | – | – | SEM | – | The findings suggest that lignosulfonate has a notable impact on the strength characteristics of expansive soils. The optimal percentage of lignosulfonate is determined by the fine content in the soils. Treatment with lignosulfonate led to a decrease in the negative surface charge of the soils and the development of a polymer chain microstructure, along with a microstructure of flocculated or aggregated particles. These changes potentially contribute to the improved strength of the expansive soils. | [49] | |
| 0.0 | 19.0 | 1.7 | – | 0.2 | – | – | – | – | ||||
| 0.5 | 18.0 | 1.4 | – | 0.2 | 11.8 | – | – | – | ||||
| 0.5 | 19.0 | 1.7 | – | 0.3 | 40.9 | – | – | – | ||||
| 1.0 | 18.0 | 1.4 | – | 0.2 | 14.7 | – | – | – | ||||
| 1.0 | 19.0 | 1.7 | – | 0.3 | 47.7 | – | – | – | ||||
| 2.0 | 18.0 | 1.4 | – | 0.2 | 17.6 | – | – | – | ||||
| 2.0 | 19.0 | 1.7 | – | 0.3 | 40.9 | – | – | – | ||||
| 4.0 | 18.0 | 1.4 | – | 0.2 | 32.4 | – | – | – | ||||
| 4.0 | 19.0 | 1.7 | – | 0.3 | 27.3 | – | – | – | ||||
| Natural Rubber Latex | 0.0 | 7.8 | 2.8 | – | 4.7 | – | – | – | SEM+XRD | – | This study investigates the influence of Natural rubber latex (NRL) on the strength development of cement-stabilized lateritic soil (LS) blends with steel slag (SS) as a sustainable pavement base. Various SS replacement ratios and dry rubber to cement (r/c) ratios were examined. The r/c ratio significantly affected the compactability and unconfined compressive strength (UCS). Microstructural analysis revealed that increasing NRL content decreased the degree of cement hydration due to NRL film retardation; yet, at optimal r/c ratios, a balance between cement hydration and NRL films enhanced interparticle bond strength, leading to UCS development. Although optimal r/c ratios varied, NRL’s percent improvement remained consistent. The r/c ratio emerged as a crucial factor influencing interparticle bond strength, facilitating the development of a cost-effective and time-saving relationship between UCS and ITS for geotechnical and pavement engineering design, showcasing the effective utilization of NRL and recycled materials in sustainable pavement applications. | [38] |
| 3.0 | 8.0 | 2.9 | – | 5.2 | 10.6 | – | – | – | ||||
| 5.0 | 8.1 | 2.8 | – | 5.1 | 8.5 | – | – | – | ||||
| 10.0 | 8.4 | 2.8 | – | 4.9 | 4.3 | – | – | – | ||||
| 15.0 | 8.6 | 2.5 | – | 4.8 | 2.1 | – | – | – | ||||
| 0.0 | 7.8 | 2.5 | – | 4.0 | – | – | – | – | ||||
| 3.0 | 7.9 | 2.5 | – | 4.5 | 10.6 | – | – | – | ||||
| 5.0 | 7.9 | 2.4 | – | 4.1 | 2.1 | – | – | – | ||||
| 10.0 | 8.1 | 2.4 | – | 3.9 | −2.1 | – | – | – | ||||
| 15.0 | 8.2 | 2.4 | – | 3.8 | -4.3 | – | – | – | ||||
| 0.0 | 8.1 | 2.1 | 18.2 | 2.9 | – | – | – | – | – | Exploring the integration of natural rubber latex (NRL) as an eco-friendly supplement in cement stabilization of base courses reveals enhanced short- and long-term performance. Cement–NRL combinations exhibit superior unconfined compressive strength (UCS) compared with cement alone across various cement contents and NRL replacement rates, attributed to synergistic effects between cement hydration and latex film formation, with peak UCS achieved at specific NRL replacement ratios. | [39] | |
| 10.0 | 8.1 | 2.1 | 18.2 | 3.2 | 10.3 | – | – | – | ||||
| 15.0 | 8.1 | 2.1 | 18.2 | 3.5 | 20.7 | – | – | – | ||||
| 20.0 | 8.1 | 2.1 | 18.2 | 3.9 | 34.5 | – | – | – | ||||
| 25.0 | 8.1 | 2.1 | 18.2 | 3.6 | 24.1 | – | – | – | ||||
| 30.0 | 8.1 | 2.1 | 18.2 | 3.2 | 10.3 | – | – | – | ||||
| 0.0 | 9.2 | 2.0 | 13.0 | 2.5 | – | – | – | – | ||||
| 10.0 | 9.2 | 2.0 | 13.0 | 3.0 | 20.0 | – | – | – | ||||
| 15.0 | 9.2 | 2.0 | 13.0 | 3.1 | 24.0 | – | – | – | ||||
| 20.0 | 9.2 | 2.0 | 13.0 | 3.2 | 26.0 | – | – | – | ||||
| 25.0 | 9.2 | 2.0 | 13.0 | 3.0 | 20.0 | – | – | – | ||||
| 30.0 | 9.2 | 2.0 | 13.0 | 2.9 | 14.0 | – | – | – | ||||
| 0.0 | 12.0 | 1.9 | – | 3.2 | – | – | – | SEM + XRD | – | This study examines the impact of natural rubber latex (NRL) on the performance of cement-stabilized recycled concrete aggregate (RCA) for pavement bases. Factors such as various cement contents and dry rubber-to-cement (r/c) ratios were analyzed. NRL replacement improved the unconfined compressive strength (UCS) and indirect tensile strength (ITS) of cement-stabilized RCA, with peak values observed at optimal r/c ratios. Microstructural analysis revealed cement hydration products and NRL films, which enhanced adhesion and interparticle bonds. However, excessive NRL hindered cement hydration, resulting in lower UCS and ITS beyond optimal r/c ratios, though still meeting base material requirements. | [85] | |
| 5.0 | 11.9 | 1.9 | – | 3.3 | 1.6 | – | – | – | ||||
| 10.0 | 11.5 | 1.8 | – | 3.7 | 15.6 | – | – | – | ||||
| 15.0 | 10.6 | 1.8 | – | 3.5 | 9.4 | – | – | – | ||||
| 0.0 | 12.3 | 1.9 | – | 4.8 | – | – | – | – | ||||
| 5.0 | 12.1 | 1.9 | – | 5.8 | 20.8 | – | – | – | ||||
| 10.0 | 11.8 | 1.9 | – | 4.9 | 2.1 | – | – | – | ||||
| 15.0 | 11.4 | 1.9 | – | 4.1 | −15.6 | – | – | – | ||||
| 0.0 | 12.5 | 1.9 | – | 6.8 | – | – | – | – | ||||
| 5.0 | 12.4 | 1.9 | – | 6.9 | 1.5 | – | – | – | ||||
| 10.0 | 11.5 | 1.9 | – | 6.8 | 0.0 | – | – | – | ||||
| 15.0 | 11.2 | 1.9 | – | 6.2 | −8.8 | – | – | – | ||||
| Xanthan Gum | 0.0 | 14.5 | 1.8 | – | 0.2 | – | – | – | – | – | The main objective of this study is to investigate how the addition of minimal amounts of biopolymers, specifically xanthan gum and guar gum, influences the physical characteristics of residual soil (at concentrations of 1%, 2%, 4%, and 5%). Parameters such as Atterberg limits, optimal water content, maximum dry density, pH, and specific gravity are analyzed in this research. Additionally, the study experimentally explores the shear strengths of both treated and untreated soil at different curing durations through unconfined compressive strength testing. | [42] |
| 1.0 | 14.5 | 1.8 | – | 0.2 | 4.3 | – | – | – | ||||
| 2.0 | 14.5 | 1.8 | – | 0.3 | 15.2 | – | – | – | ||||
| 4.0 | 14.5 | 1.8 | – | 0.3 | 41.3 | – | – | – | ||||
| 5.0 | 14.5 | 1.8 | – | 0.4 | 60.9 | – | – | – | ||||
| 0.0 | 14.5 | 1.8 | – | 0.2 | – | – | – | – | ||||
| 1.0 | 14.5 | 1.8 | – | 0.3 | 13.0 | – | – | – | ||||
| 2.0 | 14.5 | 1.8 | – | 0.4 | 52.2 | – | – | – | ||||
| 4.0 | 14.5 | 1.8 | – | 0.4 | 56.5 | – | – | – | ||||
| 5.0 | 14.5 | 1.8 | – | 0.4 | 73.9 | – | – | – | ||||
| 0.0 | 21.7 | 1.7 | – | 1.2 | – | – | – | SEM + XRD | – | This research investigates how xanthan gum biopolymer enhances soil properties, aiming for sustainable soil improvement. Results indicate that increasing xanthan gum concentration and curing time enhances soil compressive strength and cohesion and reduces internal friction angle. Despite wetting/drying cycles reducing soil strength, biopolymer-treated soil maintains higher strength compared with untreated soil, offering insights for practical engineering applications. | [55] | |
| 0.5 | 21.7 | 1.7 | – | 1.8 | 45.8 | – | – | – | ||||
| 1.0 | 21.7 | 1.7 | – | 2.1 | 75.0 | – | – | – | ||||
| 2.0 | 21.7 | 1.7 | – | 2.9 | 141.7 | – | – | – | ||||
| 0.0 | – | – | – | 0.02 | – | – | SEM | – | This paper examines how the presence of organic matter (OM) impacts the efficacy of soil stabilization using xanthan gum biopolymer. Five artificial soils with OM content ranging from 1.5% to 7.7% undergo UCS and oedometer tests to assess strength, stiffness, and compressibility. Results, supplemented by SEM analysis, reveal that stabilization enhances strength and stiffness up to 5.5% OM but deteriorates beyond 7.7%, likely due to increased hydrogel hydration and subsequent compressibility. Oedometer tests demonstrate a notable reduction in consolidation coefficient and an elongated primary consolidation time with xanthan gum stabilization. | [74] | ||
| 1.0 | – | – | – | 0.04 | 131.0 | – | – | – | ||||
| 0.0 | – | – | – | 0.02 | – | – | – | |||||
| 1.0 | – | – | – | 0.05 | 137.0 | – | – | – | ||||
| 0.0 | – | – | – | 0.02 | – | – | – | |||||
| 1.0 | – | – | – | 0.06 | 239.0 | – | – | – | ||||
| 0.0 | – | – | – | 0.02 | – | – | – | |||||
| 1.0 | – | – | – | 0.06 | 270.0 | – | – | – | ||||
| 0.0 | – | – | – | 0.02 | – | – | – | |||||
| 1.0 | – | – | – | 0.01 | −54.0 | – | – | – | ||||
| 0.0 | – | – | – | – | – | 9.0 | SEM | – | Kaolinite clay infused with xanthan gum biopolymer exhibits altered consolidation and swelling tendencies. The formation of xanthan gum hydrogels impedes pore spaces, leading to delayed consolidation, heightened energy dissipation, and increased compressibility. Additionally, the interaction between kaolinite and xanthan gum bolsters the undrained shear strength, thereby shortening the consolidation duration needed for specific bearing capacities. This study showcases potential applications in regulating hydraulic conductivity, seismic stabilization, and swift surface reinforcement, albeit requiring supplementary drainage for in situ implementation. | [30] | ||
| 0.5 | – | – | – | – | – | 14.0 | 55.6 | – | ||||
| 1.0 | – | – | – | – | – | 16.0 | 50.0 | – | ||||
| 2.0 | – | – | – | – | – | – | – | – | ||||
| 0.0 | 18.9 | 1.7 | – | 0.2 | – | – | – | SEM | – | The study examines the impact of wetting–drying cycles on xanthan gum biopolymer-stabilized soil. Initially, soil mechanical properties decline over the first four cycles, then stabilize. Soil treated with 1.5% xanthan gum exhibits roughly twice the compressive strength compared with untreated soil after 12 cycles, with a wetting–drying-induced strength reduction approximately 20% less than untreated soil. | [29] | |
| 0.5 | 18.9 | 1.7 | – | 0.3 | 16.7 | – | – | – | ||||
| 1.5 | 18.9 | 1.7 | – | 0.3 | 33.3 | – | – | – | ||||
| Eggshell Lime | 0.0 | – | – | – | 0.3 | – | – | – | SEM | – | This study explores the utilization of eggshell-derived calcium acetate in enhancing biocementation through soybean urease-mediated enzyme-induced carbonate precipitation (EICP). By assessing various EICP solution compositions, the research identifies optimal conditions yielding maximal precipitation efficiency and reinforcing effects on sandy soil. Results indicate that a 1:1 molar ratio of Ca(CH3COO)2 to urea, supplemented with 50 g/L soybean solution, achieves peak precipitation efficiency and yields the highest 7-day unconfined compressive strength (UCS) of 371 kPa, with a calcium carbonate content of 0.40%. Additionally, the eggshell-soybean EICP method exhibits an 8.5% increase in UCS compared with the CaCl2-soybean EICP, despite comparable calcium carbonate content. | [27] |
| 0.4 | – | – | – | 0.4 | 26.2 | – | – | – | ||||
| 0.3 | – | – | – | 0.3 | 18.7 | – | – | – | ||||
| 0.2 | – | – | – | 0.3 | 10.2 | – | – | – | ||||
| 0.4 | – | – | – | 0.4 | 24.8 | – | – | – | ||||
| 0.0 | 9.3 | 2.1 | – | 2.9 | – | – | – | – | – | This experimental investigation assesses the characteristics of geopolymer-based stabilization of lateritic soil incorporating eggshell ash (ESA) and rice husk ash (RHA) for road construction. Findings indicate that increasing ESA content reduces soil plasticity index. While maximum dry density decreases slightly with ESA, RHA, and NaOH additions, unconfined compressive strength (UCS) exhibits a marginal decrease compared with cement stabilization. Among various mixes, combinations such as 3E1R1N and 2E2R1N demonstrate the most cost-effective strength outcomes with lower embodied energy and CO2 emissions, suggesting geopolymer stabilization as a competitive alternative to cement for roadbase construction. | [28] | |
| 1.0 | 9.3 | 2.1 | – | 3.0 | 3.4 | – | – | – | ||||
| 2.0 | 9.3 | 2.1 | – | 3.8 | 29.3 | – | – | – | ||||
| 3.0 | 9.3 | 2.1 | – | 4.0 | 37.9 | – | – | – | ||||
| 4.0 | 9.3 | 2.1 | – | 2.9 | 0.0 | – | – | – | ||||
| 0.0 | 15.0 | 1.8 | 5.0 | 0.1 | – | – | – | SEM | – | The impact of incorporating crushed granulated blast furnace slag and calcined eggshell waste on the mechanical properties of compacted marl was examined. Results reveal a significant enhancement in marl's mechanical properties. Adding 15% of this composite binder increases the CBR index by 22 times. Moreover, notable improvements in cohesion and internal friction angle are noted, particularly over time. SEM analysis identifies the formation of new hydrates (C-S-H) post-treatment, suggesting the effectiveness of calcined eggshell-activated blast furnace slag as a stabilizer for clay soils. | [86] | |
| 5.0 | 15.0 | 1.8 | 35.0 | 0.3 | 116.0 | – | – | – | ||||
| 10.0 | 15.0 | 1.8 | 60.0 | 0.7 | 452.0 | – | – | – | ||||
| 15.0 | 15.0 | 1.8 | 93.0 | 0.7 | 452.0 | – | – | – | ||||
| 0.0 | 34.8 | 1.3 | – | – | – | – | – | – | – | This study investigates the shear strength characteristics of clay soil treated with a blend of fly ash and eggshell powder geopolymer. The unconsolidated, undrained triaxial test was conducted to assess shear strength. Variations in NaOH molarity, curing time, and eggshell powder to fly ash ratio were examined. Findings suggest that 5% eggshell powder enhances shear strength. Higher NaOH molarity increases shear strength, indicating improved binding effects of the geopolymer. Prolonged curing impacts stabilized soil shear strength. This research underscores the efficacy of eggshell powder geopolymer as a clay soil stabilizer, advocating for its inclusion at a 5% ratio to augment soil shear strength. | [87] | |
| 5.0 | 34.8 | 1.3 | – | – | – | – | – | – | ||||
| 0.0 | 34.8 | 1.3 | – | – | – | – | – | – | ||||
| 5.0 | 34.8 | 1.3 | – | – | – | – | – | – | ||||
| 0.0 | 34.8 | 1.3 | – | – | – | – | – | – | ||||
| 5.0 | 34.8 | 1.3 | – | – | – | – | – | – | ||||
| 0.0 | 34.8 | 1.3 | – | – | – | – | – | – | ||||
| 5.0 | 34.8 | 1.3 | – | – | – | – | – | – |
References
- Hoy, M.; Tran, N.Q.; Suddeepong, A.; Horpibulsuk, S.; Buritatum, A.; Yaowarat, T.; Arulrajah, A. Wetting-Drying Durability Performance of Cement-Stabilized Recycled Materials and Lateritic Soil Using Natural Rubber Latex. Constr. Build. Mater. 2023, 403, 133108. [Google Scholar] [CrossRef]
- Khajeh, A.; Nazari, Z.; Movahedrad, M.; Vakili, A.H. A State-of-the-Art Review on the Application of Lignosulfonate as a Green Alternative in Soil Stabilization. Sci. Total Environ. 2024, 943, 173500. [Google Scholar] [CrossRef]
- Chen, C.; Wu, L.; Perdjon, M.; Huang, X.; Peng, Y. The Drying Effect on Xanthan Gum Biopolymer Treated Sandy Soil Shear Strength. Constr. Build. Mater. 2019, 197, 271–279. [Google Scholar] [CrossRef]
- Saldanha, R.B.; da Rocha, C.G.; Caicedo, A.M.L.; Consoli, N.C. Technical and Environmental Performance of Eggshell Lime for Soil Stabilization. Constr. Build. Mater. 2021, 298, 123648. [Google Scholar] [CrossRef]
- Salehi, M.; Bahmankar, M.; Naghavi, M.R.; Cornish, K. Rubber and Latex Extraction Processes for Taraxacum Kok-Saghyz. Ind. Crops Prod. 2022, 178, 114562. [Google Scholar] [CrossRef]
- Aro, T.; Fatehi, P. Production and Application of Lignosulfonates and Sulfonated Lignin. ChemSusChem 2017, 10, 1861–1877. [Google Scholar] [CrossRef]
- Kuppuswami, G.M. Fermentation (Industrial): Production of Xanthan Gum. In Encyclopedia of Food Microbiology, 2nd ed.; Academic Press: Oxford, UK, 2014. [Google Scholar]
- Grzeszczyk, S.; Kupka, T.; Kałamarz, A.; Sudoł, A.; Jurowski, K.; Makieieva, N.; Oleksowicz, K.; Wrzalik, R. Characterization of Eggshell as Limestone Replacement and Its Influence on Properties of Modified Cement. Constr. Build. Mater. 2022, 319, 126006. [Google Scholar] [CrossRef]
- Sharmila, B.; Bhuvaneshwari, S.; Landlin, G. Application of Lignosulphonate—A Sustainable Approach towards Strength Improvement and Swell Management of Expansive Soils. Bull. Eng. Geol. Environ. 2021, 80, 6395–6413. [Google Scholar] [CrossRef]
- Soundarya, M.K.; Bhuvaneshwari, S.; Prasanna Kumar, S. Experimental Investigation of Soil Blended with Lime and Lignosulphonate. Int. J. Eng. Technol. 2018, 7, 74–77. [Google Scholar] [CrossRef]
- Wu, D.; She, W.; Wei, L.; Zuo, W.; Hu, X.; Hong, J.; Miao, C. Stabilization Mechanism of Calcium Lignosulphonate Used in Expansion Sensitive Soil. J. Wuhan Univ. Technol. Mater. Sci. Ed. 2020, 35, 847–855. [Google Scholar] [CrossRef]
- Ijaz, N.; Dai, F.; Meng, L.; Rehman, Z.U.; Zhang, H. Integrating Lignosulphonate and Hydrated Lime for the Amelioration of Expansive Soil: A Sustainable Waste Solution. J. Clean. Prod. 2020, 254, 119985. [Google Scholar] [CrossRef]
- Buritatun, A.; Takaikaew, T.; Horpibulsuk, S.; Udomchai, A.; Hoy, M.; Vichitcholchai, N.; Arulrajah, A. Mechanical Strength Improvement of Cement-Stabilized Soil Using Natural Rubber Latex for Pavement Base Applications. J. Mater. Civ. Eng. 2020, 32, 04020372. [Google Scholar] [CrossRef]
- Veena, U.; James, N. Natural Rubber Latex Treatment of Sand: A Novel Remediation Technique for Soil Liquefaction. Soil Dyn. Earthq. Eng. 2023, 165, 107661. [Google Scholar] [CrossRef]
- Sujatha, E.R.; Atchaya, S.; Sivasaran, A.; Keerdthe, R.S. Enhancing the Geotechnical Properties of Soil Using Xanthan Gum—An Eco-Friendly Alternative to Traditional Stabilizers. Bull. Eng. Geol. Environ. 2021, 80, 1157–1167. [Google Scholar] [CrossRef]
- Joga, J.R.; Varaprasad, B.J.S. Sustainable Improvement of Expansive Clays Using Xanthan Gum as a Biopolymer. Civ. Eng. J. 2019, 5, 1893–1903. [Google Scholar] [CrossRef]
- Du, X.; Wu, Q.; Ma, Q.; Tian, Y.; Zhang, J. Study on Strengthening and Waterproofing Mechanism of Calcium Lignosulfonate in Silty Soil Sites. Coatings 2023, 13, 1402. [Google Scholar] [CrossRef]
- Phomrak, S.; Nimpaiboon, A.; Newby, B.M.Z.; Phisalaphong, M. Natural Rubber Latex Foam Reinforced with Micro- and Nanofibrillated Cellulose via Dunlop Method. Polymers 2020, 12, 1959. [Google Scholar] [CrossRef] [PubMed]
- El Sheikha, A.F.; Allam, A.Y.; Oz, E.; Khan, M.R.; Proestos, C.; Oz, F. Edible Xanthan/Propolis Coating and Its Effect on Physicochemical, Microbial, and Sensory Quality Indices in Mackerel Tuna (Euthynnus Affinis) Fillets during Chilled Storage. Gels 2022, 8, 405. [Google Scholar] [CrossRef]
- Cree, D.; Soleimani, M. Bio-Based White Eggshell as a Value-Added Filler in Poly(Lactic Acid) Composites. J. Compos. Sci. 2023, 7, 278. [Google Scholar] [CrossRef]
- Lopes, B.d.M.; Lessa, V.L.; Silva, B.M.; La Cerda, L.G. Xanthan Gum: Properties, Production Conditions, Quality and Economic Perspective. J. Food Nutr. Res. 2015, 54, 185–194. [Google Scholar]
- Consoli, N.C.; Caicedo, A.M.L.; Beck Saldanha, R.; Filho, H.C.S.; Acosta, C.J.M. Eggshell Produced Limes: Innovative Materials for Soil Stabilization. J. Mater. Civ. Eng. 2020, 32, 06020018. [Google Scholar] [CrossRef]
- Tonini de Araújo, M.; Tonatto Ferrazzo, S.; Jordi Bruschi, G.J.; Consoli, N.C. Mechanical and Environmental Performance of Eggshell Lime for Expansive Soils Improvement. Transp. Geotech. 2021, 31, 100681. [Google Scholar] [CrossRef]
- Diana, W.; Widianti, A.; Hartono, E. The Strength Behaviour of Eggshell Powder Substitution on Soil-Lime Stabilization. IOP Conf. Ser. Mater. Sci. Eng. 2021, 1144, 012089. [Google Scholar] [CrossRef]
- Beck, K.; Brunetaud, X.; Mertz, J.-D.; Al-Mukhtar, M. On the Use of Eggshell Lime and Tuffeau Powder to Formulate an Appropriate Mortar for Restoration Purposes. Geol. Soc. Lond. Spec. Publ. 2010, 331, 137–145. [Google Scholar] [CrossRef]
- Reis, J.B.; Pelisser, G.; Levandoski, W.M.K.; Ferrazzo, S.T.; Mota, J.D.; Silveira, A.A.; Korf, E.P. Experimental Investigation of Binder Based on Rice Husk Ash and Eggshell Lime on Soil Stabilization under Acidic Attack. Sci. Rep. 2022, 12, 7542. [Google Scholar] [CrossRef]
- Hoque, M.A.; Islam, M.H. Implementation of Eggshell Extracted Calcium Acetate in Biocementation via Soybean Urease. E3S Web Conf. 2023, 434, 02006. [Google Scholar] [CrossRef]
- Anburuvel, A.; Sathiparan, N.; Dhananjaya, G.M.A.; Anuruththan, A. Characteristic Evaluation of Geopolymer Based Lateritic Soil Stabilization Enriched with Eggshell Ash and Rice Husk Ash for Road Construction: An Experimental Investigation. Constr. Build. Mater. 2023, 387, 131659. [Google Scholar] [CrossRef]
- Chen, Z.; Liu, J.; Wang, Y.; Qi, C.; Ma, X.; Che, W.; Ma, K. Wetting–Drying Effects on the Mechanical Performance of Xanthan Gum Biopolymer-Stabilized Soil. Environ. Earth Sci. 2024, 83, 197. [Google Scholar] [CrossRef]
- Kwon, Y.-M.; Chang, I.; Cho, G.-C. Consolidation and Swelling Behavior of Kaolinite Clay Containing Xanthan Gum Biopolymer. Acta Geotech. 2023, 18, 3555–3571. [Google Scholar] [CrossRef]
- Udomchai, A.; Buritatum, A.; Suddeepong, A.; Hoy, M.; Horpibulsuk, S.; Arulrajah, A.; Horpibulsuk, J. Evaluation of Durability against Wetting and Drying Cycles of Cement-Natural Rubber Latex Stabilised Unpaved Road under Cyclic Tensile Loading. Int. J. Pavement Eng. 2022, 23, 4442–4453. [Google Scholar] [CrossRef]
- Chen, Q.; Indraratna, B.; Carter, J.; Rujikiatkamjorn, C. A Theoretical and Experimental Study on the Behaviour of Lignosulfonate-Treated Sandy Silt. Comput. Geotech. 2014, 61, 316–327. [Google Scholar] [CrossRef]
- Fatima, B.; Alshameri, B.; Hassan, W.; Maqsood, Z.; Jamil, S.M.; Madun, A. Sustainable Incorporation of Plaster of Paris Kiln Dust for Stabilization of Dispersive Soil: A Potential Solution for Construction Industry. Constr. Build. Mater. 2023, 397, 132459. [Google Scholar] [CrossRef]
- Toda, K.; Minato, D.; Saito, T.; Kikuchi, R.; Otake, T.; Sato, T. Effects of Lignosulfonate on Synthesis Products of the Pozzolanic Reaction. CEMENT 2022, 9, 100042. [Google Scholar] [CrossRef]
- Alazigha, D.P.; Indraratna, B.; Vinod, J.S.; Heitor, A. Mechanisms of Stabilization of Expansive Soil with Lignosulfonate Admixture. Transp. Geotech. 2018, 14, 81–92. [Google Scholar] [CrossRef]
- Vakili, A.H.; Salimi, M.; Lu, Y.; Shamsi, M.; Nazari, Z. Strength and Post-Freeze-Thaw Behavior of a Marl Soil Modified by Lignosulfonate and Polypropylene Fiber: An Environmentally Friendly Approach. Constr. Build. Mater. 2022, 332, 127364. [Google Scholar] [CrossRef]
- Hoy, M.; Tran, N.Q.; Suddeepong, A.; Horpibulsuk, S.; Mobkrathok, M.; Chinkulkijniwat, A.; Arulrajah, A. Improved Fatigue Properties of Cement-Stabilized Recycled Materials—Lateritic Soil Using Natural Rubber Latex for Sustainable Pavement Applications. Transp. Geotech. 2023, 40, 100959. [Google Scholar] [CrossRef]
- Tran, N.Q.; Hoy, M.; Suddeepong, A.; Horpibulsuk, S.; Kantathum, K.; Arulrajah, A. Improved Mechanical and Microstructure of Cement-Stabilized Lateritic Soil Using Recycled Materials Replacement and Natural Rubber Latex for Pavement Applications. Constr. Build. Mater. 2022, 347, 128547. [Google Scholar] [CrossRef]
- Buritatum, A.; Horpibulsuk, S.; Udomchai, A.; Suddeepong, A.; Takaikaew, T.; Vichitcholchai, N.; Horpibulsuk, J.; Arulrajah, A. Durability Improvement of Cement Stabilized Pavement Base Using Natural Rubber Latex. Transp. Geotech. 2021, 28, 100518. [Google Scholar] [CrossRef]
- Ferrazzo, S.T.; Tonini de Araújo, M.; Consoli, N.C. Which Solution Is More Sustainable: Waste Foundry Sand Stabilized with Alkali-Activated Binder or Portland Cement? J. Build. Eng. 2024, 84, 108448. [Google Scholar] [CrossRef]
- Oluwatuyi, O.E.; Adeola, B.O.; Alhassan, E.A.; Nnochiri, E.S.; Modupe, A.E.; Elemile, O.O.; Obayanju, T.; Akerele, G. Ameliorating Effect of Milled Eggshell on Cement Stabilized Lateritic Soil for Highway Construction. Case Stud. Constr. Mater. 2018, 9, e00191. [Google Scholar] [CrossRef]
- Sulaiman, H.; Taha, M.R.; Abd Rahman, N.; Mohd Taib, A. Performance of Soil Stabilized with Biopolymer Materials—Xanthan Gum and Guar Gum. Phys. Chem. Earth Parts A/B/C 2022, 128, 103276. [Google Scholar] [CrossRef]
- Fan, G.; Cang, L.; Qin, W.; Zhou, C.; Gomes, H.I.; Zhou, D. Surfactants-Enhanced Electrokinetic Transport of Xanthan Gum Stabilized NanoPd/Fe for the Remediation of PCBs Contaminated Soils. Sep. Purif. Technol. 2013, 114, 64–72. [Google Scholar] [CrossRef]
- Gu, H.; Ma, L.; Zhao, T.; Pan, T.; Zhang, P.; Liu, B.; Chen, X. Enhancing Protein-Based Foam Stability by Xanthan Gum and Alkyl Glycosides for the Reduction of Odor Emissions from Polluted Soils. J. Clean. Prod. 2023, 398, 136615. [Google Scholar] [CrossRef]
- Kwon, Y.-M.; Moon, J.-H.; Cho, G.-C.; Kim, Y.-U.; Chang, I. Xanthan Gum Biopolymer-Based Soil Treatment as a Construction Material to Mitigate Internal Erosion of Earthen Embankment: A Field-Scale. Constr. Build. Mater. 2023, 389, 131716. [Google Scholar] [CrossRef]
- Reddy, J.J.; Varaprasad, B.J.S. Long-Term and Durability Properties of Xanthan Gum Treated Dispersive Soils—An Eco-Friendly Material. Mater. Today Proc. 2021, 44, 309–314. [Google Scholar] [CrossRef]
- Tanegonbadi, B.; Noorzad, R. Stabilization of Clayey Soil Using Lignosulfonate. Transp. Geotech. 2017, 12, 45–55. [Google Scholar] [CrossRef]
- Ta’negonbadi, B.; Noorzad, R. Physical and Geotechnical Long-Term Properties of Lignosulfonate-Stabilized Clay: An Experimental Investigation. Transp. Geotech. 2018, 17, 41–50. [Google Scholar] [CrossRef]
- Chavali, R.V.P.; Reshmarani, B. Characterization of Expansive Soils Treated with Lignosulfonate. Int. J. Geo-Eng. 2020, 11, 17. [Google Scholar] [CrossRef]
- Md Zahri, A.; Zainorabidin, A. An Overview of Traditional and Non Traditional Stabilizer for Soft Soil. In IOP Conference Series: Materials Science and Engineering; Institute of Physics Publishing: Bristol, UK, 2019; Volume 527. [Google Scholar]
- Vakili, A.H.; Kaedi, M.; Mokhberi, M.; Selamat, M.R.B.; Salimi, M. Treatment of Highly Dispersive Clay by Lignosulfonate Addition and Electroosmosis Application. Appl. Clay Sci. 2018, 152, 1–8. [Google Scholar] [CrossRef]
- García-Ochoa, F.; Santos, V.E.; Casas, J.A.; Gómez, E. Xanthan Gum: Production, Recovery, and Properties. Biotechnol. Adv. 2000, 18, 549–579. [Google Scholar] [CrossRef]
- Chang, I.; Im, J.; Prasidhi, A.K.; Cho, G.-C. Effects of Xanthan Gum Biopolymer on Soil Strengthening. Constr. Build. Mater. 2015, 74, 65–72. [Google Scholar] [CrossRef]
- Borges, C.D.; Vendruscolo, C.T. Goma Xantana: Características e Condições Operacionais de Produção. Semin. Ciênc. Biol. E Saúde 2008, 29, 171. [Google Scholar] [CrossRef]
- Bagheri, P.; Gratchev, I.; Rybachuk, M. Effects of Xanthan Gum Biopolymer on Soil Mechanical Properties. Appl. Sci. 2023, 13, 887. [Google Scholar] [CrossRef]
- Soldo, A.; Miletić, M. Study on Shear Strength of Xanthan Gum-Amended Soil. Sustainability 2019, 11, 6142. [Google Scholar] [CrossRef]
- Asri, N.P.; Podjojono, B.; Fujiani, R. Nuraini Utilization of Eggshell Waste as Low-Cost Solid Base Catalyst for Biodiesel Production from Used Cooking Oil. IOP Conf. Ser. Earth Environ. Sci. 2017, 67, 012021. [Google Scholar] [CrossRef]
- Román Martínez, C.; Nuñez de la Rosa, Y.E.; Estrada Luna, D.; Baldovino, J.A.; Jordi Bruschi, G. Strength, Stiffness, and Microstructure of Stabilized Marine Clay-Crushed Limestone Waste Blends: Insight on Characterization through Porosity-to-Cement Index. Materials 2023, 16, 4983. [Google Scholar] [CrossRef]
- ASTM D2487-11; Standard Practice for Classification of Soils for Engineering Purposes (Unified Soil Classification System). ASTM Stand. Guide. ASTM International: West Conshohocken, PA, USA, 2017; p. 11. [CrossRef]
- ASTM D854; Standard Test Methods for Specific Gravity of Soil Solids by Water Pycnometer. ASTM International: West Conshohocken, PA, USA, 2014.
- ASTM 4318; Standard Test Methods for Liquid Limit, Plastic Limit and Plasticity Index of Soils. ASTM International: West Conshohocken, PA, USA, 2010.
- ASTM D2487; Standard Practice for Classification of Soils for Engineering Purposes (Unified Soil Classification System). ASTM International: West Conshohocken, PA, USA, 2011; pp. 1–16. [CrossRef]
- Skempton, A.W. The Colloidal “Activity” of Clays. In Proceedings of the 3rd International Conference on Soil Mechanics, Zurich, Switzerland; 1953; Volume 1, pp. 57–61. Available online: https://www.issmge.org/uploads/publications/1/42/1953_01_0014.pdf (accessed on 16 April 2024).
- Filho, H.C.S.; Dias Miguel, G.; Cesar Consoli, N. Durability Response of a Cemented Clayey Sand over a Wide Range of Porosities and Cement Contents. Clean. Mater. 2022, 5, 100117. [Google Scholar] [CrossRef]
- Baldovino, J.A.; Izzo, R.; Ekinci, A. Strength Relationship Equation for Artificially Stabilized Rammed Sedimentary Soils. Buildings 2022, 12, 1433. [Google Scholar] [CrossRef]
- Singh, S.P.; Das, R. Geo-Engineering Properties of Expansive Soil Treated with Xanthan Gum Biopolymer. Geomech. Geoengin. 2020, 15, 107–122. [Google Scholar] [CrossRef]
- Hanafi, M.; Abki, A.; Ekinci, A.; Baldovino, J.d.J.A. Mechanical Properties of Alluvium Clay Treated with Cement and Carbon Fiber: Relationships among Strength, Stiffness, and Durability. Int. J. Pavement Eng. 2023, 24, 2094928. [Google Scholar] [CrossRef]
- ASTM C597; Standard Test Method for Pulse Velocity Through Concrete. ASTM International: West Conshohocken, PA, USA, 2016.
- ASTM D 2166-03; Standard Test Method for Unconfined Compressive Strength of Cohesive Soil 1. ASTM International: West Conshohocken, PA, USA, 2003; p. 4.
- Dehghan, H.; Tabarsa, A.; Latifi, N.; Bagheri, Y. Use of Xanthan and Guar Gums in Soil Strengthening. Clean. Technol. Environ. Policy 2019, 21, 155–165. [Google Scholar] [CrossRef]
- Diambra, A.; Ibraim, E.; Peccin, A.; Consoli, N.C.; Festugato, L. Theoretical Derivation of Artificially Cemented Granular Soil Strength. J. Geotech. Geoenviron. Eng. 2017, 143, 04017003. [Google Scholar] [CrossRef]
- Diambra, A.; Festugato, L.; Ibraim, E.; Peccin da Silva, A.; Consoli, N.C. Modelling Tensile/Compressive Strength Ratio of Artificially Cemented Clean Sand. Soils Found. 2018, 58, 199–211. [Google Scholar] [CrossRef]
- Acuña, C.; Betancur, J.; Baldovino, J.A.; Barboza, G.; Saba, M. Analysis of Dispersivity in Marine Clays of Cartagena de Indias, Colombia. Geosciences 2023, 13, 162. [Google Scholar] [CrossRef]
- Oliveira, P.J.V.; Reis, M.J.F.C.C. Effect of the Organic Matter Content on the Mechanical Properties of Soils Stabilized with Xanthan Gum. Appl. Sci. 2023, 13, 4787. [Google Scholar] [CrossRef]
- Consoli, N.C.; Giese, D.N.; Leon, H.B.; Mocelin, D.M.; Wetzel, R.; Marques, S.F.V. Sodium Chloride as a Catalyser for Crushed Reclaimed Asphalt Pavement—Fly Ash—Carbide Lime Blends. Transp. Geotech. 2018, 15, 13–19. [Google Scholar] [CrossRef]
- Consoli, N.C.; Godoy, V.B.; Rosenbach, C.M.C.; Peccin da Silva, A. Effect of Sodium Chloride and Fibre-Reinforcement on the Durability of Sand–Coal Fly Ash–Lime Mixes Subjected to Freeze–Thaw Cycles. Geotech. Geol. Eng. 2018, 37, 107–120. [Google Scholar] [CrossRef]
- Setayesh Gar, P.; Suresh, N.; Bindiganavile, V. Sugar Cane Bagasse Ash as a Pozzolanic Admixture in Concrete for Resistance to Sustained Elevated Temperatures. Constr. Build. Mater. 2017, 153, 929–936. [Google Scholar] [CrossRef]
- Hanafi, M.; Ekinci, A.; Aydin, E. Triple-Binder-Stabilized Marine Deposit Clay for Better Sustainability. Sustainaability 2020, 12, 4633. [Google Scholar] [CrossRef]
- ASTM D559/D559M; Standard Test Methods for Wetting and Drying Compacted Soil-Cement Mixtures. ASTM International: West Conshohocken, PA, USA, 2015; pp. 1–6. [CrossRef]
- ASTM ASTM D560; Standard Test Methods for Freezing and Thawing Compacted Soil-Cement Mixtures. ASTM International: West Conshohocken, PA, USA, 2016.
- Mary Rebekah Sharmila, S.; Sabu, A.T.; Arun, S. Experimental Study on the Stabilization of Soil Using Eggshell Powder and Coir Fibres as a Sustainable Alternative. J. Green. Eng. 2019, 9. Available online: https://www.semanticscholar.org/paper/Experimental-Study-on-the-Stabilization-of-Soil-and-Sharmila-Sabu/f07428a2a83e2762bc1f1fd18ae8945bae110a67 (accessed on 20 April 2024).
- Chiranjeevi, V.; Singh, K.; Kishan, D. Soil Stabilization by Integrating Dust Particles with Calcium Lignosulphanate. Prog. Phys. Geogr. Earth Environ. 2024, 48, 60–78. [Google Scholar] [CrossRef]
- Ijaz, N.; Ye, W.; Rehman, Z.U.; Ijaz, Z.; Junaid, M.F. New Binary Paper/Wood Industry Waste Blend for Solidification/Stabilisation of Problematic Soil Subgrade: Macro-Micro Study. Road Mater. Pavement Des. 2023, 24, 1215–1232. [Google Scholar] [CrossRef]
- Noorzad, R.; Ta’negonbadi, B. Mechanical Properties of Expansive Clay Stabilized with Lignosulphonate. Q. J. Eng. Geol. Hydrogeol. 2018, 51, 483–492. [Google Scholar] [CrossRef]
- Nhieu, D.V.; Hoy, M.; Horpibulsuk, S.; Karntatam, K.; Arulrajah, A.; Horpibulsuk, J. Cement—Natural Rubber Latex Stabilised Recycled Concrete Aggregate as a Pavement Base Material. Road Mater. Pavement Des. 2023, 24, 1636–1650. [Google Scholar] [CrossRef]
- Bensaifi, E.; Bouteldja, F.; Nouaouria, M.S.; Breul, P. Influence of Crushed Granulated Blast Furnace Slag and Calcined Eggshell Waste on Mechanical Properties of a Compacted Marl. Transp. Geotech. 2019, 20, 100244. [Google Scholar] [CrossRef]
- Diana, W.; Hartono, E.; Pratama, W.E.; Wardani, W.I. Shear Strength Characteristic of Geopolymer Fly Ash and Egg Shell Powder Stabilized Clay Soil. E3S Web Conf. 2023, 429, 04024. [Google Scholar] [CrossRef]





















| Stabilizer | Scopus String | Results |
|---|---|---|
| Lignosulphonate | “soil stabilization” AND “Lignosulphonate” | 12 |
| Natural rubber latex | “soil stabilization” AND “natural rubber” | 7 |
| Eggshell lime | “soil stabilization” AND “eggshell” | 27 |
| Xanthan gum | “soil stabilization” AND “xanthan” | 67 |
| Stabilizer | Scopus String | Results |
|---|---|---|
| Lignosulphonate | “soil stabilization” OR “soil improvement” OR “ground improvement” OR “soil” OR “sand” OR “clay” OR “silt” AND “Lignosulphonate” | 51 |
| Natural rubber latex | “soil stabilization” OR “soil improvement” OR “ground improvement” OR “soil” OR “sand” OR “clay” OR “silt” AND “natural rubber latex” OR “natural latex” | 100 |
| Eggshell lime | “soil stabilization” OR “soil improvement” OR “ground improvement” OR “soil” OR “sand” OR “clay” OR “silt” AND “eggshell” OR “egg lime” | 414 |
| Xanthan gum | “soil stabilization” OR “soil improvement” OR “ground improvement” OR “soil” OR “sand” OR “clay” OR “silt” AND “xanthan” | 459 |
| Stabilizer | Scopus String | Results |
|---|---|---|
| Lignosulphonate | (“soil stabilization” OR “soil improvement” OR “ground improvement”) AND (“Lignosulphonate”) | 15 |
| Natural rubber latex | (“soil stabilization” OR “soil improvement” OR “ground improvement”) AND (“natural rubber latex” OR “natural latex”) | 15 |
| Eggshell lime | (“soil stabilization” OR “soil improvement” OR “ground improvement”) AND (“eggshell” OR “egg lime”) | 37 |
| Xanthan gum | (“soil stabilization” OR “soil improvement” OR “ground improvement”) AND “xanthan”) | 105 |
| Material | Use | Physicochemical Properties | Influence on Strength of Stabilized Soils | Durability | Microstructure | Ref. |
|---|---|---|---|---|---|---|
| Lignosulfonate | Soil stabilization | Residual byproduct of paper industry; hydrophilic and hydrophobic groups; nontoxic and noncorrosive; sulfonation process | Enhanced soil strength; improved shear strength, penetration resistance, and erosion resistance; effective in wet conditions | Not explicitly addressed | Three-dimensional polymer; aliphatic and aromatic portions | [32,33,34,35,36] |
| Natural rubber latex | Soil stabilization | Cis-1,4-polyisoprene; biodegradable; adhesive properties; nontoxic | Enhanced soil stability; improved shear strength and compaction characteristics; effective in various soil types | Biodegradable; nontoxic | Polymer chains of cis-1,4-polyisoprene | [1,14,37,38,39] |
| Eggshell lime | Soil amendment, stabilization | Calcium carbonate; alkaline pH; source of calcium; potential pozzolanic reactivity | Improved compressibility and strength; reduced plasticity; enhanced durability; pH modification | Enhances durability; pH modification | Calcium carbonate particles | [4,23,40,41] |
| Xanthan gum | Soil stabilization, erosion control | Polysaccharide; hydrocolloid; biodegradable; high viscosity; water retention | Improved shear strength and erosion resistance; effective in sandy soils; enhanced water retention | Biodegradable; high viscosity | Extended, helical structure of polysaccharide chains | [42,43,44,45,46] |
| Properties | Soil | Standard |
|---|---|---|
| LL Limit liquid of soil, % | 42.00 | [61] |
| PL Plastic limit of soil, % | 26.05 | [61] |
| PI Plastic index of soil, %, (i.e., LL-PL) | 15.95 | [61] |
| Gravel particles (diameter—2 mm), % | 0 | [62] |
| Coarse sand particles size (0.6 mm—diameter—2 mm), % | 0 | [62] |
| Medium sand particles size (0.2 mm—diameter—0.6 mm), % | 0 | [62] |
| Fine sand particles size (0.06 mm—diameter–0.2 mm), % | 12 | [62] |
| Silt particles size (0.002 mm—diameter—0.06 mm), % | 78 | [62] |
| Clay particles size (diameter < 0.002 mm), % | 10 | [62] |
| Effective size of soil (D10), mm | 0.0021 | [62] |
| Mean particle diameter of soil (D50), mm | 0.011 | [62] |
| Uniformity coefficient of soil (Cu) | 7.14 | [62] |
| Coefficient of curvature of soil (Cc) | 0.96 | [62] |
| The specific gravity of the soil sample | 2.80 | [60] |
| Activity of clay, A [A = PI/(% < 0.002 mm)] | 1.60 | [63] |
| Color | Black | - |
| Classification of soil sample (USCS) | CL | [62] |
Disclaimer/Publisher’s Note: The statements, opinions and data contained in all publications are solely those of the individual author(s) and contributor(s) and not of MDPI and/or the editor(s). MDPI and/or the editor(s) disclaim responsibility for any injury to people or property resulting from any ideas, methods, instructions or products referred to in the content. |
© 2024 by the authors. Licensee MDPI, Basel, Switzerland. This article is an open access article distributed under the terms and conditions of the Creative Commons Attribution (CC BY) license (https://creativecommons.org/licenses/by/4.0/).
Share and Cite
Baldovino, J.d.J.A.; Palma Calabokis, O.; Saba, M. From Bibliometric Analysis to Experimental Validation: Bibliometric and Literature Review of Four Cementing Agents in Soil Stabilization with Experimental Focus on Xanthan Gum. Sustainability 2024, 16, 5363. https://doi.org/10.3390/su16135363
Baldovino JdJA, Palma Calabokis O, Saba M. From Bibliometric Analysis to Experimental Validation: Bibliometric and Literature Review of Four Cementing Agents in Soil Stabilization with Experimental Focus on Xanthan Gum. Sustainability. 2024; 16(13):5363. https://doi.org/10.3390/su16135363
Chicago/Turabian StyleBaldovino, Jair de Jesús Arrieta, Oriana Palma Calabokis, and Manuel Saba. 2024. "From Bibliometric Analysis to Experimental Validation: Bibliometric and Literature Review of Four Cementing Agents in Soil Stabilization with Experimental Focus on Xanthan Gum" Sustainability 16, no. 13: 5363. https://doi.org/10.3390/su16135363
APA StyleBaldovino, J. d. J. A., Palma Calabokis, O., & Saba, M. (2024). From Bibliometric Analysis to Experimental Validation: Bibliometric and Literature Review of Four Cementing Agents in Soil Stabilization with Experimental Focus on Xanthan Gum. Sustainability, 16(13), 5363. https://doi.org/10.3390/su16135363

