Solidification Mechanism of Bayer Red Mud under the Action of Calcium Hydroxide
Abstract
1. Introduction
2. Materials and Methods
2.1. Materials
2.2. Mix Proportions
2.3. Methods
2.3.1. Unconfined Compressive Strength
2.3.2. XRD
2.3.3. FTIR
2.3.4. TG-DTG
2.3.5. SEM-EDS
3. Results and Discussion
3.1. Unconfined Compressive Strength
3.2. XRD
3.2.1. Reaction of RM Activated Substances
- (1)
- Hydroxysodalite
- (2)
- Faujasite-Na
3.2.2. 7d RMCH Solidification Products
- (1)
- Hemicarboaluminate and monocarboaluminate
- (2)
- C-(A)-S-H
- (3)
- Calcite
3.2.3. Different Age of RMCH Curing Products
3.3. FTIR
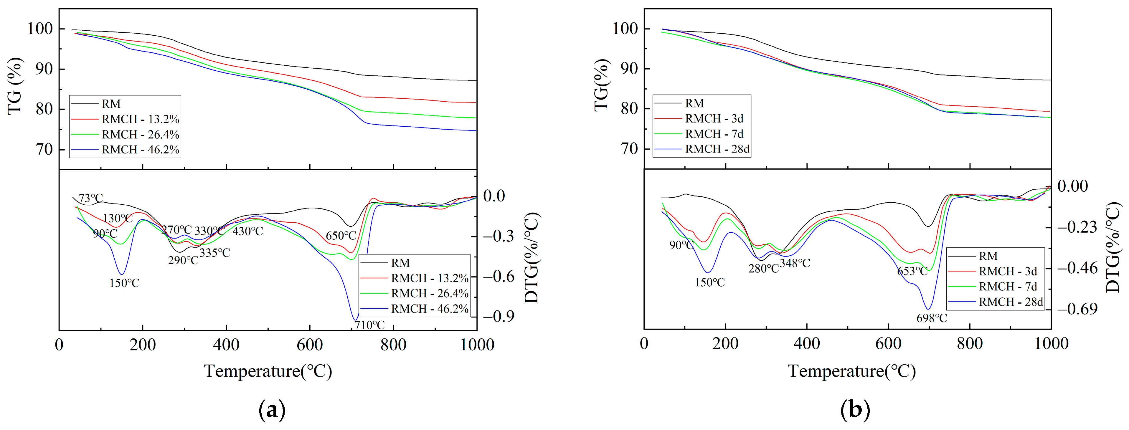
3.4. TG-DTG
3.5. SEM-EDS
4. Conclusions
- With the increasing dosage of CH, the unconfined compressive strength of RMCH gradually increased. At the ages of 3d and 7d, when the CH dosage was 26.4%, the unconfined compressive strength of RMCH reached a relatively stable plateau. Further, increasing the CH dosage did not significantly increase the unconfined compressive strength of RMCH. At the age of 28 days, with every 6.6% increase in CH dosage, the unconfined compressive strength of RMCH continued to increase, with the smallest increase exceeding 14%.
- When the CH dosage is low, RMCH has basically completed all solidification reactions at 3d, and the Ca2+ in the system is depleted. This is manifested as a small change in unconfined compressive strength from 3d-7d-28d, and even a decrease in unconfined compressive strength with increasing age. The CH dosage of 26.4% is the turning point for the increase in the unconfined compressive strength of RMCH.
- In the presence of CH, hydroxysodalite and faujasite-Na decompose to produce C-S-H, Al(OH)4−, and Na+. These ions will then react further to form hemicarboaluminate, monocarboaluminate, and C-(A)-S-H, which greatly contributes to the strength of RM solidification. With the increase in curing age, hemicarboaluminate in RMCH gradually transforms into monocarboaluminate, and monocarboaluminate decomposes into amorphous calcium aluminate and calcite. To avoid insufficient research, the changes in the pore structure of solidified red mud can be studied using techniques such as low-field nuclear magnetic resonance.
Author Contributions
Funding
Institutional Review Board Statement
Informed Consent Statement
Data Availability Statement
Conflicts of Interest
References
- Liu, W.C.; Chen, X.Q.; Li, W.X.; Yu, Y.F.; Yan, K. Environmental assessment, management and utilization of red mud in China. J. Clean. Prod. 2014, 84, 606–610. [Google Scholar] [CrossRef]
- Wang, X.; Jing, H.; Zhang, M.; Li, J.; Ma, Y.; Yan, L. Analysis of Alkali in Bayer Red Mud: Content and Occurrence State in Different Structures. Sustainability 2023, 15, 12686. [Google Scholar] [CrossRef]
- Liu, Y.J.; Naidu, R.; Ming, H. Red mud as an amendment for pollutants in solid and liquid phases. Geoderma 2011, 163, 1–12. [Google Scholar] [CrossRef]
- Gundy, S.; Farkas, G.; Székely, G.; Kásler, M. No short-term cytogenetic consequences of Hungarian red mud catastrophe. Mutagenesis 2013, 28, 1–5. [Google Scholar] [CrossRef] [PubMed]
- Ding, Y.; Ye, X.W.; Su, Y.H.; Zheng, X.L. A framework of cable wire failure mode deduction based on Bayesian network. Structures 2023, 57, 104996. [Google Scholar] [CrossRef]
- Ding, Y.; Ye, X.W.; Guo, Y. Copula-based JPDF of wind speed, wind direction, wind angle, and temperature with SHM data. Probabilist. Eng. Mech. 2023, 73, 103483. [Google Scholar] [CrossRef]
- Feng, Y.B.; Yang, C. Analysis on physical and mechanical properties of red mud materials and stockpile stability after dilatation. Adv. Mater. Sci. Eng. 2018, 2018, 8784232. [Google Scholar] [CrossRef]
- Ortega, J.M.; Cabeza, M.; Tenza-Abril, A.J.; Real-Herraiz, T.; Climent, M.Á.; Sánchez, I. Effects of red mud addition in the microstructure, durability and mechanical performance of cement mortars. Appl. Sci. 2019, 9, 984. [Google Scholar] [CrossRef]
- Cheng, X.W.; Yang, X.Z.; Zhang, C.; Gao, X.S.; Yu, Y.J.; Mei, K.Y.; Guo, X.Y.; Zhang, C.M. Effect of red mud addition on oil well cement at high temperatures. Adv. Cem. Res. 2019, 33, 28–38. [Google Scholar] [CrossRef]
- Li, W.Y.; Zhang, Z.Y.; Zhou, J.B. Preparation of building materials from Bayer red mud with magnesium cement. Constr. Build. Mater. 2022, 323, 126507. [Google Scholar] [CrossRef]
- Ma, H.Y.; Xu, B.W.; Liu, J.; Pei, H.F.; Li, Z.J. Effects of water content, magnesia-to-phosphate molar ratio and age on pore structure, strength and permeability of magnesium potassium phosphate cement paste. Mater. Design 2014, 64, 497–502. [Google Scholar] [CrossRef]
- Mukiza, E.; Zhang, L.L.; Liu, X.M.; Zhang, N. Utilization of red mud in road base and subgrade materials: A review. Resour. Conserv. Recycl. 2019, 141, 187–199. [Google Scholar] [CrossRef]
- Zhang, J.Z.; Yao, Z.Y.; Wang, K.; Wang, F.; Jiang, H.G.; Liang, M.; Wei, J.C.; Airey, G. Sustainable utilization of bauxite residue (Red Mud) as a road material in pavements: A critical review. Constr. Build. Mater. 2021, 270, 121419. [Google Scholar] [CrossRef]
- Sushil, S.; Batra, V.S. Modification of red mud by acid treatment and its application for CO removal. J. Hazard. Mater. 2012, 203–204, 264–273. [Google Scholar] [CrossRef]
- Lyu, F.; Niu, S.L.; Wang, L.; Liu, R.Q.; Sun, W.; He, D.D. Efficient removal of Pb(II) ions from aqueous solution by modified red mud. J. Hazard. Mater. 2021, 406, 124678. [Google Scholar] [CrossRef]
- Wahyudi, A.; Kurniawan, W.; Hinode, H. Utilization of modified red mud as a heterogeneous base catalyst for transesterification of canola oil. J. Chem. Eng. Jpn. 2017, 50, 561–567. [Google Scholar] [CrossRef]
- Gräfe, M.; Power, G.; Klauber, C. Bauxite residue issues: III. Alkalinity and associated chemistry. Hydrometallurgy 2011, 108, 60–79. [Google Scholar] [CrossRef]
- Lu, G.Z.; Zhang, T.A.; Zheng, C.Z.; Zhu, X.F.; Zhang, W.G.; Wang, Y.X. The influence of the silicon saturation coefficient on a calcification-carbonation method for clean and efficient use of bauxite. Hydrometallurgy 2017, 174, 97–104. [Google Scholar] [CrossRef]
- Yang, W.Z.; Ma, W.H.; Li, P.F.; Liu, Z.W.; Yan, H.W. Alkali recovery of bauxite residue by calcification. Minerals 2022, 12, 636. [Google Scholar] [CrossRef]
- Liu, G.T.; Liu, Y.; Zhang, T.A. Approaches to improve alumina extraction based on the phase transformation mechanism of recovering alkali and extracting alumina by the calcification-carbonization method. Hydrometallurgy 2019, 189, 105123. [Google Scholar] [CrossRef]
- Chen, Y.; Zhang, T.A.; Lv, G.Z.; Chao, X.; Yang, X.W. Research on the dealkalization treatment of bauxite residue and deep extraction of alumina. Bull. Environ. Contam. Toxicol. 2022, 109, 180–185. [Google Scholar] [CrossRef] [PubMed]
- Cheng, L.W.; Wang, Y.l.; Wang, B.; Qi, T.G.; Liu, G.H.; Zhou, Q.S.; Peng, Z.H.; Li, X.B. Phase transformation of desilication products in red mud dealkalization process. J. Sustain. Metall. 2022, 8, 541–550. [Google Scholar] [CrossRef]
- Liu, B.; Sun, H.J.; Peng, T.J.; He, Q. One-step synthesis of hydroxysodalite using natural bentonite at moderate temperatures. Minerals 2018, 8, 521. [Google Scholar] [CrossRef]
- Andrades, R.C.; Neves, R.F.; Diaz, F.R.V.; Júnior, A.H.M. Influence of alkalinity on the synthesis of zeolite a and hydroxysodalite from metakaolin. J. Nano Res. 2020, 61, 51–60. [Google Scholar] [CrossRef]
- Lu, G.Z.; Zhang, T.A.; Cheng, C.; Zhang, W.G.; Wang, L.; Wang, Y.X.; Zhang, Z.M. Zeolite a preparation from high alumina fly ash of china using alkali fusion and hydrothermal synthesis method. Mater. Res. Express 2019, 6, 065049. [Google Scholar] [CrossRef]
- Gross, M.; Soulard, M.; Caullet, P.; Patarin, J.; Saude, I. Synthesis of faujasite from coal fly ashes under smooth temperature and pressure conditions: A cost saving process. Micropor. Mesopor. Mat. 2007, 104, 67–76. [Google Scholar] [CrossRef]
- JGJ/T70-2009; Standard Test Method for Basic Performance of Building Mortars. Ministry of Housing and Urban-Rural Development: Beijing, China, 2009.
- Wang, X.; Fan, Y.F.; Ni, W.; Fu, P.F. Stimulating CO2 sequestration of aluminum-rich refining slag (ARS): A proposed method of preventing katoite formation using desulfuration gypsum. J. Build. Eng. 2023, 63, 105470. [Google Scholar] [CrossRef]
- Wu, Y.J.; Deng, D.D.; Jiang, J.; Li, F.; Zeng, J.Q.; Guo, X.Y.; Zhu, F.; Jiang, Y.F.; Xue, S.G. Ca-driven stable regulatory of alkalinity within desilication products: Experimental, modeling, transformation mechanism and DFT study. Sci. Total Environ. 2023, 868, 161708. [Google Scholar] [CrossRef]
- Whittington, B.I.; Fletcher, B.L.; Talbot, C. The effect of reaction conditions on the composition of desilication product DSP formed under simulated Bayer conditions. Hydrometallurgy 1998, 49, 1–22. [Google Scholar] [CrossRef]
- Abramorv, B.Я.; Nicholaev, И.B.; Stelimakova, Г.Д. Alkali Method Comprehensive Treatment of Physical and Chemical Principles of Aluminum-Containing Raw Materials, 1st ed.; Central South University of Technology Press: Changsha, China, 1988; pp. 90−91, 113, 135−136. [Google Scholar]
- Walkley, B.; Nicolas, R.S.; Sani, M.; Bernal, S.A.; van Deventer, J.S.J.; Provis, J.L. Structural evolution of synthetic alkali-activated CaO-MgO-Na2O-Al2O3-SiO2 materials is influenced by Mg content. Cem. Concr. Res. 2017, 99, 155–171. [Google Scholar] [CrossRef]
- Li, R.B.; Zhang, T.A.; Liu, Y.; Lv, G.Z.; Xie, L.Q. Calcification–carbonation method for red mud processing. J. Hazard. Mater. 2016, 316, 94–101. [Google Scholar] [CrossRef] [PubMed]
- Photong, C.; Pragot, W. Effect of adding monohydrocalcite on the microstructural change in cement hydration. ACS Omega 2022, 7, 36318–36329. [Google Scholar] [CrossRef] [PubMed]
- Xiao, J.; Ma, B.G.; Dong, R.S.; Chen, J.Q. Hydration properties of C3A-CaCO3-H2O system. Bull. Chin. Ceram. Soc. 2013, 32, 346–351. [Google Scholar]
- Ipavec, A.; Gabrovsek, R.; Vuk, T.; Kaucic, V.; Macek, J.; Meden, A. Carboaluminate phases formation during the hydration of calcite-containing portland cement. J. Am. Ceram. Soc. 2011, 94, 1238–1242. [Google Scholar] [CrossRef]
- Buchwald, A.; Hilbig, H.; Kaps, C. Alkali-activated metakaolin-slag blends—Performance and structure in dependence of their composition. J. Mater. Sci. 2007, 42, 3024–3032. [Google Scholar] [CrossRef]
- Kamruzzaman, A.H.M.; Chew, S.H.; Lee, F.H. Structuration and destructuration behavior of cement-treated singapore marine clay. J. Geotech. Geoenviron. Eng. 2009, 135, 573–589. [Google Scholar] [CrossRef]
- Yi, Y.L.; Zheng, X.; Liu, S.Y.; Al-Tabbaa, A. Comparison of reactive magnesia- and carbide slag-activated ground granulated blastfurnace slag and Portland cement for stabilisation of a natural soil. Appl. Clay Sci. 2015, 111, 21–26. [Google Scholar] [CrossRef]
- Chen, R.; Cai, G.; Dong, X.; Mi, D.; Puppala, A.J.; Duan, W. Mechanical properties and micro-mechanism of loess roadbed filling using by-product red mud as a partial alternative. Constr. Build. Mater. 2019, 216, 188–201. [Google Scholar] [CrossRef]
- Chang, J.; Xiong, C. Accelerated carbonation mechanism of monocarboaluminate under alkaline environment. J. Dalian Univ. Technol. 2019, 59, 536–542. [Google Scholar]
- Sha, L.; Zou, Z.M.; Qu, J.; Li, X.F.; Huang, Y.Y.; Wu, C.J.; Xu, Z.G. As(III) removal from aqueous solution by katoite (Ca3Al2(OH)12). Chemosphere 2020, 260, 127555. [Google Scholar] [CrossRef]
- Alex, T.C.; Kumar, R.; Roy, S.K.; Mehrotra, S.P. Mechanically induced reactivity of gibbsite: Part 2. Attrition milling. Powder Technol. 2014, 264, 229–235. [Google Scholar] [CrossRef]
- Castaldi, P.; Silvetti, M.; Garau, G.; Deiana, S. Influence of the pH on the accumulation of phosphate by red mud (a bauxite ore processing waste). J. Hazard. Mater. 2010, 182, 266–272. [Google Scholar] [CrossRef]
- Zhang, W.; Gu, J.; Zhou, X.; Li, Y.; Wang, Y.; Xue, Y.; Liu, X. Circulating fluidized bed fly ash based multi-solid wastes road base materials: Hydration characteristics and utilization of SO3 and f-CaO. J. Clean. Prod. 2021, 316, 128355. [Google Scholar] [CrossRef]
- Liu, Z.B.; Li, H.X.; Huang, M.M.; Jia, D.M.; Zhang, N. Effects of cooling method on removal of sodium from active roasting red mud based on water leaching. Hydrometallurgy 2017, 167, 92–100. [Google Scholar] [CrossRef]
- Kurdakova, S.V.; Grishchenko, R.O.; Druzhinina, A.I.; Ogorodova, L.P. Thermodynamic properties of synthetic calcium-free carbonate cancrinite. Phys. Chem. Miner. 2014, 41, 75–83. [Google Scholar] [CrossRef]
- Sirbescu, M.; Jenkins, D.M. Experiments on the stability of cancrinite in the system Na2O-CaO-Al2O3-SiO2-CO2-H2O. Am. Mineral. 1999, 84, 1850–1860. [Google Scholar] [CrossRef]
- Eisinas, A.; Dambrauskas, T.; Baltakys, K.; Ruginyte, K. The peculiarities of mayenite formation from synthetic katoite and calcium monocarboaluminate samples in temperature range 25–1150 °C. J. Therm. Anal. Calorim. 2019, 138, 2275–2282. [Google Scholar] [CrossRef]
- Kucharczyk, S.; Sitarz, M.; Zajac, M.; Deja, J. The effect of CaO/SiO2 molar ratio of CaO-Al2O3-SiO2 glasses on their structure and reactivity in alkali activated system. Spectrochim. Acta Part A Mol. Biomol. Spectrosc. 2018, 194, 163–171. [Google Scholar] [CrossRef]
- Ryu, G.S.; Lee, Y.B.; Koh, K.T.; Chung, Y.S. The mechanical properties of fly ash-based geopolymer concrete with alkaline activators. Constr. Build. Mater. 2013, 47, 409–418. [Google Scholar] [CrossRef]
- Zhang, N.; Liu, X.; Sun, H.; Li, L. Pozzolanic behaviour of compound-activated red mud-coal gangue mixture. Cem. Concr. Res. 2011, 41, 270–278. [Google Scholar] [CrossRef]
- Veerasingam, S.; Venkatachalapathy, R. Estimation of carbonate concentration and characterization of marine sediments by Fourier Transform Infrared Spectroscopy. Infrared. Phys. Techn. 2014, 66, 136–140. [Google Scholar] [CrossRef]
- Ni, F.; He, J.S.; Wang, Y.B.; Luan, Z.K. Preparation and characterization of a cost-effective red mud/polyaluminum chloride composite coagulant for enhanced phosphate removal from aqueous solutions. J. Water Process Eng. 2015, 6, 158–165. [Google Scholar] [CrossRef]
- Zhu, X.B.; Li, W.; Guan, X.M. An active dealkalization of red mud with roasting and water leaching. J. Hazard. Mater. 2015, 286, 85–91. [Google Scholar] [CrossRef] [PubMed]
- Lin, M.; Chen, G.; Chen, Y.H.; Han, D.D.; Xu, J. Hydrothermal solidification of alkali-activated clay-slaked lime mixtures. Constr. Build. Mater. 2022, 325, 126660. [Google Scholar] [CrossRef]
- Lapeyre, J.; Ponduru, S.A.; Okoronkwo, M.; Ma, H.Y.; Kumar, A. Hydration of high-alumina calcium aluminate cements with carbonate and sulfate additives. J. Therm. Anal. Calorim. 2022, 147, 5575–5587. [Google Scholar] [CrossRef]
- Castaldi, P.; Silvetti, M.; Enzo, S.; Deiana, S. X-ray diffraction and thermal analysis of bauxite ore-processing waste (red mud) exchanged with arsenate and phosphate. Clays Clay Miner. 2011, 59, 189–199. [Google Scholar] [CrossRef]
- Zhang, W.S.; Zhang, J.T.; Ye, J.Y.; Ren, X.H.; Liu, L.; Shen, W.G. Hydration kinetics and microstructure development of normal and NaAlO2-activated Al-doped β-C2S pastes. J. Am. Ceram. Soc. 2022, 105, 2221–2233. [Google Scholar] [CrossRef]
- Chang, J.; Xiong, C.; Zhang, Y.Y.; Wang, D. Foaming characteristics and microstructure of aerated steel slag block prepared by accelerated carbonation. Constr. Build. Mater. 2019, 209, 222–233. [Google Scholar] [CrossRef]













| Material | SiO2 | Al2O3 | CaO | TFe2O3 | Na2O | TiO2 | MgO | K2O | SO3 | Others |
|---|---|---|---|---|---|---|---|---|---|---|
| RM | 21.35 | 22.81 | 16.94 | 12.66 | 9.50 | 5.12 | 0.60 | 0.65 | 0.63 | 9.68 |
| No. | 1 | 2 | 3 | 4 | 5 | 6 | 7 |
|---|---|---|---|---|---|---|---|
| RM/g | 100 | 100 | 100 | 100 | 100 | 100 | 100 |
| CH/g | 6.60 | 13.2 | 19.8 | 26.4 | 33.0 | 39.6 | 46.2 |
| Water/% | 85.28 | 90.56 | 95.84 | 101.12 | 106.40 | 111.68 | 116.96 |
| Formula | Ca K | Al K | Si K | Na K | Fe K | Ti K | Mg K | K K | Total |
|---|---|---|---|---|---|---|---|---|---|
| Mass% | 59.24 | 15.88 | 9.17 | 3.75 | 7.29 | 3.35 | 0.65 | 0.67 | 100 |
| Atom% | 52.78 | 21.01 | 11.66 | 5.83 | 4.66 | 2.5 | 0.95 | 0.61 | 100 |
| Formula | Ca K | Al K | Si K | Na K | Fe K | Ti K | Mg K | K K | Total |
|---|---|---|---|---|---|---|---|---|---|
| Mass% | 68.30 | 22.74 | 3.12 | 2.30 | 2.11 | 1.03 | 0.15 | 0.25 | 100 |
| Atom% | 60.22 | 29.78 | 3.92 | 3.53 | 1.34 | 0.76 | 0.22 | 0.23 | 100 |
| Formula | Ca K | Al K | Si K | Na K | Fe K | Ti K | Mg K | K K | Total |
|---|---|---|---|---|---|---|---|---|---|
| Mass% | 40.53 | 14.28 | 18.69 | 6.22 | 14.02 | 4.49 | 1.06 | 0.70 | 100 |
| Atom% | 35.07 | 18.36 | 23.09 | 9.39 | 8.71 | 3.25 | 1.51 | 0.62 | 100 |
| Formula | Ca K | Al K | Si K | Na K | Fe K | Ti K | Mg K | K K | Total |
|---|---|---|---|---|---|---|---|---|---|
| Mass% | 42.30 | 11.41 | 28.52 | 8.57 | 4.85 | 2.15 | 1.61 | 0.59 | 100 |
| Atom% | 34.27 | 13.73 | 32.97 | 12.11 | 2.82 | 1.46 | 2.15 | 0.49 | 100 |
Disclaimer/Publisher’s Note: The statements, opinions and data contained in all publications are solely those of the individual author(s) and contributor(s) and not of MDPI and/or the editor(s). MDPI and/or the editor(s) disclaim responsibility for any injury to people or property resulting from any ideas, methods, instructions or products referred to in the content. |
© 2024 by the authors. Licensee MDPI, Basel, Switzerland. This article is an open access article distributed under the terms and conditions of the Creative Commons Attribution (CC BY) license (https://creativecommons.org/licenses/by/4.0/).
Share and Cite
Song, Z.; Ke, G.; Qin, P.; Han, S.; Guo, X.; Zhang, Z. Solidification Mechanism of Bayer Red Mud under the Action of Calcium Hydroxide. Sustainability 2024, 16, 4770. https://doi.org/10.3390/su16114770
Song Z, Ke G, Qin P, Han S, Guo X, Zhang Z. Solidification Mechanism of Bayer Red Mud under the Action of Calcium Hydroxide. Sustainability. 2024; 16(11):4770. https://doi.org/10.3390/su16114770
Chicago/Turabian StyleSong, Zhiwei, Guoju Ke, Pengju Qin, Suli Han, Xiuhua Guo, and Zhiqiang Zhang. 2024. "Solidification Mechanism of Bayer Red Mud under the Action of Calcium Hydroxide" Sustainability 16, no. 11: 4770. https://doi.org/10.3390/su16114770
APA StyleSong, Z., Ke, G., Qin, P., Han, S., Guo, X., & Zhang, Z. (2024). Solidification Mechanism of Bayer Red Mud under the Action of Calcium Hydroxide. Sustainability, 16(11), 4770. https://doi.org/10.3390/su16114770

