Investment Decisions of CCUS Projects in China Considering the Supply–Demand Relationship of CO2 from the Industry Symbiosis Perspective
Abstract
1. Introduction
2. Literature Review
3. Methodology
3.1. Independent Investment Mode
3.1.1. CFPP
- Investment cost
- 2.
- Investment benefit
- 3.
- Investment option value
3.1.2. Oil Company
- Investment cost
- 2.
- Investment benefit
- 3.
- Investment option value
3.2. Cooperative Investment Mode
3.2.1. Supply Equals Demand
- Investment cost
- 2.
- Investment benefit
- 3.
- Investment option value
3.2.2. Supply Exceeds Demand
3.2.3. Demand Exceeds Supply
4. Case Study
4.1. Data
4.2. Results and Discussion
4.2.1. Investment Thresholds and Option Values
- Independent investment mode
- 2.
- Cooperative investment mode
- 3.
- The effect of λ on investment thresholds
- 4.
- Impact of investment subsidy ratio on investment thresholds
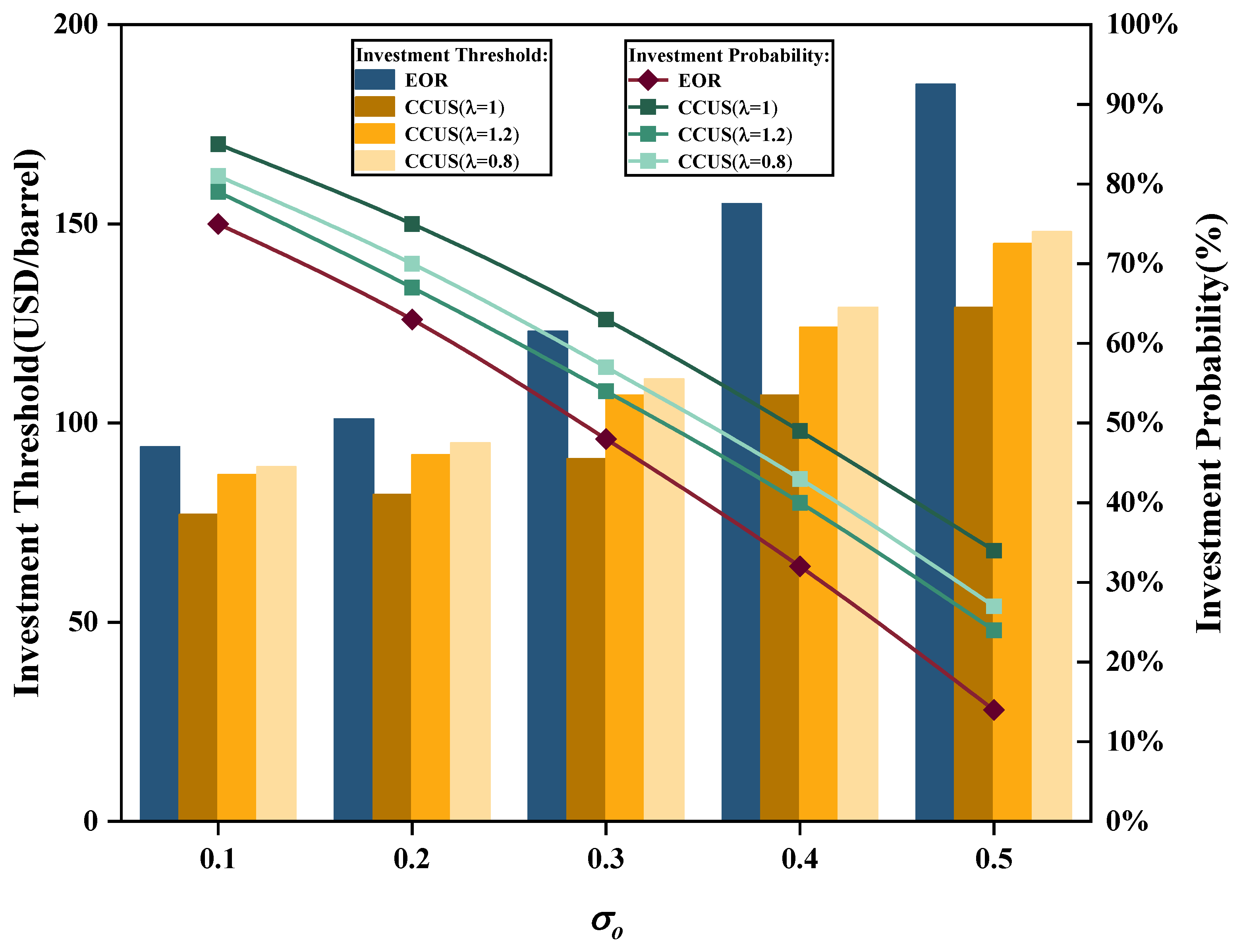
4.2.2. Market Uncertainty’s Impact
- Carbon market
- 2.
- Oil market
- 3.
- Market correlation
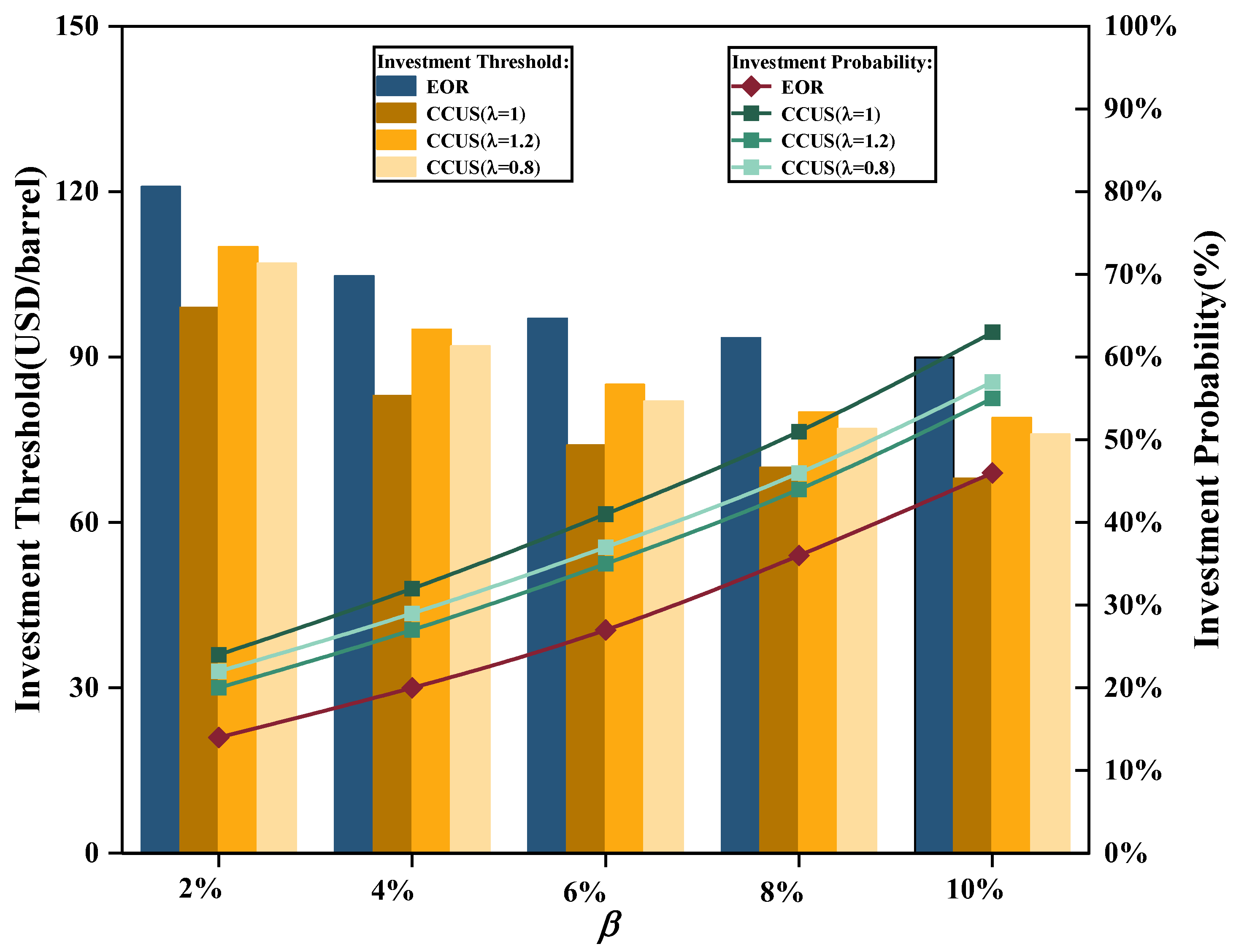
4.2.3. Technological Progress Uncertainty’s Impact
5. Conclusions
- (1)
- Industrial symbiosis can effectively reduce investment thresholds and increase the values of CCUS projects. Current carbon trading and oil prices have not yet reached the investment thresholds; however, the cooperative investment mode under industrial symbiosis significantly decreases the CCUS project’s investment thresholds while increasing the project’s value. This finding provides valuable insights to promote the development of CCUS projects.
- (2)
- The balance between the supply and demand of CO2 is the best scenario for triggering cooperative investment in CCUS projects between the CFPP and the oil company from an industrial symbiosis perspective. Achieving a balance between supply and demand requires the establishment of a network of industry collaboration to facilitate a more efficient development of CCUS projects and ensure the realization of dual carbon goals.
- (3)
- The volatility of carbon trading and oil prices largely affects the investment thresholds and investment option values of CCUS projects. The higher the price volatility, the higher the investment risk, the higher the investment threshold will be, and in extreme cases, investors may give up their investment. Therefore, the government should introduce relevant policies to stabilize oil and carbon trading prices and enhance investors’ confidence in stabilizing market expectations.
- (4)
- Technological progress can lower the investment threshold by reducing the initial investment cost. Since the cost of carbon capture accounts for a high proportion of the initial investment, and the current rate of technological progress in carbon capture technology is at a low level, it is possible to promote the development of CCUS projects by accelerating the R&D of carbon capture technology so as to encourage investment in CCUS projects.
Author Contributions
Funding
Institutional Review Board Statement
Informed Consent Statement
Data Availability Statement
Conflicts of Interest
References
- Wang, X.; Tang, R.; Meng, M.; Su, T. Research on CCUS business model and policy incentives for coal-fired power plants in China. Int. J. Greenh. Gas. Control. 2023, 125, 103871. [Google Scholar] [CrossRef]
- Liu, J.; Zhang, Q.; Li, H.; Chen, S.; Teng, F. Investment decision on carbon capture and utilization (CCU) technologies—A real option model based on technology learning effect. Appl. Energy 2022, 322, 119514. [Google Scholar] [CrossRef]
- Liu, P.; Wu, J. Study on the diffusion of CCUS technology under carbon trading mechanism: Based on the perspective of tripartite evolutionary game among thermal power enterprises, government and public. J. Clean. Prod. 2024, 438, 140730. [Google Scholar] [CrossRef]
- Yan, J.; Zhang, Z. Carbon Capture, Utilization and Storage (CCUS). Appl. Energy 2019, 235, 1289–1299. [Google Scholar] [CrossRef]
- Zhang, X.; Yang, X.; Chen, X. China Carbon Dioxide Capture, Utilization and Storage (CCUS) Annual Report (2023); China Center for Agenda 21 Management, Global Carbon Capture and Storage Institute, Tsinghua University: Beijing, China, 2023. [Google Scholar]
- Liu, F.; Lv, T.; Meng, Y.; Li, C.; Hou, X.; Xu, J.; Deng, X. Potential analysis of BESS and CCUS in the context of China’s carbon trading scheme toward the low-carbon electricity system. Renew. Energy 2023, 210, 462–471. [Google Scholar] [CrossRef]
- Yao, X.; Zhong, P.; Zhang, X.; Zhu, L. Business model design for the carbon capture utilization and storage (CCUS) project in China. Energy Policy 2018, 121, 519–533. [Google Scholar] [CrossRef]
- Compernolle, T.; Thijssen, J.J.J. The Role of Industrial and Market Symbiosis in Stimulating CO2 Emission Reductions. Environ. Resour. Econ. 2021, 83, 171–197. [Google Scholar] [CrossRef]
- Sun, H.; Zou, H.; Wen, J.; Ke, W.; Kou, L. Optimal Scheduling Considering Carbon Capture and Demand Response under Uncertain Output Scenarios for Wind Energy. Sustainability 2024, 16, 970. [Google Scholar] [CrossRef]
- Mirata, M.; Emtairah, T. Industrial symbiosis networks and the contribution to environmental innovation. J. Clean. Prod. 2005, 13, 993–1002. [Google Scholar] [CrossRef]
- Vargas, J.; Halog, A. Effective carbon emission reductions from using upgraded fly ash in the cement industry. J Clean. Prod. 2015, 103, 948–959. [Google Scholar] [CrossRef]
- Liu, G.; Lu, S.; Li, X. Literature review on industrial symbiosis: The perspective from synergy operation of recycling. Manag. Rev. 2014, 26, 149–160. [Google Scholar]
- Jacobsen, N.B. Industrial symbiosis in kalundborg, denmark: A quantitative assessment of economic and environmental aspects. J. Ind. Ecol. 2008, 10, 239–255. [Google Scholar] [CrossRef]
- Chertow, M.; Miyata, Y. Assessing collective firm behavior: Comparing industrial symbiosis with possible alternatives for individual companies in Oahu, HI. Bus. Strategy Environ. 2010, 20, 266–280. [Google Scholar] [CrossRef]
- Sokka, L.; Lehtoranta, S.; Nissinen, A.; Melanen, M. Analyzing the Environmental Benefits of Industrial Symbiosis. J. Ind. Ecol. 2011, 15, 137–155. [Google Scholar] [CrossRef]
- Fan, Y.; Qiao, Q.; Fang, L.; Yao, Y. Emergy analysis on industrial symbiosis of an industrial park—A case study of Hefei economic and technological development area. J. Clean. Prod. 2017, 141, 791–798. [Google Scholar] [CrossRef]
- Su, T.; Zhang, L.; Zhao, X. The impact of the coupling of manufacturing industry and logistics industry on the productivity of manufacturing enterprises: A perspective of industry symbiosis. Ind. Eng. Manag. 2020, 23, 42–49. [Google Scholar]
- Cao, Q.; Xiao, Z. An evolutionary game for analyzing abatement behavior of manufacturers under cap-and-trade considering industrial symbiosis. Syst. Eng. 2023, 42, 22–28. [Google Scholar]
- Li, J.; Xu, N. The Economic Evaluation of Carbon Capture and Storage (CCS) Projects. Sci. Technol. Manag. Res. 2012, 32, 203–206. [Google Scholar]
- Wu, N.; Parsons, J.E.; Polenske, K.R. The impact of future carbon prices on CCS investment for power generation in China. Energy Policy 2013, 54, 160–172. [Google Scholar] [CrossRef]
- Renner, M. Carbon prices and CCS investment: A comparative study between the European Union and China. Energy Policy 2014, 75, 327–340. [Google Scholar] [CrossRef]
- Han, J.; Li, J.; Tang, X.; Wang, L.; Yang, X.; Ge, Z.; Yuan, F. Coal-fired power plant CCUS project comprehensive benefits evaluation and forecasting model study. J. Clean. Prod. 2023, 385, 135657. [Google Scholar] [CrossRef]
- Zhou, W.; Zhu, B.; Fuss, S.; Szolgayová, J.; Obersteiner, M.; Fei, W. Uncertainty modeling of CCS investment strategy in China’s power sector. Appl. Energy 2010, 87, 2392–2400. [Google Scholar] [CrossRef]
- Zhu, L.; Fan, Y. A real options–based CCS investment evaluation model: Case study of China’s power generation sector. Appl. Energy 2011, 88, 4320–4333. [Google Scholar] [CrossRef]
- Elias, R.S.; Wahab, M.I.M.; Fang, L. Retrofitting carbon capture and storage to natural gas-fired power plants: A real-options approach. J. Clean. Prod. 2018, 192, 722–734. [Google Scholar] [CrossRef]
- Yao, X.; Fan, Y.; Xu, Y.; Zhang, X.; Zhu, L.; Feng, L. Is it worth to invest? -An evaluation of CTL-CCS project in China based on real options. Energy 2019, 182, 920–931. [Google Scholar] [CrossRef]
- Yang, L.; Xu, M.; Yang, Y.; Fan, J.; Zhang, X. Comparison of subsidy schemes for carbon capture utilization and storage (CCUS) investment based on real option approach: Evidence from China. Appl. Energy 2019, 255, 113828. [Google Scholar] [CrossRef]
- Wang, X.; Du, L. Study on carbon capture and storage (CCS) investment decision-making based on real options for China’s coal-fired power plants. J. Clean. Prod. 2016, 112, 4123–4131. [Google Scholar] [CrossRef]
- Wesseh, P.K.; Lin, B. Renewable energy technologies as beacon of cleaner production: A real options valuation analysis for Liberia. J. Clean. Prod. 2015, 90, 300–310. [Google Scholar] [CrossRef]
- Lin, B.; Tan, Z. How much impact will low oil price and carbon trading mechanism have on the value of carbon capture utilization and storage (CCUS) project? Analysis based on real option method. J. Clean. Prod. 2021, 298, 126768. [Google Scholar] [CrossRef]
- Sun, B.; Fan, B.; Wu, C.; Xie, J. Exploring incentive mechanisms for the CCUS project in China’s coal-fired power plants: An option-game approach. Energy 2024, 288, 129694. [Google Scholar] [CrossRef]
- Zhang, X.; Wang, X.; Chen, J.; Xie, X.; Wang, K.; Wei, Y. A novel modeling based real option approach for CCS investment evaluation under multiple uncertainties. Appl. Energy 2014, 113, 1059–1067. [Google Scholar] [CrossRef]
- Tan, Z.; Zeng, X.; Lin, B. How do multiple policy incentives influence investors’ decisions on biomass co-firing combined with carbon capture and storage retrofit projects for coal-fired power plants? Energy 2023, 278, 127822. [Google Scholar] [CrossRef]
- Abadie, L.M.; Chamorro, J.M. European CO2 prices and carbon capture investments. Energy Econ. 2008, 30, 2992–3015. [Google Scholar] [CrossRef]
- Chen, H.; Wang, C.; Ye, M. An uncertainty analysis of subsidy for carbon capture and storage (CCS) retrofitting investment in China’s coal power plants using a real-options approach. J. Clean. Prod. 2016, 137, 200–212. [Google Scholar] [CrossRef]
- Kitzing, L.; Juul, N.; Drud, M.; Boomsma, T.K. A real options approach to analyse wind energy investments under different support schemes. Appl. Energy 2017, 188, 83–96. [Google Scholar] [CrossRef]
- Fan, J.-L.; Xu, M.; Yang, L.; Zhang, X. Benefits evaluation of investment in CCS retrofitting of coal-fired power plants and PV power plants in China based on real options. Renew. Sustain. Energy Rev. 2019, 115, 109350. [Google Scholar] [CrossRef]
- Fan, Y.; Zhu, L. A real options based model and its application to China’s overseas oil investment decisions. Energy Econ. 2010, 32, 627–637. [Google Scholar] [CrossRef]
- Sun, B.; Fan, B.; Zhang, Y.; Xie, J. Investment decisions and strategies of China’s energy storage technology under policy uncertainty: A real options approach. Energy 2023, 278, 127905. [Google Scholar] [CrossRef]
- Dixit, A.K.; Dixitr, R.K.; Pyndick, R.S. Investment under Uncertainty; Princeton University Press: Princeton, NJ, USA, 1994. [Google Scholar]
- Li, J.; Wei, Y.-M.; Dai, M. Investment in CO2 capture and storage combined with enhanced oil recovery in China: A case study of China’s first megaton-scale project. J. Clean. Prod. 2022, 373, 133724. [Google Scholar] [CrossRef]
- Li, J.; Zhang, Y.; Tian, Y.; Cheng, W.; Yang, J.; Xu, D.; Wang, Y.; Xie, K.; Ku, A.Y. Reduction of carbon emissions from China’s coal-fired power industry: Insights from the province-level data. J. Clean. Prod. 2020, 242, 118518. [Google Scholar] [CrossRef]
- Fan, J.-L.; Xu, M.; Yang, L.; Zhang, X.; Li, F. How can carbon capture utilization and storage be incentivized in China? A perspective based on the 45Q tax credit provisions. Energy Policy 2019, 132, 1229–1240. [Google Scholar] [CrossRef]
- Boomsma, T.K.; Linnerud, K. Market and policy risk under different renewable electricity support schemes. Energy 2015, 89, 435–448. [Google Scholar] [CrossRef]
- Zhang, X.; Li, W. Power producer’s carbon capture investment timing under price and technology uncertainties. Energy Proced. 2011, 5, 1713–1717. [Google Scholar] [CrossRef][Green Version]
- Fan, J.-L.; Li, Z.; Ding, Z.; Li, K.; Zhang, X. Investment decisions on carbon capture utilization and storage retrofit of Chinese coal-fired power plants based on real option and source-sink matching models. Energy Econ. 2023, 126, 106972. [Google Scholar] [CrossRef]
- Song, X.; Ge, Z.; Zhang, W.; Wang, Z.; Huang, Y.; Liu, H. Study on multi-subject behavior game of CCUS cooperative alliance. Energy 2023, 262, 125229. [Google Scholar] [CrossRef]
- Tan, Z.; Yang, J.; Li, F.; Zhao, H.; Li, X. Cooperative Operation Model of Wind Turbine and Carbon Capture Power Plant Considering Benefit Distribution. Sustainability 2022, 14, 11627. [Google Scholar] [CrossRef]
- Liu, S.; Li, H.; Zhang, K.; Lau, H.C. Techno-economic analysis of using carbon capture and storage (CCS) in decarbonizing China’s coal-fired power plants. J. Clean. Prod. 2022, 351, 131384. [Google Scholar] [CrossRef]
- IEA Oil Market Report-2023. Available online: https://www.iea.org/reports/oil-market-report (accessed on 1 August 2023).
- Zhang, M.M.; Zhou, P.; Zhou, D.Q. A real options model for renewable energy investment with application to solar photovoltaic power generation in China. Energy Econ. 2016, 59, 213–226. [Google Scholar] [CrossRef]














| Parameter | Description | Value | Source |
|---|---|---|---|
| IC | Installed capacity of the CFPP (MW) | 600 | [31] |
| Unit efficiency (%) | 94 | [30] | |
| RT | Average annual utilization hours (h) | 4379 | [31] |
| EF | CO2 emission factor (g/kWh) | 762 | [30] |
| CR | CO2 capture efficiency (%) | 90 | [30] |
| UCtra | Unit transportation cost for CO2 (USD/ton) | 14.08 | [41] |
| UCsto | Unit storage cost for CO2 (USD/ton) | 7.04 | [41] |
| α | Technological progress rate for CCS (%) | 2.02 | [46] |
| T1 | The operation time of the CCS project (years) | 15 | [46] |
| I1 | Initial investment for the CCS project (million USD) | 60.22 | [41] |
| K1 | Investment subsidy ratio for the CCS project | 0.1 | [31] |
| μc | Carbon trading price expected growth rate | 0.025 | [47] |
| σc | Carbon trading price volatility | 0.03 | [51] |
| I2 | Initial investment for the EOR project (million USD) | 27.25 | [41] |
| K2 | Investment subsidy ratio for the EOR project | 0.1 | [2] |
| β | Technological progress rate for EOR (%) | 4.2 | [2] |
| H | Ratio of incremental production (million tons of CO2/barrel) | 0.58 | [46] |
| UCpur | Unit purchase cost for CO2 (USD/ton) | 49.3 | [2] |
| T2 | The operation time of the EOR project (years) | 15 | [41] |
| μo | Oil price expected growth rate | 0.04 | [43] |
| σo | Oil price volatility | 0.21 | [43] |
| ρ | Correlation coefficient | 0.072 | [8] |
| T | The operation time of the CCUS project (years) | 15 | [8] |
| K | Investment subsidy ratio for the CCUS project | 0.1 | [2] |
| λ | Investment Threshold (USD/Barrel) | Investment Threshold (Million USD) |
|---|---|---|
| 1 | 75.72 | 78.82 |
| 1.2 | 81.45 | 74.87 |
| 0.8 | 83.82 | 73.95 |
| 1.4 | 85.65 | 73.45 |
| 1.6 | 89.85 | 71.12 |
| Investment Subsidy Ratio | CCS | EOR | CCUS | ||
|---|---|---|---|---|---|
| λ = 1 | λ = 1.2 | λ = 0.8 | |||
| 0.6 | 26.53 | 80.57 | 75.41 | 78.92 | 79.31 |
| 0.2 | 40.32 | 91.43 | 83.63 | 87.35 | 88.72 |
Disclaimer/Publisher’s Note: The statements, opinions and data contained in all publications are solely those of the individual author(s) and contributor(s) and not of MDPI and/or the editor(s). MDPI and/or the editor(s) disclaim responsibility for any injury to people or property resulting from any ideas, methods, instructions or products referred to in the content. |
© 2024 by the authors. Licensee MDPI, Basel, Switzerland. This article is an open access article distributed under the terms and conditions of the Creative Commons Attribution (CC BY) license (https://creativecommons.org/licenses/by/4.0/).
Share and Cite
Sun, B.; Tao, J. Investment Decisions of CCUS Projects in China Considering the Supply–Demand Relationship of CO2 from the Industry Symbiosis Perspective. Sustainability 2024, 16, 5273. https://doi.org/10.3390/su16125273
Sun B, Tao J. Investment Decisions of CCUS Projects in China Considering the Supply–Demand Relationship of CO2 from the Industry Symbiosis Perspective. Sustainability. 2024; 16(12):5273. https://doi.org/10.3390/su16125273
Chicago/Turabian StyleSun, Bo, and Jiajia Tao. 2024. "Investment Decisions of CCUS Projects in China Considering the Supply–Demand Relationship of CO2 from the Industry Symbiosis Perspective" Sustainability 16, no. 12: 5273. https://doi.org/10.3390/su16125273
APA StyleSun, B., & Tao, J. (2024). Investment Decisions of CCUS Projects in China Considering the Supply–Demand Relationship of CO2 from the Industry Symbiosis Perspective. Sustainability, 16(12), 5273. https://doi.org/10.3390/su16125273

