Effect of Binary Blended Fillers on the Durability Performance of Recycled Cold-Mix Asphalt
Abstract
1. Introduction
2. Materials and Methodology
2.1. Materials
2.1.1. Aggregates and RAP
2.1.2. Filler Additives
2.1.3. Binder (Emulsion)
2.2. Methodology
- P = % by weight of the emulsion content based on the dry aggregate weight;
- a = % of the retained aggregate weight on the 2.36 mm sieve;
- b = % of the aggregate passing 2.36 mm and retained on 0.075 mm;
- c = % of the aggregate passing 0.075 mm.
- X = the bitumen present in the emulsion (60%).
- Pnb = the new bituminous binder to be added as per Asphalt Institute (2007) MS-20.
- r = % of virgin aggregate to be added to the recycled mix.
- Psb = the average bitumen content in the RAP.
3. Result and Discussion
3.1. Marshall Stability
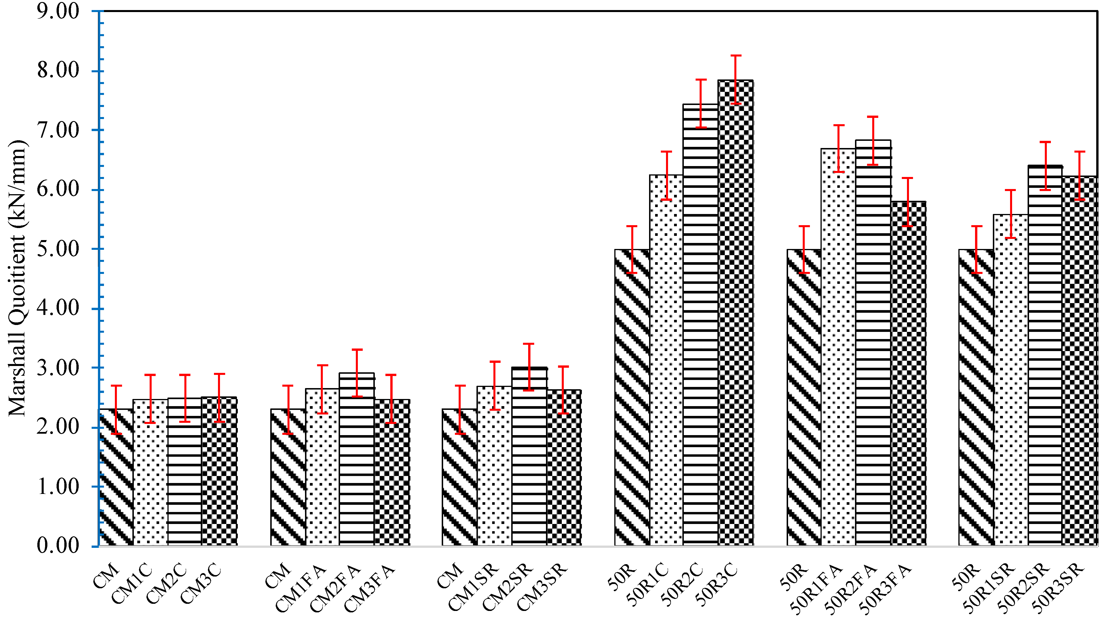
3.2. Marshall Quotient
3.3. Indirect Tensile Strength
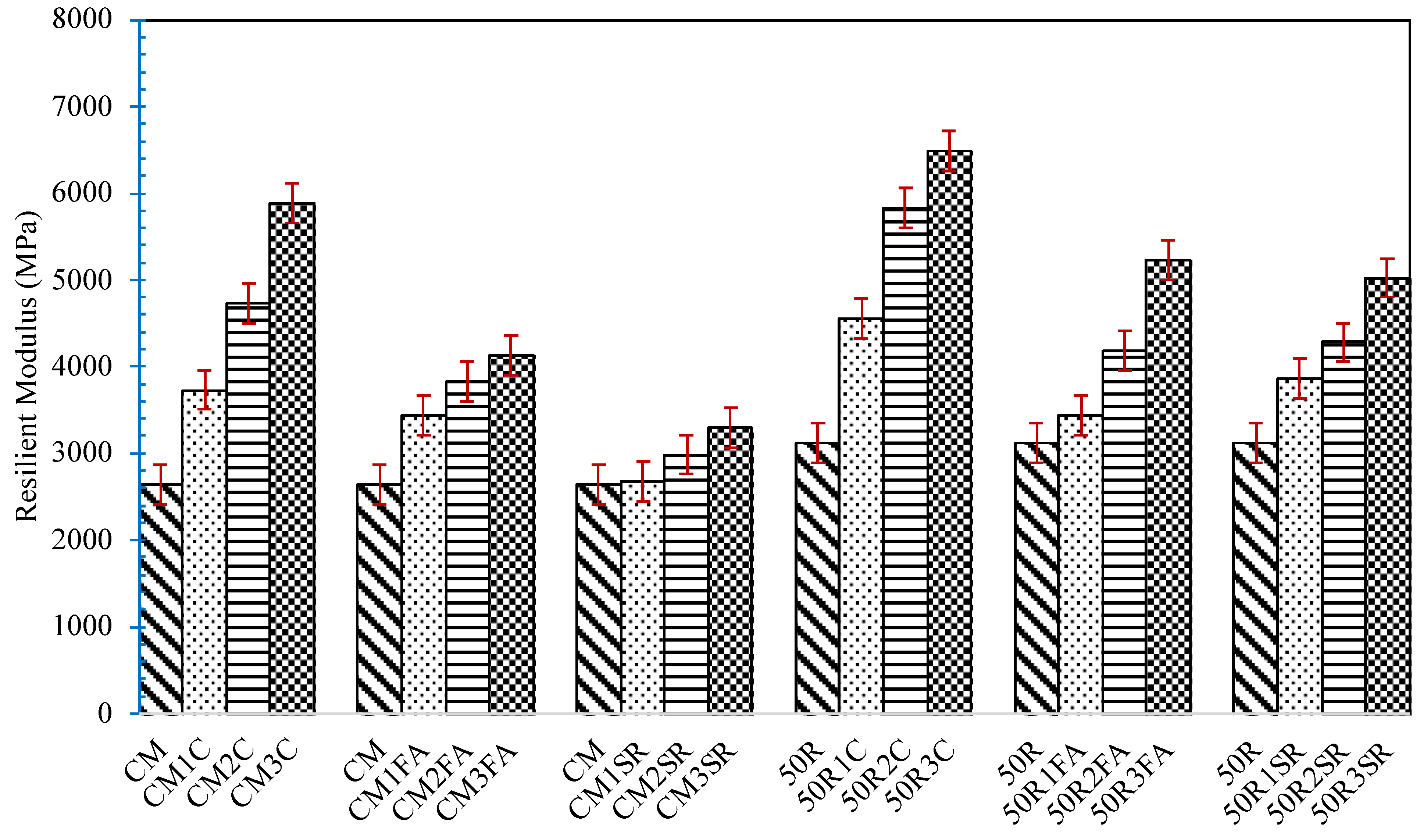
3.4. Resilient Modulus
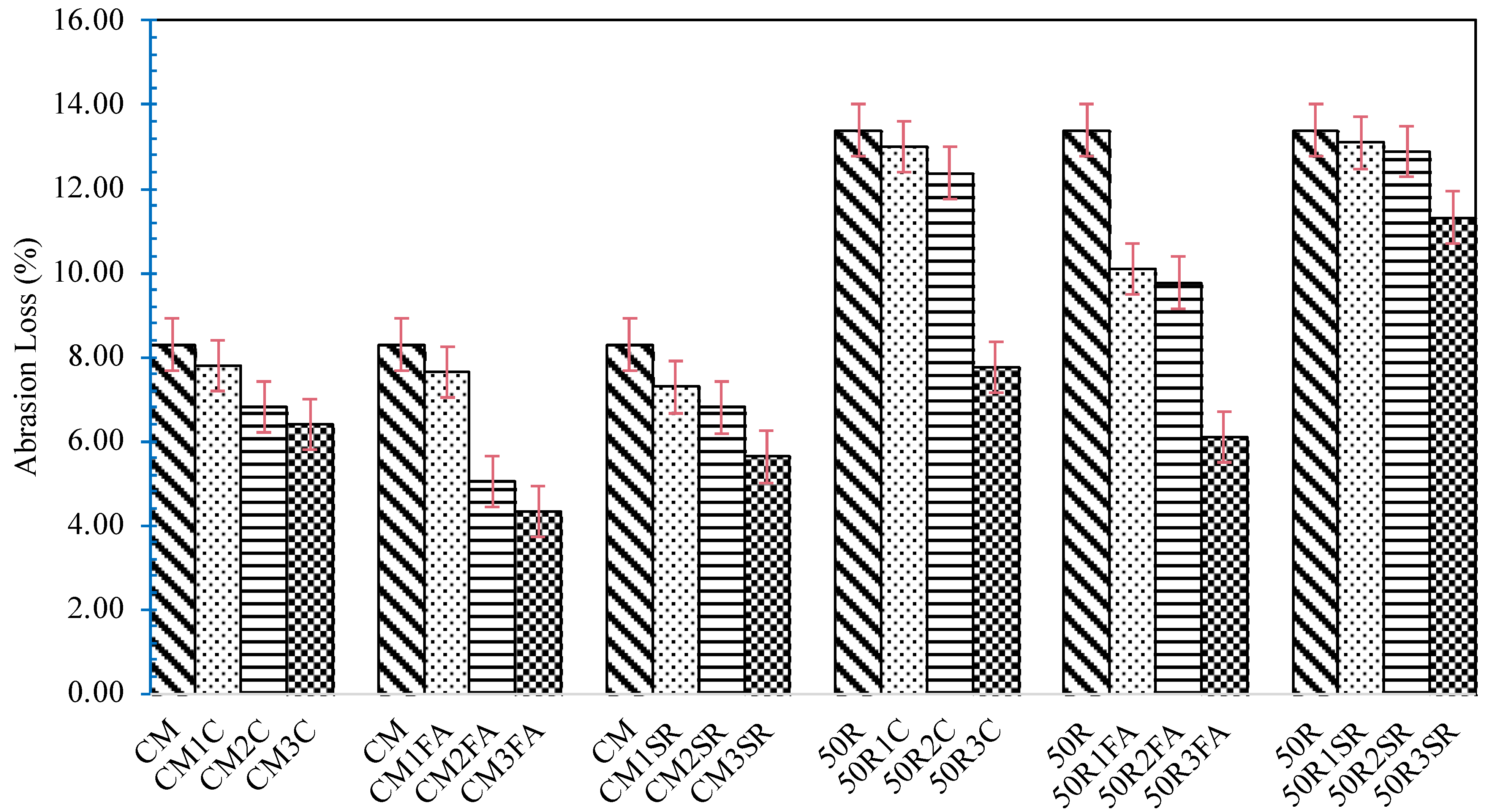
3.5. Cantabro Abrasion Loss
3.6. Statistical Analysis
4. Conclusions
- RAP incorporation in cold-mix asphalt will reduce the initial binder content and provide better a Marshall strength, indirect tensile strength, and resilient modulus. However, the abrasion and raveling resistance deteriorated.
- Incorporating different binary blended fillers increases Marshall’s stability; however, the optimum dosage of BBFs is based on the type of material/aggregate used. The binary blended fillers have some active reactions in the presence of moisture, eventually improving the binder matrix and Marshall’s stability. The findings confirm that the BBF incorporation imparts higher shear stress and deformation resistance.
- Improvement in indirect tensile strength was observed with the BBF incorporation, and this might be due to the hygroscopic nature of the BBFs, which absorb moisture and initiate the hydration process, which, in turn, forms a secondary binder. This secondary binder forms a firm cement–bitumen paste, which binds the cold mix’s internal structure.
- RAP incorporation does not significantly alter the moisture resistance of the cold mixes. However, significant improvement in the ITR was observed post-BBF incorporation. SR was the best-performing BBF for the natural mixes in terms of the ITR. However, cement was the best-performing BBF for the RAP mixes compared to FA and SR.
- RAP incorporation does increase the Mr value of the cold mix; however, this improvement was not more significant. Furthermore, due to the formation of a strong binder–filler matrix, the Mr was higher than in the control mix.
Author Contributions
Funding
Institutional Review Board Statement
Informed Consent Statement
Data Availability Statement
Acknowledgments
Conflicts of Interest
Nomenclature
| CMA | Cold-Mix Asphalt | CM3C | CM with 3% C |
| 50R | 50% RAP | CM3FA | CM with 3% FA |
| 50R1C | 50% RAP with 1% C | CM3SR | CM with 3% SR |
| 50R1FA | 50% RAP with 1% FA | FA | Fly Ash |
| 50R1SR | 50% RAP with 1% SR | HMA | Hot-Mix Asphalt |
| 50R2C | 50% RAP with 2% C | IEC | Initial Emulsion Content |
| 50R2FA | 50% RAP with 2% FA | IRC | Indian Roads Congress |
| 50% RAP with 2% SR | ITR | Indirect Tensile Ratio | |
| 50R3C | 50% RAP with 3% C | ITS | Indirect Tensile Strength |
| 50R3FA | 50% RAP with 3% FA | MORTH | Ministry of Road Transport and Highways |
| 50R3SR | 50% RAP with 3% SR | MQ | Marshall Quotient |
| ANOVA | Analysis of Variance | Mr | Resilient Modulus |
| BBFs | Binary Blended Fillers | NH | National Highway |
| C | Cement | OAC | Optimum Asphalt Content |
| P | Emulsion Content | ||
| CBEM | Cold Bituminous Emulsion Mixtures | RAP | Reclaimed Asphalt Pavement |
| CM | Control Mix | RCA | Recycled Concrete Aggregates |
| CM1C | CM with 1% C | RCMA | Recycled Cold-Mix Asphalt |
| CM1FA | CM with 1% FA | SR | Stabil-road |
| CM1SR | CM with 1% SR | VA | Virgin Aggregate |
| CM2C | CM with 2% C | VMA | Voids in Mineral Aggregate |
| CM2FA | CM with 2%FA | ||
| CM2SR | CM with 2% SR |
References
- Josa, A.; Aguado, A.; Heino, A.; Byars, E.; Cardim, A. Comparative analysis of available life cycle inventories of cement in the EU. Cem. Concr. Res. 2004, 34, 1313–1320. [Google Scholar] [CrossRef]
- Peralta, J.; Silva, H.M.; Hilliou, L.; Machado, A.V.; Pais, J.; Williams, R.C. Mutual changes in bitumen and rubber related to the production of asphalt rubber binders. Constr. Build. Mater. 2012, 36, 557–565. [Google Scholar] [CrossRef]
- Wang, Y.; Leng, Z.; Li, X.; Hu, C. Cold recycling of reclaimed asphalt pavement towards improved engineering performance. J. Clean. Prod. 2018, 171, 1031–1038. [Google Scholar] [CrossRef]
- Oruc, S.; Celik, F.; Aksoy, A. Performance of cement modified dense graded cold-mix asphalt and establishing mathematical model. Indian J. Eng. Mater. Sci. 2006, 13, 512–519. [Google Scholar]
- Choudhary, R.; Chattopadhyay, D.; Kumar, A.; Julaganti, A. Use of Industrial Wastes as Filler in Open Graded Friction Courses. Balt. J. Road Bridg. Eng. 2017, 12, 106–116. [Google Scholar] [CrossRef]
- Nassar, A.I.; Mohammed, M.K.; Thom, N.; Parry, T. Mechanical, durability and microstructure properties of Cold Asphalt Emulsion Mixtures with different types of filler. Constr. Build. Mater. 2016, 114, 352–363. [Google Scholar] [CrossRef]
- Nassar, A.I.; Mohammed, M.K.; Thom, N.; Parry, T. Characterisation of high-performance cold bitumen emulsion mixtures for surface courses. Int. J. Pavement Eng. 2018, 19, 509–518. [Google Scholar] [CrossRef]
- He, Y.; Li, Y.; Zhang, J.; Xiong, K.; Huang, G.; Hu, Q.; Zhao, X. Performance evolution mechanism and affecting factors of emulsified asphalt cold recycled mixture performance: A state-of art review. Constr. Build. Mater. 2024, 411, 134–545. [Google Scholar] [CrossRef]
- Serfass, J.-P.; Poirier, J.-E.; Henrat, J.-P.; Carbonneau, X. Influence of curing on cold mix mechanical performance. Mater. Struct. 2004, 37, 365–368. [Google Scholar] [CrossRef]
- Du, S. Effect of curing conditions on properties of cement asphalt emulsion mixture. Constr. Build. Mater. 2018, 164, 84–93. [Google Scholar] [CrossRef]
- Graziani, A.; Iafelice, C.; Raschia, S.; Perraton, D.; Carter, A. A procedure for characterizing the curing process of cold recycled bitumen emulsion mixtures. Constr. Build. Mater. 2018, 173, 754–762. [Google Scholar] [CrossRef]
- Deb, P.; Singh, K.L. Accelerated curing potential of cold mix asphalt using silica fume and hydrated lime as filler. Int. J. Pavement Eng. 2023, 24, 2057976. [Google Scholar] [CrossRef]
- Kumar, R.; Goli, A.; Gottumukkala, B.V.; Shankar, S.; Kuna, K.K. Influence of curing process on the moisture loss, mechanical and performance characteristics of cold recycled asphalt mixes. Road Mater. Pavement Des. 2024, 25, 259–275. [Google Scholar] [CrossRef]
- Li, R.; Leng, Z.; Wang, Y.; Zou, F. Characterization and correlation analysis of mechanical properties and electrical resistance of asphalt emulsion cold-mix asphalt. Constr. Build. Mater. 2020, 263, 119974. [Google Scholar] [CrossRef]
- Ghabchi, R.; Barman, M.; Singh, D.; Zaman, M.; Mubaraki, M.A. Comparison of laboratory performance of asphalt mixes containing different proportions of RAS and RAP. Constr. Build. Mater. 2016, 124, 343–351. [Google Scholar] [CrossRef]
- Li, Q.; Wang, Z.; Li, Y.; Shang, J. Cold recycling of lime-fly ash stabilized macadam mixtures as pavement bases and subbases. Constr. Build. Mater. 2018, 169, 306–314. [Google Scholar] [CrossRef]
- Chegenizadeh, A.; Tufilli, A.; Arumdani, I.S.; Budihardjo, M.A.; Dadras, E.; Nikraz, H. Mechanical Properties of Cold Mix Asphalt (CMA) Mixed with Recycled Asphalt Pavement. Infrastructures 2022, 7, 45. [Google Scholar] [CrossRef]
- Zhu, C.; Zhang, H.; Huang, L.; Wei, C. Long-term performance and microstructure of asphalt emulsion cold recycled mixture with different gradations. J. Clean. Prod. 2019, 215, 944–951. [Google Scholar] [CrossRef]
- Zhu, J.; Ma, T.; Fang, Z. Characterization of agglomeration of reclaimed asphalt pavement for cold recycling. Constr. Build. Mater. 2020, 240, 117912. [Google Scholar] [CrossRef]
- Zhu, C.; Zhang, H.; Guo, H.; Wu, C.; Wei, C. Effect of gradations on the final and long-term performance of asphalt emulsion cold recycled mixture. J. Clean. Prod. 2019, 217, 95–104. [Google Scholar] [CrossRef]
- Nanda, H.; Siddagangaiah, A.K. Effect of RAP fractionation and dosage on design and mechanical behaviour of cold asphalt mixes. Constr. Build. Mater. 2024, 422, 135773. [Google Scholar] [CrossRef]
- Meena, P.; Naga, G.R.R.; Kumar, P.; Monu, K. Effect of Mechanical Properties of Cold Mix Asphalt Mixture Containing Different Proportion of Fillers. Int. J. Pavement Res. Technol. Vol. 2023, 1–17. [Google Scholar] [CrossRef]
- ASTM D854; Standard Test Methods for Specific Gravity of Soil Solids by Water Pycnometer. American Society for Testing and Materials: West Conshehoken, PA, USA, 2000; Volume 2458000, pp. 1–7.
- IS:383-1970; Specification for Coarse and Fine Aggregates from Natural Sources for Concrete. Bureau of Indian Standards: Delhi, India, 1970; pp. 1–24.
- ASTM D2172-17; Standard Test Methods for Quantitative Extraction of Asphalt Binder from Asphalt Mixtures. American Society for Testing and Materials: West Conshehoken, PA, USA, 2017; pp. 1–10. [CrossRef]
- MORTH Fifth Revision; Ministry of Road Transport & Highways, Specifications for Road and Bridge Works, Indian Roads Congress: New Delhi, India, 2013.
- IS:2386-3; Methods of Test for Aggregates for Concrete, Part 3: Specific Gravity, Density, Voids, Absorption and Bulking. Bureau of Indian Standards: Delhi, India, 1997.
- Debbarma, S.; Ransinchung, G.D.R.N.; Dhaka, M. Effects of a Portland cement additive rich in SiO2 and Al2O3 in microstructure densification of RAP incorporated RCCP mixes. Constr. Build. Mater. 2020, 258, 119626. [Google Scholar] [CrossRef]
- IRC SP:100-2014; Use of Cold Mix Technology in Construction and Maintenance of Roads Using Bitumen Emulsion. Indian Roads Congress: New Delhi, India, 2014.
- Asphalt Cold Mix Manual. Asphalt Institute Manual Series (MS-14) Asphalt Cold Mix Manual; Asphalt Institute USA: Lexington, KY, USA, 1997. [Google Scholar]
- ASTM D2216; Test Methods for Laboratory Determination of Water (Moisture) Content of Soil and Rock by Mass. ASTM International: West Conshohocken, PA, USA, 1998; pp. 1–5. [CrossRef]
- ASTM D6925; Standard Test Method for Preparation and Determination of the Relative Density of Asphalt Mix Specimens by Means of the Superpave Gyratory Compactor 1. ASTM: West Conshohocken, PA, USA, 2024. [CrossRef]
- ASTM D6927; Standard Test Method for Marshall Stability and Flow of Asphalt Mixtures. American Society for Testing & Materials: West Conshohocken, PA, USA, 2015.
- ASTM D6931-17; Standard Test Method for Indirect Tensile (IDT) Strength of Bituminous Mixtures. American Society for Testing and Materials: West Conshohocken, PA, USA, 2011. [CrossRef]
- ASTM D7369-20; Standard Test Method for Determining the Resilient Modulus of Asphalt Mixtures by Indirect Tension Test 1. American Society for Testing and Materials: West Conshohocken, PA, USA, 2020. [CrossRef]
- ASTM D7064; Open-Graded Friction Course (OGFC) Asphalt Mixture Design. ASTM: West Conshohocken, PA, USA, 2021. [CrossRef]
- Filho, W.U.; Klinsky, L.M.G.; Motta, R.; Bernucci, L.L.B. Cold Recycled Asphalt Mixture using 100% RAP with Emulsified Asphalt-Recycling Agent as a New Pavement Base Course. Adv. Mater. Sci. Eng. 2020, 2020, 5863458. [Google Scholar] [CrossRef]
- Yadav, R.K. Prabhat Choudhary, Emulsified Cold Mix Design for Bituminous Macadam (BM). Int. J. Innov. Sci. Res. Technol. 2018, 3, 658–663. [Google Scholar]











| Mix | Emulsion Content (%), P | New Binder (%), Pnb | Initial Emulsion Content (%), IEC * | Optimum Emulsion Content (%) | Asphalt Residue (%) |
|---|---|---|---|---|---|
| Control Mix | 6.5 | - | 10.833 | 11 | 6.6 |
| 50R | 5.9 | 3.4 | 9.833 | 9 | 5.4 |
| Mix | Sum of Squares (SSs) | Mean Square (MS) | F | p-Value | F Critical |
|---|---|---|---|---|---|
| CM | 30.55503 | 3.305 | 3.0066 | 0.01932 | 2.3928 |
| 50R | 25,655.85 | 2850.64986 | 29.67199 | 1.17 × 10−9 | 2.392814 |
Disclaimer/Publisher’s Note: The statements, opinions and data contained in all publications are solely those of the individual author(s) and contributor(s) and not of MDPI and/or the editor(s). MDPI and/or the editor(s) disclaim responsibility for any injury to people or property resulting from any ideas, methods, instructions or products referred to in the content. |
© 2024 by the authors. Licensee MDPI, Basel, Switzerland. This article is an open access article distributed under the terms and conditions of the Creative Commons Attribution (CC BY) license (https://creativecommons.org/licenses/by/4.0/).
Share and Cite
Meena, P.; Rongmei Naga, G.R.; Kumar, P.; Monu, K. Effect of Binary Blended Fillers on the Durability Performance of Recycled Cold-Mix Asphalt. Sustainability 2024, 16, 4908. https://doi.org/10.3390/su16124908
Meena P, Rongmei Naga GR, Kumar P, Monu K. Effect of Binary Blended Fillers on the Durability Performance of Recycled Cold-Mix Asphalt. Sustainability. 2024; 16(12):4908. https://doi.org/10.3390/su16124908
Chicago/Turabian StyleMeena, Pinki, Gondaimei Ransinchung Rongmei Naga, Praveen Kumar, and Kumari Monu. 2024. "Effect of Binary Blended Fillers on the Durability Performance of Recycled Cold-Mix Asphalt" Sustainability 16, no. 12: 4908. https://doi.org/10.3390/su16124908
APA StyleMeena, P., Rongmei Naga, G. R., Kumar, P., & Monu, K. (2024). Effect of Binary Blended Fillers on the Durability Performance of Recycled Cold-Mix Asphalt. Sustainability, 16(12), 4908. https://doi.org/10.3390/su16124908

