Spatio-Temporal Evolution and Drivers of Carbon Emission Efficiency in China’s Iron and Steel Industry
Abstract
1. Introduction
2. Literature Review
2.1. Measurement of CEE
2.2. Influencing Factors of CEE
3. Model Construction and Variable Definition
3.1. Model Construction
3.1.1. Undesirable SBM Model
3.1.2. GML, EC, and TC Indices
3.2. Variable Definition and Data Sources
3.2.1. Carbon Emission Efficiency
3.2.2. Influencing Factors
3.3. Data Sources
4. Results and Analysis
4.1. Static and Dynamic Analysis


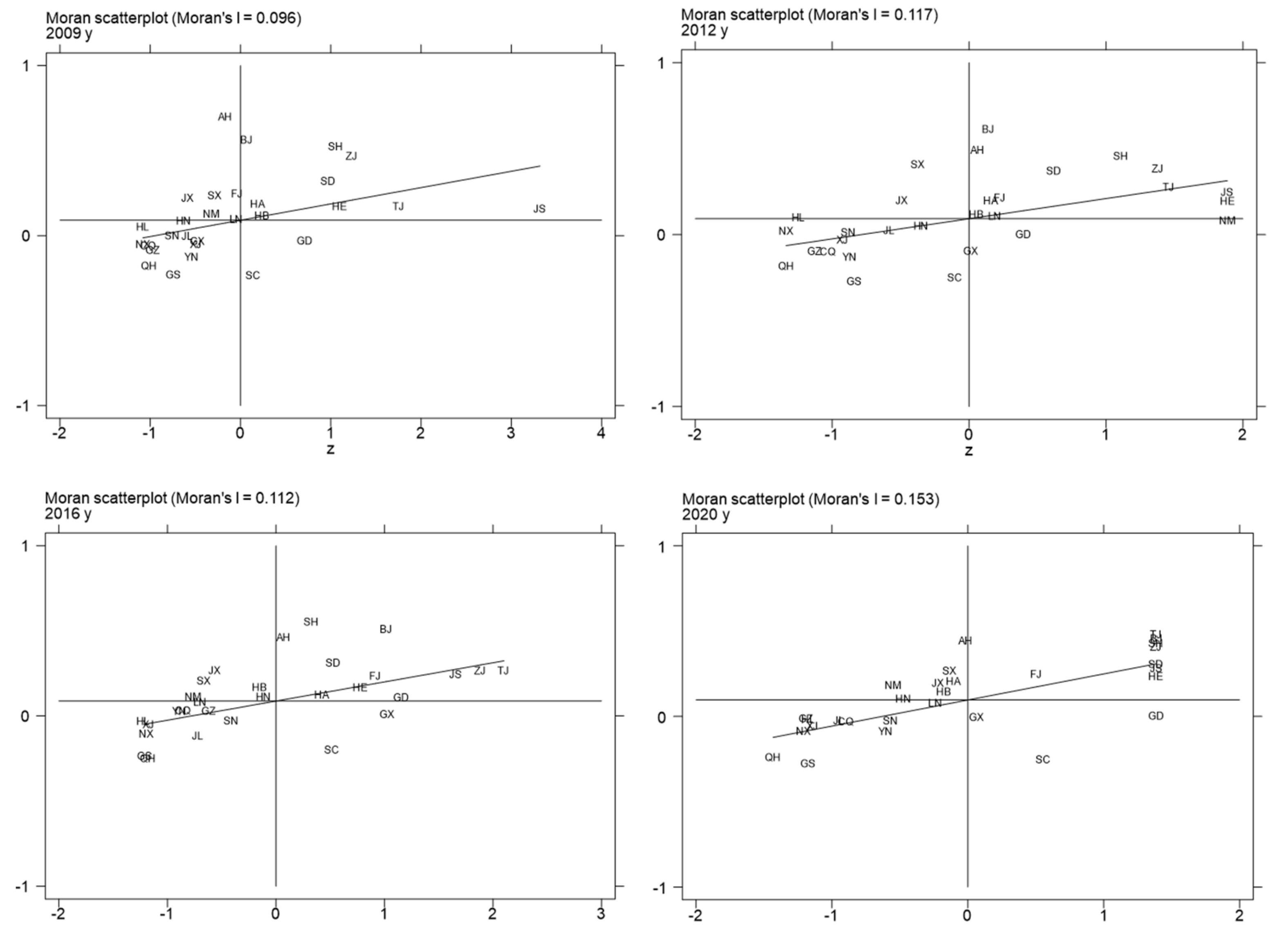
4.2. Spatial Heterogeneity Analysis

4.3. Static and Dynamic Analysis
5. Discussion
6. Conclusions and Recommendations
6.1. Conclusions
6.2. Policy Recommendations
6.3. Limitations and Prospects
Author Contributions
Funding
Institutional Review Board Statement
Informed Consent Statement
Data Availability Statement
Acknowledgments
Conflicts of Interest
References
- World Steel Association (WSA). Fact Sheet-Electrolysis in ironmaking. World Steel Association. 2022. Available online: https://worldsteel.org/wp-content/uploads/Fact-sheet-Electrolysis-in-ironmaking.pdf (accessed on 12 May 2023).
- Chen, W.; Zhang, Q.; Wang, C.; Li, Z.; Geng, Y.; Hong, J.; Cheng, Y. Environmental sustainability challenges of China’s steel production: Impact-oriented water, carbon and fossil energy footprints assessment. Ecol. Indic. 2022, 136, 108660. [Google Scholar] [CrossRef]
- Gao, C.-K.; Na, H.-M.; Song, K.; Tian, F.; Strawa, N.; Du, T. Technologies-based potential analysis on saving energy and water of China’s iron and steel industry. Sci. Total. Environ. 2020, 699, 134225. [Google Scholar] [CrossRef] [PubMed]
- Bailera, M.; Lisbona, P.; Peña, B.; Romeo, L.M. A review on CO2 mitigation in the Iron and Steel industry through Power to X processes. J. CO2 Util. 2021, 46, 101456. [Google Scholar] [CrossRef]
- Lin, B.; Wang, X. Exploring energy efficiency in China's iron and steel industry: A stochastic frontier approach. Energy Policy 2014, 72, 87–96. [Google Scholar] [CrossRef]
- Hasanbeigi, A.; Morrow, W.; Sathaye, J.; Masanet, E.; Xu, T. A bottom-up model to estimate the energy efficiency improvement and CO2 emission reduction potentials in the Chinese iron and steel industry. Energy 2013, 50, 315–325. [Google Scholar] [CrossRef]
- Huang, D.; Dinga, C.D.; Wen, Z.; Razmadze, D. Industrial-environmental management in China’s iron and steel industry under multiple objectives and uncertainties. J. Environ. Manag. 2022, 310, 114785. [Google Scholar] [CrossRef] [PubMed]
- State Council. Working Guidance for Emission Peaking and Carbon Neutrality. 2021. Available online: http://www.gov.cn/zhengce/2021-10/24/content_5644613.htm (accessed on 18 December 2021).
- He, K.; Wang, L. A review of energy use and energy-efficient technologies for the iron and steel industry. Renew. Sustain. Energy Rev. 2017, 70, 1022–1039. [Google Scholar] [CrossRef]
- Zhang, S.; Yi, B.; Guo, F.; Zhu, P. Exploring selected pathways to low and zero CO2 emissions in China’s iron and steel industry and their impacts on resources and energy. J. Clean. Prod. 2022, 340, 130813. [Google Scholar] [CrossRef]
- Zhu, T.; Liu, X.; Wang, X.; He, H. Technical development and prospect for collaborative reduction of pollution and carbon emissions from iron and steel industry in china. Engineering 2023, 31, 37–49. [Google Scholar] [CrossRef]
- Hasanbeigi, A.; Springer, C.; How Clean is the U.S. Steel Industry? 2019. Available online: https://www.globalefficiencyintel.com/us-steel-industry-benchmarking-energy-co2-intensities (accessed on 2 June 2022).
- Islam, Z. Analysis of China’s Environmental Regulations and Corresponding Differences for Green Steel Industry Development. J. Environ. Dev. 2023, 33, 243–267. [Google Scholar] [CrossRef]
- Zhang, D.; Karplus, V.J.; Cassisa, C.; Zhang, X. Emissions trading in China: Progress and prospects. Energy Policy 2014, 75, 9–16. [Google Scholar] [CrossRef]
- Wang, G.; Deng, X.; Wang, J.; Zhang, F.; Liang, S. Carbon emission efficiency in China: A spatial panel data analysis. China Econ. Rev. 2019, 56, 101313. [Google Scholar] [CrossRef]
- Xiao, Y.; Ma, D.; Zhang, F.; Zhao, N.; Wang, L.; Guo, Z.; Zhang, J.; An, B.; Xiao, Y. Spatiotemporal differentiation of carbon emission efficiency and influencing factors: From the perspective of 136 countries. Sci. Total. Environ. 2023, 879, 163032. [Google Scholar] [CrossRef] [PubMed]
- Li, R.; Wang, Q.; Liu, Y.; Jiang, R. Per-capita carbon emissions in 147 countries: The effect of economic, energy, social, and trade structural changes. Sustain. Prod. Consum. 2021, 27, 1149–1164. [Google Scholar] [CrossRef]
- Liu, B.; Guan, Y.; Shan, Y.; Cui, C.; Hubacek, K. Emission growth and drivers in mainland southeast asian countries. J. Environ. Manag. 2023, 329, 117034. [Google Scholar] [CrossRef]
- Lu, B.; Chen, G.; Chen, D.; Yu, W. An energy intensity optimization model for production system in iron and steel industry. Appl. Therm. Eng. 2016, 100, 285–295. [Google Scholar] [CrossRef]
- Sun, J.; Na, H.; Yan, T.; Qiu, Z.; Yuan, Y.; He, J.; Li, Y.; Wang, Y.; Du, T. A comprehensive assessment on material, exergy and emission networks for the integrated iron and steel industry. Energy 2021, 235, 121429. [Google Scholar] [CrossRef]
- Hu, X.; Si, T.; Liu, C. Total factor carbon emission performance measurement and development. J. Clean. Prod. 2017, 142, 2804–2815. [Google Scholar] [CrossRef]
- Sun, W.; Huang, C. How does urbanization affect carbon emission efficiency? Evidence from China. J. Clean. Prod. 2020, 272, 122828. [Google Scholar] [CrossRef]
- Zeng, L.; Lu, H.; Liu, Y.; Zhou, Y.; Hu, H. Analysis of regional differences and influencing factors on china’s carbon emission efficiency in 2005–2015. Energies 2019, 12, 3081. [Google Scholar] [CrossRef]
- Wu, R.; Lin, B. Environmental regulation and its influence on energy-environmental performance: Evidence on the Porter Hypothesis from China’s iron and steel industry. Resour. Conserv. Recycl. 2022, 176, 105954. [Google Scholar] [CrossRef]
- Feng, C.; Wang, M.; Zhang, Y.; Liu, G.-C. Decomposition of energy efficiency and energy-saving potential in China: A three-hierarchy meta-frontier approach. J. Clean. Prod. 2018, 176, 1054–1064. [Google Scholar] [CrossRef]
- Wang, X.; Wang, S. Impact of carbon trading policy on CEE of China’s ISI. Sci. Tech. Manag. Res. 2022, 1, 171–176. [Google Scholar] [CrossRef]
- Arens, M.; Worrell, E.; Schleich, J. Energy intensity development of the German iron and steel industry between 1991 and 2007. Energy 2012, 45, 786–797. [Google Scholar] [CrossRef]
- Hasanbeigi, A.; Price, L.; Chunxia, Z.; Aden, N.; Xiuping, L.; Fangqin, S. Comparison of iron and steel production energy use and energy intensity in China and the U.S. J. Clean. Prod. 2014, 65, 108–119. [Google Scholar] [CrossRef]
- Morfeldt, J.; Silveira, S. Capturing energy efficiency in European iron and steel production—Comparing specific energy consumption and Malmquist productivity index. Energy Effic. 2014, 7, 955–972. [Google Scholar] [CrossRef]
- Rojas-Cardenas, J.C.; Hasanbeigi, A.; Sheinbaum-Pardo, C.; Price, L. Energy efficiency in the Mexican iron and steel industry from an international perspective. J. Clean. Prod. 2017, 158, 335–348. [Google Scholar] [CrossRef]
- Talaei, A.; Ahiduzzaman; Davis, M.; Gemechu, E.; Kumar, A. Potential for energy efficiency improvement and greenhouse gas mitigation in Canada’s iron and steel industry. Energy Effic. 2020, 13, 1213–1243. [Google Scholar] [CrossRef]
- Li, Z.; Hanaoka, T. Plant-level mitigation strategies could enable carbon neutrality by 2060 and reduce non-CO2 emissions in China’s iron and steel sector. One Earth 2022, 5, 932–943. [Google Scholar] [CrossRef]
- Yu, X.; Tan, C. China’s pathway to carbon neutrality for the iron and steel industry. Glob. Environ. Chang. 2022, 76, 102574. [Google Scholar] [CrossRef]
- Huang, J.-B.; Zou, H.; Song, Y. Biased technical change and its influencing factors of iron and steel industry: Evidence from provincial panel data in China. J. Clean. Prod. 2021, 283, 124558. [Google Scholar] [CrossRef]
- Li, X. The Road Map of China’s Steel Industry; Springer Science and Business Media LLC: Berlin/Heidelberg, Germany, 2020. [Google Scholar] [CrossRef]
- Tone, K.; Sahoo, B.K. Scale, indivisibilities and production function in data envelopment analysis. Int. J. Prod. Econ. 2003, 84, 165–192. [Google Scholar] [CrossRef]
- Oh, D.H. A global Malmquist-Luenberger productivity index-an application to OECD countries 1990–2004. J. Prod. Anal. 2010, 34, 183–197. Available online: http://swopec.hhs.se/cesisp/abs/cesisp0164.htm (accessed on 28 April 2024). [CrossRef]
- Ding, L.; Yang, Y.; Wang, W.; Calin, A.C. Regional carbon emission efficiency and its dynamic evolution in China: A novel cross efficiency-malmquist productivity index. J. Clean. Prod. 2019, 241, 118260. [Google Scholar] [CrossRef]
- Grossman, G.M.; Krueger, A.B. Economic growth and the environment. Q. J. Econ. 1995, 110, 353–377. [Google Scholar] [CrossRef]
- Danson, M.W. The industrial structure and labour market segmentation: Urban and regional implications. Reg. Stud. 1982, 16, 255–265. [Google Scholar] [CrossRef]
- Schlicht, E. Directed technical change and capital deepening: A reconsideration of kaldor’s technical progress function. Metroeconomica 2016, 67, 119–151. [Google Scholar] [CrossRef]
- Feng, C.; Wang, M. Journey for green development transformation of China’s metal industry: A spatial econometric analysis. J. Clean. Prod. 2019, 225, 1105–1117. [Google Scholar] [CrossRef]
- Wang, C.; Jiayu, C. Analyzing on the impact mechanism of foreign direct investment(fdi) to energy consumption. Energy Procedia 2019, 159, 515–520. [Google Scholar] [CrossRef]
- Li, H.-L.; Zhu, X.-H.; Chen, J.-Y.; Jiang, F.-T. Environmental regulations, environmental governance efficiency and the green transformation of China’s iron and steel enterprises. Ecol. Econ. 2019, 165, 106397. [Google Scholar] [CrossRef]
- Zhang, N. Regional Differences in CEE and Influencing Factors in China’s ISI; North China University of Electric Power: Beijing, China, 2021. [Google Scholar] [CrossRef]
- Xu, B.; Lin, B. Assessing CO2 emissions in China’s iron and steel industry: A nonparametric additive regression approach. Renew. Sustain. Energy Rev. 2017, 72, 325–337. [Google Scholar] [CrossRef]
- Yang, Y.; Chen, W.; Gu, R. How does digital infrastructure affect industrial eco-efficiency? Considering the threshold effect of regional collaborative innovation. J. Clean. Prod. 2023, 427, 139248. [Google Scholar] [CrossRef]
- Moran, P.A.P. Notes on continuous stochastic phenomena. Biometrika 1950, 37, 17–23. [Google Scholar] [CrossRef] [PubMed]
- Gu, R.; Li, C.; Yang, Y.; Zhang, J. The impact of industrial digital transformation on green development efficiency considering the threshold effect of regional collaborative innovation: Evidence from the Beijing-Tianjin-Hebei urban agglomeration in China. J. Clean. Prod. 2023, 420, 138345. [Google Scholar] [CrossRef]
- Peng, B. Can China’s pollution-fighting efforts Be a model for other developing countries? East Asian Policy 2017, 9, 96–103. [Google Scholar] [CrossRef]
- Rey, S.J.; Janikas, M.V. STARS: Space–Time Analysis of Regional Systems. Geogr. Anal. 2006, 38, 67–86. [Google Scholar] [CrossRef]
- Dagum, C. The generation and distribution of income, the Lorenz curve and the Gini ratio. Économie appliquée 1980, 33, 327–367. Available online: https://www.persee.fr/doc/ecoap_0013-0494_1980_num_33_2_4290 (accessed on 28 April 2024). [CrossRef]
- Tobin, J. The Application of Multivariate Probit Analysis to Economic Survey Data. Cowles Found. Discuss. Pap. 1955, 218, 22. Available online: https://elischolar.library.yale.edu/cowles-discussion-paper-series/218 (accessed on 28 April 2024).
- Peng, J.; Xie, R.; Lai, M. Energy-related CO2 emissions in the China’s iron and steel industry: A global supply chain analysis. Resour. Conserv. Recycl. 2018, 129, 392–401. [Google Scholar] [CrossRef]
- Lin, B.; Wu, R. Designing energy policy based on dynamic change in energy and carbon dioxide emission performance of China’s iron and steel industry. J. Clean. Prod. 2020, 256, 120412. [Google Scholar] [CrossRef]
- Chen, X.; Chen, Y.; Huang, W.; Zhang, X. A new Malmquist-type green total factor productivity measure: An application to China. Energy Econ. 2022, 117, 106408. [Google Scholar] [CrossRef]
- Niu, H.; Zhang, Z.; Xiao, Y.; Luo, M.; Chen, Y. A study of carbon emission efficiency in chinese provinces based on a three-stage sbm-undesirable model and an LSTM model. Int. J. Environ. Res. Public Health 2022, 19, 5395. [Google Scholar] [CrossRef] [PubMed]
- Wang, Y.; Wen, Z.; Lv, X.; Tao, Y.; Zhu, J. The spatial heterogeneity of synergy and trade-off linkages between carbon and air pollutant mitigations in China’s steel industry. J. Clean. Prod. 2023, 418, 138166. [Google Scholar] [CrossRef]
- Yang, P.; Peng, S.; Benani, N.; Dong, L.; Li, X.; Liu, R.; Mao, G. An integrated evaluation on China’s provincial carbon peak and carbon neutrality. J. Clean. Prod. 2022, 377, 134497. [Google Scholar] [CrossRef]
- Benjamin, N.; Lin, B. Quantile analysis of carbon emissions in China metallurgy industry. J. Clean. Prod. 2020, 243, 118534. [Google Scholar] [CrossRef]




| Theme | Research Method | Authors and Year | Literature |
|---|---|---|---|
| Measurement of ISI’s CEE | SBM model | Wu and Lin (2022) [24] | Environmental regulation and its influence on energy environmental performance: evidence on the Porter Hypothesis from China’s iron and steel industry. |
| Feng et al. (2018) [25] | Decomposition of energy efficiency and energy-saving potential in China: A three-hierarchy meta-frontier approach. | ||
| Zeng et al. (2019) [23] | Analysis of regional differences and influencing factors on China’s carbon emission efficiency in 2005–2015. | ||
| Influencing factors of ISI’s CEE | Panal data analysis | Huang et al. (2021) [34] | Biased technical change and its influencing factors of iron and steel industry: Evidence from provincial panel data in China. |
| Spatial- temporal analysis | Dagum Gini coefficient | Li (2020) [35] | The Road Map of China’s Steel Industry. |
| Input-Output Factors | Meaning | Unit |
|---|---|---|
| Input | Total fixed asset | CNY 100 million |
| Year-end Employees | 10,000 people | |
| Total energy consumption | 10,000 tons of standard coal | |
| Desired output | Total ISI output | CNY 100 million |
| Undesired output | Carbon emissions | 10,000 tons |
| Indicators | Definitions | Unit |
|---|---|---|
| Industrial structure (INS) | Proportion of the total output value of the ISI of the province’s total GDP. | % |
| Endowment structure (ES) | The total fixed assets multiplied by the number of employees in the ISI | 10,000 CNY/ISI employee |
| Enterprise Scale (SC) | The ratio of the total output value to the number of enterprise units in the ISI | 10,000 million CNY/ISI enterprise |
| Foreign direct investment (FDI) | Foreign direct investment per capita in each province | 10,000 CNY/person |
| Energy intensity (EI) | The energy consumption per unit of gross output of the ISI | tons standard coal/CNY |
| Environmental regulation (ER) | The ratio of the expenditures on the treatment of exhaust gases to the ISI’s GDP | % |
| Product structure (PS) | Ratio of the crude iron and steel to the iron and steel products | % |
| Technology level (TEC) | The internal expenditures on R&D by each province as a proportion of its GDP | % |
| Variable | Maximum | Minimum | Average | STD |
|---|---|---|---|---|
| CEE | 1.000 | 0.018 | 0.394 | 0.293 |
| INS | 0.671 | 0.006 | 0.120 | 0.111 |
| ES | 416.090 | 13.105 | 73.366 | 43.952 |
| SC | 39.349 | 0.971 | 6.922 | 5.876 |
| FDI | 7906.430 | 2.720 | 490.173 | 1063.531 |
| EI | 17.571 | 0.045 | 1.852 | 2.108 |
| ER | 0.178 | 0.001 | 0.016 | 0.020 |
| PS | 1.379 | 0.007 | 0.788 | 0.249 |
| TEC | 0.064 | 0.005 | 0.017 | 0.011 |
| 2009 | 2010 | 2011 | 2012 | 2013 | 2014 | 2015 | 2016 | 2017 | 2018 | 2019 | 2020 | |
|---|---|---|---|---|---|---|---|---|---|---|---|---|
| I | 0.096 | 0.132 | 0.173 | 0.117 | 0.139 | 0.148 | 0.077 | 0.113 | 0.142 | 0.148 | 0.133 | 0.153 |
| p | 0.002 | 0.001 | 0.001 | 0.001 | 0.001 | 0.001 | 0.018 | 0.001 | 0.001 | 0.001 | 0.001 | 0.001 |
| Items | Coefficient of Regression |
|---|---|
| Intercept | 0.0707 |
| (0.76) | |
| INS | 0.6711 *** |
| (7.46) | |
| lnES | −0.0169 |
| (−0.79) | |
| lnSC | 0.1203 *** |
| (5.76) | |
| lnFDI | 0.0572 *** |
| (5.90) | |
| lnEI | −0.0178 ** |
| (−2.10) | |
| ER | −1.4673 * |
| (−1.87) | |
| PS | −0.2452 *** |
| (−4.10) | |
| TEC | 3.5191 ** |
| (2.05) |
Disclaimer/Publisher’s Note: The statements, opinions and data contained in all publications are solely those of the individual author(s) and contributor(s) and not of MDPI and/or the editor(s). MDPI and/or the editor(s) disclaim responsibility for any injury to people or property resulting from any ideas, methods, instructions or products referred to in the content. |
© 2024 by the authors. Licensee MDPI, Basel, Switzerland. This article is an open access article distributed under the terms and conditions of the Creative Commons Attribution (CC BY) license (https://creativecommons.org/licenses/by/4.0/).
Share and Cite
Xu, R.; Yang, F.; Wu, S.; Xue, Q. Spatio-Temporal Evolution and Drivers of Carbon Emission Efficiency in China’s Iron and Steel Industry. Sustainability 2024, 16, 4902. https://doi.org/10.3390/su16124902
Xu R, Yang F, Wu S, Xue Q. Spatio-Temporal Evolution and Drivers of Carbon Emission Efficiency in China’s Iron and Steel Industry. Sustainability. 2024; 16(12):4902. https://doi.org/10.3390/su16124902
Chicago/Turabian StyleXu, Rongbang, Fujie Yang, Sanmang Wu, and Qinwen Xue. 2024. "Spatio-Temporal Evolution and Drivers of Carbon Emission Efficiency in China’s Iron and Steel Industry" Sustainability 16, no. 12: 4902. https://doi.org/10.3390/su16124902
APA StyleXu, R., Yang, F., Wu, S., & Xue, Q. (2024). Spatio-Temporal Evolution and Drivers of Carbon Emission Efficiency in China’s Iron and Steel Industry. Sustainability, 16(12), 4902. https://doi.org/10.3390/su16124902
