Aesthetic Design and Evaluation of Public Facilities in Railway Stations under the Background of Sustainable Development: A Case of an Information Counter at Xiong’an Railway Station
Abstract
1. Introduction
2. Literature Review
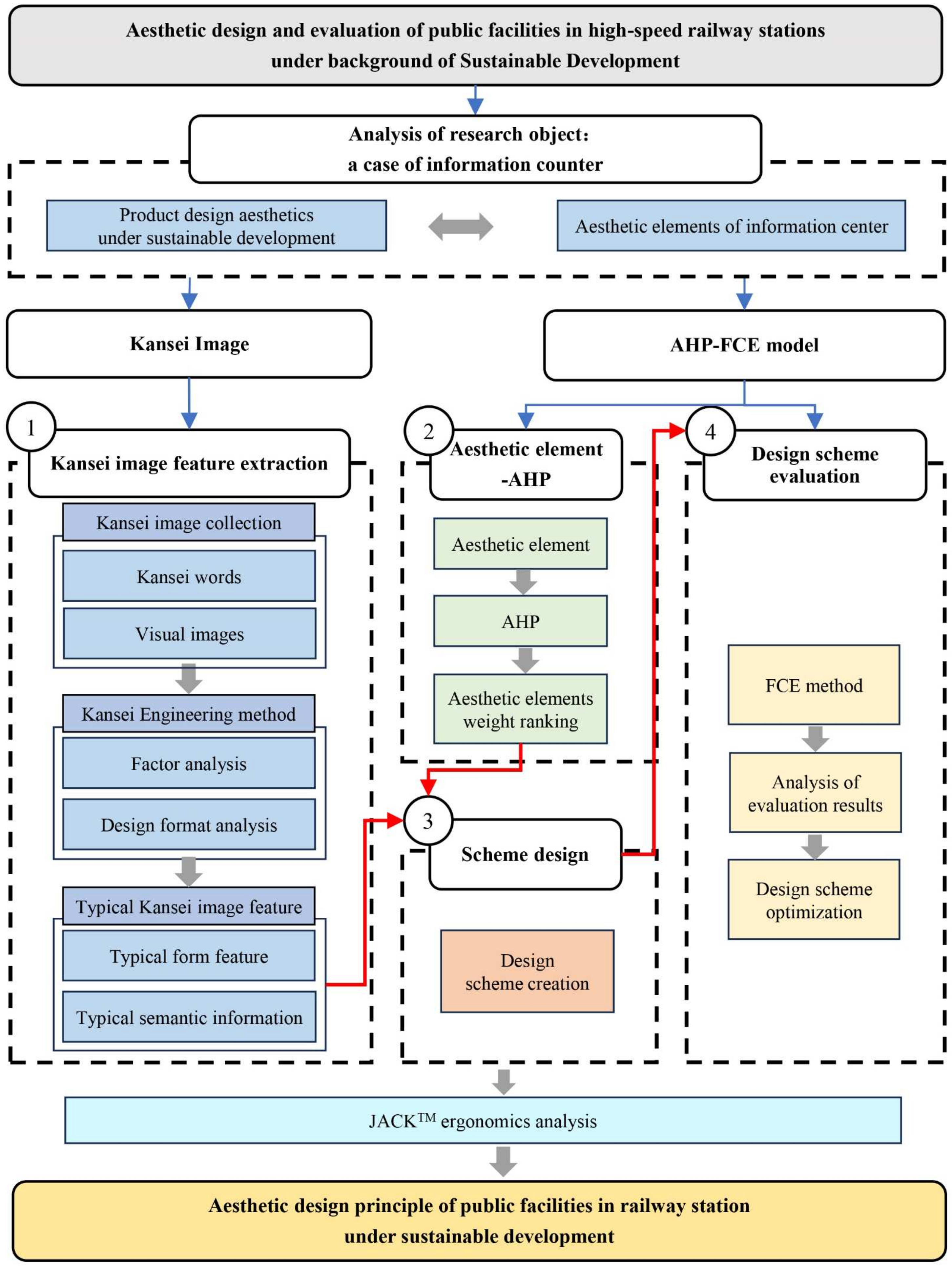
3. Materials and Methods
3.1. Analysis of Research Object
3.2. Kansei Image and Kansei Engineering
3.3. AHP Method
- Calculate the product Mi for each row value in the fuzzy judgment matrix M.
- 2.
- The geometric mean value of the fuzzy judgment matrix is derived.
- 3.
- After the process of normalization, the relative weight Wi is derived in the following manner:
- 4.
- The consistency index is calculated according to the maximum eigenvalue λ max.
- 5.
- The consistency ratio, CR, can be calculated as follows:
3.4. FCE Method
- Establish the evaluation factor index set U, U = {U1, U2, U3, …}.
- Create an evaluation set. The evaluation set is V, V = {V1, V2, …,Vp}, and evaluation level is categorized into 5 levels: excellent, good, general, poor, and very poor. The 5 grades of excellent, good, general, poor, and very poor translate to scores of 10, 8, 6, 4, and 2.
- Establish the fuzzy matrix R. The percentage method is used to calculate the membership and determine the fuzzy matrix R, as described in Equation (8).
- 4.
- Determine the weight vector of evaluation factors, W = (a1, a2,...,ap).
- 5.
- According to the determined weight vector W and matrix R, the fuzzy evaluation vector X was calculated, as described in Equation (9).
- 6.
- Calculate the comprehensive score Y, as described in Equation (10).
3.5. AHP-FCE Model
4. Research Case
4.1. Kansei Image Features Extraction
4.2. Aesthetic Weight Analysis Based on the AHP
4.3. Design Scheme Creation
4.4. FCE Method for Design Schemes
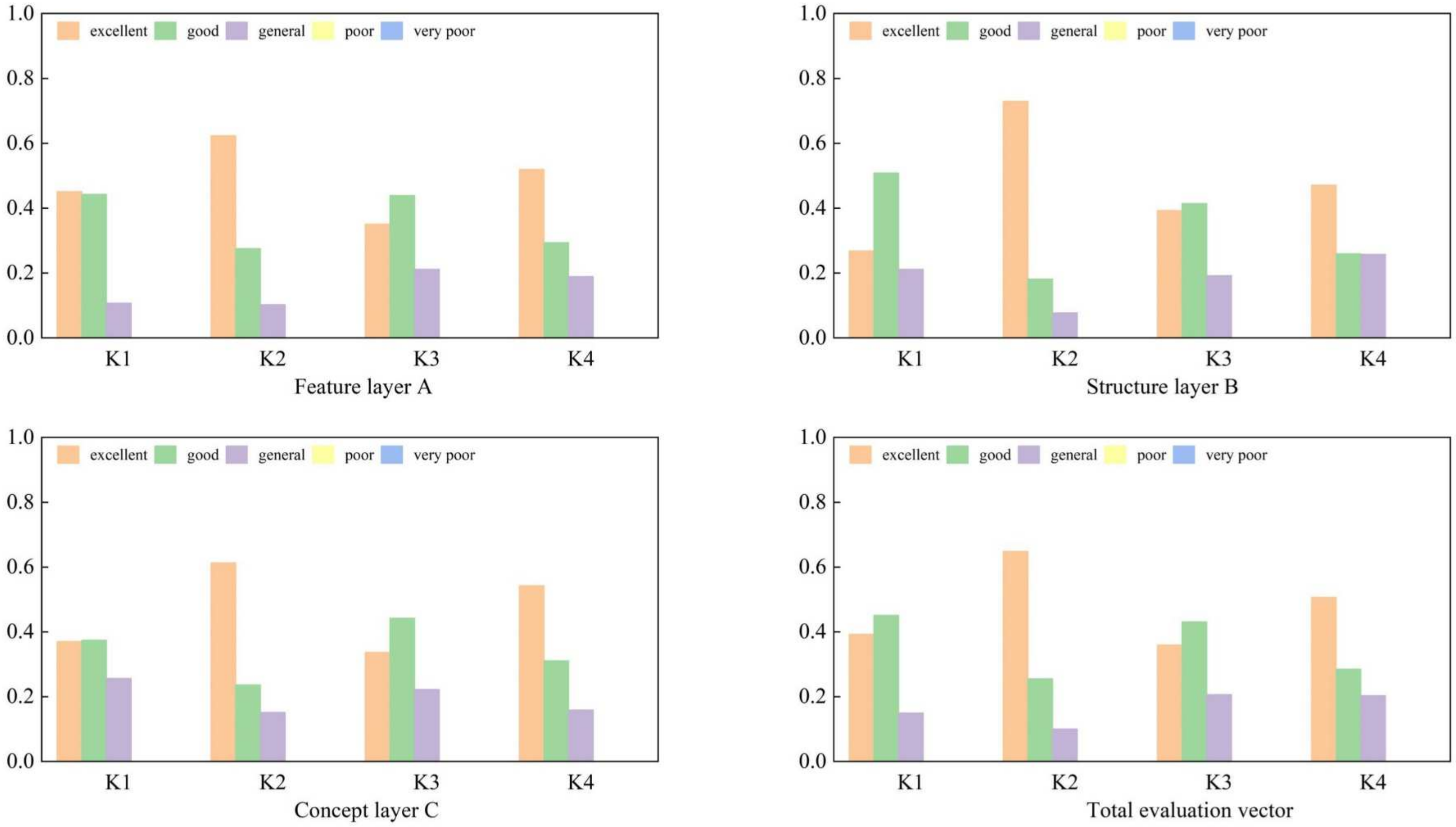
5. Result and Discussion
5.1. Evaluation Result Analysis
5.2. Kansei Image Analysis of Aesthetic Design under the Background of Sustainable Development
- (1)
- In the semantic feature level, Kansei words such as elegant, introverted, and other words that reflect refined, understated, delicate, and dynamic aesthetics can be used as an aesthetic design guide in the context of sustainable development.
- (2)
- In the form features level, the simple and smooth form can better make people perceive the sustainable design aesthetic characteristics.
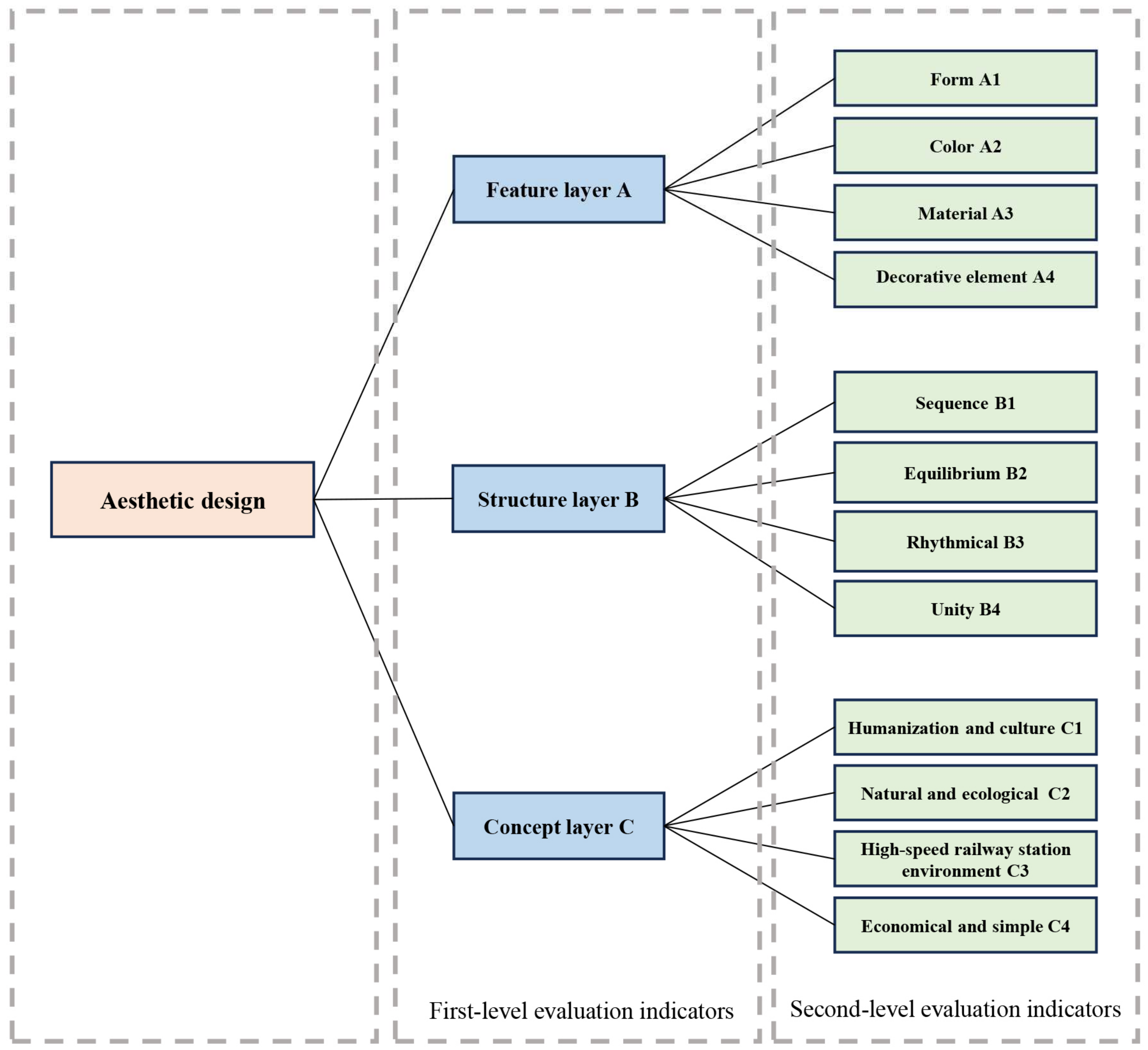
5.3. Aesthetic Elements Analysis under the Background of Sustainable Development
- (1)
- In the first-level evaluation indicators, the visual feature of appearance have the most significant influence on aesthetics, which shows that the basis of aesthetic perception is the explicit appearance design features, such as form, color, material, and others.
- (2)
- In the feature layer, simple and natural forms exert a significant influence on public facilities in railway stations, which shows that simple forms, humanized colors, natural materials, and natural decorations have an important impact on the aesthetic perception of sustainable design.
- (3)
- In the structure layer, the sense of unity and equilibrium have a great influence on aesthetic feeling. For the public facilities in railway stations under the background of sustainable development, the harmony and unity between the design elements are important factors in structural aesthetics.
- (4)
- In the concept layer, humanized design and a sense of simplicity are important contents of sustainable design aesthetics. In addition, the natural aesthetic and the harmony of the station environment are also important factors.
5.4. Design Scheme Improvement
6. Conclusions
- (1)
- The typical semantic features of the Kansei words and the typical form features of the visual images are obtained through the factor analysis and design format analysis methods, respectively. The plant elements in the ecological environment can be used as the Kansei image source for aesthetic design under the background of sustainable development. At the semantic feature level, Kansei words, such as understated, delicate, dynamic, and others, which reflect original simplicity and original nature, are typical semantic features. At the level of form features, simple and smooth shapes are typical form features.
- (2)
- Aesthetic design is a system composed of various elements. The core content of an aesthetic design is to reflect the original aesthetic feeling, such as simple, harmonious, and organic form design, low manufacturing costs, humane design, harmony with the station environment, and a natural sense of decoration, and these constitute the design aesthetic principles.
- (3)
- The AHP-FCE model is an effective design evaluation method. The AHP method can effectively determine the weight ranking of various aesthetic elements. The FCE method enables an objective evaluation of the design scheme, and it can quantitatively evaluate various aspects of the design scheme and provide an objective reference for designers to optimize the scheme. The combination of the AHP-FCE model and the Kansei image method can provide guidance for the creation and improvement of public facilities design in railway stations and offer a comprehensive and objective evaluation method for aesthetic designs. The ergonomic analysis of the design scheme can be combined with JACKTM. Future research can integrate computer-aided designs and psychological cognitive experiments to conduct quantitative investigations on Kansei image information and aesthetic elements.
Author Contributions
Funding
Institutional Review Board Statement
Informed Consent Statement
Data Availability Statement
Conflicts of Interest
References
- Tian, S.; Wang, W.; Gong, J. Development and prospect of railway tunnels in China (including statistics of railway tunnels in China by the end of 2020. Tunn. Constr. 2021, 41, 308. [Google Scholar]
- Zou, Z.; Tang, Y. Evaluation of Sustainable Development Potential of High-Speed Railway Station Areas Based on “Node-Place-Industry” Model. ISPRS Int. J. Geo-Inf. 2023, 12, 349. [Google Scholar] [CrossRef]
- Wang, Z.; Yang, J.P. Sustainable Development of Green Railway Station: From Design to Construction of Xiong’An Railway Station. Archit. Tech. 2021, 27, 82–84. [Google Scholar]
- Zhou, T.Z.; Du, Y.L. Exploration and Attempt of Railway Passenger Station Planning and Design under the Background of Green Travel: Taking the Transportation Planning and Design of Xiong’An Railway Station as an Example. Contemp. Archit. 2023, 1, 38–41. [Google Scholar]
- Liu, X.; Schraven, D.; de Bruijne, M.; de Jong, M.; Hertogh, M. Navigating Transitions for Sustainable Infrastructures—The Case of a New High-Speed Railway Station in Jingmen, China. Sustainability 2019, 11, 4197. [Google Scholar] [CrossRef]
- Vilotijevi, M.; Vukicevic, M.; Lazarevi, L.; Popović, Z. Sustainable Railway Infrastructure and Specific Environmental Issues in the Republic of Serbia. Teh. Vjesn. Tech. Gaz. 2018, 25, 516–523. [Google Scholar]
- Bianchi, A.; De Medici, S. A Sustainable Adaptive Reuse Management Model for Disused Railway Cultural Heritage to Boost Local and Regional Competitiveness. Sustainability 2023, 15, 5127. [Google Scholar] [CrossRef]
- Wangai, A.W.; Rohacs, D.; Boros, A. Supporting the Sustainable Development of Railway Transport in Developing Countries. Sustainability 2020, 12, 3572. [Google Scholar] [CrossRef]
- Sun, J.; Wang, P.; Zhang, S.T.; Zhao, A.S.; Zhou, A.M. Review of key technologies of product image styling design. J. Mach. Des. 2013, 30, 97–100. [Google Scholar]
- Ding, J.W.; Yang, D.T.; Cao, Y.D.; Wang, L. Theory, method, and trend of emotional design. Chin. J. Eng. Des. 2010, 17, 12–18+29. [Google Scholar]
- Ding, M.; Cheng, Y.; Huang, X.G.; Zhao, L. Status and progress of Kansei Engineering design method. J. Mach. Des. 2020, 37, 121–127. [Google Scholar]
- Duan, J.J.; Xuan, A.Q.; Yuan, B.; Li, N.N. Drawing frame modeling design based on Kansei image. J. Text. Res. 2022, 43, 160–166. [Google Scholar]
- Akiyama, M.; Tatsuzaki, M.; Michishita, T.; Ichiki, T.; Sumi, M.; Ikeda, M.; Araki, T.; Sagara, Y. Package design of ready-to-drink coffee beverages based on food kansei model—Effects of straw and cognition terms on consumer’s pleasantness. Food Bioprocess Technol. 2012, 5, 1924–1938. [Google Scholar] [CrossRef]
- Chen, J.L.; Zhao, F.; Liao, H.; Zhang, M.R.; Wan, K.R.; Lu, S.; Liu, Z. SUV Front Face Styling Design Based on Perceptual Image. Packag. Eng. 2020, 41, 102–108. [Google Scholar]
- Zabotto, C.N.; Amaral, D.C.; Hornos, C.J.M.; Benze, B.G. Automatic digital mood boards to connect users and designers with kansei engineering. Int. J. Ind. Ergon. 2019, 74, 102829. [Google Scholar] [CrossRef]
- Hu, T.T.; Zhao, J.H.; Zhao, D.H. The Imagery cue in the creative process of automobile design. Packag. Eng. 2016, 37, 73–76. [Google Scholar]
- Li, T.T.; Zhao, D.H.; Zhao, J.H. Imagery tool based on high-level semantics visual representation. Packag. Eng. 2018, 39, 127–131. [Google Scholar]
- Yang, C.X.; Liu, F.; Ye, J.N. A product form design method integrating Kansei Engineering and diffusion model. Adv. Eng. Inform. 2023, 7, 102058. [Google Scholar] [CrossRef]
- Hu, T.T.; Zhao, J.H.; Zhao, D.H. Research on the Cognition of Design Imagery and Aesthetic Imagery. Zhuangshi 2015, 2, 104–105. [Google Scholar]
- Wang, X.J. Prototype Matching Model of Icon Feature Recognition Strength. Zhuangshi 2018, 305, 100–102. [Google Scholar]
- Jiao, Y.Y.; Fu, S.H.; Liu, Y.G. The Mechanism of Product Design Affecting User Perceptions: A Grounded Research. Chin. J. Manag. 2018, 15, 1205–1213. [Google Scholar]
- Sałabun, W.; Urbaniak, K. A New coefficient of rankings similarity in decision-making Problems. Int. Conf. Comput. Sci. 2020, 20, 12138. [Google Scholar]
- Tang, D.D. Research on the route selection of high-speed railway based on analytic hierarchy process. J. Railw. Eng. Soc. 2022, 39, 14–18+29. [Google Scholar]
- Chakraborty, K.; Mondal, S.; Mukherjee, K. Analysis of product design characteristics for remanufacturing using Fuzzy AHP and Axiomatic Design. J. Eng. Des. 2017, 5, 1316014. [Google Scholar] [CrossRef]
- Liu, W.; Huang, Y.; Sun, Y.; Yu, C. Research on design elements of household medical products for rhinitis based on AHP. Math. Biosci. Eng. MBE 2023, 20, 9003–9017. [Google Scholar] [CrossRef] [PubMed]
- Zoghi, M.; Rostami, G.; Khoshand, A.; Motalleb, F. Material selection in design for deconstruction using Kano model, fuzzy-AHP and TOPSIS methodology. Waste Manag. Res. 2022, 40, 410–419. [Google Scholar] [CrossRef] [PubMed]
- Jiang, T.; Ge, Z.; Lei, J.; Wang, H. Usability evaluation of industrial sewing machine based on fuzzy analytic hierarchy process. J. Mach. Des. 2022, 12, 119–124. [Google Scholar]
- Wang, H.J.; Cheng, J.X. Research on model design of city bus based on fuzzy comprehensive evaluation. Mach. Des. Res. 2020, 36, 124–127. [Google Scholar]
- Wang, Z.; Cao, Y.; Qiao, H. Research on the Optimization Technology of Mechanical Product Design Plan Based on Fuzzy Comprehensive Evaluation Analysis Method. Sci. Program. 2022, 11, 1458003. [Google Scholar] [CrossRef]
- Hu, Y.; Zhang, Y.; Xia, X.; Li, Q.; Ji, Y.; Wang, R.; Li, Y.; Zhang, Y. Research on the evaluation of the livability of outdoor space in old residential areas based on the AHP and fuzzy comprehensive evaluation: A case study of Suzhou city, China. J. Asian Archit. Build. Eng. 2023, 12, 2278456. [Google Scholar] [CrossRef]
- Sharma, S.; Kumar, S.; Singh, A. Assessment of Green Infrastructure for sustainable urban water management. Environ. Dev. Sustain. 2023, 10, 1007. [Google Scholar] [CrossRef]
- Yang, L.; Wang, T.; Zhang, R.; Lei, J.; Ma, Y. Evaluation and application of intelligent rice cooker design based on fuzzy analytic hierarchy process. J. Mach. Des. 2019, 4, 129–133. [Google Scholar]
- Cheemakurthy, H.; Garme, K. Fuzzy AHP-based design performance index for evaluation of ferries. Sustainability 2022, 4, 14063680. [Google Scholar] [CrossRef]
- Tao, W.; Hong, Z.C.; Basyarah, H.; Yan, X.Z. Research on cultural and creative design method of 2022 World Cup lamps based on AHP-FCE. PLoS ONE 2023, 11, 0286682. [Google Scholar]
- Hou, H.C.; Wang, Y.; Lan, H. Student residential apartment performance evaluation using integrated AHP-FCE method. J. Build. Eng. 2023, 67, 106000. [Google Scholar] [CrossRef]
- Fang, X.S.; Liu, S.; Chen, W.Z.; Wu, R.Z. An Effective Method for Wetland Park Health Assessment: A Case Study of the Guangdong Xinhui National Wetland Park in the Pearl River Delta, China. Wetlands 2021, 41, 44. [Google Scholar] [CrossRef]
- Song, P.; Liu, Y.; Sun, J. Research on the Copyright Value Evaluation Model of Online Movies Based on the Fuzzy Evaluation Method and Analytic Hierarchy Process. Systems 2023, 11, 405. [Google Scholar] [CrossRef]
- Lu, P.; Hsiao, S.W. A product design method for form and color matching based on aesthetic theory. Adv. Eng. Inform. 2022, 10, 101702. [Google Scholar] [CrossRef]
- Hu, H.; Liu, Y.; Lu, W.F.; Guo, X. A quantitative aesthetic measurement method for product appearance design. Adv. Eng. Inform. 2022, 8, 101644. [Google Scholar] [CrossRef]
- Burnap, A.; Hauser, J.R.; Timoshenko, A. Product Aesthetic Design: A Machine Learning Augmentation. Mark. Sci. 2022, 42, 1429. [Google Scholar] [CrossRef]
- Odushegun, L. Aesthetic semantics: Affect rating of atomic visual web aesthetics for use in affective user experience design. Int. J. Hum. Comput. Stud. 2022, 171, 102978. [Google Scholar] [CrossRef]
- Feng, M.M. The Esthetic Evaluation of Urban Plants Landscape based on the Model of AHP-fuzzy Comprehensive Evaluation. J. Hangzhou Norm. Univ. Nat. Sci. Ed. 2007, 6, 373–378. [Google Scholar]
- Zhang, N.; Wang, J.; Yang, Y.P. Evaluation Method of Aesthetic Image for Man-machine Interface Form Elements Layout Design. Mech. Sci. Technol. Aerosp. Eng. 2015, 10, 13433. [Google Scholar]
- Chatterjee, A. Prospects for a Cognitive Neuroscience of Visual Aesthetics. Bull. Psychol. Arts 2004, 4, 55–60. [Google Scholar]
- Wu, Y.X.; Cheng, J.X. Continuous Fuzzy Kano Model and Fuzzy AHP Model for Aesthetic Product Design: Case Study of an Electric Scooter. Math. Probl. Eng. 2018, 2018, 4162539. [Google Scholar] [CrossRef]
- Berlyne, D.E. Aesthetics and Psychobiology; Appleton-Century-Crofts: New York, NY, USA, 1971. [Google Scholar]
- Ngo, D.C.L.; Teo, L.S.; Byrne, J.G. Modelling interface aesthetics. Inf. Sci. 2003, 152, 25–46. [Google Scholar] [CrossRef]
- Lai, X.; Zhang, S.; Mao, N.; Liu, J.; Chen, Q. Kansei Engineering for new energy vehicle exterior design: An internet big data mining approach. Comput. Ind. Eng. 2022, 3, 107913. [Google Scholar] [CrossRef]
- Ye, J.; Zhang, J.; Gao, L.; Zhou, Y.; Liu, Z.; Han, J. Neo-Chinese Style Furniture Design Based on Semantic Analysis and Connection. Ksii Trans. Internet Inf. Syst. 2022, 8, 2704–2719. [Google Scholar]
- Li, X.; Liu, K.; Zhu, C.; Lv, Z. Collar style design of women’s suit based on Kansei Engineering. Ind. Text. 2022, 5, 530–536. [Google Scholar] [CrossRef]
- Jia, L.-M.; Tung, F.-W. A Study on Consumers’ Visual Image Evaluation of Wrist Wearables. Entropy 2021, 23, 1118. [Google Scholar] [CrossRef] [PubMed]
- Huang, Y.; Pan, Y. Discovery and extraction of cultural traits in intangible cultural heritages based on kansei engineering: Taking zhuang brocade weaving techniques as an example. Appl. Sci. 2021, 11, 112311403. [Google Scholar] [CrossRef]
- Hartono, M. The modified Kansei Engineering-based application for sustainable service design. Int. J. Ind. Ergon. 2020, 79, 102985. [Google Scholar] [CrossRef]
- Osgood, C.E.; Suci, G.J.; Tannenbaum, P.H. The Measurement of Meaning; University of Illinois Press: Urbana, IL, USA, 1957. [Google Scholar]
- Chou, J.-R. A Kansei evaluation approach based on the technique of computing with words. Adv. Eng. Inform. 2016, 30, 1–15. [Google Scholar] [CrossRef]
- Karjalainen, T.M. It Looks Like a Toyota: Educational Approaches to Designing for Visual Brand Recognition. Int. J. Des. 2007, 1, 67–81. [Google Scholar]
- Karjalainen, T.M. Semantic knowledge in the creation of brand-specific product design. Des. Manag. Brand. 2003, 1, 1–10. [Google Scholar]
- Lu, Z.L.; Xu, C.Q.; Tang, W.C.; Zhang, Y. Research on product design DNA based on stylistic feature in industrial Design. J. Mach. Des. 2010, 7, 8–14. [Google Scholar]
- Liu, M.; Zhu, X.; Chen, Y.; Kong, Q. Evaluation and design of dining room chair based on analytic hierarchy process (AHP) and Fuzzy AHP. Bioresources 2023, 5, 2574–2588. [Google Scholar] [CrossRef]
- Plebankiewicz, E.; Kubek, D. Multicriteria Selection of the Building Material Supplier Using AHP and Fuzzy AHP. J. Constr. Eng. Manag. 2016, 142, 0001033. [Google Scholar] [CrossRef]
- Wu, H.A.; Sun, X.R.; Li, D.J.; Zhao, Y. Research on Learning Evaluation of College Students Based on AHP and Fuzzy Comprehensive Evaluation. Comput. Intell. Neurosci. 2022, 8, 160695. [Google Scholar] [CrossRef] [PubMed]
- Hu, Y.; Yu, S.; Qin, S.; Chen, D.; Chu, J.; Yang, Y. How to extract traditional cultural design elements from a set of images of cultural relics based on F-AHP and entropy. Multimed. Tools Appl. 2021, 80, 5833–5856. [Google Scholar] [CrossRef]
- Chang, L. Application of Fuzzy Comprehensive Evaluation Based on Genetic Algorithm in Psychological Measurement. Sci. Program. 2021, 2021, 9607006. [Google Scholar] [CrossRef]























| Level | Aesthetic Element | Meaning |
|---|---|---|
| Feature layer | Form | Form aesthetic feeling is the sustainable design aesthetics for the product form design |
| Color | Color aesthetic feeling is the sustainable design aesthetics for the product color design | |
| Material | Material aesthetic feeling is the sustainable design aesthetics for the product material design | |
| Decorative element | Decorative element aesthetic feeling is the sustainable design aesthetics for the product decorative design | |
| Structure layer | Sequence | Sequence feeling refers to the arrangement of relationships in the design elements and components for the information counter appearance |
| Equilibrium | Equilibrium is a stabilization of the relationship between the design elements and components for the information counter appearance | |
| Rhythm | Rhythm feeling refers to regular patterns of changes in the design elements and components for information counter appearance. This regular pattern of changes can help to make spirituality | |
| Unity | Unity feeling is coherence and wholeness of relationships in the design elements and components for the information counter appearance | |
| Concept layer | Humanization and culture | Harmony with the humanization of local culture |
| Natural and ecological | Harmony with the local natural environment | |
| railway station environment | Harmony with the railway station environment | |
| Economical and simple | Simplicity of processing and manufacturing |
| Scale Values | Significance | Meaning |
|---|---|---|
| 1 | Equally important | Both elements are equally important |
| 3 | Slightly important | The former element is slightly more important than the latter |
| 5 | Significantly important | The former element is clearly more important than the latter |
| 7 | Very importance | The former element is strongly more important than the latter |
| 9 | Absolutely important | The former element is absolutely more important than the latter |
| 2, 4, 6, 8 | Midpoint | Indicates the median of the above two elements |
| 1, 1/2,…, 1/9 | Inverse comparison | The latter element is the inverse of the above value when compared to the former element |
| n | 1 | 2 | 3 | 4 | 5 | 6 | 7 | 8 | 9 | 10 | 11 |
|---|---|---|---|---|---|---|---|---|---|---|---|
| RI | 0 | 0 | 0.58 | 0.90 | 1.12 | 1.24 | 1.32 | 1.41 | 1.45 | 1.49 | 1.51 |
| Number | Kansei Words | Number | Kansei Words |
|---|---|---|---|
| S1 | Elegant–Vulgar | S5 | Light–Heavy |
| S2 | Introverted–Extraverted | S6 | Concise–Trival |
| S3 | Gentle–Hard | S7 | Exquisite–Rough |
| S4 | Delicate–Rough | S8 | Flow–Quiet |
| Kansei Words | −3 | −2 | −1 | 0 | 1 | 2 | 3 | Kansei Words |
|---|---|---|---|---|---|---|---|---|
| Extremely | Quite | Slightly | Neutral | Slightly | Quite | Extremely | ||
| S1 Elegant | Vulgar | |||||||
| S2 Introverted | Extraverted | |||||||
| S3 Gentle | Hard | |||||||
| S4 Delicate | Rough | |||||||
| S5 Lithe | Heavy | |||||||
| S6 Concise | Cumbersome | |||||||
| S7 Exquisite | Rough | |||||||
| S8 Flow | Quiet |
| S1 | S2 | S3 | S4 | S5 | S6 | S7 | S8 | |
|---|---|---|---|---|---|---|---|---|
| M1 | −2.275 | −1.125 | −1.525 | −1.650 | −1.025 | −1.900 | −2.125 | −1.250 |
| M2 | −1.950 | −2.050 | −1.825 | −1.825 | −2.275 | −2.150 | −1.075 | −2.300 |
| M3 | −0.925 | 1.125 | −0.575 | 1.200 | 0.900 | 1.175 | 1.350 | −2.150 |
| M4 | −2.025 | −2.100 | −2.125 | −1.525 | −1.125 | −2.250 | −1.550 | −2.450 |
| M5 | −0.950 | 2.350 | 2.600 | −1.250 | −1.050 | 2.150 | 2.550 | −2.350 |
| M6 | −1.825 | 1.475 | −1.375 | 1.425 | 0.075 | 2.150 | 2.300 | −2.575 |
| M7 | −2.500 | −2.450 | −2.400 | −2.350 | −1.225 | −2.150 | −2.125 | −2.600 |
| M8 | −2.350 | −2.175 | −1.725 | −1.250 | −1.825 | −1.875 | −1.475 | −2.050 |
| M9 | −2.400 | −2.500 | −2.425 | −2.400 | −1.175 | −2.550 | −2.175 | −2.150 |
| Components | Initial Eigenvalue | Extract the Sum of Squares of Loads | The Sum of the Squares of Rotating Loads | ||||||
|---|---|---|---|---|---|---|---|---|---|
| Total | Percentage of Variance | Accumulate % | Total | Percentage of Variance | Accumulate % | Total | Percentage of Variance | Accumulate % | |
| 1 | 5.467 | 68.336 | 68.336 | 5.467 | 68.336 | 68.336 | 3.741 | 46.759 | 46.759 |
| 2 | 1.094 | 13.670 | 82.007 | 1.094 | 13.670 | 82.007 | 2.705 | 33.816 | 80.575 |
| 3 | 1.008 | 12.604 | 94.610 | 1.008 | 12.604 | 94.610 | 1.123 | 14.036 | 94.610 |
| Main Ingredients | |||
|---|---|---|---|
| 1 | 2 | 3 | |
| S1 | 0.835 | 0.392 | −0.060 |
| S2 | 0.835 | 0.528 | −0.039 |
| S3 | 0.991 | −0.011 | 0.042 |
| S4 | 0.299 | 0.908 | −0.115 |
| S5 | 0.209 | 0.921 | 0.022 |
| S6 | 0.770 | 0.580 | −0.192 |
| S7 | 0.797 | 0.510 | −0.284 |
| S8 | −0.066 | −0.051 | 0.992 |
| Semantic | Description of Factor Characteristics | Weight | Ranking by Importance | |
|---|---|---|---|---|
| factor 1 | S1 (elegant–vulgar) S2 (introverted–extraverted) S3 (gentle–hard) S6 (concise–trival) S7 (exquisite–rough) | refined aesthetic, understated aesthetic | 0.494 | 1 |
| factor 2 | S4 (delicate–rough) S5 (light–heavy) | delicate aesthetic | 0.357 | 2 |
| factor 3 | S8 (flow–quiet) | dynamic aesthetic | 0.148 | 3 |
| Number | From Feature Description | Unrelated (1) | Correlated (2) | Strong Correlated (3) |
|---|---|---|---|---|
| F1 | shape is a circle | |||
| F2 | shape is a square | |||
| F3 | shape turning arc | |||
| F4 | shape turning straight line | |||
| F5 | shape is an abstraction | |||
| F6 | shape is smooth |
| Feature Classification | Feature Description | Visual Image Screening |
|---|---|---|
| Overall shape | The main features are circles, streamlines, and abstractions | ![]() |
| Detail shape | The main features are the smooth arc shape | ![]() |
| Shape transition | Rounded corners are evident | ![]() |
| A | B | C | ω | λmax | CI | CR | |
|---|---|---|---|---|---|---|---|
| A | 1 | 3.6 | 4.6 | 0.6481 | 3.09089 | 0.04545 | 0.07836 |
| B | 0.30 | 1 | 3.4 | 0.2513 | |||
| C | 0.20 | 0.29 | 1 | 0.1006 |
| A | A1 | A2 | A3 | A4 | ω (Ai) | λmax | CI | CR |
|---|---|---|---|---|---|---|---|---|
| A1 | 1 | 4.3 | 4.1 | 5.4 | 0.5566 | 4.2131 | 0.07104 | 0.07982 |
| A2 | 0.23 | 1 | 3.3 | 4.6 | 0.2608 | |||
| A3 | 0.24 | 0.30 | 1 | 1.43 | 0.1053 | |||
| A4 | 0.19 | 0.22 | 0.70 | 1 | 0.0774 |
| B | B1 | B2 | B3 | B4 | ω (Bi) | λmax | CI | CR |
|---|---|---|---|---|---|---|---|---|
| B1 | 1 | 0.29 | 0.72 | 0.18 | 0.0914 | 4.1834 | 0.06114 | 0.06869 |
| B2 | 3.45 | 1 | 3.4 | 0.76 | 0.3482 | |||
| B3 | 1.40 | 0.30 | 1 | 0.72 | 0.1625 | |||
| B4 | 5.65 | 1.32 | 1.39 | 1 | 0.3847 |
| C | C1 | C2 | C3 | C4 | ω (Ci) | λmax | CI | CR |
|---|---|---|---|---|---|---|---|---|
| C1 | 1 | 4.8 | 3.8 | 1.93 | 0.4844 | 4.2411 | 0.08036 | 0.09030 |
| C2 | 0.21 | 1 | 3.9 | 0.52 | 0.1742 | |||
| C3 | 0.26 | 0.26 | 1 | 0.32 | 0.0835 | |||
| C4 | 0.52 | 1.94 | 3.125 | 1 | 0.2653 |
| First-Level Indicators | Weight (W1) | Sorting | Second-Level Indicators | Weights (W2) | Sorting |
|---|---|---|---|---|---|
| A | 0.6281 | 1 | A1 | 0.5566 | 1 |
| A2 | 0.2608 | 2 | |||
| A3 | 0.1053 | 3 | |||
| A4 | 0.0774 | 4 | |||
| B | 0.2675 | 2 | B1 | 0.0914 | 4 |
| B2 | 0.3482 | 2 | |||
| B3 | 0.1625 | 3 | |||
| B4 | 0.3847 | 1 | |||
| C | 0.1006 | 3 | C1 | 0.4844 | 1 |
| C2 | 0.1742 | 3 | |||
| C3 | 0.0835 | 4 | |||
| C4 | 0.2579 | 2 |
| First-Level Indicator Score | Second-Level Indicator Score | ||
|---|---|---|---|
| Feature layer A | 9.092 | Form A1 | 9.33 |
| Color A2 | 8.73 | ||
| Material A3 | 8.53 | ||
| Decorative element A4 | 8.67 | ||
| Structure layer B | 9.200 | Sequence B1 | 9.00 |
| Equilibrium B2 | 9.47 | ||
| Rhythmical B3 | 9.00 | ||
| Unity B4 | 9.40 | ||
| Concept layer C | 8.924 | Humanization and culture C1 | 9.00 |
| Natural and ecological C2 | 8.40 | ||
| railway station environment C3 | 8.53 | ||
| Economical and simple C4 | 9.27 | ||
Disclaimer/Publisher’s Note: The statements, opinions and data contained in all publications are solely those of the individual author(s) and contributor(s) and not of MDPI and/or the editor(s). MDPI and/or the editor(s) disclaim responsibility for any injury to people or property resulting from any ideas, methods, instructions or products referred to in the content. |
© 2024 by the authors. Licensee MDPI, Basel, Switzerland. This article is an open access article distributed under the terms and conditions of the Creative Commons Attribution (CC BY) license (https://creativecommons.org/licenses/by/4.0/).
Share and Cite
Xie, X.-H.; Zhu, H.; Xu, Y.; Yan, H.; Guo, S.; Liu, Q. Aesthetic Design and Evaluation of Public Facilities in Railway Stations under the Background of Sustainable Development: A Case of an Information Counter at Xiong’an Railway Station. Sustainability 2024, 16, 5021. https://doi.org/10.3390/su16125021
Xie X-H, Zhu H, Xu Y, Yan H, Guo S, Liu Q. Aesthetic Design and Evaluation of Public Facilities in Railway Stations under the Background of Sustainable Development: A Case of an Information Counter at Xiong’an Railway Station. Sustainability. 2024; 16(12):5021. https://doi.org/10.3390/su16125021
Chicago/Turabian StyleXie, Xuan-Hui, Hongyang Zhu, Yunpeng Xu, Huiran Yan, Shilin Guo, and Qiang Liu. 2024. "Aesthetic Design and Evaluation of Public Facilities in Railway Stations under the Background of Sustainable Development: A Case of an Information Counter at Xiong’an Railway Station" Sustainability 16, no. 12: 5021. https://doi.org/10.3390/su16125021
APA StyleXie, X.-H., Zhu, H., Xu, Y., Yan, H., Guo, S., & Liu, Q. (2024). Aesthetic Design and Evaluation of Public Facilities in Railway Stations under the Background of Sustainable Development: A Case of an Information Counter at Xiong’an Railway Station. Sustainability, 16(12), 5021. https://doi.org/10.3390/su16125021



